
rcontroll practical work - Day 1Hands-on TROLL 3 discovery with rcontroll
CIRAD
Apr 6, 2026
Today we will explore the use of forest simulators in ecology, specifically through an agent-based model:
a model that simulates the actions and interactions of autonomous agents in order to understand the behaviour of a system and the factors that determine its outcomes.
Tropical forests can maintain hyperdiversity because of enemies by Levi et al. (2018)


An Individual-Based Forest Model to Jointly Simulate Carbon and Tree Diversity in Amazonia by Maréchaux and Chave (2017)
TROLL models each tree individually within a spatially explicit environment. The TROLL model can therefore be defined as an individual centred and spatially explicit forest growth model. It simulates the life cycle of trees, from recruitment at a diameter at breast height (dbh) of 1 cm, through growth to death. Trees grow in a light environment where values are calculated within \(1 m^3\) voxels.
Each tree is defined by its age, diameter at breast height (DBH), height (H), crown radius (CR), crown depth (CD) and leaf area (LA). The tree’s geometry is calculated using allometric equations, and the leaf area varies dynamically within each crown depending on carbon allocation. A tree can occupy a maximum of one 1 m by 1 m pixel. Each tree belongs to a species inherited from its parent tree. For each species, a number of parameters are known: the trait values for that species, which have been collected in the field. Carbon assimilation is calculated over a 30-minute period. Allocation is then calculated to simulate tree growth. The environment is updated monthly. Juveniles (trees with a diameter at breast height of less than 1 cm) are not simulated explicitly, but as a group. Furthermore, underground processes, herbaceous plants, epiphytes and lianas are not taken into account in TROLL.
During this practical session, we will use the TROLL model (Maréchaux and Chave 2017) with the rcontroll package (Schmitt et al. 2023). We will also use the tidyverse packages for table manipulation and graph creation. Download them (prerequisite!):
Load them with:
The behaviour of species in TROLL is determined by their functional traits and scaling parameters.
TROLL 3 relies on the following functional traits:
LMA: leaf mass per area (LMA, g m−2)N: leaf nitrogen content per dry mass (N, g g−1)P: leaf phosphorus content per dry mass (P, g g−1)WSG: wood specific gravity (wsg, g cm−3)For instance, maximum potential electron transport rate Jmax varies across species in TROLL with the following equation according to DOMINGUES et al. (2010):
\[ J_{max} = min\begin{cases} -1.50+0.41 \times log_{10}(N)+0.45 \times log_{10}(SLA) \\ -0.74+0.44 \times log_{10}(P)+0.32 \times log_{10}(SLA) \end{cases} \]
TROLL relies on 3 scaling parameters to represent tree size across species:
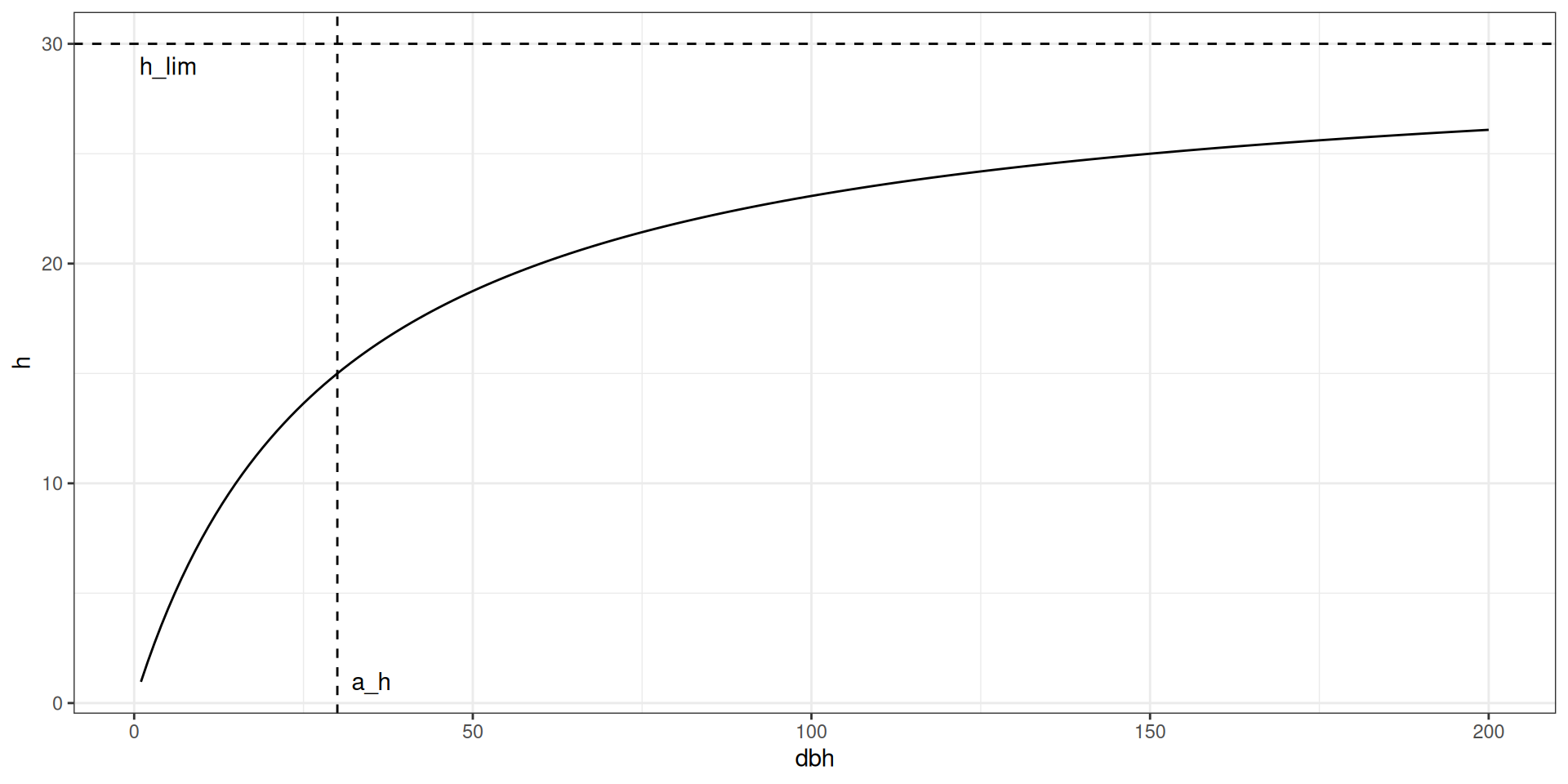
dbh_thres: species maximum diameter at breast height (cm)h_lim: asymptotic height (m)a_h: scaling parameter between diameter and heighth_lim and a_h define the growth in height trajectory for every species according to its diameter as \(h = \frac{h_{lim} \times dbh}{a_h+dbh}\).
rcontrollrcontroll include data for 45 species from French Guiana
# A tibble: 6 × 12
s_name s_LMA s_Nmass s_Pmass s_wsg s_dbhmax s_hmax s_ah s_seedmass
<chr> <dbl> <dbl> <dbl> <dbl> <dbl> <dbl> <dbl> <dbl>
1 Abarema_jupunba 110. 0.0232 5.7 e-4 0.576 0.66 50.9 0.308 1
2 Bocoa_prouacensis 95.6 0.0255 5.05e-4 0.798 0.4 47.9 0.251 1
3 Brosimum_rubesce… 85.8 0.0188 6.88e-4 0.619 0.52 50.9 0.308 1
4 Carapa_procera 130. 0.0177 6.36e-4 0.55 0.49 41.4 0.187 1
5 Caryocar_glabrum 84.2 0.0217 8.13e-4 0.612 1.15 48.6 0.275 1
6 Cecropia_obtusa 69.5 0.0276 1.38e-3 0.388 0.35 50.9 0.308 1
# ℹ 3 more variables: s_regionalfreq <dbl>, s_tlp <dbl>, s_drymass <dbl>
rcontrollFor instance for height trajectories:

TROLL 3 uses a representative day per month, incorporating diurnal half-hourly variation.
TROLL 3 uses a lot of variables all derived from 5 climate variables:
From them 12 variables are derived:
Temperature: monthly average of temperature (degree C)DaytimeMeanTemperature: the monthly average of daytime temperature (degree C, 7am-7pm)NightTemperature: the monthly average of temperature at night (degree C, 8pm-6am)WindSpeed: monthly average of wind speed (m/s)DaytimeMeanIrradiance: monthly average of cumulative solar irradiance averaged over one day (W/m2, 7am-7pm)MeanIrradiance: monthly average of cumulative solar irradiance over 24 hours (W/m2)From them 12 variables are derived:
SaturatedVapourPressure: monthly average of saturation vapour pressure (hPa)VapourPressure: monthly average of vapour pressur (hPa)VaporPressureDeficit: monthly average of vapour pressure deficit (VPD, hPa)DayTimeVapourPressureDeficitVPDbasic: monthly average of daytime vapour pressure deficit (7am-7pm) according to basic formula (hPa)DaytimeMeanVapourPressureDeficit: monthly average of daytime vapour pressure deficit (7am-7pm) according to advanced formula (hPa)NB : In TROLL 4, climate input have been simplified to 5 (day 2 session).
NB : rcontroll include a function to help prepare climate data (day 3 session).
rcontrollrcontroll include data for 1 year (12 month) of climate variation in Paracou from ERA5-Land (Muñoz-Sabater et al. 2021):
# A tibble: 6 × 12
Temperature DaytimeMeanTemperature NightTemperature Rainfall WindSpeed
<dbl> <dbl> <dbl> <dbl> <dbl>
1 24.3 26.4 23.0 9.46 0.904
2 24.3 26.2 23.0 9.52 0.941
3 24.1 26.4 23.0 9.58 0.876
4 24.6 26.8 23.0 10.5 0.908
5 24.6 26.7 23.4 16.0 0.756
6 24.6 26.5 23.0 8.05 0.828
# ℹ 7 more variables: DaytimeMeanIrradiance <dbl>, MeanIrradiance <dbl>,
# SaturatedVapourPressure <dbl>, VapourPressure <dbl>,
# VaporPressureDeficit <dbl>, DayTimeVapourPressureDeficitVPDbasic <dbl>,
# DaytimeMeanVapourPressureDeficit <dbl>
rcontrollrcontroll include data for 1 year (12 month) of climate variation in Paracou from ERA5-Land (Muñoz-Sabater et al. 2021):

The carbon assimilated by a tree in one day is the sum of the leaf-level carbon fluxes across the 24 half-hour periods of daylight:
vardaytime_light: daily variation in irradiance relative to the mean value of the dayvardaytime_vpd: daily variation in vapour pressure deficit relative to the mean value of the dayvardaytime_T: daily variation in temperature relative to the mean value of the dayNB : rcontroll include a function to help prepare half-hourly variation data (day 3 session).
rcontrollrcontroll include data for half-hourly variation in Paracou from ERA5-Land (Muñoz-Sabater et al. 2021):
# A tibble: 6 × 5
starttime endtime vardaytime_light vardaytime_vpd vardaytime_T
<dbl> <dbl> <dbl> <dbl> <dbl>
1 6.5 7 0.0528 0.0219 0.825
2 7 7.5 0.187 0.0317 0.836
3 7.5 8 0.387 0.0781 0.858
4 8 8.5 0.621 0.158 0.885
5 8.5 9 0.863 0.300 0.918
6 9 9.5 1.09 0.504 0.954
rcontrollrcontroll include data for half-hourly variation in Paracou from ERA5-Land (Muñoz-Sabater et al. 2021):

Global parameters of the simulation.
TROLL includes numerous parameters (see rcontroll documentation or the GMD paper appendix). They might be regrouped in several types:
Simulation parameters: definition of simulation characteristic (size, duration, …)Physical parameters: definition of physical environment behaviourEcosystem parameters: definition of tree behaviour at the community levelIntraspecific parameters: definition of tree trait variation within speciesModel macros: definition of model behaviour and processesDefinition of simulation characteristic (size, duration, …)
cols: Number of columns (m)rows: Number of rows (m)HEIGHT: Vertical extent of simulation (m)nbiter: Total number of timesteps (months)
definition of physical environment behaviour
SWtoPPFD: Convert shortwave irradiance to PAR photonsp_nonvert: Light incidence parameter (difference through turbid medium)klight: Light attenuation in the canopy following a Beer-Lambert lawphi: Quantum yield (in micromol C/micromol photon)absorptance_leaves: Absorptance of individual leaves
klight: Light attenuation in the canopy following a Beer-Lambert law
\[PPFD = PPFD \times exp(-k_{light}\times LAI)\]

definition of tree behaviour at the community level
theta: Parameter of the Farquhar modelg1: Parameter g1 of Medlyn et al stomatal conductance modelvC: Variance of the flexion momentCR_a: Crown radius log intercept or Michaelis Menten initial growthCR_b: Crown radius log slope or Michaelis Menten asymptotic CRCD_a: Crown depth intercept (absolute value)CD_b: Crown depth slope (as fraction of tree height)shape_crown: Crown shape parameterfallocwood: Fraction of biomass allocated to above ground wood (branch turnover+stem)falloccanopy: Fraction of biomass allocated to canopy (leaves + reproductive organs + twigs)Cseedrain: Constant used to scale total seed rain per hectare across speciesnbs0: Number of seeds produced and dispersed by each mature treeleafdem_resolution: Resolution of leaf demography modelp_tfsecondary: Probability of secondary treefallhurt_decay: Parameter determining how tree damages are repairedcrown_gap_fraction: Fraction of gaps in the crownm: Minimal death rate
CR_aandCR_b: Crown radius log intercept and slope with \(CR = CR_a\times dbh^{CR_b}\)

definition of tree trait variation within species
sigma_height: Intraspecific variation in tree height (lognormal)sigma_CR: Intraspecific variation in crown radius (lognormal)sigma_CD: Intraspecific variation in crown depth (lognormal)sigma_P: Intraspecific variation in leaf phosphorus (lognormal)sigma_N: Intraspecific variation in leaf nitrogen (lognormal)sigma_LMA: Intraspecific variation in leaf mass per area (lognormal)sigma_wsg: Intraspecific variation in wood specific gravitysigma_dbhmax: Intraspecific variation in maximum diameterdefinition of tree trait variation within species
corr_CR_height: Correlation coefficient between crown radius and tree heightcorr_N_P: correlation coefficient between leaf nitrogen and leaf phosphoruscorr_N_LMA: Correlation coefficient between leaf nitrogen and leaf mass per areacorr_P_LMA: Correlation coefficient between leaf phosphorus and leaf mass per area
sigma_wsg: Intraspecific variation in wood specific gravity

definition of model behaviour and processes
LL_parameterization: leaf lifespan parameterizations: Reich empirical, Kikuzawa model, and Kikuzawa model with leaf plasticityLA_regulation: dynamic LA regulationsapwood: sapwood parameterizations: constant thickness (0.04), Fyllas percentage, Fyllas lower limitseedsadditional: excess biomass into seeds after maturation (0,1).NONRANDOM: simulation are random or notGPPcrown: option to compute only GPP from the topmost value of PPFD and GPPBASICTREEFALL: treefall is a source of tree deathSEEDTRADEOFF: the number of seeds produced is determined by NPP allocated to reproduction and seed mass, otherwise the number of seeds is fixedCROWN_MM: Michaelis Menten allometry for crowns instead of power lawrcontrollA single function to generate them all:
param value description
1 cols 100 /* nb of columns */
2 rows 100 /* nb of rows */
3 HEIGHT 70 /* vertical extent of simulation */
4 length_dcell 25 /* linear size of a dcell */
5 nbiter 12 /* total nb of timesteps */
6 iterperyear 12 /* number of iteration per year */
7 NV 1 /* vertical nb of cells (nb per m) */
8 NH 1 /* horizontal nb of cells (nb per m) */
9 nbout 4 /* Number of outputs */
10 nbspp 45 /* Number of species */
trollLet’s finally use TROLL!
We prepare global parameters, species data, climate data, and daily variation.
You can run a simulation in memory without the
pathoption, but I advise on using the path to write files and have acces to your simulations outputs later on.
Resulting simulation:
Object of class : trollsim
Name : test1
Path : day1_out/test1
In memory : TRUE
Extended : TRUE
From data : FALSE
Lidar simulation : FALSE
Random : FALSE
2D discrete network: horizontal step = 1 m, one tree per 1 m^2
Number of sites : 100 x 100
Number of iterations : 1200
Duration of timestep : 30.41667 days
Number of Species : 45
Object of class : trollsim
Name : test1
Path : day1_out/test1
In memory : TRUE
Extended : TRUE
From data : FALSE
Lidar simulation : FALSE
Random : FALSE
2D discrete network: horizontal step = 1 m, one tree per 1 m^2
Number of sites : 100 x 100
Number of iterations : 1200
Duration of timestep : 30.41667 days
Number of Species : 45
Let’s explore all outputs from the model.
TROLLsim()$name
[1] "character"
$path
[1] "character"
$mem
[1] "logical"
$parameters
[1] "numeric"
$inputs
[1] "list"
$log
[1] "character"
$forest
[1] "spec_tbl_df" "tbl_df" "tbl" "data.frame"
$ecosystem
[1] "spec_tbl_df" "tbl_df" "tbl" "data.frame"
$species
[1] "spec_tbl_df" "tbl_df" "tbl" "data.frame"
$las
[1] "list"
$class
[1] "character"
# A tibble: 1,200 × 13
iter sum1 sum10 sum30 ba ba10 agb gpp npp rday rnight rstem
<dbl> <dbl> <dbl> <dbl> <dbl> <dbl> <dbl> <dbl> <dbl> <dbl> <dbl> <dbl>
1 0 9924 0 0 0.743 0 564. 0.962 0.522 0.0485 0.0959 0.000176
2 1 9927 0 0 0.944 0 806. 0.972 0.522 0.0498 0.0997 0.00124
3 2 9926 0 0 1.13 0 1058. 1.04 0.559 0.0527 0.104 0.00173
4 3 9924 0 0 1.32 0 1324. 1.10 0.596 0.0567 0.110 0.00236
5 4 9925 0 0 1.49 0 1592. 1.15 0.611 0.0593 0.119 0.00293
6 5 9925 0 0 1.67 0 1878. 1.22 0.655 0.0618 0.122 0.00352
7 6 9927 0 0 1.85 0 2188. 1.31 0.709 0.0667 0.130 0.00424
8 7 9927 0 0 2.05 0 2534. 1.46 0.791 0.0767 0.140 0.00507
9 8 9922 0 0 2.25 0 2912. 1.61 0.866 0.0865 0.155 0.00625
10 9 9926 0 0 2.46 0 3314. 1.73 0.920 0.0958 0.173 0.00748
# ℹ 1,190 more rows
# ℹ 1 more variable: litterfall <dbl>
# A tibble: 54,000 × 14
iter species sum1 sum10 sum30 ba ba10 agb gpp npp rday
<dbl> <chr> <dbl> <dbl> <dbl> <dbl> <dbl> <dbl> <dbl> <dbl> <dbl>
1 0 Abarema_ju… 212 0 0 0.0182 0 12.5 0.0206 0.0111 1.06e-3
2 0 Bocoa_prou… 206 0 0 0.0108 0 9.27 0.0186 0.00989 9.99e-4
3 0 Brosimum_r… 224 0 0 0.0181 0 12.9 0.0213 0.0116 1.05e-3
4 0 Carapa_pro… 225 0 0 0.0170 0 13.8 0.0241 0.0132 1.17e-3
5 0 Caryocar_g… 213 0 0 0.0169 0 12.6 0.0210 0.0115 1.03e-3
6 0 Cecropia_o… 238 0 0 0.0371 0 22.8 0.0249 0.0137 1.19e-3
7 0 Chrysophyl… 209 0 0 0.0203 0 14.5 0.0220 0.0120 1.08e-3
8 0 Conceveiba… 219 0 0 0.0155 0 11.1 0.0203 0.0109 1.07e-3
9 0 Cordia_sag… 225 0 0 0.0171 0 13.0 0.0231 0.0124 1.21e-3
10 0 Couepia_br… 224 0 0 0.0148 0 12.2 0.0222 0.0121 1.09e-3
# ℹ 53,990 more rows
# ℹ 3 more variables: rnight <dbl>, rstem <dbl>, litterfall <dbl>
# A tibble: 2,262 × 59
iter col row from_Data sp_lab site CrownDisplacement Pmass Nmass
<dbl> <dbl> <dbl> <dbl> <dbl> <dbl> <dbl> <dbl> <dbl>
1 1200 0 0 0 27 0 0 0.000437 0.0206
2 1200 13 0 0 23 13 0 0.000529 0.0193
3 1200 14 0 0 39 14 0 0.000580 0.0193
4 1200 15 0 0 30 15 0 0.000388 0.015
5 1200 36 0 0 36 36 0 0.000593 0.0184
6 1200 38 0 0 2 38 0 0.000505 0.0255
7 1200 39 0 0 24 39 0 0.000498 0.0189
8 1200 42 0 0 14 42 0 0.000489 0.0155
9 1200 43 0 0 33 43 0 0.000308 0.013
10 1200 44 0 0 19 44 0 0.00115 0.0207
# ℹ 2,252 more rows
# ℹ 50 more variables: LMA <dbl>, wsg <dbl>, Rdark <dbl>, Vcmax <dbl>,
# Jmax <dbl>, leaflifespan <dbl>, lambda_young <dbl>, lambda_mature <dbl>,
# lambda_old <dbl>, dbhmature <dbl>, dbhmax <dbl>, hmax <dbl>, ah <dbl>,
# Ct <dbl>, LAImax <dbl>, fraction_filled <dbl>, mult_height <dbl>,
# mult_CR <dbl>, mult_CD <dbl>, mult_P <dbl>, mult_N <dbl>, mult_LMA <dbl>,
# mult_dbhmax <dbl>, dev_wsg <dbl>, age <dbl>, dbh <dbl>, …
Reading in file: /home/sschmitt/Documents/rcontroll_tp/inpa_2026/day1_out/test1/test1_input_global.txt
rows: 100 cols: 100 HEIGHT: 70
Number of dcells: 16
Lin number of dcells: 4
Covariance matrix N,P,LMA could not be decomposed. Using uncorrelated variation of trait values instead
Easy MPI rank: 0
On proc #0 seed: 1
Reading in file: /home/sschmitt/Documents/rcontroll_tp/inpa_2026/day1_out/test1/test1_input_species.txt
Successfully initialised 45 species from file.
Successfully read in species file.
Reading in file: /home/sschmitt/Documents/rcontroll_tp/inpa_2026/day1_out/test1/test1_input_daily.txt
Read in: 24 timesteps per day, covering 12 hours of the day.
Successfully read in daytime variation file
Reading in file: /home/sschmitt/Documents/rcontroll_tp/inpa_2026/day1_out/test1/test1_input_climate.txt
Read in climate data for 12 iterations per year.
Successfully read the climate file
Intraspecific variation initialisation:
Max and min allometry deviation, lognormal (height): 1 | 1
Max and min allometry deviation, lognormal (crown radius): 1 | 1
Max and min trait deviation, lognormal (N): 1 | 1
Max and min trait deviation, lognormal (P): 1 | 1
Max and min trait deviation, lognormal (LMA): 1 | 1
Max and min allometry deviation, normal (crown depth): 1 | 1
Max and min trait deviation, normal (wsg): 0 | 0
Max and min trait deviation, lognormal (dmax): 1 | 1
Built-in maximal temperature: 50
Calculated LookUp table for LAImax. Min LAImax is: 4.14551 | max LAImax is: 4.89746 avg LAImax is: 4.56366
SBORD: 2800
row start: 0 | row end: 100 | sites_abc: 10000
klight is: 0.63
CO2 concentration is: 400
Number of species: 45
Activated Module: BASICTREEFALL
Activated Module: OUTPUT_extended
Simulation starts with 0 trees.
Writing snapshot of forest to file.
10000 Seedrain: 50000
Trees_mature: 0 Nbseedsadded: 47316 effective: 47316 nbspeciesaffected: 45
0 Trees (1/ha): 9924.00 | 0.00 | 0.00 *** nbdead (%): 0.04 | -nan | -nan *** AGB (t/ha): 1.00 GPP (MgC/ha/yr) 11.55 NPP 6.26 litterfall (Mg/ha/yr) 1.71
1 Trees (1/ha): 9927.00 | 0.00 | 0.00 *** nbdead (%): 0.01 | -nan | -nan *** AGB (t/ha): 1.00 GPP (MgC/ha/yr) 11.67 NPP 6.27 litterfall (Mg/ha/yr) 1.72
2 Trees (1/ha): 9926.00 | 0.00 | 0.00 *** nbdead (%): 0.02 | -nan | -nan *** AGB (t/ha): 1.00 GPP (MgC/ha/yr) 12.43 NPP 6.71 litterfall (Mg/ha/yr) 1.74
3 Trees (1/ha): 9924.00 | 0.00 | 0.00 *** nbdead (%): 0.04 | -nan | -nan *** AGB (t/ha): 1.00 GPP (MgC/ha/yr) 13.26 NPP 7.15 litterfall (Mg/ha/yr) 1.78
4 Trees (1/ha): 9925.00 | 0.00 | 0.00 *** nbdead (%): 0.03 | -nan | -nan *** AGB (t/ha): 2.00 GPP (MgC/ha/yr) 13.74 NPP 7.34 litterfall (Mg/ha/yr) 1.84
5 Trees (1/ha): 9925.00 | 0.00 | 0.00 *** nbdead (%): 0.03 | -nan | -nan *** AGB (t/ha): 2.00 GPP (MgC/ha/yr) 14.60 NPP 7.86 litterfall (Mg/ha/yr) 1.90
6 Trees (1/ha): 9927.00 | 0.00 | 0.00 *** nbdead (%): 0.01 | -nan | -nan *** AGB (t/ha): 2.00 GPP (MgC/ha/yr) 15.76 NPP 8.51 litterfall (Mg/ha/yr) 1.97
7 Trees (1/ha): 9927.00 | 0.00 | 0.00 *** nbdead (%): 0.01 | -nan | -nan *** AGB (t/ha): 3.00 GPP (MgC/ha/yr) 17.54 NPP 9.49 litterfall (Mg/ha/yr) 2.06
8 Trees (1/ha): 9922.00 | 0.00 | 0.00 *** nbdead (%): 0.06 | -nan | -nan *** AGB (t/ha): 3.00 GPP (MgC/ha/yr) 19.30 NPP 10.39 litterfall (Mg/ha/yr) 2.16
9 Trees (1/ha): 9926.00 | 0.00 | 0.00 *** nbdead (%): 0.02 | -nan | -nan *** AGB (t/ha): 3.00 GPP (MgC/ha/yr) 20.73 NPP 11.04 litterfall (Mg/ha/yr) 2.28
10 Trees (1/ha): 9922.00 | 0.00 | 0.00 *** nbdead (%): 0.06 | -nan | -nan *** AGB (t/ha): 4.00 GPP (MgC/ha/yr) 21.34 NPP 11.29 litterfall (Mg/ha/yr) 2.41
11 Trees (1/ha): 9925.00 | 0.00 | 0.00 *** nbdead (%): 0.03 | -nan | -nan *** AGB (t/ha): 4.00 GPP (MgC/ha/yr) 19.76 NPP 10.19 litterfall (Mg/ha/yr) 2.56
10000 Seedrain: 50000.00
Trees_mature: 0 Nbseedsadded: 47306 effective: 47306 nbspeciesaffected: 45
12 Trees (1/ha): 9995.00 | 0.00 | 0.00 *** nbdead (%): 0.05 | -nan | -nan *** AGB (t/ha): 4.00 GPP (MgC/ha/yr) 20.29 NPP 10.50 litterfall (Mg/ha/yr) 2.71
13 Trees (1/ha): 9998.00 | 0.00 | 0.00 *** nbdead (%): 0.02 | -nan | -nan *** AGB (t/ha): 5.00 GPP (MgC/ha/yr) 20.08 NPP 10.25 litterfall (Mg/ha/yr) 2.84
14 Trees (1/ha): 9995.00 | 0.00 | 0.00 *** nbdead (%): 0.05 | -nan | -nan *** AGB (t/ha): 5.00 GPP (MgC/ha/yr) 20.97 NPP 10.76 litterfall (Mg/ha/yr) 2.94
15 Trees (1/ha): 9998.00 | 0.00 | 0.00 *** nbdead (%): 0.02 | -nan | -nan *** AGB (t/ha): 6.00 GPP (MgC/ha/yr) 21.82 NPP 11.20 litterfall (Mg/ha/yr) 3.03
16 Trees (1/ha): 9996.00 | 0.00 | 0.00 *** nbdead (%): 0.04 | -nan | -nan *** AGB (t/ha): 6.00 GPP (MgC/ha/yr) 21.96 NPP 11.14 litterfall (Mg/ha/yr) 3.12
17 Trees (1/ha): 9997.00 | 0.00 | 0.00 *** nbdead (%): 0.03 | -nan | -nan *** AGB (t/ha): 6.00 GPP (MgC/ha/yr) 22.92 NPP 11.80 litterfall (Mg/ha/yr) 3.20
18 Trees (1/ha): 9990.00 | 0.00 | 0.00 *** nbdead (%): 0.07 | -nan | -nan *** AGB (t/ha): 7.00 GPP (MgC/ha/yr) 24.34 NPP 12.61 litterfall (Mg/ha/yr) 3.28
19 Trees (1/ha): 9996.00 | 0.00 | 0.00 *** nbdead (%): 0.02 | -nan | -nan *** AGB (t/ha): 7.00 GPP (MgC/ha/yr) 26.78 NPP 13.97 litterfall (Mg/ha/yr) 3.37
20 Trees (1/ha): 9997.00 | 0.00 | 0.00 *** nbdead (%): 0.02 | -nan | -nan *** AGB (t/ha): 8.00 GPP (MgC/ha/yr) 29.18 NPP 15.20 litterfall (Mg/ha/yr) 3.48
21 Trees (1/ha): 9992.00 | 0.00 | 0.00 *** nbdead (%): 0.07 | -nan | -nan *** AGB (t/ha): 8.00 GPP (MgC/ha/yr) 30.82 NPP 15.90 litterfall (Mg/ha/yr) 3.61
22 Trees (1/ha): 9996.00 | 0.00 | 0.00 *** nbdead (%): 0.03 | -nan | -nan *** AGB (t/ha): 9.00 GPP (MgC/ha/yr) 31.12 NPP 15.95 litterfall (Mg/ha/yr) 3.76
23 Trees (1/ha): 9989.00 | 0.00 | 0.00 *** nbdead (%): 0.10 | -nan | -nan *** AGB (t/ha): 10.00 GPP (MgC/ha/yr) 28.27 NPP 14.07 litterfall (Mg/ha/yr) 3.93
10000 Seedrain: 50000.00
Trees_mature: 0 Nbseedsadded: 47320 effective: 47320 nbspeciesaffected: 45
24 Trees (1/ha): 9956.00 | 0.00 | 0.00 *** nbdead (%): 0.36 | -nan | -nan *** AGB (t/ha): 10.00 GPP (MgC/ha/yr) 28.73 NPP 14.44 litterfall (Mg/ha/yr) 4.08
25 Trees (1/ha): 9964.00 | 0.00 | 0.00 *** nbdead (%): 0.14 | -nan | -nan *** AGB (t/ha): 10.00 GPP (MgC/ha/yr) 28.22 NPP 13.99 litterfall (Mg/ha/yr) 4.20
26 Trees (1/ha): 9958.00 | 0.00 | 0.00 *** nbdead (%): 0.31 | -nan | -nan *** AGB (t/ha): 11.00 GPP (MgC/ha/yr) 29.34 NPP 14.68 litterfall (Mg/ha/yr) 4.30
27 Trees (1/ha): 9957.00 | 0.00 | 0.00 *** nbdead (%): 0.24 | -nan | -nan *** AGB (t/ha): 11.00 GPP (MgC/ha/yr) 30.36 NPP 15.21 litterfall (Mg/ha/yr) 4.38
28 Trees (1/ha): 9962.00 | 0.00 | 0.00 *** nbdead (%): 0.24 | -nan | -nan *** AGB (t/ha): 12.00 GPP (MgC/ha/yr) 30.20 NPP 14.90 litterfall (Mg/ha/yr) 4.46
29 Trees (1/ha): 9920.00 | 0.00 | 0.00 *** nbdead (%): 0.67 | -nan | -nan *** AGB (t/ha): 12.00 GPP (MgC/ha/yr) 31.27 NPP 15.70 litterfall (Mg/ha/yr) 4.52
30 Trees (1/ha): 9918.00 | 0.00 | 0.00 *** nbdead (%): 0.36 | -nan | -nan *** AGB (t/ha): 13.00 GPP (MgC/ha/yr) 32.76 NPP 16.52 litterfall (Mg/ha/yr) 4.60
31 Trees (1/ha): 9958.00 | 0.00 | 0.00 *** nbdead (%): 0.22 | -nan | -nan *** AGB (t/ha): 14.00 GPP (MgC/ha/yr) 35.53 NPP 18.02 litterfall (Mg/ha/yr) 4.69
32 Trees (1/ha): 9936.00 | 0.00 | 0.00 *** nbdead (%): 0.41 | -nan | -nan *** AGB (t/ha): 14.00 GPP (MgC/ha/yr) 38.01 NPP 19.20 litterfall (Mg/ha/yr) 4.79
33 Trees (1/ha): 9934.00 | 0.00 | 0.00 *** nbdead (%): 0.32 | -nan | -nan *** AGB (t/ha): 15.00 GPP (MgC/ha/yr) 39.23 NPP 19.50 litterfall (Mg/ha/yr) 4.93
34 Trees (1/ha): 9903.00 | 0.00 | 0.00 *** nbdead (%): 0.60 | -nan | -nan *** AGB (t/ha): 16.00 GPP (MgC/ha/yr) 38.56 NPP 18.96 litterfall (Mg/ha/yr) 5.07
35 Trees (1/ha): 9825.00 | 0.00 | 0.00 *** nbdead (%): 1.04 | -nan | -nan *** AGB (t/ha): 16.00 GPP (MgC/ha/yr) 34.03 NPP 16.11 litterfall (Mg/ha/yr) 5.21
10000 Seedrain: 50000.00
Trees_mature: 0 Nbseedsadded: 47326 effective: 47326 nbspeciesaffected: 45
36 Trees (1/ha): 9629.00 | 0.00 | 0.00 *** nbdead (%): 2.60 | -nan | -nan *** AGB (t/ha): 16.00 GPP (MgC/ha/yr) 33.92 NPP 16.27 litterfall (Mg/ha/yr) 5.29
37 Trees (1/ha): 9725.00 | 0.00 | 0.00 *** nbdead (%): 0.67 | -nan | -nan *** AGB (t/ha): 17.00 GPP (MgC/ha/yr) 32.65 NPP 15.38 litterfall (Mg/ha/yr) 5.38
38 Trees (1/ha): 9749.00 | 0.00 | 0.00 *** nbdead (%): 1.48 | -nan | -nan *** AGB (t/ha): 17.00 GPP (MgC/ha/yr) 33.62 NPP 16.06 litterfall (Mg/ha/yr) 5.42
39 Trees (1/ha): 9734.00 | 0.00 | 0.00 *** nbdead (%): 1.21 | -nan | -nan *** AGB (t/ha): 18.00 GPP (MgC/ha/yr) 34.40 NPP 16.47 litterfall (Mg/ha/yr) 5.45
40 Trees (1/ha): 9732.00 | 0.00 | 0.00 *** nbdead (%): 1.16 | -nan | -nan *** AGB (t/ha): 18.00 GPP (MgC/ha/yr) 33.87 NPP 15.95 litterfall (Mg/ha/yr) 5.48
41 Trees (1/ha): 9631.00 | 0.00 | 0.00 *** nbdead (%): 1.92 | -nan | -nan *** AGB (t/ha): 19.00 GPP (MgC/ha/yr) 34.89 NPP 16.81 litterfall (Mg/ha/yr) 5.49
42 Trees (1/ha): 9615.00 | 0.00 | 0.00 *** nbdead (%): 1.63 | -nan | -nan *** AGB (t/ha): 19.00 GPP (MgC/ha/yr) 36.39 NPP 17.68 litterfall (Mg/ha/yr) 5.51
43 Trees (1/ha): 9542.00 | 0.00 | 0.00 *** nbdead (%): 2.05 | -nan | -nan *** AGB (t/ha): 20.00 GPP (MgC/ha/yr) 39.25 NPP 19.26 litterfall (Mg/ha/yr) 5.54
44 Trees (1/ha): 9453.00 | 0.00 | 0.00 *** nbdead (%): 2.11 | -nan | -nan *** AGB (t/ha): 20.00 GPP (MgC/ha/yr) 41.77 NPP 20.44 litterfall (Mg/ha/yr) 5.60
45 Trees (1/ha): 9443.00 | 0.00 | 0.00 *** nbdead (%): 1.43 | -nan | -nan *** AGB (t/ha): 21.00 GPP (MgC/ha/yr) 42.67 NPP 20.55 litterfall (Mg/ha/yr) 5.69
46 Trees (1/ha): 9328.00 | 0.00 | 0.00 *** nbdead (%): 1.96 | -nan | -nan *** AGB (t/ha): 21.00 GPP (MgC/ha/yr) 41.44 NPP 19.72 litterfall (Mg/ha/yr) 5.78
47 Trees (1/ha): 9172.00 | 0.00 | 0.00 *** nbdead (%): 2.52 | -nan | -nan *** AGB (t/ha): 22.00 GPP (MgC/ha/yr) 35.95 NPP 16.35 litterfall (Mg/ha/yr) 5.87
10000 Seedrain: 50000.00
Trees_mature: 0 Nbseedsadded: 47334 effective: 47334 nbspeciesaffected: 45
48 Trees (1/ha): 8788.00 | 0.00 | 0.00 *** nbdead (%): 5.53 | -nan | -nan *** AGB (t/ha): 22.00 GPP (MgC/ha/yr) 35.69 NPP 16.55 litterfall (Mg/ha/yr) 5.88
49 Trees (1/ha): 8983.00 | 0.00 | 0.00 *** nbdead (%): 1.57 | -nan | -nan *** AGB (t/ha): 22.00 GPP (MgC/ha/yr) 34.13 NPP 15.52 litterfall (Mg/ha/yr) 5.92
50 Trees (1/ha): 8923.00 | 0.00 | 0.00 *** nbdead (%): 2.86 | -nan | -nan *** AGB (t/ha): 23.00 GPP (MgC/ha/yr) 35.04 NPP 16.23 litterfall (Mg/ha/yr) 5.91
51 Trees (1/ha): 8961.00 | 0.00 | 0.00 *** nbdead (%): 1.89 | -nan | -nan *** AGB (t/ha): 23.00 GPP (MgC/ha/yr) 35.79 NPP 16.63 litterfall (Mg/ha/yr) 5.91
52 Trees (1/ha): 8922.00 | 0.00 | 0.00 *** nbdead (%): 2.07 | -nan | -nan *** AGB (t/ha): 23.00 GPP (MgC/ha/yr) 35.06 NPP 16.00 litterfall (Mg/ha/yr) 5.90
53 Trees (1/ha): 8783.00 | 0.00 | 0.00 *** nbdead (%): 3.07 | -nan | -nan *** AGB (t/ha): 24.00 GPP (MgC/ha/yr) 36.12 NPP 16.93 litterfall (Mg/ha/yr) 5.88
54 Trees (1/ha): 8755.00 | 0.00 | 0.00 *** nbdead (%): 2.58 | -nan | -nan *** AGB (t/ha): 24.00 GPP (MgC/ha/yr) 37.71 NPP 17.87 litterfall (Mg/ha/yr) 5.89
55 Trees (1/ha): 8707.00 | 0.00 | 0.00 *** nbdead (%): 2.71 | -nan | -nan *** AGB (t/ha): 25.00 GPP (MgC/ha/yr) 40.61 NPP 19.47 litterfall (Mg/ha/yr) 5.91
56 Trees (1/ha): 8634.00 | 0.00 | 0.00 *** nbdead (%): 2.69 | -nan | -nan *** AGB (t/ha): 25.00 GPP (MgC/ha/yr) 43.20 NPP 20.70 litterfall (Mg/ha/yr) 5.94
57 Trees (1/ha): 8601.00 | 0.00 | 0.00 *** nbdead (%): 1.98 | -nan | -nan *** AGB (t/ha): 26.00 GPP (MgC/ha/yr) 44.01 NPP 20.75 litterfall (Mg/ha/yr) 6.00
58 Trees (1/ha): 8518.00 | 0.00 | 0.00 *** nbdead (%): 2.32 | -nan | -nan *** AGB (t/ha): 27.00 GPP (MgC/ha/yr) 42.54 NPP 19.79 litterfall (Mg/ha/yr) 6.08
59 Trees (1/ha): 8398.00 | 0.00 | 0.00 *** nbdead (%): 2.81 | -nan | -nan *** AGB (t/ha): 27.00 GPP (MgC/ha/yr) 36.68 NPP 16.24 litterfall (Mg/ha/yr) 6.15
10000 Seedrain: 50000.00
Trees_mature: 0 Nbseedsadded: 47318 effective: 47318 nbspeciesaffected: 45
60 Trees (1/ha): 8078.00 | 0.00 | 0.00 *** nbdead (%): 5.52 | -nan | -nan *** AGB (t/ha): 27.00 GPP (MgC/ha/yr) 36.47 NPP 16.49 litterfall (Mg/ha/yr) 6.18
61 Trees (1/ha): 8271.00 | 0.00 | 0.00 *** nbdead (%): 1.68 | -nan | -nan *** AGB (t/ha): 27.00 GPP (MgC/ha/yr) 34.80 NPP 15.39 litterfall (Mg/ha/yr) 6.20
62 Trees (1/ha): 8196.00 | 0.00 | 0.00 *** nbdead (%): 3.25 | -nan | -nan *** AGB (t/ha): 28.00 GPP (MgC/ha/yr) 35.71 NPP 16.11 litterfall (Mg/ha/yr) 6.19
63 Trees (1/ha): 8197.00 | 0.00 | 0.00 *** nbdead (%): 2.50 | -nan | -nan *** AGB (t/ha): 28.00 GPP (MgC/ha/yr) 36.48 NPP 16.54 litterfall (Mg/ha/yr) 6.17
64 Trees (1/ha): 8197.00 | 0.00 | 0.00 *** nbdead (%): 2.23 | -nan | -nan *** AGB (t/ha): 28.00 GPP (MgC/ha/yr) 35.70 NPP 15.89 litterfall (Mg/ha/yr) 6.14
65 Trees (1/ha): 8127.00 | 0.00 | 0.00 *** nbdead (%): 3.04 | -nan | -nan *** AGB (t/ha): 29.00 GPP (MgC/ha/yr) 36.84 NPP 16.89 litterfall (Mg/ha/yr) 6.12
66 Trees (1/ha): 8082.00 | 0.00 | 0.00 *** nbdead (%): 2.99 | -nan | -nan *** AGB (t/ha): 29.00 GPP (MgC/ha/yr) 38.43 NPP 17.84 litterfall (Mg/ha/yr) 6.11
67 Trees (1/ha): 8035.00 | 0.00 | 0.00 *** nbdead (%): 3.11 | -nan | -nan *** AGB (t/ha): 30.00 GPP (MgC/ha/yr) 41.38 NPP 19.48 litterfall (Mg/ha/yr) 6.12
68 Trees (1/ha): 7957.00 | 0.00 | 0.00 *** nbdead (%): 3.19 | -nan | -nan *** AGB (t/ha): 30.00 GPP (MgC/ha/yr) 43.97 NPP 20.70 litterfall (Mg/ha/yr) 6.14
69 Trees (1/ha): 7955.00 | 0.00 | 0.00 *** nbdead (%): 2.40 | -nan | -nan *** AGB (t/ha): 31.00 GPP (MgC/ha/yr) 44.65 NPP 20.66 litterfall (Mg/ha/yr) 6.19
70 Trees (1/ha): 7876.00 | 0.00 | 0.00 *** nbdead (%): 2.55 | -nan | -nan *** AGB (t/ha): 31.00 GPP (MgC/ha/yr) 42.91 NPP 19.57 litterfall (Mg/ha/yr) 6.25
71 Trees (1/ha): 7739.00 | 0.00 | 0.00 *** nbdead (%): 3.06 | -nan | -nan *** AGB (t/ha): 32.00 GPP (MgC/ha/yr) 36.79 NPP 15.89 litterfall (Mg/ha/yr) 6.31
10000 Seedrain: 50000.00
Trees_mature: 0 Nbseedsadded: 47325 effective: 47325 nbspeciesaffected: 45
72 Trees (1/ha): 7463.00 | 0.00 | 0.00 *** nbdead (%): 5.88 | -nan | -nan *** AGB (t/ha): 32.00 GPP (MgC/ha/yr) 36.51 NPP 16.14 litterfall (Mg/ha/yr) 6.31
73 Trees (1/ha): 7631.00 | 0.00 | 0.00 *** nbdead (%): 2.25 | -nan | -nan *** AGB (t/ha): 32.00 GPP (MgC/ha/yr) 34.76 NPP 15.01 litterfall (Mg/ha/yr) 6.31
74 Trees (1/ha): 7595.00 | 1.00 | 0.00 *** nbdead (%): 3.28 | 0.00 | -nan *** AGB (t/ha): 32.00 GPP (MgC/ha/yr) 35.73 NPP 15.79 litterfall (Mg/ha/yr) 6.29
75 Trees (1/ha): 7638.00 | 1.00 | 0.00 *** nbdead (%): 2.57 | 0.00 | -nan *** AGB (t/ha): 33.00 GPP (MgC/ha/yr) 36.49 NPP 16.19 litterfall (Mg/ha/yr) 6.27
76 Trees (1/ha): 7648.00 | 1.00 | 0.00 *** nbdead (%): 2.54 | 0.00 | -nan *** AGB (t/ha): 33.00 GPP (MgC/ha/yr) 35.74 NPP 15.57 litterfall (Mg/ha/yr) 6.24
77 Trees (1/ha): 7558.00 | 1.00 | 0.00 *** nbdead (%): 3.31 | 0.00 | -nan *** AGB (t/ha): 34.00 GPP (MgC/ha/yr) 36.86 NPP 16.57 litterfall (Mg/ha/yr) 6.22
78 Trees (1/ha): 7508.00 | 1.00 | 0.00 *** nbdead (%): 3.77 | 0.00 | -nan *** AGB (t/ha): 34.00 GPP (MgC/ha/yr) 38.57 NPP 17.60 litterfall (Mg/ha/yr) 6.20
79 Trees (1/ha): 7480.00 | 2.00 | 0.00 *** nbdead (%): 3.61 | 0.00 | -nan *** AGB (t/ha): 35.00 GPP (MgC/ha/yr) 41.58 NPP 19.27 litterfall (Mg/ha/yr) 6.21
80 Trees (1/ha): 7503.00 | 2.00 | 0.00 *** nbdead (%): 2.88 | 0.00 | -nan *** AGB (t/ha): 35.00 GPP (MgC/ha/yr) 44.15 NPP 20.48 litterfall (Mg/ha/yr) 6.23
81 Trees (1/ha): 7496.00 | 3.00 | 0.00 *** nbdead (%): 2.47 | 0.00 | -nan *** AGB (t/ha): 36.00 GPP (MgC/ha/yr) 44.74 NPP 20.38 litterfall (Mg/ha/yr) 6.27
82 Trees (1/ha): 7430.00 | 6.00 | 0.00 *** nbdead (%): 2.65 | 0.00 | -nan *** AGB (t/ha): 36.00 GPP (MgC/ha/yr) 42.92 NPP 19.27 litterfall (Mg/ha/yr) 6.33
83 Trees (1/ha): 7376.00 | 9.00 | 0.00 *** nbdead (%): 2.39 | 0.00 | -nan *** AGB (t/ha): 37.00 GPP (MgC/ha/yr) 36.64 NPP 15.51 litterfall (Mg/ha/yr) 6.37
10000 Seedrain: 50000.00
Trees_mature: 8 Nbseedsadded: 47300 effective: 47340 nbspeciesaffected: 45
84 Trees (1/ha): 7064.00 | 10.00 | 0.00 *** nbdead (%): 6.09 | 0.00 | -nan *** AGB (t/ha): 37.00 GPP (MgC/ha/yr) 36.36 NPP 15.78 litterfall (Mg/ha/yr) 6.38
85 Trees (1/ha): 7289.00 | 13.00 | 0.00 *** nbdead (%): 1.77 | 0.00 | -nan *** AGB (t/ha): 37.00 GPP (MgC/ha/yr) 34.64 NPP 14.66 litterfall (Mg/ha/yr) 6.38
86 Trees (1/ha): 7256.00 | 17.00 | 0.00 *** nbdead (%): 3.09 | 0.00 | -nan *** AGB (t/ha): 37.00 GPP (MgC/ha/yr) 35.60 NPP 15.44 litterfall (Mg/ha/yr) 6.36
87 Trees (1/ha): 7310.00 | 18.00 | 0.00 *** nbdead (%): 2.50 | 0.00 | -nan *** AGB (t/ha): 38.00 GPP (MgC/ha/yr) 36.37 NPP 15.85 litterfall (Mg/ha/yr) 6.33
88 Trees (1/ha): 7301.00 | 21.00 | 0.00 *** nbdead (%): 2.66 | 0.00 | -nan *** AGB (t/ha): 38.00 GPP (MgC/ha/yr) 35.58 NPP 15.20 litterfall (Mg/ha/yr) 6.30
89 Trees (1/ha): 7227.00 | 23.00 | 0.00 *** nbdead (%): 3.64 | 0.00 | -nan *** AGB (t/ha): 38.00 GPP (MgC/ha/yr) 36.73 NPP 16.23 litterfall (Mg/ha/yr) 6.27
90 Trees (1/ha): 7227.00 | 27.00 | 0.00 *** nbdead (%): 3.33 | 0.00 | -nan *** AGB (t/ha): 39.00 GPP (MgC/ha/yr) 38.39 NPP 17.23 litterfall (Mg/ha/yr) 6.25
91 Trees (1/ha): 7189.00 | 32.00 | 0.00 *** nbdead (%): 3.95 | 0.00 | -nan *** AGB (t/ha): 39.00 GPP (MgC/ha/yr) 41.42 NPP 18.92 litterfall (Mg/ha/yr) 6.25
92 Trees (1/ha): 7175.00 | 35.00 | 0.00 *** nbdead (%): 3.44 | 0.00 | -nan *** AGB (t/ha): 40.00 GPP (MgC/ha/yr) 44.06 NPP 20.17 litterfall (Mg/ha/yr) 6.27
93 Trees (1/ha): 7183.00 | 38.00 | 0.00 *** nbdead (%): 2.60 | 0.00 | -nan *** AGB (t/ha): 41.00 GPP (MgC/ha/yr) 44.62 NPP 20.06 litterfall (Mg/ha/yr) 6.30
94 Trees (1/ha): 7159.00 | 42.00 | 0.00 *** nbdead (%): 2.18 | 0.00 | -nan *** AGB (t/ha): 41.00 GPP (MgC/ha/yr) 42.80 NPP 18.96 litterfall (Mg/ha/yr) 6.35
95 Trees (1/ha): 7087.00 | 44.00 | 0.00 *** nbdead (%): 2.50 | 0.00 | -nan *** AGB (t/ha): 41.00 GPP (MgC/ha/yr) 36.54 NPP 15.23 litterfall (Mg/ha/yr) 6.40
10000 Seedrain: 50000.00
Trees_mature: 22 Nbseedsadded: 47399 effective: 47499 nbspeciesaffected: 45
96 Trees (1/ha): 6851.00 | 47.00 | 0.00 *** nbdead (%): 5.65 | 0.00 | -nan *** AGB (t/ha): 42.00 GPP (MgC/ha/yr) 36.31 NPP 15.53 litterfall (Mg/ha/yr) 6.41
97 Trees (1/ha): 7029.00 | 48.00 | 0.00 *** nbdead (%): 2.13 | 0.00 | -nan *** AGB (t/ha): 42.00 GPP (MgC/ha/yr) 34.61 NPP 14.42 litterfall (Mg/ha/yr) 6.41
98 Trees (1/ha): 7015.00 | 51.00 | 0.00 *** nbdead (%): 3.08 | 0.00 | -nan *** AGB (t/ha): 42.00 GPP (MgC/ha/yr) 35.64 NPP 15.24 litterfall (Mg/ha/yr) 6.39
99 Trees (1/ha): 7050.00 | 53.00 | 0.00 *** nbdead (%): 2.72 | 0.00 | -nan *** AGB (t/ha): 43.00 GPP (MgC/ha/yr) 36.42 NPP 15.66 litterfall (Mg/ha/yr) 6.36
100 Trees (1/ha): 7062.00 | 55.00 | 0.00 *** nbdead (%): 2.73 | 0.00 | -nan *** AGB (t/ha): 43.00 GPP (MgC/ha/yr) 35.68 NPP 15.04 litterfall (Mg/ha/yr) 6.33
101 Trees (1/ha): 7027.00 | 60.00 | 0.00 *** nbdead (%): 3.32 | 0.00 | -nan *** AGB (t/ha): 43.00 GPP (MgC/ha/yr) 36.89 NPP 16.10 litterfall (Mg/ha/yr) 6.30
102 Trees (1/ha): 6993.00 | 63.00 | 0.00 *** nbdead (%): 3.70 | 0.00 | -nan *** AGB (t/ha): 44.00 GPP (MgC/ha/yr) 38.59 NPP 17.13 litterfall (Mg/ha/yr) 6.28
103 Trees (1/ha): 6978.00 | 66.00 | 0.00 *** nbdead (%): 3.60 | 0.00 | -nan *** AGB (t/ha): 44.00 GPP (MgC/ha/yr) 41.65 NPP 18.84 litterfall (Mg/ha/yr) 6.28
104 Trees (1/ha): 6944.00 | 69.00 | 0.00 *** nbdead (%): 3.49 | 0.00 | -nan *** AGB (t/ha): 45.00 GPP (MgC/ha/yr) 44.26 NPP 20.06 litterfall (Mg/ha/yr) 6.29
105 Trees (1/ha): 6980.00 | 74.00 | 0.00 *** nbdead (%): 2.58 | 0.00 | -nan *** AGB (t/ha): 45.00 GPP (MgC/ha/yr) 44.85 NPP 19.96 litterfall (Mg/ha/yr) 6.33
106 Trees (1/ha): 6953.00 | 76.00 | 0.00 *** nbdead (%): 2.42 | 0.00 | -nan *** AGB (t/ha): 46.00 GPP (MgC/ha/yr) 42.98 NPP 18.85 litterfall (Mg/ha/yr) 6.37
107 Trees (1/ha): 6897.00 | 77.00 | 0.00 *** nbdead (%): 2.64 | 0.00 | -nan *** AGB (t/ha): 46.00 GPP (MgC/ha/yr) 36.67 NPP 15.11 litterfall (Mg/ha/yr) 6.41
10000 Seedrain: 50000.00
Trees_mature: 39 Nbseedsadded: 47315 effective: 47489 nbspeciesaffected: 45
108 Trees (1/ha): 6694.00 | 78.00 | 0.00 *** nbdead (%): 5.14 | 0.00 | -nan *** AGB (t/ha): 46.00 GPP (MgC/ha/yr) 36.48 NPP 15.44 litterfall (Mg/ha/yr) 6.42
109 Trees (1/ha): 6862.00 | 78.00 | 0.00 *** nbdead (%): 2.16 | 0.00 | -nan *** AGB (t/ha): 47.00 GPP (MgC/ha/yr) 34.77 NPP 14.33 litterfall (Mg/ha/yr) 6.41
110 Trees (1/ha): 6837.00 | 79.00 | 0.00 *** nbdead (%): 3.17 | 0.00 | -nan *** AGB (t/ha): 47.00 GPP (MgC/ha/yr) 35.81 NPP 15.15 litterfall (Mg/ha/yr) 6.40
111 Trees (1/ha): 6887.00 | 81.00 | 0.00 *** nbdead (%): 2.76 | 0.00 | -nan *** AGB (t/ha): 47.00 GPP (MgC/ha/yr) 36.59 NPP 15.56 litterfall (Mg/ha/yr) 6.37
112 Trees (1/ha): 6892.00 | 81.00 | 0.00 *** nbdead (%): 2.87 | 0.00 | -nan *** AGB (t/ha): 48.00 GPP (MgC/ha/yr) 35.81 NPP 14.91 litterfall (Mg/ha/yr) 6.34
113 Trees (1/ha): 6837.00 | 84.00 | 0.00 *** nbdead (%): 3.54 | 0.00 | -nan *** AGB (t/ha): 48.00 GPP (MgC/ha/yr) 37.07 NPP 16.02 litterfall (Mg/ha/yr) 6.32
114 Trees (1/ha): 6842.00 | 84.00 | 0.00 *** nbdead (%): 3.48 | 0.00 | -nan *** AGB (t/ha): 48.00 GPP (MgC/ha/yr) 38.77 NPP 17.04 litterfall (Mg/ha/yr) 6.30
115 Trees (1/ha): 6792.00 | 85.00 | 0.00 *** nbdead (%): 4.24 | 0.00 | -nan *** AGB (t/ha): 49.00 GPP (MgC/ha/yr) 41.85 NPP 18.76 litterfall (Mg/ha/yr) 6.30
ABC: Conservation of Traits
ABC: Ground data
ABC: CHM simulation
ABC: Transmittance simulation
ABC: Species outputs
116 Trees (1/ha): 6826.00 | 87.00 | 0.00 *** nbdead (%): 3.37 | 0.00 | -nan *** AGB (t/ha): 49.00 GPP (MgC/ha/yr) 44.49 NPP 19.99 litterfall (Mg/ha/yr) 6.32
117 Trees (1/ha): 6858.00 | 94.00 | 0.00 *** nbdead (%): 2.57 | 0.00 | -nan *** AGB (t/ha): 50.00 GPP (MgC/ha/yr) 45.04 NPP 19.85 litterfall (Mg/ha/yr) 6.35
118 Trees (1/ha): 6839.00 | 100.00 | 0.00 *** nbdead (%): 2.27 | 0.00 | -nan *** AGB (t/ha): 51.00 GPP (MgC/ha/yr) 43.18 NPP 18.75 litterfall (Mg/ha/yr) 6.40
119 Trees (1/ha): 6784.00 | 102.00 | 0.00 *** nbdead (%): 2.28 | 0.00 | -nan *** AGB (t/ha): 51.00 GPP (MgC/ha/yr) 36.77 NPP 14.97 litterfall (Mg/ha/yr) 6.44
10000 Seedrain: 50000.00
Trees_mature: 50 Nbseedsadded: 47341 effective: 47558 nbspeciesaffected: 45
120 Trees (1/ha): 6555.00 | 105.00 | 0.00 *** nbdead (%): 5.71 | 0.00 | -nan *** AGB (t/ha): 51.00 GPP (MgC/ha/yr) 36.59 NPP 15.31 litterfall (Mg/ha/yr) 6.44
121 Trees (1/ha): 6716.00 | 109.00 | 0.00 *** nbdead (%): 2.50 | 0.00 | -nan *** AGB (t/ha): 51.00 GPP (MgC/ha/yr) 34.82 NPP 14.16 litterfall (Mg/ha/yr) 6.44
122 Trees (1/ha): 6703.00 | 112.00 | 0.00 *** nbdead (%): 3.19 | 0.00 | -nan *** AGB (t/ha): 52.00 GPP (MgC/ha/yr) 35.89 NPP 15.01 litterfall (Mg/ha/yr) 6.42
123 Trees (1/ha): 6722.00 | 120.00 | 0.00 *** nbdead (%): 3.05 | 0.00 | -nan *** AGB (t/ha): 52.00 GPP (MgC/ha/yr) 36.70 NPP 15.44 litterfall (Mg/ha/yr) 6.39
124 Trees (1/ha): 6758.00 | 126.00 | 0.00 *** nbdead (%): 2.77 | 0.00 | -nan *** AGB (t/ha): 52.00 GPP (MgC/ha/yr) 35.97 NPP 14.81 litterfall (Mg/ha/yr) 6.37
125 Trees (1/ha): 6696.00 | 127.00 | 0.00 *** nbdead (%): 3.81 | 0.00 | -nan *** AGB (t/ha): 53.00 GPP (MgC/ha/yr) 37.25 NPP 15.93 litterfall (Mg/ha/yr) 6.35
126 Trees (1/ha): 6703.00 | 131.00 | 0.00 *** nbdead (%): 3.58 | 0.00 | -nan *** AGB (t/ha): 53.00 GPP (MgC/ha/yr) 38.99 NPP 16.97 litterfall (Mg/ha/yr) 6.34
127 Trees (1/ha): 6664.00 | 134.00 | 0.00 *** nbdead (%): 4.08 | 0.75 | -nan *** AGB (t/ha): 53.00 GPP (MgC/ha/yr) 42.03 NPP 18.67 litterfall (Mg/ha/yr) 6.33
128 Trees (1/ha): 6652.00 | 143.00 | 0.00 *** nbdead (%): 3.56 | 0.00 | -nan *** AGB (t/ha): 54.00 GPP (MgC/ha/yr) 44.67 NPP 19.90 litterfall (Mg/ha/yr) 6.34
129 Trees (1/ha): 6676.00 | 147.00 | 0.00 *** nbdead (%): 2.67 | 0.00 | -nan *** AGB (t/ha): 55.00 GPP (MgC/ha/yr) 45.21 NPP 19.75 litterfall (Mg/ha/yr) 6.38
130 Trees (1/ha): 6650.00 | 155.00 | 0.00 *** nbdead (%): 2.50 | 0.00 | -nan *** AGB (t/ha): 55.00 GPP (MgC/ha/yr) 43.25 NPP 18.61 litterfall (Mg/ha/yr) 6.41
131 Trees (1/ha): 6615.00 | 164.00 | 0.00 *** nbdead (%): 2.39 | 0.00 | -nan *** AGB (t/ha): 55.00 GPP (MgC/ha/yr) 36.86 NPP 14.85 litterfall (Mg/ha/yr) 6.45
10000 Seedrain: 50000.00
Trees_mature: 60 Nbseedsadded: 47368 effective: 47617 nbspeciesaffected: 45
132 Trees (1/ha): 6407.00 | 171.00 | 0.00 *** nbdead (%): 5.37 | 0.00 | -nan *** AGB (t/ha): 56.00 GPP (MgC/ha/yr) 36.68 NPP 15.19 litterfall (Mg/ha/yr) 6.46
133 Trees (1/ha): 6543.00 | 175.00 | 0.00 *** nbdead (%): 2.49 | 0.00 | -nan *** AGB (t/ha): 56.00 GPP (MgC/ha/yr) 34.94 NPP 14.06 litterfall (Mg/ha/yr) 6.46
134 Trees (1/ha): 6555.00 | 178.00 | 0.00 *** nbdead (%): 3.02 | 0.00 | -nan *** AGB (t/ha): 56.00 GPP (MgC/ha/yr) 36.02 NPP 14.92 litterfall (Mg/ha/yr) 6.43
135 Trees (1/ha): 6589.00 | 184.00 | 0.00 *** nbdead (%): 2.60 | 0.00 | -nan *** AGB (t/ha): 56.00 GPP (MgC/ha/yr) 36.83 NPP 15.34 litterfall (Mg/ha/yr) 6.41
136 Trees (1/ha): 6591.00 | 189.00 | 0.00 *** nbdead (%): 2.82 | 0.53 | -nan *** AGB (t/ha): 57.00 GPP (MgC/ha/yr) 35.99 NPP 14.66 litterfall (Mg/ha/yr) 6.38
137 Trees (1/ha): 6529.00 | 196.00 | 0.00 *** nbdead (%): 3.68 | 0.00 | -nan *** AGB (t/ha): 57.00 GPP (MgC/ha/yr) 37.27 NPP 15.79 litterfall (Mg/ha/yr) 6.35
138 Trees (1/ha): 6527.00 | 204.00 | 0.00 *** nbdead (%): 3.75 | 0.00 | -nan *** AGB (t/ha): 57.00 GPP (MgC/ha/yr) 39.03 NPP 16.85 litterfall (Mg/ha/yr) 6.34
139 Trees (1/ha): 6500.00 | 216.00 | 0.00 *** nbdead (%): 4.28 | 0.00 | -nan *** AGB (t/ha): 58.00 GPP (MgC/ha/yr) 42.13 NPP 18.58 litterfall (Mg/ha/yr) 6.33
140 Trees (1/ha): 6498.00 | 226.00 | 0.00 *** nbdead (%): 3.62 | 0.00 | -nan *** AGB (t/ha): 58.00 GPP (MgC/ha/yr) 44.80 NPP 19.82 litterfall (Mg/ha/yr) 6.35
141 Trees (1/ha): 6539.00 | 238.00 | 0.00 *** nbdead (%): 2.65 | 0.42 | -nan *** AGB (t/ha): 59.00 GPP (MgC/ha/yr) 45.27 NPP 19.64 litterfall (Mg/ha/yr) 6.37
142 Trees (1/ha): 6506.00 | 241.00 | 0.00 *** nbdead (%): 2.43 | 0.41 | -nan *** AGB (t/ha): 59.00 GPP (MgC/ha/yr) 43.29 NPP 18.49 litterfall (Mg/ha/yr) 6.41
143 Trees (1/ha): 6445.00 | 247.00 | 0.00 *** nbdead (%): 2.61 | 0.40 | -nan *** AGB (t/ha): 60.00 GPP (MgC/ha/yr) 36.75 NPP 14.66 litterfall (Mg/ha/yr) 6.44
10000 Seedrain: 50000.00
Trees_mature: 67 Nbseedsadded: 47299 effective: 47581 nbspeciesaffected: 45
144 Trees (1/ha): 6275.00 | 251.00 | 0.00 *** nbdead (%): 5.16 | 0.40 | -nan *** AGB (t/ha): 60.00 GPP (MgC/ha/yr) 36.56 NPP 15.01 litterfall (Mg/ha/yr) 6.44
145 Trees (1/ha): 6404.00 | 259.00 | 0.00 *** nbdead (%): 2.40 | 0.00 | -nan *** AGB (t/ha): 60.00 GPP (MgC/ha/yr) 34.86 NPP 13.90 litterfall (Mg/ha/yr) 6.44
146 Trees (1/ha): 6408.00 | 269.00 | 0.00 *** nbdead (%): 2.86 | 0.37 | -nan *** AGB (t/ha): 60.00 GPP (MgC/ha/yr) 35.89 NPP 14.74 litterfall (Mg/ha/yr) 6.42
147 Trees (1/ha): 6419.00 | 277.00 | 0.00 *** nbdead (%): 2.99 | 0.36 | -nan *** AGB (t/ha): 61.00 GPP (MgC/ha/yr) 36.71 NPP 15.16 litterfall (Mg/ha/yr) 6.39
148 Trees (1/ha): 6463.00 | 284.00 | 0.00 *** nbdead (%): 2.57 | 0.00 | -nan *** AGB (t/ha): 61.00 GPP (MgC/ha/yr) 35.93 NPP 14.52 litterfall (Mg/ha/yr) 6.37
149 Trees (1/ha): 6398.00 | 293.00 | 0.00 *** nbdead (%): 3.64 | 0.00 | -nan *** AGB (t/ha): 61.00 GPP (MgC/ha/yr) 37.22 NPP 15.66 litterfall (Mg/ha/yr) 6.34
150 Trees (1/ha): 6375.00 | 301.00 | 0.00 *** nbdead (%): 4.13 | 0.00 | -nan *** AGB (t/ha): 62.00 GPP (MgC/ha/yr) 38.99 NPP 16.73 litterfall (Mg/ha/yr) 6.33
151 Trees (1/ha): 6371.00 | 314.00 | 0.00 *** nbdead (%): 4.05 | 0.00 | -nan *** AGB (t/ha): 62.00 GPP (MgC/ha/yr) 42.09 NPP 18.45 litterfall (Mg/ha/yr) 6.33
152 Trees (1/ha): 6372.00 | 325.00 | 0.00 *** nbdead (%): 3.66 | 0.00 | -nan *** AGB (t/ha): 63.00 GPP (MgC/ha/yr) 44.72 NPP 19.66 litterfall (Mg/ha/yr) 6.33
153 Trees (1/ha): 6418.00 | 334.00 | 0.00 *** nbdead (%): 2.38 | 0.00 | -nan *** AGB (t/ha): 63.00 GPP (MgC/ha/yr) 45.27 NPP 19.53 litterfall (Mg/ha/yr) 6.36
154 Trees (1/ha): 6393.00 | 349.00 | 0.00 *** nbdead (%): 2.32 | 0.00 | -nan *** AGB (t/ha): 64.00 GPP (MgC/ha/yr) 43.25 NPP 18.36 litterfall (Mg/ha/yr) 6.40
155 Trees (1/ha): 6333.00 | 355.00 | 0.00 *** nbdead (%): 2.48 | 0.00 | -nan *** AGB (t/ha): 64.00 GPP (MgC/ha/yr) 36.82 NPP 14.59 litterfall (Mg/ha/yr) 6.43
10000 Seedrain: 50000.00
Trees_mature: 75 Nbseedsadded: 47439 effective: 47753 nbspeciesaffected: 45
156 Trees (1/ha): 6146.00 | 366.00 | 0.00 *** nbdead (%): 5.35 | 0.00 | -nan *** AGB (t/ha): 64.00 GPP (MgC/ha/yr) 36.64 NPP 14.95 litterfall (Mg/ha/yr) 6.44
157 Trees (1/ha): 6251.00 | 370.00 | 0.00 *** nbdead (%): 2.69 | 0.27 | -nan *** AGB (t/ha): 64.00 GPP (MgC/ha/yr) 34.82 NPP 13.78 litterfall (Mg/ha/yr) 6.42
158 Trees (1/ha): 6224.00 | 382.00 | 0.00 *** nbdead (%): 3.74 | 0.00 | -nan *** AGB (t/ha): 64.00 GPP (MgC/ha/yr) 35.89 NPP 14.66 litterfall (Mg/ha/yr) 6.39
159 Trees (1/ha): 6326.00 | 388.00 | 0.00 *** nbdead (%): 2.67 | 0.00 | -nan *** AGB (t/ha): 65.00 GPP (MgC/ha/yr) 36.73 NPP 15.08 litterfall (Mg/ha/yr) 6.37
160 Trees (1/ha): 6317.00 | 402.00 | 0.00 *** nbdead (%): 3.15 | 0.00 | -nan *** AGB (t/ha): 65.00 GPP (MgC/ha/yr) 35.94 NPP 14.43 litterfall (Mg/ha/yr) 6.35
161 Trees (1/ha): 6277.00 | 413.00 | 0.00 *** nbdead (%): 3.79 | 0.00 | -nan *** AGB (t/ha): 65.00 GPP (MgC/ha/yr) 37.27 NPP 15.59 litterfall (Mg/ha/yr) 6.33
162 Trees (1/ha): 6286.00 | 423.00 | 0.00 *** nbdead (%): 3.72 | 0.00 | -nan *** AGB (t/ha): 66.00 GPP (MgC/ha/yr) 38.99 NPP 16.62 litterfall (Mg/ha/yr) 6.31
163 Trees (1/ha): 6244.00 | 434.00 | 0.00 *** nbdead (%): 4.37 | 0.00 | -nan *** AGB (t/ha): 66.00 GPP (MgC/ha/yr) 42.09 NPP 18.34 litterfall (Mg/ha/yr) 6.31
164 Trees (1/ha): 6231.00 | 442.00 | 0.00 *** nbdead (%): 3.85 | 0.00 | -nan *** AGB (t/ha): 67.00 GPP (MgC/ha/yr) 44.68 NPP 19.54 litterfall (Mg/ha/yr) 6.32
165 Trees (1/ha): 6262.00 | 455.00 | 0.00 *** nbdead (%): 2.92 | 0.22 | -nan *** AGB (t/ha): 67.00 GPP (MgC/ha/yr) 45.16 NPP 19.36 litterfall (Mg/ha/yr) 6.34
166 Trees (1/ha): 6270.00 | 466.00 | 0.00 *** nbdead (%): 2.30 | 0.00 | -nan *** AGB (t/ha): 68.00 GPP (MgC/ha/yr) 43.23 NPP 18.25 litterfall (Mg/ha/yr) 6.38
167 Trees (1/ha): 6209.00 | 477.00 | 0.00 *** nbdead (%): 2.63 | 0.00 | -nan *** AGB (t/ha): 68.00 GPP (MgC/ha/yr) 36.77 NPP 14.47 litterfall (Mg/ha/yr) 6.42
10000 Seedrain: 50000.00
Trees_mature: 87 Nbseedsadded: 47273 effective: 47649 nbspeciesaffected: 45
168 Trees (1/ha): 6034.00 | 482.00 | 0.00 *** nbdead (%): 5.39 | 0.41 | -nan *** AGB (t/ha): 68.00 GPP (MgC/ha/yr) 36.54 NPP 14.81 litterfall (Mg/ha/yr) 6.42
169 Trees (1/ha): 6178.00 | 487.00 | 0.00 *** nbdead (%): 2.49 | 0.00 | -nan *** AGB (t/ha): 69.00 GPP (MgC/ha/yr) 34.80 NPP 13.68 litterfall (Mg/ha/yr) 6.41
170 Trees (1/ha): 6173.00 | 496.00 | 0.00 *** nbdead (%): 3.18 | 0.00 | -nan *** AGB (t/ha): 69.00 GPP (MgC/ha/yr) 35.87 NPP 14.56 litterfall (Mg/ha/yr) 6.38
171 Trees (1/ha): 6219.00 | 508.00 | 0.00 *** nbdead (%): 2.86 | 0.00 | -nan *** AGB (t/ha): 69.00 GPP (MgC/ha/yr) 36.70 NPP 14.97 litterfall (Mg/ha/yr) 6.36
172 Trees (1/ha): 6246.00 | 514.00 | 0.00 *** nbdead (%): 2.67 | 0.00 | -nan *** AGB (t/ha): 69.00 GPP (MgC/ha/yr) 35.92 NPP 14.33 litterfall (Mg/ha/yr) 6.34
173 Trees (1/ha): 6179.00 | 524.00 | 0.00 *** nbdead (%): 3.88 | 0.19 | -nan *** AGB (t/ha): 70.00 GPP (MgC/ha/yr) 37.21 NPP 15.47 litterfall (Mg/ha/yr) 6.31
174 Trees (1/ha): 6166.00 | 528.00 | 0.00 *** nbdead (%): 4.12 | 0.19 | -nan *** AGB (t/ha): 70.00 GPP (MgC/ha/yr) 38.92 NPP 16.51 litterfall (Mg/ha/yr) 6.29
175 Trees (1/ha): 6150.00 | 540.00 | 0.00 *** nbdead (%): 4.42 | 0.00 | -nan *** AGB (t/ha): 71.00 GPP (MgC/ha/yr) 42.09 NPP 18.27 litterfall (Mg/ha/yr) 6.28
176 Trees (1/ha): 6153.00 | 552.00 | 0.00 *** nbdead (%): 3.72 | 0.00 | -nan *** AGB (t/ha): 71.00 GPP (MgC/ha/yr) 44.74 NPP 19.49 litterfall (Mg/ha/yr) 6.30
177 Trees (1/ha): 6178.00 | 561.00 | 0.00 *** nbdead (%): 2.87 | 0.00 | -nan *** AGB (t/ha): 72.00 GPP (MgC/ha/yr) 45.25 NPP 19.32 litterfall (Mg/ha/yr) 6.33
178 Trees (1/ha): 6183.00 | 567.00 | 0.00 *** nbdead (%): 2.22 | 0.18 | -nan *** AGB (t/ha): 72.00 GPP (MgC/ha/yr) 43.21 NPP 18.15 litterfall (Mg/ha/yr) 6.36
179 Trees (1/ha): 6149.00 | 571.00 | 0.00 *** nbdead (%): 2.24 | 0.00 | -nan *** AGB (t/ha): 72.00 GPP (MgC/ha/yr) 36.77 NPP 14.41 litterfall (Mg/ha/yr) 6.39
10000 Seedrain: 50000.00
Trees_mature: 112 Nbseedsadded: 47365 effective: 47842 nbspeciesaffected: 45
180 Trees (1/ha): 5963.00 | 575.00 | 0.00 *** nbdead (%): 5.22 | 0.17 | -nan *** AGB (t/ha): 73.00 GPP (MgC/ha/yr) 36.61 NPP 14.78 litterfall (Mg/ha/yr) 6.40
181 Trees (1/ha): 6112.00 | 578.00 | 0.00 *** nbdead (%): 2.21 | 0.00 | -nan *** AGB (t/ha): 73.00 GPP (MgC/ha/yr) 34.87 NPP 13.65 litterfall (Mg/ha/yr) 6.39
182 Trees (1/ha): 6107.00 | 580.00 | 0.00 *** nbdead (%): 3.06 | 0.17 | -nan *** AGB (t/ha): 73.00 GPP (MgC/ha/yr) 35.88 NPP 14.50 litterfall (Mg/ha/yr) 6.36
183 Trees (1/ha): 6148.00 | 586.00 | 0.00 *** nbdead (%): 2.75 | 0.00 | -nan *** AGB (t/ha): 73.00 GPP (MgC/ha/yr) 36.75 NPP 14.93 litterfall (Mg/ha/yr) 6.34
184 Trees (1/ha): 6154.00 | 593.00 | 0.00 *** nbdead (%): 3.10 | 0.00 | -nan *** AGB (t/ha): 74.00 GPP (MgC/ha/yr) 35.99 NPP 14.30 litterfall (Mg/ha/yr) 6.32
185 Trees (1/ha): 6091.00 | 602.00 | 0.00 *** nbdead (%): 4.04 | 0.00 | -nan *** AGB (t/ha): 74.00 GPP (MgC/ha/yr) 37.30 NPP 15.44 litterfall (Mg/ha/yr) 6.30
186 Trees (1/ha): 6112.00 | 611.00 | 0.00 *** nbdead (%): 3.73 | 0.00 | -nan *** AGB (t/ha): 74.00 GPP (MgC/ha/yr) 39.10 NPP 16.52 litterfall (Mg/ha/yr) 6.29
187 Trees (1/ha): 6062.00 | 617.00 | 0.00 *** nbdead (%): 4.47 | 0.00 | -nan *** AGB (t/ha): 75.00 GPP (MgC/ha/yr) 42.19 NPP 18.24 litterfall (Mg/ha/yr) 6.29
188 Trees (1/ha): 6046.00 | 626.00 | 0.00 *** nbdead (%): 4.22 | 0.32 | -nan *** AGB (t/ha): 75.00 GPP (MgC/ha/yr) 44.78 NPP 19.44 litterfall (Mg/ha/yr) 6.29
189 Trees (1/ha): 6075.00 | 634.00 | 0.00 *** nbdead (%): 3.11 | 0.00 | -nan *** AGB (t/ha): 76.00 GPP (MgC/ha/yr) 45.28 NPP 19.26 litterfall (Mg/ha/yr) 6.32
190 Trees (1/ha): 6081.00 | 638.00 | 0.00 *** nbdead (%): 2.53 | 0.00 | -nan *** AGB (t/ha): 76.00 GPP (MgC/ha/yr) 43.29 NPP 18.12 litterfall (Mg/ha/yr) 6.36
191 Trees (1/ha): 6047.00 | 644.00 | 0.00 *** nbdead (%): 2.51 | 0.00 | -nan *** AGB (t/ha): 77.00 GPP (MgC/ha/yr) 36.81 NPP 14.35 litterfall (Mg/ha/yr) 6.39
10000 Seedrain: 50000.00
Trees_mature: 135 Nbseedsadded: 47326 effective: 47867 nbspeciesaffected: 45
192 Trees (1/ha): 5864.00 | 646.00 | 0.00 *** nbdead (%): 5.46 | 0.00 | -nan *** AGB (t/ha): 77.00 GPP (MgC/ha/yr) 36.64 NPP 14.72 litterfall (Mg/ha/yr) 6.39
193 Trees (1/ha): 5981.00 | 648.00 | 0.00 *** nbdead (%): 2.46 | 0.15 | -nan *** AGB (t/ha): 77.00 GPP (MgC/ha/yr) 34.89 NPP 13.58 litterfall (Mg/ha/yr) 6.38
194 Trees (1/ha): 6003.00 | 652.00 | 0.00 *** nbdead (%): 3.03 | 0.31 | -nan *** AGB (t/ha): 77.00 GPP (MgC/ha/yr) 35.92 NPP 14.45 litterfall (Mg/ha/yr) 6.36
195 Trees (1/ha): 6014.00 | 653.00 | 0.00 *** nbdead (%): 3.31 | 0.00 | -nan *** AGB (t/ha): 78.00 GPP (MgC/ha/yr) 36.79 NPP 14.89 litterfall (Mg/ha/yr) 6.33
196 Trees (1/ha): 6039.00 | 660.00 | 0.00 *** nbdead (%): 2.86 | 0.00 | -nan *** AGB (t/ha): 78.00 GPP (MgC/ha/yr) 36.05 NPP 14.26 litterfall (Mg/ha/yr) 6.31
197 Trees (1/ha): 5980.00 | 662.00 | 0.00 *** nbdead (%): 4.23 | 0.00 | -nan *** AGB (t/ha): 78.00 GPP (MgC/ha/yr) 37.36 NPP 15.40 litterfall (Mg/ha/yr) 6.29
198 Trees (1/ha): 5979.00 | 667.00 | 0.00 *** nbdead (%): 4.13 | 0.00 | -nan *** AGB (t/ha): 79.00 GPP (MgC/ha/yr) 39.15 NPP 16.48 litterfall (Mg/ha/yr) 6.28
199 Trees (1/ha): 5954.00 | 676.00 | 0.00 *** nbdead (%): 4.40 | 0.00 | -nan *** AGB (t/ha): 79.00 GPP (MgC/ha/yr) 42.29 NPP 18.22 litterfall (Mg/ha/yr) 6.28
200 Trees (1/ha): 5956.00 | 681.00 | 0.00 *** nbdead (%): 3.96 | 0.00 | -nan *** AGB (t/ha): 80.00 GPP (MgC/ha/yr) 44.90 NPP 19.42 litterfall (Mg/ha/yr) 6.29
201 Trees (1/ha): 5996.00 | 686.00 | 0.00 *** nbdead (%): 2.59 | 0.00 | -nan *** AGB (t/ha): 80.00 GPP (MgC/ha/yr) 45.42 NPP 19.26 litterfall (Mg/ha/yr) 6.32
202 Trees (1/ha): 5986.00 | 689.00 | 0.00 *** nbdead (%): 2.44 | 0.00 | -nan *** AGB (t/ha): 81.00 GPP (MgC/ha/yr) 43.36 NPP 18.08 litterfall (Mg/ha/yr) 6.35
203 Trees (1/ha): 5937.00 | 694.00 | 0.00 *** nbdead (%): 2.73 | 0.00 | -nan *** AGB (t/ha): 81.00 GPP (MgC/ha/yr) 36.86 NPP 14.31 litterfall (Mg/ha/yr) 6.38
10000 Seedrain: 50000.00
Trees_mature: 157 Nbseedsadded: 47274 effective: 47957 nbspeciesaffected: 45
204 Trees (1/ha): 5739.00 | 698.00 | 0.00 *** nbdead (%): 5.94 | 0.14 | -nan *** AGB (t/ha): 81.00 GPP (MgC/ha/yr) 36.69 NPP 14.69 litterfall (Mg/ha/yr) 6.38
205 Trees (1/ha): 5925.00 | 701.00 | 0.00 *** nbdead (%): 2.28 | 0.00 | -nan *** AGB (t/ha): 81.00 GPP (MgC/ha/yr) 34.96 NPP 13.55 litterfall (Mg/ha/yr) 6.38
206 Trees (1/ha): 5934.00 | 702.00 | 0.00 *** nbdead (%): 3.17 | 0.28 | -nan *** AGB (t/ha): 81.00 GPP (MgC/ha/yr) 36.01 NPP 14.43 litterfall (Mg/ha/yr) 6.35
207 Trees (1/ha): 5965.00 | 704.00 | 0.00 *** nbdead (%): 3.24 | 0.00 | -nan *** AGB (t/ha): 82.00 GPP (MgC/ha/yr) 36.89 NPP 14.88 litterfall (Mg/ha/yr) 6.33
208 Trees (1/ha): 6005.00 | 707.00 | 0.00 *** nbdead (%): 3.08 | 0.14 | -nan *** AGB (t/ha): 82.00 GPP (MgC/ha/yr) 36.10 NPP 14.22 litterfall (Mg/ha/yr) 6.31
209 Trees (1/ha): 5949.00 | 710.00 | 0.00 *** nbdead (%): 4.14 | 0.00 | -nan *** AGB (t/ha): 82.00 GPP (MgC/ha/yr) 37.42 NPP 15.37 litterfall (Mg/ha/yr) 6.29
210 Trees (1/ha): 5948.00 | 716.00 | 0.00 *** nbdead (%): 4.03 | 0.00 | -nan *** AGB (t/ha): 83.00 GPP (MgC/ha/yr) 39.20 NPP 16.44 litterfall (Mg/ha/yr) 6.28
211 Trees (1/ha): 5916.00 | 723.00 | 0.00 *** nbdead (%): 4.41 | 0.00 | -nan *** AGB (t/ha): 83.00 GPP (MgC/ha/yr) 42.34 NPP 18.19 litterfall (Mg/ha/yr) 6.28
212 Trees (1/ha): 5919.00 | 726.00 | 0.00 *** nbdead (%): 3.77 | 0.00 | -nan *** AGB (t/ha): 84.00 GPP (MgC/ha/yr) 45.00 NPP 19.41 litterfall (Mg/ha/yr) 6.29
213 Trees (1/ha): 5946.00 | 732.00 | 0.00 *** nbdead (%): 2.66 | 0.00 | -nan *** AGB (t/ha): 84.00 GPP (MgC/ha/yr) 45.51 NPP 19.23 litterfall (Mg/ha/yr) 6.32
214 Trees (1/ha): 5908.00 | 733.00 | 0.00 *** nbdead (%): 2.67 | 0.00 | -nan *** AGB (t/ha): 85.00 GPP (MgC/ha/yr) 43.48 NPP 18.08 litterfall (Mg/ha/yr) 6.35
215 Trees (1/ha): 5888.00 | 736.00 | 0.00 *** nbdead (%): 2.24 | 0.00 | -nan *** AGB (t/ha): 85.00 GPP (MgC/ha/yr) 36.97 NPP 14.30 litterfall (Mg/ha/yr) 6.39
10000 Seedrain: 50000.00
Trees_mature: 181 Nbseedsadded: 47302 effective: 48043 nbspeciesaffected: 45
216 Trees (1/ha): 5708.00 | 737.00 | 0.00 *** nbdead (%): 5.41 | 0.00 | -nan *** AGB (t/ha): 85.00 GPP (MgC/ha/yr) 36.81 NPP 14.68 litterfall (Mg/ha/yr) 6.39
217 Trees (1/ha): 5862.00 | 742.00 | 0.00 *** nbdead (%): 2.47 | 0.00 | -nan *** AGB (t/ha): 85.00 GPP (MgC/ha/yr) 35.05 NPP 13.52 litterfall (Mg/ha/yr) 6.39
218 Trees (1/ha): 5878.00 | 743.00 | 0.00 *** nbdead (%): 3.03 | 0.00 | -nan *** AGB (t/ha): 86.00 GPP (MgC/ha/yr) 36.13 NPP 14.42 litterfall (Mg/ha/yr) 6.37
219 Trees (1/ha): 5858.00 | 744.00 | 0.00 *** nbdead (%): 3.60 | 0.13 | -nan *** AGB (t/ha): 86.00 GPP (MgC/ha/yr) 36.94 NPP 14.83 litterfall (Mg/ha/yr) 6.34
220 Trees (1/ha): 5894.00 | 748.00 | 0.00 *** nbdead (%): 3.26 | 0.00 | -nan *** AGB (t/ha): 86.00 GPP (MgC/ha/yr) 36.23 NPP 14.22 litterfall (Mg/ha/yr) 6.32
221 Trees (1/ha): 5870.00 | 750.00 | 0.00 *** nbdead (%): 3.99 | 0.00 | -nan *** AGB (t/ha): 87.00 GPP (MgC/ha/yr) 37.56 NPP 15.38 litterfall (Mg/ha/yr) 6.30
222 Trees (1/ha): 5870.00 | 752.00 | 0.00 *** nbdead (%): 4.24 | 0.13 | -nan *** AGB (t/ha): 87.00 GPP (MgC/ha/yr) 39.29 NPP 16.44 litterfall (Mg/ha/yr) 6.28
223 Trees (1/ha): 5850.00 | 755.00 | 0.00 *** nbdead (%): 4.27 | 0.00 | -nan *** AGB (t/ha): 87.00 GPP (MgC/ha/yr) 42.45 NPP 18.20 litterfall (Mg/ha/yr) 6.28
224 Trees (1/ha): 5845.00 | 764.00 | 0.00 *** nbdead (%): 4.09 | 0.00 | -nan *** AGB (t/ha): 88.00 GPP (MgC/ha/yr) 45.15 NPP 19.44 litterfall (Mg/ha/yr) 6.29
225 Trees (1/ha): 5905.00 | 765.00 | 0.00 *** nbdead (%): 2.56 | 0.00 | -nan *** AGB (t/ha): 88.00 GPP (MgC/ha/yr) 45.65 NPP 19.25 litterfall (Mg/ha/yr) 6.32
226 Trees (1/ha): 5890.00 | 767.00 | 0.00 *** nbdead (%): 2.43 | 0.00 | -nan *** AGB (t/ha): 89.00 GPP (MgC/ha/yr) 43.58 NPP 18.08 litterfall (Mg/ha/yr) 6.35
227 Trees (1/ha): 5848.00 | 768.00 | 0.00 *** nbdead (%): 2.46 | 0.00 | -nan *** AGB (t/ha): 89.00 GPP (MgC/ha/yr) 37.01 NPP 14.26 litterfall (Mg/ha/yr) 6.38
10000 Seedrain: 50000.00
Trees_mature: 205 Nbseedsadded: 47249 effective: 48118 nbspeciesaffected: 45
228 Trees (1/ha): 5657.00 | 771.00 | 0.00 *** nbdead (%): 5.62 | 0.13 | -nan *** AGB (t/ha): 89.00 GPP (MgC/ha/yr) 36.84 NPP 14.64 litterfall (Mg/ha/yr) 6.38
229 Trees (1/ha): 5792.00 | 773.00 | 0.00 *** nbdead (%): 2.37 | 0.00 | -nan *** AGB (t/ha): 89.00 GPP (MgC/ha/yr) 35.09 NPP 13.50 litterfall (Mg/ha/yr) 6.38
230 Trees (1/ha): 5793.00 | 777.00 | 0.00 *** nbdead (%): 3.23 | 0.00 | -nan *** AGB (t/ha): 90.00 GPP (MgC/ha/yr) 36.21 NPP 14.42 litterfall (Mg/ha/yr) 6.36
231 Trees (1/ha): 5825.00 | 779.00 | 0.00 *** nbdead (%): 3.23 | 0.00 | -nan *** AGB (t/ha): 90.00 GPP (MgC/ha/yr) 37.08 NPP 14.84 litterfall (Mg/ha/yr) 6.34
232 Trees (1/ha): 5814.00 | 782.00 | 0.00 *** nbdead (%): 3.56 | 0.00 | -nan *** AGB (t/ha): 90.00 GPP (MgC/ha/yr) 36.30 NPP 14.19 litterfall (Mg/ha/yr) 6.32
233 Trees (1/ha): 5780.00 | 785.00 | 0.00 *** nbdead (%): 4.19 | 0.00 | -nan *** AGB (t/ha): 91.00 GPP (MgC/ha/yr) 37.64 NPP 15.36 litterfall (Mg/ha/yr) 6.30
234 Trees (1/ha): 5745.00 | 788.00 | 0.00 *** nbdead (%): 4.84 | 0.00 | -nan *** AGB (t/ha): 91.00 GPP (MgC/ha/yr) 39.45 NPP 16.45 litterfall (Mg/ha/yr) 6.29
235 Trees (1/ha): 5726.00 | 792.00 | 0.00 *** nbdead (%): 4.80 | 0.00 | -nan *** AGB (t/ha): 92.00 GPP (MgC/ha/yr) 42.59 NPP 18.19 litterfall (Mg/ha/yr) 6.29
ABC: Conservation of Traits
ABC: Ground data
ABC: CHM simulation
ABC: Transmittance simulation
ABC: Species outputs
236 Trees (1/ha): 5734.00 | 794.00 | 0.00 *** nbdead (%): 4.19 | 0.00 | -nan *** AGB (t/ha): 92.00 GPP (MgC/ha/yr) 45.30 NPP 19.43 litterfall (Mg/ha/yr) 6.30
237 Trees (1/ha): 5811.00 | 803.00 | 0.00 *** nbdead (%): 2.62 | 0.00 | -nan *** AGB (t/ha): 93.00 GPP (MgC/ha/yr) 45.78 NPP 19.23 litterfall (Mg/ha/yr) 6.33
238 Trees (1/ha): 5792.00 | 807.00 | 0.00 *** nbdead (%): 2.64 | 0.00 | -nan *** AGB (t/ha): 93.00 GPP (MgC/ha/yr) 43.68 NPP 18.05 litterfall (Mg/ha/yr) 6.36
239 Trees (1/ha): 5753.00 | 807.00 | 0.00 *** nbdead (%): 2.47 | 0.12 | -nan *** AGB (t/ha): 93.00 GPP (MgC/ha/yr) 37.04 NPP 14.21 litterfall (Mg/ha/yr) 6.38
10000 Seedrain: 50000.00
Trees_mature: 238 Nbseedsadded: 47372 effective: 48378 nbspeciesaffected: 45
240 Trees (1/ha): 5563.00 | 814.00 | 0.00 *** nbdead (%): 5.84 | 0.00 | -nan *** AGB (t/ha): 94.00 GPP (MgC/ha/yr) 36.89 NPP 14.60 litterfall (Mg/ha/yr) 6.39
241 Trees (1/ha): 5663.00 | 813.00 | 0.00 *** nbdead (%): 3.02 | 0.12 | -nan *** AGB (t/ha): 94.00 GPP (MgC/ha/yr) 35.07 NPP 13.42 litterfall (Mg/ha/yr) 6.37
242 Trees (1/ha): 5636.00 | 815.00 | 0.00 *** nbdead (%): 3.85 | 0.00 | -nan *** AGB (t/ha): 94.00 GPP (MgC/ha/yr) 36.21 NPP 14.36 litterfall (Mg/ha/yr) 6.35
243 Trees (1/ha): 5710.00 | 816.00 | 0.00 *** nbdead (%): 3.17 | 0.00 | -nan *** AGB (t/ha): 94.00 GPP (MgC/ha/yr) 37.05 NPP 14.77 litterfall (Mg/ha/yr) 6.33
244 Trees (1/ha): 5722.00 | 816.00 | 0.00 *** nbdead (%): 3.44 | 0.25 | -nan *** AGB (t/ha): 94.00 GPP (MgC/ha/yr) 36.23 NPP 14.11 litterfall (Mg/ha/yr) 6.30
245 Trees (1/ha): 5684.00 | 817.00 | 0.00 *** nbdead (%): 4.15 | 0.12 | -nan *** AGB (t/ha): 95.00 GPP (MgC/ha/yr) 37.60 NPP 15.30 litterfall (Mg/ha/yr) 6.28
246 Trees (1/ha): 5703.00 | 823.00 | 0.00 *** nbdead (%): 4.02 | 0.00 | -nan *** AGB (t/ha): 95.00 GPP (MgC/ha/yr) 39.41 NPP 16.38 litterfall (Mg/ha/yr) 6.28
247 Trees (1/ha): 5683.00 | 822.00 | 0.00 *** nbdead (%): 4.35 | 0.24 | -nan *** AGB (t/ha): 96.00 GPP (MgC/ha/yr) 42.49 NPP 18.10 litterfall (Mg/ha/yr) 6.26
248 Trees (1/ha): 5699.00 | 825.00 | 0.00 *** nbdead (%): 3.79 | 0.00 | -nan *** AGB (t/ha): 96.00 GPP (MgC/ha/yr) 45.16 NPP 19.32 litterfall (Mg/ha/yr) 6.27
249 Trees (1/ha): 5729.00 | 825.00 | 0.00 *** nbdead (%): 2.95 | 0.24 | -nan *** AGB (t/ha): 96.00 GPP (MgC/ha/yr) 45.49 NPP 19.07 litterfall (Mg/ha/yr) 6.28
250 Trees (1/ha): 5693.00 | 828.00 | 0.00 *** nbdead (%): 3.30 | 0.00 | -nan *** AGB (t/ha): 97.00 GPP (MgC/ha/yr) 43.46 NPP 17.93 litterfall (Mg/ha/yr) 6.31
251 Trees (1/ha): 5696.00 | 829.00 | 0.00 *** nbdead (%): 2.67 | 0.12 | -nan *** AGB (t/ha): 97.00 GPP (MgC/ha/yr) 36.87 NPP 14.12 litterfall (Mg/ha/yr) 6.33
10000 Seedrain: 50000.00
Trees_mature: 254 Nbseedsadded: 47176 effective: 48249 nbspeciesaffected: 45
252 Trees (1/ha): 5498.00 | 829.00 | 0.00 *** nbdead (%): 6.33 | 0.00 | -nan *** AGB (t/ha): 97.00 GPP (MgC/ha/yr) 36.73 NPP 14.53 litterfall (Mg/ha/yr) 6.33
253 Trees (1/ha): 5645.00 | 830.00 | 0.00 *** nbdead (%): 2.98 | 0.00 | -nan *** AGB (t/ha): 97.00 GPP (MgC/ha/yr) 34.99 NPP 13.39 litterfall (Mg/ha/yr) 6.33
254 Trees (1/ha): 5671.00 | 831.00 | 0.00 *** nbdead (%): 3.44 | 0.12 | -nan *** AGB (t/ha): 97.00 GPP (MgC/ha/yr) 36.09 NPP 14.30 litterfall (Mg/ha/yr) 6.31
255 Trees (1/ha): 5691.00 | 831.00 | 0.00 *** nbdead (%): 3.65 | 0.00 | -nan *** AGB (t/ha): 98.00 GPP (MgC/ha/yr) 36.93 NPP 14.71 litterfall (Mg/ha/yr) 6.28
256 Trees (1/ha): 5718.00 | 829.00 | 0.00 *** nbdead (%): 3.36 | 0.24 | -nan *** AGB (t/ha): 98.00 GPP (MgC/ha/yr) 36.13 NPP 14.06 litterfall (Mg/ha/yr) 6.26
257 Trees (1/ha): 5660.00 | 830.00 | 0.00 *** nbdead (%): 4.68 | 0.12 | -nan *** AGB (t/ha): 98.00 GPP (MgC/ha/yr) 37.47 NPP 15.23 litterfall (Mg/ha/yr) 6.24
258 Trees (1/ha): 5658.00 | 830.00 | 0.00 *** nbdead (%): 4.90 | 0.24 | -nan *** AGB (t/ha): 99.00 GPP (MgC/ha/yr) 39.28 NPP 16.32 litterfall (Mg/ha/yr) 6.22
259 Trees (1/ha): 5657.00 | 831.00 | 0.00 *** nbdead (%): 4.83 | 0.12 | -nan *** AGB (t/ha): 99.00 GPP (MgC/ha/yr) 42.40 NPP 18.05 litterfall (Mg/ha/yr) 6.22
260 Trees (1/ha): 5660.00 | 833.00 | 0.00 *** nbdead (%): 4.40 | 0.12 | -nan *** AGB (t/ha): 100.00 GPP (MgC/ha/yr) 45.06 NPP 19.26 litterfall (Mg/ha/yr) 6.23
261 Trees (1/ha): 5709.00 | 836.00 | 0.00 *** nbdead (%): 2.98 | 0.00 | -nan *** AGB (t/ha): 100.00 GPP (MgC/ha/yr) 45.53 NPP 19.06 litterfall (Mg/ha/yr) 6.26
262 Trees (1/ha): 5704.00 | 840.00 | 0.00 *** nbdead (%): 2.51 | 0.24 | -nan *** AGB (t/ha): 100.00 GPP (MgC/ha/yr) 43.41 NPP 17.88 litterfall (Mg/ha/yr) 6.28
263 Trees (1/ha): 5657.00 | 839.00 | 0.00 *** nbdead (%): 2.76 | 0.24 | -nan *** AGB (t/ha): 100.00 GPP (MgC/ha/yr) 36.81 NPP 14.08 litterfall (Mg/ha/yr) 6.30
10000 Seedrain: 50000.00
Trees_mature: 264 Nbseedsadded: 47273 effective: 48384 nbspeciesaffected: 45
264 Trees (1/ha): 5481.00 | 840.00 | 0.00 *** nbdead (%): 5.89 | 0.00 | -nan *** AGB (t/ha): 101.00 GPP (MgC/ha/yr) 36.72 NPP 14.51 litterfall (Mg/ha/yr) 6.30
265 Trees (1/ha): 5684.00 | 841.00 | 0.00 *** nbdead (%): 2.30 | 0.12 | -nan *** AGB (t/ha): 101.00 GPP (MgC/ha/yr) 34.94 NPP 13.34 litterfall (Mg/ha/yr) 6.30
266 Trees (1/ha): 5682.00 | 841.00 | 0.00 *** nbdead (%): 3.48 | 0.00 | -nan *** AGB (t/ha): 101.00 GPP (MgC/ha/yr) 36.07 NPP 14.27 litterfall (Mg/ha/yr) 6.28
267 Trees (1/ha): 5681.00 | 843.00 | 0.00 *** nbdead (%): 3.94 | 0.00 | -nan *** AGB (t/ha): 101.00 GPP (MgC/ha/yr) 36.93 NPP 14.69 litterfall (Mg/ha/yr) 6.26
268 Trees (1/ha): 5725.00 | 844.00 | 0.00 *** nbdead (%): 3.27 | 0.00 | -nan *** AGB (t/ha): 102.00 GPP (MgC/ha/yr) 36.20 NPP 14.06 litterfall (Mg/ha/yr) 6.24
269 Trees (1/ha): 5669.00 | 844.00 | 0.00 *** nbdead (%): 4.07 | 0.24 | -nan *** AGB (t/ha): 102.00 GPP (MgC/ha/yr) 37.51 NPP 15.22 litterfall (Mg/ha/yr) 6.22
270 Trees (1/ha): 5655.00 | 844.00 | 0.00 *** nbdead (%): 4.54 | 0.00 | -nan *** AGB (t/ha): 102.00 GPP (MgC/ha/yr) 39.35 NPP 16.32 litterfall (Mg/ha/yr) 6.22
271 Trees (1/ha): 5639.00 | 844.00 | 0.00 *** nbdead (%): 4.82 | 0.00 | -nan *** AGB (t/ha): 103.00 GPP (MgC/ha/yr) 42.50 NPP 18.06 litterfall (Mg/ha/yr) 6.22
272 Trees (1/ha): 5589.00 | 845.00 | 0.00 *** nbdead (%): 5.12 | 0.00 | -nan *** AGB (t/ha): 103.00 GPP (MgC/ha/yr) 45.15 NPP 19.27 litterfall (Mg/ha/yr) 6.23
273 Trees (1/ha): 5660.00 | 846.00 | 0.00 *** nbdead (%): 3.14 | 0.12 | -nan *** AGB (t/ha): 104.00 GPP (MgC/ha/yr) 45.53 NPP 19.02 litterfall (Mg/ha/yr) 6.25
274 Trees (1/ha): 5680.00 | 846.00 | 0.00 *** nbdead (%): 2.24 | 0.12 | -nan *** AGB (t/ha): 104.00 GPP (MgC/ha/yr) 43.50 NPP 17.88 litterfall (Mg/ha/yr) 6.28
275 Trees (1/ha): 5651.00 | 847.00 | 0.00 *** nbdead (%): 2.35 | 0.12 | -nan *** AGB (t/ha): 105.00 GPP (MgC/ha/yr) 36.89 NPP 14.07 litterfall (Mg/ha/yr) 6.30
10000 Seedrain: 50000.00
Trees_mature: 275 Nbseedsadded: 47416 effective: 48541 nbspeciesaffected: 45
276 Trees (1/ha): 5468.00 | 849.00 | 0.00 *** nbdead (%): 5.69 | 0.12 | -nan *** AGB (t/ha): 105.00 GPP (MgC/ha/yr) 36.76 NPP 14.49 litterfall (Mg/ha/yr) 6.31
277 Trees (1/ha): 5604.00 | 852.00 | 0.00 *** nbdead (%): 2.52 | 0.00 | -nan *** AGB (t/ha): 105.00 GPP (MgC/ha/yr) 35.02 NPP 13.35 litterfall (Mg/ha/yr) 6.30
278 Trees (1/ha): 5575.00 | 852.00 | 0.00 *** nbdead (%): 3.71 | 0.00 | -nan *** AGB (t/ha): 105.00 GPP (MgC/ha/yr) 36.13 NPP 14.27 litterfall (Mg/ha/yr) 6.28
279 Trees (1/ha): 5625.00 | 853.00 | 0.00 *** nbdead (%): 3.50 | 0.00 | -nan *** AGB (t/ha): 106.00 GPP (MgC/ha/yr) 36.98 NPP 14.68 litterfall (Mg/ha/yr) 6.26
280 Trees (1/ha): 5673.00 | 852.00 | 0.00 *** nbdead (%): 3.00 | 0.12 | -nan *** AGB (t/ha): 106.00 GPP (MgC/ha/yr) 36.17 NPP 14.01 litterfall (Mg/ha/yr) 6.23
281 Trees (1/ha): 5619.00 | 854.00 | 0.00 *** nbdead (%): 4.31 | 0.00 | -nan *** AGB (t/ha): 106.00 GPP (MgC/ha/yr) 37.52 NPP 15.20 litterfall (Mg/ha/yr) 6.22
282 Trees (1/ha): 5596.00 | 855.00 | 0.00 *** nbdead (%): 4.77 | 0.00 | -nan *** AGB (t/ha): 107.00 GPP (MgC/ha/yr) 39.35 NPP 16.29 litterfall (Mg/ha/yr) 6.21
283 Trees (1/ha): 5626.00 | 855.00 | 0.00 *** nbdead (%): 4.30 | 0.00 | -nan *** AGB (t/ha): 107.00 GPP (MgC/ha/yr) 42.54 NPP 18.05 litterfall (Mg/ha/yr) 6.21
284 Trees (1/ha): 5624.00 | 860.00 | 0.00 *** nbdead (%): 3.98 | 0.00 | -nan *** AGB (t/ha): 108.00 GPP (MgC/ha/yr) 45.15 NPP 19.23 litterfall (Mg/ha/yr) 6.22
285 Trees (1/ha): 5639.00 | 859.00 | 0.00 *** nbdead (%): 3.44 | 0.12 | -nan *** AGB (t/ha): 108.00 GPP (MgC/ha/yr) 45.58 NPP 19.02 litterfall (Mg/ha/yr) 6.24
286 Trees (1/ha): 5618.00 | 859.00 | 0.00 *** nbdead (%): 2.88 | 0.00 | -nan *** AGB (t/ha): 109.00 GPP (MgC/ha/yr) 43.53 NPP 17.87 litterfall (Mg/ha/yr) 6.27
287 Trees (1/ha): 5602.00 | 861.00 | 0.00 *** nbdead (%): 2.77 | 0.00 | -nan *** AGB (t/ha): 109.00 GPP (MgC/ha/yr) 36.97 NPP 14.08 litterfall (Mg/ha/yr) 6.30
10000 Seedrain: 50000.00
Trees_mature: 280 Nbseedsadded: 47242 effective: 48392 nbspeciesaffected: 45
288 Trees (1/ha): 5419.00 | 861.00 | 0.00 *** nbdead (%): 5.94 | 0.00 | -nan *** AGB (t/ha): 109.00 GPP (MgC/ha/yr) 36.81 NPP 14.47 litterfall (Mg/ha/yr) 6.30
289 Trees (1/ha): 5564.00 | 861.00 | 0.00 *** nbdead (%): 2.61 | 0.00 | -nan *** AGB (t/ha): 109.00 GPP (MgC/ha/yr) 35.05 NPP 13.32 litterfall (Mg/ha/yr) 6.30
290 Trees (1/ha): 5551.00 | 860.00 | 0.00 *** nbdead (%): 3.86 | 0.12 | -nan *** AGB (t/ha): 109.00 GPP (MgC/ha/yr) 36.11 NPP 14.22 litterfall (Mg/ha/yr) 6.27
291 Trees (1/ha): 5564.00 | 857.00 | 0.00 *** nbdead (%): 4.10 | 0.35 | -nan *** AGB (t/ha): 110.00 GPP (MgC/ha/yr) 36.94 NPP 14.63 litterfall (Mg/ha/yr) 6.24
292 Trees (1/ha): 5600.00 | 856.00 | 0.00 *** nbdead (%): 3.80 | 0.23 | -nan *** AGB (t/ha): 110.00 GPP (MgC/ha/yr) 36.17 NPP 14.00 litterfall (Mg/ha/yr) 6.21
293 Trees (1/ha): 5561.00 | 855.00 | 0.00 *** nbdead (%): 4.66 | 0.12 | -nan *** AGB (t/ha): 110.00 GPP (MgC/ha/yr) 37.48 NPP 15.15 litterfall (Mg/ha/yr) 6.19
294 Trees (1/ha): 5555.00 | 856.00 | 0.00 *** nbdead (%): 5.13 | 0.00 | -nan *** AGB (t/ha): 110.00 GPP (MgC/ha/yr) 39.32 NPP 16.25 litterfall (Mg/ha/yr) 6.19
295 Trees (1/ha): 5570.00 | 858.00 | 0.00 *** nbdead (%): 5.04 | 0.00 | -nan *** AGB (t/ha): 111.00 GPP (MgC/ha/yr) 42.51 NPP 18.02 litterfall (Mg/ha/yr) 6.19
296 Trees (1/ha): 5597.00 | 858.00 | 0.00 *** nbdead (%): 4.13 | 0.12 | -nan *** AGB (t/ha): 111.00 GPP (MgC/ha/yr) 45.13 NPP 19.21 litterfall (Mg/ha/yr) 6.20
297 Trees (1/ha): 5630.00 | 861.00 | 0.00 *** nbdead (%): 2.91 | 0.00 | -nan *** AGB (t/ha): 112.00 GPP (MgC/ha/yr) 45.59 NPP 19.01 litterfall (Mg/ha/yr) 6.22
298 Trees (1/ha): 5594.00 | 863.00 | 0.00 *** nbdead (%): 3.02 | 0.12 | -nan *** AGB (t/ha): 112.00 GPP (MgC/ha/yr) 43.53 NPP 17.85 litterfall (Mg/ha/yr) 6.25
299 Trees (1/ha): 5579.00 | 863.00 | 0.00 *** nbdead (%): 2.80 | 0.12 | -nan *** AGB (t/ha): 112.00 GPP (MgC/ha/yr) 36.94 NPP 14.05 litterfall (Mg/ha/yr) 6.28
10000 Seedrain: 50000.00
Trees_mature: 286 Nbseedsadded: 47232 effective: 48433 nbspeciesaffected: 45
300 Trees (1/ha): 5347.00 | 860.00 | 0.00 *** nbdead (%): 6.81 | 0.35 | -nan *** AGB (t/ha): 112.00 GPP (MgC/ha/yr) 36.75 NPP 14.43 litterfall (Mg/ha/yr) 6.28
301 Trees (1/ha): 5480.00 | 860.00 | 0.00 *** nbdead (%): 3.27 | 0.00 | -nan *** AGB (t/ha): 112.00 GPP (MgC/ha/yr) 35.03 NPP 13.30 litterfall (Mg/ha/yr) 6.28
302 Trees (1/ha): 5514.00 | 858.00 | 0.00 *** nbdead (%): 3.83 | 0.23 | -nan *** AGB (t/ha): 112.00 GPP (MgC/ha/yr) 36.13 NPP 14.22 litterfall (Mg/ha/yr) 6.25
303 Trees (1/ha): 5548.00 | 860.00 | 0.00 *** nbdead (%): 3.82 | 0.00 | -nan *** AGB (t/ha): 113.00 GPP (MgC/ha/yr) 36.99 NPP 14.64 litterfall (Mg/ha/yr) 6.23
304 Trees (1/ha): 5571.00 | 860.00 | 0.00 *** nbdead (%): 3.72 | 0.00 | -nan *** AGB (t/ha): 113.00 GPP (MgC/ha/yr) 36.24 NPP 14.00 litterfall (Mg/ha/yr) 6.22
305 Trees (1/ha): 5538.00 | 861.00 | 0.00 *** nbdead (%): 4.59 | 0.00 | -nan *** AGB (t/ha): 113.00 GPP (MgC/ha/yr) 37.60 NPP 15.17 litterfall (Mg/ha/yr) 6.20
306 Trees (1/ha): 5505.00 | 863.00 | 0.00 *** nbdead (%): 5.18 | 0.12 | -nan *** AGB (t/ha): 114.00 GPP (MgC/ha/yr) 39.37 NPP 16.24 litterfall (Mg/ha/yr) 6.19
307 Trees (1/ha): 5504.00 | 862.00 | 0.00 *** nbdead (%): 5.18 | 0.23 | -nan *** AGB (t/ha): 114.00 GPP (MgC/ha/yr) 42.48 NPP 17.97 litterfall (Mg/ha/yr) 6.19
308 Trees (1/ha): 5504.00 | 862.00 | 0.00 *** nbdead (%): 4.72 | 0.00 | -nan *** AGB (t/ha): 115.00 GPP (MgC/ha/yr) 45.17 NPP 19.19 litterfall (Mg/ha/yr) 6.20
309 Trees (1/ha): 5566.00 | 863.00 | 0.00 *** nbdead (%): 3.22 | 0.12 | -nan *** AGB (t/ha): 115.00 GPP (MgC/ha/yr) 45.63 NPP 18.98 litterfall (Mg/ha/yr) 6.23
310 Trees (1/ha): 5565.00 | 864.00 | 0.00 *** nbdead (%): 2.86 | 0.12 | -nan *** AGB (t/ha): 116.00 GPP (MgC/ha/yr) 43.55 NPP 17.81 litterfall (Mg/ha/yr) 6.26
311 Trees (1/ha): 5556.00 | 864.00 | 0.00 *** nbdead (%): 2.20 | 0.00 | -nan *** AGB (t/ha): 116.00 GPP (MgC/ha/yr) 36.97 NPP 14.02 litterfall (Mg/ha/yr) 6.29
10000 Seedrain: 50000.00
Trees_mature: 287 Nbseedsadded: 47333 effective: 48563 nbspeciesaffected: 45
312 Trees (1/ha): 5354.00 | 862.00 | 0.00 *** nbdead (%): 6.43 | 0.23 | -nan *** AGB (t/ha): 116.00 GPP (MgC/ha/yr) 36.74 NPP 14.39 litterfall (Mg/ha/yr) 6.28
313 Trees (1/ha): 5516.00 | 864.00 | 0.00 *** nbdead (%): 2.63 | 0.00 | -nan *** AGB (t/ha): 116.00 GPP (MgC/ha/yr) 35.04 NPP 13.27 litterfall (Mg/ha/yr) 6.27
314 Trees (1/ha): 5483.00 | 864.00 | 0.00 *** nbdead (%): 4.50 | 0.12 | -nan *** AGB (t/ha): 116.00 GPP (MgC/ha/yr) 36.11 NPP 14.18 litterfall (Mg/ha/yr) 6.25
315 Trees (1/ha): 5530.00 | 864.00 | 0.00 *** nbdead (%): 3.87 | 0.12 | -nan *** AGB (t/ha): 116.00 GPP (MgC/ha/yr) 36.97 NPP 14.60 litterfall (Mg/ha/yr) 6.22
316 Trees (1/ha): 5545.00 | 863.00 | 0.00 *** nbdead (%): 3.99 | 0.12 | -nan *** AGB (t/ha): 117.00 GPP (MgC/ha/yr) 36.13 NPP 13.94 litterfall (Mg/ha/yr) 6.19
317 Trees (1/ha): 5499.00 | 862.00 | 0.00 *** nbdead (%): 4.71 | 0.35 | -nan *** AGB (t/ha): 117.00 GPP (MgC/ha/yr) 37.50 NPP 15.12 litterfall (Mg/ha/yr) 6.17
318 Trees (1/ha): 5518.00 | 861.00 | 0.00 *** nbdead (%): 4.77 | 0.23 | -nan *** AGB (t/ha): 117.00 GPP (MgC/ha/yr) 39.29 NPP 16.20 litterfall (Mg/ha/yr) 6.16
319 Trees (1/ha): 5464.00 | 862.00 | 0.00 *** nbdead (%): 5.45 | 0.12 | -nan *** AGB (t/ha): 117.00 GPP (MgC/ha/yr) 42.44 NPP 17.94 litterfall (Mg/ha/yr) 6.15
320 Trees (1/ha): 5515.00 | 860.00 | 0.00 *** nbdead (%): 4.41 | 0.23 | -nan *** AGB (t/ha): 118.00 GPP (MgC/ha/yr) 45.13 NPP 19.16 litterfall (Mg/ha/yr) 6.17
321 Trees (1/ha): 5563.00 | 860.00 | 0.00 *** nbdead (%): 3.16 | 0.12 | -nan *** AGB (t/ha): 118.00 GPP (MgC/ha/yr) 45.57 NPP 18.95 litterfall (Mg/ha/yr) 6.19
322 Trees (1/ha): 5578.00 | 860.00 | 0.00 *** nbdead (%): 2.56 | 0.12 | -nan *** AGB (t/ha): 119.00 GPP (MgC/ha/yr) 43.50 NPP 17.79 litterfall (Mg/ha/yr) 6.22
323 Trees (1/ha): 5550.00 | 860.00 | 0.00 *** nbdead (%): 2.77 | 0.12 | -nan *** AGB (t/ha): 119.00 GPP (MgC/ha/yr) 36.89 NPP 13.99 litterfall (Mg/ha/yr) 6.24
10000 Seedrain: 50000.00
Trees_mature: 292 Nbseedsadded: 47343 effective: 48579 nbspeciesaffected: 45
324 Trees (1/ha): 5349.00 | 857.00 | 0.00 *** nbdead (%): 6.54 | 0.47 | -nan *** AGB (t/ha): 119.00 GPP (MgC/ha/yr) 36.69 NPP 14.38 litterfall (Mg/ha/yr) 6.24
325 Trees (1/ha): 5462.00 | 859.00 | 0.00 *** nbdead (%): 3.57 | 0.00 | -nan *** AGB (t/ha): 119.00 GPP (MgC/ha/yr) 34.97 NPP 13.25 litterfall (Mg/ha/yr) 6.23
326 Trees (1/ha): 5483.00 | 858.00 | 0.00 *** nbdead (%): 3.88 | 0.12 | -nan *** AGB (t/ha): 119.00 GPP (MgC/ha/yr) 36.08 NPP 14.18 litterfall (Mg/ha/yr) 6.21
327 Trees (1/ha): 5517.00 | 858.00 | 0.00 *** nbdead (%): 3.82 | 0.00 | -nan *** AGB (t/ha): 120.00 GPP (MgC/ha/yr) 36.94 NPP 14.59 litterfall (Mg/ha/yr) 6.19
328 Trees (1/ha): 5554.00 | 858.00 | 0.00 *** nbdead (%): 3.46 | 0.00 | -nan *** AGB (t/ha): 120.00 GPP (MgC/ha/yr) 36.20 NPP 13.97 litterfall (Mg/ha/yr) 6.17
329 Trees (1/ha): 5476.00 | 857.00 | 0.00 *** nbdead (%): 5.13 | 0.23 | -nan *** AGB (t/ha): 120.00 GPP (MgC/ha/yr) 37.55 NPP 15.14 litterfall (Mg/ha/yr) 6.16
330 Trees (1/ha): 5476.00 | 858.00 | 0.00 *** nbdead (%): 4.99 | 0.00 | -nan *** AGB (t/ha): 120.00 GPP (MgC/ha/yr) 39.38 NPP 16.23 litterfall (Mg/ha/yr) 6.15
331 Trees (1/ha): 5477.00 | 859.00 | 0.00 *** nbdead (%): 5.04 | 0.00 | -nan *** AGB (t/ha): 121.00 GPP (MgC/ha/yr) 42.55 NPP 17.98 litterfall (Mg/ha/yr) 6.16
332 Trees (1/ha): 5489.00 | 860.00 | 0.00 *** nbdead (%): 4.34 | 0.00 | -nan *** AGB (t/ha): 122.00 GPP (MgC/ha/yr) 45.24 NPP 19.19 litterfall (Mg/ha/yr) 6.17
333 Trees (1/ha): 5537.00 | 861.00 | 0.00 *** nbdead (%): 3.02 | 0.00 | -nan *** AGB (t/ha): 122.00 GPP (MgC/ha/yr) 45.72 NPP 18.99 litterfall (Mg/ha/yr) 6.20
334 Trees (1/ha): 5541.00 | 861.00 | 0.00 *** nbdead (%): 2.80 | 0.00 | -nan *** AGB (t/ha): 123.00 GPP (MgC/ha/yr) 43.60 NPP 17.80 litterfall (Mg/ha/yr) 6.23
335 Trees (1/ha): 5502.00 | 862.00 | 0.00 *** nbdead (%): 2.69 | 0.00 | -nan *** AGB (t/ha): 123.00 GPP (MgC/ha/yr) 37.02 NPP 14.01 litterfall (Mg/ha/yr) 6.26
10000 Seedrain: 50000.00
Trees_mature: 296 Nbseedsadded: 47377 effective: 48563 nbspeciesaffected: 45
336 Trees (1/ha): 5348.00 | 860.00 | 0.00 *** nbdead (%): 5.59 | 0.23 | -nan *** AGB (t/ha): 123.00 GPP (MgC/ha/yr) 36.85 NPP 14.41 litterfall (Mg/ha/yr) 6.26
337 Trees (1/ha): 5488.00 | 859.00 | 0.00 *** nbdead (%): 2.82 | 0.12 | -nan *** AGB (t/ha): 123.00 GPP (MgC/ha/yr) 35.06 NPP 13.25 litterfall (Mg/ha/yr) 6.25
338 Trees (1/ha): 5513.00 | 861.00 | 0.00 *** nbdead (%): 3.36 | 0.00 | -nan *** AGB (t/ha): 124.00 GPP (MgC/ha/yr) 36.16 NPP 14.17 litterfall (Mg/ha/yr) 6.23
339 Trees (1/ha): 5507.00 | 863.00 | 0.00 *** nbdead (%): 4.25 | 0.00 | -nan *** AGB (t/ha): 124.00 GPP (MgC/ha/yr) 37.04 NPP 14.60 litterfall (Mg/ha/yr) 6.20
340 Trees (1/ha): 5552.00 | 861.00 | 0.00 *** nbdead (%): 3.60 | 0.23 | -nan *** AGB (t/ha): 124.00 GPP (MgC/ha/yr) 36.30 NPP 13.97 litterfall (Mg/ha/yr) 6.19
341 Trees (1/ha): 5463.00 | 857.00 | 0.00 *** nbdead (%): 5.29 | 0.47 | -nan *** AGB (t/ha): 124.00 GPP (MgC/ha/yr) 37.59 NPP 15.12 litterfall (Mg/ha/yr) 6.16
342 Trees (1/ha): 5429.00 | 856.00 | 0.00 *** nbdead (%): 5.80 | 0.12 | -nan *** AGB (t/ha): 124.00 GPP (MgC/ha/yr) 39.37 NPP 16.20 litterfall (Mg/ha/yr) 6.14
343 Trees (1/ha): 5438.00 | 856.00 | 0.00 *** nbdead (%): 5.44 | 0.12 | -nan *** AGB (t/ha): 125.00 GPP (MgC/ha/yr) 42.59 NPP 17.98 litterfall (Mg/ha/yr) 6.15
344 Trees (1/ha): 5505.00 | 855.00 | 0.00 *** nbdead (%): 4.11 | 0.12 | -nan *** AGB (t/ha): 125.00 GPP (MgC/ha/yr) 45.23 NPP 19.18 litterfall (Mg/ha/yr) 6.16
345 Trees (1/ha): 5540.00 | 854.00 | 0.00 *** nbdead (%): 3.14 | 0.23 | -nan *** AGB (t/ha): 125.00 GPP (MgC/ha/yr) 45.61 NPP 18.94 litterfall (Mg/ha/yr) 6.17
346 Trees (1/ha): 5566.00 | 856.00 | 0.00 *** nbdead (%): 2.32 | 0.00 | -nan *** AGB (t/ha): 126.00 GPP (MgC/ha/yr) 43.58 NPP 17.81 litterfall (Mg/ha/yr) 6.20
347 Trees (1/ha): 5528.00 | 856.00 | 0.00 *** nbdead (%): 2.86 | 0.00 | -nan *** AGB (t/ha): 126.00 GPP (MgC/ha/yr) 36.98 NPP 14.00 litterfall (Mg/ha/yr) 6.23
10000 Seedrain: 50000.00
Trees_mature: 299 Nbseedsadded: 47279 effective: 48450 nbspeciesaffected: 45
348 Trees (1/ha): 5344.00 | 857.00 | 0.00 *** nbdead (%): 6.25 | 0.00 | -nan *** AGB (t/ha): 127.00 GPP (MgC/ha/yr) 36.82 NPP 14.39 litterfall (Mg/ha/yr) 6.24
349 Trees (1/ha): 5478.00 | 857.00 | 0.00 *** nbdead (%): 3.21 | 0.00 | -nan *** AGB (t/ha): 127.00 GPP (MgC/ha/yr) 35.06 NPP 13.24 litterfall (Mg/ha/yr) 6.23
350 Trees (1/ha): 5484.00 | 856.00 | 0.00 *** nbdead (%): 3.63 | 0.12 | -nan *** AGB (t/ha): 127.00 GPP (MgC/ha/yr) 36.16 NPP 14.16 litterfall (Mg/ha/yr) 6.21
351 Trees (1/ha): 5487.00 | 855.00 | 0.00 *** nbdead (%): 3.88 | 0.12 | -nan *** AGB (t/ha): 127.00 GPP (MgC/ha/yr) 37.02 NPP 14.57 litterfall (Mg/ha/yr) 6.19
352 Trees (1/ha): 5540.00 | 853.00 | 0.00 *** nbdead (%): 3.36 | 0.23 | -nan *** AGB (t/ha): 127.00 GPP (MgC/ha/yr) 36.21 NPP 13.91 litterfall (Mg/ha/yr) 6.16
353 Trees (1/ha): 5441.00 | 852.00 | 0.00 *** nbdead (%): 5.29 | 0.12 | -nan *** AGB (t/ha): 128.00 GPP (MgC/ha/yr) 37.59 NPP 15.11 litterfall (Mg/ha/yr) 6.14
354 Trees (1/ha): 5442.00 | 852.00 | 0.00 *** nbdead (%): 5.33 | 0.00 | -nan *** AGB (t/ha): 128.00 GPP (MgC/ha/yr) 39.42 NPP 16.20 litterfall (Mg/ha/yr) 6.14
355 Trees (1/ha): 5451.00 | 853.00 | 0.00 *** nbdead (%): 5.28 | 0.00 | -nan *** AGB (t/ha): 128.00 GPP (MgC/ha/yr) 42.60 NPP 17.95 litterfall (Mg/ha/yr) 6.14
ABC: Conservation of Traits
ABC: Ground data
ABC: CHM simulation
ABC: Transmittance simulation
ABC: Species outputs
356 Trees (1/ha): 5456.00 | 857.00 | 0.00 *** nbdead (%): 4.62 | 0.12 | -nan *** AGB (t/ha): 129.00 GPP (MgC/ha/yr) 45.21 NPP 19.13 litterfall (Mg/ha/yr) 6.15
357 Trees (1/ha): 5500.00 | 857.00 | 0.00 *** nbdead (%): 3.31 | 0.12 | -nan *** AGB (t/ha): 129.00 GPP (MgC/ha/yr) 45.65 NPP 18.92 litterfall (Mg/ha/yr) 6.17
358 Trees (1/ha): 5523.00 | 857.00 | 0.00 *** nbdead (%): 2.73 | 0.12 | -nan *** AGB (t/ha): 130.00 GPP (MgC/ha/yr) 43.57 NPP 17.76 litterfall (Mg/ha/yr) 6.21
359 Trees (1/ha): 5488.00 | 856.00 | 0.00 *** nbdead (%): 2.42 | 0.12 | -nan *** AGB (t/ha): 130.00 GPP (MgC/ha/yr) 36.90 NPP 13.94 litterfall (Mg/ha/yr) 6.22
10000 Seedrain: 50000.00
Trees_mature: 302 Nbseedsadded: 47326 effective: 48525 nbspeciesaffected: 45
360 Trees (1/ha): 5271.00 | 854.00 | 0.00 *** nbdead (%): 6.81 | 0.23 | -nan *** AGB (t/ha): 130.00 GPP (MgC/ha/yr) 36.77 NPP 14.36 litterfall (Mg/ha/yr) 6.22
361 Trees (1/ha): 5425.00 | 854.00 | 0.00 *** nbdead (%): 3.08 | 0.12 | -nan *** AGB (t/ha): 130.00 GPP (MgC/ha/yr) 35.03 NPP 13.21 litterfall (Mg/ha/yr) 6.22
362 Trees (1/ha): 5446.00 | 853.00 | 0.00 *** nbdead (%): 3.69 | 0.12 | -nan *** AGB (t/ha): 130.00 GPP (MgC/ha/yr) 36.14 NPP 14.13 litterfall (Mg/ha/yr) 6.20
363 Trees (1/ha): 5475.00 | 854.00 | 0.00 *** nbdead (%): 3.80 | 0.00 | -nan *** AGB (t/ha): 131.00 GPP (MgC/ha/yr) 37.01 NPP 14.55 litterfall (Mg/ha/yr) 6.18
364 Trees (1/ha): 5491.00 | 852.00 | 0.00 *** nbdead (%): 3.72 | 0.23 | -nan *** AGB (t/ha): 131.00 GPP (MgC/ha/yr) 36.18 NPP 13.88 litterfall (Mg/ha/yr) 6.16
365 Trees (1/ha): 5429.00 | 851.00 | 0.00 *** nbdead (%): 5.05 | 0.12 | -nan *** AGB (t/ha): 131.00 GPP (MgC/ha/yr) 37.50 NPP 15.05 litterfall (Mg/ha/yr) 6.14
366 Trees (1/ha): 5432.00 | 850.00 | 0.00 *** nbdead (%): 5.19 | 0.12 | -nan *** AGB (t/ha): 131.00 GPP (MgC/ha/yr) 39.35 NPP 16.16 litterfall (Mg/ha/yr) 6.13
367 Trees (1/ha): 5445.00 | 851.00 | 0.00 *** nbdead (%): 4.89 | 0.24 | -nan *** AGB (t/ha): 131.00 GPP (MgC/ha/yr) 42.46 NPP 17.88 litterfall (Mg/ha/yr) 6.13
368 Trees (1/ha): 5405.00 | 851.00 | 0.00 *** nbdead (%): 5.24 | 0.00 | -nan *** AGB (t/ha): 132.00 GPP (MgC/ha/yr) 45.14 NPP 19.10 litterfall (Mg/ha/yr) 6.14
369 Trees (1/ha): 5492.00 | 850.00 | 0.00 *** nbdead (%): 3.31 | 0.24 | -nan *** AGB (t/ha): 132.00 GPP (MgC/ha/yr) 45.46 NPP 18.83 litterfall (Mg/ha/yr) 6.15
370 Trees (1/ha): 5486.00 | 848.00 | 0.00 *** nbdead (%): 2.75 | 0.24 | -nan *** AGB (t/ha): 132.00 GPP (MgC/ha/yr) 43.29 NPP 17.65 litterfall (Mg/ha/yr) 6.17
371 Trees (1/ha): 5494.00 | 849.00 | 0.00 *** nbdead (%): 2.53 | 0.00 | -nan *** AGB (t/ha): 133.00 GPP (MgC/ha/yr) 36.77 NPP 13.89 litterfall (Mg/ha/yr) 6.20
10000 Seedrain: 50000.00
Trees_mature: 300 Nbseedsadded: 47276 effective: 48510 nbspeciesaffected: 45
372 Trees (1/ha): 5310.00 | 846.00 | 0.00 *** nbdead (%): 6.55 | 0.35 | -nan *** AGB (t/ha): 133.00 GPP (MgC/ha/yr) 36.64 NPP 14.30 litterfall (Mg/ha/yr) 6.21
373 Trees (1/ha): 5445.00 | 845.00 | 1.00 *** nbdead (%): 3.01 | 0.12 | 0.00 *** AGB (t/ha): 133.00 GPP (MgC/ha/yr) 34.85 NPP 13.14 litterfall (Mg/ha/yr) 6.20
374 Trees (1/ha): 5435.00 | 844.00 | 1.00 *** nbdead (%): 3.90 | 0.12 | 0.00 *** AGB (t/ha): 133.00 GPP (MgC/ha/yr) 35.98 NPP 14.08 litterfall (Mg/ha/yr) 6.18
375 Trees (1/ha): 5504.00 | 844.00 | 1.00 *** nbdead (%): 3.63 | 0.00 | 0.00 *** AGB (t/ha): 134.00 GPP (MgC/ha/yr) 36.86 NPP 14.49 litterfall (Mg/ha/yr) 6.16
376 Trees (1/ha): 5516.00 | 844.00 | 1.00 *** nbdead (%): 3.63 | 0.00 | 0.00 *** AGB (t/ha): 134.00 GPP (MgC/ha/yr) 36.13 NPP 13.87 litterfall (Mg/ha/yr) 6.15
377 Trees (1/ha): 5436.00 | 843.00 | 1.00 *** nbdead (%): 5.21 | 0.12 | 0.00 *** AGB (t/ha): 134.00 GPP (MgC/ha/yr) 37.47 NPP 15.03 litterfall (Mg/ha/yr) 6.13
378 Trees (1/ha): 5488.00 | 843.00 | 1.00 *** nbdead (%): 4.05 | 0.00 | 0.00 *** AGB (t/ha): 135.00 GPP (MgC/ha/yr) 39.29 NPP 16.11 litterfall (Mg/ha/yr) 6.13
379 Trees (1/ha): 5427.00 | 842.00 | 1.00 *** nbdead (%): 5.31 | 0.12 | 0.00 *** AGB (t/ha): 135.00 GPP (MgC/ha/yr) 42.47 NPP 17.87 litterfall (Mg/ha/yr) 6.13
380 Trees (1/ha): 5432.00 | 842.00 | 1.00 *** nbdead (%): 4.46 | 0.12 | 0.00 *** AGB (t/ha): 135.00 GPP (MgC/ha/yr) 45.06 NPP 19.05 litterfall (Mg/ha/yr) 6.13
381 Trees (1/ha): 5450.00 | 843.00 | 1.00 *** nbdead (%): 3.45 | 0.00 | 0.00 *** AGB (t/ha): 136.00 GPP (MgC/ha/yr) 45.54 NPP 18.85 litterfall (Mg/ha/yr) 6.16
382 Trees (1/ha): 5494.00 | 844.00 | 1.00 *** nbdead (%): 2.75 | 0.12 | 0.00 *** AGB (t/ha): 136.00 GPP (MgC/ha/yr) 43.48 NPP 17.71 litterfall (Mg/ha/yr) 6.19
383 Trees (1/ha): 5446.00 | 843.00 | 1.00 *** nbdead (%): 2.86 | 0.12 | 0.00 *** AGB (t/ha): 137.00 GPP (MgC/ha/yr) 36.89 NPP 13.91 litterfall (Mg/ha/yr) 6.22
10000 Seedrain: 50000.00
Trees_mature: 299 Nbseedsadded: 47215 effective: 48456 nbspeciesaffected: 45
384 Trees (1/ha): 5250.00 | 842.00 | 1.00 *** nbdead (%): 6.84 | 0.12 | 0.00 *** AGB (t/ha): 137.00 GPP (MgC/ha/yr) 36.74 NPP 14.31 litterfall (Mg/ha/yr) 6.22
385 Trees (1/ha): 5399.00 | 840.00 | 1.00 *** nbdead (%): 3.43 | 0.24 | 0.00 *** AGB (t/ha): 137.00 GPP (MgC/ha/yr) 34.94 NPP 13.15 litterfall (Mg/ha/yr) 6.21
386 Trees (1/ha): 5424.00 | 839.00 | 1.00 *** nbdead (%): 3.91 | 0.36 | 0.00 *** AGB (t/ha): 137.00 GPP (MgC/ha/yr) 36.03 NPP 14.08 litterfall (Mg/ha/yr) 6.18
387 Trees (1/ha): 5475.00 | 840.00 | 1.00 *** nbdead (%): 3.71 | 0.00 | 0.00 *** AGB (t/ha): 137.00 GPP (MgC/ha/yr) 36.93 NPP 14.50 litterfall (Mg/ha/yr) 6.16
388 Trees (1/ha): 5492.00 | 839.00 | 1.00 *** nbdead (%): 3.88 | 0.12 | 0.00 *** AGB (t/ha): 137.00 GPP (MgC/ha/yr) 36.18 NPP 13.88 litterfall (Mg/ha/yr) 6.14
389 Trees (1/ha): 5451.00 | 839.00 | 1.00 *** nbdead (%): 4.62 | 0.24 | 0.00 *** AGB (t/ha): 138.00 GPP (MgC/ha/yr) 37.54 NPP 15.04 litterfall (Mg/ha/yr) 6.13
390 Trees (1/ha): 5409.00 | 836.00 | 1.00 *** nbdead (%): 5.82 | 0.36 | 0.00 *** AGB (t/ha): 138.00 GPP (MgC/ha/yr) 39.25 NPP 16.08 litterfall (Mg/ha/yr) 6.11
391 Trees (1/ha): 5408.00 | 835.00 | 1.00 *** nbdead (%): 5.51 | 0.36 | 0.00 *** AGB (t/ha): 138.00 GPP (MgC/ha/yr) 42.46 NPP 17.87 litterfall (Mg/ha/yr) 6.11
392 Trees (1/ha): 5407.00 | 835.00 | 1.00 *** nbdead (%): 5.16 | 0.00 | 0.00 *** AGB (t/ha): 139.00 GPP (MgC/ha/yr) 45.14 NPP 19.08 litterfall (Mg/ha/yr) 6.13
393 Trees (1/ha): 5486.00 | 835.00 | 1.00 *** nbdead (%): 3.24 | 0.00 | 0.00 *** AGB (t/ha): 139.00 GPP (MgC/ha/yr) 45.64 NPP 18.89 litterfall (Mg/ha/yr) 6.16
394 Trees (1/ha): 5509.00 | 834.00 | 1.00 *** nbdead (%): 2.50 | 0.24 | 0.00 *** AGB (t/ha): 140.00 GPP (MgC/ha/yr) 43.56 NPP 17.73 litterfall (Mg/ha/yr) 6.19
395 Trees (1/ha): 5478.00 | 833.00 | 1.00 *** nbdead (%): 2.50 | 0.24 | 0.00 *** AGB (t/ha): 140.00 GPP (MgC/ha/yr) 36.95 NPP 13.93 litterfall (Mg/ha/yr) 6.21
10000 Seedrain: 50000.00
Trees_mature: 297 Nbseedsadded: 47310 effective: 48556 nbspeciesaffected: 45
396 Trees (1/ha): 5207.00 | 830.00 | 1.00 *** nbdead (%): 7.57 | 0.36 | 0.00 *** AGB (t/ha): 140.00 GPP (MgC/ha/yr) 36.77 NPP 14.33 litterfall (Mg/ha/yr) 6.21
397 Trees (1/ha): 5384.00 | 831.00 | 1.00 *** nbdead (%): 3.05 | 0.00 | 0.00 *** AGB (t/ha): 140.00 GPP (MgC/ha/yr) 35.03 NPP 13.18 litterfall (Mg/ha/yr) 6.21
398 Trees (1/ha): 5431.00 | 831.00 | 1.00 *** nbdead (%): 3.55 | 0.00 | 0.00 *** AGB (t/ha): 140.00 GPP (MgC/ha/yr) 36.15 NPP 14.11 litterfall (Mg/ha/yr) 6.19
399 Trees (1/ha): 5430.00 | 830.00 | 1.00 *** nbdead (%): 4.33 | 0.12 | 0.00 *** AGB (t/ha): 141.00 GPP (MgC/ha/yr) 36.99 NPP 14.51 litterfall (Mg/ha/yr) 6.17
400 Trees (1/ha): 5487.00 | 830.00 | 1.00 *** nbdead (%): 3.68 | 0.00 | 0.00 *** AGB (t/ha): 141.00 GPP (MgC/ha/yr) 36.24 NPP 13.87 litterfall (Mg/ha/yr) 6.15
401 Trees (1/ha): 5431.00 | 829.00 | 1.00 *** nbdead (%): 5.28 | 0.12 | 0.00 *** AGB (t/ha): 141.00 GPP (MgC/ha/yr) 37.59 NPP 15.04 litterfall (Mg/ha/yr) 6.14
402 Trees (1/ha): 5425.00 | 826.00 | 2.00 *** nbdead (%): 5.60 | 0.36 | 0.00 *** AGB (t/ha): 141.00 GPP (MgC/ha/yr) 39.33 NPP 16.08 litterfall (Mg/ha/yr) 6.12
403 Trees (1/ha): 5430.00 | 827.00 | 2.00 *** nbdead (%): 5.08 | 0.00 | 0.00 *** AGB (t/ha): 142.00 GPP (MgC/ha/yr) 42.52 NPP 17.85 litterfall (Mg/ha/yr) 6.12
404 Trees (1/ha): 5425.00 | 828.00 | 2.00 *** nbdead (%): 5.05 | 0.00 | 0.00 *** AGB (t/ha): 142.00 GPP (MgC/ha/yr) 45.16 NPP 19.04 litterfall (Mg/ha/yr) 6.14
405 Trees (1/ha): 5482.00 | 825.00 | 2.00 *** nbdead (%): 3.47 | 0.36 | 0.00 *** AGB (t/ha): 143.00 GPP (MgC/ha/yr) 45.62 NPP 18.84 litterfall (Mg/ha/yr) 6.16
406 Trees (1/ha): 5463.00 | 826.00 | 2.00 *** nbdead (%): 3.13 | 0.00 | 0.00 *** AGB (t/ha): 143.00 GPP (MgC/ha/yr) 43.56 NPP 17.70 litterfall (Mg/ha/yr) 6.19
407 Trees (1/ha): 5421.00 | 824.00 | 2.00 *** nbdead (%): 3.14 | 0.36 | 0.00 *** AGB (t/ha): 143.00 GPP (MgC/ha/yr) 36.93 NPP 13.90 litterfall (Mg/ha/yr) 6.21
10000 Seedrain: 50000.00
Trees_mature: 299 Nbseedsadded: 47219 effective: 48486 nbspeciesaffected: 45
408 Trees (1/ha): 5263.00 | 821.00 | 2.00 *** nbdead (%): 6.42 | 0.37 | 0.00 *** AGB (t/ha): 143.00 GPP (MgC/ha/yr) 36.71 NPP 14.27 litterfall (Mg/ha/yr) 6.20
409 Trees (1/ha): 5392.00 | 821.00 | 2.00 *** nbdead (%): 3.41 | 0.00 | 0.00 *** AGB (t/ha): 143.00 GPP (MgC/ha/yr) 34.98 NPP 13.14 litterfall (Mg/ha/yr) 6.20
410 Trees (1/ha): 5398.00 | 820.00 | 2.00 *** nbdead (%): 4.33 | 0.12 | 0.00 *** AGB (t/ha): 144.00 GPP (MgC/ha/yr) 36.05 NPP 14.05 litterfall (Mg/ha/yr) 6.18
411 Trees (1/ha): 5437.00 | 820.00 | 2.00 *** nbdead (%): 4.03 | 0.00 | 0.00 *** AGB (t/ha): 144.00 GPP (MgC/ha/yr) 36.93 NPP 14.47 litterfall (Mg/ha/yr) 6.16
412 Trees (1/ha): 5464.00 | 818.00 | 2.00 *** nbdead (%): 4.12 | 0.24 | 0.00 *** AGB (t/ha): 144.00 GPP (MgC/ha/yr) 36.18 NPP 13.84 litterfall (Mg/ha/yr) 6.13
413 Trees (1/ha): 5406.00 | 815.00 | 2.00 *** nbdead (%): 5.29 | 0.37 | 0.00 *** AGB (t/ha): 144.00 GPP (MgC/ha/yr) 37.54 NPP 15.00 litterfall (Mg/ha/yr) 6.12
414 Trees (1/ha): 5418.00 | 814.00 | 2.00 *** nbdead (%): 5.41 | 0.25 | 0.00 *** AGB (t/ha): 145.00 GPP (MgC/ha/yr) 39.30 NPP 16.06 litterfall (Mg/ha/yr) 6.11
415 Trees (1/ha): 5372.00 | 817.00 | 2.00 *** nbdead (%): 6.01 | 0.00 | 0.00 *** AGB (t/ha): 145.00 GPP (MgC/ha/yr) 42.48 NPP 17.83 litterfall (Mg/ha/yr) 6.11
416 Trees (1/ha): 5427.00 | 818.00 | 3.00 *** nbdead (%): 4.70 | 0.24 | 0.00 *** AGB (t/ha): 146.00 GPP (MgC/ha/yr) 45.15 NPP 19.03 litterfall (Mg/ha/yr) 6.12
417 Trees (1/ha): 5467.00 | 817.00 | 4.00 *** nbdead (%): 3.73 | 0.37 | 0.00 *** AGB (t/ha): 146.00 GPP (MgC/ha/yr) 45.46 NPP 18.75 litterfall (Mg/ha/yr) 6.13
418 Trees (1/ha): 5480.00 | 817.00 | 5.00 *** nbdead (%): 2.74 | 0.00 | 0.00 *** AGB (t/ha): 146.00 GPP (MgC/ha/yr) 43.44 NPP 17.64 litterfall (Mg/ha/yr) 6.16
419 Trees (1/ha): 5433.00 | 817.00 | 5.00 *** nbdead (%): 3.17 | 0.00 | 0.00 *** AGB (t/ha): 146.00 GPP (MgC/ha/yr) 36.85 NPP 13.85 litterfall (Mg/ha/yr) 6.19
10000 Seedrain: 50000.00
Trees_mature: 306 Nbseedsadded: 47338 effective: 48657 nbspeciesaffected: 45
420 Trees (1/ha): 5244.00 | 816.00 | 6.00 *** nbdead (%): 6.52 | 0.12 | 0.00 *** AGB (t/ha): 147.00 GPP (MgC/ha/yr) 36.71 NPP 14.26 litterfall (Mg/ha/yr) 6.19
421 Trees (1/ha): 5403.00 | 816.00 | 6.00 *** nbdead (%): 2.96 | 0.00 | 0.00 *** AGB (t/ha): 147.00 GPP (MgC/ha/yr) 34.95 NPP 13.11 litterfall (Mg/ha/yr) 6.19
422 Trees (1/ha): 5426.00 | 814.00 | 6.00 *** nbdead (%): 3.67 | 0.25 | 0.00 *** AGB (t/ha): 147.00 GPP (MgC/ha/yr) 36.03 NPP 14.03 litterfall (Mg/ha/yr) 6.16
423 Trees (1/ha): 5429.00 | 812.00 | 6.00 *** nbdead (%): 4.42 | 0.25 | 0.00 *** AGB (t/ha): 147.00 GPP (MgC/ha/yr) 36.88 NPP 14.43 litterfall (Mg/ha/yr) 6.14
424 Trees (1/ha): 5487.00 | 809.00 | 6.00 *** nbdead (%): 3.85 | 0.37 | 0.00 *** AGB (t/ha): 147.00 GPP (MgC/ha/yr) 36.14 NPP 13.81 litterfall (Mg/ha/yr) 6.12
425 Trees (1/ha): 5418.00 | 808.00 | 7.00 *** nbdead (%): 5.24 | 0.12 | 0.00 *** AGB (t/ha): 147.00 GPP (MgC/ha/yr) 37.50 NPP 14.98 litterfall (Mg/ha/yr) 6.10
426 Trees (1/ha): 5399.00 | 808.00 | 7.00 *** nbdead (%): 5.61 | 0.00 | 0.00 *** AGB (t/ha): 148.00 GPP (MgC/ha/yr) 39.32 NPP 16.06 litterfall (Mg/ha/yr) 6.10
427 Trees (1/ha): 5387.00 | 807.00 | 8.00 *** nbdead (%): 5.87 | 0.25 | 0.00 *** AGB (t/ha): 148.00 GPP (MgC/ha/yr) 42.48 NPP 17.81 litterfall (Mg/ha/yr) 6.10
428 Trees (1/ha): 5378.00 | 808.00 | 8.00 *** nbdead (%): 5.37 | 0.00 | 0.00 *** AGB (t/ha): 149.00 GPP (MgC/ha/yr) 45.13 NPP 19.00 litterfall (Mg/ha/yr) 6.11
429 Trees (1/ha): 5451.00 | 808.00 | 8.00 *** nbdead (%): 3.39 | 0.12 | 0.00 *** AGB (t/ha): 149.00 GPP (MgC/ha/yr) 45.48 NPP 18.73 litterfall (Mg/ha/yr) 6.13
430 Trees (1/ha): 5417.00 | 809.00 | 8.00 *** nbdead (%): 3.47 | 0.00 | 0.00 *** AGB (t/ha): 150.00 GPP (MgC/ha/yr) 43.41 NPP 17.59 litterfall (Mg/ha/yr) 6.16
431 Trees (1/ha): 5406.00 | 809.00 | 8.00 *** nbdead (%): 3.03 | 0.12 | 0.00 *** AGB (t/ha): 150.00 GPP (MgC/ha/yr) 36.86 NPP 13.83 litterfall (Mg/ha/yr) 6.18
10000 Seedrain: 50000.00
Trees_mature: 314 Nbseedsadded: 47383 effective: 48668 nbspeciesaffected: 45
432 Trees (1/ha): 5187.00 | 809.00 | 8.00 *** nbdead (%): 7.65 | 0.12 | 0.00 *** AGB (t/ha): 150.00 GPP (MgC/ha/yr) 36.72 NPP 14.24 litterfall (Mg/ha/yr) 6.19
433 Trees (1/ha): 5353.00 | 809.00 | 9.00 *** nbdead (%): 3.61 | 0.12 | 0.00 *** AGB (t/ha): 150.00 GPP (MgC/ha/yr) 34.98 NPP 13.10 litterfall (Mg/ha/yr) 6.18
434 Trees (1/ha): 5378.00 | 806.00 | 9.00 *** nbdead (%): 4.41 | 0.37 | 0.00 *** AGB (t/ha): 150.00 GPP (MgC/ha/yr) 36.09 NPP 14.03 litterfall (Mg/ha/yr) 6.16
435 Trees (1/ha): 5434.00 | 803.00 | 9.00 *** nbdead (%): 4.21 | 0.37 | 0.00 *** AGB (t/ha): 150.00 GPP (MgC/ha/yr) 36.94 NPP 14.44 litterfall (Mg/ha/yr) 6.14
436 Trees (1/ha): 5464.00 | 803.00 | 9.00 *** nbdead (%): 3.92 | 0.12 | 0.00 *** AGB (t/ha): 151.00 GPP (MgC/ha/yr) 36.19 NPP 13.80 litterfall (Mg/ha/yr) 6.12
437 Trees (1/ha): 5404.00 | 803.00 | 9.00 *** nbdead (%): 5.44 | 0.00 | 0.00 *** AGB (t/ha): 151.00 GPP (MgC/ha/yr) 37.55 NPP 14.96 litterfall (Mg/ha/yr) 6.11
438 Trees (1/ha): 5384.00 | 803.00 | 10.00 *** nbdead (%): 6.04 | 0.00 | 0.00 *** AGB (t/ha): 151.00 GPP (MgC/ha/yr) 39.35 NPP 16.03 litterfall (Mg/ha/yr) 6.11
439 Trees (1/ha): 5344.00 | 805.00 | 10.00 *** nbdead (%): 6.36 | 0.12 | 0.00 *** AGB (t/ha): 152.00 GPP (MgC/ha/yr) 42.45 NPP 17.76 litterfall (Mg/ha/yr) 6.10
440 Trees (1/ha): 5369.00 | 806.00 | 10.00 *** nbdead (%): 4.94 | 0.12 | 0.00 *** AGB (t/ha): 152.00 GPP (MgC/ha/yr) 45.05 NPP 18.94 litterfall (Mg/ha/yr) 6.10
441 Trees (1/ha): 5430.00 | 805.00 | 10.00 *** nbdead (%): 3.87 | 0.25 | 0.00 *** AGB (t/ha): 153.00 GPP (MgC/ha/yr) 45.52 NPP 18.73 litterfall (Mg/ha/yr) 6.13
442 Trees (1/ha): 5444.00 | 805.00 | 10.00 *** nbdead (%): 3.12 | 0.00 | 0.00 *** AGB (t/ha): 153.00 GPP (MgC/ha/yr) 43.44 NPP 17.59 litterfall (Mg/ha/yr) 6.16
443 Trees (1/ha): 5438.00 | 805.00 | 10.00 *** nbdead (%): 2.57 | 0.00 | 0.00 *** AGB (t/ha): 154.00 GPP (MgC/ha/yr) 36.87 NPP 13.82 litterfall (Mg/ha/yr) 6.18
10000 Seedrain: 50000.00
Trees_mature: 319 Nbseedsadded: 47363 effective: 48711 nbspeciesaffected: 45
444 Trees (1/ha): 5212.00 | 803.00 | 10.00 *** nbdead (%): 7.43 | 0.25 | 0.00 *** AGB (t/ha): 154.00 GPP (MgC/ha/yr) 36.73 NPP 14.22 litterfall (Mg/ha/yr) 6.19
445 Trees (1/ha): 5368.00 | 803.00 | 10.00 *** nbdead (%): 3.45 | 0.00 | 0.00 *** AGB (t/ha): 154.00 GPP (MgC/ha/yr) 34.99 NPP 13.08 litterfall (Mg/ha/yr) 6.18
446 Trees (1/ha): 5355.00 | 800.00 | 11.00 *** nbdead (%): 4.43 | 0.38 | 0.00 *** AGB (t/ha): 154.00 GPP (MgC/ha/yr) 35.98 NPP 13.96 litterfall (Mg/ha/yr) 6.15
447 Trees (1/ha): 5368.00 | 800.00 | 12.00 *** nbdead (%): 4.73 | 0.00 | 0.00 *** AGB (t/ha): 154.00 GPP (MgC/ha/yr) 36.89 NPP 14.39 litterfall (Mg/ha/yr) 6.13
448 Trees (1/ha): 5443.00 | 800.00 | 12.00 *** nbdead (%): 3.93 | 0.12 | 0.00 *** AGB (t/ha): 154.00 GPP (MgC/ha/yr) 36.17 NPP 13.77 litterfall (Mg/ha/yr) 6.11
449 Trees (1/ha): 5381.00 | 798.00 | 12.00 *** nbdead (%): 5.13 | 0.25 | 0.00 *** AGB (t/ha): 154.00 GPP (MgC/ha/yr) 37.51 NPP 14.93 litterfall (Mg/ha/yr) 6.10
450 Trees (1/ha): 5330.00 | 797.00 | 12.00 *** nbdead (%): 6.14 | 0.13 | 0.00 *** AGB (t/ha): 155.00 GPP (MgC/ha/yr) 39.23 NPP 15.97 litterfall (Mg/ha/yr) 6.08
451 Trees (1/ha): 5317.00 | 798.00 | 12.00 *** nbdead (%): 6.13 | 0.25 | 0.00 *** AGB (t/ha): 155.00 GPP (MgC/ha/yr) 42.42 NPP 17.73 litterfall (Mg/ha/yr) 6.08
452 Trees (1/ha): 5377.00 | 797.00 | 12.00 *** nbdead (%): 4.69 | 0.13 | 0.00 *** AGB (t/ha): 156.00 GPP (MgC/ha/yr) 45.07 NPP 18.92 litterfall (Mg/ha/yr) 6.10
453 Trees (1/ha): 5415.00 | 796.00 | 12.00 *** nbdead (%): 3.75 | 0.13 | 8.33 *** AGB (t/ha): 155.00 GPP (MgC/ha/yr) 45.34 NPP 18.63 litterfall (Mg/ha/yr) 6.10
454 Trees (1/ha): 5392.00 | 796.00 | 12.00 *** nbdead (%): 3.26 | 0.13 | 0.00 *** AGB (t/ha): 155.00 GPP (MgC/ha/yr) 43.15 NPP 17.45 litterfall (Mg/ha/yr) 6.11
455 Trees (1/ha): 5386.00 | 796.00 | 12.00 *** nbdead (%): 3.14 | 0.00 | 0.00 *** AGB (t/ha): 156.00 GPP (MgC/ha/yr) 36.66 NPP 13.74 litterfall (Mg/ha/yr) 6.14
10000 Seedrain: 50000.00
Trees_mature: 326 Nbseedsadded: 47300 effective: 48663 nbspeciesaffected: 45
456 Trees (1/ha): 5237.00 | 790.00 | 13.00 *** nbdead (%): 6.36 | 0.76 | 0.00 *** AGB (t/ha): 155.00 GPP (MgC/ha/yr) 36.47 NPP 14.12 litterfall (Mg/ha/yr) 6.13
457 Trees (1/ha): 5386.00 | 791.00 | 13.00 *** nbdead (%): 3.21 | 0.00 | 0.00 *** AGB (t/ha): 156.00 GPP (MgC/ha/yr) 34.78 NPP 13.01 litterfall (Mg/ha/yr) 6.13
458 Trees (1/ha): 5415.00 | 791.00 | 13.00 *** nbdead (%): 3.66 | 0.00 | 0.00 *** AGB (t/ha): 156.00 GPP (MgC/ha/yr) 35.90 NPP 13.94 litterfall (Mg/ha/yr) 6.11
459 Trees (1/ha): 5407.00 | 791.00 | 13.00 *** nbdead (%): 4.44 | 0.00 | 0.00 *** AGB (t/ha): 156.00 GPP (MgC/ha/yr) 36.77 NPP 14.35 litterfall (Mg/ha/yr) 6.09
460 Trees (1/ha): 5421.00 | 790.00 | 13.00 *** nbdead (%): 4.21 | 0.13 | 0.00 *** AGB (t/ha): 157.00 GPP (MgC/ha/yr) 36.04 NPP 13.73 litterfall (Mg/ha/yr) 6.07
461 Trees (1/ha): 5369.00 | 791.00 | 13.00 *** nbdead (%): 5.25 | 0.00 | 0.00 *** AGB (t/ha): 157.00 GPP (MgC/ha/yr) 37.41 NPP 14.90 litterfall (Mg/ha/yr) 6.06
462 Trees (1/ha): 5387.00 | 791.00 | 13.00 *** nbdead (%): 5.18 | 0.00 | 0.00 *** AGB (t/ha): 157.00 GPP (MgC/ha/yr) 39.24 NPP 15.98 litterfall (Mg/ha/yr) 6.06
463 Trees (1/ha): 5341.00 | 792.00 | 13.00 *** nbdead (%): 5.88 | 0.13 | 0.00 *** AGB (t/ha): 158.00 GPP (MgC/ha/yr) 42.29 NPP 17.68 litterfall (Mg/ha/yr) 6.05
464 Trees (1/ha): 5354.00 | 793.00 | 13.00 *** nbdead (%): 4.87 | 0.00 | 0.00 *** AGB (t/ha): 158.00 GPP (MgC/ha/yr) 44.96 NPP 18.88 litterfall (Mg/ha/yr) 6.07
465 Trees (1/ha): 5413.00 | 790.00 | 13.00 *** nbdead (%): 3.69 | 0.38 | 0.00 *** AGB (t/ha): 159.00 GPP (MgC/ha/yr) 45.38 NPP 18.65 litterfall (Mg/ha/yr) 6.09
466 Trees (1/ha): 5425.00 | 789.00 | 13.00 *** nbdead (%): 2.88 | 0.13 | 0.00 *** AGB (t/ha): 159.00 GPP (MgC/ha/yr) 43.31 NPP 17.51 litterfall (Mg/ha/yr) 6.12
467 Trees (1/ha): 5412.00 | 789.00 | 13.00 *** nbdead (%): 2.70 | 0.13 | 0.00 *** AGB (t/ha): 159.00 GPP (MgC/ha/yr) 36.74 NPP 13.74 litterfall (Mg/ha/yr) 6.15
10000 Seedrain: 50000.00
Trees_mature: 327 Nbseedsadded: 47233 effective: 48601 nbspeciesaffected: 45
468 Trees (1/ha): 5171.00 | 786.00 | 13.00 *** nbdead (%): 7.56 | 0.51 | 0.00 *** AGB (t/ha): 159.00 GPP (MgC/ha/yr) 36.61 NPP 14.15 litterfall (Mg/ha/yr) 6.15
469 Trees (1/ha): 5298.00 | 785.00 | 14.00 *** nbdead (%): 3.70 | 0.13 | 0.00 *** AGB (t/ha): 160.00 GPP (MgC/ha/yr) 34.85 NPP 13.00 litterfall (Mg/ha/yr) 6.14
470 Trees (1/ha): 5334.00 | 782.00 | 14.00 *** nbdead (%): 4.20 | 0.38 | 0.00 *** AGB (t/ha): 160.00 GPP (MgC/ha/yr) 35.94 NPP 13.92 litterfall (Mg/ha/yr) 6.12
471 Trees (1/ha): 5368.00 | 779.00 | 14.00 *** nbdead (%): 4.34 | 0.39 | 0.00 *** AGB (t/ha): 160.00 GPP (MgC/ha/yr) 36.83 NPP 14.34 litterfall (Mg/ha/yr) 6.10
472 Trees (1/ha): 5405.00 | 778.00 | 15.00 *** nbdead (%): 4.07 | 0.13 | 0.00 *** AGB (t/ha): 160.00 GPP (MgC/ha/yr) 36.07 NPP 13.71 litterfall (Mg/ha/yr) 6.08
473 Trees (1/ha): 5337.00 | 775.00 | 15.00 *** nbdead (%): 5.34 | 0.39 | 0.00 *** AGB (t/ha): 160.00 GPP (MgC/ha/yr) 37.44 NPP 14.88 litterfall (Mg/ha/yr) 6.07
474 Trees (1/ha): 5296.00 | 775.00 | 16.00 *** nbdead (%): 6.21 | 0.00 | 0.00 *** AGB (t/ha): 160.00 GPP (MgC/ha/yr) 39.27 NPP 15.97 litterfall (Mg/ha/yr) 6.06
475 Trees (1/ha): 5317.00 | 775.00 | 17.00 *** nbdead (%): 5.59 | 0.00 | 0.00 *** AGB (t/ha): 161.00 GPP (MgC/ha/yr) 42.43 NPP 17.71 litterfall (Mg/ha/yr) 6.07
ABC: Conservation of Traits
ABC: Ground data
ABC: CHM simulation
ABC: Transmittance simulation
ABC: Species outputs
476 Trees (1/ha): 5318.00 | 774.00 | 17.00 *** nbdead (%): 4.89 | 0.13 | 0.00 *** AGB (t/ha): 161.00 GPP (MgC/ha/yr) 45.03 NPP 18.88 litterfall (Mg/ha/yr) 6.08
477 Trees (1/ha): 5363.00 | 773.00 | 17.00 *** nbdead (%): 3.30 | 0.13 | 0.00 *** AGB (t/ha): 162.00 GPP (MgC/ha/yr) 45.46 NPP 18.65 litterfall (Mg/ha/yr) 6.10
478 Trees (1/ha): 5370.00 | 772.00 | 17.00 *** nbdead (%): 2.89 | 0.13 | 0.00 *** AGB (t/ha): 163.00 GPP (MgC/ha/yr) 43.36 NPP 17.49 litterfall (Mg/ha/yr) 6.13
479 Trees (1/ha): 5353.00 | 771.00 | 18.00 *** nbdead (%): 2.80 | 0.13 | 0.00 *** AGB (t/ha): 163.00 GPP (MgC/ha/yr) 36.81 NPP 13.74 litterfall (Mg/ha/yr) 6.16
10000 Seedrain: 50000.00
Trees_mature: 330 Nbseedsadded: 47358 effective: 48737 nbspeciesaffected: 45
480 Trees (1/ha): 5149.00 | 770.00 | 18.00 *** nbdead (%): 6.97 | 0.13 | 0.00 *** AGB (t/ha): 163.00 GPP (MgC/ha/yr) 36.67 NPP 14.14 litterfall (Mg/ha/yr) 6.16
481 Trees (1/ha): 5296.00 | 769.00 | 18.00 *** nbdead (%): 3.55 | 0.13 | 0.00 *** AGB (t/ha): 163.00 GPP (MgC/ha/yr) 34.93 NPP 13.01 litterfall (Mg/ha/yr) 6.16
482 Trees (1/ha): 5271.00 | 768.00 | 18.00 *** nbdead (%): 4.74 | 0.13 | 0.00 *** AGB (t/ha): 164.00 GPP (MgC/ha/yr) 36.04 NPP 13.94 litterfall (Mg/ha/yr) 6.14
483 Trees (1/ha): 5349.00 | 768.00 | 19.00 *** nbdead (%): 3.76 | 0.00 | 0.00 *** AGB (t/ha): 164.00 GPP (MgC/ha/yr) 36.92 NPP 14.35 litterfall (Mg/ha/yr) 6.12
484 Trees (1/ha): 5342.00 | 768.00 | 19.00 *** nbdead (%): 4.12 | 0.00 | 0.00 *** AGB (t/ha): 164.00 GPP (MgC/ha/yr) 36.17 NPP 13.71 litterfall (Mg/ha/yr) 6.11
485 Trees (1/ha): 5276.00 | 765.00 | 20.00 *** nbdead (%): 5.38 | 0.52 | 0.00 *** AGB (t/ha): 164.00 GPP (MgC/ha/yr) 37.51 NPP 14.87 litterfall (Mg/ha/yr) 6.09
486 Trees (1/ha): 5250.00 | 765.00 | 21.00 *** nbdead (%): 5.83 | 0.00 | 0.00 *** AGB (t/ha): 165.00 GPP (MgC/ha/yr) 39.35 NPP 15.97 litterfall (Mg/ha/yr) 6.08
487 Trees (1/ha): 5212.00 | 766.00 | 21.00 *** nbdead (%): 6.43 | 0.00 | 0.00 *** AGB (t/ha): 165.00 GPP (MgC/ha/yr) 42.52 NPP 17.72 litterfall (Mg/ha/yr) 6.09
488 Trees (1/ha): 5278.00 | 765.00 | 21.00 *** nbdead (%): 4.51 | 0.13 | 0.00 *** AGB (t/ha): 166.00 GPP (MgC/ha/yr) 45.16 NPP 18.90 litterfall (Mg/ha/yr) 6.10
489 Trees (1/ha): 5316.00 | 764.00 | 22.00 *** nbdead (%): 3.44 | 0.13 | 0.00 *** AGB (t/ha): 167.00 GPP (MgC/ha/yr) 45.58 NPP 18.66 litterfall (Mg/ha/yr) 6.12
490 Trees (1/ha): 5295.00 | 763.00 | 24.00 *** nbdead (%): 2.95 | 0.13 | 0.00 *** AGB (t/ha): 167.00 GPP (MgC/ha/yr) 43.44 NPP 17.50 litterfall (Mg/ha/yr) 6.14
491 Trees (1/ha): 5285.00 | 763.00 | 25.00 *** nbdead (%): 2.40 | 0.00 | 0.00 *** AGB (t/ha): 167.00 GPP (MgC/ha/yr) 36.87 NPP 13.74 litterfall (Mg/ha/yr) 6.17
10000 Seedrain: 50000.00
Trees_mature: 331 Nbseedsadded: 47362 effective: 48755 nbspeciesaffected: 45
492 Trees (1/ha): 5076.00 | 761.00 | 27.00 *** nbdead (%): 7.13 | 0.26 | 0.00 *** AGB (t/ha): 167.00 GPP (MgC/ha/yr) 36.72 NPP 14.14 litterfall (Mg/ha/yr) 6.17
493 Trees (1/ha): 5212.00 | 761.00 | 27.00 *** nbdead (%): 3.74 | 0.13 | 0.00 *** AGB (t/ha): 167.00 GPP (MgC/ha/yr) 34.93 NPP 12.98 litterfall (Mg/ha/yr) 6.16
494 Trees (1/ha): 5214.00 | 762.00 | 28.00 *** nbdead (%): 4.49 | 0.00 | 0.00 *** AGB (t/ha): 168.00 GPP (MgC/ha/yr) 36.05 NPP 13.91 litterfall (Mg/ha/yr) 6.14
495 Trees (1/ha): 5291.00 | 761.00 | 29.00 *** nbdead (%): 4.10 | 0.13 | 0.00 *** AGB (t/ha): 168.00 GPP (MgC/ha/yr) 36.92 NPP 14.32 litterfall (Mg/ha/yr) 6.12
496 Trees (1/ha): 5294.00 | 760.00 | 29.00 *** nbdead (%): 4.25 | 0.13 | 3.45 *** AGB (t/ha): 168.00 GPP (MgC/ha/yr) 36.06 NPP 13.64 litterfall (Mg/ha/yr) 6.09
497 Trees (1/ha): 5233.00 | 758.00 | 29.00 *** nbdead (%): 5.33 | 0.26 | 0.00 *** AGB (t/ha): 168.00 GPP (MgC/ha/yr) 37.41 NPP 14.83 litterfall (Mg/ha/yr) 6.06
498 Trees (1/ha): 5237.00 | 758.00 | 29.00 *** nbdead (%): 5.69 | 0.00 | 0.00 *** AGB (t/ha): 168.00 GPP (MgC/ha/yr) 39.27 NPP 15.92 litterfall (Mg/ha/yr) 6.06
499 Trees (1/ha): 5229.00 | 757.00 | 29.00 *** nbdead (%): 5.97 | 0.13 | 0.00 *** AGB (t/ha): 169.00 GPP (MgC/ha/yr) 42.45 NPP 17.68 litterfall (Mg/ha/yr) 6.07
500 Trees (1/ha): 5251.00 | 757.00 | 29.00 *** nbdead (%): 4.89 | 0.13 | 0.00 *** AGB (t/ha): 169.00 GPP (MgC/ha/yr) 45.09 NPP 18.87 litterfall (Mg/ha/yr) 6.08
501 Trees (1/ha): 5282.00 | 757.00 | 29.00 *** nbdead (%): 3.71 | 0.26 | 0.00 *** AGB (t/ha): 170.00 GPP (MgC/ha/yr) 45.51 NPP 18.64 litterfall (Mg/ha/yr) 6.09
502 Trees (1/ha): 5291.00 | 756.00 | 29.00 *** nbdead (%): 3.08 | 0.13 | 0.00 *** AGB (t/ha): 170.00 GPP (MgC/ha/yr) 43.42 NPP 17.49 litterfall (Mg/ha/yr) 6.12
503 Trees (1/ha): 5319.00 | 754.00 | 29.00 *** nbdead (%): 2.20 | 0.27 | 0.00 *** AGB (t/ha): 170.00 GPP (MgC/ha/yr) 36.83 NPP 13.72 litterfall (Mg/ha/yr) 6.15
10000 Seedrain: 50000.00
Trees_mature: 334 Nbseedsadded: 47439 effective: 48803 nbspeciesaffected: 45
504 Trees (1/ha): 5118.00 | 753.00 | 29.00 *** nbdead (%): 6.82 | 0.27 | 0.00 *** AGB (t/ha): 170.00 GPP (MgC/ha/yr) 36.70 NPP 14.14 litterfall (Mg/ha/yr) 6.15
505 Trees (1/ha): 5268.00 | 752.00 | 29.00 *** nbdead (%): 3.30 | 0.13 | 0.00 *** AGB (t/ha): 171.00 GPP (MgC/ha/yr) 34.95 NPP 12.99 litterfall (Mg/ha/yr) 6.15
506 Trees (1/ha): 5224.00 | 750.00 | 29.00 *** nbdead (%): 4.59 | 0.27 | 0.00 *** AGB (t/ha): 171.00 GPP (MgC/ha/yr) 36.00 NPP 13.90 litterfall (Mg/ha/yr) 6.12
507 Trees (1/ha): 5254.00 | 750.00 | 32.00 *** nbdead (%): 4.63 | 0.00 | 0.00 *** AGB (t/ha): 171.00 GPP (MgC/ha/yr) 36.89 NPP 14.31 litterfall (Mg/ha/yr) 6.10
508 Trees (1/ha): 5292.00 | 748.00 | 33.00 *** nbdead (%): 4.12 | 0.27 | 0.00 *** AGB (t/ha): 171.00 GPP (MgC/ha/yr) 36.15 NPP 13.68 litterfall (Mg/ha/yr) 6.09
509 Trees (1/ha): 5198.00 | 748.00 | 35.00 *** nbdead (%): 5.89 | 0.00 | 0.00 *** AGB (t/ha): 172.00 GPP (MgC/ha/yr) 37.52 NPP 14.85 litterfall (Mg/ha/yr) 6.07
510 Trees (1/ha): 5206.00 | 747.00 | 36.00 *** nbdead (%): 5.92 | 0.27 | 0.00 *** AGB (t/ha): 172.00 GPP (MgC/ha/yr) 39.30 NPP 15.92 litterfall (Mg/ha/yr) 6.06
511 Trees (1/ha): 5191.00 | 746.00 | 36.00 *** nbdead (%): 6.11 | 0.13 | 0.00 *** AGB (t/ha): 172.00 GPP (MgC/ha/yr) 42.48 NPP 17.67 litterfall (Mg/ha/yr) 6.07
512 Trees (1/ha): 5260.00 | 746.00 | 36.00 *** nbdead (%): 4.35 | 0.00 | 0.00 *** AGB (t/ha): 173.00 GPP (MgC/ha/yr) 45.12 NPP 18.85 litterfall (Mg/ha/yr) 6.08
513 Trees (1/ha): 5314.00 | 746.00 | 36.00 *** nbdead (%): 3.27 | 0.00 | 0.00 *** AGB (t/ha): 174.00 GPP (MgC/ha/yr) 45.56 NPP 18.63 litterfall (Mg/ha/yr) 6.10
514 Trees (1/ha): 5292.00 | 746.00 | 36.00 *** nbdead (%): 3.17 | 0.40 | 0.00 *** AGB (t/ha): 174.00 GPP (MgC/ha/yr) 43.41 NPP 17.46 litterfall (Mg/ha/yr) 6.13
515 Trees (1/ha): 5276.00 | 746.00 | 36.00 *** nbdead (%): 2.67 | 0.00 | 0.00 *** AGB (t/ha): 174.00 GPP (MgC/ha/yr) 36.87 NPP 13.72 litterfall (Mg/ha/yr) 6.15
10000 Seedrain: 50000.00
Trees_mature: 336 Nbseedsadded: 47292 effective: 48707 nbspeciesaffected: 45
516 Trees (1/ha): 5074.00 | 743.00 | 36.00 *** nbdead (%): 7.06 | 0.40 | 0.00 *** AGB (t/ha): 174.00 GPP (MgC/ha/yr) 36.74 NPP 14.13 litterfall (Mg/ha/yr) 6.15
517 Trees (1/ha): 5215.00 | 743.00 | 36.00 *** nbdead (%): 3.74 | 0.00 | 0.00 *** AGB (t/ha): 175.00 GPP (MgC/ha/yr) 34.99 NPP 12.98 litterfall (Mg/ha/yr) 6.15
518 Trees (1/ha): 5210.00 | 744.00 | 36.00 *** nbdead (%): 4.45 | 0.00 | 0.00 *** AGB (t/ha): 175.00 GPP (MgC/ha/yr) 36.10 NPP 13.91 litterfall (Mg/ha/yr) 6.14
519 Trees (1/ha): 5248.00 | 744.00 | 36.00 *** nbdead (%): 4.42 | 0.00 | 0.00 *** AGB (t/ha): 175.00 GPP (MgC/ha/yr) 36.98 NPP 14.32 litterfall (Mg/ha/yr) 6.12
520 Trees (1/ha): 5268.00 | 744.00 | 36.00 *** nbdead (%): 4.10 | 0.13 | 0.00 *** AGB (t/ha): 175.00 GPP (MgC/ha/yr) 36.25 NPP 13.69 litterfall (Mg/ha/yr) 6.10
521 Trees (1/ha): 5201.00 | 744.00 | 37.00 *** nbdead (%): 5.44 | 0.00 | 0.00 *** AGB (t/ha): 176.00 GPP (MgC/ha/yr) 37.61 NPP 14.86 litterfall (Mg/ha/yr) 6.09
522 Trees (1/ha): 5170.00 | 743.00 | 37.00 *** nbdead (%): 6.23 | 0.13 | 0.00 *** AGB (t/ha): 176.00 GPP (MgC/ha/yr) 39.42 NPP 15.94 litterfall (Mg/ha/yr) 6.08
523 Trees (1/ha): 5193.00 | 743.00 | 37.00 *** nbdead (%): 5.70 | 0.27 | 0.00 *** AGB (t/ha): 177.00 GPP (MgC/ha/yr) 42.62 NPP 17.70 litterfall (Mg/ha/yr) 6.09
524 Trees (1/ha): 5203.00 | 740.00 | 37.00 *** nbdead (%): 4.79 | 0.54 | 0.00 *** AGB (t/ha): 177.00 GPP (MgC/ha/yr) 45.25 NPP 18.88 litterfall (Mg/ha/yr) 6.10
525 Trees (1/ha): 5266.00 | 741.00 | 38.00 *** nbdead (%): 3.10 | 0.00 | 0.00 *** AGB (t/ha): 178.00 GPP (MgC/ha/yr) 45.69 NPP 18.65 litterfall (Mg/ha/yr) 6.12
526 Trees (1/ha): 5242.00 | 740.00 | 39.00 *** nbdead (%): 3.19 | 0.14 | 0.00 *** AGB (t/ha): 178.00 GPP (MgC/ha/yr) 43.47 NPP 17.46 litterfall (Mg/ha/yr) 6.13
527 Trees (1/ha): 5233.00 | 739.00 | 42.00 *** nbdead (%): 2.68 | 0.14 | 0.00 *** AGB (t/ha): 178.00 GPP (MgC/ha/yr) 36.91 NPP 13.71 litterfall (Mg/ha/yr) 6.16
10000 Seedrain: 50000.00
Trees_mature: 336 Nbseedsadded: 47325 effective: 48744 nbspeciesaffected: 45
528 Trees (1/ha): 5067.00 | 738.00 | 42.00 *** nbdead (%): 6.81 | 0.14 | 0.00 *** AGB (t/ha): 178.00 GPP (MgC/ha/yr) 36.75 NPP 14.12 litterfall (Mg/ha/yr) 6.16
529 Trees (1/ha): 5199.00 | 738.00 | 42.00 *** nbdead (%): 3.54 | 0.00 | 0.00 *** AGB (t/ha): 178.00 GPP (MgC/ha/yr) 35.02 NPP 12.97 litterfall (Mg/ha/yr) 6.15
530 Trees (1/ha): 5211.00 | 736.00 | 42.00 *** nbdead (%): 4.39 | 0.27 | 0.00 *** AGB (t/ha): 179.00 GPP (MgC/ha/yr) 36.14 NPP 13.91 litterfall (Mg/ha/yr) 6.14
531 Trees (1/ha): 5262.00 | 734.00 | 43.00 *** nbdead (%): 4.05 | 0.27 | 0.00 *** AGB (t/ha): 179.00 GPP (MgC/ha/yr) 36.99 NPP 14.31 litterfall (Mg/ha/yr) 6.12
532 Trees (1/ha): 5243.00 | 733.00 | 43.00 *** nbdead (%): 4.75 | 0.14 | 0.00 *** AGB (t/ha): 179.00 GPP (MgC/ha/yr) 36.26 NPP 13.68 litterfall (Mg/ha/yr) 6.10
533 Trees (1/ha): 5183.00 | 730.00 | 44.00 *** nbdead (%): 5.83 | 0.41 | 0.00 *** AGB (t/ha): 179.00 GPP (MgC/ha/yr) 37.63 NPP 14.85 litterfall (Mg/ha/yr) 6.09
534 Trees (1/ha): 5187.00 | 731.00 | 44.00 *** nbdead (%): 5.49 | 0.14 | 0.00 *** AGB (t/ha): 179.00 GPP (MgC/ha/yr) 39.47 NPP 15.94 litterfall (Mg/ha/yr) 6.09
535 Trees (1/ha): 5202.00 | 731.00 | 44.00 *** nbdead (%): 5.36 | 0.00 | 0.00 *** AGB (t/ha): 180.00 GPP (MgC/ha/yr) 42.67 NPP 17.71 litterfall (Mg/ha/yr) 6.09
536 Trees (1/ha): 5164.00 | 731.00 | 44.00 *** nbdead (%): 5.58 | 0.27 | 0.00 *** AGB (t/ha): 180.00 GPP (MgC/ha/yr) 45.26 NPP 18.87 litterfall (Mg/ha/yr) 6.10
537 Trees (1/ha): 5233.00 | 729.00 | 44.00 *** nbdead (%): 3.44 | 0.27 | 0.00 *** AGB (t/ha): 180.00 GPP (MgC/ha/yr) 45.57 NPP 18.60 litterfall (Mg/ha/yr) 6.11
538 Trees (1/ha): 5254.00 | 727.00 | 45.00 *** nbdead (%): 3.05 | 0.28 | 0.00 *** AGB (t/ha): 181.00 GPP (MgC/ha/yr) 43.46 NPP 17.46 litterfall (Mg/ha/yr) 6.12
539 Trees (1/ha): 5257.00 | 727.00 | 46.00 *** nbdead (%): 2.66 | 0.00 | 0.00 *** AGB (t/ha): 181.00 GPP (MgC/ha/yr) 36.87 NPP 13.69 litterfall (Mg/ha/yr) 6.15
10000 Seedrain: 50000.00
Trees_mature: 336 Nbseedsadded: 47347 effective: 48725 nbspeciesaffected: 45
540 Trees (1/ha): 5109.00 | 727.00 | 47.00 *** nbdead (%): 6.03 | 0.00 | 0.00 *** AGB (t/ha): 181.00 GPP (MgC/ha/yr) 36.76 NPP 14.11 litterfall (Mg/ha/yr) 6.15
541 Trees (1/ha): 5213.00 | 727.00 | 47.00 *** nbdead (%): 3.41 | 0.00 | 0.00 *** AGB (t/ha): 182.00 GPP (MgC/ha/yr) 35.03 NPP 12.97 litterfall (Mg/ha/yr) 6.15
542 Trees (1/ha): 5176.00 | 726.00 | 47.00 *** nbdead (%): 4.79 | 0.14 | 0.00 *** AGB (t/ha): 181.00 GPP (MgC/ha/yr) 36.09 NPP 13.89 litterfall (Mg/ha/yr) 6.12
543 Trees (1/ha): 5215.00 | 726.00 | 47.00 *** nbdead (%): 4.47 | 0.00 | 0.00 *** AGB (t/ha): 182.00 GPP (MgC/ha/yr) 37.01 NPP 14.32 litterfall (Mg/ha/yr) 6.10
544 Trees (1/ha): 5270.00 | 724.00 | 48.00 *** nbdead (%): 4.19 | 0.28 | 0.00 *** AGB (t/ha): 182.00 GPP (MgC/ha/yr) 36.21 NPP 13.66 litterfall (Mg/ha/yr) 6.08
545 Trees (1/ha): 5199.00 | 723.00 | 49.00 *** nbdead (%): 5.56 | 0.14 | 0.00 *** AGB (t/ha): 182.00 GPP (MgC/ha/yr) 37.57 NPP 14.84 litterfall (Mg/ha/yr) 6.07
546 Trees (1/ha): 5193.00 | 723.00 | 49.00 *** nbdead (%): 5.68 | 0.00 | 0.00 *** AGB (t/ha): 183.00 GPP (MgC/ha/yr) 39.41 NPP 15.93 litterfall (Mg/ha/yr) 6.07
547 Trees (1/ha): 5165.00 | 721.00 | 49.00 *** nbdead (%): 6.21 | 0.28 | 0.00 *** AGB (t/ha): 183.00 GPP (MgC/ha/yr) 42.61 NPP 17.69 litterfall (Mg/ha/yr) 6.07
548 Trees (1/ha): 5212.00 | 721.00 | 49.00 *** nbdead (%): 4.24 | 0.14 | 0.00 *** AGB (t/ha): 183.00 GPP (MgC/ha/yr) 45.25 NPP 18.88 litterfall (Mg/ha/yr) 6.08
549 Trees (1/ha): 5214.00 | 720.00 | 50.00 *** nbdead (%): 3.86 | 0.14 | 0.00 *** AGB (t/ha): 184.00 GPP (MgC/ha/yr) 45.70 NPP 18.65 litterfall (Mg/ha/yr) 6.10
550 Trees (1/ha): 5249.00 | 720.00 | 51.00 *** nbdead (%): 2.90 | 0.14 | 0.00 *** AGB (t/ha): 184.00 GPP (MgC/ha/yr) 43.60 NPP 17.51 litterfall (Mg/ha/yr) 6.13
551 Trees (1/ha): 5230.00 | 720.00 | 51.00 *** nbdead (%): 2.81 | 0.14 | 0.00 *** AGB (t/ha): 185.00 GPP (MgC/ha/yr) 36.96 NPP 13.71 litterfall (Mg/ha/yr) 6.16
10000 Seedrain: 50000.00
Trees_mature: 342 Nbseedsadded: 47305 effective: 48723 nbspeciesaffected: 45
552 Trees (1/ha): 5025.00 | 719.00 | 51.00 *** nbdead (%): 7.18 | 0.28 | 0.00 *** AGB (t/ha): 185.00 GPP (MgC/ha/yr) 36.81 NPP 14.12 litterfall (Mg/ha/yr) 6.16
553 Trees (1/ha): 5176.00 | 719.00 | 51.00 *** nbdead (%): 3.46 | 0.00 | 0.00 *** AGB (t/ha): 185.00 GPP (MgC/ha/yr) 35.05 NPP 12.96 litterfall (Mg/ha/yr) 6.16
554 Trees (1/ha): 5159.00 | 719.00 | 51.00 *** nbdead (%): 4.44 | 0.00 | 0.00 *** AGB (t/ha): 185.00 GPP (MgC/ha/yr) 36.17 NPP 13.90 litterfall (Mg/ha/yr) 6.14
555 Trees (1/ha): 5207.00 | 719.00 | 51.00 *** nbdead (%): 4.40 | 0.00 | 0.00 *** AGB (t/ha): 186.00 GPP (MgC/ha/yr) 37.03 NPP 14.29 litterfall (Mg/ha/yr) 6.12
556 Trees (1/ha): 5233.00 | 719.00 | 51.00 *** nbdead (%): 4.13 | 0.00 | 0.00 *** AGB (t/ha): 186.00 GPP (MgC/ha/yr) 36.29 NPP 13.66 litterfall (Mg/ha/yr) 6.11
557 Trees (1/ha): 5169.00 | 719.00 | 51.00 *** nbdead (%): 5.42 | 0.00 | 0.00 *** AGB (t/ha): 187.00 GPP (MgC/ha/yr) 37.66 NPP 14.84 litterfall (Mg/ha/yr) 6.09
558 Trees (1/ha): 5139.00 | 717.00 | 51.00 *** nbdead (%): 6.09 | 0.28 | 0.00 *** AGB (t/ha): 187.00 GPP (MgC/ha/yr) 39.51 NPP 15.93 litterfall (Mg/ha/yr) 6.09
559 Trees (1/ha): 5119.00 | 716.00 | 51.00 *** nbdead (%): 6.23 | 0.28 | 0.00 *** AGB (t/ha): 187.00 GPP (MgC/ha/yr) 42.64 NPP 17.67 litterfall (Mg/ha/yr) 6.09
560 Trees (1/ha): 5143.00 | 716.00 | 51.00 *** nbdead (%): 4.94 | 0.00 | 0.00 *** AGB (t/ha): 188.00 GPP (MgC/ha/yr) 45.32 NPP 18.87 litterfall (Mg/ha/yr) 6.10
561 Trees (1/ha): 5207.00 | 715.00 | 50.00 *** nbdead (%): 3.55 | 0.14 | 2.00 *** AGB (t/ha): 187.00 GPP (MgC/ha/yr) 45.59 NPP 18.57 litterfall (Mg/ha/yr) 6.10
562 Trees (1/ha): 5223.00 | 716.00 | 50.00 *** nbdead (%): 2.72 | 0.00 | 0.00 *** AGB (t/ha): 188.00 GPP (MgC/ha/yr) 43.51 NPP 17.45 litterfall (Mg/ha/yr) 6.13
563 Trees (1/ha): 5230.00 | 716.00 | 50.00 *** nbdead (%): 3.04 | 0.14 | 0.00 *** AGB (t/ha): 188.00 GPP (MgC/ha/yr) 36.92 NPP 13.68 litterfall (Mg/ha/yr) 6.15
10000 Seedrain: 50000.00
Trees_mature: 343 Nbseedsadded: 47325 effective: 48714 nbspeciesaffected: 45
564 Trees (1/ha): 5036.00 | 715.00 | 50.00 *** nbdead (%): 7.05 | 0.14 | 0.00 *** AGB (t/ha): 188.00 GPP (MgC/ha/yr) 36.79 NPP 14.10 litterfall (Mg/ha/yr) 6.16
565 Trees (1/ha): 5178.00 | 715.00 | 50.00 *** nbdead (%): 3.07 | 0.00 | 0.00 *** AGB (t/ha): 189.00 GPP (MgC/ha/yr) 35.04 NPP 12.94 litterfall (Mg/ha/yr) 6.15
566 Trees (1/ha): 5154.00 | 711.00 | 50.00 *** nbdead (%): 4.58 | 0.56 | 0.00 *** AGB (t/ha): 189.00 GPP (MgC/ha/yr) 36.16 NPP 13.88 litterfall (Mg/ha/yr) 6.13
567 Trees (1/ha): 5219.00 | 711.00 | 50.00 *** nbdead (%): 3.99 | 0.00 | 0.00 *** AGB (t/ha): 189.00 GPP (MgC/ha/yr) 37.02 NPP 14.28 litterfall (Mg/ha/yr) 6.11
568 Trees (1/ha): 5207.00 | 710.00 | 50.00 *** nbdead (%): 4.67 | 0.14 | 0.00 *** AGB (t/ha): 189.00 GPP (MgC/ha/yr) 36.27 NPP 13.63 litterfall (Mg/ha/yr) 6.10
569 Trees (1/ha): 5148.00 | 709.00 | 50.00 *** nbdead (%): 5.77 | 0.14 | 0.00 *** AGB (t/ha): 190.00 GPP (MgC/ha/yr) 37.64 NPP 14.82 litterfall (Mg/ha/yr) 6.09
570 Trees (1/ha): 5118.00 | 709.00 | 51.00 *** nbdead (%): 6.35 | 0.00 | 0.00 *** AGB (t/ha): 190.00 GPP (MgC/ha/yr) 39.50 NPP 15.91 litterfall (Mg/ha/yr) 6.09
571 Trees (1/ha): 5079.00 | 708.00 | 51.00 *** nbdead (%): 6.71 | 0.28 | 0.00 *** AGB (t/ha): 190.00 GPP (MgC/ha/yr) 42.68 NPP 17.67 litterfall (Mg/ha/yr) 6.09
572 Trees (1/ha): 5143.00 | 708.00 | 51.00 *** nbdead (%): 4.71 | 0.00 | 0.00 *** AGB (t/ha): 191.00 GPP (MgC/ha/yr) 45.33 NPP 18.85 litterfall (Mg/ha/yr) 6.10
573 Trees (1/ha): 5193.00 | 707.00 | 52.00 *** nbdead (%): 3.37 | 0.14 | 0.00 *** AGB (t/ha): 192.00 GPP (MgC/ha/yr) 45.76 NPP 18.61 litterfall (Mg/ha/yr) 6.12
574 Trees (1/ha): 5184.00 | 706.00 | 53.00 *** nbdead (%): 3.14 | 0.14 | 0.00 *** AGB (t/ha): 192.00 GPP (MgC/ha/yr) 43.63 NPP 17.46 litterfall (Mg/ha/yr) 6.15
575 Trees (1/ha): 5179.00 | 704.00 | 53.00 *** nbdead (%): 2.74 | 0.28 | 0.00 *** AGB (t/ha): 192.00 GPP (MgC/ha/yr) 37.00 NPP 13.67 litterfall (Mg/ha/yr) 6.17
10000 Seedrain: 50000.00
Trees_mature: 340 Nbseedsadded: 47280 effective: 48708 nbspeciesaffected: 45
576 Trees (1/ha): 4979.00 | 704.00 | 52.00 *** nbdead (%): 7.25 | 0.28 | 1.92 *** AGB (t/ha): 192.00 GPP (MgC/ha/yr) 36.72 NPP 14.03 litterfall (Mg/ha/yr) 6.15
577 Trees (1/ha): 5133.00 | 703.00 | 53.00 *** nbdead (%): 3.25 | 0.14 | 0.00 *** AGB (t/ha): 192.00 GPP (MgC/ha/yr) 34.98 NPP 12.90 litterfall (Mg/ha/yr) 6.14
578 Trees (1/ha): 5170.00 | 701.00 | 54.00 *** nbdead (%): 4.02 | 0.43 | 0.00 *** AGB (t/ha): 192.00 GPP (MgC/ha/yr) 36.13 NPP 13.86 litterfall (Mg/ha/yr) 6.12
579 Trees (1/ha): 5169.00 | 699.00 | 54.00 *** nbdead (%): 4.80 | 0.29 | 1.85 *** AGB (t/ha): 191.00 GPP (MgC/ha/yr) 36.86 NPP 14.20 litterfall (Mg/ha/yr) 6.08
580 Trees (1/ha): 5208.00 | 697.00 | 55.00 *** nbdead (%): 4.42 | 0.29 | 0.00 *** AGB (t/ha): 191.00 GPP (MgC/ha/yr) 36.08 NPP 13.57 litterfall (Mg/ha/yr) 6.05
581 Trees (1/ha): 5181.00 | 697.00 | 55.00 *** nbdead (%): 5.52 | 0.00 | 0.00 *** AGB (t/ha): 192.00 GPP (MgC/ha/yr) 37.49 NPP 14.77 litterfall (Mg/ha/yr) 6.05
582 Trees (1/ha): 5161.00 | 697.00 | 56.00 *** nbdead (%): 6.20 | 0.00 | 0.00 *** AGB (t/ha): 192.00 GPP (MgC/ha/yr) 39.34 NPP 15.87 litterfall (Mg/ha/yr) 6.04
583 Trees (1/ha): 5139.00 | 698.00 | 56.00 *** nbdead (%): 6.32 | 0.00 | 0.00 *** AGB (t/ha): 193.00 GPP (MgC/ha/yr) 42.54 NPP 17.63 litterfall (Mg/ha/yr) 6.05
584 Trees (1/ha): 5150.00 | 698.00 | 59.00 *** nbdead (%): 5.13 | 0.00 | 0.00 *** AGB (t/ha): 193.00 GPP (MgC/ha/yr) 45.22 NPP 18.83 litterfall (Mg/ha/yr) 6.07
585 Trees (1/ha): 5207.00 | 699.00 | 60.00 *** nbdead (%): 3.63 | 0.00 | 0.00 *** AGB (t/ha): 194.00 GPP (MgC/ha/yr) 45.65 NPP 18.59 litterfall (Mg/ha/yr) 6.09
586 Trees (1/ha): 5223.00 | 698.00 | 62.00 *** nbdead (%): 2.93 | 0.14 | 0.00 *** AGB (t/ha): 194.00 GPP (MgC/ha/yr) 43.55 NPP 17.45 litterfall (Mg/ha/yr) 6.12
587 Trees (1/ha): 5203.00 | 698.00 | 62.00 *** nbdead (%): 2.79 | 0.00 | 0.00 *** AGB (t/ha): 195.00 GPP (MgC/ha/yr) 36.94 NPP 13.67 litterfall (Mg/ha/yr) 6.14
10000 Seedrain: 50000.00
Trees_mature: 339 Nbseedsadded: 47237 effective: 48642 nbspeciesaffected: 45
588 Trees (1/ha): 4994.00 | 697.00 | 62.00 *** nbdead (%): 7.29 | 0.14 | 0.00 *** AGB (t/ha): 195.00 GPP (MgC/ha/yr) 36.80 NPP 14.08 litterfall (Mg/ha/yr) 6.15
589 Trees (1/ha): 5138.00 | 697.00 | 62.00 *** nbdead (%): 3.64 | 0.00 | 0.00 *** AGB (t/ha): 195.00 GPP (MgC/ha/yr) 35.04 NPP 12.92 litterfall (Mg/ha/yr) 6.15
590 Trees (1/ha): 5130.00 | 695.00 | 62.00 *** nbdead (%): 4.60 | 0.29 | 0.00 *** AGB (t/ha): 195.00 GPP (MgC/ha/yr) 36.16 NPP 13.87 litterfall (Mg/ha/yr) 6.13
591 Trees (1/ha): 5186.00 | 694.00 | 63.00 *** nbdead (%): 4.07 | 0.14 | 0.00 *** AGB (t/ha): 196.00 GPP (MgC/ha/yr) 37.04 NPP 14.27 litterfall (Mg/ha/yr) 6.11
592 Trees (1/ha): 5184.00 | 693.00 | 62.00 *** nbdead (%): 4.59 | 0.14 | 1.61 *** AGB (t/ha): 195.00 GPP (MgC/ha/yr) 36.16 NPP 13.58 litterfall (Mg/ha/yr) 6.07
593 Trees (1/ha): 5129.00 | 691.00 | 62.00 *** nbdead (%): 5.75 | 0.29 | 0.00 *** AGB (t/ha): 195.00 GPP (MgC/ha/yr) 37.59 NPP 14.80 litterfall (Mg/ha/yr) 6.06
594 Trees (1/ha): 5083.00 | 690.00 | 62.00 *** nbdead (%): 6.85 | 0.14 | 0.00 *** AGB (t/ha): 196.00 GPP (MgC/ha/yr) 39.41 NPP 15.88 litterfall (Mg/ha/yr) 6.05
595 Trees (1/ha): 5123.00 | 691.00 | 63.00 *** nbdead (%): 5.76 | 0.14 | 0.00 *** AGB (t/ha): 196.00 GPP (MgC/ha/yr) 42.58 NPP 17.63 litterfall (Mg/ha/yr) 6.06
ABC: Conservation of Traits
ABC: Ground data
ABC: CHM simulation
ABC: Transmittance simulation
ABC: Species outputs
596 Trees (1/ha): 5158.00 | 692.00 | 64.00 *** nbdead (%): 4.65 | 0.00 | 0.00 *** AGB (t/ha): 197.00 GPP (MgC/ha/yr) 45.26 NPP 18.82 litterfall (Mg/ha/yr) 6.07
597 Trees (1/ha): 5206.00 | 692.00 | 65.00 *** nbdead (%): 3.36 | 0.14 | 0.00 *** AGB (t/ha): 197.00 GPP (MgC/ha/yr) 45.67 NPP 18.58 litterfall (Mg/ha/yr) 6.09
598 Trees (1/ha): 5191.00 | 691.00 | 65.00 *** nbdead (%): 2.95 | 0.14 | 0.00 *** AGB (t/ha): 198.00 GPP (MgC/ha/yr) 43.50 NPP 17.40 litterfall (Mg/ha/yr) 6.11
599 Trees (1/ha): 5182.00 | 691.00 | 65.00 *** nbdead (%): 2.95 | 0.14 | 0.00 *** AGB (t/ha): 197.00 GPP (MgC/ha/yr) 36.84 NPP 13.62 litterfall (Mg/ha/yr) 6.12
10000 Seedrain: 50000.00
Trees_mature: 340 Nbseedsadded: 47341 effective: 48728 nbspeciesaffected: 45
600 Trees (1/ha): 4991.00 | 689.00 | 65.00 *** nbdead (%): 7.11 | 0.29 | 0.00 *** AGB (t/ha): 198.00 GPP (MgC/ha/yr) 36.75 NPP 14.07 litterfall (Mg/ha/yr) 6.12
601 Trees (1/ha): 5150.00 | 688.00 | 65.00 *** nbdead (%): 3.44 | 0.15 | 0.00 *** AGB (t/ha): 198.00 GPP (MgC/ha/yr) 35.00 NPP 12.91 litterfall (Mg/ha/yr) 6.12
602 Trees (1/ha): 5145.00 | 688.00 | 65.00 *** nbdead (%): 4.55 | 0.29 | 0.00 *** AGB (t/ha): 198.00 GPP (MgC/ha/yr) 36.12 NPP 13.85 litterfall (Mg/ha/yr) 6.10
603 Trees (1/ha): 5163.00 | 687.00 | 65.00 *** nbdead (%): 4.98 | 0.15 | 0.00 *** AGB (t/ha): 198.00 GPP (MgC/ha/yr) 37.00 NPP 14.25 litterfall (Mg/ha/yr) 6.09
604 Trees (1/ha): 5190.00 | 686.00 | 65.00 *** nbdead (%): 4.74 | 0.15 | 0.00 *** AGB (t/ha): 199.00 GPP (MgC/ha/yr) 36.28 NPP 13.63 litterfall (Mg/ha/yr) 6.07
605 Trees (1/ha): 5121.00 | 685.00 | 66.00 *** nbdead (%): 6.01 | 0.29 | 0.00 *** AGB (t/ha): 199.00 GPP (MgC/ha/yr) 37.64 NPP 14.81 litterfall (Mg/ha/yr) 6.06
606 Trees (1/ha): 5133.00 | 685.00 | 66.00 *** nbdead (%): 5.73 | 0.00 | 0.00 *** AGB (t/ha): 199.00 GPP (MgC/ha/yr) 39.48 NPP 15.90 litterfall (Mg/ha/yr) 6.06
607 Trees (1/ha): 5110.00 | 683.00 | 67.00 *** nbdead (%): 5.85 | 0.29 | 0.00 *** AGB (t/ha): 200.00 GPP (MgC/ha/yr) 42.65 NPP 17.65 litterfall (Mg/ha/yr) 6.06
608 Trees (1/ha): 5118.00 | 683.00 | 68.00 *** nbdead (%): 5.39 | 0.00 | 0.00 *** AGB (t/ha): 200.00 GPP (MgC/ha/yr) 45.34 NPP 18.85 litterfall (Mg/ha/yr) 6.07
609 Trees (1/ha): 5174.00 | 683.00 | 68.00 *** nbdead (%): 3.59 | 0.00 | 0.00 *** AGB (t/ha): 201.00 GPP (MgC/ha/yr) 45.79 NPP 18.62 litterfall (Mg/ha/yr) 6.10
610 Trees (1/ha): 5166.00 | 683.00 | 69.00 *** nbdead (%): 3.19 | 0.00 | 0.00 *** AGB (t/ha): 201.00 GPP (MgC/ha/yr) 43.68 NPP 17.47 litterfall (Mg/ha/yr) 6.13
611 Trees (1/ha): 5154.00 | 681.00 | 69.00 *** nbdead (%): 2.97 | 0.29 | 0.00 *** AGB (t/ha): 201.00 GPP (MgC/ha/yr) 37.06 NPP 13.70 litterfall (Mg/ha/yr) 6.15
10000 Seedrain: 50000.00
Trees_mature: 342 Nbseedsadded: 47390 effective: 48823 nbspeciesaffected: 45
612 Trees (1/ha): 4940.00 | 680.00 | 69.00 *** nbdead (%): 7.25 | 0.15 | 0.00 *** AGB (t/ha): 202.00 GPP (MgC/ha/yr) 36.92 NPP 14.11 litterfall (Mg/ha/yr) 6.16
613 Trees (1/ha): 5099.00 | 679.00 | 70.00 *** nbdead (%): 3.84 | 0.15 | 0.00 *** AGB (t/ha): 202.00 GPP (MgC/ha/yr) 35.14 NPP 12.94 litterfall (Mg/ha/yr) 6.15
614 Trees (1/ha): 5101.00 | 675.00 | 70.00 *** nbdead (%): 4.70 | 0.59 | 1.43 *** AGB (t/ha): 201.00 GPP (MgC/ha/yr) 36.13 NPP 13.83 litterfall (Mg/ha/yr) 6.11
615 Trees (1/ha): 5121.00 | 673.00 | 70.00 *** nbdead (%): 4.82 | 0.30 | 0.00 *** AGB (t/ha): 200.00 GPP (MgC/ha/yr) 36.90 NPP 14.21 litterfall (Mg/ha/yr) 6.07
616 Trees (1/ha): 5181.00 | 671.00 | 70.00 *** nbdead (%): 4.42 | 0.30 | 0.00 *** AGB (t/ha): 201.00 GPP (MgC/ha/yr) 36.21 NPP 13.61 litterfall (Mg/ha/yr) 6.05
617 Trees (1/ha): 5149.00 | 667.00 | 70.00 *** nbdead (%): 5.63 | 0.60 | 0.00 *** AGB (t/ha): 201.00 GPP (MgC/ha/yr) 37.60 NPP 14.80 litterfall (Mg/ha/yr) 6.04
618 Trees (1/ha): 5155.00 | 666.00 | 71.00 *** nbdead (%): 5.59 | 0.15 | 0.00 *** AGB (t/ha): 201.00 GPP (MgC/ha/yr) 39.46 NPP 15.90 litterfall (Mg/ha/yr) 6.04
619 Trees (1/ha): 5134.00 | 665.00 | 71.00 *** nbdead (%): 5.92 | 0.15 | 0.00 *** AGB (t/ha): 202.00 GPP (MgC/ha/yr) 42.65 NPP 17.65 litterfall (Mg/ha/yr) 6.05
620 Trees (1/ha): 5106.00 | 665.00 | 71.00 *** nbdead (%): 5.99 | 0.00 | 0.00 *** AGB (t/ha): 202.00 GPP (MgC/ha/yr) 45.31 NPP 18.84 litterfall (Mg/ha/yr) 6.06
621 Trees (1/ha): 5185.00 | 664.00 | 71.00 *** nbdead (%): 3.65 | 0.15 | 0.00 *** AGB (t/ha): 203.00 GPP (MgC/ha/yr) 45.72 NPP 18.58 litterfall (Mg/ha/yr) 6.09
622 Trees (1/ha): 5179.00 | 664.00 | 72.00 *** nbdead (%): 3.26 | 0.00 | 0.00 *** AGB (t/ha): 203.00 GPP (MgC/ha/yr) 43.60 NPP 17.43 litterfall (Mg/ha/yr) 6.11
623 Trees (1/ha): 5151.00 | 662.00 | 72.00 *** nbdead (%): 3.26 | 0.30 | 0.00 *** AGB (t/ha): 203.00 GPP (MgC/ha/yr) 36.89 NPP 13.62 litterfall (Mg/ha/yr) 6.13
10000 Seedrain: 50000.00
Trees_mature: 342 Nbseedsadded: 47273 effective: 48725 nbspeciesaffected: 45
624 Trees (1/ha): 4909.00 | 661.00 | 72.00 *** nbdead (%): 8.19 | 0.30 | 0.00 *** AGB (t/ha): 203.00 GPP (MgC/ha/yr) 36.78 NPP 14.06 litterfall (Mg/ha/yr) 6.13
625 Trees (1/ha): 5119.00 | 661.00 | 72.00 *** nbdead (%): 3.46 | 0.00 | 0.00 *** AGB (t/ha): 203.00 GPP (MgC/ha/yr) 35.04 NPP 12.91 litterfall (Mg/ha/yr) 6.13
626 Trees (1/ha): 5133.00 | 661.00 | 73.00 *** nbdead (%): 4.23 | 0.00 | 0.00 *** AGB (t/ha): 204.00 GPP (MgC/ha/yr) 36.18 NPP 13.86 litterfall (Mg/ha/yr) 6.11
627 Trees (1/ha): 5148.00 | 661.00 | 73.00 *** nbdead (%): 4.62 | 0.00 | 0.00 *** AGB (t/ha): 204.00 GPP (MgC/ha/yr) 37.06 NPP 14.26 litterfall (Mg/ha/yr) 6.09
628 Trees (1/ha): 5177.00 | 661.00 | 73.00 *** nbdead (%): 4.29 | 0.30 | 0.00 *** AGB (t/ha): 204.00 GPP (MgC/ha/yr) 36.30 NPP 13.62 litterfall (Mg/ha/yr) 6.07
629 Trees (1/ha): 5108.00 | 659.00 | 73.00 *** nbdead (%): 5.76 | 0.30 | 0.00 *** AGB (t/ha): 204.00 GPP (MgC/ha/yr) 37.69 NPP 14.81 litterfall (Mg/ha/yr) 6.06
630 Trees (1/ha): 5094.00 | 658.00 | 74.00 *** nbdead (%): 6.38 | 0.15 | 0.00 *** AGB (t/ha): 205.00 GPP (MgC/ha/yr) 39.52 NPP 15.89 litterfall (Mg/ha/yr) 6.06
631 Trees (1/ha): 5053.00 | 658.00 | 74.00 *** nbdead (%): 7.07 | 0.00 | 0.00 *** AGB (t/ha): 205.00 GPP (MgC/ha/yr) 42.73 NPP 17.66 litterfall (Mg/ha/yr) 6.07
632 Trees (1/ha): 5104.00 | 657.00 | 73.00 *** nbdead (%): 5.23 | 0.30 | 1.37 *** AGB (t/ha): 205.00 GPP (MgC/ha/yr) 45.24 NPP 18.78 litterfall (Mg/ha/yr) 6.06
633 Trees (1/ha): 5180.00 | 657.00 | 74.00 *** nbdead (%): 3.47 | 0.00 | 0.00 *** AGB (t/ha): 206.00 GPP (MgC/ha/yr) 45.75 NPP 18.60 litterfall (Mg/ha/yr) 6.08
634 Trees (1/ha): 5223.00 | 655.00 | 75.00 *** nbdead (%): 2.60 | 0.46 | 0.00 *** AGB (t/ha): 206.00 GPP (MgC/ha/yr) 43.50 NPP 17.39 litterfall (Mg/ha/yr) 6.09
635 Trees (1/ha): 5175.00 | 654.00 | 76.00 *** nbdead (%): 2.94 | 0.15 | 0.00 *** AGB (t/ha): 206.00 GPP (MgC/ha/yr) 36.95 NPP 13.66 litterfall (Mg/ha/yr) 6.11
10000 Seedrain: 50000.00
Trees_mature: 340 Nbseedsadded: 47386 effective: 48819 nbspeciesaffected: 45
636 Trees (1/ha): 4948.00 | 652.00 | 76.00 *** nbdead (%): 7.74 | 0.31 | 0.00 *** AGB (t/ha): 206.00 GPP (MgC/ha/yr) 36.81 NPP 14.07 litterfall (Mg/ha/yr) 6.12
637 Trees (1/ha): 5099.00 | 652.00 | 76.00 *** nbdead (%): 3.79 | 0.00 | 0.00 *** AGB (t/ha): 206.00 GPP (MgC/ha/yr) 35.07 NPP 12.93 litterfall (Mg/ha/yr) 6.11
638 Trees (1/ha): 5138.00 | 651.00 | 76.00 *** nbdead (%): 4.28 | 0.31 | 0.00 *** AGB (t/ha): 206.00 GPP (MgC/ha/yr) 36.21 NPP 13.87 litterfall (Mg/ha/yr) 6.09
639 Trees (1/ha): 5172.00 | 651.00 | 76.00 *** nbdead (%): 4.31 | 0.00 | 0.00 *** AGB (t/ha): 207.00 GPP (MgC/ha/yr) 37.08 NPP 14.27 litterfall (Mg/ha/yr) 6.08
640 Trees (1/ha): 5172.00 | 650.00 | 76.00 *** nbdead (%): 4.66 | 0.15 | 0.00 *** AGB (t/ha): 207.00 GPP (MgC/ha/yr) 36.35 NPP 13.64 litterfall (Mg/ha/yr) 6.07
641 Trees (1/ha): 5121.00 | 650.00 | 76.00 *** nbdead (%): 5.55 | 0.15 | 0.00 *** AGB (t/ha): 207.00 GPP (MgC/ha/yr) 37.75 NPP 14.83 litterfall (Mg/ha/yr) 6.06
642 Trees (1/ha): 5073.00 | 650.00 | 76.00 *** nbdead (%): 6.70 | 0.00 | 0.00 *** AGB (t/ha): 208.00 GPP (MgC/ha/yr) 39.61 NPP 15.93 litterfall (Mg/ha/yr) 6.05
643 Trees (1/ha): 5107.00 | 648.00 | 76.00 *** nbdead (%): 5.60 | 0.31 | 1.32 *** AGB (t/ha): 207.00 GPP (MgC/ha/yr) 42.50 NPP 17.55 litterfall (Mg/ha/yr) 6.02
644 Trees (1/ha): 5088.00 | 648.00 | 76.00 *** nbdead (%): 5.40 | 0.00 | 0.00 *** AGB (t/ha): 207.00 GPP (MgC/ha/yr) 45.27 NPP 18.82 litterfall (Mg/ha/yr) 6.03
645 Trees (1/ha): 5182.00 | 648.00 | 78.00 *** nbdead (%): 4.11 | 0.15 | 0.00 *** AGB (t/ha): 208.00 GPP (MgC/ha/yr) 45.75 NPP 18.61 litterfall (Mg/ha/yr) 6.07
646 Trees (1/ha): 5180.00 | 647.00 | 78.00 *** nbdead (%): 3.36 | 0.15 | 0.00 *** AGB (t/ha): 208.00 GPP (MgC/ha/yr) 43.51 NPP 17.40 litterfall (Mg/ha/yr) 6.08
647 Trees (1/ha): 5151.00 | 646.00 | 78.00 *** nbdead (%): 3.16 | 0.15 | 0.00 *** AGB (t/ha): 208.00 GPP (MgC/ha/yr) 36.92 NPP 13.64 litterfall (Mg/ha/yr) 6.10
10000 Seedrain: 50000.00
Trees_mature: 339 Nbseedsadded: 47363 effective: 48716 nbspeciesaffected: 45
648 Trees (1/ha): 4952.00 | 646.00 | 78.00 *** nbdead (%): 7.61 | 0.00 | 0.00 *** AGB (t/ha): 208.00 GPP (MgC/ha/yr) 36.79 NPP 14.06 litterfall (Mg/ha/yr) 6.11
649 Trees (1/ha): 5124.00 | 646.00 | 80.00 *** nbdead (%): 3.30 | 0.00 | 0.00 *** AGB (t/ha): 209.00 GPP (MgC/ha/yr) 35.04 NPP 12.91 litterfall (Mg/ha/yr) 6.11
650 Trees (1/ha): 5130.00 | 645.00 | 80.00 *** nbdead (%): 4.42 | 0.16 | 0.00 *** AGB (t/ha): 209.00 GPP (MgC/ha/yr) 36.14 NPP 13.84 litterfall (Mg/ha/yr) 6.09
651 Trees (1/ha): 5188.00 | 644.00 | 80.00 *** nbdead (%): 4.12 | 0.16 | 0.00 *** AGB (t/ha): 209.00 GPP (MgC/ha/yr) 36.95 NPP 14.22 litterfall (Mg/ha/yr) 6.06
652 Trees (1/ha): 5192.00 | 644.00 | 80.00 *** nbdead (%): 4.24 | 0.00 | 0.00 *** AGB (t/ha): 209.00 GPP (MgC/ha/yr) 36.23 NPP 13.60 litterfall (Mg/ha/yr) 6.04
653 Trees (1/ha): 5135.00 | 642.00 | 80.00 *** nbdead (%): 5.78 | 0.31 | 0.00 *** AGB (t/ha): 209.00 GPP (MgC/ha/yr) 37.61 NPP 14.78 litterfall (Mg/ha/yr) 6.03
654 Trees (1/ha): 5124.00 | 642.00 | 80.00 *** nbdead (%): 6.05 | 0.00 | 0.00 *** AGB (t/ha): 210.00 GPP (MgC/ha/yr) 39.45 NPP 15.86 litterfall (Mg/ha/yr) 6.03
655 Trees (1/ha): 5060.00 | 642.00 | 82.00 *** nbdead (%): 7.11 | 0.16 | 0.00 *** AGB (t/ha): 210.00 GPP (MgC/ha/yr) 42.63 NPP 17.62 litterfall (Mg/ha/yr) 6.03
656 Trees (1/ha): 5101.00 | 642.00 | 82.00 *** nbdead (%): 5.31 | 0.16 | 0.00 *** AGB (t/ha): 211.00 GPP (MgC/ha/yr) 45.31 NPP 18.81 litterfall (Mg/ha/yr) 6.05
657 Trees (1/ha): 5161.00 | 641.00 | 83.00 *** nbdead (%): 3.86 | 0.16 | 0.00 *** AGB (t/ha): 211.00 GPP (MgC/ha/yr) 45.76 NPP 18.58 litterfall (Mg/ha/yr) 6.07
658 Trees (1/ha): 5169.00 | 640.00 | 83.00 *** nbdead (%): 3.11 | 0.16 | 0.00 *** AGB (t/ha): 212.00 GPP (MgC/ha/yr) 43.62 NPP 17.42 litterfall (Mg/ha/yr) 6.10
659 Trees (1/ha): 5172.00 | 637.00 | 84.00 *** nbdead (%): 2.55 | 0.47 | 0.00 *** AGB (t/ha): 212.00 GPP (MgC/ha/yr) 37.00 NPP 13.65 litterfall (Mg/ha/yr) 6.12
10000 Seedrain: 50000.00
Trees_mature: 336 Nbseedsadded: 47339 effective: 48668 nbspeciesaffected: 45
660 Trees (1/ha): 4951.00 | 636.00 | 84.00 *** nbdead (%): 7.45 | 0.31 | 0.00 *** AGB (t/ha): 212.00 GPP (MgC/ha/yr) 36.86 NPP 14.07 litterfall (Mg/ha/yr) 6.13
661 Trees (1/ha): 5084.00 | 634.00 | 83.00 *** nbdead (%): 3.78 | 0.32 | 1.20 *** AGB (t/ha): 211.00 GPP (MgC/ha/yr) 34.91 NPP 12.84 litterfall (Mg/ha/yr) 6.10
662 Trees (1/ha): 5129.00 | 634.00 | 83.00 *** nbdead (%): 4.21 | 0.00 | 0.00 *** AGB (t/ha): 211.00 GPP (MgC/ha/yr) 36.07 NPP 13.81 litterfall (Mg/ha/yr) 6.08
663 Trees (1/ha): 5157.00 | 634.00 | 83.00 *** nbdead (%): 4.85 | 0.16 | 0.00 *** AGB (t/ha): 211.00 GPP (MgC/ha/yr) 36.94 NPP 14.21 litterfall (Mg/ha/yr) 6.06
664 Trees (1/ha): 5204.00 | 634.00 | 84.00 *** nbdead (%): 4.30 | 0.00 | 0.00 *** AGB (t/ha): 212.00 GPP (MgC/ha/yr) 36.22 NPP 13.58 litterfall (Mg/ha/yr) 6.05
665 Trees (1/ha): 5107.00 | 634.00 | 84.00 *** nbdead (%): 6.17 | 0.00 | 0.00 *** AGB (t/ha): 212.00 GPP (MgC/ha/yr) 37.61 NPP 14.77 litterfall (Mg/ha/yr) 6.04
666 Trees (1/ha): 5121.00 | 634.00 | 84.00 *** nbdead (%): 5.76 | 0.00 | 0.00 *** AGB (t/ha): 212.00 GPP (MgC/ha/yr) 39.45 NPP 15.86 litterfall (Mg/ha/yr) 6.04
667 Trees (1/ha): 5077.00 | 634.00 | 84.00 *** nbdead (%): 6.30 | 0.00 | 0.00 *** AGB (t/ha): 213.00 GPP (MgC/ha/yr) 42.65 NPP 17.61 litterfall (Mg/ha/yr) 6.04
668 Trees (1/ha): 5089.00 | 634.00 | 85.00 *** nbdead (%): 5.54 | 0.00 | 0.00 *** AGB (t/ha): 214.00 GPP (MgC/ha/yr) 45.31 NPP 18.80 litterfall (Mg/ha/yr) 6.06
669 Trees (1/ha): 5124.00 | 634.00 | 85.00 *** nbdead (%): 4.23 | 0.00 | 0.00 *** AGB (t/ha): 214.00 GPP (MgC/ha/yr) 45.75 NPP 18.56 litterfall (Mg/ha/yr) 6.08
670 Trees (1/ha): 5156.00 | 632.00 | 85.00 *** nbdead (%): 2.99 | 0.32 | 0.00 *** AGB (t/ha): 214.00 GPP (MgC/ha/yr) 43.60 NPP 17.41 litterfall (Mg/ha/yr) 6.10
671 Trees (1/ha): 5146.00 | 632.00 | 85.00 *** nbdead (%): 2.82 | 0.00 | 0.00 *** AGB (t/ha): 215.00 GPP (MgC/ha/yr) 36.99 NPP 13.64 litterfall (Mg/ha/yr) 6.13
10000 Seedrain: 50000.00
Trees_mature: 336 Nbseedsadded: 47397 effective: 48746 nbspeciesaffected: 45
672 Trees (1/ha): 4948.00 | 630.00 | 85.00 *** nbdead (%): 7.34 | 0.32 | 0.00 *** AGB (t/ha): 215.00 GPP (MgC/ha/yr) 36.86 NPP 14.06 litterfall (Mg/ha/yr) 6.13
673 Trees (1/ha): 5073.00 | 630.00 | 85.00 *** nbdead (%): 3.86 | 0.00 | 0.00 *** AGB (t/ha): 215.00 GPP (MgC/ha/yr) 35.11 NPP 12.91 litterfall (Mg/ha/yr) 6.13
674 Trees (1/ha): 5058.00 | 628.00 | 86.00 *** nbdead (%): 5.06 | 0.32 | 0.00 *** AGB (t/ha): 215.00 GPP (MgC/ha/yr) 36.22 NPP 13.84 litterfall (Mg/ha/yr) 6.11
675 Trees (1/ha): 5120.00 | 628.00 | 88.00 *** nbdead (%): 4.51 | 0.16 | 0.00 *** AGB (t/ha): 216.00 GPP (MgC/ha/yr) 37.09 NPP 14.24 litterfall (Mg/ha/yr) 6.09
676 Trees (1/ha): 5135.00 | 628.00 | 88.00 *** nbdead (%): 4.54 | 0.00 | 0.00 *** AGB (t/ha): 216.00 GPP (MgC/ha/yr) 36.34 NPP 13.60 litterfall (Mg/ha/yr) 6.07
677 Trees (1/ha): 5061.00 | 626.00 | 88.00 *** nbdead (%): 6.16 | 0.48 | 0.00 *** AGB (t/ha): 216.00 GPP (MgC/ha/yr) 37.65 NPP 14.76 litterfall (Mg/ha/yr) 6.05
678 Trees (1/ha): 5084.00 | 626.00 | 88.00 *** nbdead (%): 5.51 | 0.00 | 0.00 *** AGB (t/ha): 216.00 GPP (MgC/ha/yr) 39.52 NPP 15.86 litterfall (Mg/ha/yr) 6.05
679 Trees (1/ha): 5044.00 | 626.00 | 88.00 *** nbdead (%): 6.56 | 0.00 | 0.00 *** AGB (t/ha): 217.00 GPP (MgC/ha/yr) 42.71 NPP 17.62 litterfall (Mg/ha/yr) 6.05
680 Trees (1/ha): 5077.00 | 625.00 | 90.00 *** nbdead (%): 4.98 | 0.16 | 0.00 *** AGB (t/ha): 217.00 GPP (MgC/ha/yr) 45.28 NPP 18.76 litterfall (Mg/ha/yr) 6.05
681 Trees (1/ha): 5114.00 | 626.00 | 90.00 *** nbdead (%): 3.83 | 0.00 | 0.00 *** AGB (t/ha): 217.00 GPP (MgC/ha/yr) 45.74 NPP 18.54 litterfall (Mg/ha/yr) 6.08
682 Trees (1/ha): 5140.00 | 625.00 | 91.00 *** nbdead (%): 2.92 | 0.16 | 0.00 *** AGB (t/ha): 218.00 GPP (MgC/ha/yr) 43.59 NPP 17.37 litterfall (Mg/ha/yr) 6.10
683 Trees (1/ha): 5076.00 | 624.00 | 92.00 *** nbdead (%): 3.53 | 0.16 | 0.00 *** AGB (t/ha): 218.00 GPP (MgC/ha/yr) 36.97 NPP 13.61 litterfall (Mg/ha/yr) 6.12
10000 Seedrain: 50000.00
Trees_mature: 335 Nbseedsadded: 47438 effective: 48829 nbspeciesaffected: 45
684 Trees (1/ha): 4868.00 | 624.00 | 92.00 *** nbdead (%): 7.99 | 0.00 | 0.00 *** AGB (t/ha): 218.00 GPP (MgC/ha/yr) 36.83 NPP 14.02 litterfall (Mg/ha/yr) 6.12
685 Trees (1/ha): 5062.00 | 623.00 | 92.00 *** nbdead (%): 3.44 | 0.16 | 0.00 *** AGB (t/ha): 218.00 GPP (MgC/ha/yr) 35.06 NPP 12.86 litterfall (Mg/ha/yr) 6.12
686 Trees (1/ha): 5032.00 | 623.00 | 92.00 *** nbdead (%): 5.33 | 0.00 | 0.00 *** AGB (t/ha): 219.00 GPP (MgC/ha/yr) 36.19 NPP 13.81 litterfall (Mg/ha/yr) 6.10
687 Trees (1/ha): 5076.00 | 624.00 | 93.00 *** nbdead (%): 4.91 | 0.00 | 0.00 *** AGB (t/ha): 219.00 GPP (MgC/ha/yr) 37.08 NPP 14.22 litterfall (Mg/ha/yr) 6.08
688 Trees (1/ha): 5132.00 | 624.00 | 94.00 *** nbdead (%): 4.15 | 0.00 | 0.00 *** AGB (t/ha): 219.00 GPP (MgC/ha/yr) 36.35 NPP 13.59 litterfall (Mg/ha/yr) 6.07
689 Trees (1/ha): 5057.00 | 623.00 | 96.00 *** nbdead (%): 5.87 | 0.16 | 0.00 *** AGB (t/ha): 220.00 GPP (MgC/ha/yr) 37.73 NPP 14.77 litterfall (Mg/ha/yr) 6.06
690 Trees (1/ha): 5031.00 | 623.00 | 98.00 *** nbdead (%): 6.40 | 0.00 | 0.00 *** AGB (t/ha): 220.00 GPP (MgC/ha/yr) 39.57 NPP 15.86 litterfall (Mg/ha/yr) 6.05
691 Trees (1/ha): 4996.00 | 623.00 | 100.00 *** nbdead (%): 6.55 | 0.00 | 0.00 *** AGB (t/ha): 221.00 GPP (MgC/ha/yr) 42.77 NPP 17.61 litterfall (Mg/ha/yr) 6.06
692 Trees (1/ha): 5015.00 | 623.00 | 101.00 *** nbdead (%): 5.66 | 0.00 | 0.00 *** AGB (t/ha): 221.00 GPP (MgC/ha/yr) 45.44 NPP 18.80 litterfall (Mg/ha/yr) 6.07
693 Trees (1/ha): 5062.00 | 623.00 | 101.00 *** nbdead (%): 3.87 | 0.16 | 0.00 *** AGB (t/ha): 222.00 GPP (MgC/ha/yr) 45.81 NPP 18.54 litterfall (Mg/ha/yr) 6.09
694 Trees (1/ha): 5062.00 | 621.00 | 101.00 *** nbdead (%): 3.14 | 0.32 | 0.00 *** AGB (t/ha): 222.00 GPP (MgC/ha/yr) 43.68 NPP 17.39 litterfall (Mg/ha/yr) 6.11
695 Trees (1/ha): 5062.00 | 621.00 | 101.00 *** nbdead (%): 3.04 | 0.16 | 0.00 *** AGB (t/ha): 222.00 GPP (MgC/ha/yr) 37.05 NPP 13.61 litterfall (Mg/ha/yr) 6.14
10000 Seedrain: 50000.00
Trees_mature: 337 Nbseedsadded: 47307 effective: 48686 nbspeciesaffected: 45
696 Trees (1/ha): 4861.00 | 618.00 | 104.00 *** nbdead (%): 7.39 | 0.49 | 0.00 *** AGB (t/ha): 222.00 GPP (MgC/ha/yr) 36.91 NPP 14.03 litterfall (Mg/ha/yr) 6.14
697 Trees (1/ha): 5023.00 | 618.00 | 105.00 *** nbdead (%): 3.40 | 0.00 | 0.00 *** AGB (t/ha): 222.00 GPP (MgC/ha/yr) 35.16 NPP 12.88 litterfall (Mg/ha/yr) 6.13
698 Trees (1/ha): 4999.00 | 618.00 | 105.00 *** nbdead (%): 4.78 | 0.16 | 0.00 *** AGB (t/ha): 222.00 GPP (MgC/ha/yr) 36.28 NPP 13.82 litterfall (Mg/ha/yr) 6.11
699 Trees (1/ha): 5052.00 | 618.00 | 105.00 *** nbdead (%): 4.65 | 0.00 | 0.00 *** AGB (t/ha): 223.00 GPP (MgC/ha/yr) 37.18 NPP 14.23 litterfall (Mg/ha/yr) 6.10
700 Trees (1/ha): 5083.00 | 617.00 | 104.00 *** nbdead (%): 4.47 | 0.16 | 0.96 *** AGB (t/ha): 223.00 GPP (MgC/ha/yr) 36.30 NPP 13.54 litterfall (Mg/ha/yr) 6.06
701 Trees (1/ha): 5005.00 | 615.00 | 105.00 *** nbdead (%): 6.31 | 0.33 | 0.00 *** AGB (t/ha): 223.00 GPP (MgC/ha/yr) 37.70 NPP 14.74 litterfall (Mg/ha/yr) 6.04
702 Trees (1/ha): 5006.00 | 615.00 | 107.00 *** nbdead (%): 6.33 | 0.16 | 0.00 *** AGB (t/ha): 223.00 GPP (MgC/ha/yr) 39.54 NPP 15.83 litterfall (Mg/ha/yr) 6.04
703 Trees (1/ha): 5008.00 | 615.00 | 107.00 *** nbdead (%): 6.47 | 0.00 | 0.00 *** AGB (t/ha): 223.00 GPP (MgC/ha/yr) 42.74 NPP 17.59 litterfall (Mg/ha/yr) 6.05
704 Trees (1/ha): 5024.00 | 616.00 | 107.00 *** nbdead (%): 5.29 | 0.00 | 0.00 *** AGB (t/ha): 224.00 GPP (MgC/ha/yr) 45.41 NPP 18.78 litterfall (Mg/ha/yr) 6.06
705 Trees (1/ha): 5078.00 | 616.00 | 107.00 *** nbdead (%): 3.76 | 0.00 | 0.00 *** AGB (t/ha): 225.00 GPP (MgC/ha/yr) 45.82 NPP 18.53 litterfall (Mg/ha/yr) 6.08
706 Trees (1/ha): 5069.00 | 615.00 | 106.00 *** nbdead (%): 3.24 | 0.16 | 0.94 *** AGB (t/ha): 225.00 GPP (MgC/ha/yr) 43.53 NPP 17.31 litterfall (Mg/ha/yr) 6.09
707 Trees (1/ha): 5054.00 | 614.00 | 106.00 *** nbdead (%): 3.01 | 0.16 | 0.00 *** AGB (t/ha): 225.00 GPP (MgC/ha/yr) 36.95 NPP 13.57 litterfall (Mg/ha/yr) 6.11
10000 Seedrain: 50000.00
Trees_mature: 339 Nbseedsadded: 47282 effective: 48682 nbspeciesaffected: 45
708 Trees (1/ha): 4850.00 | 612.00 | 106.00 *** nbdead (%): 7.94 | 0.49 | 0.00 *** AGB (t/ha): 225.00 GPP (MgC/ha/yr) 36.82 NPP 14.00 litterfall (Mg/ha/yr) 6.12
709 Trees (1/ha): 5006.00 | 611.00 | 105.00 *** nbdead (%): 3.84 | 0.16 | 0.95 *** AGB (t/ha): 224.00 GPP (MgC/ha/yr) 34.93 NPP 12.79 litterfall (Mg/ha/yr) 6.09
710 Trees (1/ha): 5036.00 | 609.00 | 105.00 *** nbdead (%): 4.51 | 0.33 | 0.00 *** AGB (t/ha): 224.00 GPP (MgC/ha/yr) 36.08 NPP 13.76 litterfall (Mg/ha/yr) 6.07
711 Trees (1/ha): 5113.00 | 610.00 | 106.00 *** nbdead (%): 4.30 | 0.00 | 0.00 *** AGB (t/ha): 225.00 GPP (MgC/ha/yr) 36.98 NPP 14.16 litterfall (Mg/ha/yr) 6.05
712 Trees (1/ha): 5128.00 | 610.00 | 107.00 *** nbdead (%): 4.49 | 0.00 | 0.00 *** AGB (t/ha): 225.00 GPP (MgC/ha/yr) 36.27 NPP 13.55 litterfall (Mg/ha/yr) 6.04
713 Trees (1/ha): 5081.00 | 609.00 | 109.00 *** nbdead (%): 5.45 | 0.16 | 0.00 *** AGB (t/ha): 225.00 GPP (MgC/ha/yr) 37.63 NPP 14.72 litterfall (Mg/ha/yr) 6.03
714 Trees (1/ha): 5072.00 | 608.00 | 109.00 *** nbdead (%): 5.93 | 0.16 | 0.00 *** AGB (t/ha): 226.00 GPP (MgC/ha/yr) 39.48 NPP 15.81 litterfall (Mg/ha/yr) 6.03
715 Trees (1/ha): 5033.00 | 608.00 | 109.00 *** nbdead (%): 6.50 | 0.00 | 0.00 *** AGB (t/ha): 226.00 GPP (MgC/ha/yr) 42.68 NPP 17.58 litterfall (Mg/ha/yr) 6.03
ABC: Conservation of Traits
ABC: Ground data
ABC: CHM simulation
ABC: Transmittance simulation
ABC: Species outputs
716 Trees (1/ha): 5060.00 | 605.00 | 109.00 *** nbdead (%): 5.36 | 0.50 | 0.00 *** AGB (t/ha): 226.00 GPP (MgC/ha/yr) 45.31 NPP 18.75 litterfall (Mg/ha/yr) 6.04
717 Trees (1/ha): 5123.00 | 605.00 | 109.00 *** nbdead (%): 3.77 | 0.00 | 0.00 *** AGB (t/ha): 226.00 GPP (MgC/ha/yr) 45.75 NPP 18.51 litterfall (Mg/ha/yr) 6.06
718 Trees (1/ha): 5122.00 | 605.00 | 110.00 *** nbdead (%): 3.26 | 0.00 | 0.00 *** AGB (t/ha): 227.00 GPP (MgC/ha/yr) 43.63 NPP 17.37 litterfall (Mg/ha/yr) 6.09
719 Trees (1/ha): 5082.00 | 603.00 | 109.00 *** nbdead (%): 3.44 | 0.33 | 0.92 *** AGB (t/ha): 226.00 GPP (MgC/ha/yr) 36.86 NPP 13.54 litterfall (Mg/ha/yr) 6.09
10000 Seedrain: 50000.00
Trees_mature: 331 Nbseedsadded: 47311 effective: 48647 nbspeciesaffected: 45
720 Trees (1/ha): 4845.00 | 601.00 | 108.00 *** nbdead (%): 8.19 | 0.33 | 0.93 *** AGB (t/ha): 226.00 GPP (MgC/ha/yr) 36.65 NPP 13.94 litterfall (Mg/ha/yr) 6.08
721 Trees (1/ha): 5062.00 | 601.00 | 108.00 *** nbdead (%): 3.38 | 0.00 | 0.00 *** AGB (t/ha): 226.00 GPP (MgC/ha/yr) 34.94 NPP 12.81 litterfall (Mg/ha/yr) 6.07
722 Trees (1/ha): 5058.00 | 600.00 | 109.00 *** nbdead (%): 5.04 | 0.17 | 0.00 *** AGB (t/ha): 226.00 GPP (MgC/ha/yr) 36.06 NPP 13.75 litterfall (Mg/ha/yr) 6.06
723 Trees (1/ha): 5118.00 | 599.00 | 110.00 *** nbdead (%): 4.44 | 0.17 | 0.00 *** AGB (t/ha): 227.00 GPP (MgC/ha/yr) 36.94 NPP 14.15 litterfall (Mg/ha/yr) 6.04
724 Trees (1/ha): 5134.00 | 597.00 | 110.00 *** nbdead (%): 4.30 | 0.34 | 0.00 *** AGB (t/ha): 226.00 GPP (MgC/ha/yr) 36.10 NPP 13.48 litterfall (Mg/ha/yr) 6.01
725 Trees (1/ha): 5035.00 | 597.00 | 110.00 *** nbdead (%): 6.38 | 0.00 | 0.00 *** AGB (t/ha): 227.00 GPP (MgC/ha/yr) 37.52 NPP 14.69 litterfall (Mg/ha/yr) 6.00
726 Trees (1/ha): 5070.00 | 597.00 | 111.00 *** nbdead (%): 5.90 | 0.00 | 0.00 *** AGB (t/ha): 227.00 GPP (MgC/ha/yr) 39.38 NPP 15.78 litterfall (Mg/ha/yr) 6.00
727 Trees (1/ha): 5031.00 | 597.00 | 111.00 *** nbdead (%): 6.38 | 0.00 | 0.00 *** AGB (t/ha): 228.00 GPP (MgC/ha/yr) 42.59 NPP 17.55 litterfall (Mg/ha/yr) 6.01
728 Trees (1/ha): 5069.00 | 598.00 | 111.00 *** nbdead (%): 5.27 | 0.00 | 0.00 *** AGB (t/ha): 228.00 GPP (MgC/ha/yr) 45.27 NPP 18.74 litterfall (Mg/ha/yr) 6.02
729 Trees (1/ha): 5108.00 | 597.00 | 111.00 *** nbdead (%): 3.82 | 0.17 | 0.00 *** AGB (t/ha): 229.00 GPP (MgC/ha/yr) 45.70 NPP 18.51 litterfall (Mg/ha/yr) 6.04
730 Trees (1/ha): 5122.00 | 597.00 | 111.00 *** nbdead (%): 2.95 | 0.00 | 0.00 *** AGB (t/ha): 229.00 GPP (MgC/ha/yr) 43.57 NPP 17.35 litterfall (Mg/ha/yr) 6.07
731 Trees (1/ha): 5122.00 | 597.00 | 111.00 *** nbdead (%): 2.62 | 0.00 | 0.00 *** AGB (t/ha): 230.00 GPP (MgC/ha/yr) 36.96 NPP 13.59 litterfall (Mg/ha/yr) 6.09
10000 Seedrain: 50000.00
Trees_mature: 331 Nbseedsadded: 47370 effective: 48732 nbspeciesaffected: 45
732 Trees (1/ha): 4900.00 | 595.00 | 111.00 *** nbdead (%): 7.49 | 0.34 | 0.00 *** AGB (t/ha): 230.00 GPP (MgC/ha/yr) 36.83 NPP 14.01 litterfall (Mg/ha/yr) 6.09
733 Trees (1/ha): 5063.00 | 594.00 | 110.00 *** nbdead (%): 3.18 | 0.17 | 0.91 *** AGB (t/ha): 229.00 GPP (MgC/ha/yr) 34.89 NPP 12.79 litterfall (Mg/ha/yr) 6.06
734 Trees (1/ha): 5051.00 | 591.00 | 111.00 *** nbdead (%): 4.61 | 0.51 | 0.00 *** AGB (t/ha): 229.00 GPP (MgC/ha/yr) 36.07 NPP 13.77 litterfall (Mg/ha/yr) 6.04
735 Trees (1/ha): 5148.00 | 590.00 | 111.00 *** nbdead (%): 4.31 | 0.17 | 0.00 *** AGB (t/ha): 229.00 GPP (MgC/ha/yr) 36.94 NPP 14.17 litterfall (Mg/ha/yr) 6.02
736 Trees (1/ha): 5136.00 | 589.00 | 111.00 *** nbdead (%): 4.67 | 0.17 | 0.00 *** AGB (t/ha): 229.00 GPP (MgC/ha/yr) 36.21 NPP 13.54 litterfall (Mg/ha/yr) 6.01
737 Trees (1/ha): 5056.00 | 586.00 | 112.00 *** nbdead (%): 6.53 | 0.51 | 0.00 *** AGB (t/ha): 229.00 GPP (MgC/ha/yr) 37.50 NPP 14.68 litterfall (Mg/ha/yr) 5.98
738 Trees (1/ha): 5070.00 | 585.00 | 112.00 *** nbdead (%): 6.15 | 0.17 | 0.00 *** AGB (t/ha): 229.00 GPP (MgC/ha/yr) 39.36 NPP 15.78 litterfall (Mg/ha/yr) 5.98
739 Trees (1/ha): 5050.00 | 583.00 | 112.00 *** nbdead (%): 6.69 | 0.34 | 0.00 *** AGB (t/ha): 228.00 GPP (MgC/ha/yr) 42.43 NPP 17.48 litterfall (Mg/ha/yr) 5.97
740 Trees (1/ha): 5095.00 | 583.00 | 113.00 *** nbdead (%): 5.18 | 0.00 | 0.00 *** AGB (t/ha): 229.00 GPP (MgC/ha/yr) 45.15 NPP 18.71 litterfall (Mg/ha/yr) 5.99
741 Trees (1/ha): 5166.00 | 584.00 | 113.00 *** nbdead (%): 3.79 | 0.00 | 0.00 *** AGB (t/ha): 230.00 GPP (MgC/ha/yr) 45.58 NPP 18.46 litterfall (Mg/ha/yr) 6.01
742 Trees (1/ha): 5192.00 | 584.00 | 113.00 *** nbdead (%): 2.77 | 0.17 | 0.00 *** AGB (t/ha): 230.00 GPP (MgC/ha/yr) 43.50 NPP 17.35 litterfall (Mg/ha/yr) 6.04
743 Trees (1/ha): 5166.00 | 585.00 | 113.00 *** nbdead (%): 2.86 | 0.00 | 0.00 *** AGB (t/ha): 230.00 GPP (MgC/ha/yr) 36.90 NPP 13.58 litterfall (Mg/ha/yr) 6.06
10000 Seedrain: 50000.00
Trees_mature: 326 Nbseedsadded: 47422 effective: 48769 nbspeciesaffected: 45
744 Trees (1/ha): 4924.00 | 582.00 | 113.00 *** nbdead (%): 8.25 | 0.52 | 0.00 *** AGB (t/ha): 230.00 GPP (MgC/ha/yr) 36.78 NPP 14.01 litterfall (Mg/ha/yr) 6.07
745 Trees (1/ha): 5102.00 | 582.00 | 113.00 *** nbdead (%): 3.33 | 0.00 | 0.00 *** AGB (t/ha): 231.00 GPP (MgC/ha/yr) 35.04 NPP 12.86 litterfall (Mg/ha/yr) 6.06
746 Trees (1/ha): 5118.00 | 578.00 | 113.00 *** nbdead (%): 3.91 | 0.87 | 0.00 *** AGB (t/ha): 230.00 GPP (MgC/ha/yr) 36.15 NPP 13.80 litterfall (Mg/ha/yr) 6.05
747 Trees (1/ha): 5148.00 | 577.00 | 114.00 *** nbdead (%): 4.37 | 0.17 | 0.00 *** AGB (t/ha): 231.00 GPP (MgC/ha/yr) 37.03 NPP 14.20 litterfall (Mg/ha/yr) 6.03
748 Trees (1/ha): 5150.00 | 575.00 | 113.00 *** nbdead (%): 4.68 | 0.35 | 0.88 *** AGB (t/ha): 230.00 GPP (MgC/ha/yr) 36.15 NPP 13.52 litterfall (Mg/ha/yr) 5.99
749 Trees (1/ha): 5053.00 | 575.00 | 113.00 *** nbdead (%): 6.75 | 0.35 | 0.00 *** AGB (t/ha): 230.00 GPP (MgC/ha/yr) 37.57 NPP 14.72 litterfall (Mg/ha/yr) 5.98
750 Trees (1/ha): 5110.00 | 575.00 | 113.00 *** nbdead (%): 5.77 | 0.00 | 0.00 *** AGB (t/ha): 230.00 GPP (MgC/ha/yr) 39.42 NPP 15.81 litterfall (Mg/ha/yr) 5.98
751 Trees (1/ha): 5099.00 | 575.00 | 113.00 *** nbdead (%): 5.86 | 0.00 | 0.00 *** AGB (t/ha): 231.00 GPP (MgC/ha/yr) 42.61 NPP 17.56 litterfall (Mg/ha/yr) 5.99
752 Trees (1/ha): 5072.00 | 575.00 | 114.00 *** nbdead (%): 5.68 | 0.00 | 0.00 *** AGB (t/ha): 231.00 GPP (MgC/ha/yr) 45.27 NPP 18.74 litterfall (Mg/ha/yr) 6.00
753 Trees (1/ha): 5128.00 | 574.00 | 114.00 *** nbdead (%): 3.72 | 0.17 | 0.00 *** AGB (t/ha): 232.00 GPP (MgC/ha/yr) 45.68 NPP 18.50 litterfall (Mg/ha/yr) 6.02
754 Trees (1/ha): 5148.00 | 573.00 | 115.00 *** nbdead (%): 2.93 | 0.17 | 0.00 *** AGB (t/ha): 232.00 GPP (MgC/ha/yr) 43.56 NPP 17.36 litterfall (Mg/ha/yr) 6.05
755 Trees (1/ha): 5106.00 | 569.00 | 115.00 *** nbdead (%): 3.31 | 0.70 | 0.00 *** AGB (t/ha): 232.00 GPP (MgC/ha/yr) 36.92 NPP 13.59 litterfall (Mg/ha/yr) 6.06
10000 Seedrain: 50000.00
Trees_mature: 323 Nbseedsadded: 47286 effective: 48613 nbspeciesaffected: 45
756 Trees (1/ha): 4915.00 | 568.00 | 115.00 *** nbdead (%): 7.14 | 0.18 | 0.00 *** AGB (t/ha): 232.00 GPP (MgC/ha/yr) 36.82 NPP 14.02 litterfall (Mg/ha/yr) 6.07
757 Trees (1/ha): 5095.00 | 568.00 | 116.00 *** nbdead (%): 3.51 | 0.00 | 0.00 *** AGB (t/ha): 232.00 GPP (MgC/ha/yr) 35.06 NPP 12.86 litterfall (Mg/ha/yr) 6.07
758 Trees (1/ha): 5101.00 | 568.00 | 116.00 *** nbdead (%): 4.63 | 0.00 | 0.00 *** AGB (t/ha): 233.00 GPP (MgC/ha/yr) 36.19 NPP 13.81 litterfall (Mg/ha/yr) 6.05
759 Trees (1/ha): 5138.00 | 567.00 | 116.00 *** nbdead (%): 4.53 | 0.18 | 0.00 *** AGB (t/ha): 233.00 GPP (MgC/ha/yr) 37.01 NPP 14.19 litterfall (Mg/ha/yr) 6.03
760 Trees (1/ha): 5161.00 | 567.00 | 116.00 *** nbdead (%): 4.34 | 0.18 | 0.00 *** AGB (t/ha): 233.00 GPP (MgC/ha/yr) 36.27 NPP 13.56 litterfall (Mg/ha/yr) 6.01
761 Trees (1/ha): 5116.00 | 566.00 | 116.00 *** nbdead (%): 5.38 | 0.18 | 0.00 *** AGB (t/ha): 233.00 GPP (MgC/ha/yr) 37.65 NPP 14.74 litterfall (Mg/ha/yr) 6.00
762 Trees (1/ha): 5066.00 | 567.00 | 116.00 *** nbdead (%): 6.28 | 0.00 | 0.00 *** AGB (t/ha): 234.00 GPP (MgC/ha/yr) 39.49 NPP 15.82 litterfall (Mg/ha/yr) 6.00
763 Trees (1/ha): 5080.00 | 567.00 | 117.00 *** nbdead (%): 5.83 | 0.00 | 0.00 *** AGB (t/ha): 234.00 GPP (MgC/ha/yr) 42.69 NPP 17.58 litterfall (Mg/ha/yr) 6.00
764 Trees (1/ha): 5065.00 | 568.00 | 119.00 *** nbdead (%): 5.43 | 0.00 | 0.00 *** AGB (t/ha): 235.00 GPP (MgC/ha/yr) 45.36 NPP 18.77 litterfall (Mg/ha/yr) 6.02
765 Trees (1/ha): 5108.00 | 566.00 | 121.00 *** nbdead (%): 4.09 | 0.35 | 0.00 *** AGB (t/ha): 235.00 GPP (MgC/ha/yr) 45.70 NPP 18.49 litterfall (Mg/ha/yr) 6.03
766 Trees (1/ha): 5126.00 | 567.00 | 121.00 *** nbdead (%): 3.26 | 0.00 | 0.00 *** AGB (t/ha): 235.00 GPP (MgC/ha/yr) 43.58 NPP 17.34 litterfall (Mg/ha/yr) 6.06
767 Trees (1/ha): 5096.00 | 567.00 | 121.00 *** nbdead (%): 3.51 | 0.00 | 0.00 *** AGB (t/ha): 236.00 GPP (MgC/ha/yr) 36.97 NPP 13.59 litterfall (Mg/ha/yr) 6.08
10000 Seedrain: 50000.00
Trees_mature: 325 Nbseedsadded: 47243 effective: 48534 nbspeciesaffected: 45
768 Trees (1/ha): 4925.00 | 566.00 | 121.00 *** nbdead (%): 7.19 | 0.35 | 0.00 *** AGB (t/ha): 235.00 GPP (MgC/ha/yr) 36.84 NPP 14.01 litterfall (Mg/ha/yr) 6.08
769 Trees (1/ha): 5086.00 | 566.00 | 121.00 *** nbdead (%): 3.13 | 0.00 | 0.00 *** AGB (t/ha): 236.00 GPP (MgC/ha/yr) 35.09 NPP 12.86 litterfall (Mg/ha/yr) 6.08
770 Trees (1/ha): 5088.00 | 566.00 | 121.00 *** nbdead (%): 4.42 | 0.00 | 0.00 *** AGB (t/ha): 236.00 GPP (MgC/ha/yr) 36.22 NPP 13.80 litterfall (Mg/ha/yr) 6.06
771 Trees (1/ha): 5116.00 | 566.00 | 121.00 *** nbdead (%): 4.57 | 0.00 | 0.00 *** AGB (t/ha): 236.00 GPP (MgC/ha/yr) 37.11 NPP 14.20 litterfall (Mg/ha/yr) 6.04
772 Trees (1/ha): 5135.00 | 565.00 | 121.00 *** nbdead (%): 4.40 | 0.18 | 0.00 *** AGB (t/ha): 237.00 GPP (MgC/ha/yr) 36.37 NPP 13.58 litterfall (Mg/ha/yr) 6.03
773 Trees (1/ha): 5046.00 | 566.00 | 121.00 *** nbdead (%): 6.08 | 0.00 | 0.00 *** AGB (t/ha): 237.00 GPP (MgC/ha/yr) 37.75 NPP 14.76 litterfall (Mg/ha/yr) 6.02
774 Trees (1/ha): 5038.00 | 566.00 | 121.00 *** nbdead (%): 6.31 | 0.00 | 0.00 *** AGB (t/ha): 237.00 GPP (MgC/ha/yr) 39.60 NPP 15.84 litterfall (Mg/ha/yr) 6.02
775 Trees (1/ha): 4996.00 | 564.00 | 121.00 *** nbdead (%): 6.63 | 0.35 | 0.00 *** AGB (t/ha): 238.00 GPP (MgC/ha/yr) 42.77 NPP 17.59 litterfall (Mg/ha/yr) 6.02
776 Trees (1/ha): 5026.00 | 562.00 | 121.00 *** nbdead (%): 5.63 | 0.36 | 0.00 *** AGB (t/ha): 238.00 GPP (MgC/ha/yr) 45.43 NPP 18.77 litterfall (Mg/ha/yr) 6.04
777 Trees (1/ha): 5092.00 | 562.00 | 121.00 *** nbdead (%): 3.65 | 0.00 | 0.00 *** AGB (t/ha): 239.00 GPP (MgC/ha/yr) 45.86 NPP 18.53 litterfall (Mg/ha/yr) 6.06
778 Trees (1/ha): 5135.00 | 560.00 | 121.00 *** nbdead (%): 2.65 | 0.36 | 0.00 *** AGB (t/ha): 239.00 GPP (MgC/ha/yr) 43.73 NPP 17.39 litterfall (Mg/ha/yr) 6.08
779 Trees (1/ha): 5111.00 | 560.00 | 122.00 *** nbdead (%): 2.90 | 0.00 | 0.00 *** AGB (t/ha): 239.00 GPP (MgC/ha/yr) 37.11 NPP 13.62 litterfall (Mg/ha/yr) 6.11
10000 Seedrain: 50000.00
Trees_mature: 323 Nbseedsadded: 47337 effective: 48709 nbspeciesaffected: 45
780 Trees (1/ha): 4906.00 | 561.00 | 122.00 *** nbdead (%): 7.24 | 0.00 | 0.00 *** AGB (t/ha): 240.00 GPP (MgC/ha/yr) 36.95 NPP 14.03 litterfall (Mg/ha/yr) 6.10
781 Trees (1/ha): 5028.00 | 561.00 | 122.00 *** nbdead (%): 3.74 | 0.00 | 0.00 *** AGB (t/ha): 240.00 GPP (MgC/ha/yr) 35.20 NPP 12.87 litterfall (Mg/ha/yr) 6.10
782 Trees (1/ha): 5037.00 | 561.00 | 122.00 *** nbdead (%): 4.71 | 0.18 | 0.00 *** AGB (t/ha): 240.00 GPP (MgC/ha/yr) 36.33 NPP 13.82 litterfall (Mg/ha/yr) 6.08
783 Trees (1/ha): 5045.00 | 560.00 | 121.00 *** nbdead (%): 4.98 | 0.18 | 0.83 *** AGB (t/ha): 240.00 GPP (MgC/ha/yr) 37.10 NPP 14.18 litterfall (Mg/ha/yr) 6.05
784 Trees (1/ha): 5090.00 | 560.00 | 122.00 *** nbdead (%): 4.34 | 0.00 | 0.00 *** AGB (t/ha): 240.00 GPP (MgC/ha/yr) 36.39 NPP 13.56 litterfall (Mg/ha/yr) 6.04
785 Trees (1/ha): 5057.00 | 560.00 | 122.00 *** nbdead (%): 5.62 | 0.00 | 0.00 *** AGB (t/ha): 240.00 GPP (MgC/ha/yr) 37.79 NPP 14.75 litterfall (Mg/ha/yr) 6.03
786 Trees (1/ha): 5017.00 | 559.00 | 122.00 *** nbdead (%): 6.32 | 0.18 | 0.00 *** AGB (t/ha): 241.00 GPP (MgC/ha/yr) 39.62 NPP 15.83 litterfall (Mg/ha/yr) 6.03
787 Trees (1/ha): 5010.00 | 560.00 | 122.00 *** nbdead (%): 6.03 | 0.00 | 0.00 *** AGB (t/ha): 241.00 GPP (MgC/ha/yr) 42.83 NPP 17.59 litterfall (Mg/ha/yr) 6.03
788 Trees (1/ha): 5023.00 | 561.00 | 122.00 *** nbdead (%): 5.24 | 0.00 | 0.00 *** AGB (t/ha): 242.00 GPP (MgC/ha/yr) 45.51 NPP 18.79 litterfall (Mg/ha/yr) 6.05
789 Trees (1/ha): 5055.00 | 561.00 | 122.00 *** nbdead (%): 4.00 | 0.18 | 0.00 *** AGB (t/ha): 242.00 GPP (MgC/ha/yr) 45.90 NPP 18.52 litterfall (Mg/ha/yr) 6.07
790 Trees (1/ha): 5082.00 | 561.00 | 122.00 *** nbdead (%): 3.03 | 0.00 | 0.00 *** AGB (t/ha): 243.00 GPP (MgC/ha/yr) 43.74 NPP 17.36 litterfall (Mg/ha/yr) 6.09
791 Trees (1/ha): 5064.00 | 561.00 | 122.00 *** nbdead (%): 2.96 | 0.00 | 0.00 *** AGB (t/ha): 243.00 GPP (MgC/ha/yr) 37.11 NPP 13.59 litterfall (Mg/ha/yr) 6.11
10000 Seedrain: 50000.00
Trees_mature: 322 Nbseedsadded: 47240 effective: 48573 nbspeciesaffected: 45
792 Trees (1/ha): 4816.00 | 561.00 | 122.00 *** nbdead (%): 8.16 | 0.00 | 0.00 *** AGB (t/ha): 243.00 GPP (MgC/ha/yr) 36.97 NPP 14.02 litterfall (Mg/ha/yr) 6.11
793 Trees (1/ha): 5022.00 | 561.00 | 123.00 *** nbdead (%): 3.44 | 0.00 | 0.00 *** AGB (t/ha): 243.00 GPP (MgC/ha/yr) 35.22 NPP 12.87 litterfall (Mg/ha/yr) 6.11
794 Trees (1/ha): 5008.00 | 560.00 | 124.00 *** nbdead (%): 4.63 | 0.18 | 0.00 *** AGB (t/ha): 244.00 GPP (MgC/ha/yr) 36.34 NPP 13.81 litterfall (Mg/ha/yr) 6.09
795 Trees (1/ha): 5046.00 | 560.00 | 125.00 *** nbdead (%): 4.68 | 0.00 | 0.00 *** AGB (t/ha): 244.00 GPP (MgC/ha/yr) 37.23 NPP 14.21 litterfall (Mg/ha/yr) 6.08
796 Trees (1/ha): 5065.00 | 560.00 | 125.00 *** nbdead (%): 4.24 | 0.18 | 0.00 *** AGB (t/ha): 244.00 GPP (MgC/ha/yr) 36.48 NPP 13.57 litterfall (Mg/ha/yr) 6.06
797 Trees (1/ha): 4976.00 | 560.00 | 125.00 *** nbdead (%): 6.21 | 0.18 | 0.00 *** AGB (t/ha): 244.00 GPP (MgC/ha/yr) 37.87 NPP 14.76 litterfall (Mg/ha/yr) 6.05
798 Trees (1/ha): 4950.00 | 560.00 | 125.00 *** nbdead (%): 6.42 | 0.00 | 0.00 *** AGB (t/ha): 245.00 GPP (MgC/ha/yr) 39.71 NPP 15.84 litterfall (Mg/ha/yr) 6.05
799 Trees (1/ha): 4933.00 | 560.00 | 126.00 *** nbdead (%): 6.39 | 0.00 | 0.00 *** AGB (t/ha): 245.00 GPP (MgC/ha/yr) 42.94 NPP 17.62 litterfall (Mg/ha/yr) 6.05
800 Trees (1/ha): 4939.00 | 560.00 | 127.00 *** nbdead (%): 5.53 | 0.18 | 0.00 *** AGB (t/ha): 246.00 GPP (MgC/ha/yr) 45.62 NPP 18.81 litterfall (Mg/ha/yr) 6.07
801 Trees (1/ha): 5026.00 | 560.00 | 127.00 *** nbdead (%): 3.36 | 0.00 | 0.00 *** AGB (t/ha): 246.00 GPP (MgC/ha/yr) 46.04 NPP 18.57 litterfall (Mg/ha/yr) 6.09
802 Trees (1/ha): 5033.00 | 559.00 | 128.00 *** nbdead (%): 3.02 | 0.36 | 0.00 *** AGB (t/ha): 246.00 GPP (MgC/ha/yr) 43.84 NPP 17.39 litterfall (Mg/ha/yr) 6.11
803 Trees (1/ha): 4987.00 | 557.00 | 128.00 *** nbdead (%): 3.51 | 0.36 | 0.00 *** AGB (t/ha): 247.00 GPP (MgC/ha/yr) 37.16 NPP 13.60 litterfall (Mg/ha/yr) 6.12
10000 Seedrain: 50000.00
Trees_mature: 322 Nbseedsadded: 47338 effective: 48620 nbspeciesaffected: 45
804 Trees (1/ha): 4812.00 | 555.00 | 128.00 *** nbdead (%): 7.42 | 0.36 | 0.00 *** AGB (t/ha): 247.00 GPP (MgC/ha/yr) 37.03 NPP 14.03 litterfall (Mg/ha/yr) 6.13
805 Trees (1/ha): 4978.00 | 555.00 | 129.00 *** nbdead (%): 3.42 | 0.00 | 0.00 *** AGB (t/ha): 247.00 GPP (MgC/ha/yr) 35.27 NPP 12.87 litterfall (Mg/ha/yr) 6.12
806 Trees (1/ha): 4949.00 | 555.00 | 130.00 *** nbdead (%): 5.09 | 0.00 | 0.00 *** AGB (t/ha): 247.00 GPP (MgC/ha/yr) 36.40 NPP 13.82 litterfall (Mg/ha/yr) 6.10
807 Trees (1/ha): 4997.00 | 555.00 | 130.00 *** nbdead (%): 4.40 | 0.00 | 0.00 *** AGB (t/ha): 248.00 GPP (MgC/ha/yr) 37.28 NPP 14.21 litterfall (Mg/ha/yr) 6.08
808 Trees (1/ha): 5025.00 | 556.00 | 130.00 *** nbdead (%): 4.26 | 0.00 | 0.00 *** AGB (t/ha): 248.00 GPP (MgC/ha/yr) 36.54 NPP 13.57 litterfall (Mg/ha/yr) 6.07
809 Trees (1/ha): 4956.00 | 555.00 | 131.00 *** nbdead (%): 5.57 | 0.18 | 0.00 *** AGB (t/ha): 248.00 GPP (MgC/ha/yr) 37.93 NPP 14.77 litterfall (Mg/ha/yr) 6.06
810 Trees (1/ha): 4951.00 | 555.00 | 131.00 *** nbdead (%): 5.96 | 0.00 | 0.00 *** AGB (t/ha): 248.00 GPP (MgC/ha/yr) 39.78 NPP 15.86 litterfall (Mg/ha/yr) 6.06
811 Trees (1/ha): 4906.00 | 555.00 | 131.00 *** nbdead (%): 6.64 | 0.00 | 0.00 *** AGB (t/ha): 249.00 GPP (MgC/ha/yr) 43.00 NPP 17.62 litterfall (Mg/ha/yr) 6.06
812 Trees (1/ha): 4923.00 | 556.00 | 131.00 *** nbdead (%): 5.77 | 0.00 | 0.00 *** AGB (t/ha): 250.00 GPP (MgC/ha/yr) 45.67 NPP 18.81 litterfall (Mg/ha/yr) 6.08
813 Trees (1/ha): 5022.00 | 554.00 | 133.00 *** nbdead (%): 3.27 | 0.36 | 0.00 *** AGB (t/ha): 250.00 GPP (MgC/ha/yr) 46.07 NPP 18.56 litterfall (Mg/ha/yr) 6.09
814 Trees (1/ha): 5020.00 | 555.00 | 133.00 *** nbdead (%): 2.85 | 0.00 | 0.00 *** AGB (t/ha): 250.00 GPP (MgC/ha/yr) 43.90 NPP 17.39 litterfall (Mg/ha/yr) 6.12
815 Trees (1/ha): 4996.00 | 555.00 | 133.00 *** nbdead (%): 3.00 | 0.00 | 0.00 *** AGB (t/ha): 251.00 GPP (MgC/ha/yr) 37.23 NPP 13.60 litterfall (Mg/ha/yr) 6.14
10000 Seedrain: 50000.00
Trees_mature: 324 Nbseedsadded: 47331 effective: 48670 nbspeciesaffected: 45
816 Trees (1/ha): 4793.00 | 554.00 | 133.00 *** nbdead (%): 7.49 | 0.18 | 0.00 *** AGB (t/ha): 251.00 GPP (MgC/ha/yr) 37.09 NPP 14.03 litterfall (Mg/ha/yr) 6.14
817 Trees (1/ha): 4908.00 | 554.00 | 133.00 *** nbdead (%): 4.20 | 0.00 | 0.00 *** AGB (t/ha): 251.00 GPP (MgC/ha/yr) 35.32 NPP 12.86 litterfall (Mg/ha/yr) 6.13
818 Trees (1/ha): 4952.00 | 553.00 | 134.00 *** nbdead (%): 4.28 | 0.18 | 0.00 *** AGB (t/ha): 251.00 GPP (MgC/ha/yr) 36.45 NPP 13.81 litterfall (Mg/ha/yr) 6.12
819 Trees (1/ha): 4919.00 | 552.00 | 133.00 *** nbdead (%): 5.45 | 0.18 | 0.75 *** AGB (t/ha): 251.00 GPP (MgC/ha/yr) 37.24 NPP 14.17 litterfall (Mg/ha/yr) 6.08
820 Trees (1/ha): 4977.00 | 549.00 | 133.00 *** nbdead (%): 4.66 | 0.55 | 0.00 *** AGB (t/ha): 251.00 GPP (MgC/ha/yr) 36.51 NPP 13.56 litterfall (Mg/ha/yr) 6.06
821 Trees (1/ha): 4946.00 | 549.00 | 133.00 *** nbdead (%): 5.72 | 0.00 | 0.00 *** AGB (t/ha): 251.00 GPP (MgC/ha/yr) 37.92 NPP 14.76 litterfall (Mg/ha/yr) 6.05
822 Trees (1/ha): 4928.00 | 547.00 | 134.00 *** nbdead (%): 6.64 | 0.37 | 0.00 *** AGB (t/ha): 251.00 GPP (MgC/ha/yr) 39.75 NPP 15.84 litterfall (Mg/ha/yr) 6.05
823 Trees (1/ha): 4926.00 | 547.00 | 134.00 *** nbdead (%): 6.41 | 0.18 | 0.00 *** AGB (t/ha): 252.00 GPP (MgC/ha/yr) 42.97 NPP 17.60 litterfall (Mg/ha/yr) 6.05
824 Trees (1/ha): 4955.00 | 548.00 | 135.00 *** nbdead (%): 5.37 | 0.00 | 0.00 *** AGB (t/ha): 252.00 GPP (MgC/ha/yr) 45.63 NPP 18.79 litterfall (Mg/ha/yr) 6.07
825 Trees (1/ha): 5013.00 | 547.00 | 136.00 *** nbdead (%): 3.73 | 0.18 | 0.00 *** AGB (t/ha): 253.00 GPP (MgC/ha/yr) 46.04 NPP 18.53 litterfall (Mg/ha/yr) 6.09
826 Trees (1/ha): 5014.00 | 548.00 | 137.00 *** nbdead (%): 2.95 | 0.00 | 0.00 *** AGB (t/ha): 253.00 GPP (MgC/ha/yr) 43.87 NPP 17.37 litterfall (Mg/ha/yr) 6.11
827 Trees (1/ha): 4973.00 | 545.00 | 137.00 *** nbdead (%): 3.42 | 0.55 | 0.00 *** AGB (t/ha): 253.00 GPP (MgC/ha/yr) 37.14 NPP 13.56 litterfall (Mg/ha/yr) 6.12
10000 Seedrain: 50000.00
Trees_mature: 320 Nbseedsadded: 47292 effective: 48615 nbspeciesaffected: 45
828 Trees (1/ha): 4788.00 | 545.00 | 138.00 *** nbdead (%): 7.16 | 0.00 | 0.00 *** AGB (t/ha): 253.00 GPP (MgC/ha/yr) 37.00 NPP 13.98 litterfall (Mg/ha/yr) 6.12
829 Trees (1/ha): 4945.00 | 544.00 | 138.00 *** nbdead (%): 3.46 | 0.18 | 0.00 *** AGB (t/ha): 253.00 GPP (MgC/ha/yr) 35.22 NPP 12.82 litterfall (Mg/ha/yr) 6.11
830 Trees (1/ha): 4921.00 | 544.00 | 139.00 *** nbdead (%): 4.63 | 0.18 | 0.00 *** AGB (t/ha): 253.00 GPP (MgC/ha/yr) 36.38 NPP 13.78 litterfall (Mg/ha/yr) 6.10
831 Trees (1/ha): 4995.00 | 543.00 | 139.00 *** nbdead (%): 4.20 | 0.18 | 0.00 *** AGB (t/ha): 253.00 GPP (MgC/ha/yr) 37.24 NPP 14.16 litterfall (Mg/ha/yr) 6.07
832 Trees (1/ha): 4990.00 | 542.00 | 139.00 *** nbdead (%): 4.53 | 0.18 | 0.00 *** AGB (t/ha): 254.00 GPP (MgC/ha/yr) 36.50 NPP 13.53 litterfall (Mg/ha/yr) 6.06
833 Trees (1/ha): 4942.00 | 542.00 | 139.00 *** nbdead (%): 5.56 | 0.00 | 0.00 *** AGB (t/ha): 254.00 GPP (MgC/ha/yr) 37.88 NPP 14.72 litterfall (Mg/ha/yr) 6.05
834 Trees (1/ha): 4902.00 | 542.00 | 139.00 *** nbdead (%): 6.47 | 0.00 | 0.00 *** AGB (t/ha): 254.00 GPP (MgC/ha/yr) 39.74 NPP 15.81 litterfall (Mg/ha/yr) 6.05
835 Trees (1/ha): 4917.00 | 542.00 | 142.00 *** nbdead (%): 6.00 | 0.00 | 0.00 *** AGB (t/ha): 255.00 GPP (MgC/ha/yr) 42.94 NPP 17.57 litterfall (Mg/ha/yr) 6.05
ABC: Conservation of Traits
ABC: Ground data
ABC: CHM simulation
ABC: Transmittance simulation
ABC: Species outputs
836 Trees (1/ha): 4913.00 | 543.00 | 142.00 *** nbdead (%): 5.35 | 0.00 | 0.00 *** AGB (t/ha): 255.00 GPP (MgC/ha/yr) 45.62 NPP 18.76 litterfall (Mg/ha/yr) 6.07
837 Trees (1/ha): 4962.00 | 543.00 | 144.00 *** nbdead (%): 3.67 | 0.00 | 0.00 *** AGB (t/ha): 256.00 GPP (MgC/ha/yr) 46.02 NPP 18.50 litterfall (Mg/ha/yr) 6.09
838 Trees (1/ha): 4927.00 | 542.00 | 144.00 *** nbdead (%): 3.59 | 0.18 | 0.00 *** AGB (t/ha): 256.00 GPP (MgC/ha/yr) 43.85 NPP 17.35 litterfall (Mg/ha/yr) 6.11
839 Trees (1/ha): 4950.00 | 542.00 | 144.00 *** nbdead (%): 2.34 | 0.00 | 0.00 *** AGB (t/ha): 257.00 GPP (MgC/ha/yr) 37.17 NPP 13.56 litterfall (Mg/ha/yr) 6.13
10000 Seedrain: 50000.00
Trees_mature: 322 Nbseedsadded: 47264 effective: 48634 nbspeciesaffected: 45
840 Trees (1/ha): 4782.00 | 542.00 | 145.00 *** nbdead (%): 7.15 | 0.00 | 0.00 *** AGB (t/ha): 257.00 GPP (MgC/ha/yr) 37.06 NPP 14.00 litterfall (Mg/ha/yr) 6.13
841 Trees (1/ha): 4929.00 | 541.00 | 145.00 *** nbdead (%): 3.21 | 0.18 | 0.00 *** AGB (t/ha): 257.00 GPP (MgC/ha/yr) 35.30 NPP 12.84 litterfall (Mg/ha/yr) 6.12
842 Trees (1/ha): 4941.00 | 541.00 | 145.00 *** nbdead (%): 4.31 | 0.00 | 0.00 *** AGB (t/ha): 257.00 GPP (MgC/ha/yr) 36.44 NPP 13.79 litterfall (Mg/ha/yr) 6.11
843 Trees (1/ha): 4955.00 | 540.00 | 147.00 *** nbdead (%): 4.56 | 0.19 | 0.00 *** AGB (t/ha): 258.00 GPP (MgC/ha/yr) 37.30 NPP 14.18 litterfall (Mg/ha/yr) 6.08
844 Trees (1/ha): 5018.00 | 539.00 | 147.00 *** nbdead (%): 3.59 | 0.19 | 0.00 *** AGB (t/ha): 258.00 GPP (MgC/ha/yr) 36.55 NPP 13.53 litterfall (Mg/ha/yr) 6.07
845 Trees (1/ha): 4903.00 | 537.00 | 148.00 *** nbdead (%): 6.08 | 0.37 | 0.00 *** AGB (t/ha): 258.00 GPP (MgC/ha/yr) 37.94 NPP 14.72 litterfall (Mg/ha/yr) 6.06
846 Trees (1/ha): 4913.00 | 537.00 | 149.00 *** nbdead (%): 5.72 | 0.00 | 0.00 *** AGB (t/ha): 258.00 GPP (MgC/ha/yr) 39.79 NPP 15.81 litterfall (Mg/ha/yr) 6.06
847 Trees (1/ha): 4846.00 | 536.00 | 149.00 *** nbdead (%): 6.83 | 0.19 | 0.00 *** AGB (t/ha): 259.00 GPP (MgC/ha/yr) 42.99 NPP 17.57 litterfall (Mg/ha/yr) 6.06
848 Trees (1/ha): 4858.00 | 537.00 | 149.00 *** nbdead (%): 5.83 | 0.00 | 0.00 *** AGB (t/ha): 259.00 GPP (MgC/ha/yr) 45.67 NPP 18.76 litterfall (Mg/ha/yr) 6.08
849 Trees (1/ha): 4910.00 | 535.00 | 148.00 *** nbdead (%): 3.81 | 0.37 | 0.68 *** AGB (t/ha): 259.00 GPP (MgC/ha/yr) 45.92 NPP 18.44 litterfall (Mg/ha/yr) 6.07
850 Trees (1/ha): 4917.00 | 535.00 | 148.00 *** nbdead (%): 3.13 | 0.00 | 0.00 *** AGB (t/ha): 259.00 GPP (MgC/ha/yr) 43.79 NPP 17.31 litterfall (Mg/ha/yr) 6.09
851 Trees (1/ha): 4925.00 | 535.00 | 149.00 *** nbdead (%): 2.98 | 0.00 | 0.00 *** AGB (t/ha): 259.00 GPP (MgC/ha/yr) 37.14 NPP 13.53 litterfall (Mg/ha/yr) 6.11
10000 Seedrain: 50000.00
Trees_mature: 317 Nbseedsadded: 47323 effective: 48693 nbspeciesaffected: 45
852 Trees (1/ha): 4744.00 | 535.00 | 149.00 *** nbdead (%): 7.19 | 0.00 | 0.00 *** AGB (t/ha): 260.00 GPP (MgC/ha/yr) 37.00 NPP 13.96 litterfall (Mg/ha/yr) 6.12
853 Trees (1/ha): 4908.00 | 533.00 | 149.00 *** nbdead (%): 3.44 | 0.38 | 0.00 *** AGB (t/ha): 259.00 GPP (MgC/ha/yr) 35.23 NPP 12.79 litterfall (Mg/ha/yr) 6.11
854 Trees (1/ha): 4886.00 | 535.00 | 149.00 *** nbdead (%): 4.71 | 0.00 | 0.00 *** AGB (t/ha): 260.00 GPP (MgC/ha/yr) 36.39 NPP 13.75 litterfall (Mg/ha/yr) 6.09
855 Trees (1/ha): 4940.00 | 534.00 | 149.00 *** nbdead (%): 4.11 | 0.19 | 0.00 *** AGB (t/ha): 260.00 GPP (MgC/ha/yr) 37.29 NPP 14.15 litterfall (Mg/ha/yr) 6.08
856 Trees (1/ha): 4957.00 | 533.00 | 149.00 *** nbdead (%): 3.93 | 0.19 | 0.67 *** AGB (t/ha): 260.00 GPP (MgC/ha/yr) 36.42 NPP 13.47 litterfall (Mg/ha/yr) 6.04
857 Trees (1/ha): 4850.00 | 533.00 | 150.00 *** nbdead (%): 6.39 | 0.19 | 0.00 *** AGB (t/ha): 260.00 GPP (MgC/ha/yr) 37.86 NPP 14.69 litterfall (Mg/ha/yr) 6.03
858 Trees (1/ha): 4887.00 | 533.00 | 151.00 *** nbdead (%): 6.22 | 0.00 | 0.00 *** AGB (t/ha): 260.00 GPP (MgC/ha/yr) 39.72 NPP 15.78 litterfall (Mg/ha/yr) 6.04
859 Trees (1/ha): 4906.00 | 533.00 | 151.00 *** nbdead (%): 5.56 | 0.00 | 0.00 *** AGB (t/ha): 261.00 GPP (MgC/ha/yr) 42.94 NPP 17.55 litterfall (Mg/ha/yr) 6.04
860 Trees (1/ha): 4866.00 | 533.00 | 151.00 *** nbdead (%): 5.73 | 0.00 | 0.00 *** AGB (t/ha): 261.00 GPP (MgC/ha/yr) 45.62 NPP 18.74 litterfall (Mg/ha/yr) 6.05
861 Trees (1/ha): 4956.00 | 530.00 | 151.00 *** nbdead (%): 3.43 | 0.57 | 0.66 *** AGB (t/ha): 260.00 GPP (MgC/ha/yr) 45.84 NPP 18.42 litterfall (Mg/ha/yr) 6.05
862 Trees (1/ha): 4945.00 | 530.00 | 151.00 *** nbdead (%): 3.01 | 0.00 | 0.00 *** AGB (t/ha): 261.00 GPP (MgC/ha/yr) 43.72 NPP 17.29 litterfall (Mg/ha/yr) 6.07
863 Trees (1/ha): 4965.00 | 529.00 | 152.00 *** nbdead (%): 2.94 | 0.19 | 0.00 *** AGB (t/ha): 261.00 GPP (MgC/ha/yr) 37.09 NPP 13.53 litterfall (Mg/ha/yr) 6.09
10000 Seedrain: 50000.00
Trees_mature: 314 Nbseedsadded: 47334 effective: 48637 nbspeciesaffected: 45
864 Trees (1/ha): 4765.00 | 530.00 | 152.00 *** nbdead (%): 7.45 | 0.00 | 0.00 *** AGB (t/ha): 261.00 GPP (MgC/ha/yr) 36.97 NPP 13.96 litterfall (Mg/ha/yr) 6.10
865 Trees (1/ha): 4919.00 | 529.00 | 152.00 *** nbdead (%): 3.58 | 0.19 | 0.00 *** AGB (t/ha): 261.00 GPP (MgC/ha/yr) 35.20 NPP 12.80 litterfall (Mg/ha/yr) 6.09
866 Trees (1/ha): 4895.00 | 528.00 | 152.00 *** nbdead (%): 4.98 | 0.19 | 0.00 *** AGB (t/ha): 262.00 GPP (MgC/ha/yr) 36.33 NPP 13.74 litterfall (Mg/ha/yr) 6.07
867 Trees (1/ha): 4957.00 | 528.00 | 152.00 *** nbdead (%): 4.54 | 0.00 | 0.00 *** AGB (t/ha): 262.00 GPP (MgC/ha/yr) 37.21 NPP 14.14 litterfall (Mg/ha/yr) 6.05
868 Trees (1/ha): 4992.00 | 527.00 | 151.00 *** nbdead (%): 4.23 | 0.19 | 0.66 *** AGB (t/ha): 261.00 GPP (MgC/ha/yr) 36.30 NPP 13.44 litterfall (Mg/ha/yr) 6.01
869 Trees (1/ha): 4934.00 | 527.00 | 153.00 *** nbdead (%): 5.57 | 0.00 | 0.00 *** AGB (t/ha): 262.00 GPP (MgC/ha/yr) 37.75 NPP 14.67 litterfall (Mg/ha/yr) 6.00
870 Trees (1/ha): 4961.00 | 527.00 | 153.00 *** nbdead (%): 5.68 | 0.00 | 0.00 *** AGB (t/ha): 262.00 GPP (MgC/ha/yr) 39.62 NPP 15.76 litterfall (Mg/ha/yr) 6.01
871 Trees (1/ha): 4913.00 | 526.00 | 152.00 *** nbdead (%): 6.31 | 0.19 | 0.66 *** AGB (t/ha): 262.00 GPP (MgC/ha/yr) 42.67 NPP 17.46 litterfall (Mg/ha/yr) 5.99
872 Trees (1/ha): 4928.00 | 525.00 | 153.00 *** nbdead (%): 5.46 | 0.19 | 0.00 *** AGB (t/ha): 262.00 GPP (MgC/ha/yr) 45.39 NPP 18.67 litterfall (Mg/ha/yr) 6.00
873 Trees (1/ha): 5006.00 | 525.00 | 153.00 *** nbdead (%): 3.72 | 0.00 | 0.00 *** AGB (t/ha): 263.00 GPP (MgC/ha/yr) 45.81 NPP 18.42 litterfall (Mg/ha/yr) 6.03
874 Trees (1/ha): 4998.00 | 525.00 | 154.00 *** nbdead (%): 3.46 | 0.00 | 0.00 *** AGB (t/ha): 263.00 GPP (MgC/ha/yr) 43.68 NPP 17.28 litterfall (Mg/ha/yr) 6.05
875 Trees (1/ha): 4988.00 | 525.00 | 154.00 *** nbdead (%): 3.09 | 0.00 | 0.00 *** AGB (t/ha): 263.00 GPP (MgC/ha/yr) 37.05 NPP 13.52 litterfall (Mg/ha/yr) 6.07
10000 Seedrain: 50000.00
Trees_mature: 314 Nbseedsadded: 47260 effective: 48578 nbspeciesaffected: 45
876 Trees (1/ha): 4764.00 | 524.00 | 154.00 *** nbdead (%): 7.96 | 0.19 | 0.00 *** AGB (t/ha): 263.00 GPP (MgC/ha/yr) 36.93 NPP 13.95 litterfall (Mg/ha/yr) 6.08
877 Trees (1/ha): 4949.00 | 523.00 | 156.00 *** nbdead (%): 3.68 | 0.19 | 0.00 *** AGB (t/ha): 263.00 GPP (MgC/ha/yr) 35.17 NPP 12.80 litterfall (Mg/ha/yr) 6.07
878 Trees (1/ha): 4946.00 | 523.00 | 157.00 *** nbdead (%): 4.59 | 0.00 | 0.00 *** AGB (t/ha): 264.00 GPP (MgC/ha/yr) 36.32 NPP 13.75 litterfall (Mg/ha/yr) 6.06
879 Trees (1/ha): 5010.00 | 523.00 | 157.00 *** nbdead (%): 4.33 | 0.00 | 0.00 *** AGB (t/ha): 264.00 GPP (MgC/ha/yr) 37.22 NPP 14.16 litterfall (Mg/ha/yr) 6.04
880 Trees (1/ha): 5013.00 | 523.00 | 157.00 *** nbdead (%): 4.41 | 0.00 | 0.00 *** AGB (t/ha): 264.00 GPP (MgC/ha/yr) 36.48 NPP 13.52 litterfall (Mg/ha/yr) 6.03
881 Trees (1/ha): 4969.00 | 521.00 | 157.00 *** nbdead (%): 5.51 | 0.38 | 0.00 *** AGB (t/ha): 265.00 GPP (MgC/ha/yr) 37.86 NPP 14.70 litterfall (Mg/ha/yr) 6.02
882 Trees (1/ha): 4916.00 | 521.00 | 157.00 *** nbdead (%): 6.49 | 0.00 | 0.00 *** AGB (t/ha): 265.00 GPP (MgC/ha/yr) 39.70 NPP 15.79 litterfall (Mg/ha/yr) 6.02
883 Trees (1/ha): 4872.00 | 520.00 | 157.00 *** nbdead (%): 7.14 | 0.19 | 0.00 *** AGB (t/ha): 265.00 GPP (MgC/ha/yr) 42.92 NPP 17.55 litterfall (Mg/ha/yr) 6.02
884 Trees (1/ha): 4943.00 | 520.00 | 157.00 *** nbdead (%): 5.34 | 0.00 | 0.00 *** AGB (t/ha): 266.00 GPP (MgC/ha/yr) 45.61 NPP 18.74 litterfall (Mg/ha/yr) 6.04
885 Trees (1/ha): 5014.00 | 521.00 | 157.00 *** nbdead (%): 3.33 | 0.00 | 0.00 *** AGB (t/ha): 266.00 GPP (MgC/ha/yr) 46.02 NPP 18.48 litterfall (Mg/ha/yr) 6.06
886 Trees (1/ha): 5031.00 | 523.00 | 157.00 *** nbdead (%): 2.62 | 0.00 | 0.00 *** AGB (t/ha): 267.00 GPP (MgC/ha/yr) 43.85 NPP 17.32 litterfall (Mg/ha/yr) 6.09
887 Trees (1/ha): 5002.00 | 523.00 | 157.00 *** nbdead (%): 2.90 | 0.00 | 0.00 *** AGB (t/ha): 267.00 GPP (MgC/ha/yr) 37.20 NPP 13.54 litterfall (Mg/ha/yr) 6.11
10000 Seedrain: 50000.00
Trees_mature: 315 Nbseedsadded: 47415 effective: 48741 nbspeciesaffected: 45
888 Trees (1/ha): 4766.00 | 521.00 | 157.00 *** nbdead (%): 7.83 | 0.38 | 0.00 *** AGB (t/ha): 267.00 GPP (MgC/ha/yr) 37.06 NPP 13.97 litterfall (Mg/ha/yr) 6.11
889 Trees (1/ha): 4918.00 | 521.00 | 157.00 *** nbdead (%): 3.58 | 0.00 | 0.00 *** AGB (t/ha): 268.00 GPP (MgC/ha/yr) 35.29 NPP 12.81 litterfall (Mg/ha/yr) 6.10
890 Trees (1/ha): 4922.00 | 521.00 | 157.00 *** nbdead (%): 4.51 | 0.00 | 0.00 *** AGB (t/ha): 268.00 GPP (MgC/ha/yr) 36.44 NPP 13.77 litterfall (Mg/ha/yr) 6.09
891 Trees (1/ha): 4976.00 | 519.00 | 158.00 *** nbdead (%): 4.36 | 0.39 | 0.00 *** AGB (t/ha): 268.00 GPP (MgC/ha/yr) 37.29 NPP 14.15 litterfall (Mg/ha/yr) 6.06
892 Trees (1/ha): 4980.00 | 519.00 | 158.00 *** nbdead (%): 4.36 | 0.19 | 0.00 *** AGB (t/ha): 268.00 GPP (MgC/ha/yr) 36.54 NPP 13.51 litterfall (Mg/ha/yr) 6.05
893 Trees (1/ha): 4898.00 | 519.00 | 158.00 *** nbdead (%): 6.29 | 0.00 | 0.00 *** AGB (t/ha): 268.00 GPP (MgC/ha/yr) 37.94 NPP 14.70 litterfall (Mg/ha/yr) 6.04
894 Trees (1/ha): 4886.00 | 518.00 | 158.00 *** nbdead (%): 6.12 | 0.19 | 0.00 *** AGB (t/ha): 268.00 GPP (MgC/ha/yr) 39.79 NPP 15.79 litterfall (Mg/ha/yr) 6.04
895 Trees (1/ha): 4887.00 | 518.00 | 158.00 *** nbdead (%): 6.00 | 0.00 | 0.00 *** AGB (t/ha): 269.00 GPP (MgC/ha/yr) 43.01 NPP 17.56 litterfall (Mg/ha/yr) 6.04
896 Trees (1/ha): 4857.00 | 518.00 | 159.00 *** nbdead (%): 6.03 | 0.00 | 0.00 *** AGB (t/ha): 269.00 GPP (MgC/ha/yr) 45.69 NPP 18.74 litterfall (Mg/ha/yr) 6.06
897 Trees (1/ha): 4951.00 | 519.00 | 159.00 *** nbdead (%): 3.76 | 0.00 | 0.00 *** AGB (t/ha): 270.00 GPP (MgC/ha/yr) 46.08 NPP 18.48 litterfall (Mg/ha/yr) 6.08
898 Trees (1/ha): 4963.00 | 519.00 | 160.00 *** nbdead (%): 3.14 | 0.19 | 0.00 *** AGB (t/ha): 270.00 GPP (MgC/ha/yr) 43.92 NPP 17.33 litterfall (Mg/ha/yr) 6.10
899 Trees (1/ha): 4934.00 | 518.00 | 160.00 *** nbdead (%): 3.16 | 0.19 | 0.00 *** AGB (t/ha): 270.00 GPP (MgC/ha/yr) 37.23 NPP 13.53 litterfall (Mg/ha/yr) 6.12
10000 Seedrain: 50000.00
Trees_mature: 316 Nbseedsadded: 47315 effective: 48606 nbspeciesaffected: 45
900 Trees (1/ha): 4693.00 | 517.00 | 160.00 *** nbdead (%): 8.95 | 0.19 | 0.00 *** AGB (t/ha): 271.00 GPP (MgC/ha/yr) 37.09 NPP 13.96 litterfall (Mg/ha/yr) 6.12
901 Trees (1/ha): 4886.00 | 516.00 | 160.00 *** nbdead (%): 3.52 | 0.19 | 0.00 *** AGB (t/ha): 271.00 GPP (MgC/ha/yr) 35.31 NPP 12.80 litterfall (Mg/ha/yr) 6.11
902 Trees (1/ha): 4906.00 | 514.00 | 160.00 *** nbdead (%): 4.63 | 0.39 | 0.00 *** AGB (t/ha): 271.00 GPP (MgC/ha/yr) 36.44 NPP 13.75 litterfall (Mg/ha/yr) 6.09
903 Trees (1/ha): 4931.00 | 513.00 | 160.00 *** nbdead (%): 4.68 | 0.19 | 0.00 *** AGB (t/ha): 271.00 GPP (MgC/ha/yr) 37.32 NPP 14.14 litterfall (Mg/ha/yr) 6.07
904 Trees (1/ha): 4978.00 | 513.00 | 160.00 *** nbdead (%): 4.28 | 0.00 | 0.00 *** AGB (t/ha): 271.00 GPP (MgC/ha/yr) 36.58 NPP 13.50 litterfall (Mg/ha/yr) 6.06
905 Trees (1/ha): 4946.00 | 512.00 | 160.00 *** nbdead (%): 5.14 | 0.20 | 0.00 *** AGB (t/ha): 271.00 GPP (MgC/ha/yr) 37.96 NPP 14.69 litterfall (Mg/ha/yr) 6.05
906 Trees (1/ha): 4874.00 | 511.00 | 161.00 *** nbdead (%): 6.57 | 0.20 | 0.00 *** AGB (t/ha): 271.00 GPP (MgC/ha/yr) 39.79 NPP 15.78 litterfall (Mg/ha/yr) 6.04
907 Trees (1/ha): 4834.00 | 510.00 | 161.00 *** nbdead (%): 7.03 | 0.20 | 0.00 *** AGB (t/ha): 272.00 GPP (MgC/ha/yr) 43.01 NPP 17.54 litterfall (Mg/ha/yr) 6.04
908 Trees (1/ha): 4894.00 | 509.00 | 160.00 *** nbdead (%): 5.62 | 0.20 | 0.62 *** AGB (t/ha): 271.00 GPP (MgC/ha/yr) 45.43 NPP 18.61 litterfall (Mg/ha/yr) 6.02
909 Trees (1/ha): 4952.00 | 509.00 | 160.00 *** nbdead (%): 3.76 | 0.00 | 0.00 *** AGB (t/ha): 272.00 GPP (MgC/ha/yr) 45.89 NPP 18.40 litterfall (Mg/ha/yr) 6.04
910 Trees (1/ha): 5000.00 | 509.00 | 161.00 *** nbdead (%): 3.00 | 0.00 | 0.00 *** AGB (t/ha): 272.00 GPP (MgC/ha/yr) 43.77 NPP 17.27 litterfall (Mg/ha/yr) 6.07
911 Trees (1/ha): 4974.00 | 509.00 | 161.00 *** nbdead (%): 3.14 | 0.20 | 0.00 *** AGB (t/ha): 272.00 GPP (MgC/ha/yr) 37.12 NPP 13.49 litterfall (Mg/ha/yr) 6.09
10000 Seedrain: 50000.00
Trees_mature: 312 Nbseedsadded: 47329 effective: 48614 nbspeciesaffected: 45
912 Trees (1/ha): 4764.00 | 508.00 | 163.00 *** nbdead (%): 7.93 | 0.20 | 0.00 *** AGB (t/ha): 272.00 GPP (MgC/ha/yr) 36.98 NPP 13.93 litterfall (Mg/ha/yr) 6.09
913 Trees (1/ha): 4943.00 | 509.00 | 164.00 *** nbdead (%): 3.52 | 0.00 | 0.00 *** AGB (t/ha): 272.00 GPP (MgC/ha/yr) 35.21 NPP 12.76 litterfall (Mg/ha/yr) 6.08
914 Trees (1/ha): 4910.00 | 508.00 | 164.00 *** nbdead (%): 4.87 | 0.20 | 0.00 *** AGB (t/ha): 273.00 GPP (MgC/ha/yr) 36.33 NPP 13.71 litterfall (Mg/ha/yr) 6.07
915 Trees (1/ha): 4938.00 | 507.00 | 165.00 *** nbdead (%): 4.94 | 0.20 | 0.00 *** AGB (t/ha): 273.00 GPP (MgC/ha/yr) 37.23 NPP 14.11 litterfall (Mg/ha/yr) 6.05
916 Trees (1/ha): 5005.00 | 507.00 | 165.00 *** nbdead (%): 4.10 | 0.00 | 0.00 *** AGB (t/ha): 273.00 GPP (MgC/ha/yr) 36.48 NPP 13.47 litterfall (Mg/ha/yr) 6.03
917 Trees (1/ha): 4906.00 | 505.00 | 164.00 *** nbdead (%): 6.01 | 0.40 | 0.61 *** AGB (t/ha): 272.00 GPP (MgC/ha/yr) 37.74 NPP 14.61 litterfall (Mg/ha/yr) 6.00
918 Trees (1/ha): 4906.00 | 505.00 | 164.00 *** nbdead (%): 5.81 | 0.00 | 0.00 *** AGB (t/ha): 273.00 GPP (MgC/ha/yr) 39.66 NPP 15.74 litterfall (Mg/ha/yr) 6.00
919 Trees (1/ha): 4856.00 | 506.00 | 164.00 *** nbdead (%): 6.90 | 0.00 | 0.00 *** AGB (t/ha): 273.00 GPP (MgC/ha/yr) 42.85 NPP 17.48 litterfall (Mg/ha/yr) 6.01
920 Trees (1/ha): 4902.00 | 505.00 | 164.00 *** nbdead (%): 5.30 | 0.20 | 0.00 *** AGB (t/ha): 274.00 GPP (MgC/ha/yr) 45.53 NPP 18.66 litterfall (Mg/ha/yr) 6.02
921 Trees (1/ha): 4965.00 | 505.00 | 164.00 *** nbdead (%): 3.54 | 0.00 | 0.00 *** AGB (t/ha): 274.00 GPP (MgC/ha/yr) 45.95 NPP 18.42 litterfall (Mg/ha/yr) 6.04
922 Trees (1/ha): 4952.00 | 505.00 | 164.00 *** nbdead (%): 3.49 | 0.00 | 0.00 *** AGB (t/ha): 275.00 GPP (MgC/ha/yr) 43.79 NPP 17.27 litterfall (Mg/ha/yr) 6.07
923 Trees (1/ha): 4941.00 | 503.00 | 164.00 *** nbdead (%): 2.93 | 0.40 | 0.00 *** AGB (t/ha): 274.00 GPP (MgC/ha/yr) 37.13 NPP 13.49 litterfall (Mg/ha/yr) 6.08
10000 Seedrain: 50000.00
Trees_mature: 310 Nbseedsadded: 47253 effective: 48534 nbspeciesaffected: 45
924 Trees (1/ha): 4717.00 | 504.00 | 164.00 *** nbdead (%): 8.03 | 0.00 | 0.00 *** AGB (t/ha): 275.00 GPP (MgC/ha/yr) 36.98 NPP 13.92 litterfall (Mg/ha/yr) 6.09
925 Trees (1/ha): 4899.00 | 504.00 | 164.00 *** nbdead (%): 3.67 | 0.00 | 0.00 *** AGB (t/ha): 275.00 GPP (MgC/ha/yr) 35.22 NPP 12.76 litterfall (Mg/ha/yr) 6.08
926 Trees (1/ha): 4913.00 | 504.00 | 164.00 *** nbdead (%): 4.44 | 0.00 | 0.00 *** AGB (t/ha): 275.00 GPP (MgC/ha/yr) 36.36 NPP 13.71 litterfall (Mg/ha/yr) 6.06
927 Trees (1/ha): 4931.00 | 504.00 | 164.00 *** nbdead (%): 4.79 | 0.00 | 0.00 *** AGB (t/ha): 276.00 GPP (MgC/ha/yr) 37.26 NPP 14.11 litterfall (Mg/ha/yr) 6.05
928 Trees (1/ha): 4965.00 | 503.00 | 163.00 *** nbdead (%): 4.51 | 0.20 | 0.61 *** AGB (t/ha): 275.00 GPP (MgC/ha/yr) 36.31 NPP 13.40 litterfall (Mg/ha/yr) 6.00
929 Trees (1/ha): 4879.00 | 501.00 | 163.00 *** nbdead (%): 6.19 | 0.40 | 0.00 *** AGB (t/ha): 275.00 GPP (MgC/ha/yr) 37.76 NPP 14.63 litterfall (Mg/ha/yr) 5.99
930 Trees (1/ha): 4899.00 | 501.00 | 164.00 *** nbdead (%): 6.61 | 0.00 | 0.00 *** AGB (t/ha): 275.00 GPP (MgC/ha/yr) 39.64 NPP 15.74 litterfall (Mg/ha/yr) 5.99
931 Trees (1/ha): 4906.00 | 501.00 | 164.00 *** nbdead (%): 5.97 | 0.00 | 0.00 *** AGB (t/ha): 275.00 GPP (MgC/ha/yr) 42.86 NPP 17.50 litterfall (Mg/ha/yr) 6.00
932 Trees (1/ha): 4877.00 | 502.00 | 164.00 *** nbdead (%): 6.21 | 0.00 | 0.00 *** AGB (t/ha): 276.00 GPP (MgC/ha/yr) 45.55 NPP 18.69 litterfall (Mg/ha/yr) 6.01
933 Trees (1/ha): 4984.00 | 503.00 | 164.00 *** nbdead (%): 3.21 | 0.20 | 0.00 *** AGB (t/ha): 276.00 GPP (MgC/ha/yr) 45.96 NPP 18.43 litterfall (Mg/ha/yr) 6.03
934 Trees (1/ha): 4969.00 | 502.00 | 163.00 *** nbdead (%): 3.20 | 0.20 | 0.61 *** AGB (t/ha): 276.00 GPP (MgC/ha/yr) 43.65 NPP 17.23 litterfall (Mg/ha/yr) 6.04
935 Trees (1/ha): 4955.00 | 501.00 | 162.00 *** nbdead (%): 3.07 | 0.20 | 0.62 *** AGB (t/ha): 275.00 GPP (MgC/ha/yr) 36.96 NPP 13.45 litterfall (Mg/ha/yr) 6.04
10000 Seedrain: 50000.00
Trees_mature: 305 Nbseedsadded: 47264 effective: 48532 nbspeciesaffected: 45
936 Trees (1/ha): 4744.00 | 501.00 | 161.00 *** nbdead (%): 8.54 | 0.20 | 0.62 *** AGB (t/ha): 274.00 GPP (MgC/ha/yr) 36.69 NPP 13.84 litterfall (Mg/ha/yr) 6.02
937 Trees (1/ha): 4935.00 | 500.00 | 161.00 *** nbdead (%): 3.91 | 0.20 | 0.00 *** AGB (t/ha): 275.00 GPP (MgC/ha/yr) 35.02 NPP 12.75 litterfall (Mg/ha/yr) 6.01
938 Trees (1/ha): 4949.00 | 500.00 | 161.00 *** nbdead (%): 5.05 | 0.00 | 0.00 *** AGB (t/ha): 275.00 GPP (MgC/ha/yr) 36.15 NPP 13.69 litterfall (Mg/ha/yr) 6.00
939 Trees (1/ha): 5010.00 | 500.00 | 161.00 *** nbdead (%): 4.41 | 0.00 | 0.00 *** AGB (t/ha): 275.00 GPP (MgC/ha/yr) 37.04 NPP 14.08 litterfall (Mg/ha/yr) 5.98
940 Trees (1/ha): 5017.00 | 501.00 | 161.00 *** nbdead (%): 4.52 | 0.00 | 0.00 *** AGB (t/ha): 275.00 GPP (MgC/ha/yr) 36.31 NPP 13.45 litterfall (Mg/ha/yr) 5.97
941 Trees (1/ha): 4958.00 | 500.00 | 161.00 *** nbdead (%): 5.87 | 0.20 | 0.00 *** AGB (t/ha): 276.00 GPP (MgC/ha/yr) 37.67 NPP 14.62 litterfall (Mg/ha/yr) 5.95
942 Trees (1/ha): 4915.00 | 500.00 | 161.00 *** nbdead (%): 6.65 | 0.00 | 0.00 *** AGB (t/ha): 276.00 GPP (MgC/ha/yr) 39.53 NPP 15.72 litterfall (Mg/ha/yr) 5.95
943 Trees (1/ha): 4911.00 | 500.00 | 161.00 *** nbdead (%): 6.72 | 0.20 | 0.00 *** AGB (t/ha): 276.00 GPP (MgC/ha/yr) 42.74 NPP 17.48 litterfall (Mg/ha/yr) 5.96
944 Trees (1/ha): 4942.00 | 499.00 | 161.00 *** nbdead (%): 5.26 | 0.20 | 0.00 *** AGB (t/ha): 277.00 GPP (MgC/ha/yr) 45.41 NPP 18.66 litterfall (Mg/ha/yr) 5.97
945 Trees (1/ha): 5023.00 | 499.00 | 161.00 *** nbdead (%): 3.46 | 0.00 | 0.00 *** AGB (t/ha): 277.00 GPP (MgC/ha/yr) 45.84 NPP 18.41 litterfall (Mg/ha/yr) 6.00
946 Trees (1/ha): 5006.00 | 498.00 | 162.00 *** nbdead (%): 3.50 | 0.20 | 0.00 *** AGB (t/ha): 278.00 GPP (MgC/ha/yr) 43.69 NPP 17.26 litterfall (Mg/ha/yr) 6.02
947 Trees (1/ha): 4994.00 | 498.00 | 162.00 *** nbdead (%): 2.96 | 0.00 | 0.00 *** AGB (t/ha): 278.00 GPP (MgC/ha/yr) 37.08 NPP 13.51 litterfall (Mg/ha/yr) 6.04
10000 Seedrain: 50000.00
Trees_mature: 301 Nbseedsadded: 47369 effective: 48565 nbspeciesaffected: 45
948 Trees (1/ha): 4777.00 | 498.00 | 162.00 *** nbdead (%): 8.04 | 0.00 | 0.00 *** AGB (t/ha): 278.00 GPP (MgC/ha/yr) 36.95 NPP 13.94 litterfall (Mg/ha/yr) 6.05
949 Trees (1/ha): 4915.00 | 497.00 | 161.00 *** nbdead (%): 4.07 | 0.20 | 0.62 *** AGB (t/ha): 277.00 GPP (MgC/ha/yr) 34.99 NPP 12.70 litterfall (Mg/ha/yr) 6.01
950 Trees (1/ha): 4934.00 | 496.00 | 161.00 *** nbdead (%): 4.62 | 0.20 | 0.00 *** AGB (t/ha): 277.00 GPP (MgC/ha/yr) 36.17 NPP 13.68 litterfall (Mg/ha/yr) 5.99
951 Trees (1/ha): 5003.00 | 496.00 | 161.00 *** nbdead (%): 4.70 | 0.00 | 0.00 *** AGB (t/ha): 278.00 GPP (MgC/ha/yr) 37.08 NPP 14.09 litterfall (Mg/ha/yr) 5.98
952 Trees (1/ha): 5033.00 | 496.00 | 162.00 *** nbdead (%): 4.43 | 0.00 | 0.00 *** AGB (t/ha): 278.00 GPP (MgC/ha/yr) 36.36 NPP 13.46 litterfall (Mg/ha/yr) 5.96
953 Trees (1/ha): 4982.00 | 495.00 | 162.00 *** nbdead (%): 5.70 | 0.20 | 0.00 *** AGB (t/ha): 278.00 GPP (MgC/ha/yr) 37.73 NPP 14.64 litterfall (Mg/ha/yr) 5.96
954 Trees (1/ha): 4953.00 | 495.00 | 162.00 *** nbdead (%): 6.22 | 0.00 | 0.00 *** AGB (t/ha): 279.00 GPP (MgC/ha/yr) 39.58 NPP 15.72 litterfall (Mg/ha/yr) 5.96
955 Trees (1/ha): 4960.00 | 495.00 | 164.00 *** nbdead (%): 5.95 | 0.00 | 0.00 *** AGB (t/ha): 279.00 GPP (MgC/ha/yr) 42.81 NPP 17.49 litterfall (Mg/ha/yr) 5.96
ABC: Conservation of Traits
ABC: Ground data
ABC: CHM simulation
ABC: Transmittance simulation
ABC: Species outputs
956 Trees (1/ha): 4956.00 | 495.00 | 164.00 *** nbdead (%): 5.55 | 0.00 | 0.00 *** AGB (t/ha): 280.00 GPP (MgC/ha/yr) 45.47 NPP 18.66 litterfall (Mg/ha/yr) 5.98
957 Trees (1/ha): 5008.00 | 496.00 | 165.00 *** nbdead (%): 3.87 | 0.00 | 0.00 *** AGB (t/ha): 280.00 GPP (MgC/ha/yr) 45.90 NPP 18.42 litterfall (Mg/ha/yr) 6.00
958 Trees (1/ha): 4993.00 | 498.00 | 166.00 *** nbdead (%): 3.38 | 0.00 | 0.00 *** AGB (t/ha): 281.00 GPP (MgC/ha/yr) 43.77 NPP 17.28 litterfall (Mg/ha/yr) 6.03
959 Trees (1/ha): 4958.00 | 498.00 | 166.00 *** nbdead (%): 3.39 | 0.20 | 0.00 *** AGB (t/ha): 281.00 GPP (MgC/ha/yr) 37.12 NPP 13.50 litterfall (Mg/ha/yr) 6.05
10000 Seedrain: 50000.00
Trees_mature: 302 Nbseedsadded: 47363 effective: 48619 nbspeciesaffected: 45
960 Trees (1/ha): 4760.00 | 496.00 | 167.00 *** nbdead (%): 7.98 | 0.40 | 0.00 *** AGB (t/ha): 281.00 GPP (MgC/ha/yr) 36.97 NPP 13.92 litterfall (Mg/ha/yr) 6.05
961 Trees (1/ha): 4914.00 | 496.00 | 169.00 *** nbdead (%): 3.72 | 0.00 | 0.00 *** AGB (t/ha): 281.00 GPP (MgC/ha/yr) 35.20 NPP 12.77 litterfall (Mg/ha/yr) 6.04
962 Trees (1/ha): 4972.00 | 495.00 | 169.00 *** nbdead (%): 3.64 | 0.20 | 0.00 *** AGB (t/ha): 281.00 GPP (MgC/ha/yr) 36.32 NPP 13.72 litterfall (Mg/ha/yr) 6.03
963 Trees (1/ha): 4975.00 | 495.00 | 170.00 *** nbdead (%): 4.42 | 0.00 | 0.00 *** AGB (t/ha): 282.00 GPP (MgC/ha/yr) 37.21 NPP 14.11 litterfall (Mg/ha/yr) 6.01
964 Trees (1/ha): 5001.00 | 495.00 | 170.00 *** nbdead (%): 3.98 | 0.00 | 0.00 *** AGB (t/ha): 282.00 GPP (MgC/ha/yr) 36.47 NPP 13.48 litterfall (Mg/ha/yr) 6.00
965 Trees (1/ha): 4880.00 | 494.00 | 170.00 *** nbdead (%): 6.68 | 0.20 | 0.00 *** AGB (t/ha): 282.00 GPP (MgC/ha/yr) 37.87 NPP 14.67 litterfall (Mg/ha/yr) 5.99
966 Trees (1/ha): 4912.00 | 495.00 | 171.00 *** nbdead (%): 6.07 | 0.00 | 0.00 *** AGB (t/ha): 282.00 GPP (MgC/ha/yr) 39.71 NPP 15.75 litterfall (Mg/ha/yr) 5.99
967 Trees (1/ha): 4862.00 | 495.00 | 171.00 *** nbdead (%): 7.05 | 0.20 | 0.58 *** AGB (t/ha): 282.00 GPP (MgC/ha/yr) 42.81 NPP 17.47 litterfall (Mg/ha/yr) 5.98
968 Trees (1/ha): 4885.00 | 496.00 | 171.00 *** nbdead (%): 5.77 | 0.00 | 0.00 *** AGB (t/ha): 283.00 GPP (MgC/ha/yr) 45.53 NPP 18.68 litterfall (Mg/ha/yr) 5.99
969 Trees (1/ha): 4994.00 | 497.00 | 173.00 *** nbdead (%): 3.28 | 0.00 | 0.00 *** AGB (t/ha): 283.00 GPP (MgC/ha/yr) 45.97 NPP 18.44 litterfall (Mg/ha/yr) 6.02
970 Trees (1/ha): 4986.00 | 497.00 | 173.00 *** nbdead (%): 3.27 | 0.00 | 0.00 *** AGB (t/ha): 284.00 GPP (MgC/ha/yr) 43.82 NPP 17.28 litterfall (Mg/ha/yr) 6.04
971 Trees (1/ha): 4984.00 | 496.00 | 172.00 *** nbdead (%): 2.87 | 0.20 | 0.58 *** AGB (t/ha): 283.00 GPP (MgC/ha/yr) 37.06 NPP 13.46 litterfall (Mg/ha/yr) 6.04
10000 Seedrain: 50000.00
Trees_mature: 300 Nbseedsadded: 47312 effective: 48558 nbspeciesaffected: 45
972 Trees (1/ha): 4765.00 | 495.00 | 172.00 *** nbdead (%): 8.00 | 0.20 | 0.00 *** AGB (t/ha): 283.00 GPP (MgC/ha/yr) 36.95 NPP 13.92 litterfall (Mg/ha/yr) 6.05
973 Trees (1/ha): 4942.00 | 495.00 | 173.00 *** nbdead (%): 3.52 | 0.00 | 0.00 *** AGB (t/ha): 284.00 GPP (MgC/ha/yr) 35.20 NPP 12.76 litterfall (Mg/ha/yr) 6.04
974 Trees (1/ha): 4940.00 | 494.00 | 173.00 *** nbdead (%): 4.66 | 0.20 | 0.00 *** AGB (t/ha): 284.00 GPP (MgC/ha/yr) 36.32 NPP 13.71 litterfall (Mg/ha/yr) 6.02
975 Trees (1/ha): 5002.00 | 492.00 | 173.00 *** nbdead (%): 4.22 | 0.41 | 0.00 *** AGB (t/ha): 284.00 GPP (MgC/ha/yr) 37.19 NPP 14.10 litterfall (Mg/ha/yr) 6.00
976 Trees (1/ha): 4989.00 | 491.00 | 172.00 *** nbdead (%): 4.87 | 0.20 | 0.58 *** AGB (t/ha): 283.00 GPP (MgC/ha/yr) 36.35 NPP 13.42 litterfall (Mg/ha/yr) 5.97
977 Trees (1/ha): 4962.00 | 490.00 | 172.00 *** nbdead (%): 5.42 | 0.41 | 0.00 *** AGB (t/ha): 283.00 GPP (MgC/ha/yr) 37.77 NPP 14.64 litterfall (Mg/ha/yr) 5.95
978 Trees (1/ha): 4935.00 | 490.00 | 172.00 *** nbdead (%): 6.42 | 0.00 | 0.00 *** AGB (t/ha): 283.00 GPP (MgC/ha/yr) 39.62 NPP 15.73 litterfall (Mg/ha/yr) 5.95
979 Trees (1/ha): 4924.00 | 490.00 | 172.00 *** nbdead (%): 6.36 | 0.00 | 0.00 *** AGB (t/ha): 284.00 GPP (MgC/ha/yr) 42.84 NPP 17.49 litterfall (Mg/ha/yr) 5.96
980 Trees (1/ha): 4916.00 | 490.00 | 172.00 *** nbdead (%): 5.90 | 0.00 | 0.00 *** AGB (t/ha): 284.00 GPP (MgC/ha/yr) 45.50 NPP 18.65 litterfall (Mg/ha/yr) 5.97
981 Trees (1/ha): 4984.00 | 491.00 | 172.00 *** nbdead (%): 3.79 | 0.00 | 0.00 *** AGB (t/ha): 285.00 GPP (MgC/ha/yr) 45.92 NPP 18.40 litterfall (Mg/ha/yr) 5.99
982 Trees (1/ha): 4957.00 | 491.00 | 172.00 *** nbdead (%): 3.81 | 0.00 | 0.00 *** AGB (t/ha): 285.00 GPP (MgC/ha/yr) 43.76 NPP 17.25 litterfall (Mg/ha/yr) 6.02
983 Trees (1/ha): 4955.00 | 491.00 | 172.00 *** nbdead (%): 2.87 | 0.00 | 0.00 *** AGB (t/ha): 285.00 GPP (MgC/ha/yr) 37.13 NPP 13.49 litterfall (Mg/ha/yr) 6.04
10000 Seedrain: 50000.00
Trees_mature: 301 Nbseedsadded: 47305 effective: 48517 nbspeciesaffected: 45
984 Trees (1/ha): 4752.00 | 489.00 | 172.00 *** nbdead (%): 7.72 | 0.41 | 0.00 *** AGB (t/ha): 285.00 GPP (MgC/ha/yr) 36.98 NPP 13.92 litterfall (Mg/ha/yr) 6.04
985 Trees (1/ha): 4918.00 | 488.00 | 172.00 *** nbdead (%): 3.52 | 0.20 | 0.00 *** AGB (t/ha): 285.00 GPP (MgC/ha/yr) 35.22 NPP 12.76 litterfall (Mg/ha/yr) 6.03
986 Trees (1/ha): 4930.00 | 488.00 | 172.00 *** nbdead (%): 4.32 | 0.00 | 0.00 *** AGB (t/ha): 286.00 GPP (MgC/ha/yr) 36.35 NPP 13.71 litterfall (Mg/ha/yr) 6.02
987 Trees (1/ha): 4949.00 | 488.00 | 172.00 *** nbdead (%): 5.07 | 0.00 | 0.00 *** AGB (t/ha): 286.00 GPP (MgC/ha/yr) 37.23 NPP 14.10 litterfall (Mg/ha/yr) 6.00
988 Trees (1/ha): 5011.00 | 488.00 | 172.00 *** nbdead (%): 4.25 | 0.00 | 0.00 *** AGB (t/ha): 286.00 GPP (MgC/ha/yr) 36.49 NPP 13.47 litterfall (Mg/ha/yr) 5.99
989 Trees (1/ha): 4884.00 | 487.00 | 171.00 *** nbdead (%): 6.82 | 0.21 | 0.58 *** AGB (t/ha): 284.00 GPP (MgC/ha/yr) 37.64 NPP 14.57 litterfall (Mg/ha/yr) 5.95
990 Trees (1/ha): 4895.00 | 487.00 | 172.00 *** nbdead (%): 6.29 | 0.00 | 0.00 *** AGB (t/ha): 284.00 GPP (MgC/ha/yr) 39.58 NPP 15.72 litterfall (Mg/ha/yr) 5.95
991 Trees (1/ha): 4928.00 | 485.00 | 172.00 *** nbdead (%): 6.68 | 0.41 | 0.00 *** AGB (t/ha): 284.00 GPP (MgC/ha/yr) 42.73 NPP 17.46 litterfall (Mg/ha/yr) 5.95
992 Trees (1/ha): 4968.00 | 485.00 | 173.00 *** nbdead (%): 5.19 | 0.00 | 0.00 *** AGB (t/ha): 284.00 GPP (MgC/ha/yr) 45.42 NPP 18.65 litterfall (Mg/ha/yr) 5.96
993 Trees (1/ha): 5030.00 | 485.00 | 173.00 *** nbdead (%): 4.02 | 0.00 | 0.00 *** AGB (t/ha): 285.00 GPP (MgC/ha/yr) 45.85 NPP 18.40 litterfall (Mg/ha/yr) 5.99
994 Trees (1/ha): 5045.00 | 486.00 | 174.00 *** nbdead (%): 3.31 | 0.00 | 0.00 *** AGB (t/ha): 285.00 GPP (MgC/ha/yr) 43.73 NPP 17.27 litterfall (Mg/ha/yr) 6.01
995 Trees (1/ha): 5014.00 | 486.00 | 174.00 *** nbdead (%): 3.17 | 0.00 | 0.00 *** AGB (t/ha): 286.00 GPP (MgC/ha/yr) 37.09 NPP 13.49 litterfall (Mg/ha/yr) 6.04
10000 Seedrain: 50000.00
Trees_mature: 299 Nbseedsadded: 47338 effective: 48561 nbspeciesaffected: 45
996 Trees (1/ha): 4766.00 | 485.00 | 173.00 *** nbdead (%): 8.58 | 0.41 | 0.58 *** AGB (t/ha): 285.00 GPP (MgC/ha/yr) 36.79 NPP 13.86 litterfall (Mg/ha/yr) 6.01
997 Trees (1/ha): 4926.00 | 485.00 | 173.00 *** nbdead (%): 3.84 | 0.00 | 0.00 *** AGB (t/ha): 285.00 GPP (MgC/ha/yr) 35.09 NPP 12.74 litterfall (Mg/ha/yr) 6.01
998 Trees (1/ha): 4985.00 | 484.00 | 172.00 *** nbdead (%): 4.21 | 0.21 | 0.58 *** AGB (t/ha): 285.00 GPP (MgC/ha/yr) 36.08 NPP 13.63 litterfall (Mg/ha/yr) 5.98
999 Trees (1/ha): 5044.00 | 484.00 | 172.00 *** nbdead (%): 4.44 | 0.00 | 0.00 *** AGB (t/ha): 285.00 GPP (MgC/ha/yr) 37.01 NPP 14.05 litterfall (Mg/ha/yr) 5.96
1000 Trees (1/ha): 5100.00 | 484.00 | 172.00 *** nbdead (%): 4.22 | 0.00 | 0.00 *** AGB (t/ha): 285.00 GPP (MgC/ha/yr) 36.29 NPP 13.43 litterfall (Mg/ha/yr) 5.95
1001 Trees (1/ha): 4999.00 | 484.00 | 172.00 *** nbdead (%): 6.10 | 0.00 | 0.00 *** AGB (t/ha): 285.00 GPP (MgC/ha/yr) 37.68 NPP 14.62 litterfall (Mg/ha/yr) 5.95
1002 Trees (1/ha): 5002.00 | 484.00 | 172.00 *** nbdead (%): 6.36 | 0.00 | 0.00 *** AGB (t/ha): 286.00 GPP (MgC/ha/yr) 39.54 NPP 15.71 litterfall (Mg/ha/yr) 5.95
1003 Trees (1/ha): 4939.00 | 484.00 | 173.00 *** nbdead (%): 6.86 | 0.00 | 0.00 *** AGB (t/ha): 286.00 GPP (MgC/ha/yr) 42.76 NPP 17.48 litterfall (Mg/ha/yr) 5.95
1004 Trees (1/ha): 4941.00 | 483.00 | 172.00 *** nbdead (%): 5.95 | 0.21 | 0.58 *** AGB (t/ha): 286.00 GPP (MgC/ha/yr) 45.34 NPP 18.61 litterfall (Mg/ha/yr) 5.95
1005 Trees (1/ha): 5010.00 | 482.00 | 172.00 *** nbdead (%): 4.03 | 0.21 | 0.00 *** AGB (t/ha): 286.00 GPP (MgC/ha/yr) 45.80 NPP 18.38 litterfall (Mg/ha/yr) 5.98
1006 Trees (1/ha): 5013.00 | 481.00 | 172.00 *** nbdead (%): 3.51 | 0.21 | 0.00 *** AGB (t/ha): 286.00 GPP (MgC/ha/yr) 43.69 NPP 17.25 litterfall (Mg/ha/yr) 6.00
1007 Trees (1/ha): 4991.00 | 481.00 | 172.00 *** nbdead (%): 3.05 | 0.00 | 0.00 *** AGB (t/ha): 287.00 GPP (MgC/ha/yr) 37.08 NPP 13.50 litterfall (Mg/ha/yr) 6.03
10000 Seedrain: 50000.00
Trees_mature: 295 Nbseedsadded: 47387 effective: 48594 nbspeciesaffected: 45
1008 Trees (1/ha): 4756.00 | 481.00 | 172.00 *** nbdead (%): 8.45 | 0.00 | 0.00 *** AGB (t/ha): 287.00 GPP (MgC/ha/yr) 36.93 NPP 13.92 litterfall (Mg/ha/yr) 6.03
1009 Trees (1/ha): 4943.00 | 480.00 | 172.00 *** nbdead (%): 3.20 | 0.21 | 0.00 *** AGB (t/ha): 287.00 GPP (MgC/ha/yr) 35.18 NPP 12.77 litterfall (Mg/ha/yr) 6.03
1010 Trees (1/ha): 4927.00 | 480.00 | 172.00 *** nbdead (%): 4.61 | 0.00 | 0.00 *** AGB (t/ha): 287.00 GPP (MgC/ha/yr) 36.31 NPP 13.72 litterfall (Mg/ha/yr) 6.01
1011 Trees (1/ha): 4965.00 | 480.00 | 173.00 *** nbdead (%): 4.51 | 0.00 | 0.00 *** AGB (t/ha): 288.00 GPP (MgC/ha/yr) 37.20 NPP 14.11 litterfall (Mg/ha/yr) 5.99
1012 Trees (1/ha): 4970.00 | 480.00 | 173.00 *** nbdead (%): 4.73 | 0.00 | 0.00 *** AGB (t/ha): 288.00 GPP (MgC/ha/yr) 36.46 NPP 13.48 litterfall (Mg/ha/yr) 5.98
1013 Trees (1/ha): 4904.00 | 479.00 | 173.00 *** nbdead (%): 6.04 | 0.42 | 0.00 *** AGB (t/ha): 288.00 GPP (MgC/ha/yr) 37.81 NPP 14.65 litterfall (Mg/ha/yr) 5.97
1014 Trees (1/ha): 4922.00 | 479.00 | 173.00 *** nbdead (%): 5.65 | 0.00 | 0.00 *** AGB (t/ha): 288.00 GPP (MgC/ha/yr) 39.66 NPP 15.74 litterfall (Mg/ha/yr) 5.96
1015 Trees (1/ha): 4861.00 | 480.00 | 173.00 *** nbdead (%): 6.99 | 0.00 | 0.00 *** AGB (t/ha): 288.00 GPP (MgC/ha/yr) 42.88 NPP 17.51 litterfall (Mg/ha/yr) 5.97
1016 Trees (1/ha): 4900.00 | 481.00 | 174.00 *** nbdead (%): 5.53 | 0.00 | 0.00 *** AGB (t/ha): 289.00 GPP (MgC/ha/yr) 45.56 NPP 18.69 litterfall (Mg/ha/yr) 5.99
1017 Trees (1/ha): 4942.00 | 482.00 | 174.00 *** nbdead (%): 4.17 | 0.00 | 0.00 *** AGB (t/ha): 289.00 GPP (MgC/ha/yr) 45.98 NPP 18.44 litterfall (Mg/ha/yr) 6.01
1018 Trees (1/ha): 4946.00 | 483.00 | 174.00 *** nbdead (%): 3.38 | 0.00 | 0.00 *** AGB (t/ha): 290.00 GPP (MgC/ha/yr) 43.84 NPP 17.29 litterfall (Mg/ha/yr) 6.03
1019 Trees (1/ha): 4931.00 | 483.00 | 174.00 *** nbdead (%): 3.08 | 0.00 | 0.00 *** AGB (t/ha): 290.00 GPP (MgC/ha/yr) 37.19 NPP 13.51 litterfall (Mg/ha/yr) 6.06
10000 Seedrain: 50000.00
Trees_mature: 296 Nbseedsadded: 47261 effective: 48489 nbspeciesaffected: 45
1020 Trees (1/ha): 4721.00 | 483.00 | 175.00 *** nbdead (%): 8.11 | 0.00 | 0.00 *** AGB (t/ha): 290.00 GPP (MgC/ha/yr) 37.04 NPP 13.94 litterfall (Mg/ha/yr) 6.06
1021 Trees (1/ha): 4899.00 | 482.00 | 175.00 *** nbdead (%): 3.02 | 0.21 | 0.00 *** AGB (t/ha): 290.00 GPP (MgC/ha/yr) 35.23 NPP 12.76 litterfall (Mg/ha/yr) 6.05
1022 Trees (1/ha): 4877.00 | 482.00 | 175.00 *** nbdead (%): 4.55 | 0.00 | 0.00 *** AGB (t/ha): 291.00 GPP (MgC/ha/yr) 36.36 NPP 13.71 litterfall (Mg/ha/yr) 6.03
1023 Trees (1/ha): 4954.00 | 481.00 | 176.00 *** nbdead (%): 4.04 | 0.21 | 0.00 *** AGB (t/ha): 291.00 GPP (MgC/ha/yr) 37.24 NPP 14.10 litterfall (Mg/ha/yr) 6.01
1024 Trees (1/ha): 4947.00 | 481.00 | 176.00 *** nbdead (%): 4.71 | 0.00 | 0.00 *** AGB (t/ha): 291.00 GPP (MgC/ha/yr) 36.50 NPP 13.47 litterfall (Mg/ha/yr) 6.00
1025 Trees (1/ha): 4870.00 | 478.00 | 176.00 *** nbdead (%): 6.39 | 0.63 | 0.00 *** AGB (t/ha): 291.00 GPP (MgC/ha/yr) 37.88 NPP 14.66 litterfall (Mg/ha/yr) 5.99
1026 Trees (1/ha): 4865.00 | 478.00 | 176.00 *** nbdead (%): 6.39 | 0.00 | 0.00 *** AGB (t/ha): 291.00 GPP (MgC/ha/yr) 39.74 NPP 15.75 litterfall (Mg/ha/yr) 5.98
1027 Trees (1/ha): 4890.00 | 479.00 | 176.00 *** nbdead (%): 5.85 | 0.00 | 0.00 *** AGB (t/ha): 291.00 GPP (MgC/ha/yr) 42.96 NPP 17.52 litterfall (Mg/ha/yr) 5.99
1028 Trees (1/ha): 4875.00 | 479.00 | 176.00 *** nbdead (%): 5.48 | 0.00 | 0.00 *** AGB (t/ha): 292.00 GPP (MgC/ha/yr) 45.64 NPP 18.70 litterfall (Mg/ha/yr) 6.00
1029 Trees (1/ha): 4966.00 | 478.00 | 176.00 *** nbdead (%): 3.62 | 0.21 | 0.00 *** AGB (t/ha): 292.00 GPP (MgC/ha/yr) 46.05 NPP 18.44 litterfall (Mg/ha/yr) 6.02
1030 Trees (1/ha): 4940.00 | 478.00 | 177.00 *** nbdead (%): 3.58 | 0.00 | 0.00 *** AGB (t/ha): 293.00 GPP (MgC/ha/yr) 43.89 NPP 17.29 litterfall (Mg/ha/yr) 6.05
1031 Trees (1/ha): 4897.00 | 478.00 | 177.00 *** nbdead (%): 3.68 | 0.00 | 0.00 *** AGB (t/ha): 293.00 GPP (MgC/ha/yr) 37.23 NPP 13.51 litterfall (Mg/ha/yr) 6.07
10000 Seedrain: 50000.00
Trees_mature: 293 Nbseedsadded: 47356 effective: 48521 nbspeciesaffected: 45
1032 Trees (1/ha): 4673.00 | 478.00 | 177.00 *** nbdead (%): 8.41 | 0.00 | 0.00 *** AGB (t/ha): 293.00 GPP (MgC/ha/yr) 37.10 NPP 13.94 litterfall (Mg/ha/yr) 6.07
1033 Trees (1/ha): 4860.00 | 478.00 | 177.00 *** nbdead (%): 3.35 | 0.00 | 0.00 *** AGB (t/ha): 294.00 GPP (MgC/ha/yr) 35.32 NPP 12.78 litterfall (Mg/ha/yr) 6.07
1034 Trees (1/ha): 4865.00 | 477.00 | 177.00 *** nbdead (%): 4.77 | 0.21 | 0.00 *** AGB (t/ha): 294.00 GPP (MgC/ha/yr) 36.45 NPP 13.73 litterfall (Mg/ha/yr) 6.05
1035 Trees (1/ha): 4919.00 | 477.00 | 177.00 *** nbdead (%): 4.49 | 0.00 | 0.00 *** AGB (t/ha): 294.00 GPP (MgC/ha/yr) 37.33 NPP 14.12 litterfall (Mg/ha/yr) 6.03
1036 Trees (1/ha): 4897.00 | 478.00 | 177.00 *** nbdead (%): 5.02 | 0.00 | 0.00 *** AGB (t/ha): 294.00 GPP (MgC/ha/yr) 36.60 NPP 13.50 litterfall (Mg/ha/yr) 6.02
1037 Trees (1/ha): 4853.00 | 477.00 | 177.00 *** nbdead (%): 6.04 | 0.21 | 0.00 *** AGB (t/ha): 294.00 GPP (MgC/ha/yr) 37.99 NPP 14.69 litterfall (Mg/ha/yr) 6.01
1038 Trees (1/ha): 4806.00 | 477.00 | 177.00 *** nbdead (%): 6.93 | 0.00 | 0.00 *** AGB (t/ha): 294.00 GPP (MgC/ha/yr) 39.84 NPP 15.77 litterfall (Mg/ha/yr) 6.00
1039 Trees (1/ha): 4809.00 | 476.00 | 178.00 *** nbdead (%): 6.59 | 0.21 | 0.00 *** AGB (t/ha): 295.00 GPP (MgC/ha/yr) 43.07 NPP 17.54 litterfall (Mg/ha/yr) 6.01
1040 Trees (1/ha): 4803.00 | 475.00 | 178.00 *** nbdead (%): 6.18 | 0.21 | 0.00 *** AGB (t/ha): 295.00 GPP (MgC/ha/yr) 45.71 NPP 18.70 litterfall (Mg/ha/yr) 6.02
1041 Trees (1/ha): 4895.00 | 476.00 | 178.00 *** nbdead (%): 3.53 | 0.00 | 0.00 *** AGB (t/ha): 296.00 GPP (MgC/ha/yr) 46.14 NPP 18.46 litterfall (Mg/ha/yr) 6.04
1042 Trees (1/ha): 4927.00 | 476.00 | 179.00 *** nbdead (%): 2.60 | 0.00 | 0.00 *** AGB (t/ha): 296.00 GPP (MgC/ha/yr) 43.97 NPP 17.30 litterfall (Mg/ha/yr) 6.06
1043 Trees (1/ha): 4869.00 | 474.00 | 179.00 *** nbdead (%): 3.45 | 0.42 | 0.00 *** AGB (t/ha): 296.00 GPP (MgC/ha/yr) 37.28 NPP 13.51 litterfall (Mg/ha/yr) 6.08
10000 Seedrain: 50000.00
Trees_mature: 294 Nbseedsadded: 47258 effective: 48474 nbspeciesaffected: 45
1044 Trees (1/ha): 4666.00 | 472.00 | 179.00 *** nbdead (%): 8.29 | 0.42 | 0.00 *** AGB (t/ha): 296.00 GPP (MgC/ha/yr) 37.13 NPP 13.94 litterfall (Mg/ha/yr) 6.08
1045 Trees (1/ha): 4843.00 | 472.00 | 179.00 *** nbdead (%): 3.99 | 0.00 | 0.00 *** AGB (t/ha): 296.00 GPP (MgC/ha/yr) 35.35 NPP 12.77 litterfall (Mg/ha/yr) 6.07
1046 Trees (1/ha): 4856.00 | 472.00 | 179.00 *** nbdead (%): 4.92 | 0.00 | 0.00 *** AGB (t/ha): 296.00 GPP (MgC/ha/yr) 36.48 NPP 13.72 litterfall (Mg/ha/yr) 6.05
1047 Trees (1/ha): 4926.00 | 472.00 | 180.00 *** nbdead (%): 4.18 | 0.00 | 0.00 *** AGB (t/ha): 297.00 GPP (MgC/ha/yr) 37.37 NPP 14.12 litterfall (Mg/ha/yr) 6.04
1048 Trees (1/ha): 4927.00 | 471.00 | 180.00 *** nbdead (%): 4.49 | 0.21 | 0.00 *** AGB (t/ha): 297.00 GPP (MgC/ha/yr) 36.61 NPP 13.48 litterfall (Mg/ha/yr) 6.02
1049 Trees (1/ha): 4863.00 | 471.00 | 180.00 *** nbdead (%): 6.07 | 0.00 | 0.00 *** AGB (t/ha): 297.00 GPP (MgC/ha/yr) 38.00 NPP 14.67 litterfall (Mg/ha/yr) 6.01
1050 Trees (1/ha): 4850.00 | 470.00 | 180.00 *** nbdead (%): 6.45 | 0.21 | 0.00 *** AGB (t/ha): 297.00 GPP (MgC/ha/yr) 39.85 NPP 15.76 litterfall (Mg/ha/yr) 6.00
1051 Trees (1/ha): 4753.00 | 470.00 | 180.00 *** nbdead (%): 7.78 | 0.00 | 0.00 *** AGB (t/ha): 298.00 GPP (MgC/ha/yr) 43.08 NPP 17.53 litterfall (Mg/ha/yr) 6.01
1052 Trees (1/ha): 4780.00 | 470.00 | 180.00 *** nbdead (%): 6.21 | 0.00 | 0.00 *** AGB (t/ha): 298.00 GPP (MgC/ha/yr) 45.78 NPP 18.72 litterfall (Mg/ha/yr) 6.02
1053 Trees (1/ha): 4896.00 | 469.00 | 180.00 *** nbdead (%): 3.25 | 0.21 | 0.00 *** AGB (t/ha): 298.00 GPP (MgC/ha/yr) 46.06 NPP 18.40 litterfall (Mg/ha/yr) 6.03
1054 Trees (1/ha): 4883.00 | 468.00 | 181.00 *** nbdead (%): 3.62 | 0.21 | 0.00 *** AGB (t/ha): 298.00 GPP (MgC/ha/yr) 43.92 NPP 17.27 litterfall (Mg/ha/yr) 6.05
1055 Trees (1/ha): 4894.00 | 469.00 | 181.00 *** nbdead (%): 2.86 | 0.00 | 0.00 *** AGB (t/ha): 299.00 GPP (MgC/ha/yr) 37.25 NPP 13.48 litterfall (Mg/ha/yr) 6.07
10000 Seedrain: 50000.00
Trees_mature: 296 Nbseedsadded: 47293 effective: 48466 nbspeciesaffected: 45
1056 Trees (1/ha): 4722.00 | 468.00 | 181.00 *** nbdead (%): 7.39 | 0.21 | 0.00 *** AGB (t/ha): 299.00 GPP (MgC/ha/yr) 37.12 NPP 13.92 litterfall (Mg/ha/yr) 6.07
1057 Trees (1/ha): 4863.00 | 469.00 | 181.00 *** nbdead (%): 3.48 | 0.00 | 0.00 *** AGB (t/ha): 299.00 GPP (MgC/ha/yr) 35.33 NPP 12.74 litterfall (Mg/ha/yr) 6.07
1058 Trees (1/ha): 4840.00 | 469.00 | 181.00 *** nbdead (%): 5.12 | 0.00 | 0.00 *** AGB (t/ha): 299.00 GPP (MgC/ha/yr) 36.47 NPP 13.71 litterfall (Mg/ha/yr) 6.05
1059 Trees (1/ha): 4875.00 | 469.00 | 181.00 *** nbdead (%): 4.90 | 0.00 | 0.00 *** AGB (t/ha): 299.00 GPP (MgC/ha/yr) 37.36 NPP 14.11 litterfall (Mg/ha/yr) 6.03
1060 Trees (1/ha): 4904.00 | 469.00 | 180.00 *** nbdead (%): 4.61 | 0.21 | 0.56 *** AGB (t/ha): 299.00 GPP (MgC/ha/yr) 36.53 NPP 13.44 litterfall (Mg/ha/yr) 6.00
1061 Trees (1/ha): 4836.00 | 469.00 | 180.00 *** nbdead (%): 6.18 | 0.00 | 0.00 *** AGB (t/ha): 299.00 GPP (MgC/ha/yr) 37.93 NPP 14.64 litterfall (Mg/ha/yr) 5.99
1062 Trees (1/ha): 4835.00 | 468.00 | 179.00 *** nbdead (%): 6.39 | 0.21 | 0.56 *** AGB (t/ha): 299.00 GPP (MgC/ha/yr) 39.72 NPP 15.70 litterfall (Mg/ha/yr) 5.98
1063 Trees (1/ha): 4813.00 | 468.00 | 179.00 *** nbdead (%): 6.54 | 0.00 | 0.00 *** AGB (t/ha): 299.00 GPP (MgC/ha/yr) 42.98 NPP 17.48 litterfall (Mg/ha/yr) 5.98
1064 Trees (1/ha): 4839.00 | 467.00 | 180.00 *** nbdead (%): 5.62 | 0.21 | 0.56 *** AGB (t/ha): 299.00 GPP (MgC/ha/yr) 45.40 NPP 18.56 litterfall (Mg/ha/yr) 5.96
1065 Trees (1/ha): 4908.00 | 467.00 | 180.00 *** nbdead (%): 3.63 | 0.00 | 0.00 *** AGB (t/ha): 299.00 GPP (MgC/ha/yr) 45.90 NPP 18.36 litterfall (Mg/ha/yr) 5.98
1066 Trees (1/ha): 4915.00 | 467.00 | 181.00 *** nbdead (%): 3.78 | 0.21 | 0.00 *** AGB (t/ha): 299.00 GPP (MgC/ha/yr) 43.78 NPP 17.23 litterfall (Mg/ha/yr) 6.01
1067 Trees (1/ha): 4888.00 | 467.00 | 181.00 *** nbdead (%): 3.60 | 0.00 | 0.00 *** AGB (t/ha): 300.00 GPP (MgC/ha/yr) 37.13 NPP 13.46 litterfall (Mg/ha/yr) 6.03
10000 Seedrain: 50000.00
Trees_mature: 293 Nbseedsadded: 47292 effective: 48494 nbspeciesaffected: 45
1068 Trees (1/ha): 4698.00 | 466.00 | 181.00 *** nbdead (%): 8.17 | 0.21 | 0.00 *** AGB (t/ha): 300.00 GPP (MgC/ha/yr) 37.01 NPP 13.90 litterfall (Mg/ha/yr) 6.03
1069 Trees (1/ha): 4866.00 | 466.00 | 181.00 *** nbdead (%): 3.70 | 0.00 | 0.00 *** AGB (t/ha): 300.00 GPP (MgC/ha/yr) 35.25 NPP 12.74 litterfall (Mg/ha/yr) 6.03
1070 Trees (1/ha): 4876.00 | 467.00 | 182.00 *** nbdead (%): 4.70 | 0.00 | 0.00 *** AGB (t/ha): 300.00 GPP (MgC/ha/yr) 36.38 NPP 13.69 litterfall (Mg/ha/yr) 6.01
1071 Trees (1/ha): 4916.00 | 467.00 | 182.00 *** nbdead (%): 4.62 | 0.00 | 0.00 *** AGB (t/ha): 301.00 GPP (MgC/ha/yr) 37.28 NPP 14.09 litterfall (Mg/ha/yr) 6.00
1072 Trees (1/ha): 4912.00 | 466.00 | 182.00 *** nbdead (%): 5.13 | 0.21 | 0.00 *** AGB (t/ha): 301.00 GPP (MgC/ha/yr) 36.53 NPP 13.45 litterfall (Mg/ha/yr) 5.98
1073 Trees (1/ha): 4853.00 | 465.00 | 182.00 *** nbdead (%): 6.33 | 0.22 | 0.00 *** AGB (t/ha): 301.00 GPP (MgC/ha/yr) 37.91 NPP 14.64 litterfall (Mg/ha/yr) 5.97
1074 Trees (1/ha): 4858.00 | 465.00 | 182.00 *** nbdead (%): 6.18 | 0.00 | 0.00 *** AGB (t/ha): 301.00 GPP (MgC/ha/yr) 39.78 NPP 15.73 litterfall (Mg/ha/yr) 5.97
1075 Trees (1/ha): 4816.00 | 465.00 | 182.00 *** nbdead (%): 6.75 | 0.00 | 0.00 *** AGB (t/ha): 302.00 GPP (MgC/ha/yr) 43.00 NPP 17.50 litterfall (Mg/ha/yr) 5.97
ABC: Conservation of Traits
ABC: Ground data
ABC: CHM simulation
ABC: Transmittance simulation
ABC: Species outputs
1076 Trees (1/ha): 4852.00 | 465.00 | 181.00 *** nbdead (%): 5.42 | 0.22 | 0.55 *** AGB (t/ha): 301.00 GPP (MgC/ha/yr) 45.60 NPP 18.64 litterfall (Mg/ha/yr) 5.98
1077 Trees (1/ha): 4899.00 | 465.00 | 181.00 *** nbdead (%): 3.96 | 0.00 | 0.00 *** AGB (t/ha): 302.00 GPP (MgC/ha/yr) 46.04 NPP 18.40 litterfall (Mg/ha/yr) 6.00
1078 Trees (1/ha): 4945.00 | 465.00 | 181.00 *** nbdead (%): 2.87 | 0.00 | 0.00 *** AGB (t/ha): 302.00 GPP (MgC/ha/yr) 43.89 NPP 17.26 litterfall (Mg/ha/yr) 6.02
1079 Trees (1/ha): 4946.00 | 465.00 | 181.00 *** nbdead (%): 2.83 | 0.00 | 0.00 *** AGB (t/ha): 302.00 GPP (MgC/ha/yr) 37.23 NPP 13.47 litterfall (Mg/ha/yr) 6.04
10000 Seedrain: 50000.00
Trees_mature: 292 Nbseedsadded: 47302 effective: 48460 nbspeciesaffected: 45
1080 Trees (1/ha): 4685.00 | 464.00 | 181.00 *** nbdead (%): 8.71 | 0.22 | 0.00 *** AGB (t/ha): 302.00 GPP (MgC/ha/yr) 37.08 NPP 13.91 litterfall (Mg/ha/yr) 6.04
1081 Trees (1/ha): 4858.00 | 464.00 | 181.00 *** nbdead (%): 3.73 | 0.00 | 0.00 *** AGB (t/ha): 303.00 GPP (MgC/ha/yr) 35.32 NPP 12.75 litterfall (Mg/ha/yr) 6.04
1082 Trees (1/ha): 4842.00 | 464.00 | 181.00 *** nbdead (%): 5.00 | 0.00 | 0.00 *** AGB (t/ha): 303.00 GPP (MgC/ha/yr) 36.45 NPP 13.71 litterfall (Mg/ha/yr) 6.02
1083 Trees (1/ha): 4909.00 | 463.00 | 181.00 *** nbdead (%): 4.38 | 0.22 | 0.00 *** AGB (t/ha): 303.00 GPP (MgC/ha/yr) 37.34 NPP 14.10 litterfall (Mg/ha/yr) 6.00
1084 Trees (1/ha): 4900.00 | 463.00 | 181.00 *** nbdead (%): 5.14 | 0.00 | 0.00 *** AGB (t/ha): 303.00 GPP (MgC/ha/yr) 36.58 NPP 13.46 litterfall (Mg/ha/yr) 5.99
1085 Trees (1/ha): 4853.00 | 464.00 | 181.00 *** nbdead (%): 5.79 | 0.00 | 0.00 *** AGB (t/ha): 304.00 GPP (MgC/ha/yr) 37.96 NPP 14.64 litterfall (Mg/ha/yr) 5.98
1086 Trees (1/ha): 4829.00 | 464.00 | 181.00 *** nbdead (%): 6.50 | 0.00 | 0.00 *** AGB (t/ha): 304.00 GPP (MgC/ha/yr) 39.84 NPP 15.74 litterfall (Mg/ha/yr) 5.98
1087 Trees (1/ha): 4800.00 | 464.00 | 181.00 *** nbdead (%): 6.75 | 0.00 | 0.00 *** AGB (t/ha): 305.00 GPP (MgC/ha/yr) 43.06 NPP 17.51 litterfall (Mg/ha/yr) 5.98
1088 Trees (1/ha): 4803.00 | 464.00 | 182.00 *** nbdead (%): 6.00 | 0.00 | 0.00 *** AGB (t/ha): 305.00 GPP (MgC/ha/yr) 45.75 NPP 18.69 litterfall (Mg/ha/yr) 6.00
1089 Trees (1/ha): 4841.00 | 464.00 | 182.00 *** nbdead (%): 4.40 | 0.00 | 0.00 *** AGB (t/ha): 306.00 GPP (MgC/ha/yr) 46.17 NPP 18.44 litterfall (Mg/ha/yr) 6.02
1090 Trees (1/ha): 4878.00 | 461.00 | 181.00 *** nbdead (%): 3.12 | 0.65 | 0.55 *** AGB (t/ha): 304.00 GPP (MgC/ha/yr) 43.75 NPP 17.19 litterfall (Mg/ha/yr) 6.01
1091 Trees (1/ha): 4872.00 | 461.00 | 181.00 *** nbdead (%): 2.87 | 0.00 | 0.00 *** AGB (t/ha): 304.00 GPP (MgC/ha/yr) 37.14 NPP 13.45 litterfall (Mg/ha/yr) 6.02
10000 Seedrain: 50000.00
Trees_mature: 289 Nbseedsadded: 47317 effective: 48531 nbspeciesaffected: 45
1092 Trees (1/ha): 4694.00 | 461.00 | 181.00 *** nbdead (%): 7.69 | 0.22 | 0.00 *** AGB (t/ha): 304.00 GPP (MgC/ha/yr) 36.99 NPP 13.87 litterfall (Mg/ha/yr) 6.03
1093 Trees (1/ha): 4867.00 | 461.00 | 181.00 *** nbdead (%): 3.35 | 0.00 | 0.00 *** AGB (t/ha): 305.00 GPP (MgC/ha/yr) 35.22 NPP 12.71 litterfall (Mg/ha/yr) 6.02
1094 Trees (1/ha): 4873.00 | 461.00 | 181.00 *** nbdead (%): 4.41 | 0.00 | 0.00 *** AGB (t/ha): 305.00 GPP (MgC/ha/yr) 36.35 NPP 13.66 litterfall (Mg/ha/yr) 6.00
1095 Trees (1/ha): 4891.00 | 460.00 | 180.00 *** nbdead (%): 4.93 | 0.22 | 0.56 *** AGB (t/ha): 304.00 GPP (MgC/ha/yr) 37.10 NPP 14.01 litterfall (Mg/ha/yr) 5.97
1096 Trees (1/ha): 4917.00 | 459.00 | 180.00 *** nbdead (%): 4.64 | 0.22 | 0.00 *** AGB (t/ha): 304.00 GPP (MgC/ha/yr) 36.41 NPP 13.41 litterfall (Mg/ha/yr) 5.95
1097 Trees (1/ha): 4910.00 | 460.00 | 180.00 *** nbdead (%): 5.48 | 0.00 | 0.00 *** AGB (t/ha): 304.00 GPP (MgC/ha/yr) 37.80 NPP 14.60 litterfall (Mg/ha/yr) 5.95
1098 Trees (1/ha): 4853.00 | 457.00 | 180.00 *** nbdead (%): 6.88 | 0.66 | 0.00 *** AGB (t/ha): 304.00 GPP (MgC/ha/yr) 39.61 NPP 15.68 litterfall (Mg/ha/yr) 5.93
1099 Trees (1/ha): 4853.00 | 456.00 | 180.00 *** nbdead (%): 6.59 | 0.44 | 0.00 *** AGB (t/ha): 304.00 GPP (MgC/ha/yr) 42.84 NPP 17.45 litterfall (Mg/ha/yr) 5.94
1100 Trees (1/ha): 4850.00 | 457.00 | 180.00 *** nbdead (%): 6.16 | 0.00 | 0.00 *** AGB (t/ha): 305.00 GPP (MgC/ha/yr) 45.54 NPP 18.64 litterfall (Mg/ha/yr) 5.96
1101 Trees (1/ha): 4960.00 | 458.00 | 180.00 *** nbdead (%): 3.45 | 0.00 | 0.00 *** AGB (t/ha): 305.00 GPP (MgC/ha/yr) 45.96 NPP 18.39 litterfall (Mg/ha/yr) 5.98
1102 Trees (1/ha): 4953.00 | 456.00 | 179.00 *** nbdead (%): 3.49 | 0.44 | 0.56 *** AGB (t/ha): 304.00 GPP (MgC/ha/yr) 43.65 NPP 17.18 litterfall (Mg/ha/yr) 5.98
1103 Trees (1/ha): 4957.00 | 455.00 | 179.00 *** nbdead (%): 2.78 | 0.22 | 0.00 *** AGB (t/ha): 304.00 GPP (MgC/ha/yr) 37.09 NPP 13.47 litterfall (Mg/ha/yr) 6.00
10000 Seedrain: 50000.00
Trees_mature: 285 Nbseedsadded: 47329 effective: 48535 nbspeciesaffected: 45
1104 Trees (1/ha): 4709.00 | 455.00 | 179.00 *** nbdead (%): 9.05 | 0.00 | 0.00 *** AGB (t/ha): 305.00 GPP (MgC/ha/yr) 36.96 NPP 13.90 litterfall (Mg/ha/yr) 6.00
1105 Trees (1/ha): 4915.00 | 453.00 | 179.00 *** nbdead (%): 3.44 | 0.44 | 0.00 *** AGB (t/ha): 304.00 GPP (MgC/ha/yr) 35.19 NPP 12.74 litterfall (Mg/ha/yr) 6.00
1106 Trees (1/ha): 4918.00 | 452.00 | 179.00 *** nbdead (%): 4.74 | 0.22 | 0.00 *** AGB (t/ha): 305.00 GPP (MgC/ha/yr) 36.31 NPP 13.68 litterfall (Mg/ha/yr) 5.98
1107 Trees (1/ha): 4970.00 | 452.00 | 179.00 *** nbdead (%): 4.49 | 0.00 | 0.00 *** AGB (t/ha): 305.00 GPP (MgC/ha/yr) 37.20 NPP 14.08 litterfall (Mg/ha/yr) 5.96
1108 Trees (1/ha): 4989.00 | 452.00 | 179.00 *** nbdead (%): 4.33 | 0.00 | 0.00 *** AGB (t/ha): 305.00 GPP (MgC/ha/yr) 36.46 NPP 13.45 litterfall (Mg/ha/yr) 5.95
1109 Trees (1/ha): 4918.00 | 451.00 | 179.00 *** nbdead (%): 5.88 | 0.22 | 0.00 *** AGB (t/ha): 305.00 GPP (MgC/ha/yr) 37.85 NPP 14.64 litterfall (Mg/ha/yr) 5.94
1110 Trees (1/ha): 4899.00 | 452.00 | 179.00 *** nbdead (%): 6.23 | 0.00 | 0.00 *** AGB (t/ha): 305.00 GPP (MgC/ha/yr) 39.70 NPP 15.72 litterfall (Mg/ha/yr) 5.94
1111 Trees (1/ha): 4822.00 | 451.00 | 179.00 *** nbdead (%): 7.53 | 0.22 | 0.00 *** AGB (t/ha): 306.00 GPP (MgC/ha/yr) 42.92 NPP 17.48 litterfall (Mg/ha/yr) 5.94
1112 Trees (1/ha): 4885.00 | 451.00 | 178.00 *** nbdead (%): 5.61 | 0.22 | 0.56 *** AGB (t/ha): 305.00 GPP (MgC/ha/yr) 45.44 NPP 18.60 litterfall (Mg/ha/yr) 5.94
1113 Trees (1/ha): 4966.00 | 450.00 | 179.00 *** nbdead (%): 3.62 | 0.22 | 0.00 *** AGB (t/ha): 306.00 GPP (MgC/ha/yr) 45.93 NPP 18.39 litterfall (Mg/ha/yr) 5.96
1114 Trees (1/ha): 4999.00 | 450.00 | 179.00 *** nbdead (%): 2.90 | 0.00 | 0.00 *** AGB (t/ha): 306.00 GPP (MgC/ha/yr) 43.80 NPP 17.26 litterfall (Mg/ha/yr) 5.99
1115 Trees (1/ha): 4957.00 | 449.00 | 179.00 *** nbdead (%): 3.35 | 0.22 | 0.00 *** AGB (t/ha): 306.00 GPP (MgC/ha/yr) 37.07 NPP 13.46 litterfall (Mg/ha/yr) 5.99
10000 Seedrain: 50000.00
Trees_mature: 285 Nbseedsadded: 47395 effective: 48573 nbspeciesaffected: 45
1116 Trees (1/ha): 4752.00 | 449.00 | 180.00 *** nbdead (%): 8.23 | 0.00 | 0.00 *** AGB (t/ha): 306.00 GPP (MgC/ha/yr) 36.96 NPP 13.91 litterfall (Mg/ha/yr) 6.00
1117 Trees (1/ha): 4921.00 | 449.00 | 180.00 *** nbdead (%): 4.13 | 0.00 | 0.00 *** AGB (t/ha): 306.00 GPP (MgC/ha/yr) 35.19 NPP 12.75 litterfall (Mg/ha/yr) 5.99
1118 Trees (1/ha): 4947.00 | 449.00 | 180.00 *** nbdead (%): 4.51 | 0.00 | 0.00 *** AGB (t/ha): 307.00 GPP (MgC/ha/yr) 36.32 NPP 13.69 litterfall (Mg/ha/yr) 5.98
1119 Trees (1/ha): 4973.00 | 448.00 | 180.00 *** nbdead (%): 4.50 | 0.22 | 0.00 *** AGB (t/ha): 307.00 GPP (MgC/ha/yr) 37.20 NPP 14.08 litterfall (Mg/ha/yr) 5.96
1120 Trees (1/ha): 4997.00 | 448.00 | 180.00 *** nbdead (%): 4.02 | 0.00 | 0.00 *** AGB (t/ha): 307.00 GPP (MgC/ha/yr) 36.46 NPP 13.45 litterfall (Mg/ha/yr) 5.95
1121 Trees (1/ha): 4911.00 | 448.00 | 180.00 *** nbdead (%): 5.80 | 0.45 | 0.00 *** AGB (t/ha): 307.00 GPP (MgC/ha/yr) 37.83 NPP 14.63 litterfall (Mg/ha/yr) 5.93
1122 Trees (1/ha): 4879.00 | 448.00 | 180.00 *** nbdead (%): 6.54 | 0.00 | 0.00 *** AGB (t/ha): 307.00 GPP (MgC/ha/yr) 39.69 NPP 15.73 litterfall (Mg/ha/yr) 5.93
1123 Trees (1/ha): 4856.00 | 447.00 | 179.00 *** nbdead (%): 6.65 | 0.22 | 0.56 *** AGB (t/ha): 306.00 GPP (MgC/ha/yr) 42.75 NPP 17.42 litterfall (Mg/ha/yr) 5.91
1124 Trees (1/ha): 4841.00 | 447.00 | 179.00 *** nbdead (%): 6.24 | 0.00 | 0.00 *** AGB (t/ha): 307.00 GPP (MgC/ha/yr) 45.48 NPP 18.63 litterfall (Mg/ha/yr) 5.92
1125 Trees (1/ha): 4944.00 | 447.00 | 179.00 *** nbdead (%): 3.78 | 0.00 | 0.00 *** AGB (t/ha): 307.00 GPP (MgC/ha/yr) 45.91 NPP 18.39 litterfall (Mg/ha/yr) 5.95
1126 Trees (1/ha): 4971.00 | 446.00 | 179.00 *** nbdead (%): 2.90 | 0.22 | 0.00 *** AGB (t/ha): 308.00 GPP (MgC/ha/yr) 43.78 NPP 17.24 litterfall (Mg/ha/yr) 5.97
1127 Trees (1/ha): 4942.00 | 446.00 | 179.00 *** nbdead (%): 3.40 | 0.22 | 0.00 *** AGB (t/ha): 308.00 GPP (MgC/ha/yr) 37.14 NPP 13.48 litterfall (Mg/ha/yr) 5.99
10000 Seedrain: 50000.00
Trees_mature: 284 Nbseedsadded: 47412 effective: 48559 nbspeciesaffected: 45
1128 Trees (1/ha): 4748.00 | 446.00 | 180.00 *** nbdead (%): 7.98 | 0.00 | 0.00 *** AGB (t/ha): 308.00 GPP (MgC/ha/yr) 37.00 NPP 13.92 litterfall (Mg/ha/yr) 5.99
1129 Trees (1/ha): 4896.00 | 446.00 | 180.00 *** nbdead (%): 3.96 | 0.00 | 0.00 *** AGB (t/ha): 308.00 GPP (MgC/ha/yr) 35.23 NPP 12.75 litterfall (Mg/ha/yr) 5.99
1130 Trees (1/ha): 4883.00 | 446.00 | 181.00 *** nbdead (%): 5.04 | 0.22 | 0.00 *** AGB (t/ha): 308.00 GPP (MgC/ha/yr) 36.34 NPP 13.70 litterfall (Mg/ha/yr) 5.97
1131 Trees (1/ha): 4948.00 | 446.00 | 181.00 *** nbdead (%): 4.67 | 0.00 | 0.00 *** AGB (t/ha): 308.00 GPP (MgC/ha/yr) 37.22 NPP 14.08 litterfall (Mg/ha/yr) 5.96
1132 Trees (1/ha): 4953.00 | 444.00 | 181.00 *** nbdead (%): 5.09 | 0.45 | 0.00 *** AGB (t/ha): 308.00 GPP (MgC/ha/yr) 36.48 NPP 13.45 litterfall (Mg/ha/yr) 5.94
1133 Trees (1/ha): 4886.00 | 443.00 | 182.00 *** nbdead (%): 6.51 | 0.23 | 0.00 *** AGB (t/ha): 308.00 GPP (MgC/ha/yr) 37.81 NPP 14.61 litterfall (Mg/ha/yr) 5.92
1134 Trees (1/ha): 4870.00 | 443.00 | 182.00 *** nbdead (%): 6.71 | 0.00 | 0.00 *** AGB (t/ha): 308.00 GPP (MgC/ha/yr) 39.70 NPP 15.73 litterfall (Mg/ha/yr) 5.92
1135 Trees (1/ha): 4884.00 | 443.00 | 182.00 *** nbdead (%): 6.27 | 0.00 | 0.00 *** AGB (t/ha): 309.00 GPP (MgC/ha/yr) 42.91 NPP 17.48 litterfall (Mg/ha/yr) 5.93
1136 Trees (1/ha): 4903.00 | 443.00 | 182.00 *** nbdead (%): 5.65 | 0.23 | 0.00 *** AGB (t/ha): 309.00 GPP (MgC/ha/yr) 45.58 NPP 18.66 litterfall (Mg/ha/yr) 5.94
1137 Trees (1/ha): 4951.00 | 443.00 | 182.00 *** nbdead (%): 4.10 | 0.00 | 0.00 *** AGB (t/ha): 310.00 GPP (MgC/ha/yr) 46.03 NPP 18.42 litterfall (Mg/ha/yr) 5.96
1138 Trees (1/ha): 4954.00 | 443.00 | 182.00 *** nbdead (%): 3.55 | 0.00 | 0.00 *** AGB (t/ha): 310.00 GPP (MgC/ha/yr) 43.89 NPP 17.28 litterfall (Mg/ha/yr) 5.99
1139 Trees (1/ha): 4929.00 | 442.00 | 181.00 *** nbdead (%): 3.23 | 0.23 | 0.55 *** AGB (t/ha): 310.00 GPP (MgC/ha/yr) 37.17 NPP 13.47 litterfall (Mg/ha/yr) 6.00
10000 Seedrain: 50000.00
Trees_mature: 284 Nbseedsadded: 47390 effective: 48540 nbspeciesaffected: 45
1140 Trees (1/ha): 4703.00 | 440.00 | 180.00 *** nbdead (%): 8.04 | 0.45 | 0.56 *** AGB (t/ha): 309.00 GPP (MgC/ha/yr) 36.91 NPP 13.87 litterfall (Mg/ha/yr) 5.98
1141 Trees (1/ha): 4876.00 | 440.00 | 180.00 *** nbdead (%): 3.61 | 0.00 | 0.00 *** AGB (t/ha): 309.00 GPP (MgC/ha/yr) 35.20 NPP 12.75 litterfall (Mg/ha/yr) 5.97
1142 Trees (1/ha): 4893.00 | 440.00 | 180.00 *** nbdead (%): 4.95 | 0.00 | 0.00 *** AGB (t/ha): 309.00 GPP (MgC/ha/yr) 36.33 NPP 13.70 litterfall (Mg/ha/yr) 5.96
1143 Trees (1/ha): 4938.00 | 440.00 | 180.00 *** nbdead (%): 4.92 | 0.00 | 0.00 *** AGB (t/ha): 309.00 GPP (MgC/ha/yr) 37.21 NPP 14.09 litterfall (Mg/ha/yr) 5.94
1144 Trees (1/ha): 4996.00 | 439.00 | 180.00 *** nbdead (%): 4.28 | 0.23 | 0.00 *** AGB (t/ha): 309.00 GPP (MgC/ha/yr) 36.46 NPP 13.46 litterfall (Mg/ha/yr) 5.92
1145 Trees (1/ha): 4910.00 | 439.00 | 180.00 *** nbdead (%): 6.21 | 0.00 | 0.00 *** AGB (t/ha): 310.00 GPP (MgC/ha/yr) 37.83 NPP 14.64 litterfall (Mg/ha/yr) 5.91
1146 Trees (1/ha): 4905.00 | 439.00 | 180.00 *** nbdead (%): 6.61 | 0.00 | 0.00 *** AGB (t/ha): 310.00 GPP (MgC/ha/yr) 39.69 NPP 15.72 litterfall (Mg/ha/yr) 5.91
1147 Trees (1/ha): 4913.00 | 440.00 | 180.00 *** nbdead (%): 6.19 | 0.00 | 0.00 *** AGB (t/ha): 310.00 GPP (MgC/ha/yr) 42.93 NPP 17.50 litterfall (Mg/ha/yr) 5.92
1148 Trees (1/ha): 4940.00 | 440.00 | 180.00 *** nbdead (%): 5.06 | 0.00 | 0.00 *** AGB (t/ha): 311.00 GPP (MgC/ha/yr) 45.60 NPP 18.67 litterfall (Mg/ha/yr) 5.93
1149 Trees (1/ha): 4966.00 | 440.00 | 180.00 *** nbdead (%): 4.25 | 0.23 | 0.00 *** AGB (t/ha): 311.00 GPP (MgC/ha/yr) 46.04 NPP 18.43 litterfall (Mg/ha/yr) 5.95
1150 Trees (1/ha): 4967.00 | 440.00 | 180.00 *** nbdead (%): 3.48 | 0.00 | 0.00 *** AGB (t/ha): 311.00 GPP (MgC/ha/yr) 43.93 NPP 17.30 litterfall (Mg/ha/yr) 5.98
1151 Trees (1/ha): 4932.00 | 441.00 | 180.00 *** nbdead (%): 3.47 | 0.00 | 0.00 *** AGB (t/ha): 312.00 GPP (MgC/ha/yr) 37.28 NPP 13.52 litterfall (Mg/ha/yr) 6.00
10000 Seedrain: 50000.00
Trees_mature: 283 Nbseedsadded: 47298 effective: 48474 nbspeciesaffected: 45
1152 Trees (1/ha): 4733.00 | 441.00 | 180.00 *** nbdead (%): 7.80 | 0.00 | 0.00 *** AGB (t/ha): 312.00 GPP (MgC/ha/yr) 37.12 NPP 13.95 litterfall (Mg/ha/yr) 6.00
ABC: Conservation of Traits
ABC: Ground data
ABC: CHM simulation
ABC: Transmittance simulation
ABC: Species outputs
1153 Trees (1/ha): 4853.00 | 442.00 | 180.00 *** nbdead (%): 4.31 | 0.00 | 0.00 *** AGB (t/ha): 312.00 GPP (MgC/ha/yr) 35.33 NPP 12.78 litterfall (Mg/ha/yr) 6.00
1154 Trees (1/ha): 4868.00 | 442.00 | 180.00 *** nbdead (%): 5.24 | 0.00 | 0.00 *** AGB (t/ha): 312.00 GPP (MgC/ha/yr) 36.43 NPP 13.72 litterfall (Mg/ha/yr) 5.98
1155 Trees (1/ha): 4953.00 | 442.00 | 180.00 *** nbdead (%): 4.46 | 0.00 | 0.00 *** AGB (t/ha): 313.00 GPP (MgC/ha/yr) 37.33 NPP 14.11 litterfall (Mg/ha/yr) 5.96
1156 Trees (1/ha): 4982.00 | 442.00 | 180.00 *** nbdead (%): 4.34 | 0.00 | 0.00 *** AGB (t/ha): 313.00 GPP (MgC/ha/yr) 36.59 NPP 13.49 litterfall (Mg/ha/yr) 5.95
1157 Trees (1/ha): 4929.00 | 442.00 | 180.00 *** nbdead (%): 5.78 | 0.00 | 0.00 *** AGB (t/ha): 313.00 GPP (MgC/ha/yr) 37.97 NPP 14.67 litterfall (Mg/ha/yr) 5.94
1158 Trees (1/ha): 4926.00 | 442.00 | 180.00 *** nbdead (%): 5.81 | 0.00 | 0.00 *** AGB (t/ha): 314.00 GPP (MgC/ha/yr) 39.82 NPP 15.75 litterfall (Mg/ha/yr) 5.94
1159 Trees (1/ha): 4853.00 | 442.00 | 180.00 *** nbdead (%): 6.88 | 0.00 | 0.00 *** AGB (t/ha): 314.00 GPP (MgC/ha/yr) 43.04 NPP 17.52 litterfall (Mg/ha/yr) 5.94
1160 Trees (1/ha): 4859.00 | 443.00 | 180.00 *** nbdead (%): 5.87 | 0.00 | 0.00 *** AGB (t/ha): 314.00 GPP (MgC/ha/yr) 45.73 NPP 18.70 litterfall (Mg/ha/yr) 5.95
1161 Trees (1/ha): 4927.00 | 443.00 | 181.00 *** nbdead (%): 4.14 | 0.00 | 0.00 *** AGB (t/ha): 315.00 GPP (MgC/ha/yr) 46.17 NPP 18.46 litterfall (Mg/ha/yr) 5.97
1162 Trees (1/ha): 4930.00 | 442.00 | 181.00 *** nbdead (%): 3.23 | 0.45 | 0.55 *** AGB (t/ha): 314.00 GPP (MgC/ha/yr) 43.86 NPP 17.25 litterfall (Mg/ha/yr) 5.98
1163 Trees (1/ha): 4893.00 | 442.00 | 181.00 *** nbdead (%): 3.31 | 0.00 | 0.00 *** AGB (t/ha): 314.00 GPP (MgC/ha/yr) 37.25 NPP 13.51 litterfall (Mg/ha/yr) 6.00
10000 Seedrain: 50000.00
Trees_mature: 282 Nbseedsadded: 47305 effective: 48483 nbspeciesaffected: 45
1164 Trees (1/ha): 4731.00 | 440.00 | 181.00 *** nbdead (%): 7.95 | 0.45 | 0.00 *** AGB (t/ha): 314.00 GPP (MgC/ha/yr) 37.09 NPP 13.93 litterfall (Mg/ha/yr) 6.00
1165 Trees (1/ha): 4919.00 | 440.00 | 181.00 *** nbdead (%): 3.50 | 0.00 | 0.00 *** AGB (t/ha): 314.00 GPP (MgC/ha/yr) 35.31 NPP 12.77 litterfall (Mg/ha/yr) 5.99
1166 Trees (1/ha): 4887.00 | 439.00 | 181.00 *** nbdead (%): 5.26 | 0.23 | 0.00 *** AGB (t/ha): 314.00 GPP (MgC/ha/yr) 36.37 NPP 13.69 litterfall (Mg/ha/yr) 5.97
1167 Trees (1/ha): 4959.00 | 439.00 | 180.00 *** nbdead (%): 4.42 | 0.23 | 0.56 *** AGB (t/ha): 313.00 GPP (MgC/ha/yr) 37.09 NPP 14.02 litterfall (Mg/ha/yr) 5.93
1168 Trees (1/ha): 4966.00 | 438.00 | 180.00 *** nbdead (%): 4.89 | 0.23 | 0.00 *** AGB (t/ha): 313.00 GPP (MgC/ha/yr) 36.41 NPP 13.43 litterfall (Mg/ha/yr) 5.92
1169 Trees (1/ha): 4944.00 | 437.00 | 180.00 *** nbdead (%): 6.01 | 0.23 | 0.00 *** AGB (t/ha): 313.00 GPP (MgC/ha/yr) 37.82 NPP 14.62 litterfall (Mg/ha/yr) 5.91
1170 Trees (1/ha): 4952.00 | 437.00 | 180.00 *** nbdead (%): 5.92 | 0.00 | 0.00 *** AGB (t/ha): 313.00 GPP (MgC/ha/yr) 39.68 NPP 15.71 litterfall (Mg/ha/yr) 5.91
1171 Trees (1/ha): 4900.00 | 436.00 | 180.00 *** nbdead (%): 6.80 | 0.23 | 0.00 *** AGB (t/ha): 313.00 GPP (MgC/ha/yr) 42.90 NPP 17.48 litterfall (Mg/ha/yr) 5.91
1172 Trees (1/ha): 4926.00 | 436.00 | 180.00 *** nbdead (%): 5.64 | 0.00 | 0.00 *** AGB (t/ha): 314.00 GPP (MgC/ha/yr) 45.59 NPP 18.66 litterfall (Mg/ha/yr) 5.93
1173 Trees (1/ha): 4974.00 | 436.00 | 180.00 *** nbdead (%): 4.24 | 0.00 | 0.00 *** AGB (t/ha): 314.00 GPP (MgC/ha/yr) 46.00 NPP 18.41 litterfall (Mg/ha/yr) 5.95
1174 Trees (1/ha): 4984.00 | 435.00 | 179.00 *** nbdead (%): 3.47 | 0.23 | 0.56 *** AGB (t/ha): 313.00 GPP (MgC/ha/yr) 43.69 NPP 17.20 litterfall (Mg/ha/yr) 5.96
1175 Trees (1/ha): 4943.00 | 435.00 | 179.00 *** nbdead (%): 3.74 | 0.00 | 0.00 *** AGB (t/ha): 314.00 GPP (MgC/ha/yr) 37.07 NPP 13.44 litterfall (Mg/ha/yr) 5.98
10000 Seedrain: 50000.00
Trees_mature: 279 Nbseedsadded: 47342 effective: 48524 nbspeciesaffected: 45
1176 Trees (1/ha): 4754.00 | 435.00 | 179.00 *** nbdead (%): 8.16 | 0.00 | 0.00 *** AGB (t/ha): 314.00 GPP (MgC/ha/yr) 36.94 NPP 13.88 litterfall (Mg/ha/yr) 5.98
1177 Trees (1/ha): 4919.00 | 436.00 | 179.00 *** nbdead (%): 3.90 | 0.00 | 0.00 *** AGB (t/ha): 314.00 GPP (MgC/ha/yr) 35.17 NPP 12.72 litterfall (Mg/ha/yr) 5.98
1178 Trees (1/ha): 4924.00 | 434.00 | 179.00 *** nbdead (%): 4.91 | 0.46 | 0.00 *** AGB (t/ha): 314.00 GPP (MgC/ha/yr) 36.28 NPP 13.67 litterfall (Mg/ha/yr) 5.96
1179 Trees (1/ha): 4995.00 | 434.00 | 179.00 *** nbdead (%): 4.36 | 0.00 | 0.00 *** AGB (t/ha): 314.00 GPP (MgC/ha/yr) 37.17 NPP 14.06 litterfall (Mg/ha/yr) 5.94
1180 Trees (1/ha): 5019.00 | 432.00 | 179.00 *** nbdead (%): 4.34 | 0.46 | 0.00 *** AGB (t/ha): 314.00 GPP (MgC/ha/yr) 36.43 NPP 13.43 litterfall (Mg/ha/yr) 5.93
1181 Trees (1/ha): 4939.00 | 432.00 | 179.00 *** nbdead (%): 6.09 | 0.00 | 0.00 *** AGB (t/ha): 314.00 GPP (MgC/ha/yr) 37.81 NPP 14.61 litterfall (Mg/ha/yr) 5.92
1182 Trees (1/ha): 4934.00 | 432.00 | 179.00 *** nbdead (%): 6.28 | 0.00 | 0.00 *** AGB (t/ha): 315.00 GPP (MgC/ha/yr) 39.66 NPP 15.70 litterfall (Mg/ha/yr) 5.92
1183 Trees (1/ha): 4899.00 | 432.00 | 179.00 *** nbdead (%): 6.88 | 0.00 | 0.00 *** AGB (t/ha): 315.00 GPP (MgC/ha/yr) 42.88 NPP 17.46 litterfall (Mg/ha/yr) 5.92
1184 Trees (1/ha): 4918.00 | 432.00 | 179.00 *** nbdead (%): 5.86 | 0.00 | 0.00 *** AGB (t/ha): 316.00 GPP (MgC/ha/yr) 45.56 NPP 18.64 litterfall (Mg/ha/yr) 5.94
1185 Trees (1/ha): 4968.00 | 431.00 | 180.00 *** nbdead (%): 4.13 | 0.23 | 0.00 *** AGB (t/ha): 316.00 GPP (MgC/ha/yr) 45.91 NPP 18.36 litterfall (Mg/ha/yr) 5.95
1186 Trees (1/ha): 4975.00 | 432.00 | 180.00 *** nbdead (%): 3.18 | 0.00 | 0.00 *** AGB (t/ha): 316.00 GPP (MgC/ha/yr) 43.78 NPP 17.23 litterfall (Mg/ha/yr) 5.97
1187 Trees (1/ha): 4985.00 | 432.00 | 180.00 *** nbdead (%): 2.97 | 0.00 | 0.00 *** AGB (t/ha): 316.00 GPP (MgC/ha/yr) 37.14 NPP 13.46 litterfall (Mg/ha/yr) 5.99
10000 Seedrain: 50000.00
Trees_mature: 280 Nbseedsadded: 47324 effective: 48514 nbspeciesaffected: 45
1188 Trees (1/ha): 4781.00 | 431.00 | 180.00 *** nbdead (%): 7.82 | 0.23 | 0.00 *** AGB (t/ha): 316.00 GPP (MgC/ha/yr) 37.00 NPP 13.89 litterfall (Mg/ha/yr) 5.99
1189 Trees (1/ha): 4937.00 | 431.00 | 180.00 *** nbdead (%): 3.85 | 0.00 | 0.00 *** AGB (t/ha): 317.00 GPP (MgC/ha/yr) 35.23 NPP 12.73 litterfall (Mg/ha/yr) 5.99
1190 Trees (1/ha): 4925.00 | 430.00 | 180.00 *** nbdead (%): 4.83 | 0.23 | 0.00 *** AGB (t/ha): 317.00 GPP (MgC/ha/yr) 36.35 NPP 13.68 litterfall (Mg/ha/yr) 5.97
1191 Trees (1/ha): 4957.00 | 430.00 | 180.00 *** nbdead (%): 5.00 | 0.00 | 0.00 *** AGB (t/ha): 317.00 GPP (MgC/ha/yr) 37.26 NPP 14.08 litterfall (Mg/ha/yr) 5.96
1192 Trees (1/ha): 4993.00 | 430.00 | 180.00 *** nbdead (%): 4.53 | 0.00 | 0.00 *** AGB (t/ha): 317.00 GPP (MgC/ha/yr) 36.51 NPP 13.45 litterfall (Mg/ha/yr) 5.94
1193 Trees (1/ha): 4909.00 | 428.00 | 180.00 *** nbdead (%): 6.27 | 0.47 | 0.00 *** AGB (t/ha): 317.00 GPP (MgC/ha/yr) 37.85 NPP 14.62 litterfall (Mg/ha/yr) 5.92
1194 Trees (1/ha): 4880.00 | 428.00 | 180.00 *** nbdead (%): 6.66 | 0.00 | 0.00 *** AGB (t/ha): 317.00 GPP (MgC/ha/yr) 39.72 NPP 15.72 litterfall (Mg/ha/yr) 5.92
1195 Trees (1/ha): 4900.00 | 428.00 | 180.00 *** nbdead (%): 6.37 | 0.00 | 0.00 *** AGB (t/ha): 318.00 GPP (MgC/ha/yr) 42.93 NPP 17.47 litterfall (Mg/ha/yr) 5.93
ABC: Conservation of Traits
ABC: Ground data
ABC: CHM simulation
ABC: Transmittance simulation
ABC: Species outputs
1196 Trees (1/ha): 4900.00 | 428.00 | 180.00 *** nbdead (%): 5.78 | 0.00 | 0.00 *** AGB (t/ha): 318.00 GPP (MgC/ha/yr) 45.62 NPP 18.66 litterfall (Mg/ha/yr) 5.94
1197 Trees (1/ha): 4947.00 | 427.00 | 179.00 *** nbdead (%): 4.16 | 0.23 | 0.56 *** AGB (t/ha): 318.00 GPP (MgC/ha/yr) 45.89 NPP 18.33 litterfall (Mg/ha/yr) 5.94
1198 Trees (1/ha): 4978.00 | 426.00 | 179.00 *** nbdead (%): 3.21 | 0.23 | 0.00 *** AGB (t/ha): 318.00 GPP (MgC/ha/yr) 43.76 NPP 17.21 litterfall (Mg/ha/yr) 5.96
1199 Trees (1/ha): 4964.00 | 426.00 | 179.00 *** nbdead (%): 3.38 | 0.00 | 0.00 *** AGB (t/ha): 318.00 GPP (MgC/ha/yr) 37.13 NPP 13.45 litterfall (Mg/ha/yr) 5.98
Simulation ends with 4964 trees.
Writing snapshot of forest to file.
Number of processors : 1
Average computation time : 12.50 seconds.
End of simulation.
[1] "test1_0_death_snapshots.txt" "test1_0_death.txt"
[3] "test1_0_deathrate.txt" "test1_0_final_pattern.txt"
[5] "test1_0_initial_pattern.txt" "test1_0_sumstats_species.txt"
[7] "test1_0_sumstats.txt" "test1_input_climate.txt"
[9] "test1_input_daily.txt" "test1_input_global.txt"
[11] "test1_input_species.txt" "test1_log.txt"
# A tibble: 1,200 × 13
iter sum1 sum10 sum30 ba ba10 agb gpp npp rday rnight rstem
<dbl> <dbl> <dbl> <dbl> <dbl> <dbl> <dbl> <dbl> <dbl> <dbl> <dbl> <dbl>
1 0 9924 0 0 0.743 0 564. 0.962 0.522 0.0485 0.0959 0.000176
2 1 9927 0 0 0.944 0 806. 0.972 0.522 0.0498 0.0997 0.00124
3 2 9926 0 0 1.13 0 1058. 1.04 0.559 0.0527 0.104 0.00173
4 3 9924 0 0 1.32 0 1324. 1.10 0.596 0.0567 0.110 0.00236
5 4 9925 0 0 1.49 0 1592. 1.15 0.611 0.0593 0.119 0.00293
6 5 9925 0 0 1.67 0 1878. 1.22 0.655 0.0618 0.122 0.00352
7 6 9927 0 0 1.85 0 2188. 1.31 0.709 0.0667 0.130 0.00424
8 7 9927 0 0 2.05 0 2534. 1.46 0.791 0.0767 0.140 0.00507
9 8 9922 0 0 2.25 0 2912. 1.61 0.866 0.0865 0.155 0.00625
10 9 9926 0 0 2.46 0 3314. 1.73 0.920 0.0958 0.173 0.00748
# ℹ 1,190 more rows
# ℹ 1 more variable: litterfall <dbl>
Let’s have a look to our simulation outputs.




stackAn ensemble of simulations at once for virtual experiments.
# A tibble: 126 × 4
param value description simulation
<chr> <dbl> <chr> <chr>
1 cols 100 /* nb of columns */ seed50000
2 cols 100 /* nb of columns */ seed500
3 rows 100 /* nb of rows */ seed50000
4 rows 100 /* nb of rows */ seed500
5 HEIGHT 70 /* vertical extent of simulation */ seed50000
6 HEIGHT 70 /* vertical extent of simulation */ seed500
7 length_dcell 25 /* linear size of a dcell */ seed50000
8 length_dcell 25 /* linear size of a dcell */ seed500
9 nbiter 12 /* total nb of timesteps */ seed50000
10 nbiter 12 /* total nb of timesteps */ seed500
# ℹ 116 more rows
|
| | 0%
|
|======================================================================| 100%
Object of class : trollstack
Name : teststack
Path :
In memory : TRUE
Number of simulations : 2
Extended : TRUE
From data : FALSE
Lidar simulation : FALSE
Random : FALSE
2D discrete network: horizontal step = 1 m, one tree per 1 m^2
Number of sites : 100 x 100
Number of iterations : 12
Duration of timestep : 30.41667 days
Number of Species : 45

Starting back from a previously simulated forest.
col row CrownDisplacement Pmass Nmass LMA wsg Rdark Vcmax
1 0 0 0 0.0004366 0.0206 102.520 0.766 0.93925 35.168
2 13 0 0 0.0005287 0.0193 91.020 0.522 0.91236 35.059
3 14 0 0 0.0005802 0.0193 68.090 0.659 0.82642 29.405
4 15 0 0 0.0003879 0.0150 170.570 0.563 1.10180 48.848
5 36 0 0 0.0005926 0.0184 74.580 0.639 0.85326 31.784
6 38 0 0 0.0005054 0.0255 95.600 0.798 0.96750 35.643
7 39 0 0 0.0004985 0.0189 130.090 0.685 1.05440 44.631
8 42 0 0 0.0004892 0.0155 107.740 0.626 0.93798 38.419
9 43 0 0 0.0003076 0.0130 129.870 0.811 0.91507 35.870
10 44 0 0 0.0011500 0.0207 104.600 0.657 1.13360 55.203
11 53 0 0 0.0004985 0.0189 130.090 0.685 1.05440 44.631
12 57 0 0 0.0007652 0.0360 74.270 0.451 0.98377 35.547
13 59 0 0 0.0006486 0.0174 95.810 0.577 0.95226 39.944
14 64 0 0 0.0004817 0.0150 122.800 0.784 0.98535 42.087
15 66 0 0 0.0003884 0.0163 127.690 0.785 0.97663 39.336
16 67 0 0 0.0011600 0.0232 123.980 0.628 1.25900 62.953
17 76 0 0 0.0006881 0.0188 85.790 0.619 0.92755 37.759
18 78 0 0 0.0008959 0.0278 80.340 0.696 0.99858 40.478
19 79 0 0 0.0010321 0.0328 50.810 0.527 0.86339 30.594
20 80 0 0 0.0005725 0.0289 53.030 0.757 0.79316 24.232
21 81 0 0 0.0005868 0.0276 85.980 0.695 0.95863 35.206
22 82 0 0 0.0008129 0.0217 84.250 0.612 0.96597 40.151
23 83 0 0 0.0010321 0.0328 50.810 0.527 0.86339 30.594
24 85 0 0 0.0003884 0.0163 127.690 0.785 0.97663 39.336
25 88 0 0 0.0006400 0.0258 77.403 0.618 0.91821 33.834
26 90 0 0 0.0013827 0.0276 69.530 0.388 1.01060 44.153
27 91 0 0 0.0005926 0.0184 74.580 0.639 0.85326 31.784
28 99 0 0 0.0006818 0.0163 90.920 0.562 0.93246 39.277
29 12 1 0 0.0005725 0.0289 53.030 0.757 0.79316 24.232
30 19 1 0 0.0008959 0.0278 80.340 0.696 0.99858 40.478
31 25 1 0 0.0005916 0.0253 134.370 0.443 1.16820 49.390
32 26 1 0 0.0005700 0.0232 110.380 0.576 1.03600 41.909
33 28 1 0 0.0006818 0.0163 90.920 0.562 0.93246 39.277
34 34 1 0 0.0008129 0.0217 84.250 0.612 0.96597 40.151
35 35 1 0 0.0006400 0.0258 77.403 0.618 0.91821 33.834
36 36 1 0 0.0005300 0.0184 105.960 0.548 0.96704 39.335
37 38 1 0 0.0008129 0.0217 84.250 0.612 0.96597 40.151
38 39 1 0 0.0004892 0.0155 107.740 0.626 0.93798 38.419
39 40 1 0 0.0004578 0.0151 121.810 0.743 0.97374 40.885
40 56 1 0 0.0006818 0.0163 90.920 0.562 0.93246 39.277
41 62 1 0 0.0013827 0.0276 69.530 0.388 1.01060 44.153
42 63 1 0 0.0004029 0.0131 118.470 0.606 0.92354 37.805
43 70 1 0 0.0006881 0.0188 85.790 0.619 0.92755 37.759
44 74 1 0 0.0005868 0.0276 85.980 0.695 0.95863 35.206
45 75 1 0 0.0005600 0.0204 110.670 0.698 1.01160 41.659
46 82 1 0 0.0005868 0.0276 85.980 0.695 0.95863 35.206
47 84 1 0 0.0006881 0.0188 85.790 0.619 0.92755 37.759
48 85 1 0 0.0006881 0.0188 85.790 0.619 0.92755 37.759
49 89 1 0 0.0005054 0.0255 95.600 0.798 0.96750 35.643
50 92 1 0 0.0005300 0.0184 105.960 0.548 0.96704 39.335
51 96 1 0 0.0004029 0.0131 118.470 0.606 0.92354 37.805
52 97 1 0 0.0006310 0.0240 95.150 0.476 0.99053 39.248
53 2 2 0 0.0003884 0.0163 127.690 0.785 0.97663 39.336
54 8 2 0 0.0013827 0.0276 69.530 0.388 1.01060 44.153
55 9 2 0 0.0013827 0.0276 69.530 0.388 1.01060 44.153
56 14 2 0 0.0006900 0.0243 91.256 0.610 0.98906 39.599
57 33 2 0 0.0005600 0.0204 110.670 0.698 1.01160 41.659
58 49 2 0 0.0013827 0.0276 69.530 0.388 1.01060 44.153
59 50 2 0 0.0016023 0.0260 72.000 0.662 1.04790 48.432
60 54 2 0 0.0010321 0.0328 50.810 0.527 0.86339 30.594
61 55 2 0 0.0003879 0.0150 170.570 0.563 1.10180 48.848
62 57 2 0 0.0006279 0.0221 80.910 0.686 0.91103 34.678
63 61 2 0 0.0005802 0.0193 68.090 0.659 0.82642 29.405
64 65 2 0 0.0006818 0.0163 90.920 0.562 0.93246 39.277
65 69 2 0 0.0005868 0.0276 85.980 0.695 0.95863 35.206
66 79 2 0 0.0010321 0.0328 50.810 0.527 0.86339 30.594
67 80 2 0 0.0005802 0.0193 68.090 0.659 0.82642 29.405
68 84 2 0 0.0013827 0.0276 69.530 0.388 1.01060 44.153
69 90 2 0 0.0005600 0.0204 110.670 0.698 1.01160 41.659
70 92 2 0 0.0003884 0.0163 127.690 0.785 0.97663 39.336
71 0 3 0 0.0006486 0.0174 95.810 0.577 0.95226 39.944
72 1 3 0 0.0005916 0.0253 134.370 0.443 1.16820 49.390
73 7 3 0 0.0006900 0.0243 91.256 0.610 0.98906 39.599
74 8 3 0 0.0005725 0.0289 53.030 0.757 0.79316 24.232
75 14 3 0 0.0006279 0.0221 80.910 0.686 0.91103 34.678
76 21 3 0 0.0006109 0.0211 67.850 0.564 0.84077 30.016
77 36 3 0 0.0011600 0.0232 123.980 0.628 1.25900 62.953
78 40 3 0 0.0011500 0.0207 104.600 0.657 1.13360 55.203
79 41 3 0 0.0007295 0.0235 86.660 0.537 0.97076 39.059
80 48 3 0 0.0003884 0.0163 127.690 0.785 0.97663 39.336
81 57 3 0 0.0005600 0.0204 110.670 0.698 1.01160 41.659
82 58 3 0 0.0007295 0.0235 86.660 0.537 0.97076 39.059
83 64 3 0 0.0005868 0.0276 85.980 0.695 0.95863 35.206
84 67 3 0 0.0003884 0.0163 127.690 0.785 0.97663 39.336
85 70 3 0 0.0006279 0.0221 80.910 0.686 0.91103 34.678
86 88 3 0 0.0005802 0.0193 68.090 0.659 0.82642 29.405
87 90 3 0 0.0006310 0.0240 95.150 0.476 0.99053 39.248
88 99 3 0 0.0005725 0.0289 53.030 0.757 0.79316 24.232
89 6 4 0 0.0005287 0.0193 91.020 0.522 0.91236 35.059
90 10 4 0 0.0006279 0.0221 80.910 0.686 0.91103 34.678
91 19 4 0 0.0013827 0.0276 69.530 0.388 1.01060 44.153
92 20 4 0 0.0004817 0.0150 122.800 0.784 0.98535 42.087
93 28 4 0 0.0007295 0.0235 86.660 0.537 0.97076 39.059
94 31 4 0 0.0006279 0.0221 80.910 0.686 0.91103 34.678
95 36 4 0 0.0006400 0.0258 77.403 0.618 0.91821 33.834
96 51 4 0 0.0005600 0.0204 110.670 0.698 1.01160 41.659
97 56 4 0 0.0005926 0.0184 74.580 0.639 0.85326 31.784
98 60 4 0 0.0008129 0.0217 84.250 0.612 0.96597 40.151
99 69 4 0 0.0018221 0.0232 61.400 0.692 0.96393 43.024
100 82 4 0 0.0005725 0.0289 53.030 0.757 0.79316 24.232
101 84 4 0 0.0007295 0.0235 86.660 0.537 0.97076 39.059
102 85 4 0 0.0005916 0.0253 134.370 0.443 1.16820 49.390
103 86 4 0 0.0006486 0.0174 95.810 0.577 0.95226 39.944
104 90 4 0 0.0006778 0.0171 98.670 0.752 0.96997 41.652
105 91 4 0 0.0005926 0.0184 74.580 0.639 0.85326 31.784
106 92 4 0 0.0005725 0.0289 53.030 0.757 0.79316 24.232
107 97 4 0 0.0006356 0.0177 130.130 0.550 1.09220 49.798
108 98 4 0 0.0005054 0.0255 95.600 0.798 0.96750 35.643
109 2 5 0 0.0003879 0.0150 170.570 0.563 1.10180 48.848
110 6 5 0 0.0005926 0.0184 74.580 0.639 0.85326 31.784
111 13 5 0 0.0011500 0.0207 104.600 0.657 1.13360 55.203
112 14 5 0 0.0003884 0.0163 127.690 0.785 0.97663 39.336
113 18 5 0 0.0010321 0.0328 50.810 0.527 0.86339 30.594
114 30 5 0 0.0005700 0.0232 110.380 0.576 1.03600 41.909
115 43 5 0 0.0006310 0.0240 95.150 0.476 0.99053 39.248
116 47 5 0 0.0007652 0.0360 74.270 0.451 0.98377 35.547
117 52 5 0 0.0005300 0.0184 105.960 0.548 0.96704 39.335
118 54 5 0 0.0013827 0.0276 69.530 0.388 1.01060 44.153
119 55 5 0 0.0006400 0.0258 77.403 0.618 0.91821 33.834
120 58 5 0 0.0006818 0.0163 90.920 0.562 0.93246 39.277
121 63 5 0 0.0006778 0.0171 98.670 0.752 0.96997 41.652
122 66 5 0 0.0005700 0.0232 110.380 0.576 1.03600 41.909
123 67 5 0 0.0005868 0.0276 85.980 0.695 0.95863 35.206
124 68 5 0 0.0006400 0.0258 77.403 0.618 0.91821 33.834
125 80 5 0 0.0013827 0.0276 69.530 0.388 1.01060 44.153
126 86 5 0 0.0005890 0.0188 84.330 0.553 0.89702 34.757
127 91 5 0 0.0006881 0.0188 85.790 0.619 0.92755 37.759
128 96 5 0 0.0004029 0.0131 118.470 0.606 0.92354 37.805
129 3 6 0 0.0007652 0.0360 74.270 0.451 0.98377 35.547
130 4 6 0 0.0005054 0.0255 95.600 0.798 0.96750 35.643
131 21 6 0 0.0006279 0.0221 80.910 0.686 0.91103 34.678
132 32 6 0 0.0007755 0.0204 112.520 0.699 1.08250 48.835
133 34 6 0 0.0006356 0.0177 130.130 0.550 1.09220 49.798
134 36 6 0 0.0005926 0.0184 74.580 0.639 0.85326 31.784
135 41 6 0 0.0013827 0.0276 69.530 0.388 1.01060 44.153
136 42 6 0 0.0003076 0.0130 129.870 0.811 0.91507 35.870
137 53 6 0 0.0005725 0.0289 53.030 0.757 0.79316 24.232
138 55 6 0 0.0004985 0.0189 130.090 0.685 1.05440 44.631
139 56 6 0 0.0003879 0.0150 170.570 0.563 1.10180 48.848
140 60 6 0 0.0018221 0.0232 61.400 0.692 0.96393 43.024
141 62 6 0 0.0006881 0.0188 85.790 0.619 0.92755 37.759
142 63 6 0 0.0006279 0.0221 80.910 0.686 0.91103 34.678
143 64 6 0 0.0004892 0.0155 107.740 0.626 0.93798 38.419
144 65 6 0 0.0006109 0.0211 67.850 0.564 0.84077 30.016
145 67 6 0 0.0005300 0.0184 105.960 0.548 0.96704 39.335
146 68 6 0 0.0004690 0.0154 151.410 0.566 1.08340 48.657
147 69 6 0 0.0005300 0.0184 105.960 0.548 0.96704 39.335
148 72 6 0 0.0007652 0.0360 74.270 0.451 0.98377 35.547
149 73 6 0 0.0003925 0.0141 138.360 0.755 0.99220 41.975
150 76 6 0 0.0011500 0.0207 104.600 0.657 1.13360 55.203
151 88 6 0 0.0004817 0.0150 122.800 0.784 0.98535 42.087
152 89 6 0 0.0006356 0.0177 130.130 0.550 1.09220 49.798
153 99 6 0 0.0003884 0.0163 127.690 0.785 0.97663 39.336
154 4 7 0 0.0006778 0.0171 98.670 0.752 0.96997 41.652
155 5 7 0 0.0006109 0.0211 67.850 0.564 0.84077 30.016
156 6 7 0 0.0006109 0.0211 67.850 0.564 0.84077 30.016
157 17 7 0 0.0005725 0.0289 53.030 0.757 0.79316 24.232
158 22 7 0 0.0004892 0.0155 107.740 0.626 0.93798 38.419
159 24 7 0 0.0005926 0.0184 74.580 0.639 0.85326 31.784
160 25 7 0 0.0006310 0.0240 95.150 0.476 0.99053 39.248
161 26 7 0 0.0005725 0.0289 53.030 0.757 0.79316 24.232
162 27 7 0 0.0018221 0.0232 61.400 0.692 0.96393 43.024
163 37 7 0 0.0003884 0.0163 127.690 0.785 0.97663 39.336
164 40 7 0 0.0008129 0.0217 84.250 0.612 0.96597 40.151
165 47 7 0 0.0004366 0.0206 102.520 0.766 0.93925 35.168
166 51 7 0 0.0006881 0.0188 85.790 0.619 0.92755 37.759
167 52 7 0 0.0007755 0.0204 112.520 0.699 1.08250 48.835
168 60 7 0 0.0008129 0.0217 84.250 0.612 0.96597 40.151
169 61 7 0 0.0007295 0.0235 86.660 0.537 0.97076 39.059
170 63 7 0 0.0004892 0.0155 107.740 0.626 0.93798 38.419
171 65 7 0 0.0007295 0.0235 86.660 0.537 0.97076 39.059
172 68 7 0 0.0005725 0.0289 53.030 0.757 0.79316 24.232
173 71 7 0 0.0006109 0.0211 67.850 0.564 0.84077 30.016
174 75 7 0 0.0006356 0.0177 130.130 0.550 1.09220 49.798
175 76 7 0 0.0006818 0.0163 90.920 0.562 0.93246 39.277
176 1 8 0 0.0005802 0.0193 68.090 0.659 0.82642 29.405
177 2 8 0 0.0006310 0.0240 95.150 0.476 0.99053 39.248
178 6 8 0 0.0006279 0.0221 80.910 0.686 0.91103 34.678
179 13 8 0 0.0011600 0.0232 123.980 0.628 1.25900 62.953
180 15 8 0 0.0003076 0.0130 129.870 0.811 0.91507 35.870
181 28 8 0 0.0004578 0.0151 121.810 0.743 0.97374 40.885
182 31 8 0 0.0016023 0.0260 72.000 0.662 1.04790 48.432
183 36 8 0 0.0004366 0.0206 102.520 0.766 0.93925 35.168
184 43 8 0 0.0004985 0.0189 130.090 0.685 1.05440 44.631
185 47 8 0 0.0007295 0.0235 86.660 0.537 0.97076 39.059
186 55 8 0 0.0006778 0.0171 98.670 0.752 0.96997 41.652
187 58 8 0 0.0005725 0.0289 53.030 0.757 0.79316 24.232
188 60 8 0 0.0004892 0.0155 107.740 0.626 0.93798 38.419
189 61 8 0 0.0008959 0.0278 80.340 0.696 0.99858 40.478
190 62 8 0 0.0005802 0.0193 68.090 0.659 0.82642 29.405
191 63 8 0 0.0005054 0.0255 95.600 0.798 0.96750 35.643
192 64 8 0 0.0004690 0.0154 151.410 0.566 1.08340 48.657
193 65 8 0 0.0004366 0.0206 102.520 0.766 0.93925 35.168
194 66 8 0 0.0007652 0.0360 74.270 0.451 0.98377 35.547
195 69 8 0 0.0011600 0.0232 123.980 0.628 1.25900 62.953
196 71 8 0 0.0006400 0.0258 77.403 0.618 0.91821 33.834
197 78 8 0 0.0005054 0.0255 95.600 0.798 0.96750 35.643
198 83 8 0 0.0004817 0.0150 122.800 0.784 0.98535 42.087
199 91 8 0 0.0004366 0.0206 102.520 0.766 0.93925 35.168
200 97 8 0 0.0003925 0.0141 138.360 0.755 0.99220 41.975
201 6 9 0 0.0004817 0.0150 122.800 0.784 0.98535 42.087
202 11 9 0 0.0005916 0.0253 134.370 0.443 1.16820 49.390
203 12 9 0 0.0005916 0.0253 134.370 0.443 1.16820 49.390
204 17 9 0 0.0006109 0.0211 67.850 0.564 0.84077 30.016
205 19 9 0 0.0005287 0.0193 91.020 0.522 0.91236 35.059
206 20 9 0 0.0006276 0.0152 134.800 0.677 1.08360 50.842
207 21 9 0 0.0005926 0.0184 74.580 0.639 0.85326 31.784
208 24 9 0 0.0003925 0.0141 138.360 0.755 0.99220 41.975
209 25 9 0 0.0007295 0.0235 86.660 0.537 0.97076 39.059
210 30 9 0 0.0008129 0.0217 84.250 0.612 0.96597 40.151
211 43 9 0 0.0005916 0.0253 134.370 0.443 1.16820 49.390
212 44 9 0 0.0005300 0.0184 105.960 0.548 0.96704 39.335
213 46 9 0 0.0010321 0.0328 50.810 0.527 0.86339 30.594
214 49 9 0 0.0006778 0.0171 98.670 0.752 0.96997 41.652
215 50 9 0 0.0005926 0.0184 74.580 0.639 0.85326 31.784
216 53 9 0 0.0004029 0.0131 118.470 0.606 0.92354 37.805
217 56 9 0 0.0007652 0.0360 74.270 0.451 0.98377 35.547
218 57 9 0 0.0003884 0.0163 127.690 0.785 0.97663 39.336
219 61 9 0 0.0005802 0.0193 68.090 0.659 0.82642 29.405
220 62 9 0 0.0006356 0.0177 130.130 0.550 1.09220 49.798
221 63 9 0 0.0007755 0.0204 112.520 0.699 1.08250 48.835
222 66 9 0 0.0006400 0.0258 77.403 0.618 0.91821 33.834
223 68 9 0 0.0005802 0.0193 68.090 0.659 0.82642 29.405
224 69 9 0 0.0018221 0.0232 61.400 0.692 0.96393 43.024
225 72 9 0 0.0005926 0.0184 74.580 0.639 0.85326 31.784
226 74 9 0 0.0003884 0.0163 127.690 0.785 0.97663 39.336
227 75 9 0 0.0004985 0.0189 130.090 0.685 1.05440 44.631
228 81 9 0 0.0005300 0.0184 105.960 0.548 0.96704 39.335
229 84 9 0 0.0018221 0.0232 61.400 0.692 0.96393 43.024
230 89 9 0 0.0006818 0.0163 90.920 0.562 0.93246 39.277
231 90 9 0 0.0006900 0.0243 91.256 0.610 0.98906 39.599
232 95 9 0 0.0005890 0.0188 84.330 0.553 0.89702 34.757
233 4 10 0 0.0005890 0.0188 84.330 0.553 0.89702 34.757
234 6 10 0 0.0005600 0.0204 110.670 0.698 1.01160 41.659
235 10 10 0 0.0006818 0.0163 90.920 0.562 0.93246 39.277
236 19 10 0 0.0006778 0.0171 98.670 0.752 0.96997 41.652
237 20 10 0 0.0006279 0.0221 80.910 0.686 0.91103 34.678
238 51 10 0 0.0003076 0.0130 129.870 0.811 0.91507 35.870
239 55 10 0 0.0003076 0.0130 129.870 0.811 0.91507 35.870
240 56 10 0 0.0003884 0.0163 127.690 0.785 0.97663 39.336
241 61 10 0 0.0003925 0.0141 138.360 0.755 0.99220 41.975
242 62 10 0 0.0004029 0.0131 118.470 0.606 0.92354 37.805
243 63 10 0 0.0004892 0.0155 107.740 0.626 0.93798 38.419
244 64 10 0 0.0003925 0.0141 138.360 0.755 0.99220 41.975
245 67 10 0 0.0005868 0.0276 85.980 0.695 0.95863 35.206
246 70 10 0 0.0005287 0.0193 91.020 0.522 0.91236 35.059
247 71 10 0 0.0004925 0.0150 194.290 0.750 1.23330 59.968
248 73 10 0 0.0005890 0.0188 84.330 0.553 0.89702 34.757
249 76 10 0 0.0005802 0.0193 68.090 0.659 0.82642 29.405
250 77 10 0 0.0006279 0.0221 80.910 0.686 0.91103 34.678
251 80 10 0 0.0006778 0.0171 98.670 0.752 0.96997 41.652
252 82 10 0 0.0003884 0.0163 127.690 0.785 0.97663 39.336
253 84 10 0 0.0005725 0.0289 53.030 0.757 0.79316 24.232
254 88 10 0 0.0006900 0.0243 91.256 0.610 0.98906 39.599
255 94 10 0 0.0005300 0.0184 105.960 0.548 0.96704 39.335
256 97 10 0 0.0008129 0.0217 84.250 0.612 0.96597 40.151
257 99 10 0 0.0006900 0.0243 91.256 0.610 0.98906 39.599
258 2 11 0 0.0006310 0.0240 95.150 0.476 0.99053 39.248
259 3 11 0 0.0006109 0.0211 67.850 0.564 0.84077 30.016
260 4 11 0 0.0005725 0.0289 53.030 0.757 0.79316 24.232
261 13 11 0 0.0005600 0.0204 110.670 0.698 1.01160 41.659
262 17 11 0 0.0007755 0.0204 112.520 0.699 1.08250 48.835
263 20 11 0 0.0010321 0.0328 50.810 0.527 0.86339 30.594
264 27 11 0 0.0007652 0.0360 74.270 0.451 0.98377 35.547
265 29 11 0 0.0013827 0.0276 69.530 0.388 1.01060 44.153
266 30 11 0 0.0005054 0.0255 95.600 0.798 0.96750 35.643
267 31 11 0 0.0006900 0.0243 91.256 0.610 0.98906 39.599
268 32 11 0 0.0004892 0.0155 107.740 0.626 0.93798 38.419
269 36 11 0 0.0007295 0.0235 86.660 0.537 0.97076 39.059
270 37 11 0 0.0006310 0.0240 95.150 0.476 0.99053 39.248
271 39 11 0 0.0005287 0.0193 91.020 0.522 0.91236 35.059
272 48 11 0 0.0005802 0.0193 68.090 0.659 0.82642 29.405
273 58 11 0 0.0006109 0.0211 67.850 0.564 0.84077 30.016
274 60 11 0 0.0016023 0.0260 72.000 0.662 1.04790 48.432
275 68 11 0 0.0004925 0.0150 194.290 0.750 1.23330 59.968
276 71 11 0 0.0006356 0.0177 130.130 0.550 1.09220 49.798
277 73 11 0 0.0007652 0.0360 74.270 0.451 0.98377 35.547
278 74 11 0 0.0004029 0.0131 118.470 0.606 0.92354 37.805
279 77 11 0 0.0005725 0.0289 53.030 0.757 0.79316 24.232
280 82 11 0 0.0006400 0.0258 77.403 0.618 0.91821 33.834
281 83 11 0 0.0005700 0.0232 110.380 0.576 1.03600 41.909
282 85 11 0 0.0006279 0.0221 80.910 0.686 0.91103 34.678
283 95 11 0 0.0006310 0.0240 95.150 0.476 0.99053 39.248
284 96 11 0 0.0004029 0.0131 118.470 0.606 0.92354 37.805
285 1 12 0 0.0005700 0.0232 110.380 0.576 1.03600 41.909
286 9 12 0 0.0004578 0.0151 121.810 0.743 0.97374 40.885
287 14 12 0 0.0006778 0.0171 98.670 0.752 0.96997 41.652
288 25 12 0 0.0007652 0.0360 74.270 0.451 0.98377 35.547
289 26 12 0 0.0006356 0.0177 130.130 0.550 1.09220 49.798
290 30 12 0 0.0006881 0.0188 85.790 0.619 0.92755 37.759
291 35 12 0 0.0005300 0.0184 105.960 0.548 0.96704 39.335
292 40 12 0 0.0004029 0.0131 118.470 0.606 0.92354 37.805
293 46 12 0 0.0004985 0.0189 130.090 0.685 1.05440 44.631
294 50 12 0 0.0005300 0.0184 105.960 0.548 0.96704 39.335
295 51 12 0 0.0007755 0.0204 112.520 0.699 1.08250 48.835
296 52 12 0 0.0004817 0.0150 122.800 0.784 0.98535 42.087
297 60 12 0 0.0008959 0.0278 80.340 0.696 0.99858 40.478
298 66 12 0 0.0006881 0.0188 85.790 0.619 0.92755 37.759
299 68 12 0 0.0007652 0.0360 74.270 0.451 0.98377 35.547
300 70 12 0 0.0004817 0.0150 122.800 0.784 0.98535 42.087
301 71 12 0 0.0006486 0.0174 95.810 0.577 0.95226 39.944
302 75 12 0 0.0006486 0.0174 95.810 0.577 0.95226 39.944
303 76 12 0 0.0005054 0.0255 95.600 0.798 0.96750 35.643
304 78 12 0 0.0006778 0.0171 98.670 0.752 0.96997 41.652
305 84 12 0 0.0007295 0.0235 86.660 0.537 0.97076 39.059
306 87 12 0 0.0004029 0.0131 118.470 0.606 0.92354 37.805
307 94 12 0 0.0003925 0.0141 138.360 0.755 0.99220 41.975
308 4 13 0 0.0006778 0.0171 98.670 0.752 0.96997 41.652
309 14 13 0 0.0007755 0.0204 112.520 0.699 1.08250 48.835
310 24 13 0 0.0005890 0.0188 84.330 0.553 0.89702 34.757
311 32 13 0 0.0004892 0.0155 107.740 0.626 0.93798 38.419
312 38 13 0 0.0005868 0.0276 85.980 0.695 0.95863 35.206
313 44 13 0 0.0006778 0.0171 98.670 0.752 0.96997 41.652
314 45 13 0 0.0005890 0.0188 84.330 0.553 0.89702 34.757
315 50 13 0 0.0005054 0.0255 95.600 0.798 0.96750 35.643
316 51 13 0 0.0007755 0.0204 112.520 0.699 1.08250 48.835
317 53 13 0 0.0005926 0.0184 74.580 0.639 0.85326 31.784
318 64 13 0 0.0003879 0.0150 170.570 0.563 1.10180 48.848
319 69 13 0 0.0010321 0.0328 50.810 0.527 0.86339 30.594
320 74 13 0 0.0005802 0.0193 68.090 0.659 0.82642 29.405
321 79 13 0 0.0010321 0.0328 50.810 0.527 0.86339 30.594
322 83 13 0 0.0005700 0.0232 110.380 0.576 1.03600 41.909
323 88 13 0 0.0006356 0.0177 130.130 0.550 1.09220 49.798
324 97 13 0 0.0004578 0.0151 121.810 0.743 0.97374 40.885
325 6 14 0 0.0010321 0.0328 50.810 0.527 0.86339 30.594
326 9 14 0 0.0006818 0.0163 90.920 0.562 0.93246 39.277
327 20 14 0 0.0004029 0.0131 118.470 0.606 0.92354 37.805
328 29 14 0 0.0008959 0.0278 80.340 0.696 0.99858 40.478
329 31 14 0 0.0006818 0.0163 90.920 0.562 0.93246 39.277
330 34 14 0 0.0006900 0.0243 91.256 0.610 0.98906 39.599
331 39 14 0 0.0004892 0.0155 107.740 0.626 0.93798 38.419
332 40 14 0 0.0006310 0.0240 95.150 0.476 0.99053 39.248
333 43 14 0 0.0013827 0.0276 69.530 0.388 1.01060 44.153
334 48 14 0 0.0006881 0.0188 85.790 0.619 0.92755 37.759
335 49 14 0 0.0004029 0.0131 118.470 0.606 0.92354 37.805
336 51 14 0 0.0005054 0.0255 95.600 0.798 0.96750 35.643
337 63 14 0 0.0007295 0.0235 86.660 0.537 0.97076 39.059
338 69 14 0 0.0008959 0.0278 80.340 0.696 0.99858 40.478
339 80 14 0 0.0018221 0.0232 61.400 0.692 0.96393 43.024
340 82 14 0 0.0007652 0.0360 74.270 0.451 0.98377 35.547
341 84 14 0 0.0008129 0.0217 84.250 0.612 0.96597 40.151
342 87 14 0 0.0006276 0.0152 134.800 0.677 1.08360 50.842
343 88 14 0 0.0006486 0.0174 95.810 0.577 0.95226 39.944
344 89 14 0 0.0018221 0.0232 61.400 0.692 0.96393 43.024
345 90 14 0 0.0004892 0.0155 107.740 0.626 0.93798 38.419
346 95 14 0 0.0007295 0.0235 86.660 0.537 0.97076 39.059
347 98 14 0 0.0005725 0.0289 53.030 0.757 0.79316 24.232
348 13 15 0 0.0005287 0.0193 91.020 0.522 0.91236 35.059
349 18 15 0 0.0005300 0.0184 105.960 0.548 0.96704 39.335
350 19 15 0 0.0003884 0.0163 127.690 0.785 0.97663 39.336
351 22 15 0 0.0004029 0.0131 118.470 0.606 0.92354 37.805
352 29 15 0 0.0005287 0.0193 91.020 0.522 0.91236 35.059
353 30 15 0 0.0005287 0.0193 91.020 0.522 0.91236 35.059
354 33 15 0 0.0006276 0.0152 134.800 0.677 1.08360 50.842
355 34 15 0 0.0005725 0.0289 53.030 0.757 0.79316 24.232
356 35 15 0 0.0006486 0.0174 95.810 0.577 0.95226 39.944
357 37 15 0 0.0007652 0.0360 74.270 0.451 0.98377 35.547
358 38 15 0 0.0005916 0.0253 134.370 0.443 1.16820 49.390
359 40 15 0 0.0005890 0.0188 84.330 0.553 0.89702 34.757
360 43 15 0 0.0006400 0.0258 77.403 0.618 0.91821 33.834
361 46 15 0 0.0005868 0.0276 85.980 0.695 0.95863 35.206
362 47 15 0 0.0008959 0.0278 80.340 0.696 0.99858 40.478
363 50 15 0 0.0005926 0.0184 74.580 0.639 0.85326 31.784
364 51 15 0 0.0005868 0.0276 85.980 0.695 0.95863 35.206
365 58 15 0 0.0008959 0.0278 80.340 0.696 0.99858 40.478
366 60 15 0 0.0013827 0.0276 69.530 0.388 1.01060 44.153
367 66 15 0 0.0004817 0.0150 122.800 0.784 0.98535 42.087
368 78 15 0 0.0005916 0.0253 134.370 0.443 1.16820 49.390
369 79 15 0 0.0006881 0.0188 85.790 0.619 0.92755 37.759
370 85 15 0 0.0006109 0.0211 67.850 0.564 0.84077 30.016
371 86 15 0 0.0003925 0.0141 138.360 0.755 0.99220 41.975
372 91 15 0 0.0006486 0.0174 95.810 0.577 0.95226 39.944
373 0 16 0 0.0006310 0.0240 95.150 0.476 0.99053 39.248
374 1 16 0 0.0003925 0.0141 138.360 0.755 0.99220 41.975
375 5 16 0 0.0006109 0.0211 67.850 0.564 0.84077 30.016
376 10 16 0 0.0013827 0.0276 69.530 0.388 1.01060 44.153
377 11 16 0 0.0005600 0.0204 110.670 0.698 1.01160 41.659
378 17 16 0 0.0003925 0.0141 138.360 0.755 0.99220 41.975
379 25 16 0 0.0006486 0.0174 95.810 0.577 0.95226 39.944
380 27 16 0 0.0004817 0.0150 122.800 0.784 0.98535 42.087
381 28 16 0 0.0006881 0.0188 85.790 0.619 0.92755 37.759
382 29 16 0 0.0010321 0.0328 50.810 0.527 0.86339 30.594
383 31 16 0 0.0005700 0.0232 110.380 0.576 1.03600 41.909
384 33 16 0 0.0005916 0.0253 134.370 0.443 1.16820 49.390
385 37 16 0 0.0005300 0.0184 105.960 0.548 0.96704 39.335
386 40 16 0 0.0005054 0.0255 95.600 0.798 0.96750 35.643
387 51 16 0 0.0003925 0.0141 138.360 0.755 0.99220 41.975
388 56 16 0 0.0013827 0.0276 69.530 0.388 1.01060 44.153
389 57 16 0 0.0008129 0.0217 84.250 0.612 0.96597 40.151
390 62 16 0 0.0005802 0.0193 68.090 0.659 0.82642 29.405
391 69 16 0 0.0004925 0.0150 194.290 0.750 1.23330 59.968
392 74 16 0 0.0016023 0.0260 72.000 0.662 1.04790 48.432
393 75 16 0 0.0006818 0.0163 90.920 0.562 0.93246 39.277
394 82 16 0 0.0005802 0.0193 68.090 0.659 0.82642 29.405
395 84 16 0 0.0005802 0.0193 68.090 0.659 0.82642 29.405
396 91 16 0 0.0007652 0.0360 74.270 0.451 0.98377 35.547
397 92 16 0 0.0006486 0.0174 95.810 0.577 0.95226 39.944
398 99 16 0 0.0004985 0.0189 130.090 0.685 1.05440 44.631
399 3 17 0 0.0006400 0.0258 77.403 0.618 0.91821 33.834
400 23 17 0 0.0003884 0.0163 127.690 0.785 0.97663 39.336
401 24 17 0 0.0005890 0.0188 84.330 0.553 0.89702 34.757
402 36 17 0 0.0005890 0.0188 84.330 0.553 0.89702 34.757
403 43 17 0 0.0013827 0.0276 69.530 0.388 1.01060 44.153
404 45 17 0 0.0005926 0.0184 74.580 0.639 0.85326 31.784
405 51 17 0 0.0005700 0.0232 110.380 0.576 1.03600 41.909
406 55 17 0 0.0006276 0.0152 134.800 0.677 1.08360 50.842
407 62 17 0 0.0003925 0.0141 138.360 0.755 0.99220 41.975
408 74 17 0 0.0006881 0.0188 85.790 0.619 0.92755 37.759
409 80 17 0 0.0004366 0.0206 102.520 0.766 0.93925 35.168
410 97 17 0 0.0006778 0.0171 98.670 0.752 0.96997 41.652
411 98 17 0 0.0006279 0.0221 80.910 0.686 0.91103 34.678
412 6 18 0 0.0003925 0.0141 138.360 0.755 0.99220 41.975
413 13 18 0 0.0004366 0.0206 102.520 0.766 0.93925 35.168
414 27 18 0 0.0004985 0.0189 130.090 0.685 1.05440 44.631
415 28 18 0 0.0004817 0.0150 122.800 0.784 0.98535 42.087
416 30 18 0 0.0005926 0.0184 74.580 0.639 0.85326 31.784
417 34 18 0 0.0003879 0.0150 170.570 0.563 1.10180 48.848
418 41 18 0 0.0006818 0.0163 90.920 0.562 0.93246 39.277
419 42 18 0 0.0006310 0.0240 95.150 0.476 0.99053 39.248
420 43 18 0 0.0007755 0.0204 112.520 0.699 1.08250 48.835
421 47 18 0 0.0006900 0.0243 91.256 0.610 0.98906 39.599
422 48 18 0 0.0005802 0.0193 68.090 0.659 0.82642 29.405
423 49 18 0 0.0005890 0.0188 84.330 0.553 0.89702 34.757
424 50 18 0 0.0004578 0.0151 121.810 0.743 0.97374 40.885
425 58 18 0 0.0005890 0.0188 84.330 0.553 0.89702 34.757
426 61 18 0 0.0008959 0.0278 80.340 0.696 0.99858 40.478
427 62 18 0 0.0005802 0.0193 68.090 0.659 0.82642 29.405
428 64 18 0 0.0010321 0.0328 50.810 0.527 0.86339 30.594
429 81 18 0 0.0008129 0.0217 84.250 0.612 0.96597 40.151
430 86 18 0 0.0006486 0.0174 95.810 0.577 0.95226 39.944
431 87 18 0 0.0008959 0.0278 80.340 0.696 0.99858 40.478
432 94 18 0 0.0013827 0.0276 69.530 0.388 1.01060 44.153
433 96 18 0 0.0005926 0.0184 74.580 0.639 0.85326 31.784
434 2 19 0 0.0006778 0.0171 98.670 0.752 0.96997 41.652
435 5 19 0 0.0004029 0.0131 118.470 0.606 0.92354 37.805
436 11 19 0 0.0008129 0.0217 84.250 0.612 0.96597 40.151
437 12 19 0 0.0004366 0.0206 102.520 0.766 0.93925 35.168
438 24 19 0 0.0005868 0.0276 85.980 0.695 0.95863 35.206
439 27 19 0 0.0006279 0.0221 80.910 0.686 0.91103 34.678
440 28 19 0 0.0005916 0.0253 134.370 0.443 1.16820 49.390
441 29 19 0 0.0006310 0.0240 95.150 0.476 0.99053 39.248
442 31 19 0 0.0006109 0.0211 67.850 0.564 0.84077 30.016
443 35 19 0 0.0008129 0.0217 84.250 0.612 0.96597 40.151
444 40 19 0 0.0005802 0.0193 68.090 0.659 0.82642 29.405
445 46 19 0 0.0005287 0.0193 91.020 0.522 0.91236 35.059
446 47 19 0 0.0016023 0.0260 72.000 0.662 1.04790 48.432
447 52 19 0 0.0006310 0.0240 95.150 0.476 0.99053 39.248
448 60 19 0 0.0013827 0.0276 69.530 0.388 1.01060 44.153
449 61 19 0 0.0005725 0.0289 53.030 0.757 0.79316 24.232
450 69 19 0 0.0005300 0.0184 105.960 0.548 0.96704 39.335
451 70 19 0 0.0005725 0.0289 53.030 0.757 0.79316 24.232
452 82 19 0 0.0005926 0.0184 74.580 0.639 0.85326 31.784
453 84 19 0 0.0005287 0.0193 91.020 0.522 0.91236 35.059
454 85 19 0 0.0006400 0.0258 77.403 0.618 0.91821 33.834
455 86 19 0 0.0004690 0.0154 151.410 0.566 1.08340 48.657
456 87 19 0 0.0004817 0.0150 122.800 0.784 0.98535 42.087
457 92 19 0 0.0013827 0.0276 69.530 0.388 1.01060 44.153
458 93 19 0 0.0006279 0.0221 80.910 0.686 0.91103 34.678
459 99 19 0 0.0006279 0.0221 80.910 0.686 0.91103 34.678
460 3 20 0 0.0008129 0.0217 84.250 0.612 0.96597 40.151
461 10 20 0 0.0006279 0.0221 80.910 0.686 0.91103 34.678
462 19 20 0 0.0005287 0.0193 91.020 0.522 0.91236 35.059
463 22 20 0 0.0004985 0.0189 130.090 0.685 1.05440 44.631
464 23 20 0 0.0005868 0.0276 85.980 0.695 0.95863 35.206
465 24 20 0 0.0007652 0.0360 74.270 0.451 0.98377 35.547
466 25 20 0 0.0005287 0.0193 91.020 0.522 0.91236 35.059
467 26 20 0 0.0006310 0.0240 95.150 0.476 0.99053 39.248
468 27 20 0 0.0005890 0.0188 84.330 0.553 0.89702 34.757
469 28 20 0 0.0018221 0.0232 61.400 0.692 0.96393 43.024
470 30 20 0 0.0006778 0.0171 98.670 0.752 0.96997 41.652
471 43 20 0 0.0003884 0.0163 127.690 0.785 0.97663 39.336
472 45 20 0 0.0011600 0.0232 123.980 0.628 1.25900 62.953
473 51 20 0 0.0005926 0.0184 74.580 0.639 0.85326 31.784
474 60 20 0 0.0006486 0.0174 95.810 0.577 0.95226 39.944
475 61 20 0 0.0006400 0.0258 77.403 0.618 0.91821 33.834
476 64 20 0 0.0003076 0.0130 129.870 0.811 0.91507 35.870
477 68 20 0 0.0004366 0.0206 102.520 0.766 0.93925 35.168
478 74 20 0 0.0008959 0.0278 80.340 0.696 0.99858 40.478
479 80 20 0 0.0013827 0.0276 69.530 0.388 1.01060 44.153
480 81 20 0 0.0003879 0.0150 170.570 0.563 1.10180 48.848
481 82 20 0 0.0005916 0.0253 134.370 0.443 1.16820 49.390
482 85 20 0 0.0006279 0.0221 80.910 0.686 0.91103 34.678
483 86 20 0 0.0005868 0.0276 85.980 0.695 0.95863 35.206
484 91 20 0 0.0005700 0.0232 110.380 0.576 1.03600 41.909
485 98 20 0 0.0005868 0.0276 85.980 0.695 0.95863 35.206
486 99 20 0 0.0005802 0.0193 68.090 0.659 0.82642 29.405
487 7 21 0 0.0008129 0.0217 84.250 0.612 0.96597 40.151
488 13 21 0 0.0004578 0.0151 121.810 0.743 0.97374 40.885
489 19 21 0 0.0006486 0.0174 95.810 0.577 0.95226 39.944
490 20 21 0 0.0005287 0.0193 91.020 0.522 0.91236 35.059
491 21 21 0 0.0005054 0.0255 95.600 0.798 0.96750 35.643
492 22 21 0 0.0005725 0.0289 53.030 0.757 0.79316 24.232
493 27 21 0 0.0003076 0.0130 129.870 0.811 0.91507 35.870
494 28 21 0 0.0005802 0.0193 68.090 0.659 0.82642 29.405
495 37 21 0 0.0005287 0.0193 91.020 0.522 0.91236 35.059
496 39 21 0 0.0006881 0.0188 85.790 0.619 0.92755 37.759
497 44 21 0 0.0003076 0.0130 129.870 0.811 0.91507 35.870
498 45 21 0 0.0005054 0.0255 95.600 0.798 0.96750 35.643
499 50 21 0 0.0004985 0.0189 130.090 0.685 1.05440 44.631
500 54 21 0 0.0004985 0.0189 130.090 0.685 1.05440 44.631
501 56 21 0 0.0003925 0.0141 138.360 0.755 0.99220 41.975
502 59 21 0 0.0006109 0.0211 67.850 0.564 0.84077 30.016
503 62 21 0 0.0016023 0.0260 72.000 0.662 1.04790 48.432
504 64 21 0 0.0018221 0.0232 61.400 0.692 0.96393 43.024
505 65 21 0 0.0004985 0.0189 130.090 0.685 1.05440 44.631
506 71 21 0 0.0005868 0.0276 85.980 0.695 0.95863 35.206
507 79 21 0 0.0003879 0.0150 170.570 0.563 1.10180 48.848
508 80 21 0 0.0004578 0.0151 121.810 0.743 0.97374 40.885
509 81 21 0 0.0008129 0.0217 84.250 0.612 0.96597 40.151
510 82 21 0 0.0007652 0.0360 74.270 0.451 0.98377 35.547
511 88 21 0 0.0004578 0.0151 121.810 0.743 0.97374 40.885
512 94 21 0 0.0016023 0.0260 72.000 0.662 1.04790 48.432
513 98 21 0 0.0006818 0.0163 90.920 0.562 0.93246 39.277
514 99 21 0 0.0004690 0.0154 151.410 0.566 1.08340 48.657
515 0 22 0 0.0003884 0.0163 127.690 0.785 0.97663 39.336
516 6 22 0 0.0016023 0.0260 72.000 0.662 1.04790 48.432
517 14 22 0 0.0010321 0.0328 50.810 0.527 0.86339 30.594
518 19 22 0 0.0003879 0.0150 170.570 0.563 1.10180 48.848
519 20 22 0 0.0004892 0.0155 107.740 0.626 0.93798 38.419
520 26 22 0 0.0004817 0.0150 122.800 0.784 0.98535 42.087
521 35 22 0 0.0006900 0.0243 91.256 0.610 0.98906 39.599
522 36 22 0 0.0003076 0.0130 129.870 0.811 0.91507 35.870
523 43 22 0 0.0006356 0.0177 130.130 0.550 1.09220 49.798
524 44 22 0 0.0013827 0.0276 69.530 0.388 1.01060 44.153
525 48 22 0 0.0005926 0.0184 74.580 0.639 0.85326 31.784
526 49 22 0 0.0005725 0.0289 53.030 0.757 0.79316 24.232
527 55 22 0 0.0006881 0.0188 85.790 0.619 0.92755 37.759
528 56 22 0 0.0013827 0.0276 69.530 0.388 1.01060 44.153
529 58 22 0 0.0005926 0.0184 74.580 0.639 0.85326 31.784
530 59 22 0 0.0005926 0.0184 74.580 0.639 0.85326 31.784
531 63 22 0 0.0006310 0.0240 95.150 0.476 0.99053 39.248
532 76 22 0 0.0003076 0.0130 129.870 0.811 0.91507 35.870
533 79 22 0 0.0005300 0.0184 105.960 0.548 0.96704 39.335
534 81 22 0 0.0006881 0.0188 85.790 0.619 0.92755 37.759
535 82 22 0 0.0004578 0.0151 121.810 0.743 0.97374 40.885
536 85 22 0 0.0003879 0.0150 170.570 0.563 1.10180 48.848
537 86 22 0 0.0010321 0.0328 50.810 0.527 0.86339 30.594
538 95 22 0 0.0004892 0.0155 107.740 0.626 0.93798 38.419
539 97 22 0 0.0006778 0.0171 98.670 0.752 0.96997 41.652
540 98 22 0 0.0006279 0.0221 80.910 0.686 0.91103 34.678
541 99 22 0 0.0007755 0.0204 112.520 0.699 1.08250 48.835
542 0 23 0 0.0006400 0.0258 77.403 0.618 0.91821 33.834
543 16 23 0 0.0005916 0.0253 134.370 0.443 1.16820 49.390
544 18 23 0 0.0006818 0.0163 90.920 0.562 0.93246 39.277
545 24 23 0 0.0007755 0.0204 112.520 0.699 1.08250 48.835
546 34 23 0 0.0003076 0.0130 129.870 0.811 0.91507 35.870
547 43 23 0 0.0005868 0.0276 85.980 0.695 0.95863 35.206
548 44 23 0 0.0003884 0.0163 127.690 0.785 0.97663 39.336
549 47 23 0 0.0006109 0.0211 67.850 0.564 0.84077 30.016
550 54 23 0 0.0007652 0.0360 74.270 0.451 0.98377 35.547
551 64 23 0 0.0018221 0.0232 61.400 0.692 0.96393 43.024
552 73 23 0 0.0005802 0.0193 68.090 0.659 0.82642 29.405
553 74 23 0 0.0005054 0.0255 95.600 0.798 0.96750 35.643
554 77 23 0 0.0004690 0.0154 151.410 0.566 1.08340 48.657
555 98 23 0 0.0004817 0.0150 122.800 0.784 0.98535 42.087
556 1 24 0 0.0006486 0.0174 95.810 0.577 0.95226 39.944
557 2 24 0 0.0006109 0.0211 67.850 0.564 0.84077 30.016
558 8 24 0 0.0005725 0.0289 53.030 0.757 0.79316 24.232
559 14 24 0 0.0005916 0.0253 134.370 0.443 1.16820 49.390
560 15 24 0 0.0006900 0.0243 91.256 0.610 0.98906 39.599
561 16 24 0 0.0005802 0.0193 68.090 0.659 0.82642 29.405
562 29 24 0 0.0011500 0.0207 104.600 0.657 1.13360 55.203
563 30 24 0 0.0004029 0.0131 118.470 0.606 0.92354 37.805
564 31 24 0 0.0005600 0.0204 110.670 0.698 1.01160 41.659
565 40 24 0 0.0005868 0.0276 85.980 0.695 0.95863 35.206
566 41 24 0 0.0005926 0.0184 74.580 0.639 0.85326 31.784
567 45 24 0 0.0010321 0.0328 50.810 0.527 0.86339 30.594
568 50 24 0 0.0005287 0.0193 91.020 0.522 0.91236 35.059
569 62 24 0 0.0004690 0.0154 151.410 0.566 1.08340 48.657
570 63 24 0 0.0006109 0.0211 67.850 0.564 0.84077 30.016
571 67 24 0 0.0003076 0.0130 129.870 0.811 0.91507 35.870
572 68 24 0 0.0006881 0.0188 85.790 0.619 0.92755 37.759
573 88 24 0 0.0006310 0.0240 95.150 0.476 0.99053 39.248
574 92 24 0 0.0003076 0.0130 129.870 0.811 0.91507 35.870
575 98 24 0 0.0006400 0.0258 77.403 0.618 0.91821 33.834
576 4 25 0 0.0005890 0.0188 84.330 0.553 0.89702 34.757
577 9 25 0 0.0005054 0.0255 95.600 0.798 0.96750 35.643
578 12 25 0 0.0006400 0.0258 77.403 0.618 0.91821 33.834
579 13 25 0 0.0007652 0.0360 74.270 0.451 0.98377 35.547
580 14 25 0 0.0006486 0.0174 95.810 0.577 0.95226 39.944
581 17 25 0 0.0005802 0.0193 68.090 0.659 0.82642 29.405
582 19 25 0 0.0005725 0.0289 53.030 0.757 0.79316 24.232
583 26 25 0 0.0008129 0.0217 84.250 0.612 0.96597 40.151
584 28 25 0 0.0005802 0.0193 68.090 0.659 0.82642 29.405
585 30 25 0 0.0006486 0.0174 95.810 0.577 0.95226 39.944
586 31 25 0 0.0005916 0.0253 134.370 0.443 1.16820 49.390
587 33 25 0 0.0007755 0.0204 112.520 0.699 1.08250 48.835
588 46 25 0 0.0006486 0.0174 95.810 0.577 0.95226 39.944
589 50 25 0 0.0005725 0.0289 53.030 0.757 0.79316 24.232
590 53 25 0 0.0006109 0.0211 67.850 0.564 0.84077 30.016
591 54 25 0 0.0004892 0.0155 107.740 0.626 0.93798 38.419
592 62 25 0 0.0004892 0.0155 107.740 0.626 0.93798 38.419
593 63 25 0 0.0007652 0.0360 74.270 0.451 0.98377 35.547
594 64 25 0 0.0005802 0.0193 68.090 0.659 0.82642 29.405
595 65 25 0 0.0003884 0.0163 127.690 0.785 0.97663 39.336
596 66 25 0 0.0004892 0.0155 107.740 0.626 0.93798 38.419
597 76 25 0 0.0005802 0.0193 68.090 0.659 0.82642 29.405
598 78 25 0 0.0013827 0.0276 69.530 0.388 1.01060 44.153
599 80 25 0 0.0005725 0.0289 53.030 0.757 0.79316 24.232
600 81 25 0 0.0005300 0.0184 105.960 0.548 0.96704 39.335
601 82 25 0 0.0006356 0.0177 130.130 0.550 1.09220 49.798
602 86 25 0 0.0005300 0.0184 105.960 0.548 0.96704 39.335
603 87 25 0 0.0006279 0.0221 80.910 0.686 0.91103 34.678
604 98 25 0 0.0016023 0.0260 72.000 0.662 1.04790 48.432
605 99 25 0 0.0005725 0.0289 53.030 0.757 0.79316 24.232
606 9 26 0 0.0007755 0.0204 112.520 0.699 1.08250 48.835
607 10 26 0 0.0008959 0.0278 80.340 0.696 0.99858 40.478
608 11 26 0 0.0004366 0.0206 102.520 0.766 0.93925 35.168
609 13 26 0 0.0007295 0.0235 86.660 0.537 0.97076 39.059
610 16 26 0 0.0005054 0.0255 95.600 0.798 0.96750 35.643
611 18 26 0 0.0006900 0.0243 91.256 0.610 0.98906 39.599
612 19 26 0 0.0005890 0.0188 84.330 0.553 0.89702 34.757
613 24 26 0 0.0013827 0.0276 69.530 0.388 1.01060 44.153
614 25 26 0 0.0003884 0.0163 127.690 0.785 0.97663 39.336
615 31 26 0 0.0005890 0.0188 84.330 0.553 0.89702 34.757
616 34 26 0 0.0003076 0.0130 129.870 0.811 0.91507 35.870
617 43 26 0 0.0008129 0.0217 84.250 0.612 0.96597 40.151
618 63 26 0 0.0005890 0.0188 84.330 0.553 0.89702 34.757
619 64 26 0 0.0011500 0.0207 104.600 0.657 1.13360 55.203
620 65 26 0 0.0006486 0.0174 95.810 0.577 0.95226 39.944
621 69 26 0 0.0016023 0.0260 72.000 0.662 1.04790 48.432
622 74 26 0 0.0013827 0.0276 69.530 0.388 1.01060 44.153
623 75 26 0 0.0005600 0.0204 110.670 0.698 1.01160 41.659
624 81 26 0 0.0004578 0.0151 121.810 0.743 0.97374 40.885
625 85 26 0 0.0003879 0.0150 170.570 0.563 1.10180 48.848
626 95 26 0 0.0008959 0.0278 80.340 0.696 0.99858 40.478
627 97 26 0 0.0008959 0.0278 80.340 0.696 0.99858 40.478
628 99 26 0 0.0011500 0.0207 104.600 0.657 1.13360 55.203
629 9 27 0 0.0018221 0.0232 61.400 0.692 0.96393 43.024
630 17 27 0 0.0005926 0.0184 74.580 0.639 0.85326 31.784
631 23 27 0 0.0006486 0.0174 95.810 0.577 0.95226 39.944
632 25 27 0 0.0004925 0.0150 194.290 0.750 1.23330 59.968
633 41 27 0 0.0005287 0.0193 91.020 0.522 0.91236 35.059
634 42 27 0 0.0008129 0.0217 84.250 0.612 0.96597 40.151
635 61 27 0 0.0008959 0.0278 80.340 0.696 0.99858 40.478
636 63 27 0 0.0005700 0.0232 110.380 0.576 1.03600 41.909
637 69 27 0 0.0005868 0.0276 85.980 0.695 0.95863 35.206
638 73 27 0 0.0007652 0.0360 74.270 0.451 0.98377 35.547
639 82 27 0 0.0005802 0.0193 68.090 0.659 0.82642 29.405
640 88 27 0 0.0005926 0.0184 74.580 0.639 0.85326 31.784
641 93 27 0 0.0013827 0.0276 69.530 0.388 1.01060 44.153
642 94 27 0 0.0005054 0.0255 95.600 0.798 0.96750 35.643
643 97 27 0 0.0005916 0.0253 134.370 0.443 1.16820 49.390
644 99 27 0 0.0016023 0.0260 72.000 0.662 1.04790 48.432
645 4 28 0 0.0010321 0.0328 50.810 0.527 0.86339 30.594
646 8 28 0 0.0006276 0.0152 134.800 0.677 1.08360 50.842
647 12 28 0 0.0005700 0.0232 110.380 0.576 1.03600 41.909
648 17 28 0 0.0005890 0.0188 84.330 0.553 0.89702 34.757
649 20 28 0 0.0005600 0.0204 110.670 0.698 1.01160 41.659
650 26 28 0 0.0004029 0.0131 118.470 0.606 0.92354 37.805
651 36 28 0 0.0004892 0.0155 107.740 0.626 0.93798 38.419
652 40 28 0 0.0010321 0.0328 50.810 0.527 0.86339 30.594
653 47 28 0 0.0006900 0.0243 91.256 0.610 0.98906 39.599
654 48 28 0 0.0003884 0.0163 127.690 0.785 0.97663 39.336
655 54 28 0 0.0005916 0.0253 134.370 0.443 1.16820 49.390
656 59 28 0 0.0005890 0.0188 84.330 0.553 0.89702 34.757
657 60 28 0 0.0018221 0.0232 61.400 0.692 0.96393 43.024
658 61 28 0 0.0005725 0.0289 53.030 0.757 0.79316 24.232
659 66 28 0 0.0005725 0.0289 53.030 0.757 0.79316 24.232
660 67 28 0 0.0006778 0.0171 98.670 0.752 0.96997 41.652
661 76 28 0 0.0008129 0.0217 84.250 0.612 0.96597 40.151
662 80 28 0 0.0016023 0.0260 72.000 0.662 1.04790 48.432
663 84 28 0 0.0006486 0.0174 95.810 0.577 0.95226 39.944
664 92 28 0 0.0003884 0.0163 127.690 0.785 0.97663 39.336
665 99 28 0 0.0005725 0.0289 53.030 0.757 0.79316 24.232
666 2 29 0 0.0005300 0.0184 105.960 0.548 0.96704 39.335
667 3 29 0 0.0003884 0.0163 127.690 0.785 0.97663 39.336
668 6 29 0 0.0006356 0.0177 130.130 0.550 1.09220 49.798
669 7 29 0 0.0003884 0.0163 127.690 0.785 0.97663 39.336
670 15 29 0 0.0006109 0.0211 67.850 0.564 0.84077 30.016
671 20 29 0 0.0016023 0.0260 72.000 0.662 1.04790 48.432
672 27 29 0 0.0007295 0.0235 86.660 0.537 0.97076 39.059
673 34 29 0 0.0004925 0.0150 194.290 0.750 1.23330 59.968
674 35 29 0 0.0005725 0.0289 53.030 0.757 0.79316 24.232
675 53 29 0 0.0004578 0.0151 121.810 0.743 0.97374 40.885
676 72 29 0 0.0007755 0.0204 112.520 0.699 1.08250 48.835
677 77 29 0 0.0008959 0.0278 80.340 0.696 0.99858 40.478
678 78 29 0 0.0013827 0.0276 69.530 0.388 1.01060 44.153
679 82 29 0 0.0006279 0.0221 80.910 0.686 0.91103 34.678
680 88 29 0 0.0007295 0.0235 86.660 0.537 0.97076 39.059
681 89 29 0 0.0006818 0.0163 90.920 0.562 0.93246 39.277
682 1 30 0 0.0005890 0.0188 84.330 0.553 0.89702 34.757
683 14 30 0 0.0004892 0.0155 107.740 0.626 0.93798 38.419
684 16 30 0 0.0004029 0.0131 118.470 0.606 0.92354 37.805
685 19 30 0 0.0003884 0.0163 127.690 0.785 0.97663 39.336
686 20 30 0 0.0006881 0.0188 85.790 0.619 0.92755 37.759
687 29 30 0 0.0004690 0.0154 151.410 0.566 1.08340 48.657
688 30 30 0 0.0018221 0.0232 61.400 0.692 0.96393 43.024
689 33 30 0 0.0004366 0.0206 102.520 0.766 0.93925 35.168
690 39 30 0 0.0006778 0.0171 98.670 0.752 0.96997 41.652
691 61 30 0 0.0008129 0.0217 84.250 0.612 0.96597 40.151
692 69 30 0 0.0005300 0.0184 105.960 0.548 0.96704 39.335
693 85 30 0 0.0007295 0.0235 86.660 0.537 0.97076 39.059
694 87 30 0 0.0005700 0.0232 110.380 0.576 1.03600 41.909
695 89 30 0 0.0018221 0.0232 61.400 0.692 0.96393 43.024
696 98 30 0 0.0003076 0.0130 129.870 0.811 0.91507 35.870
697 4 31 0 0.0003076 0.0130 129.870 0.811 0.91507 35.870
698 7 31 0 0.0005300 0.0184 105.960 0.548 0.96704 39.335
699 12 31 0 0.0008959 0.0278 80.340 0.696 0.99858 40.478
700 13 31 0 0.0005926 0.0184 74.580 0.639 0.85326 31.784
701 18 31 0 0.0005700 0.0232 110.380 0.576 1.03600 41.909
702 24 31 0 0.0005802 0.0193 68.090 0.659 0.82642 29.405
703 28 31 0 0.0018221 0.0232 61.400 0.692 0.96393 43.024
704 38 31 0 0.0003879 0.0150 170.570 0.563 1.10180 48.848
705 52 31 0 0.0003879 0.0150 170.570 0.563 1.10180 48.848
706 57 31 0 0.0005054 0.0255 95.600 0.798 0.96750 35.643
707 62 31 0 0.0003884 0.0163 127.690 0.785 0.97663 39.336
708 67 31 0 0.0005916 0.0253 134.370 0.443 1.16820 49.390
709 68 31 0 0.0016023 0.0260 72.000 0.662 1.04790 48.432
710 74 31 0 0.0008129 0.0217 84.250 0.612 0.96597 40.151
711 78 31 0 0.0006109 0.0211 67.850 0.564 0.84077 30.016
712 79 31 0 0.0005802 0.0193 68.090 0.659 0.82642 29.405
713 84 31 0 0.0005868 0.0276 85.980 0.695 0.95863 35.206
714 89 31 0 0.0004029 0.0131 118.470 0.606 0.92354 37.805
715 96 31 0 0.0005700 0.0232 110.380 0.576 1.03600 41.909
716 97 31 0 0.0005802 0.0193 68.090 0.659 0.82642 29.405
717 98 31 0 0.0005868 0.0276 85.980 0.695 0.95863 35.206
718 17 32 0 0.0010321 0.0328 50.810 0.527 0.86339 30.594
719 18 32 0 0.0005287 0.0193 91.020 0.522 0.91236 35.059
720 22 32 0 0.0005287 0.0193 91.020 0.522 0.91236 35.059
721 24 32 0 0.0005725 0.0289 53.030 0.757 0.79316 24.232
722 25 32 0 0.0018221 0.0232 61.400 0.692 0.96393 43.024
723 27 32 0 0.0008959 0.0278 80.340 0.696 0.99858 40.478
724 29 32 0 0.0005890 0.0188 84.330 0.553 0.89702 34.757
725 38 32 0 0.0006279 0.0221 80.910 0.686 0.91103 34.678
726 40 32 0 0.0005600 0.0204 110.670 0.698 1.01160 41.659
727 41 32 0 0.0006881 0.0188 85.790 0.619 0.92755 37.759
728 42 32 0 0.0005287 0.0193 91.020 0.522 0.91236 35.059
729 62 32 0 0.0005725 0.0289 53.030 0.757 0.79316 24.232
730 66 32 0 0.0003925 0.0141 138.360 0.755 0.99220 41.975
731 73 32 0 0.0006818 0.0163 90.920 0.562 0.93246 39.277
732 91 32 0 0.0006400 0.0258 77.403 0.618 0.91821 33.834
733 95 32 0 0.0006109 0.0211 67.850 0.564 0.84077 30.016
734 8 33 0 0.0006276 0.0152 134.800 0.677 1.08360 50.842
735 14 33 0 0.0005868 0.0276 85.980 0.695 0.95863 35.206
736 16 33 0 0.0006310 0.0240 95.150 0.476 0.99053 39.248
737 17 33 0 0.0005802 0.0193 68.090 0.659 0.82642 29.405
738 20 33 0 0.0005600 0.0204 110.670 0.698 1.01160 41.659
739 25 33 0 0.0013827 0.0276 69.530 0.388 1.01060 44.153
740 26 33 0 0.0006109 0.0211 67.850 0.564 0.84077 30.016
741 27 33 0 0.0006310 0.0240 95.150 0.476 0.99053 39.248
742 33 33 0 0.0008959 0.0278 80.340 0.696 0.99858 40.478
743 36 33 0 0.0004366 0.0206 102.520 0.766 0.93925 35.168
744 37 33 0 0.0004578 0.0151 121.810 0.743 0.97374 40.885
745 47 33 0 0.0005890 0.0188 84.330 0.553 0.89702 34.757
746 48 33 0 0.0006279 0.0221 80.910 0.686 0.91103 34.678
747 50 33 0 0.0005802 0.0193 68.090 0.659 0.82642 29.405
748 53 33 0 0.0008129 0.0217 84.250 0.612 0.96597 40.151
749 54 33 0 0.0005300 0.0184 105.960 0.548 0.96704 39.335
750 57 33 0 0.0003925 0.0141 138.360 0.755 0.99220 41.975
751 58 33 0 0.0011500 0.0207 104.600 0.657 1.13360 55.203
752 59 33 0 0.0004029 0.0131 118.470 0.606 0.92354 37.805
753 60 33 0 0.0005600 0.0204 110.670 0.698 1.01160 41.659
754 61 33 0 0.0004892 0.0155 107.740 0.626 0.93798 38.419
755 68 33 0 0.0005287 0.0193 91.020 0.522 0.91236 35.059
756 69 33 0 0.0005890 0.0188 84.330 0.553 0.89702 34.757
757 72 33 0 0.0007652 0.0360 74.270 0.451 0.98377 35.547
758 74 33 0 0.0005600 0.0204 110.670 0.698 1.01160 41.659
759 85 33 0 0.0006109 0.0211 67.850 0.564 0.84077 30.016
760 87 33 0 0.0005916 0.0253 134.370 0.443 1.16820 49.390
761 88 33 0 0.0010321 0.0328 50.810 0.527 0.86339 30.594
762 89 33 0 0.0008959 0.0278 80.340 0.696 0.99858 40.478
763 90 33 0 0.0005890 0.0188 84.330 0.553 0.89702 34.757
764 92 33 0 0.0007295 0.0235 86.660 0.537 0.97076 39.059
765 94 33 0 0.0006486 0.0174 95.810 0.577 0.95226 39.944
766 98 33 0 0.0018221 0.0232 61.400 0.692 0.96393 43.024
767 0 34 0 0.0003925 0.0141 138.360 0.755 0.99220 41.975
768 4 34 0 0.0006486 0.0174 95.810 0.577 0.95226 39.944
769 15 34 0 0.0006900 0.0243 91.256 0.610 0.98906 39.599
770 18 34 0 0.0004892 0.0155 107.740 0.626 0.93798 38.419
771 19 34 0 0.0016023 0.0260 72.000 0.662 1.04790 48.432
772 24 34 0 0.0005300 0.0184 105.960 0.548 0.96704 39.335
773 25 34 0 0.0005868 0.0276 85.980 0.695 0.95863 35.206
774 31 34 0 0.0006356 0.0177 130.130 0.550 1.09220 49.798
775 46 34 0 0.0004366 0.0206 102.520 0.766 0.93925 35.168
776 55 34 0 0.0006279 0.0221 80.910 0.686 0.91103 34.678
777 62 34 0 0.0006778 0.0171 98.670 0.752 0.96997 41.652
778 65 34 0 0.0006900 0.0243 91.256 0.610 0.98906 39.599
779 72 34 0 0.0006881 0.0188 85.790 0.619 0.92755 37.759
780 73 34 0 0.0003925 0.0141 138.360 0.755 0.99220 41.975
781 74 34 0 0.0005600 0.0204 110.670 0.698 1.01160 41.659
782 79 34 0 0.0013827 0.0276 69.530 0.388 1.01060 44.153
783 80 34 0 0.0006818 0.0163 90.920 0.562 0.93246 39.277
784 83 34 0 0.0013827 0.0276 69.530 0.388 1.01060 44.153
785 89 34 0 0.0005725 0.0289 53.030 0.757 0.79316 24.232
786 90 34 0 0.0005916 0.0253 134.370 0.443 1.16820 49.390
787 91 34 0 0.0010321 0.0328 50.810 0.527 0.86339 30.594
788 92 34 0 0.0003879 0.0150 170.570 0.563 1.10180 48.848
789 93 34 0 0.0006486 0.0174 95.810 0.577 0.95226 39.944
790 0 35 0 0.0006400 0.0258 77.403 0.618 0.91821 33.834
791 3 35 0 0.0005802 0.0193 68.090 0.659 0.82642 29.405
792 17 35 0 0.0007295 0.0235 86.660 0.537 0.97076 39.059
793 19 35 0 0.0005725 0.0289 53.030 0.757 0.79316 24.232
794 21 35 0 0.0006818 0.0163 90.920 0.562 0.93246 39.277
795 26 35 0 0.0006778 0.0171 98.670 0.752 0.96997 41.652
796 41 35 0 0.0008129 0.0217 84.250 0.612 0.96597 40.151
797 42 35 0 0.0005868 0.0276 85.980 0.695 0.95863 35.206
798 49 35 0 0.0005890 0.0188 84.330 0.553 0.89702 34.757
799 52 35 0 0.0005287 0.0193 91.020 0.522 0.91236 35.059
800 53 35 0 0.0006400 0.0258 77.403 0.618 0.91821 33.834
801 58 35 0 0.0005287 0.0193 91.020 0.522 0.91236 35.059
802 63 35 0 0.0003076 0.0130 129.870 0.811 0.91507 35.870
803 72 35 0 0.0004817 0.0150 122.800 0.784 0.98535 42.087
804 73 35 0 0.0007652 0.0360 74.270 0.451 0.98377 35.547
805 78 35 0 0.0004892 0.0155 107.740 0.626 0.93798 38.419
806 90 35 0 0.0006486 0.0174 95.810 0.577 0.95226 39.944
807 91 35 0 0.0006900 0.0243 91.256 0.610 0.98906 39.599
808 94 35 0 0.0006818 0.0163 90.920 0.562 0.93246 39.277
809 8 36 0 0.0006310 0.0240 95.150 0.476 0.99053 39.248
810 9 36 0 0.0007295 0.0235 86.660 0.537 0.97076 39.059
811 15 36 0 0.0003076 0.0130 129.870 0.811 0.91507 35.870
812 16 36 0 0.0006276 0.0152 134.800 0.677 1.08360 50.842
813 18 36 0 0.0004029 0.0131 118.470 0.606 0.92354 37.805
814 19 36 0 0.0007652 0.0360 74.270 0.451 0.98377 35.547
815 20 36 0 0.0011600 0.0232 123.980 0.628 1.25900 62.953
816 21 36 0 0.0005054 0.0255 95.600 0.798 0.96750 35.643
817 25 36 0 0.0004690 0.0154 151.410 0.566 1.08340 48.657
818 33 36 0 0.0004985 0.0189 130.090 0.685 1.05440 44.631
819 35 36 0 0.0006279 0.0221 80.910 0.686 0.91103 34.678
820 37 36 0 0.0005926 0.0184 74.580 0.639 0.85326 31.784
821 40 36 0 0.0005916 0.0253 134.370 0.443 1.16820 49.390
822 45 36 0 0.0006400 0.0258 77.403 0.618 0.91821 33.834
823 59 36 0 0.0018221 0.0232 61.400 0.692 0.96393 43.024
824 60 36 0 0.0004985 0.0189 130.090 0.685 1.05440 44.631
825 63 36 0 0.0004817 0.0150 122.800 0.784 0.98535 42.087
826 64 36 0 0.0008129 0.0217 84.250 0.612 0.96597 40.151
827 69 36 0 0.0004985 0.0189 130.090 0.685 1.05440 44.631
828 70 36 0 0.0005300 0.0184 105.960 0.548 0.96704 39.335
829 74 36 0 0.0011500 0.0207 104.600 0.657 1.13360 55.203
830 75 36 0 0.0005890 0.0188 84.330 0.553 0.89702 34.757
831 81 36 0 0.0003884 0.0163 127.690 0.785 0.97663 39.336
832 91 36 0 0.0006109 0.0211 67.850 0.564 0.84077 30.016
833 92 36 0 0.0008129 0.0217 84.250 0.612 0.96597 40.151
834 99 36 0 0.0005300 0.0184 105.960 0.548 0.96704 39.335
835 0 37 0 0.0007295 0.0235 86.660 0.537 0.97076 39.059
836 1 37 0 0.0006778 0.0171 98.670 0.752 0.96997 41.652
837 7 37 0 0.0006310 0.0240 95.150 0.476 0.99053 39.248
838 13 37 0 0.0006279 0.0221 80.910 0.686 0.91103 34.678
839 14 37 0 0.0006400 0.0258 77.403 0.618 0.91821 33.834
840 15 37 0 0.0005926 0.0184 74.580 0.639 0.85326 31.784
841 21 37 0 0.0006310 0.0240 95.150 0.476 0.99053 39.248
842 31 37 0 0.0013827 0.0276 69.530 0.388 1.01060 44.153
843 32 37 0 0.0004892 0.0155 107.740 0.626 0.93798 38.419
844 37 37 0 0.0005916 0.0253 134.370 0.443 1.16820 49.390
845 55 37 0 0.0005287 0.0193 91.020 0.522 0.91236 35.059
846 58 37 0 0.0004366 0.0206 102.520 0.766 0.93925 35.168
847 60 37 0 0.0005054 0.0255 95.600 0.798 0.96750 35.643
848 62 37 0 0.0005700 0.0232 110.380 0.576 1.03600 41.909
849 63 37 0 0.0004817 0.0150 122.800 0.784 0.98535 42.087
850 65 37 0 0.0006310 0.0240 95.150 0.476 0.99053 39.248
851 82 37 0 0.0006900 0.0243 91.256 0.610 0.98906 39.599
852 88 37 0 0.0005926 0.0184 74.580 0.639 0.85326 31.784
853 98 37 0 0.0007652 0.0360 74.270 0.451 0.98377 35.547
854 10 38 0 0.0005868 0.0276 85.980 0.695 0.95863 35.206
855 13 38 0 0.0013827 0.0276 69.530 0.388 1.01060 44.153
856 14 38 0 0.0005700 0.0232 110.380 0.576 1.03600 41.909
857 20 38 0 0.0007295 0.0235 86.660 0.537 0.97076 39.059
858 22 38 0 0.0007295 0.0235 86.660 0.537 0.97076 39.059
859 25 38 0 0.0005802 0.0193 68.090 0.659 0.82642 29.405
860 30 38 0 0.0006881 0.0188 85.790 0.619 0.92755 37.759
861 44 38 0 0.0003879 0.0150 170.570 0.563 1.10180 48.848
862 53 38 0 0.0005300 0.0184 105.960 0.548 0.96704 39.335
863 54 38 0 0.0006486 0.0174 95.810 0.577 0.95226 39.944
864 58 38 0 0.0005916 0.0253 134.370 0.443 1.16820 49.390
865 61 38 0 0.0011500 0.0207 104.600 0.657 1.13360 55.203
866 62 38 0 0.0004366 0.0206 102.520 0.766 0.93925 35.168
867 63 38 0 0.0007295 0.0235 86.660 0.537 0.97076 39.059
868 64 38 0 0.0006310 0.0240 95.150 0.476 0.99053 39.248
869 65 38 0 0.0016023 0.0260 72.000 0.662 1.04790 48.432
870 72 38 0 0.0004690 0.0154 151.410 0.566 1.08340 48.657
871 87 38 0 0.0005890 0.0188 84.330 0.553 0.89702 34.757
872 88 38 0 0.0005725 0.0289 53.030 0.757 0.79316 24.232
873 94 38 0 0.0004578 0.0151 121.810 0.743 0.97374 40.885
874 3 39 0 0.0003884 0.0163 127.690 0.785 0.97663 39.336
875 6 39 0 0.0006310 0.0240 95.150 0.476 0.99053 39.248
876 11 39 0 0.0004578 0.0151 121.810 0.743 0.97374 40.885
877 18 39 0 0.0003076 0.0130 129.870 0.811 0.91507 35.870
878 25 39 0 0.0006276 0.0152 134.800 0.677 1.08360 50.842
879 26 39 0 0.0007295 0.0235 86.660 0.537 0.97076 39.059
880 29 39 0 0.0005802 0.0193 68.090 0.659 0.82642 29.405
881 33 39 0 0.0010321 0.0328 50.810 0.527 0.86339 30.594
882 37 39 0 0.0006279 0.0221 80.910 0.686 0.91103 34.678
883 38 39 0 0.0006356 0.0177 130.130 0.550 1.09220 49.798
884 52 39 0 0.0006400 0.0258 77.403 0.618 0.91821 33.834
885 58 39 0 0.0006276 0.0152 134.800 0.677 1.08360 50.842
886 63 39 0 0.0005054 0.0255 95.600 0.798 0.96750 35.643
887 65 39 0 0.0007755 0.0204 112.520 0.699 1.08250 48.835
888 70 39 0 0.0011500 0.0207 104.600 0.657 1.13360 55.203
889 71 39 0 0.0005054 0.0255 95.600 0.798 0.96750 35.643
890 82 39 0 0.0010321 0.0328 50.810 0.527 0.86339 30.594
891 83 39 0 0.0005725 0.0289 53.030 0.757 0.79316 24.232
892 86 39 0 0.0006486 0.0174 95.810 0.577 0.95226 39.944
893 87 39 0 0.0006109 0.0211 67.850 0.564 0.84077 30.016
894 92 39 0 0.0006486 0.0174 95.810 0.577 0.95226 39.944
895 93 39 0 0.0006279 0.0221 80.910 0.686 0.91103 34.678
896 94 39 0 0.0007755 0.0204 112.520 0.699 1.08250 48.835
897 97 39 0 0.0011500 0.0207 104.600 0.657 1.13360 55.203
898 2 40 0 0.0004029 0.0131 118.470 0.606 0.92354 37.805
899 11 40 0 0.0005802 0.0193 68.090 0.659 0.82642 29.405
900 12 40 0 0.0005725 0.0289 53.030 0.757 0.79316 24.232
901 13 40 0 0.0006109 0.0211 67.850 0.564 0.84077 30.016
902 23 40 0 0.0006400 0.0258 77.403 0.618 0.91821 33.834
903 24 40 0 0.0004892 0.0155 107.740 0.626 0.93798 38.419
904 27 40 0 0.0006109 0.0211 67.850 0.564 0.84077 30.016
905 29 40 0 0.0008129 0.0217 84.250 0.612 0.96597 40.151
906 34 40 0 0.0006109 0.0211 67.850 0.564 0.84077 30.016
907 46 40 0 0.0008129 0.0217 84.250 0.612 0.96597 40.151
908 48 40 0 0.0005300 0.0184 105.960 0.548 0.96704 39.335
909 49 40 0 0.0004578 0.0151 121.810 0.743 0.97374 40.885
910 60 40 0 0.0007755 0.0204 112.520 0.699 1.08250 48.835
911 62 40 0 0.0013827 0.0276 69.530 0.388 1.01060 44.153
912 63 40 0 0.0006486 0.0174 95.810 0.577 0.95226 39.944
913 64 40 0 0.0016023 0.0260 72.000 0.662 1.04790 48.432
914 69 40 0 0.0005287 0.0193 91.020 0.522 0.91236 35.059
915 81 40 0 0.0006356 0.0177 130.130 0.550 1.09220 49.798
916 84 40 0 0.0010321 0.0328 50.810 0.527 0.86339 30.594
917 87 40 0 0.0006279 0.0221 80.910 0.686 0.91103 34.678
918 89 40 0 0.0005802 0.0193 68.090 0.659 0.82642 29.405
919 91 40 0 0.0006279 0.0221 80.910 0.686 0.91103 34.678
920 0 41 0 0.0006400 0.0258 77.403 0.618 0.91821 33.834
921 8 41 0 0.0005600 0.0204 110.670 0.698 1.01160 41.659
922 10 41 0 0.0005054 0.0255 95.600 0.798 0.96750 35.643
923 13 41 0 0.0006109 0.0211 67.850 0.564 0.84077 30.016
924 20 41 0 0.0004925 0.0150 194.290 0.750 1.23330 59.968
925 44 41 0 0.0006356 0.0177 130.130 0.550 1.09220 49.798
926 45 41 0 0.0004029 0.0131 118.470 0.606 0.92354 37.805
927 60 41 0 0.0003925 0.0141 138.360 0.755 0.99220 41.975
928 61 41 0 0.0006486 0.0174 95.810 0.577 0.95226 39.944
929 62 41 0 0.0004817 0.0150 122.800 0.784 0.98535 42.087
930 72 41 0 0.0004029 0.0131 118.470 0.606 0.92354 37.805
931 77 41 0 0.0011500 0.0207 104.600 0.657 1.13360 55.203
932 78 41 0 0.0010321 0.0328 50.810 0.527 0.86339 30.594
933 83 41 0 0.0005926 0.0184 74.580 0.639 0.85326 31.784
934 84 41 0 0.0006818 0.0163 90.920 0.562 0.93246 39.277
935 94 41 0 0.0004366 0.0206 102.520 0.766 0.93925 35.168
936 96 41 0 0.0006310 0.0240 95.150 0.476 0.99053 39.248
937 97 41 0 0.0003076 0.0130 129.870 0.811 0.91507 35.870
938 98 41 0 0.0006818 0.0163 90.920 0.562 0.93246 39.277
939 99 41 0 0.0007652 0.0360 74.270 0.451 0.98377 35.547
940 6 42 0 0.0008129 0.0217 84.250 0.612 0.96597 40.151
941 7 42 0 0.0003925 0.0141 138.360 0.755 0.99220 41.975
942 18 42 0 0.0013827 0.0276 69.530 0.388 1.01060 44.153
943 19 42 0 0.0005600 0.0204 110.670 0.698 1.01160 41.659
944 25 42 0 0.0003884 0.0163 127.690 0.785 0.97663 39.336
945 34 42 0 0.0005287 0.0193 91.020 0.522 0.91236 35.059
946 38 42 0 0.0005300 0.0184 105.960 0.548 0.96704 39.335
947 39 42 0 0.0003076 0.0130 129.870 0.811 0.91507 35.870
948 49 42 0 0.0008129 0.0217 84.250 0.612 0.96597 40.151
949 50 42 0 0.0006109 0.0211 67.850 0.564 0.84077 30.016
950 58 42 0 0.0011500 0.0207 104.600 0.657 1.13360 55.203
951 59 42 0 0.0004817 0.0150 122.800 0.784 0.98535 42.087
952 65 42 0 0.0008129 0.0217 84.250 0.612 0.96597 40.151
953 66 42 0 0.0008959 0.0278 80.340 0.696 0.99858 40.478
954 76 42 0 0.0011500 0.0207 104.600 0.657 1.13360 55.203
955 89 42 0 0.0006109 0.0211 67.850 0.564 0.84077 30.016
956 90 42 0 0.0010321 0.0328 50.810 0.527 0.86339 30.594
957 92 42 0 0.0011500 0.0207 104.600 0.657 1.13360 55.203
958 93 42 0 0.0008959 0.0278 80.340 0.696 0.99858 40.478
959 95 42 0 0.0004578 0.0151 121.810 0.743 0.97374 40.885
960 96 42 0 0.0005926 0.0184 74.580 0.639 0.85326 31.784
961 97 42 0 0.0005890 0.0188 84.330 0.553 0.89702 34.757
962 98 42 0 0.0005600 0.0204 110.670 0.698 1.01160 41.659
963 99 42 0 0.0003884 0.0163 127.690 0.785 0.97663 39.336
964 0 43 0 0.0006818 0.0163 90.920 0.562 0.93246 39.277
965 1 43 0 0.0006900 0.0243 91.256 0.610 0.98906 39.599
966 5 43 0 0.0011500 0.0207 104.600 0.657 1.13360 55.203
967 11 43 0 0.0006881 0.0188 85.790 0.619 0.92755 37.759
968 23 43 0 0.0005916 0.0253 134.370 0.443 1.16820 49.390
969 24 43 0 0.0004366 0.0206 102.520 0.766 0.93925 35.168
970 26 43 0 0.0005725 0.0289 53.030 0.757 0.79316 24.232
971 30 43 0 0.0006310 0.0240 95.150 0.476 0.99053 39.248
972 31 43 0 0.0007295 0.0235 86.660 0.537 0.97076 39.059
973 33 43 0 0.0005926 0.0184 74.580 0.639 0.85326 31.784
974 37 43 0 0.0013827 0.0276 69.530 0.388 1.01060 44.153
975 46 43 0 0.0011500 0.0207 104.600 0.657 1.13360 55.203
976 51 43 0 0.0005287 0.0193 91.020 0.522 0.91236 35.059
977 52 43 0 0.0003076 0.0130 129.870 0.811 0.91507 35.870
978 53 43 0 0.0005926 0.0184 74.580 0.639 0.85326 31.784
979 57 43 0 0.0006310 0.0240 95.150 0.476 0.99053 39.248
980 64 43 0 0.0011500 0.0207 104.600 0.657 1.13360 55.203
981 70 43 0 0.0005300 0.0184 105.960 0.548 0.96704 39.335
982 73 43 0 0.0003076 0.0130 129.870 0.811 0.91507 35.870
983 79 43 0 0.0004578 0.0151 121.810 0.743 0.97374 40.885
984 86 43 0 0.0006109 0.0211 67.850 0.564 0.84077 30.016
985 87 43 0 0.0005600 0.0204 110.670 0.698 1.01160 41.659
986 88 43 0 0.0004366 0.0206 102.520 0.766 0.93925 35.168
987 90 43 0 0.0006356 0.0177 130.130 0.550 1.09220 49.798
988 96 43 0 0.0006881 0.0188 85.790 0.619 0.92755 37.759
989 97 43 0 0.0006400 0.0258 77.403 0.618 0.91821 33.834
990 98 43 0 0.0004029 0.0131 118.470 0.606 0.92354 37.805
991 99 43 0 0.0006900 0.0243 91.256 0.610 0.98906 39.599
992 0 44 0 0.0005300 0.0184 105.960 0.548 0.96704 39.335
993 8 44 0 0.0006900 0.0243 91.256 0.610 0.98906 39.599
994 14 44 0 0.0011500 0.0207 104.600 0.657 1.13360 55.203
995 20 44 0 0.0006356 0.0177 130.130 0.550 1.09220 49.798
996 23 44 0 0.0005725 0.0289 53.030 0.757 0.79316 24.232
997 24 44 0 0.0006310 0.0240 95.150 0.476 0.99053 39.248
998 26 44 0 0.0006818 0.0163 90.920 0.562 0.93246 39.277
999 28 44 0 0.0006881 0.0188 85.790 0.619 0.92755 37.759
1000 29 44 0 0.0005890 0.0188 84.330 0.553 0.89702 34.757
1001 34 44 0 0.0005700 0.0232 110.380 0.576 1.03600 41.909
1002 40 44 0 0.0005054 0.0255 95.600 0.798 0.96750 35.643
1003 49 44 0 0.0005802 0.0193 68.090 0.659 0.82642 29.405
1004 51 44 0 0.0005916 0.0253 134.370 0.443 1.16820 49.390
1005 52 44 0 0.0007652 0.0360 74.270 0.451 0.98377 35.547
1006 53 44 0 0.0011500 0.0207 104.600 0.657 1.13360 55.203
1007 56 44 0 0.0005287 0.0193 91.020 0.522 0.91236 35.059
1008 70 44 0 0.0003925 0.0141 138.360 0.755 0.99220 41.975
1009 71 44 0 0.0006310 0.0240 95.150 0.476 0.99053 39.248
1010 84 44 0 0.0011500 0.0207 104.600 0.657 1.13360 55.203
1011 85 44 0 0.0006109 0.0211 67.850 0.564 0.84077 30.016
1012 91 44 0 0.0004892 0.0155 107.740 0.626 0.93798 38.419
1013 92 44 0 0.0005054 0.0255 95.600 0.798 0.96750 35.643
1014 94 44 0 0.0005725 0.0289 53.030 0.757 0.79316 24.232
1015 97 44 0 0.0004029 0.0131 118.470 0.606 0.92354 37.805
1016 99 44 0 0.0006109 0.0211 67.850 0.564 0.84077 30.016
1017 0 45 0 0.0003076 0.0130 129.870 0.811 0.91507 35.870
1018 4 45 0 0.0006486 0.0174 95.810 0.577 0.95226 39.944
1019 13 45 0 0.0004029 0.0131 118.470 0.606 0.92354 37.805
1020 16 45 0 0.0006881 0.0188 85.790 0.619 0.92755 37.759
1021 21 45 0 0.0004366 0.0206 102.520 0.766 0.93925 35.168
1022 23 45 0 0.0013827 0.0276 69.530 0.388 1.01060 44.153
1023 25 45 0 0.0005926 0.0184 74.580 0.639 0.85326 31.784
1024 29 45 0 0.0016023 0.0260 72.000 0.662 1.04790 48.432
1025 32 45 0 0.0005868 0.0276 85.980 0.695 0.95863 35.206
1026 33 45 0 0.0006778 0.0171 98.670 0.752 0.96997 41.652
1027 34 45 0 0.0006486 0.0174 95.810 0.577 0.95226 39.944
1028 36 45 0 0.0006310 0.0240 95.150 0.476 0.99053 39.248
1029 41 45 0 0.0005054 0.0255 95.600 0.798 0.96750 35.643
1030 49 45 0 0.0006818 0.0163 90.920 0.562 0.93246 39.277
1031 50 45 0 0.0005926 0.0184 74.580 0.639 0.85326 31.784
1032 51 45 0 0.0005926 0.0184 74.580 0.639 0.85326 31.784
1033 53 45 0 0.0011600 0.0232 123.980 0.628 1.25900 62.953
1034 56 45 0 0.0005300 0.0184 105.960 0.548 0.96704 39.335
1035 82 45 0 0.0004925 0.0150 194.290 0.750 1.23330 59.968
1036 84 45 0 0.0007652 0.0360 74.270 0.451 0.98377 35.547
1037 89 45 0 0.0011500 0.0207 104.600 0.657 1.13360 55.203
1038 92 45 0 0.0006778 0.0171 98.670 0.752 0.96997 41.652
1039 97 45 0 0.0004817 0.0150 122.800 0.784 0.98535 42.087
1040 98 45 0 0.0006400 0.0258 77.403 0.618 0.91821 33.834
1041 99 45 0 0.0006279 0.0221 80.910 0.686 0.91103 34.678
1042 0 46 0 0.0004817 0.0150 122.800 0.784 0.98535 42.087
1043 1 46 0 0.0003884 0.0163 127.690 0.785 0.97663 39.336
1044 2 46 0 0.0018221 0.0232 61.400 0.692 0.96393 43.024
1045 10 46 0 0.0004892 0.0155 107.740 0.626 0.93798 38.419
1046 14 46 0 0.0005868 0.0276 85.980 0.695 0.95863 35.206
1047 22 46 0 0.0008129 0.0217 84.250 0.612 0.96597 40.151
1048 26 46 0 0.0005802 0.0193 68.090 0.659 0.82642 29.405
1049 30 46 0 0.0005054 0.0255 95.600 0.798 0.96750 35.643
1050 31 46 0 0.0004985 0.0189 130.090 0.685 1.05440 44.631
1051 32 46 0 0.0008129 0.0217 84.250 0.612 0.96597 40.151
1052 33 46 0 0.0004029 0.0131 118.470 0.606 0.92354 37.805
1053 34 46 0 0.0004366 0.0206 102.520 0.766 0.93925 35.168
1054 35 46 0 0.0004366 0.0206 102.520 0.766 0.93925 35.168
1055 43 46 0 0.0005926 0.0184 74.580 0.639 0.85326 31.784
1056 46 46 0 0.0006486 0.0174 95.810 0.577 0.95226 39.944
1057 47 46 0 0.0005287 0.0193 91.020 0.522 0.91236 35.059
1058 49 46 0 0.0004366 0.0206 102.520 0.766 0.93925 35.168
1059 53 46 0 0.0006109 0.0211 67.850 0.564 0.84077 30.016
1060 54 46 0 0.0004925 0.0150 194.290 0.750 1.23330 59.968
1061 57 46 0 0.0006400 0.0258 77.403 0.618 0.91821 33.834
1062 64 46 0 0.0004578 0.0151 121.810 0.743 0.97374 40.885
1063 66 46 0 0.0006310 0.0240 95.150 0.476 0.99053 39.248
1064 73 46 0 0.0003925 0.0141 138.360 0.755 0.99220 41.975
1065 75 46 0 0.0006778 0.0171 98.670 0.752 0.96997 41.652
1066 80 46 0 0.0007652 0.0360 74.270 0.451 0.98377 35.547
1067 85 46 0 0.0013827 0.0276 69.530 0.388 1.01060 44.153
1068 93 46 0 0.0008959 0.0278 80.340 0.696 0.99858 40.478
1069 96 46 0 0.0006276 0.0152 134.800 0.677 1.08360 50.842
1070 97 46 0 0.0005802 0.0193 68.090 0.659 0.82642 29.405
1071 98 46 0 0.0004578 0.0151 121.810 0.743 0.97374 40.885
1072 99 46 0 0.0010321 0.0328 50.810 0.527 0.86339 30.594
1073 8 47 0 0.0005300 0.0184 105.960 0.548 0.96704 39.335
1074 18 47 0 0.0005802 0.0193 68.090 0.659 0.82642 29.405
1075 30 47 0 0.0007652 0.0360 74.270 0.451 0.98377 35.547
1076 31 47 0 0.0007755 0.0204 112.520 0.699 1.08250 48.835
1077 33 47 0 0.0003925 0.0141 138.360 0.755 0.99220 41.975
1078 37 47 0 0.0004578 0.0151 121.810 0.743 0.97374 40.885
1079 38 47 0 0.0003076 0.0130 129.870 0.811 0.91507 35.870
1080 49 47 0 0.0003076 0.0130 129.870 0.811 0.91507 35.870
1081 50 47 0 0.0004029 0.0131 118.470 0.606 0.92354 37.805
1082 52 47 0 0.0003925 0.0141 138.360 0.755 0.99220 41.975
1083 55 47 0 0.0005300 0.0184 105.960 0.548 0.96704 39.335
1084 57 47 0 0.0005600 0.0204 110.670 0.698 1.01160 41.659
1085 62 47 0 0.0013827 0.0276 69.530 0.388 1.01060 44.153
1086 63 47 0 0.0006279 0.0221 80.910 0.686 0.91103 34.678
1087 71 47 0 0.0013827 0.0276 69.530 0.388 1.01060 44.153
1088 72 47 0 0.0006881 0.0188 85.790 0.619 0.92755 37.759
1089 73 47 0 0.0005600 0.0204 110.670 0.698 1.01160 41.659
1090 79 47 0 0.0005725 0.0289 53.030 0.757 0.79316 24.232
1091 91 47 0 0.0006400 0.0258 77.403 0.618 0.91821 33.834
1092 93 47 0 0.0005054 0.0255 95.600 0.798 0.96750 35.643
1093 94 47 0 0.0007755 0.0204 112.520 0.699 1.08250 48.835
1094 95 47 0 0.0007652 0.0360 74.270 0.451 0.98377 35.547
1095 98 47 0 0.0005287 0.0193 91.020 0.522 0.91236 35.059
1096 99 47 0 0.0005926 0.0184 74.580 0.639 0.85326 31.784
1097 5 48 0 0.0004892 0.0155 107.740 0.626 0.93798 38.419
1098 16 48 0 0.0010321 0.0328 50.810 0.527 0.86339 30.594
1099 28 48 0 0.0006400 0.0258 77.403 0.618 0.91821 33.834
1100 56 48 0 0.0003925 0.0141 138.360 0.755 0.99220 41.975
1101 57 48 0 0.0006900 0.0243 91.256 0.610 0.98906 39.599
1102 61 48 0 0.0003879 0.0150 170.570 0.563 1.10180 48.848
1103 70 48 0 0.0018221 0.0232 61.400 0.692 0.96393 43.024
1104 89 48 0 0.0007652 0.0360 74.270 0.451 0.98377 35.547
1105 90 48 0 0.0005725 0.0289 53.030 0.757 0.79316 24.232
1106 94 48 0 0.0004366 0.0206 102.520 0.766 0.93925 35.168
1107 0 49 0 0.0006818 0.0163 90.920 0.562 0.93246 39.277
1108 1 49 0 0.0018221 0.0232 61.400 0.692 0.96393 43.024
1109 10 49 0 0.0005700 0.0232 110.380 0.576 1.03600 41.909
1110 11 49 0 0.0006881 0.0188 85.790 0.619 0.92755 37.759
1111 12 49 0 0.0006356 0.0177 130.130 0.550 1.09220 49.798
1112 14 49 0 0.0006486 0.0174 95.810 0.577 0.95226 39.944
1113 15 49 0 0.0006279 0.0221 80.910 0.686 0.91103 34.678
1114 17 49 0 0.0011500 0.0207 104.600 0.657 1.13360 55.203
1115 20 49 0 0.0003925 0.0141 138.360 0.755 0.99220 41.975
1116 21 49 0 0.0006818 0.0163 90.920 0.562 0.93246 39.277
1117 26 49 0 0.0005300 0.0184 105.960 0.548 0.96704 39.335
1118 27 49 0 0.0006356 0.0177 130.130 0.550 1.09220 49.798
1119 31 49 0 0.0005916 0.0253 134.370 0.443 1.16820 49.390
1120 32 49 0 0.0010321 0.0328 50.810 0.527 0.86339 30.594
1121 40 49 0 0.0013827 0.0276 69.530 0.388 1.01060 44.153
1122 42 49 0 0.0010321 0.0328 50.810 0.527 0.86339 30.594
1123 44 49 0 0.0010321 0.0328 50.810 0.527 0.86339 30.594
1124 45 49 0 0.0006276 0.0152 134.800 0.677 1.08360 50.842
1125 46 49 0 0.0006310 0.0240 95.150 0.476 0.99053 39.248
1126 47 49 0 0.0010321 0.0328 50.810 0.527 0.86339 30.594
1127 48 49 0 0.0007652 0.0360 74.270 0.451 0.98377 35.547
1128 51 49 0 0.0004892 0.0155 107.740 0.626 0.93798 38.419
1129 54 49 0 0.0018221 0.0232 61.400 0.692 0.96393 43.024
1130 56 49 0 0.0007652 0.0360 74.270 0.451 0.98377 35.547
1131 64 49 0 0.0013827 0.0276 69.530 0.388 1.01060 44.153
1132 67 49 0 0.0003076 0.0130 129.870 0.811 0.91507 35.870
1133 73 49 0 0.0004925 0.0150 194.290 0.750 1.23330 59.968
1134 85 49 0 0.0004985 0.0189 130.090 0.685 1.05440 44.631
1135 88 49 0 0.0007652 0.0360 74.270 0.451 0.98377 35.547
1136 94 49 0 0.0005287 0.0193 91.020 0.522 0.91236 35.059
1137 97 49 0 0.0004578 0.0151 121.810 0.743 0.97374 40.885
1138 98 49 0 0.0003925 0.0141 138.360 0.755 0.99220 41.975
1139 8 50 0 0.0013827 0.0276 69.530 0.388 1.01060 44.153
1140 9 50 0 0.0006276 0.0152 134.800 0.677 1.08360 50.842
1141 14 50 0 0.0004578 0.0151 121.810 0.743 0.97374 40.885
1142 16 50 0 0.0006900 0.0243 91.256 0.610 0.98906 39.599
1143 38 50 0 0.0006356 0.0177 130.130 0.550 1.09220 49.798
1144 39 50 0 0.0005890 0.0188 84.330 0.553 0.89702 34.757
1145 52 50 0 0.0007652 0.0360 74.270 0.451 0.98377 35.547
1146 53 50 0 0.0011500 0.0207 104.600 0.657 1.13360 55.203
1147 60 50 0 0.0003076 0.0130 129.870 0.811 0.91507 35.870
1148 65 50 0 0.0003884 0.0163 127.690 0.785 0.97663 39.336
1149 69 50 0 0.0007652 0.0360 74.270 0.451 0.98377 35.547
1150 74 50 0 0.0006818 0.0163 90.920 0.562 0.93246 39.277
1151 83 50 0 0.0011500 0.0207 104.600 0.657 1.13360 55.203
1152 85 50 0 0.0004817 0.0150 122.800 0.784 0.98535 42.087
1153 91 50 0 0.0005600 0.0204 110.670 0.698 1.01160 41.659
1154 2 51 0 0.0007755 0.0204 112.520 0.699 1.08250 48.835
1155 7 51 0 0.0006900 0.0243 91.256 0.610 0.98906 39.599
1156 28 51 0 0.0005725 0.0289 53.030 0.757 0.79316 24.232
1157 33 51 0 0.0018221 0.0232 61.400 0.692 0.96393 43.024
1158 34 51 0 0.0006276 0.0152 134.800 0.677 1.08360 50.842
1159 37 51 0 0.0004578 0.0151 121.810 0.743 0.97374 40.885
1160 46 51 0 0.0006279 0.0221 80.910 0.686 0.91103 34.678
1161 57 51 0 0.0005868 0.0276 85.980 0.695 0.95863 35.206
1162 58 51 0 0.0006109 0.0211 67.850 0.564 0.84077 30.016
1163 66 51 0 0.0006276 0.0152 134.800 0.677 1.08360 50.842
1164 67 51 0 0.0003925 0.0141 138.360 0.755 0.99220 41.975
1165 76 51 0 0.0003925 0.0141 138.360 0.755 0.99220 41.975
1166 79 51 0 0.0005725 0.0289 53.030 0.757 0.79316 24.232
1167 81 51 0 0.0007652 0.0360 74.270 0.451 0.98377 35.547
1168 82 51 0 0.0005926 0.0184 74.580 0.639 0.85326 31.784
1169 87 51 0 0.0011600 0.0232 123.980 0.628 1.25900 62.953
1170 93 51 0 0.0004892 0.0155 107.740 0.626 0.93798 38.419
1171 0 52 0 0.0005287 0.0193 91.020 0.522 0.91236 35.059
1172 2 52 0 0.0005890 0.0188 84.330 0.553 0.89702 34.757
1173 3 52 0 0.0003884 0.0163 127.690 0.785 0.97663 39.336
1174 10 52 0 0.0004366 0.0206 102.520 0.766 0.93925 35.168
1175 13 52 0 0.0003925 0.0141 138.360 0.755 0.99220 41.975
1176 14 52 0 0.0005725 0.0289 53.030 0.757 0.79316 24.232
1177 21 52 0 0.0013827 0.0276 69.530 0.388 1.01060 44.153
1178 22 52 0 0.0005054 0.0255 95.600 0.798 0.96750 35.643
1179 30 52 0 0.0008959 0.0278 80.340 0.696 0.99858 40.478
1180 40 52 0 0.0005868 0.0276 85.980 0.695 0.95863 35.206
1181 44 52 0 0.0005926 0.0184 74.580 0.639 0.85326 31.784
1182 46 52 0 0.0005802 0.0193 68.090 0.659 0.82642 29.405
1183 47 52 0 0.0011500 0.0207 104.600 0.657 1.13360 55.203
1184 48 52 0 0.0006881 0.0188 85.790 0.619 0.92755 37.759
1185 65 52 0 0.0005926 0.0184 74.580 0.639 0.85326 31.784
1186 66 52 0 0.0005890 0.0188 84.330 0.553 0.89702 34.757
1187 67 52 0 0.0005725 0.0289 53.030 0.757 0.79316 24.232
1188 69 52 0 0.0004817 0.0150 122.800 0.784 0.98535 42.087
1189 71 52 0 0.0005725 0.0289 53.030 0.757 0.79316 24.232
1190 73 52 0 0.0006279 0.0221 80.910 0.686 0.91103 34.678
1191 80 52 0 0.0004985 0.0189 130.090 0.685 1.05440 44.631
1192 87 52 0 0.0005890 0.0188 84.330 0.553 0.89702 34.757
1193 92 52 0 0.0005600 0.0204 110.670 0.698 1.01160 41.659
1194 94 52 0 0.0005802 0.0193 68.090 0.659 0.82642 29.405
1195 98 52 0 0.0006486 0.0174 95.810 0.577 0.95226 39.944
1196 99 52 0 0.0006818 0.0163 90.920 0.562 0.93246 39.277
1197 0 53 0 0.0003879 0.0150 170.570 0.563 1.10180 48.848
1198 3 53 0 0.0008129 0.0217 84.250 0.612 0.96597 40.151
1199 6 53 0 0.0007652 0.0360 74.270 0.451 0.98377 35.547
1200 20 53 0 0.0003076 0.0130 129.870 0.811 0.91507 35.870
1201 30 53 0 0.0008959 0.0278 80.340 0.696 0.99858 40.478
1202 36 53 0 0.0005890 0.0188 84.330 0.553 0.89702 34.757
1203 41 53 0 0.0005802 0.0193 68.090 0.659 0.82642 29.405
1204 50 53 0 0.0008129 0.0217 84.250 0.612 0.96597 40.151
1205 60 53 0 0.0004892 0.0155 107.740 0.626 0.93798 38.419
1206 62 53 0 0.0007295 0.0235 86.660 0.537 0.97076 39.059
1207 64 53 0 0.0007652 0.0360 74.270 0.451 0.98377 35.547
1208 70 53 0 0.0005890 0.0188 84.330 0.553 0.89702 34.757
1209 72 53 0 0.0006400 0.0258 77.403 0.618 0.91821 33.834
1210 85 53 0 0.0005054 0.0255 95.600 0.798 0.96750 35.643
1211 90 53 0 0.0005926 0.0184 74.580 0.639 0.85326 31.784
1212 91 53 0 0.0008129 0.0217 84.250 0.612 0.96597 40.151
1213 97 53 0 0.0003076 0.0130 129.870 0.811 0.91507 35.870
1214 16 54 0 0.0006310 0.0240 95.150 0.476 0.99053 39.248
1215 23 54 0 0.0006276 0.0152 134.800 0.677 1.08360 50.842
1216 26 54 0 0.0008129 0.0217 84.250 0.612 0.96597 40.151
1217 27 54 0 0.0004029 0.0131 118.470 0.606 0.92354 37.805
1218 31 54 0 0.0005868 0.0276 85.980 0.695 0.95863 35.206
1219 32 54 0 0.0007652 0.0360 74.270 0.451 0.98377 35.547
1220 49 54 0 0.0004985 0.0189 130.090 0.685 1.05440 44.631
1221 53 54 0 0.0006109 0.0211 67.850 0.564 0.84077 30.016
1222 58 54 0 0.0005916 0.0253 134.370 0.443 1.16820 49.390
1223 59 54 0 0.0005700 0.0232 110.380 0.576 1.03600 41.909
1224 61 54 0 0.0005802 0.0193 68.090 0.659 0.82642 29.405
1225 64 54 0 0.0006310 0.0240 95.150 0.476 0.99053 39.248
1226 65 54 0 0.0006400 0.0258 77.403 0.618 0.91821 33.834
1227 67 54 0 0.0004578 0.0151 121.810 0.743 0.97374 40.885
1228 68 54 0 0.0004029 0.0131 118.470 0.606 0.92354 37.805
1229 69 54 0 0.0006356 0.0177 130.130 0.550 1.09220 49.798
1230 73 54 0 0.0004366 0.0206 102.520 0.766 0.93925 35.168
1231 74 54 0 0.0018221 0.0232 61.400 0.692 0.96393 43.024
1232 79 54 0 0.0011500 0.0207 104.600 0.657 1.13360 55.203
1233 90 54 0 0.0004578 0.0151 121.810 0.743 0.97374 40.885
1234 2 55 0 0.0005802 0.0193 68.090 0.659 0.82642 29.405
1235 6 55 0 0.0005916 0.0253 134.370 0.443 1.16820 49.390
1236 8 55 0 0.0004578 0.0151 121.810 0.743 0.97374 40.885
1237 9 55 0 0.0005700 0.0232 110.380 0.576 1.03600 41.909
1238 14 55 0 0.0006356 0.0177 130.130 0.550 1.09220 49.798
1239 24 55 0 0.0003925 0.0141 138.360 0.755 0.99220 41.975
1240 26 55 0 0.0005054 0.0255 95.600 0.798 0.96750 35.643
1241 27 55 0 0.0004690 0.0154 151.410 0.566 1.08340 48.657
1242 33 55 0 0.0003925 0.0141 138.360 0.755 0.99220 41.975
1243 39 55 0 0.0006486 0.0174 95.810 0.577 0.95226 39.944
1244 44 55 0 0.0005054 0.0255 95.600 0.798 0.96750 35.643
1245 45 55 0 0.0005926 0.0184 74.580 0.639 0.85326 31.784
1246 50 55 0 0.0006900 0.0243 91.256 0.610 0.98906 39.599
1247 52 55 0 0.0006279 0.0221 80.910 0.686 0.91103 34.678
1248 53 55 0 0.0006400 0.0258 77.403 0.618 0.91821 33.834
1249 57 55 0 0.0016023 0.0260 72.000 0.662 1.04790 48.432
1250 64 55 0 0.0003879 0.0150 170.570 0.563 1.10180 48.848
1251 79 55 0 0.0006778 0.0171 98.670 0.752 0.96997 41.652
1252 87 55 0 0.0006486 0.0174 95.810 0.577 0.95226 39.944
1253 89 55 0 0.0006400 0.0258 77.403 0.618 0.91821 33.834
1254 93 55 0 0.0004578 0.0151 121.810 0.743 0.97374 40.885
1255 0 56 0 0.0005287 0.0193 91.020 0.522 0.91236 35.059
1256 4 56 0 0.0007652 0.0360 74.270 0.451 0.98377 35.547
1257 5 56 0 0.0007295 0.0235 86.660 0.537 0.97076 39.059
1258 13 56 0 0.0013827 0.0276 69.530 0.388 1.01060 44.153
1259 26 56 0 0.0005916 0.0253 134.370 0.443 1.16820 49.390
1260 32 56 0 0.0007652 0.0360 74.270 0.451 0.98377 35.547
1261 34 56 0 0.0005300 0.0184 105.960 0.548 0.96704 39.335
1262 36 56 0 0.0005054 0.0255 95.600 0.798 0.96750 35.643
1263 38 56 0 0.0008129 0.0217 84.250 0.612 0.96597 40.151
1264 39 56 0 0.0006881 0.0188 85.790 0.619 0.92755 37.759
1265 40 56 0 0.0010321 0.0328 50.810 0.527 0.86339 30.594
1266 54 56 0 0.0004925 0.0150 194.290 0.750 1.23330 59.968
1267 60 56 0 0.0010321 0.0328 50.810 0.527 0.86339 30.594
1268 64 56 0 0.0011600 0.0232 123.980 0.628 1.25900 62.953
1269 78 56 0 0.0006818 0.0163 90.920 0.562 0.93246 39.277
1270 80 56 0 0.0005725 0.0289 53.030 0.757 0.79316 24.232
1271 85 56 0 0.0013827 0.0276 69.530 0.388 1.01060 44.153
1272 86 56 0 0.0006356 0.0177 130.130 0.550 1.09220 49.798
1273 10 57 0 0.0005802 0.0193 68.090 0.659 0.82642 29.405
1274 24 57 0 0.0006400 0.0258 77.403 0.618 0.91821 33.834
1275 25 57 0 0.0005802 0.0193 68.090 0.659 0.82642 29.405
1276 32 57 0 0.0005916 0.0253 134.370 0.443 1.16820 49.390
1277 33 57 0 0.0006881 0.0188 85.790 0.619 0.92755 37.759
1278 35 57 0 0.0008129 0.0217 84.250 0.612 0.96597 40.151
1279 39 57 0 0.0005868 0.0276 85.980 0.695 0.95863 35.206
1280 47 57 0 0.0006818 0.0163 90.920 0.562 0.93246 39.277
1281 49 57 0 0.0006778 0.0171 98.670 0.752 0.96997 41.652
1282 51 57 0 0.0005300 0.0184 105.960 0.548 0.96704 39.335
1283 52 57 0 0.0006900 0.0243 91.256 0.610 0.98906 39.599
1284 56 57 0 0.0004985 0.0189 130.090 0.685 1.05440 44.631
1285 57 57 0 0.0006400 0.0258 77.403 0.618 0.91821 33.834
1286 61 57 0 0.0010321 0.0328 50.810 0.527 0.86339 30.594
1287 68 57 0 0.0007652 0.0360 74.270 0.451 0.98377 35.547
1288 69 57 0 0.0006276 0.0152 134.800 0.677 1.08360 50.842
1289 74 57 0 0.0013827 0.0276 69.530 0.388 1.01060 44.153
1290 75 57 0 0.0010321 0.0328 50.810 0.527 0.86339 30.594
1291 79 57 0 0.0016023 0.0260 72.000 0.662 1.04790 48.432
1292 80 57 0 0.0006400 0.0258 77.403 0.618 0.91821 33.834
1293 84 57 0 0.0018221 0.0232 61.400 0.692 0.96393 43.024
1294 96 57 0 0.0005054 0.0255 95.600 0.798 0.96750 35.643
1295 98 57 0 0.0006356 0.0177 130.130 0.550 1.09220 49.798
1296 8 58 0 0.0004892 0.0155 107.740 0.626 0.93798 38.419
1297 9 58 0 0.0004985 0.0189 130.090 0.685 1.05440 44.631
1298 12 58 0 0.0008129 0.0217 84.250 0.612 0.96597 40.151
1299 20 58 0 0.0018221 0.0232 61.400 0.692 0.96393 43.024
1300 22 58 0 0.0004892 0.0155 107.740 0.626 0.93798 38.419
1301 23 58 0 0.0003076 0.0130 129.870 0.811 0.91507 35.870
1302 31 58 0 0.0004817 0.0150 122.800 0.784 0.98535 42.087
1303 32 58 0 0.0006778 0.0171 98.670 0.752 0.96997 41.652
1304 34 58 0 0.0008129 0.0217 84.250 0.612 0.96597 40.151
1305 38 58 0 0.0004366 0.0206 102.520 0.766 0.93925 35.168
1306 39 58 0 0.0003925 0.0141 138.360 0.755 0.99220 41.975
1307 40 58 0 0.0008129 0.0217 84.250 0.612 0.96597 40.151
1308 45 58 0 0.0016023 0.0260 72.000 0.662 1.04790 48.432
1309 46 58 0 0.0006109 0.0211 67.850 0.564 0.84077 30.016
1310 67 58 0 0.0005725 0.0289 53.030 0.757 0.79316 24.232
1311 73 58 0 0.0006881 0.0188 85.790 0.619 0.92755 37.759
1312 81 58 0 0.0004029 0.0131 118.470 0.606 0.92354 37.805
1313 87 58 0 0.0004817 0.0150 122.800 0.784 0.98535 42.087
1314 94 58 0 0.0006310 0.0240 95.150 0.476 0.99053 39.248
1315 95 58 0 0.0016023 0.0260 72.000 0.662 1.04790 48.432
1316 2 59 0 0.0003076 0.0130 129.870 0.811 0.91507 35.870
1317 7 59 0 0.0004817 0.0150 122.800 0.784 0.98535 42.087
1318 12 59 0 0.0004029 0.0131 118.470 0.606 0.92354 37.805
1319 18 59 0 0.0006310 0.0240 95.150 0.476 0.99053 39.248
1320 19 59 0 0.0016023 0.0260 72.000 0.662 1.04790 48.432
1321 27 59 0 0.0006881 0.0188 85.790 0.619 0.92755 37.759
1322 28 59 0 0.0005802 0.0193 68.090 0.659 0.82642 29.405
1323 44 59 0 0.0008959 0.0278 80.340 0.696 0.99858 40.478
1324 54 59 0 0.0005868 0.0276 85.980 0.695 0.95863 35.206
1325 64 59 0 0.0004925 0.0150 194.290 0.750 1.23330 59.968
1326 66 59 0 0.0006279 0.0221 80.910 0.686 0.91103 34.678
1327 69 59 0 0.0004578 0.0151 121.810 0.743 0.97374 40.885
1328 70 59 0 0.0005054 0.0255 95.600 0.798 0.96750 35.643
1329 76 59 0 0.0003925 0.0141 138.360 0.755 0.99220 41.975
1330 79 59 0 0.0003879 0.0150 170.570 0.563 1.10180 48.848
1331 80 59 0 0.0006900 0.0243 91.256 0.610 0.98906 39.599
1332 81 59 0 0.0004029 0.0131 118.470 0.606 0.92354 37.805
1333 88 59 0 0.0006778 0.0171 98.670 0.752 0.96997 41.652
1334 0 60 0 0.0005300 0.0184 105.960 0.548 0.96704 39.335
1335 1 60 0 0.0005287 0.0193 91.020 0.522 0.91236 35.059
1336 6 60 0 0.0003076 0.0130 129.870 0.811 0.91507 35.870
1337 8 60 0 0.0004578 0.0151 121.810 0.743 0.97374 40.885
1338 17 60 0 0.0011600 0.0232 123.980 0.628 1.25900 62.953
1339 23 60 0 0.0006400 0.0258 77.403 0.618 0.91821 33.834
1340 26 60 0 0.0006109 0.0211 67.850 0.564 0.84077 30.016
1341 30 60 0 0.0003884 0.0163 127.690 0.785 0.97663 39.336
1342 31 60 0 0.0008959 0.0278 80.340 0.696 0.99858 40.478
1343 37 60 0 0.0007652 0.0360 74.270 0.451 0.98377 35.547
1344 39 60 0 0.0005802 0.0193 68.090 0.659 0.82642 29.405
1345 41 60 0 0.0005890 0.0188 84.330 0.553 0.89702 34.757
1346 47 60 0 0.0006900 0.0243 91.256 0.610 0.98906 39.599
1347 51 60 0 0.0005926 0.0184 74.580 0.639 0.85326 31.784
1348 52 60 0 0.0005300 0.0184 105.960 0.548 0.96704 39.335
1349 53 60 0 0.0005926 0.0184 74.580 0.639 0.85326 31.784
1350 57 60 0 0.0005926 0.0184 74.580 0.639 0.85326 31.784
1351 62 60 0 0.0003879 0.0150 170.570 0.563 1.10180 48.848
1352 63 60 0 0.0004578 0.0151 121.810 0.743 0.97374 40.885
1353 77 60 0 0.0005054 0.0255 95.600 0.798 0.96750 35.643
1354 81 60 0 0.0005890 0.0188 84.330 0.553 0.89702 34.757
1355 89 60 0 0.0006109 0.0211 67.850 0.564 0.84077 30.016
1356 90 60 0 0.0010321 0.0328 50.810 0.527 0.86339 30.594
1357 99 60 0 0.0006400 0.0258 77.403 0.618 0.91821 33.834
1358 5 61 0 0.0004578 0.0151 121.810 0.743 0.97374 40.885
1359 6 61 0 0.0005916 0.0253 134.370 0.443 1.16820 49.390
1360 14 61 0 0.0004892 0.0155 107.740 0.626 0.93798 38.419
1361 20 61 0 0.0018221 0.0232 61.400 0.692 0.96393 43.024
1362 23 61 0 0.0007295 0.0235 86.660 0.537 0.97076 39.059
1363 28 61 0 0.0006778 0.0171 98.670 0.752 0.96997 41.652
1364 35 61 0 0.0006881 0.0188 85.790 0.619 0.92755 37.759
1365 40 61 0 0.0008959 0.0278 80.340 0.696 0.99858 40.478
1366 43 61 0 0.0005300 0.0184 105.960 0.548 0.96704 39.335
1367 51 61 0 0.0004366 0.0206 102.520 0.766 0.93925 35.168
1368 55 61 0 0.0005287 0.0193 91.020 0.522 0.91236 35.059
1369 57 61 0 0.0003925 0.0141 138.360 0.755 0.99220 41.975
1370 61 61 0 0.0006881 0.0188 85.790 0.619 0.92755 37.759
1371 70 61 0 0.0006778 0.0171 98.670 0.752 0.96997 41.652
1372 78 61 0 0.0007652 0.0360 74.270 0.451 0.98377 35.547
1373 79 61 0 0.0008959 0.0278 80.340 0.696 0.99858 40.478
1374 85 61 0 0.0011500 0.0207 104.600 0.657 1.13360 55.203
1375 88 61 0 0.0004925 0.0150 194.290 0.750 1.23330 59.968
1376 89 61 0 0.0006310 0.0240 95.150 0.476 0.99053 39.248
1377 98 61 0 0.0005725 0.0289 53.030 0.757 0.79316 24.232
1378 99 61 0 0.0003884 0.0163 127.690 0.785 0.97663 39.336
1379 2 62 0 0.0005700 0.0232 110.380 0.576 1.03600 41.909
1380 5 62 0 0.0003884 0.0163 127.690 0.785 0.97663 39.336
1381 6 62 0 0.0003925 0.0141 138.360 0.755 0.99220 41.975
1382 7 62 0 0.0005890 0.0188 84.330 0.553 0.89702 34.757
1383 8 62 0 0.0005725 0.0289 53.030 0.757 0.79316 24.232
1384 12 62 0 0.0005926 0.0184 74.580 0.639 0.85326 31.784
1385 21 62 0 0.0005287 0.0193 91.020 0.522 0.91236 35.059
1386 25 62 0 0.0005725 0.0289 53.030 0.757 0.79316 24.232
1387 26 62 0 0.0005725 0.0289 53.030 0.757 0.79316 24.232
1388 49 62 0 0.0010321 0.0328 50.810 0.527 0.86339 30.594
1389 54 62 0 0.0005600 0.0204 110.670 0.698 1.01160 41.659
1390 64 62 0 0.0006109 0.0211 67.850 0.564 0.84077 30.016
1391 66 62 0 0.0004985 0.0189 130.090 0.685 1.05440 44.631
1392 69 62 0 0.0007295 0.0235 86.660 0.537 0.97076 39.059
1393 70 62 0 0.0004892 0.0155 107.740 0.626 0.93798 38.419
1394 74 62 0 0.0004578 0.0151 121.810 0.743 0.97374 40.885
1395 77 62 0 0.0006881 0.0188 85.790 0.619 0.92755 37.759
1396 82 62 0 0.0005890 0.0188 84.330 0.553 0.89702 34.757
1397 83 62 0 0.0005890 0.0188 84.330 0.553 0.89702 34.757
1398 89 62 0 0.0005287 0.0193 91.020 0.522 0.91236 35.059
1399 90 62 0 0.0005700 0.0232 110.380 0.576 1.03600 41.909
1400 98 62 0 0.0005725 0.0289 53.030 0.757 0.79316 24.232
1401 99 62 0 0.0013827 0.0276 69.530 0.388 1.01060 44.153
1402 4 63 0 0.0006881 0.0188 85.790 0.619 0.92755 37.759
1403 5 63 0 0.0005868 0.0276 85.980 0.695 0.95863 35.206
1404 6 63 0 0.0011600 0.0232 123.980 0.628 1.25900 62.953
1405 7 63 0 0.0008959 0.0278 80.340 0.696 0.99858 40.478
1406 8 63 0 0.0007652 0.0360 74.270 0.451 0.98377 35.547
1407 9 63 0 0.0004985 0.0189 130.090 0.685 1.05440 44.631
1408 37 63 0 0.0006310 0.0240 95.150 0.476 0.99053 39.248
1409 39 63 0 0.0018221 0.0232 61.400 0.692 0.96393 43.024
1410 50 63 0 0.0005300 0.0184 105.960 0.548 0.96704 39.335
1411 59 63 0 0.0006486 0.0174 95.810 0.577 0.95226 39.944
1412 60 63 0 0.0006486 0.0174 95.810 0.577 0.95226 39.944
1413 67 63 0 0.0005802 0.0193 68.090 0.659 0.82642 29.405
1414 68 63 0 0.0005890 0.0188 84.330 0.553 0.89702 34.757
1415 75 63 0 0.0013827 0.0276 69.530 0.388 1.01060 44.153
1416 76 63 0 0.0008959 0.0278 80.340 0.696 0.99858 40.478
1417 89 63 0 0.0006356 0.0177 130.130 0.550 1.09220 49.798
1418 94 63 0 0.0004029 0.0131 118.470 0.606 0.92354 37.805
1419 3 64 0 0.0006276 0.0152 134.800 0.677 1.08360 50.842
1420 4 64 0 0.0006356 0.0177 130.130 0.550 1.09220 49.798
1421 5 64 0 0.0004690 0.0154 151.410 0.566 1.08340 48.657
1422 6 64 0 0.0005802 0.0193 68.090 0.659 0.82642 29.405
1423 7 64 0 0.0005700 0.0232 110.380 0.576 1.03600 41.909
1424 8 64 0 0.0005926 0.0184 74.580 0.639 0.85326 31.784
1425 9 64 0 0.0006900 0.0243 91.256 0.610 0.98906 39.599
1426 14 64 0 0.0005916 0.0253 134.370 0.443 1.16820 49.390
1427 15 64 0 0.0004029 0.0131 118.470 0.606 0.92354 37.805
1428 18 64 0 0.0011600 0.0232 123.980 0.628 1.25900 62.953
1429 20 64 0 0.0006279 0.0221 80.910 0.686 0.91103 34.678
1430 21 64 0 0.0005300 0.0184 105.960 0.548 0.96704 39.335
1431 28 64 0 0.0003925 0.0141 138.360 0.755 0.99220 41.975
1432 30 64 0 0.0006400 0.0258 77.403 0.618 0.91821 33.834
1433 35 64 0 0.0006310 0.0240 95.150 0.476 0.99053 39.248
1434 36 64 0 0.0006400 0.0258 77.403 0.618 0.91821 33.834
1435 44 64 0 0.0004366 0.0206 102.520 0.766 0.93925 35.168
1436 48 64 0 0.0005802 0.0193 68.090 0.659 0.82642 29.405
1437 49 64 0 0.0004029 0.0131 118.470 0.606 0.92354 37.805
1438 54 64 0 0.0004578 0.0151 121.810 0.743 0.97374 40.885
1439 57 64 0 0.0013827 0.0276 69.530 0.388 1.01060 44.153
1440 58 64 0 0.0004985 0.0189 130.090 0.685 1.05440 44.631
1441 60 64 0 0.0005725 0.0289 53.030 0.757 0.79316 24.232
1442 64 64 0 0.0008959 0.0278 80.340 0.696 0.99858 40.478
1443 74 64 0 0.0005926 0.0184 74.580 0.639 0.85326 31.784
1444 76 64 0 0.0005926 0.0184 74.580 0.639 0.85326 31.784
1445 85 64 0 0.0005802 0.0193 68.090 0.659 0.82642 29.405
1446 87 64 0 0.0006109 0.0211 67.850 0.564 0.84077 30.016
1447 89 64 0 0.0008959 0.0278 80.340 0.696 0.99858 40.478
1448 93 64 0 0.0005700 0.0232 110.380 0.576 1.03600 41.909
1449 99 64 0 0.0005802 0.0193 68.090 0.659 0.82642 29.405
1450 2 65 0 0.0006310 0.0240 95.150 0.476 0.99053 39.248
1451 6 65 0 0.0011500 0.0207 104.600 0.657 1.13360 55.203
1452 7 65 0 0.0005868 0.0276 85.980 0.695 0.95863 35.206
1453 8 65 0 0.0006310 0.0240 95.150 0.476 0.99053 39.248
1454 9 65 0 0.0005700 0.0232 110.380 0.576 1.03600 41.909
1455 10 65 0 0.0003884 0.0163 127.690 0.785 0.97663 39.336
1456 13 65 0 0.0006818 0.0163 90.920 0.562 0.93246 39.277
1457 18 65 0 0.0004366 0.0206 102.520 0.766 0.93925 35.168
1458 26 65 0 0.0006310 0.0240 95.150 0.476 0.99053 39.248
1459 27 65 0 0.0005890 0.0188 84.330 0.553 0.89702 34.757
1460 34 65 0 0.0006356 0.0177 130.130 0.550 1.09220 49.798
1461 42 65 0 0.0003925 0.0141 138.360 0.755 0.99220 41.975
1462 43 65 0 0.0003879 0.0150 170.570 0.563 1.10180 48.848
1463 47 65 0 0.0005926 0.0184 74.580 0.639 0.85326 31.784
1464 52 65 0 0.0006310 0.0240 95.150 0.476 0.99053 39.248
1465 56 65 0 0.0004578 0.0151 121.810 0.743 0.97374 40.885
1466 57 65 0 0.0006486 0.0174 95.810 0.577 0.95226 39.944
1467 60 65 0 0.0007295 0.0235 86.660 0.537 0.97076 39.059
1468 61 65 0 0.0006400 0.0258 77.403 0.618 0.91821 33.834
1469 63 65 0 0.0005802 0.0193 68.090 0.659 0.82642 29.405
1470 70 65 0 0.0006881 0.0188 85.790 0.619 0.92755 37.759
1471 72 65 0 0.0006279 0.0221 80.910 0.686 0.91103 34.678
1472 73 65 0 0.0006778 0.0171 98.670 0.752 0.96997 41.652
1473 75 65 0 0.0005725 0.0289 53.030 0.757 0.79316 24.232
1474 83 65 0 0.0005916 0.0253 134.370 0.443 1.16820 49.390
1475 84 65 0 0.0006778 0.0171 98.670 0.752 0.96997 41.652
1476 97 65 0 0.0006109 0.0211 67.850 0.564 0.84077 30.016
1477 99 65 0 0.0005926 0.0184 74.580 0.639 0.85326 31.784
1478 0 66 0 0.0006356 0.0177 130.130 0.550 1.09220 49.798
1479 5 66 0 0.0003076 0.0130 129.870 0.811 0.91507 35.870
1480 6 66 0 0.0006310 0.0240 95.150 0.476 0.99053 39.248
1481 7 66 0 0.0006400 0.0258 77.403 0.618 0.91821 33.834
1482 8 66 0 0.0008959 0.0278 80.340 0.696 0.99858 40.478
1483 9 66 0 0.0011600 0.0232 123.980 0.628 1.25900 62.953
1484 10 66 0 0.0004578 0.0151 121.810 0.743 0.97374 40.885
1485 16 66 0 0.0003076 0.0130 129.870 0.811 0.91507 35.870
1486 25 66 0 0.0011600 0.0232 123.980 0.628 1.25900 62.953
1487 29 66 0 0.0005926 0.0184 74.580 0.639 0.85326 31.784
1488 31 66 0 0.0003925 0.0141 138.360 0.755 0.99220 41.975
1489 37 66 0 0.0003925 0.0141 138.360 0.755 0.99220 41.975
1490 41 66 0 0.0003879 0.0150 170.570 0.563 1.10180 48.848
1491 51 66 0 0.0006900 0.0243 91.256 0.610 0.98906 39.599
1492 52 66 0 0.0004892 0.0155 107.740 0.626 0.93798 38.419
1493 54 66 0 0.0007295 0.0235 86.660 0.537 0.97076 39.059
1494 55 66 0 0.0006881 0.0188 85.790 0.619 0.92755 37.759
1495 56 66 0 0.0006900 0.0243 91.256 0.610 0.98906 39.599
1496 58 66 0 0.0005926 0.0184 74.580 0.639 0.85326 31.784
1497 59 66 0 0.0005287 0.0193 91.020 0.522 0.91236 35.059
1498 63 66 0 0.0007295 0.0235 86.660 0.537 0.97076 39.059
1499 68 66 0 0.0004892 0.0155 107.740 0.626 0.93798 38.419
1500 69 66 0 0.0010321 0.0328 50.810 0.527 0.86339 30.594
1501 75 66 0 0.0010321 0.0328 50.810 0.527 0.86339 30.594
1502 78 66 0 0.0006486 0.0174 95.810 0.577 0.95226 39.944
1503 82 66 0 0.0016023 0.0260 72.000 0.662 1.04790 48.432
1504 90 66 0 0.0005868 0.0276 85.980 0.695 0.95863 35.206
1505 92 66 0 0.0005868 0.0276 85.980 0.695 0.95863 35.206
1506 98 66 0 0.0006778 0.0171 98.670 0.752 0.96997 41.652
1507 2 67 0 0.0006276 0.0152 134.800 0.677 1.08360 50.842
1508 6 67 0 0.0005725 0.0289 53.030 0.757 0.79316 24.232
1509 7 67 0 0.0013827 0.0276 69.530 0.388 1.01060 44.153
1510 21 67 0 0.0005700 0.0232 110.380 0.576 1.03600 41.909
1511 22 67 0 0.0006109 0.0211 67.850 0.564 0.84077 30.016
1512 28 67 0 0.0004578 0.0151 121.810 0.743 0.97374 40.885
1513 29 67 0 0.0006400 0.0258 77.403 0.618 0.91821 33.834
1514 38 67 0 0.0005287 0.0193 91.020 0.522 0.91236 35.059
1515 44 67 0 0.0005054 0.0255 95.600 0.798 0.96750 35.643
1516 46 67 0 0.0016023 0.0260 72.000 0.662 1.04790 48.432
1517 47 67 0 0.0004985 0.0189 130.090 0.685 1.05440 44.631
1518 48 67 0 0.0005287 0.0193 91.020 0.522 0.91236 35.059
1519 50 67 0 0.0007755 0.0204 112.520 0.699 1.08250 48.835
1520 51 67 0 0.0005287 0.0193 91.020 0.522 0.91236 35.059
1521 55 67 0 0.0005802 0.0193 68.090 0.659 0.82642 29.405
1522 57 67 0 0.0007652 0.0360 74.270 0.451 0.98377 35.547
1523 63 67 0 0.0004366 0.0206 102.520 0.766 0.93925 35.168
1524 67 67 0 0.0008129 0.0217 84.250 0.612 0.96597 40.151
1525 73 67 0 0.0004892 0.0155 107.740 0.626 0.93798 38.419
1526 78 67 0 0.0004690 0.0154 151.410 0.566 1.08340 48.657
1527 79 67 0 0.0004029 0.0131 118.470 0.606 0.92354 37.805
1528 85 67 0 0.0004817 0.0150 122.800 0.784 0.98535 42.087
1529 89 67 0 0.0006109 0.0211 67.850 0.564 0.84077 30.016
1530 90 67 0 0.0003879 0.0150 170.570 0.563 1.10180 48.848
1531 99 67 0 0.0005725 0.0289 53.030 0.757 0.79316 24.232
1532 2 68 0 0.0011500 0.0207 104.600 0.657 1.13360 55.203
1533 4 68 0 0.0007652 0.0360 74.270 0.451 0.98377 35.547
1534 5 68 0 0.0006276 0.0152 134.800 0.677 1.08360 50.842
1535 6 68 0 0.0006109 0.0211 67.850 0.564 0.84077 30.016
1536 7 68 0 0.0006109 0.0211 67.850 0.564 0.84077 30.016
1537 8 68 0 0.0004366 0.0206 102.520 0.766 0.93925 35.168
1538 15 68 0 0.0006400 0.0258 77.403 0.618 0.91821 33.834
1539 20 68 0 0.0004817 0.0150 122.800 0.784 0.98535 42.087
1540 40 68 0 0.0006276 0.0152 134.800 0.677 1.08360 50.842
1541 45 68 0 0.0005700 0.0232 110.380 0.576 1.03600 41.909
1542 47 68 0 0.0005054 0.0255 95.600 0.798 0.96750 35.643
1543 48 68 0 0.0008959 0.0278 80.340 0.696 0.99858 40.478
1544 49 68 0 0.0011500 0.0207 104.600 0.657 1.13360 55.203
1545 53 68 0 0.0005725 0.0289 53.030 0.757 0.79316 24.232
1546 55 68 0 0.0006881 0.0188 85.790 0.619 0.92755 37.759
1547 56 68 0 0.0005600 0.0204 110.670 0.698 1.01160 41.659
1548 61 68 0 0.0004366 0.0206 102.520 0.766 0.93925 35.168
1549 78 68 0 0.0005725 0.0289 53.030 0.757 0.79316 24.232
1550 81 68 0 0.0006109 0.0211 67.850 0.564 0.84077 30.016
1551 86 68 0 0.0006881 0.0188 85.790 0.619 0.92755 37.759
1552 93 68 0 0.0005725 0.0289 53.030 0.757 0.79316 24.232
1553 94 68 0 0.0006881 0.0188 85.790 0.619 0.92755 37.759
1554 0 69 0 0.0008959 0.0278 80.340 0.696 0.99858 40.478
1555 1 69 0 0.0003884 0.0163 127.690 0.785 0.97663 39.336
1556 6 69 0 0.0005802 0.0193 68.090 0.659 0.82642 29.405
1557 8 69 0 0.0011600 0.0232 123.980 0.628 1.25900 62.953
1558 10 69 0 0.0016023 0.0260 72.000 0.662 1.04790 48.432
1559 16 69 0 0.0006356 0.0177 130.130 0.550 1.09220 49.798
1560 23 69 0 0.0005926 0.0184 74.580 0.639 0.85326 31.784
1561 32 69 0 0.0005600 0.0204 110.670 0.698 1.01160 41.659
1562 33 69 0 0.0006400 0.0258 77.403 0.618 0.91821 33.834
1563 38 69 0 0.0004985 0.0189 130.090 0.685 1.05440 44.631
1564 42 69 0 0.0004892 0.0155 107.740 0.626 0.93798 38.419
1565 49 69 0 0.0004817 0.0150 122.800 0.784 0.98535 42.087
1566 53 69 0 0.0006310 0.0240 95.150 0.476 0.99053 39.248
1567 54 69 0 0.0011600 0.0232 123.980 0.628 1.25900 62.953
1568 66 69 0 0.0005802 0.0193 68.090 0.659 0.82642 29.405
1569 75 69 0 0.0005916 0.0253 134.370 0.443 1.16820 49.390
1570 77 69 0 0.0004029 0.0131 118.470 0.606 0.92354 37.805
1571 78 69 0 0.0004817 0.0150 122.800 0.784 0.98535 42.087
1572 88 69 0 0.0006400 0.0258 77.403 0.618 0.91821 33.834
1573 99 69 0 0.0004817 0.0150 122.800 0.784 0.98535 42.087
1574 5 70 0 0.0003076 0.0130 129.870 0.811 0.91507 35.870
1575 7 70 0 0.0005890 0.0188 84.330 0.553 0.89702 34.757
1576 8 70 0 0.0005916 0.0253 134.370 0.443 1.16820 49.390
1577 9 70 0 0.0006818 0.0163 90.920 0.562 0.93246 39.277
1578 14 70 0 0.0011500 0.0207 104.600 0.657 1.13360 55.203
1579 15 70 0 0.0003076 0.0130 129.870 0.811 0.91507 35.870
1580 19 70 0 0.0007755 0.0204 112.520 0.699 1.08250 48.835
1581 20 70 0 0.0006881 0.0188 85.790 0.619 0.92755 37.759
1582 24 70 0 0.0006276 0.0152 134.800 0.677 1.08360 50.842
1583 25 70 0 0.0006881 0.0188 85.790 0.619 0.92755 37.759
1584 26 70 0 0.0005725 0.0289 53.030 0.757 0.79316 24.232
1585 27 70 0 0.0006881 0.0188 85.790 0.619 0.92755 37.759
1586 28 70 0 0.0006900 0.0243 91.256 0.610 0.98906 39.599
1587 29 70 0 0.0005600 0.0204 110.670 0.698 1.01160 41.659
1588 30 70 0 0.0005725 0.0289 53.030 0.757 0.79316 24.232
1589 31 70 0 0.0006400 0.0258 77.403 0.618 0.91821 33.834
1590 32 70 0 0.0011600 0.0232 123.980 0.628 1.25900 62.953
1591 36 70 0 0.0006276 0.0152 134.800 0.677 1.08360 50.842
1592 46 70 0 0.0016023 0.0260 72.000 0.662 1.04790 48.432
1593 47 70 0 0.0008959 0.0278 80.340 0.696 0.99858 40.478
1594 54 70 0 0.0004029 0.0131 118.470 0.606 0.92354 37.805
1595 56 70 0 0.0006900 0.0243 91.256 0.610 0.98906 39.599
1596 63 70 0 0.0004366 0.0206 102.520 0.766 0.93925 35.168
1597 65 70 0 0.0013827 0.0276 69.530 0.388 1.01060 44.153
1598 73 70 0 0.0006486 0.0174 95.810 0.577 0.95226 39.944
1599 74 70 0 0.0004366 0.0206 102.520 0.766 0.93925 35.168
1600 78 70 0 0.0007755 0.0204 112.520 0.699 1.08250 48.835
1601 83 70 0 0.0006276 0.0152 134.800 0.677 1.08360 50.842
1602 86 70 0 0.0005926 0.0184 74.580 0.639 0.85326 31.784
1603 87 70 0 0.0006279 0.0221 80.910 0.686 0.91103 34.678
1604 96 70 0 0.0005054 0.0255 95.600 0.798 0.96750 35.643
1605 98 70 0 0.0005802 0.0193 68.090 0.659 0.82642 29.405
1606 2 71 0 0.0007295 0.0235 86.660 0.537 0.97076 39.059
1607 8 71 0 0.0018221 0.0232 61.400 0.692 0.96393 43.024
1608 13 71 0 0.0011600 0.0232 123.980 0.628 1.25900 62.953
1609 19 71 0 0.0003076 0.0130 129.870 0.811 0.91507 35.870
1610 24 71 0 0.0011500 0.0207 104.600 0.657 1.13360 55.203
1611 25 71 0 0.0008959 0.0278 80.340 0.696 0.99858 40.478
1612 27 71 0 0.0005287 0.0193 91.020 0.522 0.91236 35.059
1613 28 71 0 0.0007755 0.0204 112.520 0.699 1.08250 48.835
1614 29 71 0 0.0007755 0.0204 112.520 0.699 1.08250 48.835
1615 30 71 0 0.0004892 0.0155 107.740 0.626 0.93798 38.419
1616 31 71 0 0.0006356 0.0177 130.130 0.550 1.09220 49.798
1617 38 71 0 0.0005926 0.0184 74.580 0.639 0.85326 31.784
1618 41 71 0 0.0006818 0.0163 90.920 0.562 0.93246 39.277
1619 44 71 0 0.0008129 0.0217 84.250 0.612 0.96597 40.151
1620 45 71 0 0.0006881 0.0188 85.790 0.619 0.92755 37.759
1621 46 71 0 0.0005802 0.0193 68.090 0.659 0.82642 29.405
1622 50 71 0 0.0003076 0.0130 129.870 0.811 0.91507 35.870
1623 52 71 0 0.0005300 0.0184 105.960 0.548 0.96704 39.335
1624 53 71 0 0.0005725 0.0289 53.030 0.757 0.79316 24.232
1625 61 71 0 0.0013827 0.0276 69.530 0.388 1.01060 44.153
1626 62 71 0 0.0006778 0.0171 98.670 0.752 0.96997 41.652
1627 67 71 0 0.0006900 0.0243 91.256 0.610 0.98906 39.599
1628 68 71 0 0.0010321 0.0328 50.810 0.527 0.86339 30.594
1629 72 71 0 0.0005054 0.0255 95.600 0.798 0.96750 35.643
1630 82 71 0 0.0004366 0.0206 102.520 0.766 0.93925 35.168
1631 88 71 0 0.0005725 0.0289 53.030 0.757 0.79316 24.232
1632 89 71 0 0.0006356 0.0177 130.130 0.550 1.09220 49.798
1633 94 71 0 0.0013827 0.0276 69.530 0.388 1.01060 44.153
1634 95 71 0 0.0005725 0.0289 53.030 0.757 0.79316 24.232
1635 99 71 0 0.0006818 0.0163 90.920 0.562 0.93246 39.277
1636 7 72 0 0.0005802 0.0193 68.090 0.659 0.82642 29.405
1637 9 72 0 0.0004366 0.0206 102.520 0.766 0.93925 35.168
1638 10 72 0 0.0005287 0.0193 91.020 0.522 0.91236 35.059
1639 12 72 0 0.0005890 0.0188 84.330 0.553 0.89702 34.757
1640 16 72 0 0.0006486 0.0174 95.810 0.577 0.95226 39.944
1641 18 72 0 0.0006109 0.0211 67.850 0.564 0.84077 30.016
1642 23 72 0 0.0005926 0.0184 74.580 0.639 0.85326 31.784
1643 24 72 0 0.0005287 0.0193 91.020 0.522 0.91236 35.059
1644 27 72 0 0.0005700 0.0232 110.380 0.576 1.03600 41.909
1645 28 72 0 0.0006778 0.0171 98.670 0.752 0.96997 41.652
1646 29 72 0 0.0005054 0.0255 95.600 0.798 0.96750 35.643
1647 30 72 0 0.0006778 0.0171 98.670 0.752 0.96997 41.652
1648 36 72 0 0.0003884 0.0163 127.690 0.785 0.97663 39.336
1649 37 72 0 0.0007652 0.0360 74.270 0.451 0.98377 35.547
1650 42 72 0 0.0007652 0.0360 74.270 0.451 0.98377 35.547
1651 43 72 0 0.0007295 0.0235 86.660 0.537 0.97076 39.059
1652 50 72 0 0.0003884 0.0163 127.690 0.785 0.97663 39.336
1653 51 72 0 0.0004690 0.0154 151.410 0.566 1.08340 48.657
1654 52 72 0 0.0004029 0.0131 118.470 0.606 0.92354 37.805
1655 55 72 0 0.0006109 0.0211 67.850 0.564 0.84077 30.016
1656 56 72 0 0.0006900 0.0243 91.256 0.610 0.98906 39.599
1657 60 72 0 0.0006900 0.0243 91.256 0.610 0.98906 39.599
1658 67 72 0 0.0006356 0.0177 130.130 0.550 1.09220 49.798
1659 68 72 0 0.0005054 0.0255 95.600 0.798 0.96750 35.643
1660 69 72 0 0.0005287 0.0193 91.020 0.522 0.91236 35.059
1661 75 72 0 0.0007755 0.0204 112.520 0.699 1.08250 48.835
1662 80 72 0 0.0010321 0.0328 50.810 0.527 0.86339 30.594
1663 81 72 0 0.0005725 0.0289 53.030 0.757 0.79316 24.232
1664 84 72 0 0.0005802 0.0193 68.090 0.659 0.82642 29.405
1665 85 72 0 0.0007295 0.0235 86.660 0.537 0.97076 39.059
1666 89 72 0 0.0004578 0.0151 121.810 0.743 0.97374 40.885
1667 93 72 0 0.0006310 0.0240 95.150 0.476 0.99053 39.248
1668 5 73 0 0.0006818 0.0163 90.920 0.562 0.93246 39.277
1669 17 73 0 0.0008129 0.0217 84.250 0.612 0.96597 40.151
1670 20 73 0 0.0006109 0.0211 67.850 0.564 0.84077 30.016
1671 21 73 0 0.0003879 0.0150 170.570 0.563 1.10180 48.848
1672 32 73 0 0.0006279 0.0221 80.910 0.686 0.91103 34.678
1673 33 73 0 0.0005300 0.0184 105.960 0.548 0.96704 39.335
1674 35 73 0 0.0006400 0.0258 77.403 0.618 0.91821 33.834
1675 41 73 0 0.0003884 0.0163 127.690 0.785 0.97663 39.336
1676 47 73 0 0.0010321 0.0328 50.810 0.527 0.86339 30.594
1677 48 73 0 0.0004817 0.0150 122.800 0.784 0.98535 42.087
1678 55 73 0 0.0004029 0.0131 118.470 0.606 0.92354 37.805
1679 67 73 0 0.0006881 0.0188 85.790 0.619 0.92755 37.759
1680 71 73 0 0.0004690 0.0154 151.410 0.566 1.08340 48.657
1681 76 73 0 0.0003884 0.0163 127.690 0.785 0.97663 39.336
1682 77 73 0 0.0006881 0.0188 85.790 0.619 0.92755 37.759
1683 90 73 0 0.0006400 0.0258 77.403 0.618 0.91821 33.834
1684 96 73 0 0.0004366 0.0206 102.520 0.766 0.93925 35.168
1685 7 74 0 0.0006109 0.0211 67.850 0.564 0.84077 30.016
1686 15 74 0 0.0007295 0.0235 86.660 0.537 0.97076 39.059
1687 18 74 0 0.0004029 0.0131 118.470 0.606 0.92354 37.805
1688 19 74 0 0.0003884 0.0163 127.690 0.785 0.97663 39.336
1689 29 74 0 0.0008129 0.0217 84.250 0.612 0.96597 40.151
1690 30 74 0 0.0005725 0.0289 53.030 0.757 0.79316 24.232
1691 31 74 0 0.0004892 0.0155 107.740 0.626 0.93798 38.419
1692 38 74 0 0.0016023 0.0260 72.000 0.662 1.04790 48.432
1693 42 74 0 0.0006310 0.0240 95.150 0.476 0.99053 39.248
1694 44 74 0 0.0005926 0.0184 74.580 0.639 0.85326 31.784
1695 46 74 0 0.0005926 0.0184 74.580 0.639 0.85326 31.784
1696 54 74 0 0.0005890 0.0188 84.330 0.553 0.89702 34.757
1697 55 74 0 0.0005287 0.0193 91.020 0.522 0.91236 35.059
1698 59 74 0 0.0004817 0.0150 122.800 0.784 0.98535 42.087
1699 68 74 0 0.0006778 0.0171 98.670 0.752 0.96997 41.652
1700 69 74 0 0.0005287 0.0193 91.020 0.522 0.91236 35.059
1701 87 74 0 0.0005890 0.0188 84.330 0.553 0.89702 34.757
1702 89 74 0 0.0006900 0.0243 91.256 0.610 0.98906 39.599
1703 92 74 0 0.0005802 0.0193 68.090 0.659 0.82642 29.405
1704 97 74 0 0.0006400 0.0258 77.403 0.618 0.91821 33.834
1705 6 75 0 0.0005725 0.0289 53.030 0.757 0.79316 24.232
1706 10 75 0 0.0007295 0.0235 86.660 0.537 0.97076 39.059
1707 15 75 0 0.0005725 0.0289 53.030 0.757 0.79316 24.232
1708 17 75 0 0.0006881 0.0188 85.790 0.619 0.92755 37.759
1709 27 75 0 0.0005300 0.0184 105.960 0.548 0.96704 39.335
1710 36 75 0 0.0006818 0.0163 90.920 0.562 0.93246 39.277
1711 40 75 0 0.0006486 0.0174 95.810 0.577 0.95226 39.944
1712 53 75 0 0.0007652 0.0360 74.270 0.451 0.98377 35.547
1713 54 75 0 0.0003884 0.0163 127.690 0.785 0.97663 39.336
1714 55 75 0 0.0005725 0.0289 53.030 0.757 0.79316 24.232
1715 57 75 0 0.0005890 0.0188 84.330 0.553 0.89702 34.757
1716 70 75 0 0.0007755 0.0204 112.520 0.699 1.08250 48.835
1717 71 75 0 0.0005700 0.0232 110.380 0.576 1.03600 41.909
1718 72 75 0 0.0004985 0.0189 130.090 0.685 1.05440 44.631
1719 79 75 0 0.0005868 0.0276 85.980 0.695 0.95863 35.206
1720 85 75 0 0.0006818 0.0163 90.920 0.562 0.93246 39.277
1721 86 75 0 0.0005054 0.0255 95.600 0.798 0.96750 35.643
1722 98 75 0 0.0013827 0.0276 69.530 0.388 1.01060 44.153
1723 99 75 0 0.0005802 0.0193 68.090 0.659 0.82642 29.405
1724 2 76 0 0.0006486 0.0174 95.810 0.577 0.95226 39.944
1725 3 76 0 0.0006279 0.0221 80.910 0.686 0.91103 34.678
1726 13 76 0 0.0008129 0.0217 84.250 0.612 0.96597 40.151
1727 14 76 0 0.0005700 0.0232 110.380 0.576 1.03600 41.909
1728 19 76 0 0.0004892 0.0155 107.740 0.626 0.93798 38.419
1729 20 76 0 0.0006276 0.0152 134.800 0.677 1.08360 50.842
1730 25 76 0 0.0005300 0.0184 105.960 0.548 0.96704 39.335
1731 26 76 0 0.0018221 0.0232 61.400 0.692 0.96393 43.024
1732 31 76 0 0.0004578 0.0151 121.810 0.743 0.97374 40.885
1733 40 76 0 0.0005868 0.0276 85.980 0.695 0.95863 35.206
1734 48 76 0 0.0006486 0.0174 95.810 0.577 0.95226 39.944
1735 49 76 0 0.0007295 0.0235 86.660 0.537 0.97076 39.059
1736 70 76 0 0.0005916 0.0253 134.370 0.443 1.16820 49.390
1737 71 76 0 0.0004029 0.0131 118.470 0.606 0.92354 37.805
1738 72 76 0 0.0005868 0.0276 85.980 0.695 0.95863 35.206
1739 77 76 0 0.0007652 0.0360 74.270 0.451 0.98377 35.547
1740 78 76 0 0.0004892 0.0155 107.740 0.626 0.93798 38.419
1741 84 76 0 0.0008129 0.0217 84.250 0.612 0.96597 40.151
1742 91 76 0 0.0004029 0.0131 118.470 0.606 0.92354 37.805
1743 92 76 0 0.0005725 0.0289 53.030 0.757 0.79316 24.232
1744 94 76 0 0.0005725 0.0289 53.030 0.757 0.79316 24.232
1745 96 76 0 0.0004029 0.0131 118.470 0.606 0.92354 37.805
1746 98 76 0 0.0006109 0.0211 67.850 0.564 0.84077 30.016
1747 99 76 0 0.0005868 0.0276 85.980 0.695 0.95863 35.206
1748 1 77 0 0.0004817 0.0150 122.800 0.784 0.98535 42.087
1749 7 77 0 0.0006778 0.0171 98.670 0.752 0.96997 41.652
1750 19 77 0 0.0007295 0.0235 86.660 0.537 0.97076 39.059
1751 24 77 0 0.0016023 0.0260 72.000 0.662 1.04790 48.432
1752 29 77 0 0.0008129 0.0217 84.250 0.612 0.96597 40.151
1753 30 77 0 0.0006778 0.0171 98.670 0.752 0.96997 41.652
1754 40 77 0 0.0005300 0.0184 105.960 0.548 0.96704 39.335
1755 43 77 0 0.0011500 0.0207 104.600 0.657 1.13360 55.203
1756 57 77 0 0.0004892 0.0155 107.740 0.626 0.93798 38.419
1757 65 77 0 0.0005868 0.0276 85.980 0.695 0.95863 35.206
1758 67 77 0 0.0006881 0.0188 85.790 0.619 0.92755 37.759
1759 69 77 0 0.0006881 0.0188 85.790 0.619 0.92755 37.759
1760 76 77 0 0.0010321 0.0328 50.810 0.527 0.86339 30.594
1761 89 77 0 0.0006276 0.0152 134.800 0.677 1.08360 50.842
1762 92 77 0 0.0010321 0.0328 50.810 0.527 0.86339 30.594
1763 96 77 0 0.0005916 0.0253 134.370 0.443 1.16820 49.390
1764 97 77 0 0.0006276 0.0152 134.800 0.677 1.08360 50.842
1765 4 78 0 0.0005700 0.0232 110.380 0.576 1.03600 41.909
1766 7 78 0 0.0005890 0.0188 84.330 0.553 0.89702 34.757
1767 8 78 0 0.0005725 0.0289 53.030 0.757 0.79316 24.232
1768 15 78 0 0.0006486 0.0174 95.810 0.577 0.95226 39.944
1769 29 78 0 0.0003884 0.0163 127.690 0.785 0.97663 39.336
1770 30 78 0 0.0005868 0.0276 85.980 0.695 0.95863 35.206
1771 35 78 0 0.0005300 0.0184 105.960 0.548 0.96704 39.335
1772 36 78 0 0.0005802 0.0193 68.090 0.659 0.82642 29.405
1773 50 78 0 0.0006900 0.0243 91.256 0.610 0.98906 39.599
1774 55 78 0 0.0005926 0.0184 74.580 0.639 0.85326 31.784
1775 56 78 0 0.0006881 0.0188 85.790 0.619 0.92755 37.759
1776 59 78 0 0.0007652 0.0360 74.270 0.451 0.98377 35.547
1777 63 78 0 0.0005916 0.0253 134.370 0.443 1.16820 49.390
1778 64 78 0 0.0006109 0.0211 67.850 0.564 0.84077 30.016
1779 79 78 0 0.0004366 0.0206 102.520 0.766 0.93925 35.168
1780 81 78 0 0.0004029 0.0131 118.470 0.606 0.92354 37.805
1781 82 78 0 0.0004029 0.0131 118.470 0.606 0.92354 37.805
1782 83 78 0 0.0006400 0.0258 77.403 0.618 0.91821 33.834
1783 90 78 0 0.0006356 0.0177 130.130 0.550 1.09220 49.798
1784 95 78 0 0.0006356 0.0177 130.130 0.550 1.09220 49.798
1785 0 79 0 0.0005054 0.0255 95.600 0.798 0.96750 35.643
1786 5 79 0 0.0005890 0.0188 84.330 0.553 0.89702 34.757
1787 7 79 0 0.0006818 0.0163 90.920 0.562 0.93246 39.277
1788 8 79 0 0.0007652 0.0360 74.270 0.451 0.98377 35.547
1789 9 79 0 0.0005868 0.0276 85.980 0.695 0.95863 35.206
1790 21 79 0 0.0005926 0.0184 74.580 0.639 0.85326 31.784
1791 23 79 0 0.0004925 0.0150 194.290 0.750 1.23330 59.968
1792 28 79 0 0.0006900 0.0243 91.256 0.610 0.98906 39.599
1793 29 79 0 0.0006900 0.0243 91.256 0.610 0.98906 39.599
1794 34 79 0 0.0006900 0.0243 91.256 0.610 0.98906 39.599
1795 46 79 0 0.0006778 0.0171 98.670 0.752 0.96997 41.652
1796 58 79 0 0.0006778 0.0171 98.670 0.752 0.96997 41.652
1797 62 79 0 0.0006486 0.0174 95.810 0.577 0.95226 39.944
1798 72 79 0 0.0005054 0.0255 95.600 0.798 0.96750 35.643
1799 80 79 0 0.0008129 0.0217 84.250 0.612 0.96597 40.151
1800 81 79 0 0.0005868 0.0276 85.980 0.695 0.95863 35.206
1801 88 79 0 0.0007652 0.0360 74.270 0.451 0.98377 35.547
1802 89 79 0 0.0018221 0.0232 61.400 0.692 0.96393 43.024
1803 93 79 0 0.0006881 0.0188 85.790 0.619 0.92755 37.759
1804 98 79 0 0.0011600 0.0232 123.980 0.628 1.25900 62.953
1805 99 79 0 0.0007652 0.0360 74.270 0.451 0.98377 35.547
1806 0 80 0 0.0004366 0.0206 102.520 0.766 0.93925 35.168
1807 3 80 0 0.0008959 0.0278 80.340 0.696 0.99858 40.478
1808 6 80 0 0.0004892 0.0155 107.740 0.626 0.93798 38.419
1809 7 80 0 0.0006400 0.0258 77.403 0.618 0.91821 33.834
1810 8 80 0 0.0005916 0.0253 134.370 0.443 1.16820 49.390
1811 21 80 0 0.0006486 0.0174 95.810 0.577 0.95226 39.944
1812 22 80 0 0.0006310 0.0240 95.150 0.476 0.99053 39.248
1813 27 80 0 0.0004892 0.0155 107.740 0.626 0.93798 38.419
1814 37 80 0 0.0006279 0.0221 80.910 0.686 0.91103 34.678
1815 39 80 0 0.0005802 0.0193 68.090 0.659 0.82642 29.405
1816 44 80 0 0.0008129 0.0217 84.250 0.612 0.96597 40.151
1817 45 80 0 0.0005890 0.0188 84.330 0.553 0.89702 34.757
1818 53 80 0 0.0013827 0.0276 69.530 0.388 1.01060 44.153
1819 71 80 0 0.0004892 0.0155 107.740 0.626 0.93798 38.419
1820 79 80 0 0.0005868 0.0276 85.980 0.695 0.95863 35.206
1821 80 80 0 0.0010321 0.0328 50.810 0.527 0.86339 30.594
1822 87 80 0 0.0003076 0.0130 129.870 0.811 0.91507 35.870
1823 94 80 0 0.0005926 0.0184 74.580 0.639 0.85326 31.784
1824 96 80 0 0.0004817 0.0150 122.800 0.784 0.98535 42.087
1825 99 80 0 0.0004817 0.0150 122.800 0.784 0.98535 42.087
1826 6 81 0 0.0006279 0.0221 80.910 0.686 0.91103 34.678
1827 8 81 0 0.0005054 0.0255 95.600 0.798 0.96750 35.643
1828 10 81 0 0.0004985 0.0189 130.090 0.685 1.05440 44.631
1829 15 81 0 0.0006881 0.0188 85.790 0.619 0.92755 37.759
1830 16 81 0 0.0006486 0.0174 95.810 0.577 0.95226 39.944
1831 27 81 0 0.0003076 0.0130 129.870 0.811 0.91507 35.870
1832 31 81 0 0.0004925 0.0150 194.290 0.750 1.23330 59.968
1833 32 81 0 0.0006310 0.0240 95.150 0.476 0.99053 39.248
1834 33 81 0 0.0005725 0.0289 53.030 0.757 0.79316 24.232
1835 38 81 0 0.0004029 0.0131 118.470 0.606 0.92354 37.805
1836 43 81 0 0.0005802 0.0193 68.090 0.659 0.82642 29.405
1837 51 81 0 0.0005890 0.0188 84.330 0.553 0.89702 34.757
1838 52 81 0 0.0006356 0.0177 130.130 0.550 1.09220 49.798
1839 56 81 0 0.0006310 0.0240 95.150 0.476 0.99053 39.248
1840 58 81 0 0.0006310 0.0240 95.150 0.476 0.99053 39.248
1841 66 81 0 0.0005725 0.0289 53.030 0.757 0.79316 24.232
1842 76 81 0 0.0004985 0.0189 130.090 0.685 1.05440 44.631
1843 77 81 0 0.0010321 0.0328 50.810 0.527 0.86339 30.594
1844 78 81 0 0.0005890 0.0188 84.330 0.553 0.89702 34.757
1845 79 81 0 0.0007652 0.0360 74.270 0.451 0.98377 35.547
1846 82 81 0 0.0004985 0.0189 130.090 0.685 1.05440 44.631
1847 83 81 0 0.0006486 0.0174 95.810 0.577 0.95226 39.944
1848 90 81 0 0.0006486 0.0174 95.810 0.577 0.95226 39.944
1849 92 81 0 0.0004690 0.0154 151.410 0.566 1.08340 48.657
1850 94 81 0 0.0005287 0.0193 91.020 0.522 0.91236 35.059
1851 0 82 0 0.0007652 0.0360 74.270 0.451 0.98377 35.547
1852 2 82 0 0.0005725 0.0289 53.030 0.757 0.79316 24.232
1853 8 82 0 0.0018221 0.0232 61.400 0.692 0.96393 43.024
1854 9 82 0 0.0006881 0.0188 85.790 0.619 0.92755 37.759
1855 14 82 0 0.0005300 0.0184 105.960 0.548 0.96704 39.335
1856 22 82 0 0.0006356 0.0177 130.130 0.550 1.09220 49.798
1857 23 82 0 0.0005600 0.0204 110.670 0.698 1.01160 41.659
1858 25 82 0 0.0013827 0.0276 69.530 0.388 1.01060 44.153
1859 26 82 0 0.0010321 0.0328 50.810 0.527 0.86339 30.594
1860 27 82 0 0.0008129 0.0217 84.250 0.612 0.96597 40.151
1861 37 82 0 0.0006486 0.0174 95.810 0.577 0.95226 39.944
1862 38 82 0 0.0006400 0.0258 77.403 0.618 0.91821 33.834
1863 39 82 0 0.0003879 0.0150 170.570 0.563 1.10180 48.848
1864 40 82 0 0.0005890 0.0188 84.330 0.553 0.89702 34.757
1865 46 82 0 0.0004366 0.0206 102.520 0.766 0.93925 35.168
1866 50 82 0 0.0004892 0.0155 107.740 0.626 0.93798 38.419
1867 55 82 0 0.0007295 0.0235 86.660 0.537 0.97076 39.059
1868 74 82 0 0.0004366 0.0206 102.520 0.766 0.93925 35.168
1869 78 82 0 0.0010321 0.0328 50.810 0.527 0.86339 30.594
1870 91 82 0 0.0005600 0.0204 110.670 0.698 1.01160 41.659
1871 92 82 0 0.0006486 0.0174 95.810 0.577 0.95226 39.944
1872 93 82 0 0.0004690 0.0154 151.410 0.566 1.08340 48.657
1873 98 82 0 0.0003925 0.0141 138.360 0.755 0.99220 41.975
1874 1 83 0 0.0006279 0.0221 80.910 0.686 0.91103 34.678
1875 2 83 0 0.0007652 0.0360 74.270 0.451 0.98377 35.547
1876 7 83 0 0.0006486 0.0174 95.810 0.577 0.95226 39.944
1877 17 83 0 0.0005725 0.0289 53.030 0.757 0.79316 24.232
1878 20 83 0 0.0007295 0.0235 86.660 0.537 0.97076 39.059
1879 21 83 0 0.0003076 0.0130 129.870 0.811 0.91507 35.870
1880 24 83 0 0.0006486 0.0174 95.810 0.577 0.95226 39.944
1881 25 83 0 0.0005890 0.0188 84.330 0.553 0.89702 34.757
1882 27 83 0 0.0011600 0.0232 123.980 0.628 1.25900 62.953
1883 28 83 0 0.0006881 0.0188 85.790 0.619 0.92755 37.759
1884 32 83 0 0.0008959 0.0278 80.340 0.696 0.99858 40.478
1885 34 83 0 0.0005926 0.0184 74.580 0.639 0.85326 31.784
1886 36 83 0 0.0005890 0.0188 84.330 0.553 0.89702 34.757
Jmax leaflifespan lambda_young lambda_mature lambda_old dbhmature dbhmax
1 56.103 9.7812 1 0.30671 0.181130 0.145 0.29
2 56.289 14.0570 1 0.21342 0.119460 0.185 0.37
3 48.136 6.3697 1 0.47098 0.308030 0.140 0.28
4 75.289 12.5830 1 0.23841 0.135340 0.335 0.67
5 51.689 7.2817 1 0.41199 0.259440 0.140 0.28
6 57.057 6.5719 1 0.45649 0.295750 0.200 0.40
7 69.929 8.9098 1 0.33671 0.202440 0.160 0.32
8 61.009 16.0380 1 0.18705 0.103180 0.170 0.34
9 56.481 12.9840 1 0.23106 0.130620 0.160 0.32
10 87.094 9.0938 1 0.32990 0.197530 0.270 0.54
11 69.929 14.5920 1 0.20559 0.114570 0.160 0.32
12 57.679 5.8722 1 0.51088 0.343080 0.140 0.28
13 63.772 12.4660 1 0.24066 0.136790 0.205 0.41
14 66.233 9.7154 1 0.30879 0.182580 0.225 0.45
15 61.868 8.9565 1 0.33495 0.201170 0.280 0.56
16 98.139 9.1801 1 0.32680 0.195310 0.405 0.81
17 60.716 5.7713 1 0.51981 0.351180 0.260 0.52
18 65.215 7.7454 1 0.38733 0.240180 0.340 0.68
19 50.826 5.9042 1 0.50812 0.340590 0.070 0.14
20 40.373 9.4949 1 0.31596 0.187620 0.275 0.55
21 56.693 6.1740 1 0.48591 0.320920 0.305 0.61
22 64.536 7.7149 1 0.38886 0.241350 0.575 1.15
23 50.826 5.0029 1 0.59966 0.428220 0.070 0.14
24 61.868 14.2350 1 0.21075 0.117790 0.280 0.56
25 54.837 9.0062 1 0.33310 0.199830 0.130 0.26
26 71.548 5.5213 1 0.54335 0.373010 0.175 0.35
27 51.689 10.4140 1 0.28808 0.168280 0.140 0.28
28 62.907 10.6950 1 0.28051 0.163140 0.160 0.32
29 40.373 7.1915 1 0.41716 0.263550 0.275 0.55
30 65.215 9.3837 1 0.31970 0.190270 0.340 0.68
31 77.079 14.2910 1 0.20992 0.117270 0.235 0.47
32 66.336 11.5520 1 0.25969 0.149220 0.330 0.66
33 62.907 14.1090 1 0.21264 0.118970 0.160 0.32
34 64.536 10.2720 1 0.29207 0.171010 0.575 1.15
35 54.837 5.7589 1 0.52094 0.352210 0.130 0.26
36 62.485 11.8770 1 0.25258 0.144550 0.250 0.50
37 64.536 9.3624 1 0.32043 0.190780 0.575 1.15
38 61.009 8.2285 1 0.36459 0.222930 0.170 0.34
39 64.411 11.6680 1 0.25712 0.147530 0.175 0.35
40 62.907 6.5880 1 0.45538 0.294810 0.160 0.32
41 71.548 5.4236 1 0.55314 0.382300 0.175 0.35
42 59.750 9.6262 1 0.31165 0.184590 0.150 0.30
43 60.716 9.0608 1 0.33110 0.198390 0.260 0.52
44 56.693 10.0720 1 0.29785 0.174990 0.305 0.61
45 65.939 10.8270 1 0.27708 0.160820 0.180 0.36
46 56.693 7.8035 1 0.38444 0.237960 0.305 0.61
47 60.716 10.9050 1 0.27510 0.159490 0.260 0.52
48 60.716 8.0433 1 0.37298 0.229240 0.260 0.52
49 57.057 7.8161 1 0.38382 0.237490 0.200 0.40
50 62.485 11.1600 1 0.26882 0.155280 0.250 0.50
51 59.750 10.0220 1 0.29935 0.176020 0.150 0.30
52 62.709 8.0473 1 0.37280 0.229100 0.310 0.62
53 61.868 21.1860 1 0.14160 0.076195 0.280 0.56
54 71.548 5.4040 1 0.55514 0.384220 0.175 0.35
55 71.548 8.0214 1 0.37400 0.230010 0.175 0.35
56 63.398 7.3068 1 0.41058 0.258320 0.510 1.02
57 65.939 16.9300 1 0.17720 0.097211 0.180 0.36
58 71.548 8.4018 1 0.35706 0.217330 0.175 0.35
59 78.176 6.2421 1 0.48061 0.316310 0.405 0.81
60 50.826 6.9592 1 0.43108 0.274760 0.070 0.14
61 75.289 16.2330 1 0.18481 0.101810 0.335 0.67
62 56.042 9.5174 1 0.31521 0.187090 0.435 0.87
63 48.136 7.8495 1 0.38219 0.236240 0.140 0.28
64 62.907 9.4221 1 0.31840 0.189340 0.160 0.32
65 56.693 10.9000 1 0.27523 0.159570 0.305 0.61
66 50.826 5.8291 1 0.51466 0.346490 0.070 0.14
67 48.136 6.8847 1 0.43575 0.278570 0.140 0.28
68 71.548 5.1439 1 0.58321 0.411640 0.175 0.35
69 65.939 14.3620 1 0.20889 0.116620 0.180 0.36
70 61.868 14.2540 1 0.21047 0.117610 0.280 0.56
71 63.772 13.0470 1 0.22994 0.129910 0.205 0.41
72 77.079 12.9060 1 0.23245 0.131510 0.235 0.47
73 63.398 8.1817 1 0.36667 0.224490 0.510 1.02
74 40.373 9.6311 1 0.31149 0.184480 0.275 0.55
75 56.042 7.5082 1 0.39956 0.249660 0.435 0.87
76 49.123 9.8444 1 0.30474 0.179760 0.075 0.15
77 98.139 5.7581 1 0.52101 0.352270 0.405 0.81
78 87.094 4.3219 1 0.69415 0.531560 0.270 0.54
79 62.726 6.4826 1 0.46277 0.301040 0.115 0.23
80 61.868 8.5663 1 0.35021 0.212270 0.280 0.56
81 65.939 9.3536 1 0.32073 0.191000 0.180 0.36
82 62.726 7.3604 1 0.40759 0.255960 0.115 0.23
83 56.693 14.0420 1 0.21364 0.119600 0.305 0.61
84 61.868 8.8822 1 0.33776 0.203190 0.280 0.56
85 56.042 9.1720 1 0.32708 0.195520 0.435 0.87
86 48.136 5.3840 1 0.55720 0.386200 0.140 0.28
87 62.709 11.3930 1 0.26332 0.151620 0.310 0.62
88 40.373 9.1355 1 0.32839 0.196450 0.275 0.55
89 56.289 15.2690 1 0.19647 0.108940 0.185 0.37
90 56.042 7.2290 1 0.41499 0.261820 0.435 0.87
91 71.548 6.7881 1 0.44195 0.283660 0.175 0.35
92 66.233 12.5210 1 0.23960 0.136100 0.225 0.45
93 62.726 9.5956 1 0.31264 0.185290 0.115 0.23
94 56.042 6.8291 1 0.43929 0.281470 0.435 0.87
95 54.837 7.4255 1 0.40401 0.253140 0.130 0.26
96 65.939 9.0513 1 0.33144 0.198640 0.180 0.36
97 51.689 8.8574 1 0.33870 0.203880 0.140 0.28
98 64.536 5.3137 1 0.56458 0.393320 0.575 1.15
99 69.718 6.7167 1 0.44665 0.287540 0.100 0.20
100 40.373 7.9536 1 0.37719 0.232430 0.275 0.55
101 62.726 12.6890 1 0.23642 0.134060 0.115 0.23
102 77.079 10.9740 1 0.27337 0.158330 0.235 0.47
103 63.772 8.6403 1 0.34721 0.210080 0.205 0.41
104 66.333 14.5450 1 0.20625 0.114980 0.195 0.39
105 51.689 9.8817 1 0.30359 0.178960 0.140 0.28
106 40.373 7.3732 1 0.40688 0.255400 0.275 0.55
107 77.835 14.2900 1 0.20993 0.117280 0.245 0.49
108 57.057 13.7400 1 0.21833 0.122540 0.200 0.40
109 75.289 8.0069 1 0.37468 0.230520 0.335 0.67
110 51.689 11.9410 1 0.25124 0.143670 0.140 0.28
111 87.094 7.8895 1 0.38025 0.234760 0.270 0.54
112 61.868 10.8020 1 0.27774 0.161260 0.280 0.56
113 50.826 6.6893 1 0.44848 0.289050 0.070 0.14
114 66.336 15.3250 1 0.19576 0.108500 0.330 0.66
115 62.709 7.6058 1 0.39443 0.245670 0.310 0.62
116 57.679 6.3687 1 0.47105 0.308090 0.140 0.28
117 62.485 8.4545 1 0.35484 0.215690 0.250 0.50
118 71.548 3.9370 1 0.76201 0.615520 0.175 0.35
119 54.837 8.1259 1 0.36919 0.226390 0.130 0.26
120 62.907 8.8928 1 0.33735 0.202900 0.160 0.32
121 66.333 10.6920 1 0.28059 0.163190 0.195 0.39
122 66.336 13.4500 1 0.22306 0.125530 0.330 0.66
123 56.693 11.1180 1 0.26983 0.155960 0.305 0.61
124 54.837 7.9653 1 0.37663 0.232010 0.130 0.26
125 71.548 5.5087 1 0.54460 0.374190 0.175 0.35
126 56.043 9.7327 1 0.30824 0.182200 0.140 0.28
127 60.716 11.6750 1 0.25695 0.147410 0.260 0.52
128 59.750 10.7160 1 0.27996 0.162760 0.150 0.30
129 57.679 7.8372 1 0.38279 0.236700 0.140 0.28
130 57.057 9.9105 1 0.30271 0.178350 0.200 0.40
131 56.042 7.8529 1 0.38203 0.236110 0.435 0.87
132 76.958 13.0470 1 0.22994 0.129900 0.250 0.50
133 77.835 15.4610 1 0.19403 0.107440 0.245 0.49
134 51.689 9.1204 1 0.32893 0.196840 0.140 0.28
135 71.548 6.3926 1 0.46929 0.306590 0.175 0.35
136 56.481 11.9210 1 0.25166 0.143940 0.160 0.32
137 40.373 4.3661 1 0.68711 0.523360 0.275 0.55
138 69.929 9.1924 1 0.32636 0.195000 0.160 0.32
139 75.289 9.1029 1 0.32956 0.197290 0.335 0.67
140 69.718 4.6719 1 0.64213 0.472900 0.100 0.20
141 60.716 6.7181 1 0.44656 0.287460 0.260 0.52
142 56.042 8.0545 1 0.37246 0.228850 0.435 0.87
143 61.009 10.6680 1 0.28122 0.163620 0.170 0.34
144 49.123 9.1796 1 0.32681 0.195320 0.075 0.15
145 62.485 10.0160 1 0.29952 0.176140 0.250 0.50
146 75.478 7.6209 1 0.39365 0.245060 0.335 0.67
147 62.485 7.2325 1 0.41479 0.261660 0.250 0.50
148 57.679 11.1590 1 0.26883 0.155290 0.140 0.28
149 65.641 20.4880 1 0.14643 0.078998 0.210 0.42
150 87.094 9.6972 1 0.30937 0.182990 0.270 0.54
151 66.233 9.8631 1 0.30416 0.179360 0.225 0.45
152 77.835 7.5527 1 0.39721 0.247820 0.245 0.49
153 61.868 12.2740 1 0.24443 0.139230 0.280 0.56
154 66.333 7.7638 1 0.38641 0.239470 0.195 0.39
155 49.123 8.4381 1 0.35553 0.216200 0.075 0.15
156 49.123 7.9045 1 0.37953 0.234210 0.075 0.15
157 40.373 7.7337 1 0.38791 0.240630 0.275 0.55
158 61.009 9.2978 1 0.32266 0.192360 0.170 0.34
159 51.689 6.9399 1 0.43229 0.275740 0.140 0.28
160 62.709 9.6913 1 0.30956 0.183120 0.310 0.62
161 40.373 7.3434 1 0.40853 0.256700 0.275 0.55
162 69.718 5.2263 1 0.57402 0.402540 0.100 0.20
163 61.868 13.7490 1 0.21820 0.122460 0.280 0.56
164 64.536 6.5590 1 0.45739 0.296500 0.575 1.15
165 56.103 8.6312 1 0.34757 0.210340 0.145 0.29
166 60.716 8.7041 1 0.34466 0.208210 0.260 0.52
167 76.958 7.8373 1 0.38279 0.236690 0.250 0.50
168 64.536 6.0305 1 0.49747 0.331090 0.575 1.15
169 62.726 6.3039 1 0.47590 0.312250 0.115 0.23
170 61.009 10.8890 1 0.27551 0.159760 0.170 0.34
171 62.726 5.2277 1 0.57387 0.402390 0.115 0.23
172 40.373 7.3921 1 0.40584 0.254580 0.275 0.55
173 49.123 5.9557 1 0.50372 0.336650 0.075 0.15
174 77.835 10.3650 1 0.28943 0.169200 0.245 0.49
175 62.907 6.9565 1 0.43125 0.274900 0.160 0.32
176 48.136 4.1828 1 0.71722 0.559120 0.140 0.28
177 62.709 7.8732 1 0.38104 0.235360 0.310 0.62
178 56.042 10.5220 1 0.28512 0.166260 0.435 0.87
179 98.139 10.5380 1 0.28468 0.165970 0.405 0.81
180 56.481 15.5340 1 0.19312 0.106880 0.160 0.32
181 64.411 16.7980 1 0.17860 0.098054 0.175 0.35
182 78.176 13.6600 1 0.21963 0.123360 0.405 0.81
183 56.103 13.1360 1 0.22838 0.128910 0.145 0.29
184 69.929 9.7914 1 0.30639 0.180910 0.160 0.32
185 62.726 7.4045 1 0.40516 0.254040 0.115 0.23
186 66.333 10.5770 1 0.28363 0.165250 0.195 0.39
187 40.373 8.0772 1 0.37142 0.228060 0.275 0.55
188 61.009 12.2020 1 0.24587 0.140160 0.170 0.34
189 65.215 5.9020 1 0.50830 0.340750 0.340 0.68
190 48.136 7.9835 1 0.37578 0.231360 0.140 0.28
191 57.057 7.8381 1 0.38275 0.236660 0.200 0.40
192 75.478 13.8980 1 0.21585 0.120980 0.335 0.67
193 56.103 6.2041 1 0.48355 0.318870 0.145 0.29
194 57.679 5.9810 1 0.50159 0.334750 0.140 0.28
195 98.139 6.6190 1 0.45324 0.293030 0.405 0.81
196 54.837 6.5375 1 0.45889 0.297770 0.130 0.26
197 57.057 10.7800 1 0.27828 0.161630 0.200 0.40
198 66.233 8.2428 1 0.36396 0.222460 0.225 0.45
199 56.103 8.9334 1 0.33582 0.201790 0.145 0.29
200 65.641 19.3150 1 0.15532 0.084197 0.210 0.42
201 66.233 13.1400 1 0.22831 0.128860 0.225 0.45
202 77.079 14.5150 1 0.20668 0.115250 0.235 0.47
203 77.079 8.1545 1 0.36789 0.225410 0.235 0.47
204 49.123 9.8206 1 0.30548 0.180280 0.075 0.15
205 56.289 8.8104 1 0.34051 0.205190 0.185 0.37
206 79.281 9.2934 1 0.32281 0.192470 0.335 0.67
207 51.689 12.1450 1 0.24702 0.140910 0.140 0.28
208 65.641 9.6569 1 0.31066 0.183890 0.210 0.42
209 62.726 5.6999 1 0.52633 0.357150 0.115 0.23
210 64.536 6.6196 1 0.45320 0.292990 0.575 1.15
211 77.079 11.5260 1 0.26028 0.149610 0.235 0.47
212 62.485 7.1890 1 0.41731 0.263670 0.250 0.50
213 50.826 7.9551 1 0.37712 0.232380 0.070 0.14
214 66.333 13.4100 1 0.22372 0.125950 0.195 0.39
215 51.689 8.9988 1 0.33338 0.200030 0.140 0.28
216 59.750 14.7850 1 0.20290 0.112910 0.150 0.30
217 57.679 7.5587 1 0.39689 0.247580 0.140 0.28
218 61.868 16.8770 1 0.17776 0.097547 0.280 0.56
219 48.136 7.2908 1 0.41148 0.259030 0.140 0.28
220 77.835 13.9110 1 0.21565 0.120860 0.245 0.49
221 76.958 5.1069 1 0.58744 0.415870 0.250 0.50
222 54.837 7.7999 1 0.38462 0.238100 0.130 0.26
223 48.136 12.6740 1 0.23670 0.134240 0.140 0.28
224 69.718 6.3137 1 0.47516 0.311610 0.100 0.20
225 51.689 7.7219 1 0.38851 0.241090 0.140 0.28
226 61.868 10.7730 1 0.27847 0.161760 0.280 0.56
227 69.929 11.9240 1 0.25159 0.143890 0.160 0.32
228 62.485 11.0290 1 0.27201 0.157410 0.250 0.50
229 69.718 5.5178 1 0.54370 0.373340 0.100 0.20
230 62.907 14.4800 1 0.20718 0.115560 0.160 0.32
231 63.398 5.4275 1 0.55274 0.381920 0.510 1.02
232 56.043 10.2470 1 0.29277 0.171490 0.140 0.28
233 56.043 5.7076 1 0.52562 0.356500 0.140 0.28
234 65.939 9.7894 1 0.30645 0.180950 0.180 0.36
235 62.907 10.3710 1 0.28928 0.169100 0.160 0.32
236 66.333 9.0870 1 0.33014 0.197710 0.195 0.39
237 56.042 6.7935 1 0.44160 0.283370 0.435 0.87
238 56.481 19.8330 1 0.15126 0.081817 0.160 0.32
239 56.481 15.5170 1 0.19333 0.107010 0.160 0.32
240 61.868 14.0510 1 0.21351 0.119510 0.280 0.56
241 65.641 8.9348 1 0.33576 0.201750 0.210 0.42
242 59.750 19.6660 1 0.15255 0.082573 0.150 0.30
243 61.009 12.1900 1 0.24610 0.140320 0.170 0.34
244 65.641 11.6160 1 0.25827 0.148290 0.210 0.42
245 56.693 6.1195 1 0.49024 0.324710 0.305 0.61
246 56.289 7.2848 1 0.41182 0.259300 0.185 0.37
247 91.370 11.7410 1 0.25552 0.146470 0.440 0.88
248 56.043 8.4092 1 0.35675 0.217100 0.140 0.28
249 48.136 6.9329 1 0.43272 0.276090 0.140 0.28
250 56.042 9.5136 1 0.31534 0.187180 0.435 0.87
251 66.333 5.9611 1 0.50327 0.336240 0.195 0.39
252 61.868 18.1810 1 0.16501 0.089924 0.280 0.56
253 40.373 9.4243 1 0.31833 0.189290 0.275 0.55
254 63.398 8.4273 1 0.35599 0.216540 0.510 1.02
255 62.485 13.0050 1 0.23069 0.130380 0.250 0.50
256 64.536 6.7470 1 0.44464 0.285880 0.575 1.15
257 63.398 13.0570 1 0.22976 0.129790 0.510 1.02
258 62.709 11.7810 1 0.25466 0.145910 0.310 0.62
259 49.123 5.9980 1 0.50016 0.333480 0.075 0.15
260 40.373 6.4753 1 0.46330 0.301490 0.275 0.55
261 65.939 11.4670 1 0.26162 0.150500 0.180 0.36
262 76.958 12.5680 1 0.23871 0.135530 0.250 0.50
263 50.826 5.6420 1 0.53173 0.362150 0.070 0.14
264 57.679 8.8780 1 0.33791 0.203310 0.140 0.28
265 71.548 8.1568 1 0.36779 0.225330 0.175 0.35
266 57.057 10.8370 1 0.27682 0.160650 0.200 0.40
267 63.398 9.1039 1 0.32953 0.197270 0.510 1.02
268 61.009 9.9961 1 0.30012 0.176550 0.170 0.34
269 62.726 9.6556 1 0.31070 0.183920 0.115 0.23
270 62.709 7.4968 1 0.40017 0.250130 0.310 0.62
271 56.289 11.1870 1 0.26816 0.154840 0.185 0.37
272 48.136 12.0490 1 0.24899 0.142200 0.140 0.28
273 49.123 4.8449 1 0.61921 0.448450 0.075 0.15
274 78.176 5.4236 1 0.55314 0.382300 0.405 0.81
275 91.370 11.3730 1 0.26378 0.151930 0.440 0.88
276 77.835 9.5550 1 0.31397 0.186220 0.245 0.49
277 57.679 8.3140 1 0.36084 0.220140 0.140 0.28
278 59.750 10.0700 1 0.29791 0.175020 0.150 0.30
279 40.373 5.7571 1 0.52110 0.352350 0.275 0.55
280 54.837 7.2735 1 0.41246 0.259810 0.130 0.26
281 66.336 6.7762 1 0.44273 0.284300 0.330 0.66
282 56.042 5.1591 1 0.58149 0.409930 0.435 0.87
283 62.709 9.0909 1 0.33000 0.197610 0.310 0.62
284 59.750 10.1520 1 0.29552 0.173380 0.150 0.30
285 66.336 8.5628 1 0.35035 0.212380 0.330 0.66
286 64.411 13.4070 1 0.22377 0.125980 0.175 0.35
287 66.333 6.4186 1 0.46739 0.304970 0.195 0.39
288 57.679 8.3475 1 0.35939 0.219060 0.140 0.28
289 77.835 11.9540 1 0.25097 0.143490 0.245 0.49
290 60.716 6.1538 1 0.48750 0.322320 0.260 0.52
291 62.485 6.2614 1 0.47913 0.315030 0.250 0.50
292 59.750 18.0730 1 0.16600 0.090510 0.150 0.30
293 69.929 9.5989 1 0.31254 0.185210 0.160 0.32
294 62.485 7.7697 1 0.38612 0.239250 0.250 0.50
295 76.958 6.6818 1 0.44898 0.289480 0.250 0.50
296 66.233 8.5174 1 0.35222 0.213760 0.225 0.45
297 65.215 6.1371 1 0.48883 0.323480 0.340 0.68
298 60.716 8.0262 1 0.37378 0.229840 0.260 0.52
299 57.679 8.1371 1 0.36868 0.226000 0.140 0.28
300 66.233 12.3460 1 0.24299 0.138300 0.225 0.45
301 63.772 8.5360 1 0.35145 0.213190 0.205 0.41
302 63.772 12.9210 1 0.23217 0.131330 0.205 0.41
303 57.057 15.9770 1 0.18777 0.103620 0.200 0.40
304 66.333 11.0090 1 0.27250 0.157740 0.195 0.39
305 62.726 5.8643 1 0.51157 0.343690 0.115 0.23
306 59.750 11.2810 1 0.26594 0.153360 0.150 0.30
307 65.641 14.2900 1 0.20994 0.117280 0.210 0.42
308 66.333 9.7901 1 0.30643 0.180940 0.195 0.39
309 76.958 11.1460 1 0.26916 0.155510 0.250 0.50
310 56.043 9.4491 1 0.31749 0.188700 0.140 0.28
311 61.009 12.7180 1 0.23588 0.133710 0.170 0.34
312 56.693 7.0527 1 0.42537 0.270140 0.305 0.61
313 66.333 10.0190 1 0.29944 0.176080 0.195 0.39
314 56.043 6.4196 1 0.46732 0.304910 0.140 0.28
315 57.057 6.8711 1 0.43661 0.279270 0.200 0.40
316 76.958 8.1152 1 0.36968 0.226750 0.250 0.50
317 51.689 11.0450 1 0.27163 0.157160 0.140 0.28
318 75.289 21.0380 1 0.14260 0.076775 0.335 0.67
319 50.826 5.3871 1 0.55689 0.385890 0.070 0.14
320 48.136 11.3100 1 0.26525 0.152900 0.140 0.28
321 50.826 5.0078 1 0.59906 0.427610 0.070 0.14
322 66.336 19.5460 1 0.15349 0.083123 0.330 0.66
323 77.835 10.0780 1 0.29769 0.174880 0.245 0.49
324 64.411 18.2950 1 0.16398 0.089314 0.175 0.35
325 50.826 8.0906 1 0.37080 0.227600 0.070 0.14
326 62.907 9.6134 1 0.31206 0.184880 0.160 0.32
327 59.750 10.4660 1 0.28665 0.167300 0.150 0.30
328 65.215 5.7573 1 0.52108 0.352330 0.340 0.68
329 62.907 14.8120 1 0.20254 0.112680 0.160 0.32
330 63.398 7.6700 1 0.39114 0.243110 0.510 1.02
331 61.009 12.1110 1 0.24771 0.141360 0.170 0.34
332 62.709 8.5619 1 0.35039 0.212410 0.310 0.62
333 71.548 6.4692 1 0.46373 0.301860 0.175 0.35
334 60.716 12.9340 1 0.23195 0.131190 0.260 0.52
335 59.750 10.8970 1 0.27530 0.159620 0.150 0.30
336 57.057 10.9340 1 0.27437 0.159000 0.200 0.40
337 62.726 8.5107 1 0.35250 0.213960 0.115 0.23
338 65.215 5.8815 1 0.51007 0.342350 0.340 0.68
339 69.718 4.9620 1 0.60459 0.433280 0.100 0.20
340 57.679 7.4065 1 0.40505 0.253960 0.140 0.28
341 64.536 11.7710 1 0.25487 0.146050 0.575 1.15
342 79.281 9.6128 1 0.31208 0.184890 0.335 0.67
343 63.772 8.7439 1 0.34310 0.207070 0.205 0.41
344 69.718 4.7381 1 0.63317 0.463240 0.100 0.20
345 61.009 8.4119 1 0.35664 0.217020 0.170 0.34
346 62.726 11.6320 1 0.25792 0.148050 0.115 0.23
347 40.373 7.7316 1 0.38802 0.240710 0.275 0.55
348 56.289 17.1720 1 0.17470 0.095711 0.185 0.37
349 62.485 13.4520 1 0.22302 0.125500 0.250 0.50
350 61.868 12.8790 1 0.23294 0.131820 0.280 0.56
351 59.750 14.5590 1 0.20606 0.114870 0.150 0.30
352 56.289 10.4380 1 0.28742 0.167830 0.185 0.37
353 56.289 10.4750 1 0.28640 0.167130 0.185 0.37
354 79.281 11.1910 1 0.26807 0.154780 0.335 0.67
355 40.373 6.6572 1 0.45064 0.290860 0.275 0.55
356 63.772 9.4983 1 0.31584 0.187540 0.205 0.41
357 57.679 6.0346 1 0.49713 0.330790 0.140 0.28
358 77.079 11.6020 1 0.25859 0.148490 0.235 0.47
359 56.043 8.8482 1 0.33905 0.204130 0.140 0.28
360 54.837 9.8575 1 0.30434 0.179480 0.130 0.26
361 56.693 10.5790 1 0.28359 0.165220 0.305 0.61
362 65.215 9.0734 1 0.33064 0.198060 0.340 0.68
363 51.689 7.6828 1 0.39048 0.242610 0.140 0.28
364 56.693 7.9781 1 0.37603 0.231550 0.305 0.61
365 65.215 6.8745 1 0.43640 0.279100 0.340 0.68
366 71.548 6.0727 1 0.49401 0.328030 0.175 0.35
367 66.233 14.1910 1 0.21141 0.118200 0.225 0.45
368 77.079 14.0760 1 0.21313 0.119270 0.235 0.47
369 60.716 8.7260 1 0.34380 0.207580 0.260 0.52
370 49.123 8.8634 1 0.33847 0.203710 0.075 0.15
371 65.641 12.4160 1 0.24162 0.137410 0.210 0.42
372 63.772 9.8381 1 0.30494 0.179900 0.205 0.41
373 62.709 9.9028 1 0.30295 0.178510 0.310 0.62
374 65.641 15.6980 1 0.19111 0.105650 0.210 0.42
375 49.123 9.1715 1 0.32710 0.195530 0.075 0.15
376 71.548 5.6156 1 0.53423 0.364470 0.175 0.35
377 65.939 10.4200 1 0.28790 0.168160 0.180 0.36
378 65.641 6.8233 1 0.43967 0.281780 0.210 0.42
379 63.772 9.9690 1 0.30093 0.177120 0.205 0.41
380 66.233 12.2670 1 0.24455 0.139310 0.225 0.45
381 60.716 8.4895 1 0.35338 0.214610 0.260 0.52
382 50.826 6.6503 1 0.45111 0.291240 0.070 0.14
383 66.336 12.2940 1 0.24402 0.138960 0.330 0.66
384 77.079 8.8598 1 0.33861 0.203810 0.235 0.47
385 62.485 13.5430 1 0.22152 0.124550 0.250 0.50
386 57.057 10.5500 1 0.28435 0.165740 0.200 0.40
387 65.641 11.6800 1 0.25685 0.147350 0.210 0.42
388 71.548 6.6527 1 0.45094 0.291110 0.175 0.35
389 64.536 5.8577 1 0.51214 0.344220 0.575 1.15
390 48.136 10.5950 1 0.28314 0.164920 0.140 0.28
391 91.370 14.2230 1 0.21093 0.117900 0.440 0.88
392 78.176 8.7990 1 0.34095 0.205510 0.405 0.81
393 62.907 9.3779 1 0.31990 0.190410 0.160 0.32
394 48.136 6.4479 1 0.46527 0.303160 0.140 0.28
395 48.136 10.2950 1 0.29141 0.170550 0.140 0.28
396 57.679 5.1199 1 0.58595 0.414380 0.140 0.28
397 63.772 7.3155 1 0.41009 0.257930 0.205 0.41
398 69.929 9.2647 1 0.32381 0.193180 0.160 0.32
399 54.837 7.3590 1 0.40766 0.256020 0.130 0.26
400 61.868 13.2730 1 0.22602 0.127410 0.280 0.56
401 56.043 9.6474 1 0.31097 0.184110 0.140 0.28
402 56.043 10.5240 1 0.28507 0.166230 0.140 0.28
403 71.548 4.8245 1 0.62183 0.451200 0.175 0.35
404 51.689 9.9133 1 0.30262 0.178290 0.140 0.28
405 66.336 12.9580 1 0.23151 0.130910 0.330 0.66
406 79.281 11.2380 1 0.26696 0.154040 0.335 0.67
407 65.641 9.6869 1 0.30970 0.183220 0.210 0.42
408 60.716 11.1460 1 0.26915 0.155500 0.260 0.52
409 56.103 6.5595 1 0.45735 0.296470 0.145 0.29
410 66.333 10.3720 1 0.28924 0.169070 0.195 0.39
411 56.042 10.3400 1 0.29012 0.169670 0.435 0.87
412 65.641 16.1530 1 0.18573 0.102370 0.210 0.42
413 56.103 11.6470 1 0.25757 0.147820 0.145 0.29
414 69.929 13.4720 1 0.22268 0.125290 0.160 0.32
415 66.233 12.2400 1 0.24510 0.139670 0.225 0.45
416 51.689 6.2367 1 0.48102 0.316680 0.140 0.28
417 75.289 21.0990 1 0.14218 0.076533 0.335 0.67
418 62.907 8.0629 1 0.37207 0.228560 0.160 0.32
419 62.709 7.4345 1 0.40353 0.252760 0.310 0.62
420 76.958 10.5350 1 0.28476 0.166020 0.250 0.50
421 63.398 11.8310 1 0.25357 0.145190 0.510 1.02
422 48.136 7.2778 1 0.41221 0.259610 0.140 0.28
423 56.043 8.3544 1 0.35909 0.218840 0.140 0.28
424 64.411 11.7780 1 0.25472 0.145950 0.175 0.35
425 56.043 6.5716 1 0.45651 0.295760 0.140 0.28
426 65.215 13.0010 1 0.23075 0.130420 0.340 0.68
427 48.136 6.2594 1 0.47928 0.315170 0.140 0.28
428 50.826 5.7557 1 0.52122 0.352470 0.070 0.14
429 64.536 7.4154 1 0.40456 0.253580 0.575 1.15
430 63.772 10.6170 1 0.28256 0.164520 0.205 0.41
431 65.215 7.3036 1 0.41075 0.258460 0.340 0.68
432 71.548 6.1394 1 0.48865 0.323320 0.175 0.35
433 51.689 6.5473 1 0.45821 0.297190 0.140 0.28
434 66.333 10.9870 1 0.27304 0.158110 0.195 0.39
435 59.750 9.5048 1 0.31563 0.187390 0.150 0.30
436 64.536 18.2790 1 0.16412 0.089396 0.575 1.15
437 56.103 7.2432 1 0.41418 0.261180 0.145 0.29
438 56.693 6.0245 1 0.49797 0.331530 0.305 0.61
439 56.042 11.4220 1 0.26265 0.151180 0.435 0.87
440 77.079 9.9150 1 0.30257 0.178250 0.235 0.47
441 62.709 7.4019 1 0.40530 0.254150 0.310 0.62
442 49.123 14.0720 1 0.21318 0.119310 0.075 0.15
443 64.536 10.8500 1 0.27651 0.160430 0.575 1.15
444 48.136 10.1950 1 0.29425 0.172510 0.140 0.28
445 56.289 9.5065 1 0.31557 0.187350 0.185 0.37
446 78.176 9.7916 1 0.30638 0.180910 0.405 0.81
447 62.709 9.7872 1 0.30652 0.181000 0.310 0.62
448 71.548 5.1278 1 0.58504 0.413470 0.175 0.35
449 40.373 6.6960 1 0.44803 0.288690 0.275 0.55
450 62.485 16.7460 1 0.17915 0.098386 0.250 0.50
451 40.373 6.2039 1 0.48357 0.318890 0.275 0.55
452 51.689 5.7220 1 0.52429 0.355280 0.140 0.28
453 56.289 9.0689 1 0.33080 0.198180 0.185 0.37
454 54.837 10.0700 1 0.29790 0.175020 0.130 0.26
455 75.478 14.9030 1 0.20131 0.111920 0.335 0.67
456 66.233 8.1601 1 0.36764 0.225220 0.225 0.45
457 71.548 10.4050 1 0.28832 0.168440 0.175 0.35
458 56.042 5.6735 1 0.52877 0.359410 0.435 0.87
459 56.042 8.3703 1 0.35841 0.218330 0.435 0.87
460 64.536 9.8296 1 0.30520 0.180080 0.575 1.15
461 56.042 5.9314 1 0.50579 0.338500 0.435 0.87
462 56.289 12.3410 1 0.24310 0.138370 0.185 0.37
463 69.929 8.4220 1 0.35621 0.216700 0.160 0.32
464 56.693 10.8590 1 0.27627 0.160280 0.305 0.61
465 57.679 9.2916 1 0.32287 0.192520 0.140 0.28
466 56.289 8.2776 1 0.36242 0.221320 0.185 0.37
467 62.709 15.3340 1 0.19565 0.108430 0.310 0.62
468 56.043 6.5229 1 0.45992 0.298630 0.140 0.28
469 69.718 6.4715 1 0.46357 0.301720 0.100 0.20
470 66.333 7.9324 1 0.37820 0.233200 0.195 0.39
471 61.868 12.1960 1 0.24598 0.140240 0.280 0.56
472 98.139 5.2371 1 0.57283 0.401380 0.405 0.81
473 51.689 12.3330 1 0.24326 0.138470 0.140 0.28
474 63.772 8.6632 1 0.34629 0.209400 0.205 0.41
475 54.837 10.9370 1 0.27429 0.158940 0.130 0.26
476 56.481 21.0240 1 0.14269 0.076828 0.160 0.32
477 56.103 14.6170 1 0.20524 0.114350 0.145 0.29
478 65.215 11.3750 1 0.26374 0.151900 0.340 0.68
479 71.548 5.1271 1 0.58513 0.413560 0.175 0.35
480 75.289 12.6940 1 0.23632 0.134000 0.335 0.67
481 77.079 18.8570 1 0.15909 0.086421 0.235 0.47
482 56.042 8.6991 1 0.34486 0.208360 0.435 0.87
483 56.693 11.5310 1 0.26017 0.149540 0.305 0.61
484 66.336 7.5572 1 0.39697 0.247640 0.330 0.66
485 56.693 6.7779 1 0.44262 0.284210 0.305 0.61
486 48.136 7.4928 1 0.40039 0.250300 0.140 0.28
487 64.536 15.5250 1 0.19324 0.106950 0.575 1.15
488 64.411 5.7223 1 0.52427 0.355260 0.175 0.35
489 63.772 15.3950 1 0.19487 0.107950 0.205 0.41
490 56.289 11.3300 1 0.26479 0.152600 0.185 0.37
491 57.057 8.3673 1 0.35854 0.218430 0.200 0.40
492 40.373 8.2920 1 0.36180 0.220850 0.275 0.55
493 56.481 14.9520 1 0.20065 0.111510 0.160 0.32
494 48.136 9.5927 1 0.31274 0.185350 0.140 0.28
495 56.289 8.1698 1 0.36721 0.224890 0.185 0.37
496 60.716 9.5649 1 0.31365 0.185990 0.260 0.52
497 56.481 19.2640 1 0.15573 0.084441 0.160 0.32
498 57.057 11.6200 1 0.25818 0.148220 0.200 0.40
499 69.929 15.7320 1 0.19069 0.105400 0.160 0.32
500 69.929 8.8757 1 0.33800 0.203370 0.160 0.32
501 65.641 12.5570 1 0.23891 0.135660 0.210 0.42
502 49.123 7.6141 1 0.39401 0.245340 0.075 0.15
503 78.176 4.9656 1 0.60415 0.432820 0.405 0.81
504 69.718 6.5904 1 0.45521 0.294670 0.100 0.20
505 69.929 11.6890 1 0.25665 0.147210 0.160 0.32
506 56.693 11.6030 1 0.25854 0.148460 0.305 0.61
507 75.289 18.3510 1 0.16348 0.089015 0.335 0.67
508 64.411 10.9760 1 0.27334 0.158300 0.175 0.35
509 64.536 8.5245 1 0.35193 0.213540 0.575 1.15
510 57.679 9.2413 1 0.32463 0.193770 0.140 0.28
511 64.411 10.5650 1 0.28397 0.165480 0.175 0.35
512 78.176 7.1011 1 0.42247 0.267800 0.405 0.81
513 62.907 5.9916 1 0.50070 0.333960 0.160 0.32
514 75.478 13.8050 1 0.21732 0.121900 0.335 0.67
515 61.868 14.6720 1 0.20447 0.113880 0.280 0.56
516 78.176 6.8447 1 0.43830 0.280650 0.405 0.81
517 50.826 4.7244 1 0.63500 0.465200 0.070 0.14
518 75.289 10.1260 1 0.29628 0.173900 0.335 0.67
519 61.009 10.8100 1 0.27752 0.161120 0.170 0.34
520 66.233 7.2779 1 0.41221 0.259610 0.225 0.45
521 63.398 9.8728 1 0.30387 0.179150 0.510 1.02
522 56.481 8.9308 1 0.33592 0.201860 0.160 0.32
523 77.835 8.4535 1 0.35488 0.215720 0.245 0.49
524 71.548 5.3065 1 0.56534 0.394060 0.175 0.35
525 51.689 8.3973 1 0.35726 0.217480 0.140 0.28
526 40.373 5.6563 1 0.53038 0.360900 0.275 0.55
527 60.716 8.2525 1 0.36352 0.222140 0.260 0.52
528 71.548 5.3568 1 0.56004 0.388920 0.175 0.35
529 51.689 12.0660 1 0.24863 0.141960 0.140 0.28
530 51.689 7.1856 1 0.41750 0.263830 0.140 0.28
531 62.709 5.7680 1 0.52011 0.351450 0.310 0.62
532 56.481 14.8140 1 0.20251 0.112670 0.160 0.32
533 62.485 12.9840 1 0.23106 0.130620 0.250 0.50
534 60.716 7.9053 1 0.37949 0.234180 0.260 0.52
535 64.411 7.2606 1 0.41319 0.260390 0.175 0.35
536 75.289 11.1860 1 0.26819 0.154860 0.335 0.67
537 50.826 7.8981 1 0.37984 0.234440 0.070 0.14
538 61.009 10.2430 1 0.29288 0.171560 0.170 0.34
539 66.333 12.5120 1 0.23977 0.136210 0.195 0.39
540 56.042 11.1790 1 0.26835 0.154970 0.435 0.87
541 76.958 15.1690 1 0.19778 0.109740 0.250 0.50
542 54.837 6.8262 1 0.43948 0.281630 0.130 0.26
543 77.079 8.4272 1 0.35599 0.216540 0.235 0.47
544 62.907 11.9110 1 0.25186 0.144070 0.160 0.32
545 76.958 6.3933 1 0.46924 0.306540 0.250 0.50
546 56.481 11.9080 1 0.25192 0.144120 0.160 0.32
547 56.693 11.0690 1 0.27102 0.156750 0.305 0.61
548 61.868 14.1420 1 0.21213 0.118650 0.280 0.56
549 49.123 13.7110 1 0.21881 0.122840 0.075 0.15
550 57.679 7.8915 1 0.38016 0.234690 0.140 0.28
551 69.718 7.3019 1 0.41085 0.258530 0.100 0.20
552 48.136 5.5236 1 0.54312 0.372800 0.140 0.28
553 57.057 12.0280 1 0.24943 0.142480 0.200 0.40
554 75.478 14.0390 1 0.21369 0.119630 0.335 0.67
555 66.233 9.9203 1 0.30241 0.178140 0.225 0.45
556 63.772 9.9403 1 0.30180 0.177720 0.205 0.41
557 49.123 12.6170 1 0.23778 0.134930 0.075 0.15
558 40.373 5.4899 1 0.54645 0.375950 0.275 0.55
559 77.079 10.6330 1 0.28215 0.164250 0.235 0.47
560 63.398 10.6500 1 0.28168 0.163930 0.510 1.02
561 48.136 10.5980 1 0.28308 0.164880 0.140 0.28
562 87.094 8.2549 1 0.36342 0.222060 0.270 0.54
563 59.750 8.9718 1 0.33438 0.200760 0.150 0.30
564 65.939 11.3710 1 0.26383 0.151960 0.180 0.36
565 56.693 10.7030 1 0.28028 0.162980 0.305 0.61
566 51.689 8.2284 1 0.36459 0.222940 0.140 0.28
567 50.826 5.9722 1 0.50232 0.335400 0.070 0.14
568 56.289 6.5707 1 0.45657 0.295820 0.185 0.37
569 75.478 12.1000 1 0.24794 0.141510 0.335 0.67
570 49.123 4.6451 1 0.64585 0.476940 0.075 0.15
571 56.481 19.0390 1 0.15757 0.085524 0.160 0.32
572 60.716 7.0257 1 0.42700 0.271460 0.260 0.52
573 62.709 9.6091 1 0.31220 0.184980 0.310 0.62
574 56.481 8.5057 1 0.35270 0.214110 0.160 0.32
575 54.837 5.7128 1 0.52514 0.356060 0.130 0.26
576 56.043 11.9070 1 0.25195 0.144130 0.140 0.28
577 57.057 8.8442 1 0.33921 0.204240 0.200 0.40
578 54.837 8.8995 1 0.33710 0.202720 0.130 0.26
579 57.679 6.8723 1 0.43654 0.279210 0.140 0.28
580 63.772 15.3940 1 0.19489 0.107960 0.205 0.41
581 48.136 9.6053 1 0.31233 0.185070 0.140 0.28
582 40.373 6.4314 1 0.46646 0.304170 0.275 0.55
583 64.536 7.3617 1 0.40752 0.255900 0.575 1.15
584 48.136 9.5507 1 0.31411 0.186320 0.140 0.28
585 63.772 12.5750 1 0.23857 0.135440 0.205 0.41
586 77.079 9.5914 1 0.31278 0.185380 0.235 0.47
587 76.958 8.7535 1 0.34272 0.206800 0.250 0.50
588 63.772 5.9549 1 0.50379 0.336710 0.205 0.41
589 40.373 6.6997 1 0.44778 0.288480 0.275 0.55
590 49.123 6.9277 1 0.43304 0.276360 0.075 0.15
591 61.009 11.5420 1 0.25991 0.149370 0.170 0.34
592 61.009 8.9391 1 0.33560 0.201640 0.170 0.34
593 57.679 6.6055 1 0.45417 0.293800 0.140 0.28
594 48.136 9.9789 1 0.30063 0.176910 0.140 0.28
595 61.868 14.1540 1 0.21196 0.118540 0.280 0.56
596 61.009 7.9071 1 0.37940 0.234110 0.170 0.34
597 48.136 8.8398 1 0.33937 0.204370 0.140 0.28
598 71.548 6.1106 1 0.49095 0.325340 0.175 0.35
599 40.373 15.7080 1 0.19098 0.105570 0.275 0.55
600 62.485 16.0680 1 0.18671 0.102960 0.250 0.50
601 77.835 11.8150 1 0.25391 0.145410 0.245 0.49
602 62.485 12.9620 1 0.23145 0.130870 0.250 0.50
603 56.042 8.3539 1 0.35911 0.218850 0.435 0.87
604 78.176 6.7456 1 0.44473 0.285950 0.405 0.81
605 40.373 11.2620 1 0.26639 0.153660 0.275 0.55
606 76.958 7.6617 1 0.39156 0.243440 0.250 0.50
607 65.215 11.9550 1 0.25093 0.143470 0.340 0.68
608 56.103 10.4940 1 0.28588 0.166780 0.145 0.29
609 62.726 8.1718 1 0.36712 0.224830 0.115 0.23
610 57.057 6.9401 1 0.43227 0.275730 0.200 0.40
611 63.398 14.7120 1 0.20391 0.113530 0.510 1.02
612 56.043 7.1092 1 0.42199 0.267420 0.140 0.28
613 71.548 8.0472 1 0.37280 0.229100 0.175 0.35
614 61.868 8.2113 1 0.36535 0.223500 0.280 0.56
615 56.043 10.3960 1 0.28856 0.168610 0.140 0.28
616 56.481 21.1230 1 0.14203 0.076442 0.160 0.32
617 64.536 11.7770 1 0.25472 0.145950 0.575 1.15
618 56.043 6.5228 1 0.45993 0.298640 0.140 0.28
619 87.094 6.4121 1 0.46787 0.305370 0.270 0.54
620 63.772 7.9219 1 0.37870 0.233570 0.205 0.41
621 78.176 7.1913 1 0.41717 0.263560 0.405 0.81
622 71.548 9.7569 1 0.30748 0.181670 0.175 0.35
623 65.939 5.9647 1 0.50296 0.335970 0.180 0.36
624 64.411 12.2870 1 0.24416 0.139050 0.175 0.35
625 75.289 23.6570 1 0.12681 0.067698 0.335 0.67
626 65.215 8.9622 1 0.33474 0.201010 0.340 0.68
627 65.215 6.8407 1 0.43855 0.280860 0.340 0.68
628 87.094 7.4674 1 0.40175 0.251370 0.270 0.54
629 69.718 8.0152 1 0.37429 0.230230 0.100 0.20
630 51.689 8.9040 1 0.33693 0.202590 0.140 0.28
631 63.772 5.6790 1 0.52826 0.358940 0.205 0.41
632 91.370 19.8770 1 0.15093 0.081623 0.440 0.88
633 56.289 14.9710 1 0.20038 0.111350 0.185 0.37
634 64.536 8.4935 1 0.35321 0.214490 0.575 1.15
635 65.215 6.3087 1 0.47554 0.311940 0.340 0.68
636 66.336 17.2800 1 0.17361 0.095054 0.330 0.66
637 56.693 11.6790 1 0.25686 0.147360 0.305 0.61
638 57.679 9.9961 1 0.30012 0.176550 0.140 0.28
639 48.136 8.0162 1 0.37424 0.230200 0.140 0.28
640 51.689 9.3529 1 0.32076 0.191010 0.140 0.28
641 71.548 8.2750 1 0.36254 0.221400 0.175 0.35
642 57.057 13.3730 1 0.22434 0.126340 0.200 0.40
643 77.079 12.1950 1 0.24601 0.140260 0.235 0.47
644 78.176 5.5699 1 0.53861 0.368560 0.405 0.81
645 50.826 7.6010 1 0.39468 0.245860 0.070 0.14
646 79.281 13.3710 1 0.22436 0.126360 0.335 0.67
647 66.336 7.4365 1 0.40342 0.252680 0.330 0.66
648 56.043 10.2820 1 0.29176 0.170800 0.140 0.28
649 65.939 11.8660 1 0.25283 0.144710 0.180 0.36
650 59.750 19.0970 1 0.15709 0.085240 0.150 0.30
651 61.009 13.1240 1 0.22858 0.129040 0.170 0.34
652 50.826 4.9377 1 0.60757 0.436340 0.070 0.14
653 63.398 16.9990 1 0.17648 0.096778 0.510 1.02
654 61.868 14.5910 1 0.20561 0.114580 0.280 0.56
655 77.079 13.3970 1 0.22394 0.126090 0.235 0.47
656 56.043 12.1530 1 0.24685 0.140800 0.140 0.28
657 69.718 3.3378 1 0.89880 0.816210 0.100 0.20
658 40.373 9.3743 1 0.32002 0.190490 0.275 0.55
659 40.373 4.5080 1 0.66548 0.498670 0.275 0.55
660 66.333 6.3893 1 0.46953 0.306790 0.195 0.39
661 64.536 10.9710 1 0.27345 0.158380 0.575 1.15
662 78.176 6.6954 1 0.44807 0.288720 0.405 0.81
663 63.772 10.3950 1 0.28859 0.168630 0.205 0.41
664 61.868 15.7780 1 0.19014 0.105060 0.280 0.56
665 40.373 7.8207 1 0.38360 0.237310 0.275 0.55
666 62.485 12.5040 1 0.23992 0.136310 0.250 0.50
667 61.868 12.8510 1 0.23344 0.132140 0.280 0.56
668 77.835 12.1030 1 0.24786 0.141460 0.245 0.49
669 61.868 11.4950 1 0.26099 0.150080 0.280 0.56
670 49.123 7.9545 1 0.37715 0.232400 0.075 0.15
671 78.176 6.5587 1 0.45741 0.296520 0.405 0.81
672 62.726 7.6506 1 0.39212 0.243880 0.115 0.23
673 91.370 24.6120 1 0.12189 0.064902 0.440 0.88
674 40.373 8.4165 1 0.35644 0.216870 0.275 0.55
675 64.411 15.1450 1 0.19808 0.109930 0.175 0.35
676 76.958 9.4693 1 0.31681 0.188220 0.250 0.50
677 65.215 4.0087 1 0.74837 0.597920 0.340 0.68
678 71.548 5.5243 1 0.54306 0.372740 0.175 0.35
679 56.042 9.6159 1 0.31198 0.184820 0.435 0.87
680 62.726 12.0850 1 0.24824 0.141710 0.115 0.23
681 62.907 6.8757 1 0.43632 0.279040 0.160 0.32
682 56.043 6.1713 1 0.48612 0.321110 0.140 0.28
683 61.009 10.3400 1 0.29014 0.169690 0.170 0.34
684 59.750 6.6168 1 0.45339 0.293150 0.150 0.30
685 61.868 10.6080 1 0.28281 0.164690 0.280 0.56
686 60.716 11.7790 1 0.25470 0.145930 0.260 0.52
687 75.478 15.0170 1 0.19977 0.110970 0.335 0.67
688 69.718 6.0225 1 0.49814 0.331680 0.100 0.20
689 56.103 9.1761 1 0.32694 0.195410 0.145 0.29
690 66.333 10.4710 1 0.28651 0.167210 0.195 0.39
691 64.536 11.5630 1 0.25944 0.149060 0.575 1.15
692 62.485 12.3660 1 0.24261 0.138050 0.250 0.50
693 62.726 7.3752 1 0.40677 0.255310 0.115 0.23
694 66.336 9.1286 1 0.32864 0.196630 0.330 0.66
695 69.718 5.4968 1 0.54578 0.375300 0.100 0.20
696 56.481 17.1100 1 0.17533 0.096091 0.160 0.32
697 56.481 11.3120 1 0.26522 0.152880 0.160 0.32
698 62.485 20.7450 1 0.14461 0.077942 0.250 0.50
699 65.215 14.2180 1 0.21100 0.117940 0.340 0.68
700 51.689 6.6047 1 0.45422 0.293840 0.140 0.28
701 66.336 8.4737 1 0.35404 0.215090 0.330 0.66
702 48.136 6.4523 1 0.46495 0.302890 0.140 0.28
703 69.718 8.2183 1 0.36504 0.223270 0.100 0.20
704 75.289 10.7360 1 0.27943 0.162400 0.335 0.67
705 75.289 13.4810 1 0.22254 0.125200 0.335 0.67
706 57.057 8.0966 1 0.37052 0.227390 0.200 0.40
707 61.868 9.6540 1 0.31075 0.183960 0.280 0.56
708 77.079 13.4170 1 0.22359 0.125870 0.235 0.47
709 78.176 5.7902 1 0.51812 0.349630 0.405 0.81
710 64.536 6.4202 1 0.46728 0.304870 0.575 1.15
711 49.123 7.3280 1 0.40939 0.257380 0.075 0.15
712 48.136 7.3886 1 0.40603 0.254730 0.140 0.28
713 56.693 9.5272 1 0.31489 0.186860 0.305 0.61
714 59.750 8.8826 1 0.33774 0.203180 0.150 0.30
715 66.336 12.8220 1 0.23397 0.132480 0.330 0.66
716 48.136 8.5242 1 0.35194 0.213550 0.140 0.28
717 56.693 12.5800 1 0.23847 0.135380 0.305 0.61
718 50.826 5.6606 1 0.52998 0.360520 0.070 0.14
719 56.289 7.4952 1 0.40026 0.250200 0.185 0.37
720 56.289 11.4620 1 0.26173 0.150570 0.185 0.37
721 40.373 6.2841 1 0.47740 0.313540 0.275 0.55
722 69.718 5.8279 1 0.51476 0.346580 0.100 0.20
723 65.215 9.1166 1 0.32907 0.196940 0.340 0.68
724 56.043 8.7682 1 0.34215 0.206380 0.140 0.28
725 56.042 7.4023 1 0.40528 0.254140 0.435 0.87
726 65.939 6.2478 1 0.48017 0.315940 0.180 0.36
727 60.716 9.8951 1 0.30318 0.178680 0.260 0.52
728 56.289 15.8570 1 0.18919 0.104480 0.185 0.37
729 40.373 4.1725 1 0.71900 0.561280 0.275 0.55
730 65.641 9.0880 1 0.33011 0.197680 0.210 0.42
731 62.907 9.2522 1 0.32425 0.193490 0.160 0.32
732 54.837 9.1966 1 0.32621 0.194890 0.130 0.26
733 49.123 6.2397 1 0.48079 0.316480 0.075 0.15
734 79.281 13.7750 1 0.21779 0.122200 0.335 0.67
735 56.693 10.6340 1 0.28211 0.164220 0.305 0.61
736 62.709 8.7459 1 0.34302 0.207010 0.310 0.62
737 48.136 10.2330 1 0.29317 0.171760 0.140 0.28
738 65.939 10.0590 1 0.29825 0.175260 0.180 0.36
739 71.548 5.9074 1 0.50783 0.340330 0.175 0.35
740 49.123 8.2511 1 0.36359 0.222190 0.075 0.15
741 62.709 14.3390 1 0.20922 0.116830 0.310 0.62
742 65.215 6.5521 1 0.45787 0.296900 0.340 0.68
743 56.103 13.5130 1 0.22200 0.124860 0.145 0.29
744 64.411 6.8771 1 0.43623 0.278960 0.175 0.35
745 56.043 13.0700 1 0.22952 0.129640 0.140 0.28
746 56.042 5.9465 1 0.50450 0.337340 0.435 0.87
747 48.136 9.6880 1 0.30966 0.183200 0.140 0.28
748 64.536 8.6285 1 0.34768 0.210420 0.575 1.15
749 62.485 9.7346 1 0.30818 0.182160 0.250 0.50
750 65.641 12.0360 1 0.24925 0.142370 0.210 0.42
751 87.094 8.6908 1 0.34519 0.208600 0.270 0.54
752 59.750 14.3180 1 0.20952 0.117020 0.150 0.30
753 65.939 10.9500 1 0.27398 0.158740 0.180 0.36
754 61.009 13.9260 1 0.21543 0.120720 0.170 0.34
755 56.289 16.1060 1 0.18626 0.102690 0.185 0.37
756 56.043 8.1978 1 0.36595 0.223960 0.140 0.28
757 57.679 8.5071 1 0.35265 0.214070 0.140 0.28
758 65.939 8.3261 1 0.36031 0.219740 0.180 0.36
759 49.123 9.5757 1 0.31329 0.185740 0.075 0.15
760 77.079 13.6520 1 0.21974 0.123430 0.235 0.47
761 50.826 6.5415 1 0.45861 0.297530 0.070 0.14
762 65.215 8.4007 1 0.35711 0.217370 0.340 0.68
763 56.043 8.4283 1 0.35594 0.216500 0.140 0.28
764 62.726 6.1063 1 0.49130 0.325640 0.115 0.23
765 63.772 6.4658 1 0.46398 0.302070 0.205 0.41
766 69.718 4.0829 1 0.73476 0.580730 0.100 0.20
767 65.641 13.4800 1 0.22256 0.125210 0.210 0.42
768 63.772 11.0050 1 0.27261 0.157810 0.205 0.41
769 63.398 7.0702 1 0.42431 0.269290 0.510 1.02
770 61.009 10.5020 1 0.28567 0.166640 0.170 0.34
771 78.176 7.5303 1 0.39839 0.248740 0.405 0.81
772 62.485 12.1500 1 0.24691 0.140840 0.250 0.50
773 56.693 9.5074 1 0.31554 0.187330 0.305 0.61
774 77.835 8.8361 1 0.33952 0.204470 0.245 0.49
775 56.103 7.4902 1 0.40052 0.250410 0.145 0.29
776 56.042 5.4092 1 0.55461 0.383710 0.435 0.87
777 66.333 11.8260 1 0.25367 0.145260 0.195 0.39
778 63.398 7.9571 1 0.37702 0.232300 0.510 1.02
779 60.716 8.8603 1 0.33859 0.203800 0.260 0.52
780 65.641 10.6900 1 0.28063 0.163220 0.210 0.42
781 65.939 8.8519 1 0.33891 0.204030 0.180 0.36
782 71.548 7.4209 1 0.40426 0.253340 0.175 0.35
783 62.907 15.6020 1 0.19228 0.106370 0.160 0.32
784 71.548 6.6636 1 0.45021 0.290500 0.175 0.35
785 40.373 5.5358 1 0.54192 0.371670 0.275 0.55
786 77.079 10.2820 1 0.29179 0.170810 0.235 0.47
787 50.826 4.5010 1 0.66651 0.499830 0.070 0.14
788 75.289 14.9750 1 0.20034 0.111320 0.335 0.67
789 63.772 12.7510 1 0.23527 0.133320 0.205 0.41
790 54.837 8.8665 1 0.33835 0.203620 0.130 0.26
791 48.136 8.0831 1 0.37115 0.227860 0.140 0.28
792 62.726 9.3823 1 0.31975 0.190300 0.115 0.23
793 40.373 6.1244 1 0.48984 0.324370 0.275 0.55
794 62.907 6.5191 1 0.46018 0.298860 0.160 0.32
795 66.333 8.8582 1 0.33867 0.203850 0.195 0.39
796 64.536 9.7718 1 0.30701 0.181340 0.575 1.15
797 56.693 12.2920 1 0.24406 0.138990 0.305 0.61
798 56.043 8.3356 1 0.35990 0.219440 0.140 0.28
799 56.289 9.1207 1 0.32892 0.196830 0.185 0.37
800 54.837 10.2610 1 0.29238 0.171220 0.130 0.26
801 56.289 5.5748 1 0.53814 0.368120 0.185 0.37
802 56.481 11.5770 1 0.25914 0.148860 0.160 0.32
803 66.233 15.4490 1 0.19419 0.107530 0.225 0.45
804 57.679 8.0519 1 0.37259 0.228940 0.140 0.28
805 61.009 14.5500 1 0.20618 0.114940 0.170 0.34
806 63.772 11.6190 1 0.25821 0.148240 0.205 0.41
807 63.398 9.1821 1 0.32672 0.195260 0.510 1.02
808 62.907 7.3848 1 0.40624 0.254890 0.160 0.32
809 62.709 10.5110 1 0.28543 0.166470 0.310 0.62
810 62.726 7.2092 1 0.41613 0.262730 0.115 0.23
811 56.481 12.5870 1 0.23834 0.135300 0.160 0.32
812 79.281 11.6490 1 0.25752 0.147790 0.335 0.67
813 59.750 13.9460 1 0.21512 0.120520 0.150 0.30
814 57.679 6.2974 1 0.47638 0.312670 0.140 0.28
815 98.139 10.0720 1 0.29786 0.174990 0.405 0.81
816 57.057 10.7580 1 0.27887 0.162030 0.200 0.40
817 75.478 15.2480 1 0.19675 0.109110 0.335 0.67
818 69.929 9.2065 1 0.32586 0.194640 0.160 0.32
819 56.042 6.3090 1 0.47551 0.311920 0.435 0.87
820 51.689 7.4719 1 0.40150 0.251180 0.140 0.28
821 77.079 9.9933 1 0.30020 0.176610 0.235 0.47
822 54.837 3.6269 1 0.82716 0.705270 0.130 0.26
823 69.718 7.9891 1 0.37551 0.231160 0.100 0.20
824 69.929 12.8010 1 0.23436 0.132730 0.160 0.32
825 66.233 14.0320 1 0.21380 0.119690 0.225 0.45
826 64.536 9.0575 1 0.33122 0.198480 0.575 1.15
827 69.929 20.4970 1 0.14636 0.078961 0.160 0.32
828 62.485 13.5780 1 0.22095 0.124190 0.250 0.50
829 87.094 6.9032 1 0.43458 0.277610 0.270 0.54
830 56.043 6.5563 1 0.45757 0.296660 0.140 0.28
831 61.868 15.8460 1 0.18932 0.104560 0.280 0.56
832 49.123 8.9198 1 0.33633 0.202160 0.075 0.15
833 64.536 6.6124 1 0.45370 0.293410 0.575 1.15
834 62.485 15.4530 1 0.19414 0.107510 0.250 0.50
835 62.726 5.6094 1 0.53481 0.365010 0.115 0.23
836 66.333 7.7322 1 0.38799 0.240680 0.195 0.39
837 62.709 9.3601 1 0.32051 0.190840 0.310 0.62
838 56.042 6.6135 1 0.45361 0.293340 0.435 0.87
839 54.837 9.0735 1 0.33063 0.198060 0.130 0.26
840 51.689 7.9318 1 0.37823 0.233220 0.140 0.28
841 62.709 9.6500 1 0.31088 0.184050 0.310 0.62
842 71.548 7.8546 1 0.38194 0.236050 0.175 0.35
843 61.009 10.1540 1 0.29545 0.173330 0.170 0.34
844 77.079 12.3680 1 0.24255 0.138010 0.235 0.47
845 56.289 11.2360 1 0.26700 0.154070 0.185 0.37
846 56.103 10.9840 1 0.27313 0.158170 0.145 0.29
847 57.057 11.5180 1 0.26046 0.149730 0.200 0.40
848 66.336 6.3067 1 0.47569 0.312070 0.330 0.66
849 66.233 18.6760 1 0.16064 0.087333 0.225 0.45
850 62.709 9.9375 1 0.30189 0.177780 0.310 0.62
851 63.398 14.6660 1 0.20455 0.113930 0.510 1.02
852 51.689 9.3174 1 0.32198 0.191880 0.140 0.28
853 57.679 5.0619 1 0.59267 0.421130 0.140 0.28
854 56.693 6.4874 1 0.46243 0.300760 0.305 0.61
855 71.548 4.0060 1 0.74888 0.598560 0.175 0.35
856 66.336 12.1400 1 0.24712 0.140980 0.330 0.66
857 62.726 8.3920 1 0.35748 0.217640 0.115 0.23
858 62.726 9.9780 1 0.30066 0.176930 0.115 0.23
859 48.136 6.5109 1 0.46077 0.299350 0.140 0.28
860 60.716 6.7079 1 0.44723 0.288020 0.260 0.52
861 75.289 11.6580 1 0.25733 0.147660 0.335 0.67
862 62.485 14.0040 1 0.21422 0.119960 0.250 0.50
863 63.772 9.3110 1 0.32220 0.192040 0.205 0.41
864 77.079 13.1150 1 0.22875 0.129150 0.235 0.47
865 87.094 5.8784 1 0.51034 0.342590 0.270 0.54
866 56.103 10.5500 1 0.28436 0.165750 0.145 0.29
867 62.726 6.9958 1 0.42883 0.272940 0.115 0.23
868 62.709 14.8860 1 0.20153 0.112050 0.310 0.62
869 78.176 6.6107 1 0.45381 0.293500 0.405 0.81
870 75.478 6.8375 1 0.43876 0.281030 0.335 0.67
871 56.043 10.5070 1 0.28554 0.166540 0.140 0.28
872 40.373 8.9273 1 0.33605 0.201960 0.275 0.55
873 64.411 9.2939 1 0.32279 0.192460 0.175 0.35
874 61.868 16.6650 1 0.18002 0.098913 0.280 0.56
875 62.709 8.5007 1 0.35291 0.214260 0.310 0.62
876 64.411 10.3040 1 0.29114 0.170370 0.175 0.35
877 56.481 10.5950 1 0.28315 0.164920 0.160 0.32
878 79.281 16.7560 1 0.17904 0.098323 0.335 0.67
879 62.726 9.3566 1 0.32063 0.190920 0.115 0.23
880 48.136 9.6516 1 0.31083 0.184010 0.140 0.28
881 50.826 4.8202 1 0.62238 0.451780 0.070 0.14
882 56.042 8.3720 1 0.35834 0.218280 0.435 0.87
883 77.835 13.6680 1 0.21950 0.123280 0.245 0.49
884 54.837 9.2932 1 0.32282 0.192480 0.130 0.26
885 79.281 9.0566 1 0.33125 0.198500 0.335 0.67
886 57.057 14.9880 1 0.20016 0.111210 0.200 0.40
887 76.958 8.4164 1 0.35645 0.216870 0.250 0.50
888 87.094 11.0980 1 0.27032 0.156280 0.270 0.54
889 57.057 9.6993 1 0.30930 0.182940 0.200 0.40
890 50.826 6.7941 1 0.44156 0.283340 0.070 0.14
891 40.373 8.2359 1 0.36426 0.222690 0.275 0.55
892 63.772 8.4997 1 0.35295 0.214290 0.205 0.41
893 49.123 10.1430 1 0.29576 0.173550 0.075 0.15
894 63.772 9.2329 1 0.32492 0.193980 0.205 0.41
895 56.042 10.7400 1 0.27933 0.162340 0.435 0.87
896 76.958 13.6290 1 0.22012 0.123670 0.250 0.50
897 87.094 7.8372 1 0.38279 0.236700 0.270 0.54
898 59.750 14.1970 1 0.21131 0.118130 0.150 0.30
899 48.136 5.7793 1 0.51909 0.350520 0.140 0.28
900 40.373 6.9027 1 0.43461 0.277640 0.275 0.55
901 49.123 9.7081 1 0.30902 0.182750 0.075 0.15
902 54.837 8.5906 1 0.34922 0.211550 0.130 0.26
903 61.009 11.5000 1 0.26086 0.150000 0.170 0.34
904 49.123 10.5270 1 0.28498 0.166170 0.075 0.15
905 64.536 6.3326 1 0.47374 0.310390 0.575 1.15
906 49.123 7.3669 1 0.40723 0.255670 0.075 0.15
907 64.536 7.1457 1 0.41983 0.265690 0.575 1.15
908 62.485 13.0230 1 0.23036 0.130170 0.250 0.50
909 64.411 14.5660 1 0.20596 0.114800 0.175 0.35
910 76.958 19.7160 1 0.15216 0.082343 0.250 0.50
911 71.548 5.2545 1 0.57094 0.399520 0.175 0.35
912 63.772 6.7794 1 0.44252 0.284130 0.205 0.41
913 78.176 7.1561 1 0.41922 0.265200 0.405 0.81
914 56.289 7.9661 1 0.37660 0.231980 0.185 0.37
915 77.835 7.2086 1 0.41617 0.262760 0.245 0.49
916 50.826 6.1626 1 0.48681 0.321710 0.070 0.14
917 56.042 10.5100 1 0.28545 0.166490 0.435 0.87
918 48.136 8.4936 1 0.35321 0.214480 0.140 0.28
919 56.042 6.6550 1 0.45079 0.290980 0.435 0.87
920 54.837 7.1803 1 0.41781 0.264070 0.130 0.26
921 65.939 9.8807 1 0.30362 0.178980 0.180 0.36
922 57.057 7.6012 1 0.39468 0.245850 0.200 0.40
923 49.123 7.5338 1 0.39821 0.248600 0.075 0.15
924 91.370 12.9140 1 0.23231 0.131420 0.440 0.88
925 77.835 12.5090 1 0.23982 0.136250 0.245 0.49
926 59.750 10.5780 1 0.28359 0.165230 0.150 0.30
927 65.641 21.1340 1 0.14195 0.076397 0.210 0.42
928 63.772 12.1900 1 0.24611 0.140320 0.205 0.41
929 66.233 8.7591 1 0.34250 0.206640 0.225 0.45
930 59.750 8.2727 1 0.36264 0.221480 0.150 0.30
931 87.094 12.9250 1 0.23210 0.131290 0.270 0.54
932 50.826 5.9364 1 0.50535 0.338110 0.070 0.14
933 51.689 6.4162 1 0.46756 0.305110 0.140 0.28
934 62.907 9.4201 1 0.31847 0.189390 0.160 0.32
935 56.103 8.0865 1 0.37099 0.227740 0.145 0.29
936 62.709 7.1618 1 0.41889 0.264940 0.310 0.62
937 56.481 25.2670 1 0.11873 0.063112 0.160 0.32
938 62.907 6.6476 1 0.45129 0.291400 0.160 0.32
939 57.679 9.5669 1 0.31358 0.185940 0.140 0.28
940 64.536 11.6420 1 0.25770 0.147900 0.575 1.15
941 65.641 12.7110 1 0.23602 0.133800 0.210 0.42
942 71.548 5.8913 1 0.50923 0.341590 0.175 0.35
943 65.939 10.4010 1 0.28843 0.168520 0.180 0.36
944 61.868 15.0660 1 0.19912 0.110570 0.280 0.56
945 56.289 11.7020 1 0.25637 0.147030 0.185 0.37
946 62.485 13.3640 1 0.22448 0.126430 0.250 0.50
947 56.481 11.1950 1 0.26797 0.154720 0.160 0.32
948 64.536 11.6230 1 0.25811 0.148180 0.575 1.15
949 49.123 9.0673 1 0.33086 0.198220 0.075 0.15
950 87.094 14.5520 1 0.20616 0.114930 0.270 0.54
951 66.233 9.9025 1 0.30296 0.178520 0.225 0.45
952 64.536 8.5184 1 0.35218 0.213720 0.575 1.15
953 65.215 7.8543 1 0.38196 0.236060 0.340 0.68
954 87.094 7.9624 1 0.37677 0.232110 0.270 0.54
955 49.123 9.1744 1 0.32700 0.195450 0.075 0.15
956 50.826 6.9583 1 0.43114 0.274810 0.070 0.14
957 87.094 8.2621 1 0.36310 0.221820 0.270 0.54
958 65.215 7.2126 1 0.41594 0.262580 0.340 0.68
959 64.411 10.4110 1 0.28816 0.168330 0.175 0.35
960 51.689 6.6719 1 0.44965 0.290030 0.140 0.28
961 56.043 6.2678 1 0.47864 0.314610 0.140 0.28
962 65.939 8.7275 1 0.34374 0.207540 0.180 0.36
963 61.868 12.8410 1 0.23363 0.132270 0.280 0.56
964 62.907 11.3640 1 0.26399 0.152070 0.160 0.32
965 63.398 9.5828 1 0.31306 0.185580 0.510 1.02
966 87.094 8.1766 1 0.36690 0.224660 0.270 0.54
967 60.716 14.3250 1 0.20942 0.116960 0.260 0.52
968 77.079 12.7390 1 0.23549 0.133460 0.235 0.47
969 56.103 8.7846 1 0.34151 0.205910 0.145 0.29
970 40.373 6.3193 1 0.47474 0.311250 0.275 0.55
971 62.709 14.3060 1 0.20971 0.117140 0.310 0.62
972 62.726 5.9551 1 0.50377 0.336690 0.115 0.23
973 51.689 7.3174 1 0.40998 0.257850 0.140 0.28
974 71.548 7.0257 1 0.42701 0.271460 0.175 0.35
975 87.094 7.0192 1 0.42740 0.271780 0.270 0.54
976 56.289 8.7899 1 0.34130 0.205760 0.185 0.37
977 56.481 14.4010 1 0.20832 0.116270 0.160 0.32
978 51.689 5.1726 1 0.57998 0.408430 0.140 0.28
979 62.709 7.7658 1 0.38631 0.239390 0.310 0.62
980 87.094 7.3528 1 0.40801 0.256290 0.270 0.54
981 62.485 12.5410 1 0.23921 0.135850 0.250 0.50
982 56.481 19.6040 1 0.15303 0.082854 0.160 0.32
983 64.411 11.7780 1 0.25472 0.145950 0.175 0.35
984 49.123 7.3463 1 0.40837 0.256570 0.075 0.15
985 65.939 14.5070 1 0.20680 0.115330 0.180 0.36
986 56.103 9.5104 1 0.31545 0.187260 0.145 0.29
987 77.835 7.7346 1 0.38787 0.240590 0.245 0.49
988 60.716 7.8808 1 0.38067 0.235080 0.260 0.52
989 54.837 6.4356 1 0.46615 0.303910 0.130 0.26
990 59.750 16.6330 1 0.18036 0.099121 0.150 0.30
991 63.398 8.2561 1 0.36337 0.222020 0.510 1.02
992 62.485 15.9280 1 0.18835 0.103970 0.250 0.50
993 63.398 8.0836 1 0.37112 0.227840 0.510 1.02
994 87.094 9.8357 1 0.30501 0.179950 0.270 0.54
995 77.835 10.9640 1 0.27362 0.158490 0.245 0.49
996 40.373 8.3971 1 0.35727 0.217480 0.275 0.55
997 62.709 9.3055 1 0.32239 0.192170 0.310 0.62
998 62.907 13.4440 1 0.22314 0.125580 0.160 0.32
999 60.716 10.0810 1 0.29760 0.174810 0.260 0.52
1000 56.043 5.6810 1 0.52808 0.358770 0.140 0.28
1001 66.336 6.2825 1 0.47751 0.313640 0.330 0.66
1002 57.057 11.7070 1 0.25627 0.146960 0.200 0.40
1003 48.136 9.4002 1 0.31914 0.189870 0.140 0.28
1004 77.079 9.3600 1 0.32051 0.190840 0.235 0.47
1005 57.679 5.6579 1 0.53023 0.360760 0.140 0.28
1006 87.094 7.5307 1 0.39837 0.248730 0.270 0.54
1007 56.289 12.6650 1 0.23687 0.134350 0.185 0.37
1008 65.641 10.4970 1 0.28580 0.166730 0.210 0.42
1009 62.709 9.7463 1 0.30781 0.181900 0.310 0.62
1010 87.094 8.0983 1 0.37045 0.227330 0.270 0.54
1011 49.123 7.0400 1 0.42614 0.270760 0.075 0.15
1012 61.009 9.8743 1 0.30382 0.179120 0.170 0.34
1013 57.057 11.3190 1 0.26505 0.152770 0.200 0.40
1014 40.373 8.1206 1 0.36943 0.226560 0.275 0.55
1015 59.750 8.7479 1 0.34294 0.206960 0.150 0.30
1016 49.123 9.3150 1 0.32206 0.191940 0.075 0.15
1017 56.481 15.5570 1 0.19284 0.106710 0.160 0.32
1018 63.772 8.8876 1 0.33755 0.203040 0.205 0.41
1019 59.750 8.0617 1 0.37213 0.228600 0.150 0.30
1020 60.716 8.0850 1 0.37106 0.227790 0.260 0.52
1021 56.103 15.0990 1 0.19869 0.110300 0.145 0.29
1022 71.548 7.9620 1 0.37679 0.232120 0.175 0.35
1023 51.689 10.1480 1 0.29563 0.173450 0.140 0.28
1024 78.176 5.5909 1 0.53659 0.366670 0.405 0.81
1025 56.693 7.3835 1 0.40631 0.254950 0.305 0.61
1026 66.333 5.6568 1 0.53034 0.360860 0.195 0.39
1027 63.772 6.2120 1 0.48293 0.318330 0.205 0.41
1028 62.709 9.6927 1 0.30951 0.183090 0.310 0.62
1029 57.057 9.4994 1 0.31581 0.187510 0.200 0.40
1030 62.907 6.1061 1 0.49131 0.325650 0.160 0.32
1031 51.689 6.1282 1 0.48954 0.324100 0.140 0.28
1032 51.689 11.5120 1 0.26059 0.149820 0.140 0.28
1033 98.139 9.5913 1 0.31278 0.185390 0.405 0.81
1034 62.485 10.7930 1 0.27796 0.161420 0.250 0.50
1035 91.370 13.5250 1 0.22181 0.124740 0.440 0.88
1036 57.679 6.8179 1 0.44002 0.282070 0.140 0.28
1037 87.094 6.4006 1 0.46871 0.306080 0.270 0.54
1038 66.333 10.9070 1 0.27505 0.159450 0.195 0.39
1039 66.233 14.3950 1 0.20840 0.116320 0.225 0.45
1040 54.837 6.4701 1 0.46367 0.301800 0.130 0.26
1041 56.042 10.4380 1 0.28742 0.167830 0.435 0.87
1042 66.233 10.7230 1 0.27978 0.162640 0.225 0.45
1043 61.868 11.4490 1 0.26204 0.150780 0.280 0.56
1044 69.718 6.0458 1 0.49621 0.329970 0.100 0.20
1045 61.009 11.4450 1 0.26212 0.150830 0.170 0.34
1046 56.693 10.5990 1 0.28305 0.164850 0.305 0.61
1047 64.536 6.2768 1 0.47795 0.314020 0.575 1.15
1048 48.136 6.8718 1 0.43657 0.279240 0.140 0.28
1049 57.057 10.7620 1 0.27875 0.161950 0.200 0.40
1050 69.929 12.1400 1 0.24712 0.140980 0.160 0.32
1051 64.536 10.0810 1 0.29758 0.174800 0.575 1.15
1052 59.750 7.9214 1 0.37872 0.233600 0.150 0.30
1053 56.103 8.7815 1 0.34163 0.206000 0.145 0.29
1054 56.103 9.5697 1 0.31349 0.185880 0.145 0.29
1055 51.689 7.4636 1 0.40195 0.251520 0.140 0.28
1056 63.772 11.2220 1 0.26733 0.154290 0.205 0.41
1057 56.289 11.0410 1 0.27171 0.157210 0.185 0.37
1058 56.103 9.5743 1 0.31334 0.185780 0.145 0.29
1059 49.123 6.8844 1 0.43577 0.278580 0.075 0.15
1060 91.370 11.8890 1 0.25233 0.144380 0.440 0.88
1061 54.837 10.0530 1 0.29843 0.175380 0.130 0.26
1062 64.411 13.0450 1 0.22998 0.129930 0.175 0.35
1063 62.709 8.1524 1 0.36799 0.225480 0.310 0.62
1064 65.641 11.6900 1 0.25664 0.147210 0.210 0.42
1065 66.333 10.1450 1 0.29570 0.173500 0.195 0.39
1066 57.679 9.7564 1 0.30749 0.181680 0.140 0.28
1067 71.548 5.0052 1 0.59938 0.427940 0.175 0.35
1068 65.215 9.8837 1 0.30353 0.178920 0.340 0.68
1069 79.281 8.4668 1 0.35432 0.215310 0.335 0.67
1070 48.136 7.0758 1 0.42398 0.269020 0.140 0.28
1071 64.411 13.8770 1 0.21619 0.121200 0.175 0.35
1072 50.826 7.1871 1 0.41741 0.263750 0.070 0.14
1073 62.485 13.2060 1 0.22716 0.128140 0.250 0.50
1074 48.136 6.3753 1 0.47057 0.307680 0.140 0.28
1075 57.679 9.8539 1 0.30445 0.179560 0.140 0.28
1076 76.958 9.6367 1 0.31131 0.184350 0.250 0.50
1077 65.641 11.8080 1 0.25408 0.145520 0.210 0.42
1078 64.411 13.4650 1 0.22279 0.125360 0.175 0.35
1079 56.481 18.1890 1 0.16494 0.089880 0.160 0.32
1080 56.481 10.3880 1 0.28880 0.168770 0.160 0.32
1081 59.750 16.1550 1 0.18570 0.102350 0.150 0.30
1082 65.641 15.8130 1 0.18972 0.104800 0.210 0.42
1083 62.485 8.1618 1 0.36757 0.225160 0.250 0.50
1084 65.939 7.2359 1 0.41460 0.261510 0.180 0.36
1085 71.548 7.7983 1 0.38470 0.238160 0.175 0.35
1086 56.042 7.4347 1 0.40351 0.252750 0.435 0.87
1087 71.548 6.5565 1 0.45756 0.296650 0.175 0.35
1088 60.716 5.5798 1 0.53765 0.367660 0.260 0.52
1089 65.939 10.2770 1 0.29191 0.170900 0.180 0.36
1090 40.373 8.3725 1 0.35831 0.218260 0.275 0.55
1091 54.837 8.4924 1 0.35326 0.214520 0.130 0.26
1092 57.057 8.7561 1 0.34262 0.206720 0.200 0.40
1093 76.958 7.2942 1 0.41128 0.258880 0.250 0.50
1094 57.679 6.4779 1 0.46312 0.301330 0.140 0.28
1095 56.289 10.2860 1 0.29167 0.170730 0.185 0.37
1096 51.689 5.7765 1 0.51935 0.350750 0.140 0.28
1097 61.009 14.3100 1 0.20965 0.117100 0.170 0.34
1098 50.826 3.0000 1 1.00000 1.000000 0.070 0.14
1099 54.837 6.6079 1 0.45400 0.293660 0.130 0.26
1100 65.641 9.6632 1 0.31046 0.183750 0.210 0.42
1101 63.398 9.2380 1 0.32475 0.193850 0.510 1.02
1102 75.289 11.9530 1 0.25099 0.143500 0.335 0.67
1103 69.718 5.7562 1 0.52117 0.352420 0.100 0.20
1104 57.679 8.2355 1 0.36427 0.222700 0.140 0.28
1105 40.373 10.2510 1 0.29265 0.171410 0.275 0.55
1106 56.103 9.1221 1 0.32887 0.196800 0.145 0.29
1107 62.907 8.2355 1 0.36428 0.222700 0.160 0.32
1108 69.718 6.6488 1 0.45121 0.291330 0.100 0.20
1109 66.336 10.2920 1 0.29149 0.170610 0.330 0.66
1110 60.716 9.5544 1 0.31399 0.186230 0.260 0.52
1111 77.835 7.6933 1 0.38995 0.242200 0.245 0.49
1112 63.772 8.7787 1 0.34174 0.206080 0.205 0.41
1113 56.042 9.7980 1 0.30618 0.180770 0.435 0.87
1114 87.094 7.0454 1 0.42581 0.270490 0.270 0.54
1115 65.641 13.7700 1 0.21787 0.122250 0.210 0.42
1116 62.907 7.1472 1 0.41974 0.265620 0.160 0.32
1117 62.485 13.0300 1 0.23025 0.130100 0.250 0.50
1118 77.835 10.2870 1 0.29162 0.170700 0.245 0.49
1119 77.079 10.6250 1 0.28236 0.164390 0.235 0.47
1120 50.826 7.5952 1 0.39499 0.246100 0.070 0.14
1121 71.548 4.1225 1 0.72772 0.571980 0.175 0.35
1122 50.826 4.5057 1 0.66583 0.499050 0.070 0.14
1123 50.826 5.4557 1 0.54989 0.379200 0.070 0.14
1124 79.281 16.6220 1 0.18048 0.099193 0.335 0.67
1125 62.709 10.6850 1 0.28077 0.163310 0.310 0.62
1126 50.826 4.7185 1 0.63579 0.466050 0.070 0.14
1127 57.679 12.5410 1 0.23921 0.135850 0.140 0.28
1128 61.009 8.4060 1 0.35689 0.217200 0.170 0.34
1129 69.718 3.5192 1 0.85247 0.742880 0.100 0.20
1130 57.679 8.1742 1 0.36701 0.224750 0.140 0.28
1131 71.548 9.2517 1 0.32426 0.193510 0.175 0.35
1132 56.481 16.8130 1 0.17843 0.097955 0.160 0.32
1133 91.370 7.3337 1 0.40907 0.257130 0.440 0.88
1134 69.929 12.8970 1 0.23262 0.131620 0.160 0.32
1135 57.679 9.0139 1 0.33282 0.199630 0.140 0.28
1136 56.289 11.1400 1 0.26930 0.155600 0.185 0.37
1137 64.411 14.0810 1 0.21305 0.119230 0.175 0.35
1138 65.641 13.4130 1 0.22366 0.125910 0.210 0.42
1139 71.548 5.5847 1 0.53718 0.367220 0.175 0.35
1140 79.281 12.8240 1 0.23393 0.132460 0.335 0.67
1141 64.411 14.5680 1 0.20594 0.114790 0.175 0.35
1142 63.398 11.8180 1 0.25386 0.145380 0.510 1.02
1143 77.835 17.4740 1 0.17169 0.093904 0.245 0.49
1144 56.043 10.9430 1 0.27415 0.158850 0.140 0.28
1145 57.679 9.3406 1 0.32118 0.191310 0.140 0.28
1146 87.094 7.3931 1 0.40579 0.254540 0.270 0.54
1147 56.481 14.0930 1 0.21287 0.119110 0.160 0.32
1148 61.868 11.0310 1 0.27196 0.157380 0.280 0.56
1149 57.679 7.9521 1 0.37726 0.232480 0.140 0.28
1150 62.907 5.9482 1 0.50435 0.337220 0.160 0.32
1151 87.094 11.4740 1 0.26147 0.150400 0.270 0.54
1152 66.233 11.2490 1 0.26670 0.153870 0.225 0.45
1153 65.939 11.3170 1 0.26509 0.152790 0.180 0.36
1154 76.958 11.0140 1 0.27237 0.157660 0.250 0.50
1155 63.398 9.4206 1 0.31845 0.189380 0.510 1.02
1156 40.373 5.3011 1 0.56592 0.394620 0.275 0.55
1157 69.718 4.8819 1 0.61452 0.443540 0.100 0.20
1158 79.281 14.6030 1 0.20544 0.114480 0.335 0.67
1159 64.411 10.3960 1 0.28857 0.168610 0.175 0.35
1160 56.042 10.4690 1 0.28657 0.167250 0.435 0.87
1161 56.693 14.6290 1 0.20508 0.114250 0.305 0.61
1162 49.123 10.1810 1 0.29467 0.172790 0.075 0.15
1163 79.281 8.8635 1 0.33847 0.203710 0.335 0.67
1164 65.641 11.4900 1 0.26109 0.150150 0.210 0.42
1165 65.641 18.3330 1 0.16364 0.089111 0.210 0.42
1166 40.373 11.0750 1 0.27088 0.156660 0.275 0.55
1167 57.679 9.5162 1 0.31525 0.187120 0.140 0.28
1168 51.689 7.6800 1 0.39062 0.242720 0.140 0.28
1169 98.139 10.2410 1 0.29293 0.171600 0.405 0.81
1170 61.009 8.2015 1 0.36579 0.223830 0.170 0.34
1171 56.289 12.4180 1 0.24158 0.137380 0.185 0.37
1172 56.043 13.0950 1 0.22910 0.129370 0.140 0.28
1173 61.868 13.5450 1 0.22148 0.124530 0.280 0.56
1174 56.103 9.3740 1 0.32003 0.190500 0.145 0.29
1175 65.641 16.9510 1 0.17698 0.097084 0.210 0.42
1176 40.373 4.6098 1 0.65079 0.482350 0.275 0.55
1177 71.548 8.9250 1 0.33613 0.202020 0.175 0.35
1178 57.057 10.6920 1 0.28058 0.163180 0.200 0.40
1179 65.215 6.2942 1 0.47663 0.312880 0.340 0.68
1180 56.693 10.0400 1 0.29880 0.175640 0.305 0.61
1181 51.689 8.3001 1 0.36144 0.220590 0.140 0.28
1182 48.136 8.0006 1 0.37497 0.230750 0.140 0.28
1183 87.094 9.9743 1 0.30077 0.177010 0.270 0.54
1184 60.716 8.1408 1 0.36852 0.225880 0.260 0.52
1185 51.689 10.1250 1 0.29629 0.173910 0.140 0.28
1186 56.043 7.6294 1 0.39322 0.244720 0.140 0.28
1187 40.373 8.6051 1 0.34863 0.211120 0.275 0.55
1188 66.233 11.6790 1 0.25687 0.147360 0.225 0.45
1189 40.373 4.6171 1 0.64977 0.481220 0.275 0.55
1190 56.042 7.3531 1 0.40799 0.256270 0.435 0.87
1191 69.929 6.4680 1 0.46383 0.301940 0.160 0.32
1192 56.043 11.7900 1 0.25444 0.145770 0.140 0.28
1193 65.939 9.7134 1 0.30885 0.182630 0.180 0.36
1194 48.136 9.2932 1 0.32282 0.192480 0.140 0.28
1195 63.772 9.8809 1 0.30362 0.178980 0.205 0.41
1196 62.907 9.9129 1 0.30263 0.178300 0.160 0.32
1197 75.289 14.3380 1 0.20923 0.116840 0.335 0.67
1198 64.536 7.8562 1 0.38187 0.235990 0.575 1.15
1199 57.679 17.9980 1 0.16669 0.090921 0.140 0.28
1200 56.481 12.3100 1 0.24370 0.138760 0.160 0.32
1201 65.215 8.5577 1 0.35056 0.212530 0.340 0.68
1202 56.043 8.0230 1 0.37393 0.229960 0.140 0.28
1203 48.136 7.4670 1 0.40177 0.251380 0.140 0.28
1204 64.536 9.9147 1 0.30258 0.178260 0.575 1.15
1205 61.009 7.2608 1 0.41318 0.260380 0.170 0.34
1206 62.726 10.4650 1 0.28666 0.167310 0.115 0.23
1207 57.679 4.3764 1 0.68549 0.521480 0.140 0.28
1208 56.043 9.9204 1 0.30241 0.178140 0.140 0.28
1209 54.837 7.3964 1 0.40560 0.254390 0.130 0.26
1210 57.057 9.6482 1 0.31094 0.184090 0.200 0.40
1211 51.689 8.5520 1 0.35080 0.212710 0.140 0.28
1212 64.536 8.4467 1 0.35517 0.215930 0.575 1.15
1213 56.481 11.1660 1 0.26868 0.155190 0.160 0.32
1214 62.709 7.0254 1 0.42702 0.271470 0.310 0.62
1215 79.281 12.2790 1 0.24432 0.139160 0.335 0.67
1216 64.536 6.3599 1 0.47170 0.308650 0.575 1.15
1217 59.750 19.3400 1 0.15512 0.084081 0.150 0.30
1218 56.693 7.4481 1 0.40279 0.252180 0.305 0.61
1219 57.679 7.3900 1 0.40595 0.254670 0.140 0.28
1220 69.929 7.2327 1 0.41478 0.261660 0.160 0.32
1221 49.123 8.1144 1 0.36971 0.226780 0.075 0.15
1222 77.079 12.5490 1 0.23906 0.135760 0.235 0.47
1223 66.336 11.8190 1 0.25383 0.145370 0.330 0.66
1224 48.136 11.2930 1 0.26565 0.153170 0.140 0.28
1225 62.709 8.1341 1 0.36882 0.226100 0.310 0.62
1226 54.837 7.0343 1 0.42648 0.271040 0.130 0.26
1227 64.411 8.1930 1 0.36617 0.224110 0.175 0.35
1228 59.750 6.7828 1 0.44229 0.283940 0.150 0.30
1229 77.835 9.9483 1 0.30156 0.177550 0.245 0.49
1230 56.103 9.2717 1 0.32357 0.193010 0.145 0.29
1231 69.718 3.9374 1 0.76192 0.615400 0.100 0.20
1232 87.094 8.0365 1 0.37330 0.229480 0.270 0.54
1233 64.411 10.1040 1 0.29690 0.174330 0.175 0.35
1234 48.136 10.2210 1 0.29352 0.172000 0.140 0.28
1235 77.079 5.2634 1 0.56997 0.398570 0.235 0.47
1236 64.411 9.3243 1 0.32174 0.191710 0.175 0.35
1237 66.336 7.1388 1 0.42024 0.266010 0.330 0.66
1238 77.835 13.1600 1 0.22796 0.128640 0.245 0.49
1239 65.641 13.9460 1 0.21511 0.120520 0.210 0.42
1240 57.057 10.6900 1 0.28063 0.163220 0.200 0.40
1241 75.478 13.9830 1 0.21455 0.120170 0.335 0.67
1242 65.641 14.9310 1 0.20092 0.111680 0.210 0.42
1243 63.772 11.0230 1 0.27216 0.157510 0.205 0.41
1244 57.057 8.6855 1 0.34540 0.208750 0.200 0.40
1245 51.689 9.6992 1 0.30931 0.182950 0.140 0.28
1246 63.398 9.5625 1 0.31372 0.186050 0.510 1.02
1247 56.042 10.0880 1 0.29739 0.174670 0.435 0.87
1248 54.837 9.4830 1 0.31636 0.187900 0.130 0.26
1249 78.176 4.2494 1 0.70598 0.545570 0.405 0.81
1250 75.289 12.0700 1 0.24855 0.141910 0.335 0.67
1251 66.333 8.8397 1 0.33938 0.204370 0.195 0.39
1252 63.772 9.5467 1 0.31424 0.186410 0.205 0.41
1253 54.837 6.6955 1 0.44806 0.288710 0.130 0.26
1254 64.411 10.3790 1 0.28905 0.168940 0.175 0.35
1255 56.289 15.6870 1 0.19124 0.105730 0.185 0.37
1256 57.679 8.7399 1 0.34325 0.207190 0.140 0.28
1257 62.726 4.8051 1 0.62434 0.453850 0.115 0.23
1258 71.548 6.6082 1 0.45398 0.293640 0.175 0.35
1259 77.079 11.3490 1 0.26435 0.152300 0.235 0.47
1260 57.679 9.4494 1 0.31748 0.188690 0.140 0.28
1261 62.485 9.6503 1 0.31087 0.184040 0.250 0.50
1262 57.057 9.8215 1 0.30545 0.180260 0.200 0.40
1263 64.536 7.2277 1 0.41507 0.261880 0.575 1.15
1264 60.716 9.2107 1 0.32571 0.194530 0.260 0.52
1265 50.826 4.9892 1 0.60130 0.429900 0.070 0.14
1266 91.370 22.2970 1 0.13455 0.072125 0.440 0.88
1267 50.826 7.0585 1 0.42502 0.269860 0.070 0.14
1268 98.139 6.4353 1 0.46618 0.303930 0.405 0.81
1269 62.907 7.6823 1 0.39051 0.242630 0.160 0.32
1270 40.373 7.7639 1 0.38640 0.239470 0.275 0.55
1271 71.548 6.4476 1 0.46529 0.303180 0.175 0.35
1272 77.835 6.0222 1 0.49816 0.331700 0.245 0.49
1273 48.136 6.6393 1 0.45186 0.291870 0.140 0.28
1274 54.837 7.1512 1 0.41951 0.265430 0.130 0.26
1275 48.136 10.3480 1 0.28991 0.169530 0.140 0.28
1276 77.079 11.0670 1 0.27108 0.156790 0.235 0.47
1277 60.716 7.6402 1 0.39266 0.244290 0.260 0.52
1278 64.536 7.8765 1 0.38088 0.235240 0.575 1.15
1279 56.693 9.0228 1 0.33249 0.199390 0.305 0.61
1280 62.907 10.3760 1 0.28913 0.169000 0.160 0.32
1281 66.333 7.8485 1 0.38224 0.236280 0.195 0.39
1282 62.485 7.0302 1 0.42673 0.271240 0.250 0.50
1283 63.398 7.2918 1 0.41142 0.258980 0.510 1.02
1284 69.929 9.9116 1 0.30268 0.178330 0.160 0.32
1285 54.837 7.4219 1 0.40421 0.253300 0.130 0.26
1286 50.826 5.5703 1 0.53857 0.368520 0.070 0.14
1287 57.679 8.8164 1 0.34028 0.205020 0.140 0.28
1288 79.281 6.8329 1 0.43905 0.281270 0.335 0.67
1289 71.548 6.6664 1 0.45002 0.290340 0.175 0.35
1290 50.826 6.7939 1 0.44158 0.283350 0.070 0.14
1291 78.176 5.9668 1 0.50278 0.335810 0.405 0.81
1292 54.837 8.2052 1 0.36562 0.223710 0.130 0.26
1293 69.718 4.4161 1 0.67933 0.514380 0.100 0.20
1294 57.057 5.7571 1 0.52110 0.352350 0.200 0.40
1295 77.835 9.6716 1 0.31019 0.183560 0.245 0.49
1296 61.009 11.9330 1 0.25140 0.143770 0.170 0.34
1297 69.929 7.6990 1 0.38966 0.241970 0.160 0.32
1298 64.536 6.5006 1 0.46150 0.299960 0.575 1.15
1299 69.718 6.8154 1 0.44018 0.282200 0.100 0.20
1300 61.009 10.9810 1 0.27321 0.158220 0.170 0.34
1301 56.481 11.9290 1 0.25149 0.143830 0.160 0.32
1302 66.233 15.8790 1 0.18893 0.104320 0.225 0.45
1303 66.333 12.5640 1 0.23878 0.135580 0.195 0.39
1304 64.536 13.3330 1 0.22501 0.126760 0.575 1.15
1305 56.103 16.9160 1 0.17735 0.097302 0.145 0.29
1306 65.641 17.6560 1 0.16991 0.092844 0.210 0.42
1307 64.536 8.9216 1 0.33626 0.202110 0.575 1.15
1308 78.176 10.1760 1 0.29481 0.172890 0.405 0.81
1309 49.123 7.4754 1 0.40132 0.251030 0.075 0.15
1310 40.373 5.3354 1 0.56229 0.391100 0.275 0.55
1311 60.716 6.0935 1 0.49233 0.326550 0.260 0.52
1312 59.750 11.8380 1 0.25342 0.145090 0.150 0.30
1313 66.233 13.1210 1 0.22863 0.129070 0.225 0.45
1314 62.709 14.0290 1 0.21384 0.119720 0.310 0.62
1315 78.176 3.8079 1 0.78785 0.649960 0.405 0.81
1316 56.481 12.0470 1 0.24903 0.142220 0.160 0.32
1317 66.233 6.1417 1 0.48847 0.323160 0.225 0.45
1318 59.750 11.8220 1 0.25377 0.145330 0.150 0.30
1319 62.709 12.3840 1 0.24225 0.137820 0.310 0.62
1320 78.176 6.0024 1 0.49980 0.333150 0.405 0.81
1321 60.716 15.6700 1 0.19145 0.105860 0.260 0.52
1322 48.136 7.9780 1 0.37603 0.231550 0.140 0.28
1323 65.215 5.0889 1 0.58951 0.417950 0.340 0.68
1324 56.693 11.5120 1 0.26061 0.149830 0.305 0.61
1325 91.370 10.4810 1 0.28624 0.167030 0.440 0.88
1326 56.042 15.9820 1 0.18771 0.103580 0.435 0.87
1327 64.411 16.4150 1 0.18276 0.100570 0.175 0.35
1328 57.057 8.6697 1 0.34603 0.209210 0.200 0.40
1329 65.641 9.5412 1 0.31443 0.186540 0.210 0.42
1330 75.289 11.1980 1 0.26791 0.154670 0.335 0.67
1331 63.398 9.4193 1 0.31850 0.189410 0.510 1.02
1332 59.750 12.1040 1 0.24785 0.141450 0.150 0.30
1333 66.333 9.5765 1 0.31327 0.185720 0.195 0.39
1334 62.485 11.6820 1 0.25680 0.147320 0.250 0.50
1335 56.289 6.1191 1 0.49027 0.324740 0.185 0.37
1336 56.481 14.9340 1 0.20088 0.111660 0.160 0.32
1337 64.411 15.8670 1 0.18907 0.104410 0.175 0.35
1338 98.139 7.7960 1 0.38481 0.238250 0.405 0.81
1339 54.837 9.4657 1 0.31693 0.188310 0.130 0.26
1340 49.123 9.6700 1 0.31024 0.183600 0.075 0.15
1341 61.868 10.9080 1 0.27503 0.159440 0.280 0.56
1342 65.215 8.2902 1 0.36187 0.220910 0.340 0.68
1343 57.679 9.3689 1 0.32021 0.190620 0.140 0.28
1344 48.136 7.7229 1 0.38846 0.241050 0.140 0.28
1345 56.043 13.8050 1 0.21731 0.121900 0.140 0.28
1346 63.398 7.7760 1 0.38580 0.239010 0.510 1.02
1347 51.689 7.6752 1 0.39087 0.242910 0.140 0.28
1348 62.485 10.8670 1 0.27607 0.160140 0.250 0.50
1349 51.689 6.0015 1 0.49988 0.333220 0.140 0.28
1350 51.689 8.3337 1 0.35999 0.219500 0.140 0.28
1351 75.289 18.2950 1 0.16398 0.089310 0.335 0.67
1352 64.411 12.3490 1 0.24293 0.138260 0.175 0.35
1353 57.057 12.1350 1 0.24721 0.141040 0.200 0.40
1354 56.043 8.9620 1 0.33475 0.201020 0.140 0.28
1355 49.123 7.5731 1 0.39614 0.246990 0.075 0.15
1356 50.826 5.1360 1 0.58412 0.412550 0.070 0.14
1357 54.837 8.7694 1 0.34210 0.206340 0.130 0.26
1358 64.411 13.6030 1 0.22054 0.123940 0.175 0.35
1359 77.079 16.9930 1 0.17654 0.096815 0.235 0.47
1360 61.009 10.8840 1 0.27563 0.159840 0.170 0.34
1361 69.718 3.4268 1 0.87545 0.778490 0.100 0.20
1362 62.726 8.3316 1 0.36008 0.219570 0.115 0.23
1363 66.333 9.2851 1 0.32310 0.192680 0.195 0.39
1364 60.716 10.4380 1 0.28740 0.167810 0.260 0.52
1365 65.215 8.3514 1 0.35922 0.218930 0.340 0.68
1366 62.485 13.5310 1 0.22171 0.124680 0.250 0.50
1367 56.103 20.4100 1 0.14699 0.079323 0.145 0.29
1368 56.289 13.5490 1 0.22141 0.124490 0.185 0.37
1369 65.641 18.5810 1 0.16146 0.087819 0.210 0.42
1370 60.716 11.1490 1 0.26908 0.155460 0.260 0.52
1371 66.333 8.5121 1 0.35244 0.213910 0.195 0.39
1372 57.679 7.9720 1 0.37632 0.231770 0.140 0.28
1373 65.215 6.9883 1 0.42929 0.273310 0.340 0.68
1374 87.094 8.3080 1 0.36110 0.220330 0.270 0.54
1375 91.370 18.1670 1 0.16513 0.089996 0.440 0.88
1376 62.709 8.6728 1 0.34591 0.209120 0.310 0.62
1377 40.373 8.0425 1 0.37302 0.229270 0.275 0.55
1378 61.868 12.5580 1 0.23889 0.135640 0.280 0.56
1379 66.336 13.7690 1 0.21788 0.122260 0.330 0.66
1380 61.868 10.6290 1 0.28226 0.164320 0.280 0.56
1381 65.641 8.8213 1 0.34009 0.204880 0.210 0.42
1382 56.043 10.7750 1 0.27843 0.161730 0.140 0.28
1383 40.373 10.1120 1 0.29668 0.174180 0.275 0.55
1384 51.689 11.4420 1 0.26219 0.150880 0.140 0.28
1385 56.289 10.8990 1 0.27526 0.159590 0.185 0.37
1386 40.373 6.1210 1 0.49012 0.324610 0.275 0.55
1387 40.373 10.5770 1 0.28363 0.165250 0.275 0.55
1388 50.826 5.6337 1 0.53251 0.362870 0.070 0.14
1389 65.939 10.9340 1 0.27437 0.158990 0.180 0.36
1390 49.123 5.1585 1 0.58156 0.410000 0.075 0.15
1391 69.929 10.6230 1 0.28242 0.164430 0.160 0.32
1392 62.726 13.1760 1 0.22768 0.128470 0.115 0.23
1393 61.009 6.8213 1 0.43980 0.281890 0.170 0.34
1394 64.411 7.7986 1 0.38469 0.238150 0.175 0.35
1395 60.716 6.7695 1 0.44317 0.284660 0.260 0.52
1396 56.043 14.3780 1 0.20865 0.116480 0.140 0.28
1397 56.043 5.9996 1 0.50004 0.333370 0.140 0.28
1398 56.289 8.8896 1 0.33747 0.202990 0.185 0.37
1399 66.336 12.0480 1 0.24900 0.142200 0.330 0.66
1400 40.373 7.0362 1 0.42637 0.270950 0.275 0.55
1401 71.548 6.8682 1 0.43679 0.279420 0.175 0.35
1402 60.716 9.3905 1 0.31947 0.190100 0.260 0.52
1403 56.693 6.5628 1 0.45712 0.296280 0.305 0.61
1404 98.139 7.4896 1 0.40055 0.250430 0.405 0.81
1405 65.215 4.8081 1 0.62394 0.453430 0.340 0.68
1406 57.679 9.1198 1 0.32896 0.196860 0.140 0.28
1407 69.929 12.3700 1 0.24252 0.137990 0.160 0.32
1408 62.709 8.4642 1 0.35444 0.215390 0.310 0.62
1409 69.718 5.2274 1 0.57390 0.402430 0.100 0.20
1410 62.485 12.7910 1 0.23454 0.132850 0.250 0.50
1411 63.772 9.6756 1 0.31006 0.183470 0.205 0.41
1412 63.772 11.3080 1 0.26529 0.152930 0.205 0.41
1413 48.136 9.0601 1 0.33112 0.198410 0.140 0.28
1414 56.043 6.4265 1 0.46681 0.304470 0.140 0.28
1415 71.548 5.0324 1 0.59614 0.424640 0.175 0.35
1416 65.215 6.2983 1 0.47632 0.312610 0.340 0.68
1417 77.835 7.8781 1 0.38080 0.235180 0.245 0.49
1418 59.750 28.0000 1 0.10714 0.056604 0.150 0.30
1419 79.281 12.3100 1 0.24370 0.138760 0.335 0.67
1420 77.835 8.3895 1 0.35759 0.217720 0.245 0.49
1421 75.478 10.0480 1 0.29857 0.175480 0.335 0.67
1422 48.136 11.1500 1 0.26905 0.155430 0.140 0.28
1423 66.336 12.2200 1 0.24550 0.139930 0.330 0.66
1424 51.689 6.8901 1 0.43541 0.278290 0.140 0.28
1425 63.398 10.5500 1 0.28435 0.165740 0.510 1.02
1426 77.079 13.1290 1 0.22849 0.128980 0.235 0.47
1427 59.750 7.1372 1 0.42033 0.266090 0.150 0.30
1428 98.139 7.0212 1 0.42727 0.271680 0.405 0.81
1429 56.042 10.1380 1 0.29591 0.173650 0.435 0.87
1430 62.485 9.4541 1 0.31732 0.188580 0.250 0.50
1431 65.641 15.1370 1 0.19819 0.109990 0.210 0.42
1432 54.837 7.6621 1 0.39154 0.243420 0.130 0.26
1433 62.709 13.0570 1 0.22976 0.129790 0.310 0.62
1434 54.837 7.4351 1 0.40349 0.252730 0.130 0.26
1435 56.103 9.5608 1 0.31378 0.186090 0.145 0.29
1436 48.136 9.3252 1 0.32171 0.191690 0.140 0.28
1437 59.750 10.8190 1 0.27729 0.160960 0.150 0.30
1438 64.411 13.5820 1 0.22088 0.124150 0.175 0.35
1439 71.548 5.2705 1 0.56920 0.397820 0.175 0.35
1440 69.929 9.2867 1 0.32304 0.192640 0.160 0.32
1441 40.373 10.1000 1 0.29703 0.174420 0.275 0.55
1442 65.215 5.6524 1 0.53075 0.361230 0.340 0.68
1443 51.689 8.4111 1 0.35667 0.217040 0.140 0.28
1444 51.689 11.0230 1 0.27215 0.157510 0.140 0.28
1445 48.136 8.5138 1 0.35237 0.213860 0.140 0.28
1446 49.123 3.9706 1 0.75556 0.607140 0.075 0.15
1447 65.215 10.1540 1 0.29546 0.173330 0.340 0.68
1448 66.336 7.7609 1 0.38655 0.239580 0.330 0.66
1449 48.136 8.6031 1 0.34871 0.211180 0.140 0.28
1450 62.709 8.3707 1 0.35840 0.218320 0.310 0.62
1451 87.094 6.5113 1 0.46074 0.299330 0.270 0.54
1452 56.693 7.8824 1 0.38060 0.235020 0.305 0.61
1453 62.709 5.3401 1 0.56179 0.390610 0.310 0.62
1454 66.336 12.0390 1 0.24919 0.142330 0.330 0.66
1455 61.868 7.4921 1 0.40042 0.250330 0.280 0.56
1456 62.907 6.3399 1 0.47319 0.309920 0.160 0.32
1457 56.103 8.7569 1 0.34259 0.206700 0.145 0.29
1458 62.709 8.9084 1 0.33676 0.202470 0.310 0.62
1459 56.043 6.7237 1 0.44618 0.287150 0.140 0.28
1460 77.835 6.0505 1 0.49582 0.329630 0.245 0.49
1461 65.641 25.2260 1 0.11892 0.063221 0.210 0.42
1462 75.289 15.4950 1 0.19361 0.107180 0.335 0.67
1463 51.689 11.3250 1 0.26489 0.152670 0.140 0.28
1464 62.709 10.5010 1 0.28568 0.166640 0.310 0.62
1465 64.411 9.0820 1 0.33032 0.197840 0.175 0.35
1466 63.772 10.2970 1 0.29136 0.170520 0.205 0.41
1467 62.726 7.7604 1 0.38658 0.239600 0.115 0.23
1468 54.837 9.2908 1 0.32290 0.192530 0.130 0.26
1469 48.136 8.3372 1 0.35983 0.219390 0.140 0.28
1470 60.716 5.6343 1 0.53245 0.362820 0.260 0.52
1471 56.042 6.7746 1 0.44283 0.284380 0.435 0.87
1472 66.333 7.1865 1 0.41745 0.263780 0.195 0.39
1473 40.373 9.0598 1 0.33113 0.198420 0.275 0.55
1474 77.079 17.7760 1 0.16877 0.092161 0.235 0.47
1475 66.333 7.6582 1 0.39174 0.243580 0.195 0.39
1476 49.123 15.7950 1 0.18993 0.104930 0.075 0.15
1477 51.689 8.6340 1 0.34746 0.210260 0.140 0.28
1478 77.835 7.8615 1 0.38161 0.235790 0.245 0.49
1479 56.481 15.6930 1 0.19116 0.105680 0.160 0.32
1480 62.709 9.5831 1 0.31305 0.185570 0.310 0.62
1481 54.837 7.4985 1 0.40008 0.250060 0.130 0.26
1482 65.215 6.1664 1 0.48651 0.321450 0.340 0.68
1483 98.139 4.6609 1 0.64366 0.474550 0.405 0.81
1484 64.411 7.6257 1 0.39341 0.244870 0.175 0.35
1485 56.481 8.5592 1 0.35050 0.212490 0.160 0.32
1486 98.139 6.0215 1 0.49821 0.331750 0.405 0.81
1487 51.689 9.3126 1 0.32215 0.192000 0.140 0.28
1488 65.641 13.0540 1 0.22981 0.129820 0.210 0.42
1489 65.641 12.3120 1 0.24366 0.138730 0.210 0.42
1490 75.289 20.7050 1 0.14489 0.078105 0.335 0.67
1491 63.398 7.6879 1 0.39022 0.242410 0.510 1.02
1492 61.009 8.7354 1 0.34343 0.207310 0.170 0.34
1493 62.726 9.9346 1 0.30197 0.177840 0.115 0.23
1494 60.716 9.6566 1 0.31067 0.183900 0.260 0.52
1495 63.398 14.2820 1 0.21005 0.117350 0.510 1.02
1496 51.689 8.6922 1 0.34514 0.208560 0.140 0.28
1497 56.289 11.1540 1 0.26896 0.155380 0.185 0.37
1498 62.726 7.1634 1 0.41880 0.264860 0.115 0.23
1499 61.009 18.6430 1 0.16091 0.087497 0.170 0.34
1500 50.826 4.8600 1 0.61728 0.446430 0.070 0.14
1501 50.826 4.4558 1 0.67328 0.507480 0.070 0.14
1502 63.772 8.4855 1 0.35354 0.214730 0.205 0.41
1503 78.176 6.6286 1 0.45258 0.292480 0.405 0.81
1504 56.693 6.7785 1 0.44258 0.284170 0.305 0.61
1505 56.693 8.9793 1 0.33410 0.200550 0.305 0.61
1506 66.333 12.6340 1 0.23745 0.134720 0.195 0.39
1507 79.281 15.3660 1 0.19524 0.108180 0.335 0.67
1508 40.373 7.1164 1 0.42156 0.267070 0.275 0.55
1509 71.548 3.8362 1 0.78202 0.642060 0.175 0.35
1510 66.336 11.5520 1 0.25970 0.149230 0.330 0.66
1511 49.123 8.1813 1 0.36669 0.224510 0.075 0.15
1512 64.411 4.9832 1 0.60203 0.430640 0.175 0.35
1513 54.837 10.6620 1 0.28137 0.163720 0.130 0.26
1514 56.289 6.6276 1 0.45266 0.292540 0.185 0.37
1515 57.057 14.3540 1 0.20900 0.116700 0.200 0.40
1516 78.176 6.6657 1 0.45006 0.290370 0.405 0.81
1517 69.929 12.7380 1 0.23551 0.133470 0.160 0.32
1518 56.289 7.3434 1 0.40853 0.256700 0.185 0.37
1519 76.958 12.6300 1 0.23752 0.134770 0.250 0.50
1520 56.289 12.3730 1 0.24246 0.137960 0.185 0.37
1521 48.136 9.0403 1 0.33185 0.198930 0.140 0.28
1522 57.679 8.4359 1 0.35562 0.216260 0.140 0.28
1523 56.103 4.7723 1 0.62863 0.458390 0.145 0.29
1524 64.536 6.5923 1 0.45507 0.294560 0.575 1.15
1525 61.009 9.2031 1 0.32598 0.194730 0.170 0.34
1526 75.478 11.6850 1 0.25675 0.147280 0.335 0.67
1527 59.750 11.5080 1 0.26069 0.149880 0.150 0.30
1528 66.233 10.6920 1 0.28059 0.163190 0.225 0.45
1529 49.123 11.7330 1 0.25570 0.146590 0.075 0.15
1530 75.289 9.2425 1 0.32459 0.193740 0.335 0.67
1531 40.373 7.5833 1 0.39561 0.246580 0.275 0.55
1532 87.094 6.4465 1 0.46537 0.303240 0.270 0.54
1533 57.679 6.1655 1 0.48658 0.321510 0.140 0.28
1534 79.281 9.5671 1 0.31357 0.185940 0.335 0.67
1535 49.123 8.3445 1 0.35952 0.219150 0.075 0.15
1536 49.123 6.3430 1 0.47297 0.309730 0.075 0.15
1537 56.103 8.4420 1 0.35537 0.216080 0.145 0.29
1538 54.837 15.4690 1 0.19394 0.107380 0.130 0.26
1539 66.233 12.0080 1 0.24983 0.142750 0.225 0.45
1540 79.281 16.6040 1 0.18067 0.099309 0.335 0.67
1541 66.336 9.8925 1 0.30326 0.178730 0.330 0.66
1542 57.057 10.9720 1 0.27341 0.158350 0.200 0.40
1543 65.215 6.1575 1 0.48721 0.322060 0.340 0.68
1544 87.094 14.0970 1 0.21281 0.119080 0.270 0.54
1545 40.373 6.9513 1 0.43158 0.275170 0.275 0.55
1546 60.716 10.8130 1 0.27744 0.161060 0.260 0.52
1547 65.939 12.3280 1 0.24335 0.138530 0.180 0.36
1548 56.103 15.7680 1 0.19026 0.105130 0.145 0.29
1549 40.373 7.7591 1 0.38664 0.239650 0.275 0.55
1550 49.123 8.1732 1 0.36705 0.224780 0.075 0.15
1551 60.716 7.8035 1 0.38444 0.237960 0.260 0.52
1552 40.373 5.9695 1 0.50256 0.335610 0.275 0.55
1553 60.716 8.4389 1 0.35550 0.216170 0.260 0.52
1554 65.215 12.8500 1 0.23347 0.132160 0.340 0.68
1555 61.868 9.3002 1 0.32257 0.192300 0.280 0.56
1556 48.136 5.9749 1 0.50210 0.335200 0.140 0.28
1557 98.139 8.1702 1 0.36719 0.224880 0.405 0.81
1558 78.176 6.7865 1 0.44206 0.283740 0.405 0.81
1559 77.835 11.1020 1 0.27021 0.156210 0.245 0.49
1560 51.689 7.4572 1 0.40230 0.251800 0.140 0.28
1561 65.939 9.0924 1 0.32995 0.197570 0.180 0.36
1562 54.837 13.3900 1 0.22405 0.126160 0.130 0.26
1563 69.929 15.8740 1 0.18899 0.104360 0.160 0.32
1564 61.009 15.5900 1 0.19244 0.106460 0.170 0.34
1565 66.233 11.5900 1 0.25885 0.148660 0.225 0.45
1566 62.709 7.9302 1 0.37830 0.233280 0.310 0.62
1567 98.139 6.5601 1 0.45731 0.296440 0.405 0.81
1568 48.136 5.0088 1 0.59894 0.427490 0.140 0.28
1569 77.079 7.5539 1 0.39714 0.247770 0.235 0.47
1570 59.750 10.6320 1 0.28216 0.164260 0.150 0.30
1571 66.233 15.9980 1 0.18752 0.103460 0.225 0.45
1572 54.837 6.9008 1 0.43473 0.277740 0.130 0.26
1573 66.233 10.0680 1 0.29797 0.175070 0.225 0.45
1574 56.481 12.3030 1 0.24384 0.138850 0.160 0.32
1575 56.043 11.7000 1 0.25640 0.147050 0.140 0.28
1576 77.079 10.7160 1 0.27995 0.162760 0.235 0.47
1577 62.907 7.2176 1 0.41565 0.262350 0.160 0.32
1578 87.094 8.4098 1 0.35673 0.217080 0.270 0.54
1579 56.481 12.3430 1 0.24306 0.138340 0.160 0.32
1580 76.958 11.6930 1 0.25656 0.147160 0.250 0.50
1581 60.716 7.9333 1 0.37815 0.233160 0.260 0.52
1582 79.281 12.9910 1 0.23093 0.130540 0.335 0.67
1583 60.716 6.3137 1 0.47516 0.311610 0.260 0.52
1584 40.373 7.2052 1 0.41637 0.262920 0.275 0.55
1585 60.716 6.1363 1 0.48889 0.323530 0.260 0.52
1586 63.398 8.4826 1 0.35366 0.214820 0.510 1.02
1587 65.939 8.8029 1 0.34080 0.205400 0.180 0.36
1588 40.373 7.1803 1 0.41781 0.264070 0.275 0.55
1589 54.837 7.0054 1 0.42824 0.272460 0.130 0.26
1590 98.139 9.2837 1 0.32315 0.192710 0.405 0.81
1591 79.281 8.8185 1 0.34019 0.204960 0.335 0.67
1592 78.176 6.1961 1 0.48418 0.319420 0.405 0.81
1593 65.215 10.6410 1 0.28194 0.164100 0.340 0.68
1594 59.750 12.5620 1 0.23882 0.135600 0.150 0.30
1595 63.398 9.5587 1 0.31385 0.186130 0.510 1.02
1596 56.103 10.3150 1 0.29083 0.170160 0.145 0.29
1597 71.548 8.1623 1 0.36754 0.225150 0.175 0.35
1598 63.772 11.1240 1 0.26969 0.155870 0.205 0.41
1599 56.103 13.3000 1 0.22557 0.127120 0.145 0.29
1600 76.958 8.3760 1 0.35817 0.218150 0.250 0.50
1601 79.281 10.9580 1 0.27376 0.158590 0.335 0.67
1602 51.689 8.8439 1 0.33922 0.204250 0.140 0.28
1603 56.042 9.0812 1 0.33035 0.197860 0.435 0.87
1604 57.057 8.6334 1 0.34749 0.210280 0.200 0.40
1605 48.136 8.2029 1 0.36573 0.223780 0.140 0.28
1606 62.726 6.3943 1 0.46917 0.306480 0.115 0.23
1607 69.718 6.1719 1 0.48607 0.321070 0.100 0.20
1608 98.139 10.9420 1 0.27418 0.158870 0.405 0.81
1609 56.481 15.4000 1 0.19481 0.107920 0.160 0.32
1610 87.094 7.6994 1 0.38964 0.241960 0.270 0.54
1611 65.215 7.2699 1 0.41266 0.259970 0.340 0.68
1612 56.289 9.0408 1 0.33183 0.198920 0.185 0.37
1613 76.958 8.6800 1 0.34562 0.208910 0.250 0.50
1614 76.958 7.2741 1 0.41242 0.259780 0.250 0.50
1615 61.009 8.7755 1 0.34186 0.206170 0.170 0.34
1616 77.835 7.9114 1 0.37920 0.233960 0.245 0.49
1617 51.689 8.7928 1 0.34119 0.205680 0.140 0.28
1618 62.907 8.0866 1 0.37098 0.227740 0.160 0.32
1619 64.536 11.1780 1 0.26839 0.154990 0.575 1.15
1620 60.716 8.1780 1 0.36684 0.224620 0.260 0.52
1621 48.136 9.7558 1 0.30751 0.181690 0.140 0.28
1622 56.481 12.0840 1 0.24827 0.141730 0.160 0.32
1623 62.485 10.5930 1 0.28320 0.164960 0.250 0.50
1624 40.373 10.0460 1 0.29862 0.175520 0.275 0.55
1625 71.548 6.4211 1 0.46721 0.304810 0.175 0.35
1626 66.333 4.9032 1 0.61184 0.440760 0.195 0.39
1627 63.398 7.9046 1 0.37952 0.234210 0.510 1.02
1628 50.826 6.4515 1 0.46501 0.302940 0.070 0.14
1629 57.057 11.1620 1 0.26877 0.155250 0.200 0.40
1630 56.103 10.7300 1 0.27959 0.162510 0.145 0.29
1631 40.373 7.1726 1 0.41826 0.264430 0.275 0.55
1632 77.835 15.2050 1 0.19731 0.109450 0.245 0.49
1633 71.548 6.0566 1 0.49532 0.329190 0.175 0.35
1634 40.373 7.1643 1 0.41875 0.264820 0.275 0.55
1635 62.907 9.7047 1 0.30913 0.182820 0.160 0.32
1636 48.136 6.3579 1 0.47186 0.308780 0.140 0.28
1637 56.103 12.8570 1 0.23333 0.132080 0.145 0.29
1638 56.289 7.2979 1 0.41108 0.258710 0.185 0.37
1639 56.043 12.9960 1 0.23084 0.130480 0.140 0.28
1640 63.772 10.2360 1 0.29310 0.171710 0.205 0.41
1641 49.123 9.2109 1 0.32570 0.194530 0.075 0.15
1642 51.689 10.1760 1 0.29480 0.172880 0.140 0.28
1643 56.289 16.0340 1 0.18710 0.103200 0.185 0.37
1644 66.336 8.1769 1 0.36689 0.224650 0.330 0.66
1645 66.333 6.9477 1 0.43180 0.275350 0.195 0.39
1646 57.057 7.1213 1 0.42127 0.266840 0.200 0.40
1647 66.333 7.2273 1 0.41510 0.261910 0.195 0.39
1648 61.868 14.8700 1 0.20175 0.112190 0.280 0.56
1649 57.679 7.1615 1 0.41891 0.264950 0.140 0.28
1650 57.679 6.8453 1 0.43826 0.280620 0.140 0.28
1651 62.726 7.3890 1 0.40601 0.254710 0.115 0.23
1652 61.868 13.7590 1 0.21804 0.122360 0.280 0.56
1653 75.478 16.0170 1 0.18730 0.103320 0.335 0.67
1654 59.750 10.9420 1 0.27418 0.158870 0.150 0.30
1655 49.123 8.1985 1 0.36592 0.223930 0.075 0.15
1656 63.398 11.1140 1 0.26993 0.156020 0.510 1.02
1657 63.398 7.9577 1 0.37699 0.232280 0.510 1.02
1658 77.835 12.9220 1 0.23215 0.131320 0.245 0.49
1659 57.057 8.1737 1 0.36703 0.224760 0.200 0.40
1660 56.289 13.3560 1 0.22462 0.126520 0.185 0.37
1661 76.958 12.9740 1 0.23123 0.130730 0.250 0.50
1662 50.826 7.2709 1 0.41260 0.259930 0.070 0.14
1663 40.373 8.1253 1 0.36922 0.226400 0.275 0.55
1664 48.136 7.6989 1 0.38967 0.241980 0.140 0.28
1665 62.726 6.7161 1 0.44669 0.287570 0.115 0.23
1666 64.411 10.4260 1 0.28775 0.168050 0.175 0.35
1667 62.709 6.4844 1 0.46265 0.300940 0.310 0.62
1668 62.907 10.6240 1 0.28238 0.164400 0.160 0.32
1669 64.536 9.0298 1 0.33223 0.199210 0.575 1.15
1670 49.123 10.3850 1 0.28888 0.168830 0.075 0.15
1671 75.289 12.6230 1 0.23767 0.134860 0.335 0.67
1672 56.042 12.0350 1 0.24928 0.142390 0.435 0.87
1673 62.485 8.1614 1 0.36759 0.225180 0.250 0.50
1674 54.837 8.9024 1 0.33699 0.202640 0.130 0.26
1675 61.868 8.3469 1 0.35941 0.219080 0.280 0.56
1676 50.826 5.0194 1 0.59769 0.426210 0.070 0.14
1677 66.233 8.5267 1 0.35184 0.213470 0.225 0.45
1678 59.750 16.1070 1 0.18625 0.102690 0.150 0.30
1679 60.716 5.7396 1 0.52269 0.353810 0.260 0.52
1680 75.478 9.3148 1 0.32207 0.191940 0.335 0.67
1681 61.868 10.9460 1 0.27407 0.158790 0.280 0.56
1682 60.716 13.0310 1 0.23021 0.130080 0.260 0.52
1683 54.837 5.1441 1 0.58319 0.411620 0.130 0.26
1684 56.103 12.2060 1 0.24578 0.140100 0.145 0.29
1685 49.123 8.6521 1 0.34674 0.209730 0.075 0.15
1686 62.726 8.6968 1 0.34495 0.208430 0.115 0.23
1687 59.750 13.5960 1 0.22066 0.124010 0.150 0.30
1688 61.868 14.4710 1 0.20731 0.115640 0.280 0.56
1689 64.536 8.8612 1 0.33856 0.203770 0.575 1.15
1690 40.373 7.1319 1 0.42065 0.266340 0.275 0.55
1691 61.009 11.8530 1 0.25310 0.144890 0.170 0.34
1692 78.176 4.9130 1 0.61063 0.439500 0.405 0.81
1693 62.709 10.5260 1 0.28502 0.166200 0.310 0.62
1694 51.689 7.5578 1 0.39694 0.247610 0.140 0.28
1695 51.689 11.9950 1 0.25010 0.142920 0.140 0.28
1696 56.043 8.4382 1 0.35553 0.216190 0.140 0.28
1697 56.289 8.4686 1 0.35425 0.215250 0.185 0.37
1698 66.233 9.6388 1 0.31124 0.184300 0.225 0.45
1699 66.333 8.1903 1 0.36629 0.224200 0.195 0.39
1700 56.289 9.9968 1 0.30010 0.176540 0.185 0.37
1701 56.043 14.1620 1 0.21184 0.118470 0.140 0.28
1702 63.398 8.6989 1 0.34487 0.208360 0.510 1.02
1703 48.136 6.5877 1 0.45540 0.294830 0.140 0.28
1704 54.837 8.2121 1 0.36532 0.223480 0.130 0.26
1705 40.373 8.2163 1 0.36513 0.223340 0.275 0.55
1706 62.726 8.9056 1 0.33687 0.202550 0.115 0.23
1707 40.373 7.9827 1 0.37581 0.231380 0.275 0.55
1708 60.716 7.6207 1 0.39367 0.245070 0.260 0.52
1709 62.485 13.4610 1 0.22287 0.125410 0.250 0.50
1710 62.907 12.4930 1 0.24013 0.136450 0.160 0.32
1711 63.772 9.2817 1 0.32322 0.192760 0.205 0.41
1712 57.679 7.7739 1 0.38591 0.239090 0.140 0.28
1713 61.868 12.1690 1 0.24653 0.140590 0.280 0.56
1714 40.373 5.8510 1 0.51273 0.344750 0.275 0.55
1715 56.043 5.7043 1 0.52591 0.356770 0.140 0.28
1716 76.958 11.0430 1 0.27167 0.157190 0.250 0.50
1717 66.336 8.1397 1 0.36856 0.225910 0.330 0.66
1718 69.929 9.2618 1 0.32391 0.193250 0.160 0.32
1719 56.693 9.1640 1 0.32737 0.195720 0.305 0.61
1720 62.907 8.6458 1 0.34699 0.209910 0.160 0.32
1721 57.057 16.4820 1 0.18202 0.100120 0.200 0.40
1722 71.548 6.3994 1 0.46879 0.306160 0.175 0.35
1723 48.136 7.3870 1 0.40612 0.254800 0.140 0.28
1724 63.772 9.3150 1 0.32206 0.191940 0.205 0.41
1725 56.042 8.1921 1 0.36621 0.224150 0.435 0.87
1726 64.536 8.3656 1 0.35861 0.218480 0.575 1.15
1727 66.336 9.4208 1 0.31844 0.189380 0.330 0.66
1728 61.009 19.6180 1 0.15292 0.082789 0.170 0.34
1729 79.281 14.1100 1 0.21261 0.118950 0.335 0.67
1730 62.485 14.4770 1 0.20722 0.115590 0.250 0.50
1731 69.718 7.0446 1 0.42586 0.270530 0.100 0.20
1732 64.411 10.8100 1 0.27752 0.161110 0.175 0.35
1733 56.693 7.2728 1 0.41249 0.259840 0.305 0.61
1734 63.772 11.7270 1 0.25582 0.146670 0.205 0.41
1735 62.726 6.3479 1 0.47260 0.309410 0.115 0.23
1736 77.079 13.2720 1 0.22604 0.127420 0.235 0.47
1737 59.750 6.5433 1 0.45848 0.297420 0.150 0.30
1738 56.693 6.0289 1 0.49760 0.331210 0.305 0.61
1739 57.679 16.5830 1 0.18091 0.099452 0.140 0.28
1740 61.009 9.1753 1 0.32696 0.195430 0.170 0.34
1741 64.536 6.1846 1 0.48508 0.320200 0.575 1.15
1742 59.750 10.5920 1 0.28324 0.164990 0.150 0.30
1743 40.373 4.7431 1 0.63249 0.462520 0.275 0.55
1744 40.373 8.0970 1 0.37051 0.227380 0.275 0.55
1745 59.750 15.4120 1 0.19466 0.107820 0.150 0.30
1746 49.123 4.7490 1 0.63171 0.461680 0.075 0.15
1747 56.693 13.1000 1 0.22900 0.129310 0.305 0.61
1748 66.233 11.1520 1 0.26902 0.155420 0.225 0.45
1749 66.333 7.9972 1 0.37513 0.230870 0.195 0.39
1750 62.726 12.4900 1 0.24020 0.136490 0.115 0.23
1751 78.176 7.5912 1 0.39519 0.246260 0.405 0.81
1752 64.536 7.8566 1 0.38185 0.235980 0.575 1.15
1753 66.333 10.3000 1 0.29127 0.170460 0.195 0.39
1754 62.485 9.6004 1 0.31249 0.185180 0.250 0.50
1755 87.094 7.8029 1 0.38447 0.237980 0.270 0.54
1756 61.009 16.0600 1 0.18680 0.103020 0.170 0.34
1757 56.693 7.9031 1 0.37960 0.234260 0.305 0.61
1758 60.716 12.5820 1 0.23844 0.135360 0.260 0.52
1759 60.716 7.9166 1 0.37895 0.233770 0.260 0.52
1760 50.826 3.9980 1 0.75038 0.600480 0.070 0.14
1761 79.281 15.8940 1 0.18875 0.104210 0.335 0.67
1762 50.826 6.2444 1 0.48043 0.316160 0.070 0.14
1763 77.079 11.4530 1 0.26195 0.150710 0.235 0.47
1764 79.281 11.0010 1 0.27271 0.157890 0.335 0.67
1765 66.336 10.8500 1 0.27649 0.160420 0.330 0.66
1766 56.043 10.4020 1 0.28841 0.168500 0.140 0.28
1767 40.373 5.7404 1 0.52261 0.353740 0.275 0.55
1768 63.772 7.3763 1 0.40671 0.255260 0.205 0.41
1769 61.868 10.3570 1 0.28967 0.169360 0.280 0.56
1770 56.693 7.3971 1 0.40557 0.254360 0.305 0.61
1771 62.485 9.7740 1 0.30694 0.181290 0.250 0.50
1772 48.136 8.5111 1 0.35248 0.213950 0.140 0.28
1773 63.398 6.6650 1 0.45011 0.290420 0.510 1.02
1774 51.689 10.1990 1 0.29414 0.172430 0.140 0.28
1775 60.716 5.5351 1 0.54200 0.371740 0.260 0.52
1776 57.679 9.3762 1 0.31996 0.190450 0.140 0.28
1777 77.079 19.3780 1 0.15482 0.083902 0.235 0.47
1778 49.123 7.3249 1 0.40956 0.257510 0.075 0.15
1779 56.103 7.2932 1 0.41134 0.258920 0.145 0.29
1780 59.750 15.7630 1 0.19032 0.105170 0.150 0.30
1781 59.750 15.8250 1 0.18958 0.104710 0.150 0.30
1782 54.837 8.5465 1 0.35102 0.212870 0.130 0.26
1783 77.835 8.7240 1 0.34388 0.207640 0.245 0.49
1784 77.835 11.6400 1 0.25774 0.147930 0.245 0.49
1785 57.057 12.4940 1 0.24012 0.136440 0.200 0.40
1786 56.043 10.0260 1 0.29921 0.175920 0.140 0.28
1787 62.907 13.1800 1 0.22762 0.128430 0.160 0.32
1788 57.679 7.2487 1 0.41386 0.260930 0.140 0.28
1789 56.693 7.5000 1 0.40000 0.250000 0.305 0.61
1790 51.689 9.9981 1 0.30006 0.176510 0.140 0.28
1791 91.370 17.0940 1 0.17550 0.096192 0.440 0.88
1792 63.398 8.2523 1 0.36353 0.222150 0.510 1.02
1793 63.398 6.7667 1 0.44335 0.284810 0.510 1.02
1794 63.398 4.4399 1 0.67569 0.510220 0.510 1.02
1795 66.333 7.7072 1 0.38925 0.241660 0.195 0.39
1796 66.333 11.8930 1 0.25225 0.144330 0.195 0.39
1797 63.772 8.1253 1 0.36922 0.226410 0.205 0.41
1798 57.057 19.0800 1 0.15723 0.085322 0.200 0.40
1799 64.536 10.6720 1 0.28112 0.163550 0.575 1.15
1800 56.693 8.7756 1 0.34186 0.206170 0.305 0.61
1801 57.679 11.3860 1 0.26349 0.151740 0.140 0.28
1802 69.718 5.2250 1 0.57416 0.402680 0.100 0.20
1803 60.716 7.8494 1 0.38220 0.236240 0.260 0.52
1804 98.139 6.6297 1 0.45251 0.292410 0.405 0.81
1805 57.679 7.1293 1 0.42080 0.266460 0.140 0.28
1806 56.103 12.8430 1 0.23360 0.132240 0.145 0.29
1807 65.215 9.1411 1 0.32819 0.196310 0.340 0.68
1808 61.009 8.4244 1 0.35611 0.216630 0.170 0.34
1809 54.837 6.1323 1 0.48921 0.323810 0.130 0.26
1810 77.079 10.1030 1 0.29693 0.174350 0.235 0.47
1811 63.772 10.0720 1 0.29786 0.174990 0.205 0.41
1812 62.709 9.2399 1 0.32468 0.193800 0.310 0.62
1813 61.009 7.0650 1 0.42463 0.269540 0.170 0.34
1814 56.042 6.0155 1 0.49871 0.332190 0.435 0.87
1815 48.136 11.1850 1 0.26821 0.154880 0.140 0.28
1816 64.536 16.3970 1 0.18296 0.100690 0.575 1.15
1817 56.043 8.3481 1 0.35936 0.219040 0.140 0.28
1818 71.548 6.6140 1 0.45358 0.293310 0.175 0.35
1819 61.009 8.3735 1 0.35828 0.218230 0.170 0.34
1820 56.693 7.5328 1 0.39826 0.248640 0.305 0.61
1821 50.826 5.4548 1 0.54998 0.379290 0.070 0.14
1822 56.481 10.8790 1 0.27576 0.159930 0.160 0.32
1823 51.689 8.0982 1 0.37045 0.227340 0.140 0.28
1824 66.233 14.5520 1 0.20615 0.114920 0.225 0.45
1825 66.233 11.6390 1 0.25776 0.147950 0.225 0.45
1826 56.042 9.7033 1 0.30917 0.182850 0.435 0.87
1827 57.057 7.0699 1 0.42434 0.269310 0.200 0.40
1828 69.929 12.9490 1 0.23167 0.131010 0.160 0.32
1829 60.716 13.9610 1 0.21488 0.120380 0.260 0.52
1830 63.772 10.4270 1 0.28771 0.168030 0.205 0.41
1831 56.481 12.5700 1 0.23867 0.135510 0.160 0.32
1832 91.370 13.3360 1 0.22495 0.126730 0.440 0.88
1833 62.709 8.2746 1 0.36255 0.221410 0.310 0.62
1834 40.373 4.7677 1 0.62923 0.459030 0.275 0.55
1835 59.750 12.7990 1 0.23438 0.132750 0.150 0.30
1836 48.136 7.1074 1 0.42210 0.267500 0.140 0.28
1837 56.043 10.1610 1 0.29524 0.173180 0.140 0.28
1838 77.835 14.2810 1 0.21006 0.117360 0.245 0.49
1839 62.709 8.0423 1 0.37303 0.229280 0.310 0.62
1840 62.709 7.1416 1 0.42008 0.265880 0.310 0.62
1841 40.373 7.3559 1 0.40784 0.256150 0.275 0.55
1842 69.929 13.3510 1 0.22470 0.126570 0.160 0.32
1843 50.826 6.9479 1 0.43179 0.275340 0.070 0.14
1844 56.043 6.2116 1 0.48297 0.318360 0.140 0.28
1845 57.679 10.7220 1 0.27979 0.162650 0.140 0.28
1846 69.929 11.5190 1 0.26044 0.149720 0.160 0.32
1847 63.772 13.4450 1 0.22313 0.125580 0.205 0.41
1848 63.772 5.6042 1 0.53532 0.365480 0.205 0.41
1849 75.478 14.1550 1 0.21194 0.118530 0.335 0.67
1850 56.289 7.9654 1 0.37663 0.232010 0.185 0.37
1851 57.679 7.2584 1 0.41331 0.260490 0.140 0.28
1852 40.373 13.4100 1 0.22371 0.125940 0.275 0.55
1853 69.718 4.0076 1 0.74858 0.598180 0.100 0.20
1854 60.716 6.7607 1 0.44374 0.285130 0.260 0.52
1855 62.485 11.5520 1 0.25969 0.149220 0.250 0.50
1856 77.835 14.4310 1 0.20788 0.116000 0.245 0.49
1857 65.939 7.0739 1 0.42409 0.269110 0.180 0.36
1858 71.548 5.6857 1 0.52764 0.358360 0.175 0.35
1859 50.826 4.4942 1 0.66752 0.500960 0.070 0.14
1860 64.536 8.2439 1 0.36391 0.222420 0.575 1.15
1861 63.772 10.4830 1 0.28618 0.166980 0.205 0.41
1862 54.837 6.1195 1 0.49023 0.324710 0.130 0.26
1863 75.289 11.2390 1 0.26694 0.154030 0.335 0.67
1864 56.043 7.2505 1 0.41377 0.260850 0.140 0.28
1865 56.103 7.6923 1 0.39000 0.242240 0.145 0.29
1866 61.009 8.0188 1 0.37412 0.230100 0.170 0.34
1867 62.726 8.2487 1 0.36369 0.222260 0.115 0.23
1868 56.103 14.4260 1 0.20795 0.116040 0.145 0.29
1869 50.826 14.6920 1 0.20419 0.113700 0.070 0.14
1870 65.939 10.0720 1 0.29786 0.174990 0.180 0.36
1871 63.772 6.6548 1 0.45080 0.290990 0.205 0.41
1872 75.478 12.9940 1 0.23088 0.130500 0.335 0.67
1873 65.641 11.6950 1 0.25652 0.147130 0.210 0.42
1874 56.042 11.9570 1 0.25090 0.143440 0.435 0.87
1875 57.679 8.7845 1 0.34151 0.205920 0.140 0.28
1876 63.772 12.1880 1 0.24614 0.140340 0.205 0.41
1877 40.373 10.5260 1 0.28502 0.166190 0.275 0.55
1878 62.726 11.0900 1 0.27052 0.156420 0.115 0.23
1879 56.481 13.7700 1 0.21787 0.122250 0.160 0.32
1880 63.772 9.9560 1 0.30133 0.177390 0.205 0.41
1881 56.043 13.4170 1 0.22359 0.125870 0.140 0.28
1882 98.139 8.2514 1 0.36358 0.222180 0.405 0.81
1883 60.716 8.4586 1 0.35467 0.215560 0.260 0.52
1884 65.215 6.6218 1 0.45305 0.292870 0.340 0.68
1885 51.689 7.4879 1 0.40065 0.250510 0.140 0.28
1886 56.043 9.3257 1 0.32169 0.191680 0.140 0.28
hmax ah Ct LAImax fraction_filled mult_height mult_CR mult_CD
1 27.27 0.110 21.578 4.6533 0.85 1 1 1
2 44.27 0.264 29.446 4.7021 0.85 1 1 1
3 50.92 0.308 28.692 4.8486 0.85 1 1 1
4 50.92 0.308 38.573 4.3506 0.85 1 1 1
5 31.79 0.116 24.702 4.7998 0.85 1 1 1
6 47.91 0.251 33.239 4.6045 0.85 1 1 1
7 54.22 0.339 31.316 4.4482 0.85 1 1 1
8 50.92 0.308 30.740 4.6533 0.85 1 1 1
9 50.92 0.308 30.677 4.7021 0.85 1 1 1
10 41.86 0.220 32.612 4.3506 0.85 1 1 1
11 54.22 0.339 31.376 4.4482 0.85 1 1 1
12 50.92 0.308 29.014 4.5459 0.85 1 1 1
13 40.50 0.193 30.794 4.6533 0.85 1 1 1
14 50.92 0.308 34.616 4.5459 0.85 1 1 1
15 43.24 0.196 34.651 4.5459 0.85 1 1 1
16 54.04 0.342 41.962 4.1455 0.85 1 1 1
17 50.92 0.308 36.250 4.6533 0.85 1 1 1
18 50.92 0.308 38.923 4.5459 0.85 1 1 1
19 19.38 0.070 14.412 4.7998 0.85 1 1 1
20 50.92 0.308 36.623 4.8975 0.85 1 1 1
21 49.23 0.270 37.016 4.6045 0.85 1 1 1
22 48.60 0.275 41.147 4.6045 0.85 1 1 1
23 19.38 0.070 14.366 4.7998 0.85 1 1 1
24 43.24 0.196 34.572 4.5459 0.85 1 1 1
25 51.76 0.346 27.315 4.7021 0.85 1 1 1
26 50.92 0.308 31.965 4.5459 0.85 1 1 1
27 31.79 0.116 24.539 4.7998 0.85 1 1 1
28 38.50 0.184 27.773 4.6533 0.85 1 1 1
29 50.92 0.308 36.282 4.8975 0.85 1 1 1
30 50.92 0.308 38.846 4.5459 0.85 1 1 1
31 36.36 0.139 30.260 4.2529 0.85 1 1 1
32 50.92 0.308 38.627 4.4482 0.85 1 1 1
33 38.50 0.184 27.288 4.6533 0.85 1 1 1
34 48.60 0.275 41.670 4.6045 0.85 1 1 1
35 51.76 0.346 26.888 4.7021 0.85 1 1 1
36 58.07 0.299 41.317 4.6045 0.85 1 1 1
37 48.60 0.275 41.585 4.6045 0.85 1 1 1
38 50.92 0.308 31.428 4.6533 0.85 1 1 1
39 50.92 0.308 31.695 4.6045 0.85 1 1 1
40 38.50 0.184 27.694 4.6533 0.85 1 1 1
41 50.92 0.308 31.632 4.5459 0.85 1 1 1
42 55.62 0.366 30.326 4.7021 0.85 1 1 1
43 50.92 0.308 36.254 4.6533 0.85 1 1 1
44 49.23 0.270 37.367 4.6045 0.85 1 1 1
45 25.90 0.103 21.532 4.4971 0.85 1 1 1
46 49.23 0.270 37.610 4.6045 0.85 1 1 1
47 50.92 0.308 35.757 4.6533 0.85 1 1 1
48 50.92 0.308 36.060 4.6533 0.85 1 1 1
49 47.91 0.251 33.445 4.6045 0.85 1 1 1
50 58.07 0.299 40.871 4.6045 0.85 1 1 1
51 55.62 0.366 30.189 4.7021 0.85 1 1 1
52 46.18 0.229 36.160 4.5459 0.85 1 1 1
53 43.24 0.196 34.253 4.5459 0.85 1 1 1
54 50.92 0.308 31.435 4.5459 0.85 1 1 1
55 50.92 0.308 31.544 4.5459 0.85 1 1 1
56 57.87 0.362 46.517 4.5459 0.85 1 1 1
57 25.90 0.103 21.600 4.4971 0.85 1 1 1
58 50.92 0.308 31.764 4.5459 0.85 1 1 1
59 54.54 0.344 41.314 4.4482 0.85 1 1 1
60 19.38 0.070 14.473 4.7998 0.85 1 1 1
61 50.92 0.308 38.794 4.3506 0.85 1 1 1
62 50.92 0.308 40.513 4.7021 0.85 1 1 1
63 50.92 0.308 29.172 4.8486 0.85 1 1 1
64 38.50 0.184 27.434 4.6533 0.85 1 1 1
65 49.23 0.270 37.828 4.6045 0.85 1 1 1
66 19.38 0.070 14.429 4.7998 0.85 1 1 1
67 50.92 0.308 29.228 4.8486 0.85 1 1 1
68 50.92 0.308 31.789 4.5459 0.85 1 1 1
69 25.90 0.103 21.289 4.4971 0.85 1 1 1
70 43.24 0.196 34.400 4.5459 0.85 1 1 1
71 40.50 0.193 30.382 4.6533 0.85 1 1 1
72 36.36 0.139 30.236 4.2529 0.85 1 1 1
73 57.87 0.362 46.129 4.5459 0.85 1 1 1
74 50.92 0.308 36.487 4.8975 0.85 1 1 1
75 50.92 0.308 40.869 4.7021 0.85 1 1 1
76 17.64 0.025 15.654 4.8486 0.85 1 1 1
77 54.04 0.342 41.161 4.1455 0.85 1 1 1
78 41.86 0.220 31.930 4.3506 0.85 1 1 1
79 33.30 0.160 22.417 4.6045 0.85 1 1 1
80 43.24 0.196 34.714 4.5459 0.85 1 1 1
81 25.90 0.103 21.397 4.4971 0.85 1 1 1
82 33.30 0.160 22.337 4.6045 0.85 1 1 1
83 49.23 0.270 37.842 4.6045 0.85 1 1 1
84 43.24 0.196 34.799 4.5459 0.85 1 1 1
85 50.92 0.308 40.939 4.7021 0.85 1 1 1
86 50.92 0.308 28.972 4.8486 0.85 1 1 1
87 46.18 0.229 36.982 4.5459 0.85 1 1 1
88 50.92 0.308 36.552 4.8975 0.85 1 1 1
89 44.27 0.264 29.418 4.7021 0.85 1 1 1
90 50.92 0.308 40.864 4.7021 0.85 1 1 1
91 50.92 0.308 31.349 4.5459 0.85 1 1 1
92 50.92 0.308 34.669 4.5459 0.85 1 1 1
93 33.30 0.160 22.391 4.6045 0.85 1 1 1
94 50.92 0.308 40.333 4.7021 0.85 1 1 1
95 51.76 0.346 27.311 4.7021 0.85 1 1 1
96 25.90 0.103 21.214 4.4971 0.85 1 1 1
97 31.79 0.116 24.754 4.7998 0.85 1 1 1
98 48.60 0.275 41.400 4.6045 0.85 1 1 1
99 41.86 0.274 21.736 4.6045 0.85 1 1 1
100 50.92 0.308 36.350 4.8975 0.85 1 1 1
101 33.30 0.160 22.111 4.6045 0.85 1 1 1
102 36.36 0.139 30.066 4.2529 0.85 1 1 1
103 40.50 0.193 30.751 4.6533 0.85 1 1 1
104 50.92 0.308 32.737 4.6045 0.85 1 1 1
105 31.79 0.116 24.611 4.7998 0.85 1 1 1
106 50.92 0.308 36.778 4.8975 0.85 1 1 1
107 41.42 0.187 32.616 4.3994 0.85 1 1 1
108 47.91 0.251 33.163 4.6045 0.85 1 1 1
109 50.92 0.308 38.013 4.3506 0.85 1 1 1
110 31.79 0.116 24.578 4.7998 0.85 1 1 1
111 41.86 0.220 32.872 4.3506 0.85 1 1 1
112 43.24 0.196 34.522 4.5459 0.85 1 1 1
113 19.38 0.070 14.032 4.7998 0.85 1 1 1
114 50.92 0.308 38.197 4.4482 0.85 1 1 1
115 46.18 0.229 36.369 4.5459 0.85 1 1 1
116 50.92 0.308 29.034 4.5459 0.85 1 1 1
117 58.07 0.299 40.821 4.6045 0.85 1 1 1
118 50.92 0.308 31.847 4.5459 0.85 1 1 1
119 51.76 0.346 27.062 4.7021 0.85 1 1 1
120 38.50 0.184 27.111 4.6533 0.85 1 1 1
121 50.92 0.308 32.922 4.6045 0.85 1 1 1
122 50.92 0.308 38.570 4.4482 0.85 1 1 1
123 49.23 0.270 37.153 4.6045 0.85 1 1 1
124 51.76 0.346 26.938 4.7021 0.85 1 1 1
125 50.92 0.308 31.761 4.5459 0.85 1 1 1
126 41.38 0.211 27.217 4.7510 0.85 1 1 1
127 50.92 0.308 36.207 4.6533 0.85 1 1 1
128 55.62 0.366 30.168 4.7021 0.85 1 1 1
129 50.92 0.308 29.054 4.5459 0.85 1 1 1
130 47.91 0.251 33.521 4.6045 0.85 1 1 1
131 50.92 0.308 40.108 4.7021 0.85 1 1 1
132 50.92 0.308 35.632 4.3994 0.85 1 1 1
133 41.42 0.187 32.742 4.3994 0.85 1 1 1
134 31.79 0.116 24.471 4.7998 0.85 1 1 1
135 50.92 0.308 31.229 4.5459 0.85 1 1 1
136 50.92 0.308 30.581 4.7021 0.85 1 1 1
137 50.92 0.308 36.622 4.8975 0.85 1 1 1
138 54.22 0.339 31.352 4.4482 0.85 1 1 1
139 50.92 0.308 38.431 4.3506 0.85 1 1 1
140 41.86 0.274 21.656 4.6045 0.85 1 1 1
141 50.92 0.308 36.041 4.6533 0.85 1 1 1
142 50.92 0.308 41.013 4.7021 0.85 1 1 1
143 50.92 0.308 31.340 4.6533 0.85 1 1 1
144 17.64 0.025 15.815 4.8486 0.85 1 1 1
145 58.07 0.299 41.321 4.6045 0.85 1 1 1
146 50.92 0.308 38.421 4.3994 0.85 1 1 1
147 58.07 0.299 40.374 4.6045 0.85 1 1 1
148 50.92 0.308 29.004 4.5459 0.85 1 1 1
149 40.33 0.207 29.963 4.5459 0.85 1 1 1
150 41.86 0.220 32.735 4.3506 0.85 1 1 1
151 50.92 0.308 34.413 4.5459 0.85 1 1 1
152 41.42 0.187 32.462 4.3994 0.85 1 1 1
153 43.24 0.196 34.622 4.5459 0.85 1 1 1
154 50.92 0.308 33.113 4.6045 0.85 1 1 1
155 17.64 0.025 15.556 4.8486 0.85 1 1 1
156 17.64 0.025 15.597 4.8486 0.85 1 1 1
157 50.92 0.308 36.797 4.8975 0.85 1 1 1
158 50.92 0.308 31.375 4.6533 0.85 1 1 1
159 31.79 0.116 24.631 4.7998 0.85 1 1 1
160 46.18 0.229 36.852 4.5459 0.85 1 1 1
161 50.92 0.308 36.513 4.8975 0.85 1 1 1
162 41.86 0.274 21.637 4.6045 0.85 1 1 1
163 43.24 0.196 34.688 4.5459 0.85 1 1 1
164 48.60 0.275 41.221 4.6045 0.85 1 1 1
165 27.27 0.110 21.440 4.6533 0.85 1 1 1
166 50.92 0.308 35.316 4.6533 0.85 1 1 1
167 50.92 0.308 35.762 4.3994 0.85 1 1 1
168 48.60 0.275 41.274 4.6045 0.85 1 1 1
169 33.30 0.160 22.610 4.6045 0.85 1 1 1
170 50.92 0.308 31.187 4.6533 0.85 1 1 1
171 33.30 0.160 22.289 4.6045 0.85 1 1 1
172 50.92 0.308 36.314 4.8975 0.85 1 1 1
173 17.64 0.025 15.824 4.8486 0.85 1 1 1
174 41.42 0.187 32.749 4.3994 0.85 1 1 1
175 38.50 0.184 27.320 4.6533 0.85 1 1 1
176 50.92 0.308 28.863 4.8486 0.85 1 1 1
177 46.18 0.229 36.134 4.5459 0.85 1 1 1
178 50.92 0.308 40.479 4.7021 0.85 1 1 1
179 54.04 0.342 41.567 4.1455 0.85 1 1 1
180 50.92 0.308 30.529 4.7021 0.85 1 1 1
181 50.92 0.308 31.707 4.6045 0.85 1 1 1
182 54.54 0.344 42.080 4.4482 0.85 1 1 1
183 27.27 0.110 21.380 4.6533 0.85 1 1 1
184 54.22 0.339 31.252 4.4482 0.85 1 1 1
185 33.30 0.160 22.467 4.6045 0.85 1 1 1
186 50.92 0.308 33.192 4.6045 0.85 1 1 1
187 50.92 0.308 36.721 4.8975 0.85 1 1 1
188 50.92 0.308 31.396 4.6533 0.85 1 1 1
189 50.92 0.308 38.542 4.5459 0.85 1 1 1
190 50.92 0.308 29.080 4.8486 0.85 1 1 1
191 47.91 0.251 33.407 4.6045 0.85 1 1 1
192 50.92 0.308 38.312 4.3994 0.85 1 1 1
193 27.27 0.110 21.644 4.6533 0.85 1 1 1
194 50.92 0.308 28.764 4.5459 0.85 1 1 1
195 54.04 0.342 41.337 4.1455 0.85 1 1 1
196 51.76 0.346 26.949 4.7021 0.85 1 1 1
197 47.91 0.251 33.173 4.6045 0.85 1 1 1
198 50.92 0.308 34.601 4.5459 0.85 1 1 1
199 27.27 0.110 21.349 4.6533 0.85 1 1 1
200 40.33 0.207 29.853 4.5459 0.85 1 1 1
201 50.92 0.308 34.649 4.5459 0.85 1 1 1
202 36.36 0.139 30.110 4.2529 0.85 1 1 1
203 36.36 0.139 30.069 4.2529 0.85 1 1 1
204 17.64 0.025 15.637 4.8486 0.85 1 1 1
205 44.27 0.264 29.478 4.7021 0.85 1 1 1
206 44.77 0.218 36.737 4.3994 0.85 1 1 1
207 31.79 0.116 24.705 4.7998 0.85 1 1 1
208 40.33 0.207 29.889 4.5459 0.85 1 1 1
209 33.30 0.160 22.339 4.6045 0.85 1 1 1
210 48.60 0.275 41.817 4.6045 0.85 1 1 1
211 36.36 0.139 30.122 4.2529 0.85 1 1 1
212 58.07 0.299 41.419 4.6045 0.85 1 1 1
213 19.38 0.070 14.360 4.7998 0.85 1 1 1
214 50.92 0.308 32.957 4.6045 0.85 1 1 1
215 31.79 0.116 24.617 4.7998 0.85 1 1 1
216 55.62 0.366 30.515 4.7021 0.85 1 1 1
217 50.92 0.308 28.735 4.5459 0.85 1 1 1
218 43.24 0.196 34.584 4.5459 0.85 1 1 1
219 50.92 0.308 29.008 4.8486 0.85 1 1 1
220 41.42 0.187 32.656 4.3994 0.85 1 1 1
221 50.92 0.308 35.777 4.3994 0.85 1 1 1
222 51.76 0.346 27.284 4.7021 0.85 1 1 1
223 50.92 0.308 28.812 4.8486 0.85 1 1 1
224 41.86 0.274 21.813 4.6045 0.85 1 1 1
225 31.79 0.116 24.570 4.7998 0.85 1 1 1
226 43.24 0.196 34.947 4.5459 0.85 1 1 1
227 54.22 0.339 31.542 4.4482 0.85 1 1 1
228 58.07 0.299 40.937 4.6045 0.85 1 1 1
229 41.86 0.274 21.645 4.6045 0.85 1 1 1
230 38.50 0.184 27.443 4.6533 0.85 1 1 1
231 57.87 0.362 46.072 4.5459 0.85 1 1 1
232 41.38 0.211 27.216 4.7510 0.85 1 1 1
233 41.38 0.211 26.576 4.7510 0.85 1 1 1
234 25.90 0.103 21.619 4.4971 0.85 1 1 1
235 38.50 0.184 27.755 4.6533 0.85 1 1 1
236 50.92 0.308 33.036 4.6045 0.85 1 1 1
237 50.92 0.308 40.875 4.7021 0.85 1 1 1
238 50.92 0.308 30.486 4.7021 0.85 1 1 1
239 50.92 0.308 30.996 4.7021 0.85 1 1 1
240 43.24 0.196 34.679 4.5459 0.85 1 1 1
241 40.33 0.207 29.741 4.5459 0.85 1 1 1
242 55.62 0.366 30.339 4.7021 0.85 1 1 1
243 50.92 0.308 31.215 4.6533 0.85 1 1 1
244 40.33 0.207 29.922 4.5459 0.85 1 1 1
245 49.23 0.270 37.585 4.6045 0.85 1 1 1
246 44.27 0.264 29.349 4.7021 0.85 1 1 1
247 50.92 0.308 41.036 4.1455 0.85 1 1 1
248 41.38 0.211 27.199 4.7510 0.85 1 1 1
249 50.92 0.308 28.747 4.8486 0.85 1 1 1
250 50.92 0.308 41.104 4.7021 0.85 1 1 1
251 50.92 0.308 32.789 4.6045 0.85 1 1 1
252 43.24 0.196 34.677 4.5459 0.85 1 1 1
253 50.92 0.308 36.260 4.8975 0.85 1 1 1
254 57.87 0.362 45.660 4.5459 0.85 1 1 1
255 58.07 0.299 41.140 4.6045 0.85 1 1 1
256 48.60 0.275 41.493 4.6045 0.85 1 1 1
257 57.87 0.362 45.995 4.5459 0.85 1 1 1
258 46.18 0.229 36.425 4.5459 0.85 1 1 1
259 17.64 0.025 15.678 4.8486 0.85 1 1 1
260 50.92 0.308 36.539 4.8975 0.85 1 1 1
261 25.90 0.103 21.544 4.4971 0.85 1 1 1
262 50.92 0.308 35.325 4.3994 0.85 1 1 1
263 19.38 0.070 14.346 4.7998 0.85 1 1 1
264 50.92 0.308 28.896 4.5459 0.85 1 1 1
265 50.92 0.308 31.708 4.5459 0.85 1 1 1
266 47.91 0.251 33.672 4.6045 0.85 1 1 1
267 57.87 0.362 46.027 4.5459 0.85 1 1 1
268 50.92 0.308 31.027 4.6533 0.85 1 1 1
269 33.30 0.160 22.671 4.6045 0.85 1 1 1
270 46.18 0.229 36.773 4.5459 0.85 1 1 1
271 44.27 0.264 29.817 4.7021 0.85 1 1 1
272 50.92 0.308 28.875 4.8486 0.85 1 1 1
273 17.64 0.025 15.538 4.8486 0.85 1 1 1
274 54.54 0.344 41.810 4.4482 0.85 1 1 1
275 50.92 0.308 41.062 4.1455 0.85 1 1 1
276 41.42 0.187 32.357 4.3994 0.85 1 1 1
277 50.92 0.308 28.994 4.5459 0.85 1 1 1
278 55.62 0.366 30.251 4.7021 0.85 1 1 1
279 50.92 0.308 36.679 4.8975 0.85 1 1 1
280 51.76 0.346 27.032 4.7021 0.85 1 1 1
281 50.92 0.308 38.186 4.4482 0.85 1 1 1
282 50.92 0.308 40.905 4.7021 0.85 1 1 1
283 46.18 0.229 36.815 4.5459 0.85 1 1 1
284 55.62 0.366 30.274 4.7021 0.85 1 1 1
285 50.92 0.308 38.445 4.4482 0.85 1 1 1
286 50.92 0.308 31.762 4.6045 0.85 1 1 1
287 50.92 0.308 33.153 4.6045 0.85 1 1 1
288 50.92 0.308 29.092 4.5459 0.85 1 1 1
289 41.42 0.187 32.621 4.3994 0.85 1 1 1
290 50.92 0.308 36.209 4.6533 0.85 1 1 1
291 58.07 0.299 40.744 4.6045 0.85 1 1 1
292 55.62 0.366 30.095 4.7021 0.85 1 1 1
293 54.22 0.339 30.989 4.4482 0.85 1 1 1
294 58.07 0.299 40.906 4.6045 0.85 1 1 1
295 50.92 0.308 35.806 4.3994 0.85 1 1 1
296 50.92 0.308 34.611 4.5459 0.85 1 1 1
297 50.92 0.308 38.962 4.5459 0.85 1 1 1
298 50.92 0.308 36.261 4.6533 0.85 1 1 1
299 50.92 0.308 29.022 4.5459 0.85 1 1 1
300 50.92 0.308 34.120 4.5459 0.85 1 1 1
301 40.50 0.193 30.225 4.6533 0.85 1 1 1
302 40.50 0.193 30.164 4.6533 0.85 1 1 1
303 47.91 0.251 33.716 4.6045 0.85 1 1 1
304 50.92 0.308 33.258 4.6045 0.85 1 1 1
305 33.30 0.160 22.312 4.6045 0.85 1 1 1
306 55.62 0.366 30.220 4.7021 0.85 1 1 1
307 40.33 0.207 30.128 4.5459 0.85 1 1 1
308 50.92 0.308 33.108 4.6045 0.85 1 1 1
309 50.92 0.308 35.776 4.3994 0.85 1 1 1
310 41.38 0.211 27.238 4.7510 0.85 1 1 1
311 50.92 0.308 31.313 4.6533 0.85 1 1 1
312 49.23 0.270 37.838 4.6045 0.85 1 1 1
313 50.92 0.308 33.270 4.6045 0.85 1 1 1
314 41.38 0.211 27.312 4.7510 0.85 1 1 1
315 47.91 0.251 33.420 4.6045 0.85 1 1 1
316 50.92 0.308 35.939 4.3994 0.85 1 1 1
317 31.79 0.116 24.566 4.7998 0.85 1 1 1
318 50.92 0.308 38.579 4.3506 0.85 1 1 1
319 19.38 0.070 14.356 4.7998 0.85 1 1 1
320 50.92 0.308 29.272 4.8486 0.85 1 1 1
321 19.38 0.070 14.335 4.7998 0.85 1 1 1
322 50.92 0.308 38.295 4.4482 0.85 1 1 1
323 41.42 0.187 32.387 4.3994 0.85 1 1 1
324 50.92 0.308 32.016 4.6045 0.85 1 1 1
325 19.38 0.070 14.378 4.7998 0.85 1 1 1
326 38.50 0.184 27.738 4.6533 0.85 1 1 1
327 55.62 0.366 30.511 4.7021 0.85 1 1 1
328 50.92 0.308 38.768 4.5459 0.85 1 1 1
329 38.50 0.184 27.535 4.6533 0.85 1 1 1
330 57.87 0.362 46.698 4.5459 0.85 1 1 1
331 50.92 0.308 31.456 4.6533 0.85 1 1 1
332 46.18 0.229 36.754 4.5459 0.85 1 1 1
333 50.92 0.308 31.874 4.5459 0.85 1 1 1
334 50.92 0.308 35.972 4.6533 0.85 1 1 1
335 55.62 0.366 30.427 4.7021 0.85 1 1 1
336 47.91 0.251 33.451 4.6045 0.85 1 1 1
337 33.30 0.160 22.376 4.6045 0.85 1 1 1
338 50.92 0.308 38.737 4.5459 0.85 1 1 1
339 41.86 0.274 21.565 4.6045 0.85 1 1 1
340 50.92 0.308 29.083 4.5459 0.85 1 1 1
341 48.60 0.275 41.517 4.6045 0.85 1 1 1
342 44.77 0.218 35.789 4.3994 0.85 1 1 1
343 40.50 0.193 30.077 4.6533 0.85 1 1 1
344 41.86 0.274 21.580 4.6045 0.85 1 1 1
345 50.92 0.308 31.306 4.6533 0.85 1 1 1
346 33.30 0.160 22.195 4.6045 0.85 1 1 1
347 50.92 0.308 36.787 4.8975 0.85 1 1 1
348 44.27 0.264 29.401 4.7021 0.85 1 1 1
349 58.07 0.299 41.423 4.6045 0.85 1 1 1
350 43.24 0.196 34.999 4.5459 0.85 1 1 1
351 55.62 0.366 30.378 4.7021 0.85 1 1 1
352 44.27 0.264 29.262 4.7021 0.85 1 1 1
353 44.27 0.264 29.510 4.7021 0.85 1 1 1
354 44.77 0.218 36.382 4.3994 0.85 1 1 1
355 50.92 0.308 36.750 4.8975 0.85 1 1 1
356 40.50 0.193 30.402 4.6533 0.85 1 1 1
357 50.92 0.308 28.969 4.5459 0.85 1 1 1
358 36.36 0.139 29.686 4.2529 0.85 1 1 1
359 41.38 0.211 27.193 4.7510 0.85 1 1 1
360 51.76 0.346 27.344 4.7021 0.85 1 1 1
361 49.23 0.270 37.435 4.6045 0.85 1 1 1
362 50.92 0.308 39.065 4.5459 0.85 1 1 1
363 31.79 0.116 24.622 4.7998 0.85 1 1 1
364 49.23 0.270 37.961 4.6045 0.85 1 1 1
365 50.92 0.308 38.643 4.5459 0.85 1 1 1
366 50.92 0.308 31.893 4.5459 0.85 1 1 1
367 50.92 0.308 34.497 4.5459 0.85 1 1 1
368 36.36 0.139 29.602 4.2529 0.85 1 1 1
369 50.92 0.308 35.296 4.6533 0.85 1 1 1
370 17.64 0.025 15.751 4.8486 0.85 1 1 1
371 40.33 0.207 29.927 4.5459 0.85 1 1 1
372 40.50 0.193 30.630 4.6533 0.85 1 1 1
373 46.18 0.229 36.681 4.5459 0.85 1 1 1
374 40.33 0.207 30.134 4.5459 0.85 1 1 1
375 17.64 0.025 15.720 4.8486 0.85 1 1 1
376 50.92 0.308 31.573 4.5459 0.85 1 1 1
377 25.90 0.103 21.502 4.4971 0.85 1 1 1
378 40.33 0.207 29.838 4.5459 0.85 1 1 1
379 40.50 0.193 30.622 4.6533 0.85 1 1 1
380 50.92 0.308 34.151 4.5459 0.85 1 1 1
381 50.92 0.308 35.766 4.6533 0.85 1 1 1
382 19.38 0.070 14.302 4.7998 0.85 1 1 1
383 50.92 0.308 38.502 4.4482 0.85 1 1 1
384 36.36 0.139 30.127 4.2529 0.85 1 1 1
385 58.07 0.299 40.614 4.6045 0.85 1 1 1
386 47.91 0.251 33.265 4.6045 0.85 1 1 1
387 40.33 0.207 29.811 4.5459 0.85 1 1 1
388 50.92 0.308 31.669 4.5459 0.85 1 1 1
389 48.60 0.275 41.433 4.6045 0.85 1 1 1
390 50.92 0.308 29.069 4.8486 0.85 1 1 1
391 50.92 0.308 40.506 4.1455 0.85 1 1 1
392 54.54 0.344 42.265 4.4482 0.85 1 1 1
393 38.50 0.184 27.361 4.6533 0.85 1 1 1
394 50.92 0.308 29.122 4.8486 0.85 1 1 1
395 50.92 0.308 28.751 4.8486 0.85 1 1 1
396 50.92 0.308 28.973 4.5459 0.85 1 1 1
397 40.50 0.193 30.590 4.6533 0.85 1 1 1
398 54.22 0.339 31.257 4.4482 0.85 1 1 1
399 51.76 0.346 27.014 4.7021 0.85 1 1 1
400 43.24 0.196 34.639 4.5459 0.85 1 1 1
401 41.38 0.211 27.386 4.7510 0.85 1 1 1
402 41.38 0.211 27.297 4.7510 0.85 1 1 1
403 50.92 0.308 31.384 4.5459 0.85 1 1 1
404 31.79 0.116 24.439 4.7998 0.85 1 1 1
405 50.92 0.308 38.622 4.4482 0.85 1 1 1
406 44.77 0.218 36.370 4.3994 0.85 1 1 1
407 40.33 0.207 30.190 4.5459 0.85 1 1 1
408 50.92 0.308 36.012 4.6533 0.85 1 1 1
409 27.27 0.110 21.665 4.6533 0.85 1 1 1
410 50.92 0.308 32.905 4.6045 0.85 1 1 1
411 50.92 0.308 40.875 4.7021 0.85 1 1 1
412 40.33 0.207 29.996 4.5459 0.85 1 1 1
413 27.27 0.110 21.544 4.6533 0.85 1 1 1
414 54.22 0.339 31.358 4.4482 0.85 1 1 1
415 50.92 0.308 34.423 4.5459 0.85 1 1 1
416 31.79 0.116 24.641 4.7998 0.85 1 1 1
417 50.92 0.308 38.633 4.3506 0.85 1 1 1
418 38.50 0.184 27.645 4.6533 0.85 1 1 1
419 46.18 0.229 36.400 4.5459 0.85 1 1 1
420 50.92 0.308 35.285 4.3994 0.85 1 1 1
421 57.87 0.362 46.500 4.5459 0.85 1 1 1
422 50.92 0.308 28.398 4.8486 0.85 1 1 1
423 41.38 0.211 27.415 4.7510 0.85 1 1 1
424 50.92 0.308 31.808 4.6045 0.85 1 1 1
425 41.38 0.211 27.333 4.7510 0.85 1 1 1
426 50.92 0.308 38.822 4.5459 0.85 1 1 1
427 50.92 0.308 28.948 4.8486 0.85 1 1 1
428 19.38 0.070 14.380 4.7998 0.85 1 1 1
429 48.60 0.275 41.194 4.6045 0.85 1 1 1
430 40.50 0.193 30.437 4.6533 0.85 1 1 1
431 50.92 0.308 38.401 4.5459 0.85 1 1 1
432 50.92 0.308 31.411 4.5459 0.85 1 1 1
433 31.79 0.116 24.576 4.7998 0.85 1 1 1
434 50.92 0.308 32.852 4.6045 0.85 1 1 1
435 55.62 0.366 30.025 4.7021 0.85 1 1 1
436 48.60 0.275 41.662 4.6045 0.85 1 1 1
437 27.27 0.110 21.349 4.6533 0.85 1 1 1
438 49.23 0.270 37.111 4.6045 0.85 1 1 1
439 50.92 0.308 40.642 4.7021 0.85 1 1 1
440 36.36 0.139 30.182 4.2529 0.85 1 1 1
441 46.18 0.229 36.589 4.5459 0.85 1 1 1
442 17.64 0.025 15.760 4.8486 0.85 1 1 1
443 48.60 0.275 41.027 4.6045 0.85 1 1 1
444 50.92 0.308 28.930 4.8486 0.85 1 1 1
445 44.27 0.264 29.957 4.7021 0.85 1 1 1
446 54.54 0.344 42.192 4.4482 0.85 1 1 1
447 46.18 0.229 36.865 4.5459 0.85 1 1 1
448 50.92 0.308 31.722 4.5459 0.85 1 1 1
449 50.92 0.308 36.864 4.8975 0.85 1 1 1
450 58.07 0.299 41.175 4.6045 0.85 1 1 1
451 50.92 0.308 36.448 4.8975 0.85 1 1 1
452 31.79 0.116 24.749 4.7998 0.85 1 1 1
453 44.27 0.264 29.699 4.7021 0.85 1 1 1
454 51.76 0.346 27.083 4.7021 0.85 1 1 1
455 50.92 0.308 38.433 4.3994 0.85 1 1 1
456 50.92 0.308 34.634 4.5459 0.85 1 1 1
457 50.92 0.308 31.589 4.5459 0.85 1 1 1
458 50.92 0.308 40.660 4.7021 0.85 1 1 1
459 50.92 0.308 40.968 4.7021 0.85 1 1 1
460 48.60 0.275 41.170 4.6045 0.85 1 1 1
461 50.92 0.308 40.799 4.7021 0.85 1 1 1
462 44.27 0.264 29.612 4.7021 0.85 1 1 1
463 54.22 0.339 31.251 4.4482 0.85 1 1 1
464 49.23 0.270 37.386 4.6045 0.85 1 1 1
465 50.92 0.308 29.091 4.5459 0.85 1 1 1
466 44.27 0.264 29.728 4.7021 0.85 1 1 1
467 46.18 0.229 36.876 4.5459 0.85 1 1 1
468 41.38 0.211 27.267 4.7510 0.85 1 1 1
469 41.86 0.274 21.537 4.6045 0.85 1 1 1
470 50.92 0.308 33.098 4.6045 0.85 1 1 1
471 43.24 0.196 34.869 4.5459 0.85 1 1 1
472 54.04 0.342 41.637 4.1455 0.85 1 1 1
473 31.79 0.116 24.341 4.7998 0.85 1 1 1
474 40.50 0.193 30.504 4.6533 0.85 1 1 1
475 51.76 0.346 27.194 4.7021 0.85 1 1 1
476 50.92 0.308 30.610 4.7021 0.85 1 1 1
477 27.27 0.110 21.436 4.6533 0.85 1 1 1
478 50.92 0.308 38.213 4.5459 0.85 1 1 1
479 50.92 0.308 31.918 4.5459 0.85 1 1 1
480 50.92 0.308 38.822 4.3506 0.85 1 1 1
481 36.36 0.139 29.721 4.2529 0.85 1 1 1
482 50.92 0.308 40.654 4.7021 0.85 1 1 1
483 49.23 0.270 37.733 4.6045 0.85 1 1 1
484 50.92 0.308 38.254 4.4482 0.85 1 1 1
485 49.23 0.270 37.440 4.6045 0.85 1 1 1
486 50.92 0.308 29.078 4.8486 0.85 1 1 1
487 48.60 0.275 41.698 4.6045 0.85 1 1 1
488 50.92 0.308 31.457 4.6045 0.85 1 1 1
489 40.50 0.193 30.216 4.6533 0.85 1 1 1
490 44.27 0.264 29.609 4.7021 0.85 1 1 1
491 47.91 0.251 33.091 4.6045 0.85 1 1 1
492 50.92 0.308 36.697 4.8975 0.85 1 1 1
493 50.92 0.308 30.778 4.7021 0.85 1 1 1
494 50.92 0.308 29.097 4.8486 0.85 1 1 1
495 44.27 0.264 29.429 4.7021 0.85 1 1 1
496 50.92 0.308 36.141 4.6533 0.85 1 1 1
497 50.92 0.308 30.489 4.7021 0.85 1 1 1
498 47.91 0.251 33.260 4.6045 0.85 1 1 1
499 54.22 0.339 31.621 4.4482 0.85 1 1 1
500 54.22 0.339 31.497 4.4482 0.85 1 1 1
501 40.33 0.207 30.070 4.5459 0.85 1 1 1
502 17.64 0.025 15.756 4.8486 0.85 1 1 1
503 54.54 0.344 42.280 4.4482 0.85 1 1 1
504 41.86 0.274 21.524 4.6045 0.85 1 1 1
505 54.22 0.339 31.153 4.4482 0.85 1 1 1
506 49.23 0.270 37.360 4.6045 0.85 1 1 1
507 50.92 0.308 38.481 4.3506 0.85 1 1 1
508 50.92 0.308 31.994 4.6045 0.85 1 1 1
509 48.60 0.275 41.478 4.6045 0.85 1 1 1
510 50.92 0.308 28.790 4.5459 0.85 1 1 1
511 50.92 0.308 31.676 4.6045 0.85 1 1 1
512 54.54 0.344 41.424 4.4482 0.85 1 1 1
513 38.50 0.184 27.782 4.6533 0.85 1 1 1
514 50.92 0.308 38.564 4.3994 0.85 1 1 1
515 43.24 0.196 34.903 4.5459 0.85 1 1 1
516 54.54 0.344 41.992 4.4482 0.85 1 1 1
517 19.38 0.070 14.376 4.7998 0.85 1 1 1
518 50.92 0.308 38.801 4.3506 0.85 1 1 1
519 50.92 0.308 31.437 4.6533 0.85 1 1 1
520 50.92 0.308 34.496 4.5459 0.85 1 1 1
521 57.87 0.362 46.561 4.5459 0.85 1 1 1
522 50.92 0.308 30.468 4.7021 0.85 1 1 1
523 41.42 0.187 32.102 4.3994 0.85 1 1 1
524 50.92 0.308 31.923 4.5459 0.85 1 1 1
525 31.79 0.116 24.826 4.7998 0.85 1 1 1
526 50.92 0.308 36.917 4.8975 0.85 1 1 1
527 50.92 0.308 36.025 4.6533 0.85 1 1 1
528 50.92 0.308 31.888 4.5459 0.85 1 1 1
529 31.79 0.116 24.471 4.7998 0.85 1 1 1
530 31.79 0.116 24.357 4.7998 0.85 1 1 1
531 46.18 0.229 36.274 4.5459 0.85 1 1 1
532 50.92 0.308 30.393 4.7021 0.85 1 1 1
533 58.07 0.299 41.240 4.6045 0.85 1 1 1
534 50.92 0.308 36.160 4.6533 0.85 1 1 1
535 50.92 0.308 31.556 4.6045 0.85 1 1 1
536 50.92 0.308 38.129 4.3506 0.85 1 1 1
537 19.38 0.070 14.241 4.7998 0.85 1 1 1
538 50.92 0.308 31.583 4.6533 0.85 1 1 1
539 50.92 0.308 33.020 4.6045 0.85 1 1 1
540 50.92 0.308 40.887 4.7021 0.85 1 1 1
541 50.92 0.308 35.942 4.3994 0.85 1 1 1
542 51.76 0.346 27.077 4.7021 0.85 1 1 1
543 36.36 0.139 29.545 4.2529 0.85 1 1 1
544 38.50 0.184 27.297 4.6533 0.85 1 1 1
545 50.92 0.308 35.182 4.3994 0.85 1 1 1
546 50.92 0.308 30.804 4.7021 0.85 1 1 1
547 49.23 0.270 37.942 4.6045 0.85 1 1 1
548 43.24 0.196 34.433 4.5459 0.85 1 1 1
549 17.64 0.025 15.834 4.8486 0.85 1 1 1
550 50.92 0.308 29.139 4.5459 0.85 1 1 1
551 41.86 0.274 21.783 4.6045 0.85 1 1 1
552 50.92 0.308 29.347 4.8486 0.85 1 1 1
553 47.91 0.251 33.380 4.6045 0.85 1 1 1
554 50.92 0.308 38.616 4.3994 0.85 1 1 1
555 50.92 0.308 34.587 4.5459 0.85 1 1 1
556 40.50 0.193 30.525 4.6533 0.85 1 1 1
557 17.64 0.025 15.641 4.8486 0.85 1 1 1
558 50.92 0.308 36.682 4.8975 0.85 1 1 1
559 36.36 0.139 29.692 4.2529 0.85 1 1 1
560 57.87 0.362 46.346 4.5459 0.85 1 1 1
561 50.92 0.308 29.018 4.8486 0.85 1 1 1
562 41.86 0.220 32.312 4.3506 0.85 1 1 1
563 55.62 0.366 30.214 4.7021 0.85 1 1 1
564 25.90 0.103 21.240 4.4971 0.85 1 1 1
565 49.23 0.270 37.625 4.6045 0.85 1 1 1
566 31.79 0.116 24.218 4.7998 0.85 1 1 1
567 19.38 0.070 14.348 4.7998 0.85 1 1 1
568 44.27 0.264 29.687 4.7021 0.85 1 1 1
569 50.92 0.308 38.771 4.3994 0.85 1 1 1
570 17.64 0.025 15.627 4.8486 0.85 1 1 1
571 50.92 0.308 30.697 4.7021 0.85 1 1 1
572 50.92 0.308 35.993 4.6533 0.85 1 1 1
573 46.18 0.229 36.595 4.5459 0.85 1 1 1
574 50.92 0.308 30.332 4.7021 0.85 1 1 1
575 51.76 0.346 27.099 4.7021 0.85 1 1 1
576 41.38 0.211 26.836 4.7510 0.85 1 1 1
577 47.91 0.251 33.606 4.6045 0.85 1 1 1
578 51.76 0.346 27.164 4.7021 0.85 1 1 1
579 50.92 0.308 28.869 4.5459 0.85 1 1 1
580 40.50 0.193 30.577 4.6533 0.85 1 1 1
581 50.92 0.308 28.857 4.8486 0.85 1 1 1
582 50.92 0.308 36.590 4.8975 0.85 1 1 1
583 48.60 0.275 41.464 4.6045 0.85 1 1 1
584 50.92 0.308 29.117 4.8486 0.85 1 1 1
585 40.50 0.193 30.587 4.6533 0.85 1 1 1
586 36.36 0.139 29.858 4.2529 0.85 1 1 1
587 50.92 0.308 35.801 4.3994 0.85 1 1 1
588 40.50 0.193 30.483 4.6533 0.85 1 1 1
589 50.92 0.308 36.606 4.8975 0.85 1 1 1
590 17.64 0.025 15.717 4.8486 0.85 1 1 1
591 50.92 0.308 31.471 4.6533 0.85 1 1 1
592 50.92 0.308 31.107 4.6533 0.85 1 1 1
593 50.92 0.308 29.012 4.5459 0.85 1 1 1
594 50.92 0.308 29.199 4.8486 0.85 1 1 1
595 43.24 0.196 34.756 4.5459 0.85 1 1 1
596 50.92 0.308 31.510 4.6533 0.85 1 1 1
597 50.92 0.308 28.784 4.8486 0.85 1 1 1
598 50.92 0.308 31.483 4.5459 0.85 1 1 1
599 50.92 0.308 36.706 4.8975 0.85 1 1 1
600 58.07 0.299 40.786 4.6045 0.85 1 1 1
601 41.42 0.187 32.239 4.3994 0.85 1 1 1
602 58.07 0.299 40.798 4.6045 0.85 1 1 1
603 50.92 0.308 40.805 4.7021 0.85 1 1 1
604 54.54 0.344 41.620 4.4482 0.85 1 1 1
605 50.92 0.308 36.521 4.8975 0.85 1 1 1
606 50.92 0.308 35.716 4.3994 0.85 1 1 1
607 50.92 0.308 38.849 4.5459 0.85 1 1 1
608 27.27 0.110 21.279 4.6533 0.85 1 1 1
609 33.30 0.160 22.532 4.6045 0.85 1 1 1
610 47.91 0.251 33.403 4.6045 0.85 1 1 1
611 57.87 0.362 46.262 4.5459 0.85 1 1 1
612 41.38 0.211 27.433 4.7510 0.85 1 1 1
613 50.92 0.308 31.194 4.5459 0.85 1 1 1
614 43.24 0.196 34.849 4.5459 0.85 1 1 1
615 41.38 0.211 26.939 4.7510 0.85 1 1 1
616 50.92 0.308 30.781 4.7021 0.85 1 1 1
617 48.60 0.275 41.448 4.6045 0.85 1 1 1
618 41.38 0.211 27.147 4.7510 0.85 1 1 1
619 41.86 0.220 32.733 4.3506 0.85 1 1 1
620 40.50 0.193 29.876 4.6533 0.85 1 1 1
621 54.54 0.344 42.326 4.4482 0.85 1 1 1
622 50.92 0.308 31.936 4.5459 0.85 1 1 1
623 25.90 0.103 21.390 4.4971 0.85 1 1 1
624 50.92 0.308 30.977 4.6045 0.85 1 1 1
625 50.92 0.308 38.533 4.3506 0.85 1 1 1
626 50.92 0.308 38.690 4.5459 0.85 1 1 1
627 50.92 0.308 38.807 4.5459 0.85 1 1 1
628 41.86 0.220 32.658 4.3506 0.85 1 1 1
629 41.86 0.274 21.464 4.6045 0.85 1 1 1
630 31.79 0.116 24.656 4.7998 0.85 1 1 1
631 40.50 0.193 30.355 4.6533 0.85 1 1 1
632 50.92 0.308 40.714 4.1455 0.85 1 1 1
633 44.27 0.264 29.641 4.7021 0.85 1 1 1
634 48.60 0.275 41.497 4.6045 0.85 1 1 1
635 50.92 0.308 38.636 4.5459 0.85 1 1 1
636 50.92 0.308 38.680 4.4482 0.85 1 1 1
637 49.23 0.270 37.319 4.6045 0.85 1 1 1
638 50.92 0.308 28.905 4.5459 0.85 1 1 1
639 50.92 0.308 29.002 4.8486 0.85 1 1 1
640 31.79 0.116 24.420 4.7998 0.85 1 1 1
641 50.92 0.308 31.578 4.5459 0.85 1 1 1
642 47.91 0.251 33.268 4.6045 0.85 1 1 1
643 36.36 0.139 29.862 4.2529 0.85 1 1 1
644 54.54 0.344 41.852 4.4482 0.85 1 1 1
645 19.38 0.070 14.493 4.7998 0.85 1 1 1
646 44.77 0.218 36.567 4.3994 0.85 1 1 1
647 50.92 0.308 38.408 4.4482 0.85 1 1 1
648 41.38 0.211 26.747 4.7510 0.85 1 1 1
649 25.90 0.103 21.668 4.4971 0.85 1 1 1
650 55.62 0.366 29.729 4.7021 0.85 1 1 1
651 50.92 0.308 31.175 4.6533 0.85 1 1 1
652 19.38 0.070 14.412 4.7998 0.85 1 1 1
653 57.87 0.362 46.395 4.5459 0.85 1 1 1
654 43.24 0.196 34.743 4.5459 0.85 1 1 1
655 36.36 0.139 29.910 4.2529 0.85 1 1 1
656 41.38 0.211 27.204 4.7510 0.85 1 1 1
657 41.86 0.274 21.668 4.6045 0.85 1 1 1
658 50.92 0.308 36.082 4.8975 0.85 1 1 1
659 50.92 0.308 36.775 4.8975 0.85 1 1 1
660 50.92 0.308 32.712 4.6045 0.85 1 1 1
661 48.60 0.275 41.761 4.6045 0.85 1 1 1
662 54.54 0.344 41.749 4.4482 0.85 1 1 1
663 40.50 0.193 30.126 4.6533 0.85 1 1 1
664 43.24 0.196 34.680 4.5459 0.85 1 1 1
665 50.92 0.308 36.395 4.8975 0.85 1 1 1
666 58.07 0.299 41.269 4.6045 0.85 1 1 1
667 43.24 0.196 34.874 4.5459 0.85 1 1 1
668 41.42 0.187 32.887 4.3994 0.85 1 1 1
669 43.24 0.196 34.158 4.5459 0.85 1 1 1
670 17.64 0.025 15.704 4.8486 0.85 1 1 1
671 54.54 0.344 41.780 4.4482 0.85 1 1 1
672 33.30 0.160 22.439 4.6045 0.85 1 1 1
673 50.92 0.308 40.340 4.1455 0.85 1 1 1
674 50.92 0.308 36.644 4.8975 0.85 1 1 1
675 50.92 0.308 31.822 4.6045 0.85 1 1 1
676 50.92 0.308 35.936 4.3994 0.85 1 1 1
677 50.92 0.308 38.326 4.5459 0.85 1 1 1
678 50.92 0.308 31.832 4.5459 0.85 1 1 1
679 50.92 0.308 40.999 4.7021 0.85 1 1 1
680 33.30 0.160 22.390 4.6045 0.85 1 1 1
681 38.50 0.184 27.562 4.6533 0.85 1 1 1
682 41.38 0.211 27.185 4.7510 0.85 1 1 1
683 50.92 0.308 31.173 4.6533 0.85 1 1 1
684 55.62 0.366 30.444 4.7021 0.85 1 1 1
685 43.24 0.196 34.656 4.5459 0.85 1 1 1
686 50.92 0.308 36.249 4.6533 0.85 1 1 1
687 50.92 0.308 38.687 4.3994 0.85 1 1 1
688 41.86 0.274 21.431 4.6045 0.85 1 1 1
689 27.27 0.110 21.556 4.6533 0.85 1 1 1
690 50.92 0.308 32.976 4.6045 0.85 1 1 1
691 48.60 0.275 41.589 4.6045 0.85 1 1 1
692 58.07 0.299 41.132 4.6045 0.85 1 1 1
693 33.30 0.160 22.249 4.6045 0.85 1 1 1
694 50.92 0.308 38.576 4.4482 0.85 1 1 1
695 41.86 0.274 21.351 4.6045 0.85 1 1 1
696 50.92 0.308 30.922 4.7021 0.85 1 1 1
697 50.92 0.308 30.805 4.7021 0.85 1 1 1
698 58.07 0.299 40.641 4.6045 0.85 1 1 1
699 50.92 0.308 38.453 4.5459 0.85 1 1 1
700 31.79 0.116 24.500 4.7998 0.85 1 1 1
701 50.92 0.308 38.564 4.4482 0.85 1 1 1
702 50.92 0.308 28.839 4.8486 0.85 1 1 1
703 41.86 0.274 21.482 4.6045 0.85 1 1 1
704 50.92 0.308 37.911 4.3506 0.85 1 1 1
705 50.92 0.308 38.333 4.3506 0.85 1 1 1
706 47.91 0.251 33.450 4.6045 0.85 1 1 1
707 43.24 0.196 34.726 4.5459 0.85 1 1 1
708 36.36 0.139 29.992 4.2529 0.85 1 1 1
709 54.54 0.344 42.023 4.4482 0.85 1 1 1
710 48.60 0.275 41.112 4.6045 0.85 1 1 1
711 17.64 0.025 15.788 4.8486 0.85 1 1 1
712 50.92 0.308 28.897 4.8486 0.85 1 1 1
713 49.23 0.270 37.293 4.6045 0.85 1 1 1
714 55.62 0.366 30.665 4.7021 0.85 1 1 1
715 50.92 0.308 38.568 4.4482 0.85 1 1 1
716 50.92 0.308 28.897 4.8486 0.85 1 1 1
717 49.23 0.270 37.478 4.6045 0.85 1 1 1
718 19.38 0.070 14.273 4.7998 0.85 1 1 1
719 44.27 0.264 29.649 4.7021 0.85 1 1 1
720 44.27 0.264 29.298 4.7021 0.85 1 1 1
721 50.92 0.308 36.979 4.8975 0.85 1 1 1
722 41.86 0.274 21.689 4.6045 0.85 1 1 1
723 50.92 0.308 38.973 4.5459 0.85 1 1 1
724 41.38 0.211 27.230 4.7510 0.85 1 1 1
725 50.92 0.308 40.654 4.7021 0.85 1 1 1
726 25.90 0.103 21.678 4.4971 0.85 1 1 1
727 50.92 0.308 36.029 4.6533 0.85 1 1 1
728 44.27 0.264 29.654 4.7021 0.85 1 1 1
729 50.92 0.308 36.589 4.8975 0.85 1 1 1
730 40.33 0.207 30.174 4.5459 0.85 1 1 1
731 38.50 0.184 27.396 4.6533 0.85 1 1 1
732 51.76 0.346 26.951 4.7021 0.85 1 1 1
733 17.64 0.025 15.764 4.8486 0.85 1 1 1
734 44.77 0.218 36.716 4.3994 0.85 1 1 1
735 49.23 0.270 37.296 4.6045 0.85 1 1 1
736 46.18 0.229 36.518 4.5459 0.85 1 1 1
737 50.92 0.308 28.789 4.8486 0.85 1 1 1
738 25.90 0.103 21.500 4.4971 0.85 1 1 1
739 50.92 0.308 31.451 4.5459 0.85 1 1 1
740 17.64 0.025 15.553 4.8486 0.85 1 1 1
741 46.18 0.229 36.430 4.5459 0.85 1 1 1
742 50.92 0.308 38.286 4.5459 0.85 1 1 1
743 27.27 0.110 21.360 4.6533 0.85 1 1 1
744 50.92 0.308 31.367 4.6045 0.85 1 1 1
745 41.38 0.211 26.614 4.7510 0.85 1 1 1
746 50.92 0.308 40.743 4.7021 0.85 1 1 1
747 50.92 0.308 29.216 4.8486 0.85 1 1 1
748 48.60 0.275 41.304 4.6045 0.85 1 1 1
749 58.07 0.299 40.936 4.6045 0.85 1 1 1
750 40.33 0.207 30.013 4.5459 0.85 1 1 1
751 41.86 0.220 32.515 4.3506 0.85 1 1 1
752 55.62 0.366 30.410 4.7021 0.85 1 1 1
753 25.90 0.103 21.524 4.4971 0.85 1 1 1
754 50.92 0.308 31.474 4.6533 0.85 1 1 1
755 44.27 0.264 29.524 4.7021 0.85 1 1 1
756 41.38 0.211 27.383 4.7510 0.85 1 1 1
757 50.92 0.308 28.917 4.5459 0.85 1 1 1
758 25.90 0.103 21.341 4.4971 0.85 1 1 1
759 17.64 0.025 15.417 4.8486 0.85 1 1 1
760 36.36 0.139 30.227 4.2529 0.85 1 1 1
761 19.38 0.070 14.462 4.7998 0.85 1 1 1
762 50.92 0.308 38.492 4.5459 0.85 1 1 1
763 41.38 0.211 27.187 4.7510 0.85 1 1 1
764 33.30 0.160 22.607 4.6045 0.85 1 1 1
765 40.50 0.193 30.725 4.6533 0.85 1 1 1
766 41.86 0.274 21.680 4.6045 0.85 1 1 1
767 40.33 0.207 29.782 4.5459 0.85 1 1 1
768 40.50 0.193 30.709 4.6533 0.85 1 1 1
769 57.87 0.362 45.588 4.5459 0.85 1 1 1
770 50.92 0.308 31.142 4.6533 0.85 1 1 1
771 54.54 0.344 41.966 4.4482 0.85 1 1 1
772 58.07 0.299 40.612 4.6045 0.85 1 1 1
773 49.23 0.270 37.212 4.6045 0.85 1 1 1
774 41.42 0.187 32.632 4.3994 0.85 1 1 1
775 27.27 0.110 21.321 4.6533 0.85 1 1 1
776 50.92 0.308 40.935 4.7021 0.85 1 1 1
777 50.92 0.308 33.023 4.6045 0.85 1 1 1
778 57.87 0.362 46.267 4.5459 0.85 1 1 1
779 50.92 0.308 35.753 4.6533 0.85 1 1 1
780 40.33 0.207 30.090 4.5459 0.85 1 1 1
781 25.90 0.103 21.571 4.4971 0.85 1 1 1
782 50.92 0.308 31.951 4.5459 0.85 1 1 1
783 38.50 0.184 27.163 4.6533 0.85 1 1 1
784 50.92 0.308 31.364 4.5459 0.85 1 1 1
785 50.92 0.308 36.622 4.8975 0.85 1 1 1
786 36.36 0.139 29.832 4.2529 0.85 1 1 1
787 19.38 0.070 14.372 4.7998 0.85 1 1 1
788 50.92 0.308 38.486 4.3506 0.85 1 1 1
789 40.50 0.193 30.613 4.6533 0.85 1 1 1
790 51.76 0.346 27.225 4.7021 0.85 1 1 1
791 50.92 0.308 28.887 4.8486 0.85 1 1 1
792 33.30 0.160 22.330 4.6045 0.85 1 1 1
793 50.92 0.308 36.884 4.8975 0.85 1 1 1
794 38.50 0.184 27.502 4.6533 0.85 1 1 1
795 50.92 0.308 32.889 4.6045 0.85 1 1 1
796 48.60 0.275 41.552 4.6045 0.85 1 1 1
797 49.23 0.270 37.619 4.6045 0.85 1 1 1
798 41.38 0.211 27.218 4.7510 0.85 1 1 1
799 44.27 0.264 29.553 4.7021 0.85 1 1 1
800 51.76 0.346 27.139 4.7021 0.85 1 1 1
801 44.27 0.264 29.615 4.7021 0.85 1 1 1
802 50.92 0.308 30.447 4.7021 0.85 1 1 1
803 50.92 0.308 34.440 4.5459 0.85 1 1 1
804 50.92 0.308 29.136 4.5459 0.85 1 1 1
805 50.92 0.308 31.174 4.6533 0.85 1 1 1
806 40.50 0.193 30.170 4.6533 0.85 1 1 1
807 57.87 0.362 46.190 4.5459 0.85 1 1 1
808 38.50 0.184 27.286 4.6533 0.85 1 1 1
809 46.18 0.229 36.372 4.5459 0.85 1 1 1
810 33.30 0.160 22.323 4.6045 0.85 1 1 1
811 50.92 0.308 30.763 4.7021 0.85 1 1 1
812 44.77 0.218 36.234 4.3994 0.85 1 1 1
813 55.62 0.366 30.521 4.7021 0.85 1 1 1
814 50.92 0.308 29.045 4.5459 0.85 1 1 1
815 54.04 0.342 41.530 4.1455 0.85 1 1 1
816 47.91 0.251 33.280 4.6045 0.85 1 1 1
817 50.92 0.308 38.486 4.3994 0.85 1 1 1
818 54.22 0.339 31.315 4.4482 0.85 1 1 1
819 50.92 0.308 40.618 4.7021 0.85 1 1 1
820 31.79 0.116 24.736 4.7998 0.85 1 1 1
821 36.36 0.139 30.150 4.2529 0.85 1 1 1
822 51.76 0.346 26.815 4.7021 0.85 1 1 1
823 41.86 0.274 21.566 4.6045 0.85 1 1 1
824 54.22 0.339 31.525 4.4482 0.85 1 1 1
825 50.92 0.308 34.445 4.5459 0.85 1 1 1
826 48.60 0.275 41.798 4.6045 0.85 1 1 1
827 54.22 0.339 31.282 4.4482 0.85 1 1 1
828 58.07 0.299 40.233 4.6045 0.85 1 1 1
829 41.86 0.220 32.601 4.3506 0.85 1 1 1
830 41.38 0.211 27.085 4.7510 0.85 1 1 1
831 43.24 0.196 34.557 4.5459 0.85 1 1 1
832 17.64 0.025 15.740 4.8486 0.85 1 1 1
833 48.60 0.275 41.516 4.6045 0.85 1 1 1
834 58.07 0.299 41.298 4.6045 0.85 1 1 1
835 33.30 0.160 22.498 4.6045 0.85 1 1 1
836 50.92 0.308 33.077 4.6045 0.85 1 1 1
837 46.18 0.229 36.236 4.5459 0.85 1 1 1
838 50.92 0.308 40.826 4.7021 0.85 1 1 1
839 51.76 0.346 27.069 4.7021 0.85 1 1 1
840 31.79 0.116 24.851 4.7998 0.85 1 1 1
841 46.18 0.229 36.815 4.5459 0.85 1 1 1
842 50.92 0.308 31.402 4.5459 0.85 1 1 1
843 50.92 0.308 31.309 4.6533 0.85 1 1 1
844 36.36 0.139 29.747 4.2529 0.85 1 1 1
845 44.27 0.264 29.684 4.7021 0.85 1 1 1
846 27.27 0.110 21.448 4.6533 0.85 1 1 1
847 47.91 0.251 32.993 4.6045 0.85 1 1 1
848 50.92 0.308 38.528 4.4482 0.85 1 1 1
849 50.92 0.308 34.542 4.5459 0.85 1 1 1
850 46.18 0.229 36.677 4.5459 0.85 1 1 1
851 57.87 0.362 46.090 4.5459 0.85 1 1 1
852 31.79 0.116 24.725 4.7998 0.85 1 1 1
853 50.92 0.308 29.164 4.5459 0.85 1 1 1
854 49.23 0.270 37.697 4.6045 0.85 1 1 1
855 50.92 0.308 31.581 4.5459 0.85 1 1 1
856 50.92 0.308 38.427 4.4482 0.85 1 1 1
857 33.30 0.160 22.626 4.6045 0.85 1 1 1
858 33.30 0.160 22.190 4.6045 0.85 1 1 1
859 50.92 0.308 28.723 4.8486 0.85 1 1 1
860 50.92 0.308 36.354 4.6533 0.85 1 1 1
861 50.92 0.308 38.517 4.3506 0.85 1 1 1
862 58.07 0.299 41.052 4.6045 0.85 1 1 1
863 40.50 0.193 30.354 4.6533 0.85 1 1 1
864 36.36 0.139 30.178 4.2529 0.85 1 1 1
865 41.86 0.220 32.570 4.3506 0.85 1 1 1
866 27.27 0.110 21.689 4.6533 0.85 1 1 1
867 33.30 0.160 22.546 4.6045 0.85 1 1 1
868 46.18 0.229 36.565 4.5459 0.85 1 1 1
869 54.54 0.344 42.245 4.4482 0.85 1 1 1
870 50.92 0.308 38.515 4.3994 0.85 1 1 1
871 41.38 0.211 27.184 4.7510 0.85 1 1 1
872 50.92 0.308 36.303 4.8975 0.85 1 1 1
873 50.92 0.308 31.896 4.6045 0.85 1 1 1
874 43.24 0.196 34.693 4.5459 0.85 1 1 1
875 46.18 0.229 36.685 4.5459 0.85 1 1 1
876 50.92 0.308 31.787 4.6045 0.85 1 1 1
877 50.92 0.308 30.432 4.7021 0.85 1 1 1
878 44.77 0.218 36.636 4.3994 0.85 1 1 1
879 33.30 0.160 22.422 4.6045 0.85 1 1 1
880 50.92 0.308 28.988 4.8486 0.85 1 1 1
881 19.38 0.070 14.214 4.7998 0.85 1 1 1
882 50.92 0.308 40.997 4.7021 0.85 1 1 1
883 41.42 0.187 32.694 4.3994 0.85 1 1 1
884 51.76 0.346 26.944 4.7021 0.85 1 1 1
885 44.77 0.218 36.241 4.3994 0.85 1 1 1
886 47.91 0.251 33.587 4.6045 0.85 1 1 1
887 50.92 0.308 35.596 4.3994 0.85 1 1 1
888 41.86 0.220 32.153 4.3506 0.85 1 1 1
889 47.91 0.251 33.196 4.6045 0.85 1 1 1
890 19.38 0.070 14.347 4.7998 0.85 1 1 1
891 50.92 0.308 36.263 4.8975 0.85 1 1 1
892 40.50 0.193 30.422 4.6533 0.85 1 1 1
893 17.64 0.025 15.743 4.8486 0.85 1 1 1
894 40.50 0.193 30.551 4.6533 0.85 1 1 1
895 50.92 0.308 40.616 4.7021 0.85 1 1 1
896 50.92 0.308 35.378 4.3994 0.85 1 1 1
897 41.86 0.220 32.781 4.3506 0.85 1 1 1
898 55.62 0.366 30.379 4.7021 0.85 1 1 1
899 50.92 0.308 28.745 4.8486 0.85 1 1 1
900 50.92 0.308 36.398 4.8975 0.85 1 1 1
901 17.64 0.025 15.655 4.8486 0.85 1 1 1
902 51.76 0.346 26.773 4.7021 0.85 1 1 1
903 50.92 0.308 30.823 4.6533 0.85 1 1 1
904 17.64 0.025 15.840 4.8486 0.85 1 1 1
905 48.60 0.275 41.532 4.6045 0.85 1 1 1
906 17.64 0.025 15.845 4.8486 0.85 1 1 1
907 48.60 0.275 41.008 4.6045 0.85 1 1 1
908 58.07 0.299 40.976 4.6045 0.85 1 1 1
909 50.92 0.308 31.725 4.6045 0.85 1 1 1
910 50.92 0.308 35.784 4.3994 0.85 1 1 1
911 50.92 0.308 31.560 4.5459 0.85 1 1 1
912 40.50 0.193 30.289 4.6533 0.85 1 1 1
913 54.54 0.344 41.787 4.4482 0.85 1 1 1
914 44.27 0.264 29.652 4.7021 0.85 1 1 1
915 41.42 0.187 32.485 4.3994 0.85 1 1 1
916 19.38 0.070 14.368 4.7998 0.85 1 1 1
917 50.92 0.308 40.035 4.7021 0.85 1 1 1
918 50.92 0.308 28.578 4.8486 0.85 1 1 1
919 50.92 0.308 40.237 4.7021 0.85 1 1 1
920 51.76 0.346 26.963 4.7021 0.85 1 1 1
921 25.90 0.103 21.663 4.4971 0.85 1 1 1
922 47.91 0.251 33.519 4.6045 0.85 1 1 1
923 17.64 0.025 15.495 4.8486 0.85 1 1 1
924 50.92 0.308 40.975 4.1455 0.85 1 1 1
925 41.42 0.187 32.788 4.3994 0.85 1 1 1
926 55.62 0.366 30.251 4.7021 0.85 1 1 1
927 40.33 0.207 29.952 4.5459 0.85 1 1 1
928 40.50 0.193 30.559 4.6533 0.85 1 1 1
929 50.92 0.308 34.372 4.5459 0.85 1 1 1
930 55.62 0.366 30.313 4.7021 0.85 1 1 1
931 41.86 0.220 32.226 4.3506 0.85 1 1 1
932 19.38 0.070 14.311 4.7998 0.85 1 1 1
933 31.79 0.116 24.557 4.7998 0.85 1 1 1
934 38.50 0.184 27.280 4.6533 0.85 1 1 1
935 27.27 0.110 21.446 4.6533 0.85 1 1 1
936 46.18 0.229 36.806 4.5459 0.85 1 1 1
937 50.92 0.308 30.638 4.7021 0.85 1 1 1
938 38.50 0.184 27.678 4.6533 0.85 1 1 1
939 50.92 0.308 28.842 4.5459 0.85 1 1 1
940 48.60 0.275 41.766 4.6045 0.85 1 1 1
941 40.33 0.207 29.476 4.5459 0.85 1 1 1
942 50.92 0.308 31.635 4.5459 0.85 1 1 1
943 25.90 0.103 21.448 4.4971 0.85 1 1 1
944 43.24 0.196 34.638 4.5459 0.85 1 1 1
945 44.27 0.264 29.363 4.7021 0.85 1 1 1
946 58.07 0.299 40.722 4.6045 0.85 1 1 1
947 50.92 0.308 30.909 4.7021 0.85 1 1 1
948 48.60 0.275 41.419 4.6045 0.85 1 1 1
949 17.64 0.025 15.752 4.8486 0.85 1 1 1
950 41.86 0.220 32.215 4.3506 0.85 1 1 1
951 50.92 0.308 34.504 4.5459 0.85 1 1 1
952 48.60 0.275 41.135 4.6045 0.85 1 1 1
953 50.92 0.308 38.673 4.5459 0.85 1 1 1
954 41.86 0.220 32.640 4.3506 0.85 1 1 1
955 17.64 0.025 15.816 4.8486 0.85 1 1 1
956 19.38 0.070 14.302 4.7998 0.85 1 1 1
957 41.86 0.220 32.289 4.3506 0.85 1 1 1
958 50.92 0.308 38.806 4.5459 0.85 1 1 1
959 50.92 0.308 31.745 4.6045 0.85 1 1 1
960 31.79 0.116 24.645 4.7998 0.85 1 1 1
961 41.38 0.211 27.247 4.7510 0.85 1 1 1
962 25.90 0.103 21.591 4.4971 0.85 1 1 1
963 43.24 0.196 34.593 4.5459 0.85 1 1 1
964 38.50 0.184 27.403 4.6533 0.85 1 1 1
965 57.87 0.362 46.527 4.5459 0.85 1 1 1
966 41.86 0.220 32.632 4.3506 0.85 1 1 1
967 50.92 0.308 35.908 4.6533 0.85 1 1 1
968 36.36 0.139 29.198 4.2529 0.85 1 1 1
969 27.27 0.110 21.545 4.6533 0.85 1 1 1
970 50.92 0.308 36.744 4.8975 0.85 1 1 1
971 46.18 0.229 36.383 4.5459 0.85 1 1 1
972 33.30 0.160 22.601 4.6045 0.85 1 1 1
973 31.79 0.116 24.662 4.7998 0.85 1 1 1
974 50.92 0.308 31.554 4.5459 0.85 1 1 1
975 41.86 0.220 32.190 4.3506 0.85 1 1 1
976 44.27 0.264 29.672 4.7021 0.85 1 1 1
977 50.92 0.308 30.743 4.7021 0.85 1 1 1
978 31.79 0.116 24.693 4.7998 0.85 1 1 1
979 46.18 0.229 36.872 4.5459 0.85 1 1 1
980 41.86 0.220 32.492 4.3506 0.85 1 1 1
981 58.07 0.299 40.590 4.6045 0.85 1 1 1
982 50.92 0.308 30.544 4.7021 0.85 1 1 1
983 50.92 0.308 31.698 4.6045 0.85 1 1 1
984 17.64 0.025 15.692 4.8486 0.85 1 1 1
985 25.90 0.103 21.613 4.4971 0.85 1 1 1
986 27.27 0.110 21.307 4.6533 0.85 1 1 1
987 41.42 0.187 32.388 4.3994 0.85 1 1 1
988 50.92 0.308 36.129 4.6533 0.85 1 1 1
989 51.76 0.346 26.997 4.7021 0.85 1 1 1
990 55.62 0.366 30.502 4.7021 0.85 1 1 1
991 57.87 0.362 46.512 4.5459 0.85 1 1 1
992 58.07 0.299 41.074 4.6045 0.85 1 1 1
993 57.87 0.362 46.708 4.5459 0.85 1 1 1
994 41.86 0.220 32.554 4.3506 0.85 1 1 1
995 41.42 0.187 32.465 4.3994 0.85 1 1 1
996 50.92 0.308 36.683 4.8975 0.85 1 1 1
997 46.18 0.229 36.637 4.5459 0.85 1 1 1
998 38.50 0.184 27.626 4.6533 0.85 1 1 1
999 50.92 0.308 36.281 4.6533 0.85 1 1 1
1000 41.38 0.211 27.117 4.7510 0.85 1 1 1
1001 50.92 0.308 37.946 4.4482 0.85 1 1 1
1002 47.91 0.251 33.161 4.6045 0.85 1 1 1
1003 50.92 0.308 29.013 4.8486 0.85 1 1 1
1004 36.36 0.139 30.109 4.2529 0.85 1 1 1
1005 50.92 0.308 28.783 4.5459 0.85 1 1 1
1006 41.86 0.220 32.876 4.3506 0.85 1 1 1
1007 44.27 0.264 29.413 4.7021 0.85 1 1 1
1008 40.33 0.207 30.257 4.5459 0.85 1 1 1
1009 46.18 0.229 36.771 4.5459 0.85 1 1 1
1010 41.86 0.220 32.317 4.3506 0.85 1 1 1
1011 17.64 0.025 15.672 4.8486 0.85 1 1 1
1012 50.92 0.308 31.406 4.6533 0.85 1 1 1
1013 47.91 0.251 33.529 4.6045 0.85 1 1 1
1014 50.92 0.308 36.448 4.8975 0.85 1 1 1
1015 55.62 0.366 30.476 4.7021 0.85 1 1 1
1016 17.64 0.025 15.484 4.8486 0.85 1 1 1
1017 50.92 0.308 30.926 4.7021 0.85 1 1 1
1018 40.50 0.193 30.326 4.6533 0.85 1 1 1
1019 55.62 0.366 30.433 4.7021 0.85 1 1 1
1020 50.92 0.308 35.578 4.6533 0.85 1 1 1
1021 27.27 0.110 21.537 4.6533 0.85 1 1 1
1022 50.92 0.308 31.632 4.5459 0.85 1 1 1
1023 31.79 0.116 24.820 4.7998 0.85 1 1 1
1024 54.54 0.344 41.713 4.4482 0.85 1 1 1
1025 49.23 0.270 37.429 4.6045 0.85 1 1 1
1026 50.92 0.308 32.960 4.6045 0.85 1 1 1
1027 40.50 0.193 30.266 4.6533 0.85 1 1 1
1028 46.18 0.229 36.565 4.5459 0.85 1 1 1
1029 47.91 0.251 33.139 4.6045 0.85 1 1 1
1030 38.50 0.184 27.313 4.6533 0.85 1 1 1
1031 31.79 0.116 24.425 4.7998 0.85 1 1 1
1032 31.79 0.116 24.483 4.7998 0.85 1 1 1
1033 54.04 0.342 41.460 4.1455 0.85 1 1 1
1034 58.07 0.299 41.240 4.6045 0.85 1 1 1
1035 50.92 0.308 40.454 4.1455 0.85 1 1 1
1036 50.92 0.308 28.813 4.5459 0.85 1 1 1
1037 41.86 0.220 32.802 4.3506 0.85 1 1 1
1038 50.92 0.308 33.124 4.6045 0.85 1 1 1
1039 50.92 0.308 34.212 4.5459 0.85 1 1 1
1040 51.76 0.346 26.869 4.7021 0.85 1 1 1
1041 50.92 0.308 40.572 4.7021 0.85 1 1 1
1042 50.92 0.308 34.597 4.5459 0.85 1 1 1
1043 43.24 0.196 34.321 4.5459 0.85 1 1 1
1044 41.86 0.274 21.486 4.6045 0.85 1 1 1
1045 50.92 0.308 31.020 4.6533 0.85 1 1 1
1046 49.23 0.270 37.025 4.6045 0.85 1 1 1
1047 48.60 0.275 41.495 4.6045 0.85 1 1 1
1048 50.92 0.308 29.114 4.8486 0.85 1 1 1
1049 47.91 0.251 33.537 4.6045 0.85 1 1 1
1050 54.22 0.339 31.384 4.4482 0.85 1 1 1
1051 48.60 0.275 41.667 4.6045 0.85 1 1 1
1052 55.62 0.366 30.583 4.7021 0.85 1 1 1
1053 27.27 0.110 21.291 4.6533 0.85 1 1 1
1054 27.27 0.110 21.553 4.6533 0.85 1 1 1
1055 31.79 0.116 24.528 4.7998 0.85 1 1 1
1056 40.50 0.193 30.779 4.6533 0.85 1 1 1
1057 44.27 0.264 29.832 4.7021 0.85 1 1 1
1058 27.27 0.110 21.236 4.6533 0.85 1 1 1
1059 17.64 0.025 15.759 4.8486 0.85 1 1 1
1060 50.92 0.308 40.989 4.1455 0.85 1 1 1
1061 51.76 0.346 27.083 4.7021 0.85 1 1 1
1062 50.92 0.308 31.747 4.6045 0.85 1 1 1
1063 46.18 0.229 36.711 4.5459 0.85 1 1 1
1064 40.33 0.207 30.152 4.5459 0.85 1 1 1
1065 50.92 0.308 32.970 4.6045 0.85 1 1 1
1066 50.92 0.308 29.012 4.5459 0.85 1 1 1
1067 50.92 0.308 31.944 4.5459 0.85 1 1 1
1068 50.92 0.308 38.088 4.5459 0.85 1 1 1
1069 44.77 0.218 36.125 4.3994 0.85 1 1 1
1070 50.92 0.308 28.983 4.8486 0.85 1 1 1
1071 50.92 0.308 31.798 4.6045 0.85 1 1 1
1072 19.38 0.070 14.205 4.7998 0.85 1 1 1
1073 58.07 0.299 40.675 4.6045 0.85 1 1 1
1074 50.92 0.308 28.753 4.8486 0.85 1 1 1
1075 50.92 0.308 29.211 4.5459 0.85 1 1 1
1076 50.92 0.308 35.731 4.3994 0.85 1 1 1
1077 40.33 0.207 29.946 4.5459 0.85 1 1 1
1078 50.92 0.308 31.924 4.6045 0.85 1 1 1
1079 50.92 0.308 30.798 4.7021 0.85 1 1 1
1080 50.92 0.308 30.611 4.7021 0.85 1 1 1
1081 55.62 0.366 30.463 4.7021 0.85 1 1 1
1082 40.33 0.207 30.028 4.5459 0.85 1 1 1
1083 58.07 0.299 40.994 4.6045 0.85 1 1 1
1084 25.90 0.103 21.656 4.4971 0.85 1 1 1
1085 50.92 0.308 31.821 4.5459 0.85 1 1 1
1086 50.92 0.308 40.613 4.7021 0.85 1 1 1
1087 50.92 0.308 31.526 4.5459 0.85 1 1 1
1088 50.92 0.308 36.159 4.6533 0.85 1 1 1
1089 25.90 0.103 21.600 4.4971 0.85 1 1 1
1090 50.92 0.308 36.174 4.8975 0.85 1 1 1
1091 51.76 0.346 27.114 4.7021 0.85 1 1 1
1092 47.91 0.251 33.018 4.6045 0.85 1 1 1
1093 50.92 0.308 35.657 4.3994 0.85 1 1 1
1094 50.92 0.308 28.841 4.5459 0.85 1 1 1
1095 44.27 0.264 29.162 4.7021 0.85 1 1 1
1096 31.79 0.116 24.583 4.7998 0.85 1 1 1
1097 50.92 0.308 31.560 4.6533 0.85 1 1 1
1098 19.38 0.070 14.488 4.7998 0.85 1 1 1
1099 51.76 0.346 27.217 4.7021 0.85 1 1 1
1100 40.33 0.207 30.075 4.5459 0.85 1 1 1
1101 57.87 0.362 46.611 4.5459 0.85 1 1 1
1102 50.92 0.308 38.354 4.3506 0.85 1 1 1
1103 41.86 0.274 21.605 4.6045 0.85 1 1 1
1104 50.92 0.308 28.835 4.5459 0.85 1 1 1
1105 50.92 0.308 35.914 4.8975 0.85 1 1 1
1106 27.27 0.110 21.477 4.6533 0.85 1 1 1
1107 38.50 0.184 27.717 4.6533 0.85 1 1 1
1108 41.86 0.274 21.589 4.6045 0.85 1 1 1
1109 50.92 0.308 38.280 4.4482 0.85 1 1 1
1110 50.92 0.308 36.143 4.6533 0.85 1 1 1
1111 41.42 0.187 32.578 4.3994 0.85 1 1 1
1112 40.50 0.193 30.772 4.6533 0.85 1 1 1
1113 50.92 0.308 40.397 4.7021 0.85 1 1 1
1114 41.86 0.220 32.508 4.3506 0.85 1 1 1
1115 40.33 0.207 30.066 4.5459 0.85 1 1 1
1116 38.50 0.184 27.430 4.6533 0.85 1 1 1
1117 58.07 0.299 41.339 4.6045 0.85 1 1 1
1118 41.42 0.187 32.683 4.3994 0.85 1 1 1
1119 36.36 0.139 30.107 4.2529 0.85 1 1 1
1120 19.38 0.070 14.390 4.7998 0.85 1 1 1
1121 50.92 0.308 31.843 4.5459 0.85 1 1 1
1122 19.38 0.070 14.405 4.7998 0.85 1 1 1
1123 19.38 0.070 14.120 4.7998 0.85 1 1 1
1124 44.77 0.218 36.596 4.3994 0.85 1 1 1
1125 46.18 0.229 36.323 4.5459 0.85 1 1 1
1126 19.38 0.070 14.449 4.7998 0.85 1 1 1
1127 50.92 0.308 29.081 4.5459 0.85 1 1 1
1128 50.92 0.308 31.175 4.6533 0.85 1 1 1
1129 41.86 0.274 21.376 4.6045 0.85 1 1 1
1130 50.92 0.308 29.151 4.5459 0.85 1 1 1
1131 50.92 0.308 31.792 4.5459 0.85 1 1 1
1132 50.92 0.308 30.256 4.7021 0.85 1 1 1
1133 50.92 0.308 40.979 4.1455 0.85 1 1 1
1134 54.22 0.339 31.682 4.4482 0.85 1 1 1
1135 50.92 0.308 28.988 4.5459 0.85 1 1 1
1136 44.27 0.264 29.623 4.7021 0.85 1 1 1
1137 50.92 0.308 31.349 4.6045 0.85 1 1 1
1138 40.33 0.207 30.200 4.5459 0.85 1 1 1
1139 50.92 0.308 31.791 4.5459 0.85 1 1 1
1140 44.77 0.218 36.309 4.3994 0.85 1 1 1
1141 50.92 0.308 31.911 4.6045 0.85 1 1 1
1142 57.87 0.362 45.997 4.5459 0.85 1 1 1
1143 41.42 0.187 31.909 4.3994 0.85 1 1 1
1144 41.38 0.211 27.128 4.7510 0.85 1 1 1
1145 50.92 0.308 28.841 4.5459 0.85 1 1 1
1146 41.86 0.220 32.355 4.3506 0.85 1 1 1
1147 50.92 0.308 30.763 4.7021 0.85 1 1 1
1148 43.24 0.196 34.463 4.5459 0.85 1 1 1
1149 50.92 0.308 29.314 4.5459 0.85 1 1 1
1150 38.50 0.184 27.226 4.6533 0.85 1 1 1
1151 41.86 0.220 32.544 4.3506 0.85 1 1 1
1152 50.92 0.308 34.593 4.5459 0.85 1 1 1
1153 25.90 0.103 21.681 4.4971 0.85 1 1 1
1154 50.92 0.308 35.678 4.3994 0.85 1 1 1
1155 57.87 0.362 45.968 4.5459 0.85 1 1 1
1156 50.92 0.308 36.817 4.8975 0.85 1 1 1
1157 41.86 0.274 21.799 4.6045 0.85 1 1 1
1158 44.77 0.218 36.324 4.3994 0.85 1 1 1
1159 50.92 0.308 31.386 4.6045 0.85 1 1 1
1160 50.92 0.308 40.298 4.7021 0.85 1 1 1
1161 49.23 0.270 37.504 4.6045 0.85 1 1 1
1162 17.64 0.025 15.843 4.8486 0.85 1 1 1
1163 44.77 0.218 36.205 4.3994 0.85 1 1 1
1164 40.33 0.207 30.107 4.5459 0.85 1 1 1
1165 40.33 0.207 30.012 4.5459 0.85 1 1 1
1166 50.92 0.308 36.836 4.8975 0.85 1 1 1
1167 50.92 0.308 28.899 4.5459 0.85 1 1 1
1168 31.79 0.116 24.633 4.7998 0.85 1 1 1
1169 54.04 0.342 41.523 4.1455 0.85 1 1 1
1170 50.92 0.308 31.228 4.6533 0.85 1 1 1
1171 44.27 0.264 29.507 4.7021 0.85 1 1 1
1172 41.38 0.211 27.496 4.7510 0.85 1 1 1
1173 43.24 0.196 34.584 4.5459 0.85 1 1 1
1174 27.27 0.110 21.506 4.6533 0.85 1 1 1
1175 40.33 0.207 30.268 4.5459 0.85 1 1 1
1176 50.92 0.308 36.638 4.8975 0.85 1 1 1
1177 50.92 0.308 31.847 4.5459 0.85 1 1 1
1178 47.91 0.251 33.046 4.6045 0.85 1 1 1
1179 50.92 0.308 39.097 4.5459 0.85 1 1 1
1180 49.23 0.270 37.775 4.6045 0.85 1 1 1
1181 31.79 0.116 24.795 4.7998 0.85 1 1 1
1182 50.92 0.308 29.105 4.8486 0.85 1 1 1
1183 41.86 0.220 32.700 4.3506 0.85 1 1 1
1184 50.92 0.308 36.436 4.6533 0.85 1 1 1
1185 31.79 0.116 24.473 4.7998 0.85 1 1 1
1186 41.38 0.211 27.343 4.7510 0.85 1 1 1
1187 50.92 0.308 36.307 4.8975 0.85 1 1 1
1188 50.92 0.308 34.320 4.5459 0.85 1 1 1
1189 50.92 0.308 36.647 4.8975 0.85 1 1 1
1190 50.92 0.308 40.707 4.7021 0.85 1 1 1
1191 54.22 0.339 31.198 4.4482 0.85 1 1 1
1192 41.38 0.211 26.959 4.7510 0.85 1 1 1
1193 25.90 0.103 21.472 4.4971 0.85 1 1 1
1194 50.92 0.308 29.061 4.8486 0.85 1 1 1
1195 40.50 0.193 30.590 4.6533 0.85 1 1 1
1196 38.50 0.184 27.492 4.6533 0.85 1 1 1
1197 50.92 0.308 38.719 4.3506 0.85 1 1 1
1198 48.60 0.275 41.753 4.6045 0.85 1 1 1
1199 50.92 0.308 29.287 4.5459 0.85 1 1 1
1200 50.92 0.308 30.664 4.7021 0.85 1 1 1
1201 50.92 0.308 38.820 4.5459 0.85 1 1 1
1202 41.38 0.211 27.344 4.7510 0.85 1 1 1
1203 50.92 0.308 28.959 4.8486 0.85 1 1 1
1204 48.60 0.275 41.092 4.6045 0.85 1 1 1
1205 50.92 0.308 31.321 4.6533 0.85 1 1 1
1206 33.30 0.160 22.371 4.6045 0.85 1 1 1
1207 50.92 0.308 29.075 4.5459 0.85 1 1 1
1208 41.38 0.211 27.270 4.7510 0.85 1 1 1
1209 51.76 0.346 26.936 4.7021 0.85 1 1 1
1210 47.91 0.251 33.323 4.6045 0.85 1 1 1
1211 31.79 0.116 24.619 4.7998 0.85 1 1 1
1212 48.60 0.275 41.727 4.6045 0.85 1 1 1
1213 50.92 0.308 30.933 4.7021 0.85 1 1 1
1214 46.18 0.229 36.718 4.5459 0.85 1 1 1
1215 44.77 0.218 36.158 4.3994 0.85 1 1 1
1216 48.60 0.275 40.748 4.6045 0.85 1 1 1
1217 55.62 0.366 30.263 4.7021 0.85 1 1 1
1218 49.23 0.270 37.829 4.6045 0.85 1 1 1
1219 50.92 0.308 28.685 4.5459 0.85 1 1 1
1220 54.22 0.339 31.468 4.4482 0.85 1 1 1
1221 17.64 0.025 15.822 4.8486 0.85 1 1 1
1222 36.36 0.139 29.833 4.2529 0.85 1 1 1
1223 50.92 0.308 38.449 4.4482 0.85 1 1 1
1224 50.92 0.308 29.147 4.8486 0.85 1 1 1
1225 46.18 0.229 36.748 4.5459 0.85 1 1 1
1226 51.76 0.346 26.884 4.7021 0.85 1 1 1
1227 50.92 0.308 31.630 4.6045 0.85 1 1 1
1228 55.62 0.366 30.249 4.7021 0.85 1 1 1
1229 41.42 0.187 32.740 4.3994 0.85 1 1 1
1230 27.27 0.110 21.478 4.6533 0.85 1 1 1
1231 41.86 0.274 21.532 4.6045 0.85 1 1 1
1232 41.86 0.220 32.603 4.3506 0.85 1 1 1
1233 50.92 0.308 31.803 4.6045 0.85 1 1 1
1234 50.92 0.308 28.701 4.8486 0.85 1 1 1
1235 36.36 0.139 29.972 4.2529 0.85 1 1 1
1236 50.92 0.308 31.918 4.6045 0.85 1 1 1
1237 50.92 0.308 38.174 4.4482 0.85 1 1 1
1238 41.42 0.187 32.741 4.3994 0.85 1 1 1
1239 40.33 0.207 29.670 4.5459 0.85 1 1 1
1240 47.91 0.251 33.593 4.6045 0.85 1 1 1
1241 50.92 0.308 38.338 4.3994 0.85 1 1 1
1242 40.33 0.207 30.180 4.5459 0.85 1 1 1
1243 40.50 0.193 30.422 4.6533 0.85 1 1 1
1244 47.91 0.251 33.447 4.6045 0.85 1 1 1
1245 31.79 0.116 24.707 4.7998 0.85 1 1 1
1246 57.87 0.362 45.758 4.5459 0.85 1 1 1
1247 50.92 0.308 40.725 4.7021 0.85 1 1 1
1248 51.76 0.346 27.128 4.7021 0.85 1 1 1
1249 54.54 0.344 42.000 4.4482 0.85 1 1 1
1250 50.92 0.308 38.543 4.3506 0.85 1 1 1
1251 50.92 0.308 33.234 4.6045 0.85 1 1 1
1252 40.50 0.193 30.438 4.6533 0.85 1 1 1
1253 51.76 0.346 27.061 4.7021 0.85 1 1 1
1254 50.92 0.308 31.831 4.6045 0.85 1 1 1
1255 44.27 0.264 29.728 4.7021 0.85 1 1 1
1256 50.92 0.308 29.207 4.5459 0.85 1 1 1
1257 33.30 0.160 22.524 4.6045 0.85 1 1 1
1258 50.92 0.308 31.782 4.5459 0.85 1 1 1
1259 36.36 0.139 29.583 4.2529 0.85 1 1 1
1260 50.92 0.308 28.963 4.5459 0.85 1 1 1
1261 58.07 0.299 40.763 4.6045 0.85 1 1 1
1262 47.91 0.251 33.390 4.6045 0.85 1 1 1
1263 48.60 0.275 41.558 4.6045 0.85 1 1 1
1264 50.92 0.308 36.324 4.6533 0.85 1 1 1
1265 19.38 0.070 14.303 4.7998 0.85 1 1 1
1266 50.92 0.308 40.924 4.1455 0.85 1 1 1
1267 19.38 0.070 14.374 4.7998 0.85 1 1 1
1268 54.04 0.342 41.674 4.1455 0.85 1 1 1
1269 38.50 0.184 27.533 4.6533 0.85 1 1 1
1270 50.92 0.308 36.538 4.8975 0.85 1 1 1
1271 50.92 0.308 31.540 4.5459 0.85 1 1 1
1272 41.42 0.187 32.292 4.3994 0.85 1 1 1
1273 50.92 0.308 28.978 4.8486 0.85 1 1 1
1274 51.76 0.346 27.034 4.7021 0.85 1 1 1
1275 50.92 0.308 28.899 4.8486 0.85 1 1 1
1276 36.36 0.139 29.806 4.2529 0.85 1 1 1
1277 50.92 0.308 36.062 4.6533 0.85 1 1 1
1278 48.60 0.275 41.258 4.6045 0.85 1 1 1
1279 49.23 0.270 37.029 4.6045 0.85 1 1 1
1280 38.50 0.184 27.440 4.6533 0.85 1 1 1
1281 50.92 0.308 33.194 4.6045 0.85 1 1 1
1282 58.07 0.299 40.943 4.6045 0.85 1 1 1
1283 57.87 0.362 45.661 4.5459 0.85 1 1 1
1284 54.22 0.339 31.027 4.4482 0.85 1 1 1
1285 51.76 0.346 26.841 4.7021 0.85 1 1 1
1286 19.38 0.070 14.281 4.7998 0.85 1 1 1
1287 50.92 0.308 28.956 4.5459 0.85 1 1 1
1288 44.77 0.218 36.001 4.3994 0.85 1 1 1
1289 50.92 0.308 31.367 4.5459 0.85 1 1 1
1290 19.38 0.070 14.280 4.7998 0.85 1 1 1
1291 54.54 0.344 41.862 4.4482 0.85 1 1 1
1292 51.76 0.346 26.994 4.7021 0.85 1 1 1
1293 41.86 0.274 21.650 4.6045 0.85 1 1 1
1294 47.91 0.251 33.569 4.6045 0.85 1 1 1
1295 41.42 0.187 32.645 4.3994 0.85 1 1 1
1296 50.92 0.308 31.196 4.6533 0.85 1 1 1
1297 54.22 0.339 31.593 4.4482 0.85 1 1 1
1298 48.60 0.275 41.033 4.6045 0.85 1 1 1
1299 41.86 0.274 21.487 4.6045 0.85 1 1 1
1300 50.92 0.308 31.502 4.6533 0.85 1 1 1
1301 50.92 0.308 30.056 4.7021 0.85 1 1 1
1302 50.92 0.308 34.731 4.5459 0.85 1 1 1
1303 50.92 0.308 32.806 4.6045 0.85 1 1 1
1304 48.60 0.275 41.303 4.6045 0.85 1 1 1
1305 27.27 0.110 21.711 4.6533 0.85 1 1 1
1306 40.33 0.207 30.094 4.5459 0.85 1 1 1
1307 48.60 0.275 41.037 4.6045 0.85 1 1 1
1308 54.54 0.344 41.593 4.4482 0.85 1 1 1
1309 17.64 0.025 15.738 4.8486 0.85 1 1 1
1310 50.92 0.308 36.683 4.8975 0.85 1 1 1
1311 50.92 0.308 36.303 4.6533 0.85 1 1 1
1312 55.62 0.366 30.168 4.7021 0.85 1 1 1
1313 50.92 0.308 34.496 4.5459 0.85 1 1 1
1314 46.18 0.229 36.709 4.5459 0.85 1 1 1
1315 54.54 0.344 41.419 4.4482 0.85 1 1 1
1316 50.92 0.308 30.496 4.7021 0.85 1 1 1
1317 50.92 0.308 34.868 4.5459 0.85 1 1 1
1318 55.62 0.366 30.172 4.7021 0.85 1 1 1
1319 46.18 0.229 36.297 4.5459 0.85 1 1 1
1320 54.54 0.344 41.985 4.4482 0.85 1 1 1
1321 50.92 0.308 35.779 4.6533 0.85 1 1 1
1322 50.92 0.308 29.290 4.8486 0.85 1 1 1
1323 50.92 0.308 38.418 4.5459 0.85 1 1 1
1324 49.23 0.270 37.594 4.6045 0.85 1 1 1
1325 50.92 0.308 41.197 4.1455 0.85 1 1 1
1326 50.92 0.308 40.353 4.7021 0.85 1 1 1
1327 50.92 0.308 31.911 4.6045 0.85 1 1 1
1328 47.91 0.251 33.511 4.6045 0.85 1 1 1
1329 40.33 0.207 30.000 4.5459 0.85 1 1 1
1330 50.92 0.308 38.477 4.3506 0.85 1 1 1
1331 57.87 0.362 46.189 4.5459 0.85 1 1 1
1332 55.62 0.366 30.162 4.7021 0.85 1 1 1
1333 50.92 0.308 33.170 4.6045 0.85 1 1 1
1334 58.07 0.299 41.264 4.6045 0.85 1 1 1
1335 44.27 0.264 29.576 4.7021 0.85 1 1 1
1336 50.92 0.308 30.705 4.7021 0.85 1 1 1
1337 50.92 0.308 31.758 4.6045 0.85 1 1 1
1338 54.04 0.342 41.513 4.1455 0.85 1 1 1
1339 51.76 0.346 27.332 4.7021 0.85 1 1 1
1340 17.64 0.025 15.814 4.8486 0.85 1 1 1
1341 43.24 0.196 34.096 4.5459 0.85 1 1 1
1342 50.92 0.308 37.857 4.5459 0.85 1 1 1
1343 50.92 0.308 29.169 4.5459 0.85 1 1 1
1344 50.92 0.308 29.122 4.8486 0.85 1 1 1
1345 41.38 0.211 26.954 4.7510 0.85 1 1 1
1346 57.87 0.362 46.133 4.5459 0.85 1 1 1
1347 31.79 0.116 24.329 4.7998 0.85 1 1 1
1348 58.07 0.299 40.889 4.6045 0.85 1 1 1
1349 31.79 0.116 24.609 4.7998 0.85 1 1 1
1350 31.79 0.116 24.853 4.7998 0.85 1 1 1
1351 50.92 0.308 38.799 4.3506 0.85 1 1 1
1352 50.92 0.308 31.761 4.6045 0.85 1 1 1
1353 47.91 0.251 32.849 4.6045 0.85 1 1 1
1354 41.38 0.211 26.980 4.7510 0.85 1 1 1
1355 17.64 0.025 15.676 4.8486 0.85 1 1 1
1356 19.38 0.070 14.310 4.7998 0.85 1 1 1
1357 51.76 0.346 27.239 4.7021 0.85 1 1 1
1358 50.92 0.308 31.946 4.6045 0.85 1 1 1
1359 36.36 0.139 30.108 4.2529 0.85 1 1 1
1360 50.92 0.308 31.495 4.6533 0.85 1 1 1
1361 41.86 0.274 21.617 4.6045 0.85 1 1 1
1362 33.30 0.160 22.399 4.6045 0.85 1 1 1
1363 50.92 0.308 32.949 4.6045 0.85 1 1 1
1364 50.92 0.308 36.146 4.6533 0.85 1 1 1
1365 50.92 0.308 38.729 4.5459 0.85 1 1 1
1366 58.07 0.299 41.227 4.6045 0.85 1 1 1
1367 27.27 0.110 21.231 4.6533 0.85 1 1 1
1368 44.27 0.264 29.609 4.7021 0.85 1 1 1
1369 40.33 0.207 29.990 4.5459 0.85 1 1 1
1370 50.92 0.308 36.048 4.6533 0.85 1 1 1
1371 50.92 0.308 33.112 4.6045 0.85 1 1 1
1372 50.92 0.308 29.126 4.5459 0.85 1 1 1
1373 50.92 0.308 38.851 4.5459 0.85 1 1 1
1374 41.86 0.220 32.497 4.3506 0.85 1 1 1
1375 50.92 0.308 40.781 4.1455 0.85 1 1 1
1376 46.18 0.229 36.726 4.5459 0.85 1 1 1
1377 50.92 0.308 36.537 4.8975 0.85 1 1 1
1378 43.24 0.196 34.731 4.5459 0.85 1 1 1
1379 50.92 0.308 38.446 4.4482 0.85 1 1 1
1380 43.24 0.196 34.869 4.5459 0.85 1 1 1
1381 40.33 0.207 29.928 4.5459 0.85 1 1 1
1382 41.38 0.211 26.876 4.7510 0.85 1 1 1
1383 50.92 0.308 36.284 4.8975 0.85 1 1 1
1384 31.79 0.116 24.343 4.7998 0.85 1 1 1
1385 44.27 0.264 29.884 4.7021 0.85 1 1 1
1386 50.92 0.308 36.312 4.8975 0.85 1 1 1
1387 50.92 0.308 36.999 4.8975 0.85 1 1 1
1388 19.38 0.070 14.431 4.7998 0.85 1 1 1
1389 25.90 0.103 21.614 4.4971 0.85 1 1 1
1390 17.64 0.025 15.737 4.8486 0.85 1 1 1
1391 54.22 0.339 31.025 4.4482 0.85 1 1 1
1392 33.30 0.160 22.501 4.6045 0.85 1 1 1
1393 50.92 0.308 30.982 4.6533 0.85 1 1 1
1394 50.92 0.308 31.829 4.6045 0.85 1 1 1
1395 50.92 0.308 35.767 4.6533 0.85 1 1 1
1396 41.38 0.211 27.186 4.7510 0.85 1 1 1
1397 41.38 0.211 27.203 4.7510 0.85 1 1 1
1398 44.27 0.264 29.502 4.7021 0.85 1 1 1
1399 50.92 0.308 38.267 4.4482 0.85 1 1 1
1400 50.92 0.308 36.577 4.8975 0.85 1 1 1
1401 50.92 0.308 31.713 4.5459 0.85 1 1 1
1402 50.92 0.308 36.183 4.6533 0.85 1 1 1
1403 49.23 0.270 37.138 4.6045 0.85 1 1 1
1404 54.04 0.342 41.603 4.1455 0.85 1 1 1
1405 50.92 0.308 38.153 4.5459 0.85 1 1 1
1406 50.92 0.308 28.730 4.5459 0.85 1 1 1
1407 54.22 0.339 31.366 4.4482 0.85 1 1 1
1408 46.18 0.229 36.003 4.5459 0.85 1 1 1
1409 41.86 0.274 21.664 4.6045 0.85 1 1 1
1410 58.07 0.299 41.271 4.6045 0.85 1 1 1
1411 40.50 0.193 30.366 4.6533 0.85 1 1 1
1412 40.50 0.193 30.616 4.6533 0.85 1 1 1
1413 50.92 0.308 28.816 4.8486 0.85 1 1 1
1414 41.38 0.211 27.184 4.7510 0.85 1 1 1
1415 50.92 0.308 31.814 4.5459 0.85 1 1 1
1416 50.92 0.308 38.920 4.5459 0.85 1 1 1
1417 41.42 0.187 32.934 4.3994 0.85 1 1 1
1418 55.62 0.366 30.515 4.7021 0.85 1 1 1
1419 44.77 0.218 36.703 4.3994 0.85 1 1 1
1420 41.42 0.187 32.830 4.3994 0.85 1 1 1
1421 50.92 0.308 37.998 4.3994 0.85 1 1 1
1422 50.92 0.308 29.313 4.8486 0.85 1 1 1
1423 50.92 0.308 38.497 4.4482 0.85 1 1 1
1424 31.79 0.116 24.817 4.7998 0.85 1 1 1
1425 57.87 0.362 46.355 4.5459 0.85 1 1 1
1426 36.36 0.139 29.784 4.2529 0.85 1 1 1
1427 55.62 0.366 30.160 4.7021 0.85 1 1 1
1428 54.04 0.342 41.474 4.1455 0.85 1 1 1
1429 50.92 0.308 40.935 4.7021 0.85 1 1 1
1430 58.07 0.299 40.101 4.6045 0.85 1 1 1
1431 40.33 0.207 29.898 4.5459 0.85 1 1 1
1432 51.76 0.346 27.291 4.7021 0.85 1 1 1
1433 46.18 0.229 36.762 4.5459 0.85 1 1 1
1434 51.76 0.346 27.098 4.7021 0.85 1 1 1
1435 27.27 0.110 21.613 4.6533 0.85 1 1 1
1436 50.92 0.308 29.163 4.8486 0.85 1 1 1
1437 55.62 0.366 30.612 4.7021 0.85 1 1 1
1438 50.92 0.308 31.605 4.6045 0.85 1 1 1
1439 50.92 0.308 31.556 4.5459 0.85 1 1 1
1440 54.22 0.339 31.552 4.4482 0.85 1 1 1
1441 50.92 0.308 36.353 4.8975 0.85 1 1 1
1442 50.92 0.308 39.073 4.5459 0.85 1 1 1
1443 31.79 0.116 24.678 4.7998 0.85 1 1 1
1444 31.79 0.116 24.378 4.7998 0.85 1 1 1
1445 50.92 0.308 29.106 4.8486 0.85 1 1 1
1446 17.64 0.025 15.772 4.8486 0.85 1 1 1
1447 50.92 0.308 38.653 4.5459 0.85 1 1 1
1448 50.92 0.308 38.654 4.4482 0.85 1 1 1
1449 50.92 0.308 28.754 4.8486 0.85 1 1 1
1450 46.18 0.229 36.830 4.5459 0.85 1 1 1
1451 41.86 0.220 32.282 4.3506 0.85 1 1 1
1452 49.23 0.270 37.821 4.6045 0.85 1 1 1
1453 46.18 0.229 36.838 4.5459 0.85 1 1 1
1454 50.92 0.308 38.290 4.4482 0.85 1 1 1
1455 43.24 0.196 34.555 4.5459 0.85 1 1 1
1456 38.50 0.184 27.542 4.6533 0.85 1 1 1
1457 27.27 0.110 21.550 4.6533 0.85 1 1 1
1458 46.18 0.229 36.296 4.5459 0.85 1 1 1
1459 41.38 0.211 26.860 4.7510 0.85 1 1 1
1460 41.42 0.187 32.541 4.3994 0.85 1 1 1
1461 40.33 0.207 29.812 4.5459 0.85 1 1 1
1462 50.92 0.308 38.428 4.3506 0.85 1 1 1
1463 31.79 0.116 24.694 4.7998 0.85 1 1 1
1464 46.18 0.229 36.533 4.5459 0.85 1 1 1
1465 50.92 0.308 31.705 4.6045 0.85 1 1 1
1466 40.50 0.193 30.403 4.6533 0.85 1 1 1
1467 33.30 0.160 22.271 4.6045 0.85 1 1 1
1468 51.76 0.346 27.328 4.7021 0.85 1 1 1
1469 50.92 0.308 29.229 4.8486 0.85 1 1 1
1470 50.92 0.308 35.949 4.6533 0.85 1 1 1
1471 50.92 0.308 40.925 4.7021 0.85 1 1 1
1472 50.92 0.308 32.632 4.6045 0.85 1 1 1
1473 50.92 0.308 36.623 4.8975 0.85 1 1 1
1474 36.36 0.139 29.833 4.2529 0.85 1 1 1
1475 50.92 0.308 32.513 4.6045 0.85 1 1 1
1476 17.64 0.025 15.784 4.8486 0.85 1 1 1
1477 31.79 0.116 24.552 4.7998 0.85 1 1 1
1478 41.42 0.187 32.270 4.3994 0.85 1 1 1
1479 50.92 0.308 30.709 4.7021 0.85 1 1 1
1480 46.18 0.229 36.422 4.5459 0.85 1 1 1
1481 51.76 0.346 27.301 4.7021 0.85 1 1 1
1482 50.92 0.308 38.643 4.5459 0.85 1 1 1
1483 54.04 0.342 41.580 4.1455 0.85 1 1 1
1484 50.92 0.308 32.001 4.6045 0.85 1 1 1
1485 50.92 0.308 30.824 4.7021 0.85 1 1 1
1486 54.04 0.342 41.380 4.1455 0.85 1 1 1
1487 31.79 0.116 24.447 4.7998 0.85 1 1 1
1488 40.33 0.207 30.276 4.5459 0.85 1 1 1
1489 40.33 0.207 30.001 4.5459 0.85 1 1 1
1490 50.92 0.308 38.815 4.3506 0.85 1 1 1
1491 57.87 0.362 46.131 4.5459 0.85 1 1 1
1492 50.92 0.308 31.235 4.6533 0.85 1 1 1
1493 33.30 0.160 22.344 4.6045 0.85 1 1 1
1494 50.92 0.308 36.200 4.6533 0.85 1 1 1
1495 57.87 0.362 46.420 4.5459 0.85 1 1 1
1496 31.79 0.116 24.564 4.7998 0.85 1 1 1
1497 44.27 0.264 29.841 4.7021 0.85 1 1 1
1498 33.30 0.160 22.526 4.6045 0.85 1 1 1
1499 50.92 0.308 31.312 4.6533 0.85 1 1 1
1500 19.38 0.070 14.393 4.7998 0.85 1 1 1
1501 19.38 0.070 14.264 4.7998 0.85 1 1 1
1502 40.50 0.193 30.530 4.6533 0.85 1 1 1
1503 54.54 0.344 41.278 4.4482 0.85 1 1 1
1504 49.23 0.270 37.246 4.6045 0.85 1 1 1
1505 49.23 0.270 37.649 4.6045 0.85 1 1 1
1506 50.92 0.308 32.808 4.6045 0.85 1 1 1
1507 44.77 0.218 35.827 4.3994 0.85 1 1 1
1508 50.92 0.308 36.894 4.8975 0.85 1 1 1
1509 50.92 0.308 31.623 4.5459 0.85 1 1 1
1510 50.92 0.308 37.936 4.4482 0.85 1 1 1
1511 17.64 0.025 15.546 4.8486 0.85 1 1 1
1512 50.92 0.308 31.812 4.6045 0.85 1 1 1
1513 51.76 0.346 27.339 4.7021 0.85 1 1 1
1514 44.27 0.264 29.509 4.7021 0.85 1 1 1
1515 47.91 0.251 33.586 4.6045 0.85 1 1 1
1516 54.54 0.344 42.329 4.4482 0.85 1 1 1
1517 54.22 0.339 31.133 4.4482 0.85 1 1 1
1518 44.27 0.264 29.712 4.7021 0.85 1 1 1
1519 50.92 0.308 35.401 4.3994 0.85 1 1 1
1520 44.27 0.264 29.900 4.7021 0.85 1 1 1
1521 50.92 0.308 29.208 4.8486 0.85 1 1 1
1522 50.92 0.308 29.009 4.5459 0.85 1 1 1
1523 27.27 0.110 21.443 4.6533 0.85 1 1 1
1524 48.60 0.275 40.905 4.6045 0.85 1 1 1
1525 50.92 0.308 31.732 4.6533 0.85 1 1 1
1526 50.92 0.308 38.026 4.3994 0.85 1 1 1
1527 55.62 0.366 30.287 4.7021 0.85 1 1 1
1528 50.92 0.308 34.742 4.5459 0.85 1 1 1
1529 17.64 0.025 15.748 4.8486 0.85 1 1 1
1530 50.92 0.308 38.773 4.3506 0.85 1 1 1
1531 50.92 0.308 36.478 4.8975 0.85 1 1 1
1532 41.86 0.220 32.598 4.3506 0.85 1 1 1
1533 50.92 0.308 28.912 4.5459 0.85 1 1 1
1534 44.77 0.218 36.581 4.3994 0.85 1 1 1
1535 17.64 0.025 15.532 4.8486 0.85 1 1 1
1536 17.64 0.025 15.701 4.8486 0.85 1 1 1
1537 27.27 0.110 21.533 4.6533 0.85 1 1 1
1538 51.76 0.346 27.044 4.7021 0.85 1 1 1
1539 50.92 0.308 34.924 4.5459 0.85 1 1 1
1540 44.77 0.218 36.296 4.3994 0.85 1 1 1
1541 50.92 0.308 38.397 4.4482 0.85 1 1 1
1542 47.91 0.251 33.200 4.6045 0.85 1 1 1
1543 50.92 0.308 38.840 4.5459 0.85 1 1 1
1544 41.86 0.220 32.697 4.3506 0.85 1 1 1
1545 50.92 0.308 36.414 4.8975 0.85 1 1 1
1546 50.92 0.308 36.400 4.6533 0.85 1 1 1
1547 25.90 0.103 21.413 4.4971 0.85 1 1 1
1548 27.27 0.110 21.506 4.6533 0.85 1 1 1
1549 50.92 0.308 36.853 4.8975 0.85 1 1 1
1550 17.64 0.025 15.722 4.8486 0.85 1 1 1
1551 50.92 0.308 36.334 4.6533 0.85 1 1 1
1552 50.92 0.308 36.881 4.8975 0.85 1 1 1
1553 50.92 0.308 36.052 4.6533 0.85 1 1 1
1554 50.92 0.308 38.872 4.5459 0.85 1 1 1
1555 43.24 0.196 34.772 4.5459 0.85 1 1 1
1556 50.92 0.308 29.160 4.8486 0.85 1 1 1
1557 54.04 0.342 41.901 4.1455 0.85 1 1 1
1558 54.54 0.344 42.131 4.4482 0.85 1 1 1
1559 41.42 0.187 32.785 4.3994 0.85 1 1 1
1560 31.79 0.116 24.579 4.7998 0.85 1 1 1
1561 25.90 0.103 21.380 4.4971 0.85 1 1 1
1562 51.76 0.346 26.973 4.7021 0.85 1 1 1
1563 54.22 0.339 31.304 4.4482 0.85 1 1 1
1564 50.92 0.308 31.239 4.6533 0.85 1 1 1
1565 50.92 0.308 34.641 4.5459 0.85 1 1 1
1566 46.18 0.229 36.927 4.5459 0.85 1 1 1
1567 54.04 0.342 41.433 4.1455 0.85 1 1 1
1568 50.92 0.308 29.230 4.8486 0.85 1 1 1
1569 36.36 0.139 29.710 4.2529 0.85 1 1 1
1570 55.62 0.366 30.399 4.7021 0.85 1 1 1
1571 50.92 0.308 34.141 4.5459 0.85 1 1 1
1572 51.76 0.346 27.012 4.7021 0.85 1 1 1
1573 50.92 0.308 34.547 4.5459 0.85 1 1 1
1574 50.92 0.308 30.474 4.7021 0.85 1 1 1
1575 41.38 0.211 27.066 4.7510 0.85 1 1 1
1576 36.36 0.139 29.767 4.2529 0.85 1 1 1
1577 38.50 0.184 27.596 4.6533 0.85 1 1 1
1578 41.86 0.220 32.671 4.3506 0.85 1 1 1
1579 50.92 0.308 30.823 4.7021 0.85 1 1 1
1580 50.92 0.308 35.314 4.3994 0.85 1 1 1
1581 50.92 0.308 36.086 4.6533 0.85 1 1 1
1582 44.77 0.218 36.185 4.3994 0.85 1 1 1
1583 50.92 0.308 36.433 4.6533 0.85 1 1 1
1584 50.92 0.308 36.829 4.8975 0.85 1 1 1
1585 50.92 0.308 35.844 4.6533 0.85 1 1 1
1586 57.87 0.362 45.774 4.5459 0.85 1 1 1
1587 25.90 0.103 21.638 4.4971 0.85 1 1 1
1588 50.92 0.308 36.926 4.8975 0.85 1 1 1
1589 51.76 0.346 27.287 4.7021 0.85 1 1 1
1590 54.04 0.342 41.798 4.1455 0.85 1 1 1
1591 44.77 0.218 36.370 4.3994 0.85 1 1 1
1592 54.54 0.344 41.985 4.4482 0.85 1 1 1
1593 50.92 0.308 38.697 4.5459 0.85 1 1 1
1594 55.62 0.366 30.391 4.7021 0.85 1 1 1
1595 57.87 0.362 46.264 4.5459 0.85 1 1 1
1596 27.27 0.110 21.482 4.6533 0.85 1 1 1
1597 50.92 0.308 31.807 4.5459 0.85 1 1 1
1598 40.50 0.193 30.315 4.6533 0.85 1 1 1
1599 27.27 0.110 21.340 4.6533 0.85 1 1 1
1600 50.92 0.308 36.010 4.3994 0.85 1 1 1
1601 44.77 0.218 36.240 4.3994 0.85 1 1 1
1602 31.79 0.116 24.231 4.7998 0.85 1 1 1
1603 50.92 0.308 41.020 4.7021 0.85 1 1 1
1604 47.91 0.251 33.382 4.6045 0.85 1 1 1
1605 50.92 0.308 28.796 4.8486 0.85 1 1 1
1606 33.30 0.160 22.625 4.6045 0.85 1 1 1
1607 41.86 0.274 21.334 4.6045 0.85 1 1 1
1608 54.04 0.342 41.820 4.1455 0.85 1 1 1
1609 50.92 0.308 30.461 4.7021 0.85 1 1 1
1610 41.86 0.220 32.578 4.3506 0.85 1 1 1
1611 50.92 0.308 38.485 4.5459 0.85 1 1 1
1612 44.27 0.264 29.467 4.7021 0.85 1 1 1
1613 50.92 0.308 35.950 4.3994 0.85 1 1 1
1614 50.92 0.308 35.442 4.3994 0.85 1 1 1
1615 50.92 0.308 31.469 4.6533 0.85 1 1 1
1616 41.42 0.187 32.400 4.3994 0.85 1 1 1
1617 31.79 0.116 24.809 4.7998 0.85 1 1 1
1618 38.50 0.184 27.055 4.6533 0.85 1 1 1
1619 48.60 0.275 41.155 4.6045 0.85 1 1 1
1620 50.92 0.308 36.112 4.6533 0.85 1 1 1
1621 50.92 0.308 29.216 4.8486 0.85 1 1 1
1622 50.92 0.308 30.691 4.7021 0.85 1 1 1
1623 58.07 0.299 41.324 4.6045 0.85 1 1 1
1624 50.92 0.308 36.374 4.8975 0.85 1 1 1
1625 50.92 0.308 31.737 4.5459 0.85 1 1 1
1626 50.92 0.308 33.068 4.6045 0.85 1 1 1
1627 57.87 0.362 46.122 4.5459 0.85 1 1 1
1628 19.38 0.070 14.179 4.7998 0.85 1 1 1
1629 47.91 0.251 33.349 4.6045 0.85 1 1 1
1630 27.27 0.110 21.498 4.6533 0.85 1 1 1
1631 50.92 0.308 36.442 4.8975 0.85 1 1 1
1632 41.42 0.187 32.612 4.3994 0.85 1 1 1
1633 50.92 0.308 31.967 4.5459 0.85 1 1 1
1634 50.92 0.308 36.677 4.8975 0.85 1 1 1
1635 38.50 0.184 27.668 4.6533 0.85 1 1 1
1636 50.92 0.308 28.943 4.8486 0.85 1 1 1
1637 27.27 0.110 21.635 4.6533 0.85 1 1 1
1638 44.27 0.264 29.460 4.7021 0.85 1 1 1
1639 41.38 0.211 27.279 4.7510 0.85 1 1 1
1640 40.50 0.193 30.030 4.6533 0.85 1 1 1
1641 17.64 0.025 15.708 4.8486 0.85 1 1 1
1642 31.79 0.116 24.674 4.7998 0.85 1 1 1
1643 44.27 0.264 29.790 4.7021 0.85 1 1 1
1644 50.92 0.308 38.419 4.4482 0.85 1 1 1
1645 50.92 0.308 32.952 4.6045 0.85 1 1 1
1646 47.91 0.251 33.139 4.6045 0.85 1 1 1
1647 50.92 0.308 32.559 4.6045 0.85 1 1 1
1648 43.24 0.196 34.324 4.5459 0.85 1 1 1
1649 50.92 0.308 29.231 4.5459 0.85 1 1 1
1650 50.92 0.308 29.114 4.5459 0.85 1 1 1
1651 33.30 0.160 22.552 4.6045 0.85 1 1 1
1652 43.24 0.196 34.590 4.5459 0.85 1 1 1
1653 50.92 0.308 38.080 4.3994 0.85 1 1 1
1654 55.62 0.366 30.461 4.7021 0.85 1 1 1
1655 17.64 0.025 15.770 4.8486 0.85 1 1 1
1656 57.87 0.362 46.357 4.5459 0.85 1 1 1
1657 57.87 0.362 46.137 4.5459 0.85 1 1 1
1658 41.42 0.187 32.922 4.3994 0.85 1 1 1
1659 47.91 0.251 33.528 4.6045 0.85 1 1 1
1660 44.27 0.264 29.427 4.7021 0.85 1 1 1
1661 50.92 0.308 35.717 4.3994 0.85 1 1 1
1662 19.38 0.070 14.315 4.7998 0.85 1 1 1
1663 50.92 0.308 36.561 4.8975 0.85 1 1 1
1664 50.92 0.308 28.666 4.8486 0.85 1 1 1
1665 33.30 0.160 22.435 4.6045 0.85 1 1 1
1666 50.92 0.308 31.861 4.6045 0.85 1 1 1
1667 46.18 0.229 36.805 4.5459 0.85 1 1 1
1668 38.50 0.184 27.242 4.6533 0.85 1 1 1
1669 48.60 0.275 41.362 4.6045 0.85 1 1 1
1670 17.64 0.025 15.555 4.8486 0.85 1 1 1
1671 50.92 0.308 38.687 4.3506 0.85 1 1 1
1672 50.92 0.308 40.527 4.7021 0.85 1 1 1
1673 58.07 0.299 40.665 4.6045 0.85 1 1 1
1674 51.76 0.346 27.143 4.7021 0.85 1 1 1
1675 43.24 0.196 34.960 4.5459 0.85 1 1 1
1676 19.38 0.070 14.461 4.7998 0.85 1 1 1
1677 50.92 0.308 34.624 4.5459 0.85 1 1 1
1678 55.62 0.366 30.229 4.7021 0.85 1 1 1
1679 50.92 0.308 36.373 4.6533 0.85 1 1 1
1680 50.92 0.308 38.447 4.3994 0.85 1 1 1
1681 43.24 0.196 34.710 4.5459 0.85 1 1 1
1682 50.92 0.308 35.710 4.6533 0.85 1 1 1
1683 51.76 0.346 26.988 4.7021 0.85 1 1 1
1684 27.27 0.110 21.655 4.6533 0.85 1 1 1
1685 17.64 0.025 15.744 4.8486 0.85 1 1 1
1686 33.30 0.160 22.395 4.6045 0.85 1 1 1
1687 55.62 0.366 30.298 4.7021 0.85 1 1 1
1688 43.24 0.196 34.450 4.5459 0.85 1 1 1
1689 48.60 0.275 41.564 4.6045 0.85 1 1 1
1690 50.92 0.308 36.579 4.8975 0.85 1 1 1
1691 50.92 0.308 30.612 4.6533 0.85 1 1 1
1692 54.54 0.344 41.876 4.4482 0.85 1 1 1
1693 46.18 0.229 36.673 4.5459 0.85 1 1 1
1694 31.79 0.116 24.760 4.7998 0.85 1 1 1
1695 31.79 0.116 24.510 4.7998 0.85 1 1 1
1696 41.38 0.211 27.044 4.7510 0.85 1 1 1
1697 44.27 0.264 29.927 4.7021 0.85 1 1 1
1698 50.92 0.308 34.458 4.5459 0.85 1 1 1
1699 50.92 0.308 33.159 4.6045 0.85 1 1 1
1700 44.27 0.264 29.702 4.7021 0.85 1 1 1
1701 41.38 0.211 27.000 4.7510 0.85 1 1 1
1702 57.87 0.362 45.884 4.5459 0.85 1 1 1
1703 50.92 0.308 28.648 4.8486 0.85 1 1 1
1704 51.76 0.346 27.089 4.7021 0.85 1 1 1
1705 50.92 0.308 36.795 4.8975 0.85 1 1 1
1706 33.30 0.160 22.495 4.6045 0.85 1 1 1
1707 50.92 0.308 36.376 4.8975 0.85 1 1 1
1708 50.92 0.308 35.769 4.6533 0.85 1 1 1
1709 58.07 0.299 41.080 4.6045 0.85 1 1 1
1710 38.50 0.184 27.248 4.6533 0.85 1 1 1
1711 40.50 0.193 30.732 4.6533 0.85 1 1 1
1712 50.92 0.308 29.192 4.5459 0.85 1 1 1
1713 43.24 0.196 34.644 4.5459 0.85 1 1 1
1714 50.92 0.308 36.100 4.8975 0.85 1 1 1
1715 41.38 0.211 27.345 4.7510 0.85 1 1 1
1716 50.92 0.308 34.859 4.3994 0.85 1 1 1
1717 50.92 0.308 38.271 4.4482 0.85 1 1 1
1718 54.22 0.339 31.427 4.4482 0.85 1 1 1
1719 49.23 0.270 37.634 4.6045 0.85 1 1 1
1720 38.50 0.184 27.392 4.6533 0.85 1 1 1
1721 47.91 0.251 33.421 4.6045 0.85 1 1 1
1722 50.92 0.308 32.057 4.5459 0.85 1 1 1
1723 50.92 0.308 28.863 4.8486 0.85 1 1 1
1724 40.50 0.193 30.388 4.6533 0.85 1 1 1
1725 50.92 0.308 41.075 4.7021 0.85 1 1 1
1726 48.60 0.275 41.707 4.6045 0.85 1 1 1
1727 50.92 0.308 38.433 4.4482 0.85 1 1 1
1728 50.92 0.308 31.590 4.6533 0.85 1 1 1
1729 44.77 0.218 36.611 4.3994 0.85 1 1 1
1730 58.07 0.299 41.377 4.6045 0.85 1 1 1
1731 41.86 0.274 21.703 4.6045 0.85 1 1 1
1732 50.92 0.308 32.013 4.6045 0.85 1 1 1
1733 49.23 0.270 37.622 4.6045 0.85 1 1 1
1734 40.50 0.193 30.391 4.6533 0.85 1 1 1
1735 33.30 0.160 22.468 4.6045 0.85 1 1 1
1736 36.36 0.139 30.137 4.2529 0.85 1 1 1
1737 55.62 0.366 30.273 4.7021 0.85 1 1 1
1738 49.23 0.270 37.496 4.6045 0.85 1 1 1
1739 50.92 0.308 28.990 4.5459 0.85 1 1 1
1740 50.92 0.308 31.553 4.6533 0.85 1 1 1
1741 48.60 0.275 41.326 4.6045 0.85 1 1 1
1742 55.62 0.366 30.191 4.7021 0.85 1 1 1
1743 50.92 0.308 36.903 4.8975 0.85 1 1 1
1744 50.92 0.308 36.918 4.8975 0.85 1 1 1
1745 55.62 0.366 30.159 4.7021 0.85 1 1 1
1746 17.64 0.025 15.543 4.8486 0.85 1 1 1
1747 49.23 0.270 37.451 4.6045 0.85 1 1 1
1748 50.92 0.308 34.215 4.5459 0.85 1 1 1
1749 50.92 0.308 33.132 4.6045 0.85 1 1 1
1750 33.30 0.160 22.473 4.6045 0.85 1 1 1
1751 54.54 0.344 41.773 4.4482 0.85 1 1 1
1752 48.60 0.275 41.454 4.6045 0.85 1 1 1
1753 50.92 0.308 32.883 4.6045 0.85 1 1 1
1754 58.07 0.299 41.085 4.6045 0.85 1 1 1
1755 41.86 0.220 32.844 4.3506 0.85 1 1 1
1756 50.92 0.308 31.561 4.6533 0.85 1 1 1
1757 49.23 0.270 37.674 4.6045 0.85 1 1 1
1758 50.92 0.308 36.151 4.6533 0.85 1 1 1
1759 50.92 0.308 36.024 4.6533 0.85 1 1 1
1760 19.38 0.070 14.173 4.7998 0.85 1 1 1
1761 44.77 0.218 36.422 4.3994 0.85 1 1 1
1762 19.38 0.070 14.394 4.7998 0.85 1 1 1
1763 36.36 0.139 30.010 4.2529 0.85 1 1 1
1764 44.77 0.218 36.282 4.3994 0.85 1 1 1
1765 50.92 0.308 38.152 4.4482 0.85 1 1 1
1766 41.38 0.211 27.466 4.7510 0.85 1 1 1
1767 50.92 0.308 36.538 4.8975 0.85 1 1 1
1768 40.50 0.193 30.038 4.6533 0.85 1 1 1
1769 43.24 0.196 34.858 4.5459 0.85 1 1 1
1770 49.23 0.270 37.726 4.6045 0.85 1 1 1
1771 58.07 0.299 41.293 4.6045 0.85 1 1 1
1772 50.92 0.308 29.028 4.8486 0.85 1 1 1
1773 57.87 0.362 46.583 4.5459 0.85 1 1 1
1774 31.79 0.116 24.741 4.7998 0.85 1 1 1
1775 50.92 0.308 36.390 4.6533 0.85 1 1 1
1776 50.92 0.308 29.077 4.5459 0.85 1 1 1
1777 36.36 0.139 29.653 4.2529 0.85 1 1 1
1778 17.64 0.025 15.441 4.8486 0.85 1 1 1
1779 27.27 0.110 21.405 4.6533 0.85 1 1 1
1780 55.62 0.366 30.588 4.7021 0.85 1 1 1
1781 55.62 0.366 30.044 4.7021 0.85 1 1 1
1782 51.76 0.346 27.116 4.7021 0.85 1 1 1
1783 41.42 0.187 32.945 4.3994 0.85 1 1 1
1784 41.42 0.187 32.724 4.3994 0.85 1 1 1
1785 47.91 0.251 33.467 4.6045 0.85 1 1 1
1786 41.38 0.211 27.355 4.7510 0.85 1 1 1
1787 38.50 0.184 27.472 4.6533 0.85 1 1 1
1788 50.92 0.308 29.157 4.5459 0.85 1 1 1
1789 49.23 0.270 37.735 4.6045 0.85 1 1 1
1790 31.79 0.116 24.678 4.7998 0.85 1 1 1
1791 50.92 0.308 41.124 4.1455 0.85 1 1 1
1792 57.87 0.362 46.178 4.5459 0.85 1 1 1
1793 57.87 0.362 45.428 4.5459 0.85 1 1 1
1794 57.87 0.362 46.330 4.5459 0.85 1 1 1
1795 50.92 0.308 32.644 4.6045 0.85 1 1 1
1796 50.92 0.308 33.343 4.6045 0.85 1 1 1
1797 40.50 0.193 30.370 4.6533 0.85 1 1 1
1798 47.91 0.251 33.177 4.6045 0.85 1 1 1
1799 48.60 0.275 41.318 4.6045 0.85 1 1 1
1800 49.23 0.270 37.608 4.6045 0.85 1 1 1
1801 50.92 0.308 29.206 4.5459 0.85 1 1 1
1802 41.86 0.274 21.704 4.6045 0.85 1 1 1
1803 50.92 0.308 36.019 4.6533 0.85 1 1 1
1804 54.04 0.342 42.097 4.1455 0.85 1 1 1
1805 50.92 0.308 28.965 4.5459 0.85 1 1 1
1806 27.27 0.110 21.385 4.6533 0.85 1 1 1
1807 50.92 0.308 38.572 4.5459 0.85 1 1 1
1808 50.92 0.308 31.285 4.6533 0.85 1 1 1
1809 51.76 0.346 27.271 4.7021 0.85 1 1 1
1810 36.36 0.139 30.204 4.2529 0.85 1 1 1
1811 40.50 0.193 30.127 4.6533 0.85 1 1 1
1812 46.18 0.229 36.781 4.5459 0.85 1 1 1
1813 50.92 0.308 31.382 4.6533 0.85 1 1 1
1814 50.92 0.308 40.871 4.7021 0.85 1 1 1
1815 50.92 0.308 28.589 4.8486 0.85 1 1 1
1816 48.60 0.275 41.252 4.6045 0.85 1 1 1
1817 41.38 0.211 27.258 4.7510 0.85 1 1 1
1818 50.92 0.308 31.464 4.5459 0.85 1 1 1
1819 50.92 0.308 31.704 4.6533 0.85 1 1 1
1820 49.23 0.270 37.583 4.6045 0.85 1 1 1
1821 19.38 0.070 14.208 4.7998 0.85 1 1 1
1822 50.92 0.308 30.457 4.7021 0.85 1 1 1
1823 31.79 0.116 24.615 4.7998 0.85 1 1 1
1824 50.92 0.308 34.650 4.5459 0.85 1 1 1
1825 50.92 0.308 34.832 4.5459 0.85 1 1 1
1826 50.92 0.308 40.449 4.7021 0.85 1 1 1
1827 47.91 0.251 33.241 4.6045 0.85 1 1 1
1828 54.22 0.339 31.164 4.4482 0.85 1 1 1
1829 50.92 0.308 36.182 4.6533 0.85 1 1 1
1830 40.50 0.193 30.172 4.6533 0.85 1 1 1
1831 50.92 0.308 30.844 4.7021 0.85 1 1 1
1832 50.92 0.308 40.994 4.1455 0.85 1 1 1
1833 46.18 0.229 36.539 4.5459 0.85 1 1 1
1834 50.92 0.308 36.468 4.8975 0.85 1 1 1
1835 55.62 0.366 30.027 4.7021 0.85 1 1 1
1836 50.92 0.308 29.290 4.8486 0.85 1 1 1
1837 41.38 0.211 27.446 4.7510 0.85 1 1 1
1838 41.42 0.187 32.803 4.3994 0.85 1 1 1
1839 46.18 0.229 36.616 4.5459 0.85 1 1 1
1840 46.18 0.229 36.670 4.5459 0.85 1 1 1
1841 50.92 0.308 36.603 4.8975 0.85 1 1 1
1842 54.22 0.339 31.555 4.4482 0.85 1 1 1
1843 19.38 0.070 14.387 4.7998 0.85 1 1 1
1844 41.38 0.211 27.335 4.7510 0.85 1 1 1
1845 50.92 0.308 28.876 4.5459 0.85 1 1 1
1846 54.22 0.339 31.598 4.4482 0.85 1 1 1
1847 40.50 0.193 30.387 4.6533 0.85 1 1 1
1848 40.50 0.193 30.486 4.6533 0.85 1 1 1
1849 50.92 0.308 37.838 4.3994 0.85 1 1 1
1850 44.27 0.264 29.606 4.7021 0.85 1 1 1
1851 50.92 0.308 29.091 4.5459 0.85 1 1 1
1852 50.92 0.308 36.925 4.8975 0.85 1 1 1
1853 41.86 0.274 21.576 4.6045 0.85 1 1 1
1854 50.92 0.308 35.985 4.6533 0.85 1 1 1
1855 58.07 0.299 41.310 4.6045 0.85 1 1 1
1856 41.42 0.187 32.057 4.3994 0.85 1 1 1
1857 25.90 0.103 21.555 4.4971 0.85 1 1 1
1858 50.92 0.308 31.449 4.5459 0.85 1 1 1
1859 19.38 0.070 14.329 4.7998 0.85 1 1 1
1860 48.60 0.275 41.843 4.6045 0.85 1 1 1
1861 40.50 0.193 30.250 4.6533 0.85 1 1 1
1862 51.76 0.346 26.996 4.7021 0.85 1 1 1
1863 50.92 0.308 38.419 4.3506 0.85 1 1 1
1864 41.38 0.211 27.331 4.7510 0.85 1 1 1
1865 27.27 0.110 21.409 4.6533 0.85 1 1 1
1866 50.92 0.308 31.416 4.6533 0.85 1 1 1
1867 33.30 0.160 22.148 4.6045 0.85 1 1 1
1868 27.27 0.110 21.441 4.6533 0.85 1 1 1
1869 19.38 0.070 14.486 4.7998 0.85 1 1 1
1870 25.90 0.103 21.720 4.4971 0.85 1 1 1
1871 40.50 0.193 30.463 4.6533 0.85 1 1 1
1872 50.92 0.308 38.559 4.3994 0.85 1 1 1
1873 40.33 0.207 29.768 4.5459 0.85 1 1 1
1874 50.92 0.308 40.663 4.7021 0.85 1 1 1
1875 50.92 0.308 28.884 4.5459 0.85 1 1 1
1876 40.50 0.193 30.473 4.6533 0.85 1 1 1
1877 50.92 0.308 36.539 4.8975 0.85 1 1 1
1878 33.30 0.160 22.418 4.6045 0.85 1 1 1
1879 50.92 0.308 30.674 4.7021 0.85 1 1 1
1880 40.50 0.193 30.388 4.6533 0.85 1 1 1
1881 41.38 0.211 27.282 4.7510 0.85 1 1 1
1882 54.04 0.342 41.410 4.1455 0.85 1 1 1
1883 50.92 0.308 35.910 4.6533 0.85 1 1 1
1884 50.92 0.308 38.805 4.5459 0.85 1 1 1
1885 31.79 0.116 24.647 4.7998 0.85 1 1 1
1886 41.38 0.211 26.920 4.7510 0.85 1 1 1
mult_P mult_N mult_LMA mult_dbhmax dev_wsg age dbh sapwood_area
1 1 1 1 1 0 101.0000 0.104160 1.5577e-03
2 1 1 1 1 0 101.0000 0.347690 2.2436e-02
3 1 1 1 1 0 27.8330 0.070151 1.0540e-03
4 1 1 1 1 0 9.1667 0.012484 1.1755e-04
5 1 1 1 1 0 13.7500 0.022847 2.8034e-04
6 1 1 1 1 0 78.3330 0.064398 9.3303e-04
7 1 1 1 1 0 11.3330 0.035808 5.1925e-04
8 1 1 1 1 0 101.0000 0.160770 8.7476e-03
9 1 1 1 1 0 55.5830 0.044206 6.1585e-04
10 1 1 1 1 0 101.0000 0.236890 5.3986e-03
11 1 1 1 1 0 101.0000 0.214500 8.4630e-03
12 1 1 1 1 0 17.9170 0.068451 2.3457e-03
13 1 1 1 1 0 16.4170 0.010286 8.3029e-05
14 1 1 1 1 0 58.5830 0.027260 3.4965e-04
15 1 1 1 1 0 4.5833 0.010163 8.1102e-05
16 1 1 1 1 0 3.3333 0.013267 1.2985e-04
17 1 1 1 1 0 16.5000 0.032155 4.2655e-04
18 1 1 1 1 0 15.3330 0.047703 6.7077e-04
19 1 1 1 1 0 32.8330 0.059494 2.5959e-03
20 1 1 1 1 0 9.3333 0.014170 1.4404e-04
21 1 1 1 1 0 43.5830 0.043345 6.0233e-04
22 1 1 1 1 0 10.6670 0.039415 9.8142e-04
23 1 1 1 1 0 9.9167 0.033263 7.0054e-04
24 1 1 1 1 0 101.0000 0.115160 2.0689e-03
25 1 1 1 1 0 12.2500 0.012144 1.1223e-04
26 1 1 1 1 0 101.0000 0.475720 4.5722e-02
27 1 1 1 1 0 89.4170 0.069266 1.4410e-03
28 1 1 1 1 0 101.0000 0.264350 1.2435e-02
29 1 1 1 1 0 101.0000 0.079955 1.1774e-03
30 1 1 1 1 0 36.5830 0.075572 2.2933e-03
31 1 1 1 1 0 101.0000 0.513030 5.2733e-02
32 1 1 1 1 0 19.5000 0.012721 1.2128e-04
33 1 1 1 1 0 101.0000 0.335930 2.3620e-02
34 1 1 1 1 0 101.0000 0.244720 1.7865e-02
35 1 1 1 1 0 9.3333 0.035362 4.7692e-04
36 1 1 1 1 0 51.7500 0.059213 1.8214e-03
37 1 1 1 1 0 9.4167 0.052843 2.1868e-03
38 1 1 1 1 0 9.6667 0.047752 9.6140e-04
39 1 1 1 1 0 13.6670 0.042677 1.0943e-03
40 1 1 1 1 0 12.3330 0.021977 2.6667e-04
41 1 1 1 1 0 101.0000 0.454470 4.6688e-02
42 1 1 1 1 0 3.7500 0.014047 1.4211e-04
43 1 1 1 1 0 101.0000 0.189440 1.2158e-02
44 1 1 1 1 0 101.0000 0.248920 1.8826e-02
45 1 1 1 1 0 44.3330 0.083926 1.4883e-03
46 1 1 1 1 0 9.9167 0.025008 3.1429e-04
47 1 1 1 1 0 65.2500 0.052828 7.5128e-04
48 1 1 1 1 0 32.2500 0.029447 3.8401e-04
49 1 1 1 1 0 23.7500 0.054124 7.7164e-04
50 1 1 1 1 0 101.0000 0.164930 2.5814e-03
51 1 1 1 1 0 8.6667 0.020894 2.4966e-04
52 1 1 1 1 0 24.4170 0.027076 3.4676e-04
53 1 1 1 1 0 39.2500 0.052518 1.2588e-03
54 1 1 1 1 0 101.0000 0.475530 4.9037e-02
55 1 1 1 1 0 7.3333 0.054408 2.3250e-03
56 1 1 1 1 0 7.5000 0.012958 1.2501e-04
57 1 1 1 1 0 91.9170 0.084954 1.5829e-03
58 1 1 1 1 0 101.0000 0.499970 6.3686e-02
59 1 1 1 1 0 42.8330 0.069413 1.2130e-03
60 1 1 1 1 0 101.0000 0.170540 8.4659e-03
61 1 1 1 1 0 19.2500 0.057662 1.3854e-03
62 1 1 1 1 0 19.5830 0.044239 1.1489e-03
63 1 1 1 1 0 41.2500 0.070150 1.3257e-03
64 1 1 1 1 0 101.0000 0.272730 1.3682e-02
65 1 1 1 1 0 18.3330 0.045376 6.3423e-04
66 1 1 1 1 0 40.2500 0.052327 1.6761e-03
67 1 1 1 1 0 57.3330 0.046466 9.3904e-04
68 1 1 1 1 0 101.0000 0.233900 6.3333e-03
69 1 1 1 1 0 12.3330 0.011027 9.4673e-05
70 1 1 1 1 0 47.0000 0.053036 7.6140e-04
71 1 1 1 1 0 101.0000 0.421490 4.0720e-02
72 1 1 1 1 0 39.5000 0.047780 7.6472e-04
73 1 1 1 1 0 40.6670 0.048822 6.8835e-04
74 1 1 1 1 0 14.5830 0.012821 1.2285e-04
75 1 1 1 1 0 7.8333 0.013919 1.4010e-04
76 1 1 1 1 0 40.6670 0.064904 1.7488e-03
77 1 1 1 1 0 10.4170 0.032153 4.2651e-04
78 1 1 1 1 0 11.1670 0.036040 4.8758e-04
79 1 1 1 1 0 10.5000 0.042250 8.6747e-04
80 1 1 1 1 0 89.9170 0.047352 6.6527e-04
81 1 1 1 1 0 39.0830 0.085550 1.7616e-03
82 1 1 1 1 0 12.5000 0.028984 3.7673e-04
83 1 1 1 1 0 18.5830 0.033087 4.4119e-04
84 1 1 1 1 0 18.4170 0.019949 2.3481e-04
85 1 1 1 1 0 47.7500 0.073307 1.9823e-03
86 1 1 1 1 0 49.7500 0.026638 3.3989e-04
87 1 1 1 1 0 10.5830 0.010643 8.8636e-05
88 1 1 1 1 0 21.5000 0.034902 5.1763e-04
89 1 1 1 1 0 22.4170 0.016076 1.7398e-04
90 1 1 1 1 0 73.3330 0.058902 8.4668e-04
91 1 1 1 1 0 101.0000 0.470840 5.9544e-02
92 1 1 1 1 0 72.9170 0.078417 1.1532e-03
93 1 1 1 1 0 8.5000 0.011909 1.0853e-04
94 1 1 1 1 0 20.3330 0.052509 7.4627e-04
95 1 1 1 1 0 12.5000 0.050724 1.8413e-03
96 1 1 1 1 0 9.8333 0.037915 9.5391e-04
97 1 1 1 1 0 39.7500 0.055674 1.4763e-03
98 1 1 1 1 0 12.7500 0.042014 5.8141e-04
99 1 1 1 1 0 18.5000 0.082760 2.9370e-03
100 1 1 1 1 0 23.8330 0.018833 2.1728e-04
101 1 1 1 1 0 15.5000 0.021709 2.6246e-04
102 1 1 1 1 0 101.0000 0.348290 1.6115e-02
103 1 1 1 1 0 90.1670 0.086101 1.2739e-03
104 1 1 1 1 0 19.5830 0.013137 1.2782e-04
105 1 1 1 1 0 8.4167 0.011045 9.4947e-05
106 1 1 1 1 0 24.7500 0.012949 1.2487e-04
107 1 1 1 1 0 101.0000 0.496160 4.9156e-02
108 1 1 1 1 0 16.1670 0.053335 1.3125e-03
109 1 1 1 1 0 19.2500 0.026458 3.3706e-04
110 1 1 1 1 0 24.6670 0.030355 6.9139e-04
111 1 1 1 1 0 22.0000 0.024606 3.0797e-04
112 1 1 1 1 0 53.5830 0.093006 2.2580e-03
113 1 1 1 1 0 30.2500 0.068194 1.9948e-03
114 1 1 1 1 0 20.3330 0.070270 2.6771e-03
115 1 1 1 1 0 41.5830 0.063289 9.3167e-04
116 1 1 1 1 0 8.7500 0.046861 1.2148e-03
117 1 1 1 1 0 8.8333 0.043731 9.6089e-04
118 1 1 1 1 0 3.6667 0.012720 1.2707e-04
119 1 1 1 1 0 30.3330 0.073650 2.6199e-03
120 1 1 1 1 0 87.0000 0.119780 3.8605e-03
121 1 1 1 1 0 101.0000 0.198180 8.0912e-03
122 1 1 1 1 0 63.7500 0.119820 7.2471e-03
123 1 1 1 1 0 12.5830 0.026681 3.4056e-04
124 1 1 1 1 0 4.3333 0.010711 9.0106e-05
125 1 1 1 1 0 101.0000 0.463430 4.4112e-02
126 1 1 1 1 0 14.5000 0.021651 2.6155e-04
127 1 1 1 1 0 7.2500 0.012678 1.2061e-04
128 1 1 1 1 0 74.1670 0.068157 9.9206e-04
129 1 1 1 1 0 101.0000 0.248480 9.1733e-03
130 1 1 1 1 0 60.4160 0.079169 1.1650e-03
131 1 1 1 1 0 63.4160 0.058372 8.3836e-04
132 1 1 1 1 0 48.8330 0.127240 6.8337e-03
133 1 1 1 1 0 20.2500 0.112050 7.4968e-03
134 1 1 1 1 0 20.2500 0.053238 1.4334e-03
135 1 1 1 1 0 101.0000 0.468640 5.8247e-02
136 1 1 1 1 0 58.7500 0.064243 9.3058e-04
137 1 1 1 1 0 4.4167 0.019392 2.2607e-04
138 1 1 1 1 0 25.9170 0.025040 3.1478e-04
139 1 1 1 1 0 17.4170 0.040638 5.5981e-04
140 1 1 1 1 0 15.4170 0.049450 6.9821e-04
141 1 1 1 1 0 40.1670 0.062869 9.0901e-04
142 1 1 1 1 0 39.7500 0.032350 4.2961e-04
143 1 1 1 1 0 12.1670 0.024478 3.0595e-04
144 1 1 1 1 0 3.3333 0.010976 9.4619e-05
145 1 1 1 1 0 16.9170 0.023798 2.9528e-04
146 1 1 1 1 0 11.7500 0.038447 5.2538e-04
147 1 1 1 1 0 12.2500 0.043831 6.9472e-04
148 1 1 1 1 0 76.7500 0.172260 1.6057e-02
149 1 1 1 1 0 18.4170 0.033233 4.4348e-04
150 1 1 1 1 0 101.0000 0.262780 1.2057e-02
151 1 1 1 1 0 30.5000 0.028354 3.6684e-04
152 1 1 1 1 0 38.7500 0.043986 6.1239e-04
153 1 1 1 1 0 4.1667 0.027892 6.1100e-04
154 1 1 1 1 0 12.8330 0.015803 1.6969e-04
155 1 1 1 1 0 26.0000 0.032860 4.3763e-04
156 1 1 1 1 0 27.2500 0.030981 5.3545e-04
157 1 1 1 1 0 28.7500 0.062403 1.4124e-03
158 1 1 1 1 0 9.5833 0.015560 1.6587e-04
159 1 1 1 1 0 19.5000 0.018088 2.0559e-04
160 1 1 1 1 0 101.0000 0.314610 1.9067e-02
161 1 1 1 1 0 52.5000 0.084058 2.0370e-03
162 1 1 1 1 0 15.5830 0.016066 1.7382e-04
163 1 1 1 1 0 101.0000 0.156310 2.3768e-03
164 1 1 1 1 0 34.5000 0.037960 5.1774e-04
165 1 1 1 1 0 9.5000 0.030211 3.9602e-04
166 1 1 1 1 0 11.3330 0.034847 6.4581e-04
167 1 1 1 1 0 18.1670 0.035606 4.8076e-04
168 1 1 1 1 0 40.1670 0.079230 1.1660e-03
169 1 1 1 1 0 29.8330 0.025949 3.2906e-04
170 1 1 1 1 0 12.1670 0.024789 3.1084e-04
171 1 1 1 1 0 12.1670 0.040772 5.6190e-04
172 1 1 1 1 0 12.5830 0.033893 6.1261e-04
173 1 1 1 1 0 12.0830 0.022707 2.7814e-04
174 1 1 1 1 0 18.0830 0.060377 1.3443e-03
175 1 1 1 1 0 18.4170 0.026798 3.4240e-04
176 1 1 1 1 0 7.1667 0.019329 2.2508e-04
177 1 1 1 1 0 22.5000 0.031820 4.2128e-04
178 1 1 1 1 0 13.2500 0.017729 1.9994e-04
179 1 1 1 1 0 29.3330 0.063500 1.2439e-03
180 1 1 1 1 0 6.4167 0.040120 1.1956e-03
181 1 1 1 1 0 34.2500 0.027493 3.5331e-04
182 1 1 1 1 0 56.5000 0.196900 1.5071e-02
183 1 1 1 1 0 48.3330 0.093242 2.4632e-03
184 1 1 1 1 0 52.5830 0.033240 4.4359e-04
185 1 1 1 1 0 9.5833 0.064749 3.1062e-03
186 1 1 1 1 0 9.5833 0.010325 8.3648e-05
187 1 1 1 1 0 11.0000 0.019544 2.2845e-04
188 1 1 1 1 0 8.5000 0.015937 1.7180e-04
189 1 1 1 1 0 39.7500 0.025711 3.2532e-04
190 1 1 1 1 0 59.5830 0.028018 3.6157e-04
191 1 1 1 1 0 12.1670 0.020190 2.3860e-04
192 1 1 1 1 0 12.2500 0.050265 8.9427e-04
193 1 1 1 1 0 12.0000 0.025456 3.2132e-04
194 1 1 1 1 0 11.6670 0.070235 2.6635e-03
195 1 1 1 1 0 18.3330 0.078962 1.5840e-03
196 1 1 1 1 0 18.2500 0.065938 1.5033e-03
197 1 1 1 1 0 33.5000 0.017326 1.9361e-04
198 1 1 1 1 0 10.5830 0.041717 5.7675e-04
199 1 1 1 1 0 14.5000 0.044845 7.8772e-04
200 1 1 1 1 0 101.0000 0.121000 1.8221e-03
201 1 1 1 1 0 38.0000 0.092546 2.0184e-03
202 1 1 1 1 0 101.0000 0.412760 4.4154e-02
203 1 1 1 1 0 28.5000 0.052750 7.5006e-04
204 1 1 1 1 0 19.5830 0.013300 1.3037e-04
205 1 1 1 1 0 19.3330 0.012302 1.1470e-04
206 1 1 1 1 0 43.0000 0.055375 7.9129e-04
207 1 1 1 1 0 35.7500 0.067097 2.0514e-03
208 1 1 1 1 0 15.2500 0.013581 1.3480e-04
209 1 1 1 1 0 22.7500 0.010073 7.9687e-05
210 1 1 1 1 0 2.1667 0.019555 3.0035e-04
211 1 1 1 1 0 101.0000 0.300050 4.6347e-03
212 1 1 1 1 0 58.8330 0.063216 9.1446e-04
213 1 1 1 1 0 9.2500 0.034733 6.5071e-04
214 1 1 1 1 0 56.7500 0.107380 6.1322e-03
215 1 1 1 1 0 10.8330 0.041572 1.3573e-03
216 1 1 1 1 0 101.0000 0.178680 5.7896e-03
217 1 1 1 1 0 101.0000 0.357940 3.2088e-02
218 1 1 1 1 0 34.0830 0.082199 2.6275e-03
219 1 1 1 1 0 35.7500 0.028097 3.6281e-04
220 1 1 1 1 0 45.4170 0.031217 4.1181e-04
221 1 1 1 1 0 11.5830 0.036856 5.0039e-04
222 1 1 1 1 0 12.4170 0.034447 4.7733e-04
223 1 1 1 1 0 20.7500 0.088113 5.0168e-03
224 1 1 1 1 0 12.1670 0.041482 5.8871e-04
225 1 1 1 1 0 12.5830 0.043262 1.2887e-03
226 1 1 1 1 0 45.7500 0.061506 8.8759e-04
227 1 1 1 1 0 18.5000 0.033235 4.4351e-04
228 1 1 1 1 0 101.0000 0.311310 1.9400e-02
229 1 1 1 1 0 21.2500 0.018402 2.1052e-04
230 1 1 1 1 0 101.0000 0.434860 4.2230e-02
231 1 1 1 1 0 41.5000 0.035775 4.8341e-04
232 1 1 1 1 0 18.0000 0.011038 9.4852e-05
233 1 1 1 1 0 9.1667 0.030878 4.0649e-04
234 1 1 1 1 0 9.5000 0.017801 2.0108e-04
235 1 1 1 1 0 13.4170 0.017833 2.0159e-04
236 1 1 1 1 0 82.6670 0.145820 5.6432e-03
237 1 1 1 1 0 1.1667 0.010190 8.1554e-05
238 1 1 1 1 0 9.5833 0.035188 6.5712e-04
239 1 1 1 1 0 4.0833 0.019371 2.3046e-04
240 1 1 1 1 0 22.8330 0.013067 1.2671e-04
241 1 1 1 1 0 1.5000 0.011814 1.0962e-04
242 1 1 1 1 0 16.3330 0.015760 1.6901e-04
243 1 1 1 1 0 12.1670 0.026926 3.4441e-04
244 1 1 1 1 0 12.1670 0.022116 2.6885e-04
245 1 1 1 1 0 12.1670 0.019390 2.2604e-04
246 1 1 1 1 0 12.1670 0.024555 3.0717e-04
247 1 1 1 1 0 12.1670 0.019695 2.3083e-04
248 1 1 1 1 0 5.2500 0.011293 1.0016e-04
249 1 1 1 1 0 4.7500 0.010480 8.6254e-05
250 1 1 1 1 0 11.5830 0.014931 1.5600e-04
251 1 1 1 1 0 63.3330 0.057143 8.1906e-04
252 1 1 1 1 0 22.7500 0.013897 1.3976e-04
253 1 1 1 1 0 15.3330 0.022125 2.6901e-04
254 1 1 1 1 0 71.1660 0.067356 9.7949e-04
255 1 1 1 1 0 10.0830 0.010171 8.1231e-05
256 1 1 1 1 0 23.8330 0.043439 6.0380e-04
257 1 1 1 1 0 36.1670 0.062095 1.3522e-03
258 1 1 1 1 0 101.0000 0.387830 4.2981e-02
259 1 1 1 1 0 14.0830 0.031285 4.2884e-04
260 1 1 1 1 0 101.0000 0.096567 1.4383e-03
261 1 1 1 1 0 28.5000 0.058405 1.0436e-03
262 1 1 1 1 0 67.7500 0.134190 6.0698e-03
263 1 1 1 1 0 11.6670 0.011393 1.0042e-04
264 1 1 1 1 0 24.0000 0.063737 1.2987e-03
265 1 1 1 1 0 16.4170 0.043213 8.0241e-04
266 1 1 1 1 0 14.2500 0.028862 3.7483e-04
267 1 1 1 1 0 13.1670 0.050207 8.5745e-04
268 1 1 1 1 0 41.0000 0.057451 1.5433e-03
269 1 1 1 1 0 101.0000 0.283500 2.8379e-02
270 1 1 1 1 0 20.5830 0.019945 2.3476e-04
271 1 1 1 1 0 74.4170 0.172450 4.1293e-03
272 1 1 1 1 0 57.3330 0.123160 6.4484e-03
273 1 1 1 1 0 16.9170 0.014208 1.4463e-04
274 1 1 1 1 0 39.1670 0.036273 4.9123e-04
275 1 1 1 1 0 12.1670 0.019628 2.2978e-04
276 1 1 1 1 0 12.1670 0.024709 3.0959e-04
277 1 1 1 1 0 18.4170 0.017703 1.9954e-04
278 1 1 1 1 0 6.5833 0.010300 8.3252e-05
279 1 1 1 1 0 23.5830 0.012999 1.2565e-04
280 1 1 1 1 0 8.6667 0.012578 1.1904e-04
281 1 1 1 1 0 19.6670 0.049819 7.0402e-04
282 1 1 1 1 0 2.6667 0.019855 2.3334e-04
283 1 1 1 1 0 101.0000 0.433510 3.6585e-02
284 1 1 1 1 0 64.5830 0.085339 1.2620e-03
285 1 1 1 1 0 52.5000 0.063558 9.1983e-04
286 1 1 1 1 0 10.8330 0.014910 1.5567e-04
287 1 1 1 1 0 18.3330 0.022392 2.7319e-04
288 1 1 1 1 0 101.0000 0.361690 3.4807e-02
289 1 1 1 1 0 75.5830 0.067343 9.7929e-04
290 1 1 1 1 0 46.3330 0.084795 2.0420e-03
291 1 1 1 1 0 3.0833 0.021751 2.6438e-04
292 1 1 1 1 0 18.0000 0.040673 9.8273e-04
293 1 1 1 1 0 50.9160 0.058753 8.4435e-04
294 1 1 1 1 0 9.5000 0.035698 4.8828e-04
295 1 1 1 1 0 9.5833 0.015797 1.6961e-04
296 1 1 1 1 0 9.5833 0.017593 1.9782e-04
297 1 1 1 1 0 38.2500 0.027193 3.4860e-04
298 1 1 1 1 0 4.8333 0.014174 1.4410e-04
299 1 1 1 1 0 12.1670 0.032937 5.2174e-04
300 1 1 1 1 0 85.0000 0.093442 2.6638e-03
301 1 1 1 1 0 7.6667 0.013039 1.2628e-04
302 1 1 1 1 0 101.0000 0.286800 1.8314e-02
303 1 1 1 1 0 17.5830 0.017994 2.0411e-04
304 1 1 1 1 0 20.8330 0.016955 1.8779e-04
305 1 1 1 1 0 18.0830 0.051526 7.3083e-04
306 1 1 1 1 0 22.0830 0.042918 5.9562e-04
307 1 1 1 1 0 64.5830 0.072731 1.1336e-03
308 1 1 1 1 0 10.0830 0.016615 1.8245e-04
309 1 1 1 1 0 70.0000 0.091164 1.3535e-03
310 1 1 1 1 0 44.2500 0.050826 7.1983e-04
311 1 1 1 1 0 14.2500 0.078377 4.0693e-03
312 1 1 1 1 0 13.5830 0.017887 2.0243e-04
313 1 1 1 1 0 101.0000 0.315420 2.4352e-02
314 1 1 1 1 0 52.5830 0.058148 8.3484e-04
315 1 1 1 1 0 22.6670 0.041788 5.7787e-04
316 1 1 1 1 0 19.2500 0.026760 3.4181e-04
317 1 1 1 1 0 101.0000 0.191640 8.1900e-03
318 1 1 1 1 0 101.0000 0.336740 2.7899e-02
319 1 1 1 1 0 12.1670 0.025396 3.8553e-04
320 1 1 1 1 0 18.9170 0.015410 1.6352e-04
321 1 1 1 1 0 18.4170 0.013162 1.2820e-04
322 1 1 1 1 0 18.2500 0.019699 2.3088e-04
323 1 1 1 1 0 101.0000 0.164900 3.3316e-03
324 1 1 1 1 0 57.3330 0.060530 8.7226e-04
325 1 1 1 1 0 101.0000 0.192680 6.1001e-03
326 1 1 1 1 0 101.0000 0.350090 2.2820e-02
327 1 1 1 1 0 22.3330 0.033988 4.5535e-04
328 1 1 1 1 0 25.4170 0.047217 6.6315e-04
329 1 1 1 1 0 29.5830 0.087234 5.9426e-03
330 1 1 1 1 0 3.5000 0.017064 1.8949e-04
331 1 1 1 1 0 33.4170 0.063325 1.6233e-03
332 1 1 1 1 0 18.0830 0.036817 5.1326e-04
333 1 1 1 1 0 4.0000 0.035474 9.8837e-04
334 1 1 1 1 0 82.3330 0.144910 7.8850e-03
335 1 1 1 1 0 55.0830 0.077250 1.1349e-03
336 1 1 1 1 0 20.0830 0.029749 3.8875e-04
337 1 1 1 1 0 3.0000 0.016151 2.0487e-04
338 1 1 1 1 0 7.5833 0.014168 1.4401e-04
339 1 1 1 1 0 17.5000 0.043927 6.1146e-04
340 1 1 1 1 0 19.6670 0.061890 1.6331e-03
341 1 1 1 1 0 14.5830 0.012109 1.1167e-04
342 1 1 1 1 0 52.9160 0.061864 8.9322e-04
343 1 1 1 1 0 27.7500 0.043615 6.0657e-04
344 1 1 1 1 0 12.2500 0.026159 3.3236e-04
345 1 1 1 1 0 26.6670 0.026943 3.4467e-04
346 1 1 1 1 0 9.8333 0.010514 8.6611e-05
347 1 1 1 1 0 69.4160 0.089091 1.7924e-03
348 1 1 1 1 0 19.0000 0.024124 3.0040e-04
349 1 1 1 1 0 101.0000 0.418060 4.0856e-02
350 1 1 1 1 0 101.0000 0.078829 1.1597e-03
351 1 1 1 1 0 101.0000 0.202140 3.1533e-03
352 1 1 1 1 0 8.5000 0.013654 1.3594e-04
353 1 1 1 1 0 24.8330 0.040730 6.5998e-04
354 1 1 1 1 0 7.5000 0.012526 1.1822e-04
355 1 1 1 1 0 72.0830 0.107710 3.0430e-03
356 1 1 1 1 0 5.0833 0.010260 8.2630e-05
357 1 1 1 1 0 20.0000 0.019886 2.3382e-04
358 1 1 1 1 0 15.4170 0.018883 2.1807e-04
359 1 1 1 1 0 19.5830 0.038737 6.1273e-04
360 1 1 1 1 0 76.5000 0.072510 1.0604e-03
361 1 1 1 1 0 19.5830 0.024006 2.9855e-04
362 1 1 1 1 0 101.0000 0.166060 6.7519e-03
363 1 1 1 1 0 17.3330 0.015950 1.7200e-04
364 1 1 1 1 0 20.0000 0.025892 3.2818e-04
365 1 1 1 1 0 12.6670 0.025294 3.1877e-04
366 1 1 1 1 0 101.0000 0.386700 1.9796e-02
367 1 1 1 1 0 52.4160 0.066885 1.0541e-03
368 1 1 1 1 0 100.0000 0.459030 3.6857e-02
369 1 1 1 1 0 78.5830 0.094771 1.5943e-03
370 1 1 1 1 0 101.0000 0.207430 1.3792e-02
371 1 1 1 1 0 22.5000 0.023683 2.9348e-04
372 1 1 1 1 0 101.0000 0.222290 4.2347e-03
373 1 1 1 1 0 89.7500 0.185900 1.3769e-02
374 1 1 1 1 0 26.3330 0.061971 1.2567e-03
375 1 1 1 1 0 14.9170 0.013758 1.4479e-04
376 1 1 1 1 0 4.5833 0.011427 1.0255e-04
377 1 1 1 1 0 5.4167 0.035363 9.8219e-04
378 1 1 1 1 0 29.3330 0.037250 5.0658e-04
379 1 1 1 1 0 101.0000 0.236420 8.2740e-03
380 1 1 1 1 0 39.0000 0.031198 4.1152e-04
381 1 1 1 1 0 29.5830 0.031887 4.2234e-04
382 1 1 1 1 0 30.3330 0.026821 3.4277e-04
383 1 1 1 1 0 40.3330 0.095573 2.3189e-03
384 1 1 1 1 0 90.8340 0.113700 2.1862e-03
385 1 1 1 1 0 41.5000 0.130020 6.0512e-03
386 1 1 1 1 0 101.0000 0.115640 2.1139e-03
387 1 1 1 1 0 19.3330 0.026954 3.4485e-04
388 1 1 1 1 0 101.0000 0.482580 6.0606e-02
389 1 1 1 1 0 56.5830 0.025847 3.2747e-04
390 1 1 1 1 0 10.6670 0.015651 1.6731e-04
391 1 1 1 1 0 4.7500 0.011063 9.5233e-05
392 1 1 1 1 0 101.0000 0.339770 2.1619e-02
393 1 1 1 1 0 19.2500 0.016526 1.8105e-04
394 1 1 1 1 0 18.2500 0.013002 1.2570e-04
395 1 1 1 1 0 18.2500 0.028933 3.7594e-04
396 1 1 1 1 0 13.5830 0.033318 4.4481e-04
397 1 1 1 1 0 48.2500 0.034581 4.6466e-04
398 1 1 1 1 0 101.0000 0.205460 6.9267e-03
399 1 1 1 1 0 72.0000 0.099544 2.3851e-03
400 1 1 1 1 0 8.5833 0.012557 1.1871e-04
401 1 1 1 1 0 17.5830 0.019474 2.2736e-04
402 1 1 1 1 0 41.7500 0.070137 1.8701e-03
403 1 1 1 1 0 10.7500 0.033122 4.4174e-04
404 1 1 1 1 0 71.5830 0.064489 1.3730e-03
405 1 1 1 1 0 20.0830 0.026032 3.3037e-04
406 1 1 1 1 0 34.7500 0.020939 2.5037e-04
407 1 1 1 1 0 42.7500 0.035698 4.8220e-04
408 1 1 1 1 0 10.7500 0.011057 9.5151e-05
409 1 1 1 1 0 24.7500 0.039389 5.4018e-04
410 1 1 1 1 0 101.0000 0.156200 2.3751e-03
411 1 1 1 1 0 65.0830 0.080685 1.5514e-03
412 1 1 1 1 0 57.4160 0.077287 1.2427e-03
413 1 1 1 1 0 65.6660 0.067793 9.8635e-04
414 1 1 1 1 0 25.2500 0.023814 2.9553e-04
415 1 1 1 1 0 2.4167 0.011304 1.0036e-04
416 1 1 1 1 0 29.7500 0.025611 3.2376e-04
417 1 1 1 1 0 87.7500 0.232910 1.4014e-02
418 1 1 1 1 0 101.0000 0.339470 2.5769e-02
419 1 1 1 1 0 36.8330 0.033751 4.5162e-04
420 1 1 1 1 0 101.0000 0.156470 3.3575e-03
421 1 1 1 1 0 42.5830 0.057128 8.1882e-04
422 1 1 1 1 0 36.2500 0.031539 4.1687e-04
423 1 1 1 1 0 101.0000 0.219030 8.9874e-03
424 1 1 1 1 0 42.5000 0.026797 3.4238e-04
425 1 1 1 1 0 13.5830 0.031494 4.1616e-04
426 1 1 1 1 0 24.4170 0.018394 2.1039e-04
427 1 1 1 1 0 45.3330 0.026969 3.4508e-04
428 1 1 1 1 0 66.4160 0.091500 2.4171e-03
429 1 1 1 1 0 21.5830 0.019015 2.2015e-04
430 1 1 1 1 0 11.5000 0.014371 1.4720e-04
431 1 1 1 1 0 101.0000 0.082274 1.2138e-03
432 1 1 1 1 0 10.0830 0.054335 1.9786e-03
433 1 1 1 1 0 65.0830 0.057711 8.2798e-04
434 1 1 1 1 0 17.4170 0.017035 1.8905e-04
435 1 1 1 1 0 50.3330 0.045668 6.3882e-04
436 1 1 1 1 0 101.0000 0.549300 5.4382e-02
437 1 1 1 1 0 10.3330 0.034773 4.6767e-04
438 1 1 1 1 0 13.4170 0.011841 1.0747e-04
439 1 1 1 1 0 19.5000 0.018323 2.0928e-04
440 1 1 1 1 0 101.0000 0.478780 3.2631e-02
441 1 1 1 1 0 5.0833 0.016938 1.8751e-04
442 1 1 1 1 0 101.0000 0.198810 8.3931e-03
443 1 1 1 1 0 17.6670 0.017240 1.9227e-04
444 1 1 1 1 0 40.9170 0.061005 1.6500e-03
445 1 1 1 1 0 43.6670 0.116660 3.0770e-03
446 1 1 1 1 0 21.4170 0.033035 4.4037e-04
447 1 1 1 1 0 101.0000 0.323400 1.9371e-02
448 1 1 1 1 0 101.0000 0.345480 1.2580e-02
449 1 1 1 1 0 15.5000 0.013076 1.2686e-04
450 1 1 1 1 0 101.0000 0.422830 4.1048e-02
451 1 1 1 1 0 15.0000 0.048075 9.6767e-04
452 1 1 1 1 0 18.9170 0.012548 1.1857e-04
453 1 1 1 1 0 28.5000 0.025137 3.1631e-04
454 1 1 1 1 0 29.6670 0.023508 2.9073e-04
455 1 1 1 1 0 101.0000 0.326410 1.7947e-02
456 1 1 1 1 0 20.8330 0.042145 5.8347e-04
457 1 1 1 1 0 101.0000 0.506320 6.3646e-02
458 1 1 1 1 0 26.4170 0.049653 7.0141e-04
459 1 1 1 1 0 86.5840 0.135570 4.7659e-03
460 1 1 1 1 0 101.0000 0.257840 1.5383e-02
461 1 1 1 1 0 45.0000 0.053941 7.6877e-04
462 1 1 1 1 0 6.5000 0.014072 1.4251e-04
463 1 1 1 1 0 41.5000 0.035568 4.8015e-04
464 1 1 1 1 0 21.2500 0.015261 1.6117e-04
465 1 1 1 1 0 11.5830 0.023093 2.8421e-04
466 1 1 1 1 0 10.8330 0.018925 2.1874e-04
467 1 1 1 1 0 12.0830 0.017141 1.9072e-04
468 1 1 1 1 0 84.0000 0.069491 1.0130e-03
469 1 1 1 1 0 55.2500 0.031996 4.2405e-04
470 1 1 1 1 0 18.1670 0.018884 2.1810e-04
471 1 1 1 1 0 11.5000 0.026238 3.3360e-04
472 1 1 1 1 0 8.7500 0.014600 1.5079e-04
473 1 1 1 1 0 6.5000 0.035877 1.0109e-03
474 1 1 1 1 0 5.0000 0.012509 1.1795e-04
475 1 1 1 1 0 70.0000 0.075797 1.6278e-03
476 1 1 1 1 0 17.0830 0.012702 1.2098e-04
477 1 1 1 1 0 26.0000 0.060673 1.3661e-03
478 1 1 1 1 0 17.4170 0.011931 1.0887e-04
479 1 1 1 1 0 101.0000 0.461340 3.4607e-02
480 1 1 1 1 0 90.3340 0.051263 7.2669e-04
481 1 1 1 1 0 14.5830 0.021429 2.5806e-04
482 1 1 1 1 0 25.7500 0.022099 2.6859e-04
483 1 1 1 1 0 39.2500 0.027942 3.6038e-04
484 1 1 1 1 0 16.9170 0.049646 7.0130e-04
485 1 1 1 1 0 101.0000 0.060940 8.7871e-04
486 1 1 1 1 0 46.6670 0.047083 6.6103e-04
487 1 1 1 1 0 9.2500 0.014939 1.5613e-04
488 1 1 1 1 0 29.1670 0.040940 5.6455e-04
489 1 1 1 1 0 10.2500 0.012859 1.2345e-04
490 1 1 1 1 0 101.0000 0.365200 2.6946e-02
491 1 1 1 1 0 74.5830 0.077388 1.1371e-03
492 1 1 1 1 0 14.5000 0.013026 1.2606e-04
493 1 1 1 1 0 23.3330 0.015608 1.6663e-04
494 1 1 1 1 0 62.3330 0.033826 4.5280e-04
495 1 1 1 1 0 72.5830 0.064623 9.3656e-04
496 1 1 1 1 0 43.6670 0.050097 1.3011e-03
497 1 1 1 1 0 13.5000 0.024734 3.3903e-04
498 1 1 1 1 0 56.1660 0.089185 2.1256e-03
499 1 1 1 1 0 85.0000 0.086886 1.2863e-03
500 1 1 1 1 0 13.8330 0.015097 1.5861e-04
501 1 1 1 1 0 21.7500 0.015217 1.6049e-04
502 1 1 1 1 0 4.6667 0.010974 9.4592e-05
503 1 1 1 1 0 16.3330 0.027058 3.4648e-04
504 1 1 1 1 0 101.0000 0.222700 7.7337e-03
505 1 1 1 1 0 46.6670 0.059121 8.5012e-04
506 1 1 1 1 0 58.3330 0.059623 1.1655e-03
507 1 1 1 1 0 66.7500 0.071907 1.0510e-03
508 1 1 1 1 0 13.4170 0.017777 2.0071e-04
509 1 1 1 1 0 15.2500 0.014753 1.5320e-04
510 1 1 1 1 0 16.5000 0.019980 2.3531e-04
511 1 1 1 1 0 67.4160 0.063181 9.1391e-04
512 1 1 1 1 0 11.0000 0.041229 7.8507e-04
513 1 1 1 1 0 3.2500 0.023125 3.3657e-04
514 1 1 1 1 0 3.6667 0.013812 1.3842e-04
515 1 1 1 1 0 8.3333 0.013314 1.3059e-04
516 1 1 1 1 0 101.0000 0.335070 2.0729e-02
517 1 1 1 1 0 28.0830 0.024710 3.0960e-04
518 1 1 1 1 0 1.5000 0.016990 2.2673e-04
519 1 1 1 1 0 13.7500 0.011912 1.0857e-04
520 1 1 1 1 0 37.6670 0.049328 6.9630e-04
521 1 1 1 1 0 101.0000 0.372570 3.3687e-02
522 1 1 1 1 0 75.9170 0.054790 7.8210e-04
523 1 1 1 1 0 5.8333 0.017458 1.9569e-04
524 1 1 1 1 0 10.2500 0.032111 4.2586e-04
525 1 1 1 1 0 101.0000 0.246710 1.4117e-02
526 1 1 1 1 0 74.2500 0.064278 9.3114e-04
527 1 1 1 1 0 3.5833 0.011355 1.0052e-04
528 1 1 1 1 0 46.2500 0.059318 8.5322e-04
529 1 1 1 1 0 61.1660 0.062410 1.4764e-03
530 1 1 1 1 0 97.0010 0.115980 2.1012e-03
531 1 1 1 1 0 28.9170 0.021414 2.5783e-04
532 1 1 1 1 0 8.5833 0.035203 7.3354e-04
533 1 1 1 1 0 10.9170 0.010957 9.3575e-05
534 1 1 1 1 0 13.5000 0.019075 2.2108e-04
535 1 1 1 1 0 48.8330 0.042535 5.8959e-04
536 1 1 1 1 0 22.3330 0.013007 1.2578e-04
537 1 1 1 1 0 21.4170 0.031188 4.2396e-04
538 1 1 1 1 0 49.5000 0.082266 1.2137e-03
539 1 1 1 1 0 17.2500 0.034244 8.4868e-04
540 1 1 1 1 0 19.7500 0.033222 7.8385e-04
541 1 1 1 1 0 15.5000 0.035600 9.3769e-04
542 1 1 1 1 0 13.3330 0.013132 1.2773e-04
543 1 1 1 1 0 14.0830 0.016789 1.8518e-04
544 1 1 1 1 0 12.8330 0.015208 1.6035e-04
545 1 1 1 1 0 16.4170 0.045148 6.3064e-04
546 1 1 1 1 0 62.1660 0.061036 8.8021e-04
547 1 1 1 1 0 13.2500 0.030204 4.3996e-04
548 1 1 1 1 0 14.0000 0.020571 2.4459e-04
549 1 1 1 1 0 92.0840 0.087089 2.2563e-03
550 1 1 1 1 0 101.0000 0.331550 2.1024e-02
551 1 1 1 1 0 7.4167 0.026540 4.1861e-04
552 1 1 1 1 0 48.4170 0.039954 5.4906e-04
553 1 1 1 1 0 2.5000 0.017280 2.3452e-04
554 1 1 1 1 0 101.0000 0.212260 3.9476e-03
555 1 1 1 1 0 3.6667 0.020607 2.4623e-04
556 1 1 1 1 0 101.0000 0.351240 2.2177e-02
557 1 1 1 1 0 93.4170 0.097204 2.6055e-03
558 1 1 1 1 0 16.8330 0.045885 6.4221e-04
559 1 1 1 1 0 101.0000 0.450610 2.6637e-02
560 1 1 1 1 0 30.9170 0.095100 3.4123e-03
561 1 1 1 1 0 5.6667 0.021987 3.3499e-04
562 1 1 1 1 0 101.0000 0.266000 4.0998e-03
563 1 1 1 1 0 24.3330 0.032561 4.3292e-04
564 1 1 1 1 0 9.0833 0.012693 1.2084e-04
565 1 1 1 1 0 19.0830 0.057802 1.3933e-03
566 1 1 1 1 0 53.9160 0.047580 1.3277e-03
567 1 1 1 1 0 101.0000 0.196900 8.4065e-03
568 1 1 1 1 0 20.3330 0.033643 4.4992e-04
569 1 1 1 1 0 101.0000 0.299820 1.6441e-02
570 1 1 1 1 0 8.0000 0.017164 1.9107e-04
571 1 1 1 1 0 101.0000 0.156520 6.7313e-03
572 1 1 1 1 0 12.7500 0.042248 9.8712e-04
573 1 1 1 1 0 28.4170 0.063035 1.5955e-03
574 1 1 1 1 0 11.1670 0.035335 4.7651e-04
575 1 1 1 1 0 6.1667 0.021657 2.6165e-04
576 1 1 1 1 0 15.7500 0.011405 1.0061e-04
577 1 1 1 1 0 6.4167 0.014449 1.4842e-04
578 1 1 1 1 0 28.9170 0.021073 2.5248e-04
579 1 1 1 1 0 73.0830 0.084261 1.2450e-03
580 1 1 1 1 0 43.2500 0.046287 7.4241e-04
581 1 1 1 1 0 13.0000 0.015941 1.7187e-04
582 1 1 1 1 0 48.8330 0.070478 1.5932e-03
583 1 1 1 1 0 47.5000 0.039096 5.3558e-04
584 1 1 1 1 0 34.0000 0.065193 1.4957e-03
585 1 1 1 1 0 8.7500 0.017715 1.9973e-04
586 1 1 1 1 0 3.5833 0.011207 9.8635e-05
587 1 1 1 1 0 29.1670 0.025510 3.2217e-04
588 1 1 1 1 0 26.3330 0.026552 3.3853e-04
589 1 1 1 1 0 54.6660 0.058366 8.5996e-04
590 1 1 1 1 0 26.7500 0.016769 1.8486e-04
591 1 1 1 1 0 20.5000 0.025408 3.2056e-04
592 1 1 1 1 0 3.3333 0.012716 1.2700e-04
593 1 1 1 1 0 6.5000 0.019178 2.2270e-04
594 1 1 1 1 0 8.4167 0.016778 1.8501e-04
595 1 1 1 1 0 5.6667 0.015289 1.6162e-04
596 1 1 1 1 0 21.6670 0.037062 6.2778e-04
597 1 1 1 1 0 47.4170 0.054346 7.8062e-04
598 1 1 1 1 0 3.9167 0.018663 2.1461e-04
599 1 1 1 1 0 30.0000 0.036865 7.1580e-04
600 1 1 1 1 0 22.8330 0.027091 3.4700e-04
601 1 1 1 1 0 101.0000 0.242470 7.0896e-03
602 1 1 1 1 0 101.0000 0.395680 3.7851e-02
603 1 1 1 1 0 7.8333 0.043955 1.2892e-03
604 1 1 1 1 0 3.4167 0.020782 2.8887e-04
605 1 1 1 1 0 5.2500 0.015257 1.8283e-04
606 1 1 1 1 0 11.7500 0.012986 1.2545e-04
607 1 1 1 1 0 62.9160 0.137220 5.4913e-03
608 1 1 1 1 0 34.4170 0.025070 3.1526e-04
609 1 1 1 1 0 11.7500 0.017647 1.9866e-04
610 1 1 1 1 0 48.9170 0.052814 7.5106e-04
611 1 1 1 1 0 52.3330 0.094831 1.4111e-03
612 1 1 1 1 0 10.3330 0.026584 3.3905e-04
613 1 1 1 1 0 101.0000 0.495160 6.2707e-02
614 1 1 1 1 0 29.2500 0.038704 5.2942e-04
615 1 1 1 1 0 101.0000 0.182060 6.6692e-03
616 1 1 1 1 0 73.5000 0.093929 2.2602e-03
617 1 1 1 1 0 2.2500 0.012380 1.2038e-04
618 1 1 1 1 0 4.7500 0.013336 1.3968e-04
619 1 1 1 1 0 16.4170 0.038225 8.2152e-04
620 1 1 1 1 0 5.1667 0.015055 1.6659e-04
621 1 1 1 1 0 34.1670 0.055251 2.2524e-03
622 1 1 1 1 0 101.0000 0.502960 6.3066e-02
623 1 1 1 1 0 22.2500 0.039285 5.3855e-04
624 1 1 1 1 0 75.4170 0.096724 1.6152e-03
625 1 1 1 1 0 58.2500 0.035716 4.8249e-04
626 1 1 1 1 0 7.0833 0.028207 4.2728e-04
627 1 1 1 1 0 56.8330 0.031415 4.1493e-04
628 1 1 1 1 0 9.0833 0.022116 2.9336e-04
629 1 1 1 1 0 12.6670 0.016598 1.8218e-04
630 1 1 1 1 0 17.7500 0.014260 1.4546e-04
631 1 1 1 1 0 33.4170 0.048795 6.8792e-04
632 1 1 1 1 0 101.0000 0.076907 1.1295e-03
633 1 1 1 1 0 101.0000 0.414720 4.1721e-02
634 1 1 1 1 0 57.8330 0.070405 1.0274e-03
635 1 1 1 1 0 27.3330 0.025836 3.2729e-04
636 1 1 1 1 0 8.2500 0.017344 1.9389e-04
637 1 1 1 1 0 43.9170 0.034592 4.6484e-04
638 1 1 1 1 0 53.5830 0.074558 1.2824e-03
639 1 1 1 1 0 21.9170 0.019279 2.2429e-04
640 1 1 1 1 0 44.8330 0.041336 5.7077e-04
641 1 1 1 1 0 101.0000 0.489960 5.8105e-02
642 1 1 1 1 0 23.7500 0.036352 4.9248e-04
643 1 1 1 1 0 101.0000 0.324600 1.4277e-02
644 1 1 1 1 0 6.5833 0.024523 3.0667e-04
645 1 1 1 1 0 6.7500 0.017274 2.2017e-04
646 1 1 1 1 0 77.3330 0.066441 1.0800e-03
647 1 1 1 1 0 24.9170 0.018742 2.1587e-04
648 1 1 1 1 0 49.5830 0.120250 4.3149e-03
649 1 1 1 1 0 17.5830 0.015573 1.6609e-04
650 1 1 1 1 0 34.0000 0.032970 4.3936e-04
651 1 1 1 1 0 15.3330 0.044964 1.5822e-03
652 1 1 1 1 0 22.5830 0.058138 1.3421e-03
653 1 1 1 1 0 101.0000 0.401310 3.6856e-02
654 1 1 1 1 0 64.0000 0.060984 8.7939e-04
655 1 1 1 1 0 101.0000 0.545130 6.2560e-02
656 1 1 1 1 0 101.0000 0.339280 2.8261e-02
657 1 1 1 1 0 16.4170 0.045263 6.3245e-04
658 1 1 1 1 0 27.2500 0.012355 1.1554e-04
659 1 1 1 1 0 16.8330 0.021417 2.5788e-04
660 1 1 1 1 0 17.6670 0.034307 4.8686e-04
661 1 1 1 1 0 23.3330 0.043994 7.0590e-04
662 1 1 1 1 0 52.4160 0.088709 2.1262e-03
663 1 1 1 1 0 48.9170 0.093279 1.3867e-03
664 1 1 1 1 0 100.7500 0.079793 1.1748e-03
665 1 1 1 1 0 59.8330 0.031261 4.1450e-04
666 1 1 1 1 0 101.0000 0.392440 3.7636e-02
667 1 1 1 1 0 8.7500 0.013164 1.2824e-04
668 1 1 1 1 0 101.0000 0.341600 1.7106e-02
669 1 1 1 1 0 87.4170 0.088286 1.3082e-03
670 1 1 1 1 0 101.0000 0.154810 2.3533e-03
671 1 1 1 1 0 101.0000 0.222150 1.0723e-02
672 1 1 1 1 0 19.4170 0.021881 2.6517e-04
673 1 1 1 1 0 101.0000 0.308640 1.9628e-02
674 1 1 1 1 0 14.2500 0.041675 1.3641e-03
675 1 1 1 1 0 80.7500 0.085183 1.2595e-03
676 1 1 1 1 0 31.0830 0.058036 8.3308e-04
677 1 1 1 1 0 1.5833 0.011059 9.6054e-05
678 1 1 1 1 0 101.0000 0.312030 1.0052e-02
679 1 1 1 1 0 32.5000 0.034464 4.6282e-04
680 1 1 1 1 0 101.0000 0.267840 8.4683e-03
681 1 1 1 1 0 3.4167 0.024665 4.7779e-04
682 1 1 1 1 0 5.1667 0.031712 6.0511e-04
683 1 1 1 1 0 51.4160 0.062746 9.0707e-04
684 1 1 1 1 0 20.0000 0.014700 1.5236e-04
685 1 1 1 1 0 35.0830 0.036261 4.9105e-04
686 1 1 1 1 0 7.8333 0.019017 2.2018e-04
687 1 1 1 1 0 101.0000 0.336440 1.7986e-02
688 1 1 1 1 0 1.4167 0.015789 1.9579e-04
689 1 1 1 1 0 9.3333 0.015240 1.6086e-04
690 1 1 1 1 0 9.9167 0.042900 1.3117e-03
691 1 1 1 1 0 8.9167 0.051744 1.9558e-03
692 1 1 1 1 0 36.6670 0.045661 1.4615e-03
693 1 1 1 1 0 32.4170 0.035729 4.8270e-04
694 1 1 1 1 0 8.9167 0.018319 2.0921e-04
695 1 1 1 1 0 101.0000 0.097212 1.4485e-03
696 1 1 1 1 0 17.8330 0.015722 1.6843e-04
697 1 1 1 1 0 16.6670 0.013488 1.3333e-04
698 1 1 1 1 0 13.4170 0.025282 3.7571e-04
699 1 1 1 1 0 101.0000 0.416300 3.5398e-02
700 1 1 1 1 0 44.3330 0.036202 4.9012e-04
701 1 1 1 1 0 48.4170 0.128610 2.9604e-03
702 1 1 1 1 0 9.5833 0.014335 1.4664e-04
703 1 1 1 1 0 49.2500 0.028819 3.7416e-04
704 1 1 1 1 0 8.1667 0.031254 4.1240e-04
705 1 1 1 1 0 6.8333 0.018494 2.1197e-04
706 1 1 1 1 0 42.9170 0.057842 8.3004e-04
707 1 1 1 1 0 66.4160 0.054408 7.7610e-04
708 1 1 1 1 0 101.0000 0.477690 5.3737e-02
709 1 1 1 1 0 16.4170 0.045765 6.9197e-04
710 1 1 1 1 0 35.9170 0.056332 8.0632e-04
711 1 1 1 1 0 52.5830 0.038057 5.1925e-04
712 1 1 1 1 0 35.8330 0.040568 5.5871e-04
713 1 1 1 1 0 28.5000 0.017689 1.9932e-04
714 1 1 1 1 0 32.3330 0.030287 3.9721e-04
715 1 1 1 1 0 101.0000 0.273680 9.1223e-03
716 1 1 1 1 0 8.8333 0.014432 1.4815e-04
717 1 1 1 1 0 101.0000 0.167420 3.8058e-03
718 1 1 1 1 0 2.1667 0.016781 2.2117e-04
719 1 1 1 1 0 26.0830 0.038001 5.1839e-04
720 1 1 1 1 0 32.8330 0.024034 2.9899e-04
721 1 1 1 1 0 21.6670 0.018087 2.0557e-04
722 1 1 1 1 0 6.3333 0.014572 1.5036e-04
723 1 1 1 1 0 38.8330 0.023739 2.9434e-04
724 1 1 1 1 0 24.5000 0.024397 3.0469e-04
725 1 1 1 1 0 38.5000 0.065133 1.1338e-03
726 1 1 1 1 0 4.2500 0.019097 2.2144e-04
727 1 1 1 1 0 12.4170 0.045042 1.5930e-03
728 1 1 1 1 0 13.9170 0.012659 1.2031e-04
729 1 1 1 1 0 9.0000 0.024580 3.0756e-04
730 1 1 1 1 0 33.6670 0.034176 4.5829e-04
731 1 1 1 1 0 21.5830 0.023023 2.8311e-04
732 1 1 1 1 0 3.6667 0.016224 1.7631e-04
733 1 1 1 1 0 47.9170 0.059411 8.5469e-04
734 1 1 1 1 0 25.4170 0.057080 1.2573e-03
735 1 1 1 1 0 40.5000 0.050490 8.6485e-04
736 1 1 1 1 0 30.4170 0.079841 1.5183e-03
737 1 1 1 1 0 20.5000 0.028604 3.7078e-04
738 1 1 1 1 0 38.9170 0.079084 1.8004e-03
739 1 1 1 1 0 101.0000 0.459150 3.7009e-02
740 1 1 1 1 0 17.5830 0.051930 1.6588e-03
741 1 1 1 1 0 39.0830 0.025040 3.1479e-04
742 1 1 1 1 0 9.0833 0.038445 9.6059e-04
743 1 1 1 1 0 101.0000 0.108420 4.5154e-03
744 1 1 1 1 0 8.3333 0.013405 1.3203e-04
745 1 1 1 1 0 101.0000 0.375070 3.2972e-02
746 1 1 1 1 0 56.4160 0.033054 4.4068e-04
747 1 1 1 1 0 101.0000 0.153090 3.1821e-03
748 1 1 1 1 0 101.0000 0.248310 3.8219e-03
749 1 1 1 1 0 67.6660 0.053320 7.5900e-04
750 1 1 1 1 0 64.5830 0.055421 7.9201e-04
751 1 1 1 1 0 9.3333 0.043737 1.2670e-03
752 1 1 1 1 0 10.4170 0.046593 1.6707e-03
753 1 1 1 1 0 9.2500 0.043262 1.4197e-03
754 1 1 1 1 0 10.3330 0.048542 1.8486e-03
755 1 1 1 1 0 101.0000 0.203390 3.1163e-03
756 1 1 1 1 0 16.0000 0.020686 2.4639e-04
757 1 1 1 1 0 10.5830 0.013028 1.2610e-04
758 1 1 1 1 0 73.5830 0.049200 6.9430e-04
759 1 1 1 1 0 56.4160 0.074759 2.2524e-03
760 1 1 1 1 0 23.6670 0.023018 2.8302e-04
761 1 1 1 1 0 53.5000 0.029479 3.8452e-04
762 1 1 1 1 0 43.8330 0.026600 3.3929e-04
763 1 1 1 1 0 10.9170 0.013203 1.2885e-04
764 1 1 1 1 0 60.3330 0.043376 6.0280e-04
765 1 1 1 1 0 3.6667 0.013486 1.3329e-04
766 1 1 1 1 0 17.6670 0.032639 4.3415e-04
767 1 1 1 1 0 90.3340 0.113930 4.6726e-03
768 1 1 1 1 0 101.0000 0.289790 1.1978e-02
769 1 1 1 1 0 11.6670 0.016022 1.7314e-04
770 1 1 1 1 0 6.3333 0.015611 1.6668e-04
771 1 1 1 1 0 6.4167 0.014737 1.5294e-04
772 1 1 1 1 0 85.3340 0.095755 1.4256e-03
773 1 1 1 1 0 5.1667 0.012693 1.2084e-04
774 1 1 1 1 0 6.6667 0.039850 8.7009e-04
775 1 1 1 1 0 65.7500 0.049985 7.0662e-04
776 1 1 1 1 0 19.4170 0.032086 4.2547e-04
777 1 1 1 1 0 9.0000 0.067032 3.5290e-03
778 1 1 1 1 0 9.0000 0.014517 1.4950e-04
779 1 1 1 1 0 101.0000 0.247810 1.1948e-02
780 1 1 1 1 0 70.5830 0.070210 1.0243e-03
781 1 1 1 1 0 7.8333 0.010947 9.3410e-05
782 1 1 1 1 0 101.0000 0.472920 5.8232e-02
783 1 1 1 1 0 48.9170 0.027210 3.4887e-04
784 1 1 1 1 0 101.0000 0.442890 3.8503e-02
785 1 1 1 1 0 31.3330 0.024573 3.0745e-04
786 1 1 1 1 0 101.0000 0.467770 2.8721e-02
787 1 1 1 1 0 34.9170 0.070983 1.0365e-03
788 1 1 1 1 0 101.0000 0.100440 1.4991e-03
789 1 1 1 1 0 3.5833 0.015974 2.0042e-04
790 1 1 1 1 0 49.2500 0.077648 1.5451e-03
791 1 1 1 1 0 37.4170 0.068476 1.2651e-03
792 1 1 1 1 0 33.4170 0.024484 3.0606e-04
793 1 1 1 1 0 3.9167 0.011241 9.8030e-05
794 1 1 1 1 0 19.4170 0.015141 1.5929e-04
795 1 1 1 1 0 23.7500 0.016151 1.7516e-04
796 1 1 1 1 0 101.0000 0.303070 2.4457e-02
797 1 1 1 1 0 101.0000 0.110450 1.6565e-03
798 1 1 1 1 0 3.4167 0.022285 3.9005e-04
799 1 1 1 1 0 37.3330 0.040539 5.5825e-04
800 1 1 1 1 0 47.2500 0.046602 6.8729e-04
801 1 1 1 1 0 9.0000 0.021463 2.5860e-04
802 1 1 1 1 0 6.5833 0.010984 9.3996e-05
803 1 1 1 1 0 9.7500 0.020003 2.3567e-04
804 1 1 1 1 0 7.0000 0.011479 1.0254e-04
805 1 1 1 1 0 71.0830 0.077177 1.1524e-03
806 1 1 1 1 0 26.5000 0.031923 4.2291e-04
807 1 1 1 1 0 3.5000 0.010357 8.4250e-05
808 1 1 1 1 0 3.6667 0.012720 1.2127e-04
809 1 1 1 1 0 101.0000 0.443950 4.6539e-02
810 1 1 1 1 0 10.6670 0.048770 1.1488e-03
811 1 1 1 1 0 86.8340 0.079776 1.1746e-03
812 1 1 1 1 0 26.5830 0.016285 1.7726e-04
813 1 1 1 1 0 6.1667 0.012600 1.1939e-04
814 1 1 1 1 0 3.7500 0.011360 1.0135e-04
815 1 1 1 1 0 101.0000 0.366990 1.9945e-02
816 1 1 1 1 0 11.5000 0.014638 1.5140e-04
817 1 1 1 1 0 35.2500 0.019986 2.3540e-04
818 1 1 1 1 0 26.9170 0.053467 7.6132e-04
819 1 1 1 1 0 26.5000 0.033679 4.5049e-04
820 1 1 1 1 0 8.1667 0.031703 6.3260e-04
821 1 1 1 1 0 29.9170 0.036440 4.9386e-04
822 1 1 1 1 0 27.9170 0.037680 5.1333e-04
823 1 1 1 1 0 101.0000 0.191600 5.8688e-03
824 1 1 1 1 0 2.2500 0.011044 9.5788e-05
825 1 1 1 1 0 9.0000 0.018509 2.4214e-04
826 1 1 1 1 0 8.4167 0.016479 2.0987e-04
827 1 1 1 1 0 6.7500 0.018186 2.3930e-04
828 1 1 1 1 0 25.1670 0.027911 3.5989e-04
829 1 1 1 1 0 1.8333 0.016075 2.0296e-04
830 1 1 1 1 0 3.0000 0.013990 1.5372e-04
831 1 1 1 1 0 17.3330 0.013966 1.4084e-04
832 1 1 1 1 0 25.1670 0.020522 2.4382e-04
833 1 1 1 1 0 14.3330 0.047572 8.9726e-04
834 1 1 1 1 0 101.0000 0.452120 4.4179e-02
835 1 1 1 1 0 19.6670 0.026066 3.3090e-04
836 1 1 1 1 0 83.2500 0.086038 1.2729e-03
837 1 1 1 1 0 73.4170 0.063190 9.1404e-04
838 1 1 1 1 0 4.4167 0.012535 1.2283e-04
839 1 1 1 1 0 101.0000 0.238680 1.1409e-02
840 1 1 1 1 0 29.3330 0.044709 6.3679e-04
841 1 1 1 1 0 20.0830 0.020383 2.4164e-04
842 1 1 1 1 0 101.0000 0.491580 6.1507e-02
843 1 1 1 1 0 101.0000 0.065462 9.4974e-04
844 1 1 1 1 0 101.0000 0.330100 8.0435e-03
845 1 1 1 1 0 21.5830 0.029289 3.8153e-04
846 1 1 1 1 0 30.4170 0.022209 2.7032e-04
847 1 1 1 1 0 5.7500 0.018362 2.0989e-04
848 1 1 1 1 0 9.2500 0.017022 1.8885e-04
849 1 1 1 1 0 8.0000 0.018068 2.3443e-04
850 1 1 1 1 0 11.1670 0.060884 2.5413e-03
851 1 1 1 1 0 17.5000 0.018869 2.1786e-04
852 1 1 1 1 0 13.2500 0.014585 1.5056e-04
853 1 1 1 1 0 3.8333 0.028075 4.3078e-04
854 1 1 1 1 0 12.8330 0.042464 5.8848e-04
855 1 1 1 1 0 15.9170 0.012867 1.2357e-04
856 1 1 1 1 0 20.5830 0.020002 2.3565e-04
857 1 1 1 1 0 13.6670 0.018257 2.0824e-04
858 1 1 1 1 0 35.8330 0.021936 2.6603e-04
859 1 1 1 1 0 13.0830 0.017187 1.9144e-04
860 1 1 1 1 0 38.5000 0.049589 7.0040e-04
861 1 1 1 1 0 4.0000 0.032207 6.8366e-04
862 1 1 1 1 0 101.0000 0.425430 4.1393e-02
863 1 1 1 1 0 38.8330 0.024665 3.0890e-04
864 1 1 1 1 0 101.0000 0.389250 2.6182e-02
865 1 1 1 1 0 9.0000 0.010478 8.6047e-05
866 1 1 1 1 0 9.0000 0.015295 1.6171e-04
867 1 1 1 1 0 2.2500 0.010578 8.7621e-05
868 1 1 1 1 0 37.1670 0.049099 1.5217e-03
869 1 1 1 1 0 2.0833 0.011456 1.0308e-04
870 1 1 1 1 0 5.0000 0.028633 3.7123e-04
871 1 1 1 1 0 101.0000 0.323480 2.2392e-02
872 1 1 1 1 0 27.1670 0.033491 4.4753e-04
873 1 1 1 1 0 30.5830 0.040959 5.6484e-04
874 1 1 1 1 0 101.0000 0.249870 1.2256e-02
875 1 1 1 1 0 20.4170 0.010537 8.6978e-05
876 1 1 1 1 0 13.7500 0.042388 7.8022e-04
877 1 1 1 1 0 64.5000 0.051811 7.3531e-04
878 1 1 1 1 0 101.0000 0.293260 1.4460e-02
879 1 1 1 1 0 65.1660 0.052054 7.3912e-04
880 1 1 1 1 0 101.0000 0.096926 1.4440e-03
881 1 1 1 1 0 49.0830 0.065898 9.8469e-04
882 1 1 1 1 0 28.1670 0.042700 5.9219e-04
883 1 1 1 1 0 50.6660 0.043550 7.4098e-04
884 1 1 1 1 0 17.5000 0.058248 1.5266e-03
885 1 1 1 1 0 29.2500 0.016142 1.7502e-04
886 1 1 1 1 0 18.9170 0.034520 5.5882e-04
887 1 1 1 1 0 5.7500 0.011336 9.9532e-05
888 1 1 1 1 0 101.0000 0.377170 2.9672e-02
889 1 1 1 1 0 13.6670 0.047637 1.0346e-03
890 1 1 1 1 0 52.3330 0.075702 1.9700e-03
891 1 1 1 1 0 45.5830 0.066821 1.4470e-03
892 1 1 1 1 0 51.8330 0.058036 8.3309e-04
893 1 1 1 1 0 18.5000 0.013252 1.2963e-04
894 1 1 1 1 0 101.0000 0.337890 2.0019e-02
895 1 1 1 1 0 15.2500 0.019649 2.3011e-04
896 1 1 1 1 0 101.0000 0.163020 2.4822e-03
897 1 1 1 1 0 3.3333 0.018314 2.5929e-04
898 1 1 1 1 0 28.4170 0.057899 8.3094e-04
899 1 1 1 1 0 42.4170 0.049895 7.0520e-04
900 1 1 1 1 0 9.8333 0.017967 2.0368e-04
901 1 1 1 1 0 62.1660 0.122560 5.6624e-03
902 1 1 1 1 0 35.5000 0.022740 2.7867e-04
903 1 1 1 1 0 40.7500 0.023861 2.9627e-04
904 1 1 1 1 0 101.0000 0.172720 3.5050e-03
905 1 1 1 1 0 18.5000 0.025744 3.2585e-04
906 1 1 1 1 0 19.7500 0.040068 9.5014e-04
907 1 1 1 1 0 9.7500 0.012342 1.1533e-04
908 1 1 1 1 0 101.0000 0.230450 8.9907e-03
909 1 1 1 1 0 15.9170 0.020233 2.3929e-04
910 1 1 1 1 0 10.4170 0.015552 1.6576e-04
911 1 1 1 1 0 41.7500 0.082982 1.4148e-03
912 1 1 1 1 0 41.0000 0.106220 2.4231e-03
913 1 1 1 1 0 11.9170 0.013553 1.3435e-04
914 1 1 1 1 0 41.0830 0.065072 9.5489e-04
915 1 1 1 1 0 27.5830 0.041371 5.7132e-04
916 1 1 1 1 0 101.0000 0.148840 2.2595e-03
917 1 1 1 1 0 28.4170 0.016881 1.8663e-04
918 1 1 1 1 0 33.4170 0.022608 2.7659e-04
919 1 1 1 1 0 61.6660 0.030479 4.0022e-04
920 1 1 1 1 0 36.5000 0.054553 8.3581e-04
921 1 1 1 1 0 40.6670 0.056173 9.4804e-04
922 1 1 1 1 0 25.7500 0.050110 7.0859e-04
923 1 1 1 1 0 27.8330 0.017057 1.8939e-04
924 1 1 1 1 0 14.6670 0.013081 1.2693e-04
925 1 1 1 1 0 101.0000 0.415560 3.6990e-02
926 1 1 1 1 0 89.4170 0.067242 9.7770e-04
927 1 1 1 1 0 40.4170 0.033249 4.4373e-04
928 1 1 1 1 0 12.4170 0.014976 1.5670e-04
929 1 1 1 1 0 41.2500 0.046635 6.5401e-04
930 1 1 1 1 0 13.8330 0.017656 1.9880e-04
931 1 1 1 1 0 101.0000 0.475380 3.8909e-02
932 1 1 1 1 0 58.3330 0.073647 2.2608e-03
933 1 1 1 1 0 28.6670 0.019636 2.2990e-04
934 1 1 1 1 0 84.0840 0.103170 2.7249e-03
935 1 1 1 1 0 33.0000 0.034111 4.5728e-04
936 1 1 1 1 0 3.3333 0.015283 1.7010e-04
937 1 1 1 1 0 7.2500 0.015225 1.7894e-04
938 1 1 1 1 0 2.2500 0.021023 3.4711e-04
939 1 1 1 1 0 3.5000 0.021400 3.5967e-04
940 1 1 1 1 0 101.0000 0.416400 3.7779e-02
941 1 1 1 1 0 51.3330 0.048028 6.7589e-04
942 1 1 1 1 0 101.0000 0.477290 5.4208e-02
943 1 1 1 1 0 17.4170 0.019619 2.2964e-04
944 1 1 1 1 0 28.7500 0.018702 2.1523e-04
945 1 1 1 1 0 101.0000 0.199880 3.0611e-03
946 1 1 1 1 0 101.0000 0.402690 3.8853e-02
947 1 1 1 1 0 78.7500 0.065281 9.4689e-04
948 1 1 1 1 0 101.0000 0.192860 9.7377e-03
949 1 1 1 1 0 23.4170 0.057703 1.7965e-03
950 1 1 1 1 0 101.0000 0.387730 2.4801e-02
951 1 1 1 1 0 31.5000 0.019985 2.3538e-04
952 1 1 1 1 0 70.0830 0.182860 9.6760e-03
953 1 1 1 1 0 41.6670 0.076284 1.2102e-03
954 1 1 1 1 0 30.6670 0.062481 1.0682e-03
955 1 1 1 1 0 40.0000 0.033439 4.4671e-04
956 1 1 1 1 0 4.9167 0.019868 3.1001e-04
957 1 1 1 1 0 101.0000 0.273830 1.1210e-02
958 1 1 1 1 0 24.0000 0.010881 9.2381e-05
959 1 1 1 1 0 3.0000 0.013344 1.3107e-04
960 1 1 1 1 0 3.4167 0.012677 1.2622e-04
961 1 1 1 1 0 3.0000 0.012326 1.1507e-04
962 1 1 1 1 0 3.0000 0.011204 9.7457e-05
963 1 1 1 1 0 3.0000 0.011783 1.0905e-04
964 1 1 1 1 0 29.0830 0.073488 3.2072e-03
965 1 1 1 1 0 29.0830 0.108510 5.6567e-03
966 1 1 1 1 0 4.3333 0.035501 9.8984e-04
967 1 1 1 1 0 20.5000 0.020437 2.4249e-04
968 1 1 1 1 0 101.0000 0.417620 2.7541e-02
969 1 1 1 1 0 101.0000 0.062977 9.1070e-04
970 1 1 1 1 0 12.5830 0.019000 2.1991e-04
971 1 1 1 1 0 81.7500 0.154430 1.3415e-02
972 1 1 1 1 0 17.2500 0.049399 6.9741e-04
973 1 1 1 1 0 33.2500 0.055141 1.4453e-03
974 1 1 1 1 0 5.3333 0.028124 5.0757e-04
975 1 1 1 1 0 22.3330 0.051838 8.0576e-04
976 1 1 1 1 0 22.8330 0.022949 2.8195e-04
977 1 1 1 1 0 21.6670 0.025290 3.1872e-04
978 1 1 1 1 0 63.6660 0.040896 5.6385e-04
979 1 1 1 1 0 20.7500 0.042200 1.0554e-03
980 1 1 1 1 0 41.2500 0.058977 8.4786e-04
981 1 1 1 1 0 101.0000 0.235890 1.0708e-02
982 1 1 1 1 0 39.3330 0.031253 4.1238e-04
983 1 1 1 1 0 47.5830 0.055883 9.6661e-04
984 1 1 1 1 0 47.9170 0.039404 5.5308e-04
985 1 1 1 1 0 101.0000 0.177450 4.1370e-03
986 1 1 1 1 0 9.3333 0.033249 8.1374e-04
987 1 1 1 1 0 5.4167 0.015089 1.6472e-04
988 1 1 1 1 0 3.3333 0.018982 2.8299e-04
989 1 1 1 1 0 3.0000 0.013237 1.2938e-04
990 1 1 1 1 0 61.7500 0.089097 2.7944e-03
991 1 1 1 1 0 3.5000 0.014538 1.5596e-04
992 1 1 1 1 0 15.2500 0.035347 5.8742e-04
993 1 1 1 1 0 52.3330 0.046191 6.4702e-04
994 1 1 1 1 0 101.0000 0.368400 2.2631e-02
995 1 1 1 1 0 15.9170 0.018274 2.0851e-04
996 1 1 1 1 0 46.3330 0.029073 3.7813e-04
997 1 1 1 1 0 14.3330 0.016852 1.8616e-04
998 1 1 1 1 0 7.1667 0.021861 2.8537e-04
999 1 1 1 1 0 30.1670 0.087801 3.6478e-03
1000 1 1 1 1 0 19.5830 0.032314 4.2905e-04
1001 1 1 1 1 0 16.0830 0.023215 2.8611e-04
1002 1 1 1 1 0 15.3330 0.042254 1.1064e-03
1003 1 1 1 1 0 47.4170 0.068075 1.3529e-03
1004 1 1 1 1 0 7.3333 0.015916 1.9895e-04
1005 1 1 1 1 0 5.5833 0.015557 1.7839e-04
1006 1 1 1 1 0 7.0833 0.013211 1.2897e-04
1007 1 1 1 1 0 10.2500 0.016075 1.7396e-04
1008 1 1 1 1 0 14.4170 0.017808 2.0119e-04
1009 1 1 1 1 0 43.7500 0.028563 3.7013e-04
1010 1 1 1 1 0 101.0000 0.355220 1.7599e-02
1011 1 1 1 1 0 87.6670 0.047744 6.7142e-04
1012 1 1 1 1 0 12.0000 0.023456 2.8991e-04
1013 1 1 1 1 0 2.7500 0.012853 1.2359e-04
1014 1 1 1 1 0 43.3330 0.087866 2.5386e-03
1015 1 1 1 1 0 3.0000 0.016750 1.8456e-04
1016 1 1 1 1 0 3.0000 0.010439 8.5581e-05
1017 1 1 1 1 0 18.9170 0.019642 2.3000e-04
1018 1 1 1 1 0 22.5830 0.056850 1.3800e-03
1019 1 1 1 1 0 5.6667 0.033238 4.9410e-04
1020 1 1 1 1 0 12.2500 0.011876 1.0801e-04
1021 1 1 1 1 0 45.6670 0.024437 3.0532e-04
1022 1 1 1 1 0 28.4170 0.032658 4.3446e-04
1023 1 1 1 1 0 30.0000 0.051448 9.2566e-04
1024 1 1 1 1 0 30.3330 0.065623 1.1867e-03
1025 1 1 1 1 0 50.1660 0.065212 1.4486e-03
1026 1 1 1 1 0 34.4170 0.033384 4.4585e-04
1027 1 1 1 1 0 11.5830 0.019633 2.2985e-04
1028 1 1 1 1 0 101.0000 0.267970 7.6019e-03
1029 1 1 1 1 0 4.5000 0.014400 1.4765e-04
1030 1 1 1 1 0 22.8330 0.025804 3.2678e-04
1031 1 1 1 1 0 22.2500 0.056578 8.1018e-04
1032 1 1 1 1 0 22.8330 0.034190 5.8731e-04
1033 1 1 1 1 0 5.4167 0.015945 1.7192e-04
1034 1 1 1 1 0 32.1670 0.040332 5.5500e-04
1035 1 1 1 1 0 8.1667 0.013018 1.2594e-04
1036 1 1 1 1 0 22.2500 0.023051 2.8355e-04
1037 1 1 1 1 0 5.5833 0.036903 8.1004e-04
1038 1 1 1 1 0 6.1667 0.018180 2.0703e-04
1039 1 1 1 1 0 4.3333 0.013738 1.3725e-04
1040 1 1 1 1 0 3.2500 0.015210 1.6038e-04
1041 1 1 1 1 0 3.5000 0.019843 3.0925e-04
1042 1 1 1 1 0 12.0000 0.017252 1.9245e-04
1043 1 1 1 1 0 69.3330 0.121130 4.0865e-03
1044 1 1 1 1 0 29.2500 0.067655 1.0479e-03
1045 1 1 1 1 0 36.0830 0.055556 7.9413e-04
1046 1 1 1 1 0 14.5830 0.011943 1.0906e-04
1047 1 1 1 1 0 15.0000 0.017763 2.0048e-04
1048 1 1 1 1 0 51.3330 0.059509 1.0145e-03
1049 1 1 1 1 0 17.4170 0.016659 1.8314e-04
1050 1 1 1 1 0 7.4167 0.014869 1.5502e-04
1051 1 1 1 1 0 11.1670 0.035107 7.2020e-04
1052 1 1 1 1 0 1.5833 0.011947 1.1211e-04
1053 1 1 1 1 0 20.5000 0.023697 2.9368e-04
1054 1 1 1 1 0 67.8330 0.077762 1.1429e-03
1055 1 1 1 1 0 101.0000 0.169300 6.6947e-03
1056 1 1 1 1 0 76.0000 0.145600 1.0495e-02
1057 1 1 1 1 0 22.7500 0.071015 2.2223e-03
1058 1 1 1 1 0 22.8330 0.036298 4.9163e-04
1059 1 1 1 1 0 101.0000 0.205680 1.0738e-02
1060 1 1 1 1 0 23.8330 0.039998 5.4975e-04
1061 1 1 1 1 0 101.0000 0.138380 3.7574e-03
1062 1 1 1 1 0 67.7500 0.069516 1.0134e-03
1063 1 1 1 1 0 44.7500 0.064617 9.3646e-04
1064 1 1 1 1 0 9.2500 0.032418 4.3067e-04
1065 1 1 1 1 0 58.4160 0.055096 7.8690e-04
1066 1 1 1 1 0 101.0000 0.359180 3.3266e-02
1067 1 1 1 1 0 15.5830 0.019534 2.2831e-04
1068 1 1 1 1 0 43.2500 0.051235 7.2626e-04
1069 1 1 1 1 0 60.7500 0.152230 4.4393e-03
1070 1 1 1 1 0 32.3330 0.063041 1.1475e-03
1071 1 1 1 1 0 3.0000 0.010054 7.9383e-05
1072 1 1 1 1 0 3.0000 0.015289 1.8360e-04
1073 1 1 1 1 0 84.5000 0.102920 2.5017e-03
1074 1 1 1 1 0 32.5000 0.041433 5.7229e-04
1075 1 1 1 1 0 69.5000 0.146680 9.4916e-03
1076 1 1 1 1 0 12.9170 0.037755 5.1452e-04
1077 1 1 1 1 0 6.5833 0.014602 1.5083e-04
1078 1 1 1 1 0 31.3330 0.028294 3.6590e-04
1079 1 1 1 1 0 89.1670 0.086685 1.2831e-03
1080 1 1 1 1 0 43.2500 0.085715 1.6921e-03
1081 1 1 1 1 0 22.8330 0.026169 3.3253e-04
1082 1 1 1 1 0 70.5830 0.109520 2.7235e-03
1083 1 1 1 1 0 65.5000 0.098303 1.4656e-03
1084 1 1 1 1 0 23.3330 0.018443 2.1116e-04
1085 1 1 1 1 0 101.0000 0.490900 6.2093e-02
1086 1 1 1 1 0 62.5830 0.071567 1.0456e-03
1087 1 1 1 1 0 101.0000 0.479490 6.0185e-02
1088 1 1 1 1 0 16.0000 0.033205 4.4305e-04
1089 1 1 1 1 0 101.0000 0.133620 2.4370e-03
1090 1 1 1 1 0 91.5000 0.076313 1.1202e-03
1091 1 1 1 1 0 2.9167 0.014295 1.4601e-04
1092 1 1 1 1 0 19.5830 0.011354 9.9807e-05
1093 1 1 1 1 0 62.2500 0.161480 4.8854e-03
1094 1 1 1 1 0 40.5830 0.085727 1.8305e-03
1095 1 1 1 1 0 31.8330 0.085161 2.4012e-03
1096 1 1 1 1 0 32.0000 0.048319 6.8045e-04
1097 1 1 1 1 0 101.0000 0.207710 5.0223e-03
1098 1 1 1 1 0 33.3330 0.033611 4.4942e-04
1099 1 1 1 1 0 14.4170 0.050267 8.9032e-04
1100 1 1 1 1 0 11.3330 0.015950 1.7200e-04
1101 1 1 1 1 0 9.7500 0.020224 2.3914e-04
1102 1 1 1 1 0 73.9170 0.057030 8.1729e-04
1103 1 1 1 1 0 33.1670 0.066711 1.1411e-03
1104 1 1 1 1 0 101.0000 0.348810 3.7930e-02
1105 1 1 1 1 0 63.0830 0.090193 2.6997e-03
1106 1 1 1 1 0 15.4170 0.018620 2.1395e-04
1107 1 1 1 1 0 101.0000 0.256280 2.1876e-02
1108 1 1 1 1 0 13.8330 0.058138 1.4533e-03
1109 1 1 1 1 0 50.9160 0.049892 7.0516e-04
1110 1 1 1 1 0 101.0000 0.210430 3.2269e-03
1111 1 1 1 1 0 13.0000 0.021395 2.5753e-04
1112 1 1 1 1 0 101.0000 0.216630 8.2587e-03
1113 1 1 1 1 0 35.4170 0.053685 7.6474e-04
1114 1 1 1 1 0 101.0000 0.185630 2.8405e-03
1115 1 1 1 1 0 13.0000 0.027967 3.6077e-04
1116 1 1 1 1 0 23.5830 0.063167 9.7044e-04
1117 1 1 1 1 0 101.0000 0.369870 3.4713e-02
1118 1 1 1 1 0 29.5830 0.059404 1.0401e-03
1119 1 1 1 1 0 57.5830 0.152510 4.5201e-03
1120 1 1 1 1 0 48.2500 0.037852 5.1604e-04
1121 1 1 1 1 0 8.1667 0.030893 4.0673e-04
1122 1 1 1 1 0 5.8333 0.022086 2.6838e-04
1123 1 1 1 1 0 50.8330 0.136290 3.9756e-03
1124 1 1 1 1 0 15.5830 0.010743 9.0210e-05
1125 1 1 1 1 0 12.4170 0.019403 2.2624e-04
1126 1 1 1 1 0 23.4170 0.062372 1.2259e-03
1127 1 1 1 1 0 13.3330 0.014937 1.5610e-04
1128 1 1 1 1 0 15.5000 0.016460 1.8001e-04
1129 1 1 1 1 0 17.8330 0.033075 4.4100e-04
1130 1 1 1 1 0 12.0830 0.046738 1.5650e-03
1131 1 1 1 1 0 2.7500 0.037673 1.1147e-03
1132 1 1 1 1 0 36.9170 0.061149 8.8199e-04
1133 1 1 1 1 0 22.8330 0.029587 3.8622e-04
1134 1 1 1 1 0 27.3330 0.068536 9.9802e-04
1135 1 1 1 1 0 36.3330 0.066424 1.9803e-03
1136 1 1 1 1 0 43.3330 0.063740 9.2268e-04
1137 1 1 1 1 0 32.5830 0.041608 5.7504e-04
1138 1 1 1 1 0 31.9170 0.079049 1.5846e-03
1139 1 1 1 1 0 101.0000 0.477880 4.9605e-02
1140 1 1 1 1 0 43.6670 0.048046 6.7616e-04
1141 1 1 1 1 0 26.3330 0.018727 2.1562e-04
1142 1 1 1 1 0 37.5830 0.053529 7.6229e-04
1143 1 1 1 1 0 101.0000 0.551080 5.5515e-02
1144 1 1 1 1 0 59.6660 0.104210 2.7356e-03
1145 1 1 1 1 0 101.0000 0.313810 2.4823e-02
1146 1 1 1 1 0 23.5000 0.041128 8.8700e-04
1147 1 1 1 1 0 76.3330 0.061099 8.8120e-04
1148 1 1 1 1 0 44.7500 0.033813 4.5260e-04
1149 1 1 1 1 0 38.4170 0.050515 1.2346e-03
1150 1 1 1 1 0 31.8330 0.045246 6.3218e-04
1151 1 1 1 1 0 37.0830 0.069764 1.5062e-03
1152 1 1 1 1 0 13.7500 0.033707 5.4926e-04
1153 1 1 1 1 0 22.1670 0.020981 2.5103e-04
1154 1 1 1 1 0 7.7500 0.017261 1.9259e-04
1155 1 1 1 1 0 73.8330 0.079437 1.1692e-03
1156 1 1 1 1 0 39.2500 0.023425 2.8942e-04
1157 1 1 1 1 0 25.5830 0.025091 3.1558e-04
1158 1 1 1 1 0 101.0000 0.267940 1.0609e-02
1159 1 1 1 1 0 37.3330 0.024392 3.0460e-04
1160 1 1 1 1 0 28.4170 0.018979 2.1959e-04
1161 1 1 1 1 0 21.6670 0.045684 1.5586e-03
1162 1 1 1 1 0 59.5830 0.044365 1.0945e-03
1163 1 1 1 1 0 77.0000 0.135650 2.9284e-03
1164 1 1 1 1 0 11.6670 0.019365 2.2564e-04
1165 1 1 1 1 0 81.6670 0.116250 5.8841e-03
1166 1 1 1 1 0 7.2500 0.011216 9.7634e-05
1167 1 1 1 1 0 101.0000 0.364860 3.4252e-02
1168 1 1 1 1 0 77.0830 0.064015 9.2701e-04
1169 1 1 1 1 0 22.4170 0.043075 5.9809e-04
1170 1 1 1 1 0 11.5000 0.013387 1.3175e-04
1171 1 1 1 1 0 78.3330 0.112720 3.2104e-03
1172 1 1 1 1 0 8.8333 0.014419 1.4795e-04
1173 1 1 1 1 0 101.0000 0.124340 3.2836e-03
1174 1 1 1 1 0 42.8330 0.062104 8.9698e-04
1175 1 1 1 1 0 43.5830 0.065832 1.0824e-03
1176 1 1 1 1 0 14.7500 0.012914 1.2431e-04
1177 1 1 1 1 0 101.0000 0.496590 6.0970e-02
1178 1 1 1 1 0 17.5000 0.052831 1.1492e-03
1179 1 1 1 1 0 27.2500 0.023128 2.8475e-04
1180 1 1 1 1 0 26.3330 0.018105 2.0586e-04
1181 1 1 1 1 0 9.0833 0.011663 1.0467e-04
1182 1 1 1 1 0 20.6670 0.015555 1.6579e-04
1183 1 1 1 1 0 101.0000 0.337570 1.9935e-02
1184 1 1 1 1 0 26.5000 0.013067 1.2671e-04
1185 1 1 1 1 0 28.3330 0.081526 4.4710e-03
1186 1 1 1 1 0 5.5833 0.010450 8.5762e-05
1187 1 1 1 1 0 52.4160 0.080482 1.8313e-03
1188 1 1 1 1 0 8.0000 0.025682 3.2487e-04
1189 1 1 1 1 0 20.0830 0.019466 2.2723e-04
1190 1 1 1 1 0 37.0830 0.047599 6.6915e-04
1191 1 1 1 1 0 3.1667 0.022692 2.7791e-04
1192 1 1 1 1 0 54.5000 0.100610 1.5861e-03
1193 1 1 1 1 0 30.3330 0.013995 1.4129e-04
1194 1 1 1 1 0 101.0000 0.216360 1.0968e-02
1195 1 1 1 1 0 101.0000 0.422850 3.6159e-02
1196 1 1 1 1 0 78.7500 0.095561 1.4225e-03
1197 1 1 1 1 0 51.0830 0.035119 4.7311e-04
1198 1 1 1 1 0 6.5000 0.019290 2.2447e-04
1199 1 1 1 1 0 25.1670 0.023368 2.8852e-04
1200 1 1 1 1 0 72.3330 0.062094 8.9683e-04
1201 1 1 1 1 0 101.0000 0.236290 7.6943e-03
1202 1 1 1 1 0 12.5830 0.015027 1.5751e-04
1203 1 1 1 1 0 15.9170 0.015755 1.6894e-04
1204 1 1 1 1 0 101.0000 0.293930 1.7025e-02
1205 1 1 1 1 0 13.1670 0.041758 5.7740e-04
1206 1 1 1 1 0 22.3330 0.066115 1.8995e-03
1207 1 1 1 1 0 9.5000 0.030185 3.9561e-04
1208 1 1 1 1 0 26.8330 0.038592 5.2766e-04
1209 1 1 1 1 0 101.0000 0.100430 1.4990e-03
1210 1 1 1 1 0 54.2500 0.064134 9.4155e-04
1211 1 1 1 1 0 101.0000 0.236540 9.4415e-03
1212 1 1 1 1 0 9.7500 0.048006 1.4598e-03
1213 1 1 1 1 0 11.5000 0.014124 1.4331e-04
1214 1 1 1 1 0 22.9170 0.041851 5.7885e-04
1215 1 1 1 1 0 39.5830 0.027199 3.4871e-04
1216 1 1 1 1 0 27.8330 0.025158 3.1665e-04
1217 1 1 1 1 0 34.2500 0.044015 6.1284e-04
1218 1 1 1 1 0 23.8330 0.021485 2.5895e-04
1219 1 1 1 1 0 11.3330 0.013202 1.2883e-04
1220 1 1 1 1 0 36.5000 0.040472 5.5720e-04
1221 1 1 1 1 0 6.5000 0.010084 7.9862e-05
1222 1 1 1 1 0 101.0000 0.514790 5.2746e-02
1223 1 1 1 1 0 23.0000 0.069903 1.9583e-03
1224 1 1 1 1 0 10.8330 0.012277 1.1431e-04
1225 1 1 1 1 0 9.4167 0.042898 1.0311e-03
1226 1 1 1 1 0 10.0000 0.035972 5.2495e-04
1227 1 1 1 1 0 10.5000 0.015254 1.6106e-04
1228 1 1 1 1 0 20.9170 0.027459 3.5278e-04
1229 1 1 1 1 0 101.0000 0.210850 7.0103e-03
1230 1 1 1 1 0 37.0830 0.044043 6.1328e-04
1231 1 1 1 1 0 29.8330 0.053738 7.6558e-04
1232 1 1 1 1 0 69.0000 0.065367 9.4824e-04
1233 1 1 1 1 0 3.8333 0.014393 1.4754e-04
1234 1 1 1 1 0 6.4167 0.012612 1.1957e-04
1235 1 1 1 1 0 18.5000 0.023727 2.9416e-04
1236 1 1 1 1 0 56.5000 0.057187 8.1975e-04
1237 1 1 1 1 0 44.5830 0.056658 8.1144e-04
1238 1 1 1 1 0 101.0000 0.421220 3.1991e-02
1239 1 1 1 1 0 31.1670 0.028880 3.7511e-04
1240 1 1 1 1 0 4.4167 0.015532 1.6543e-04
1241 1 1 1 1 0 4.2500 0.011481 1.0353e-04
1242 1 1 1 1 0 101.0000 0.142530 2.1603e-03
1243 1 1 1 1 0 101.0000 0.332440 2.0514e-02
1244 1 1 1 1 0 23.4170 0.041319 8.2608e-04
1245 1 1 1 1 0 8.4167 0.042496 1.4184e-03
1246 1 1 1 1 0 101.0000 0.105440 1.5777e-03
1247 1 1 1 1 0 80.8330 0.051423 7.2921e-04
1248 1 1 1 1 0 6.6667 0.013275 1.2998e-04
1249 1 1 1 1 0 30.6670 0.042233 5.8485e-04
1250 1 1 1 1 0 101.0000 0.115690 2.1484e-03
1251 1 1 1 1 0 17.2500 0.020868 2.4925e-04
1252 1 1 1 1 0 76.5830 0.073067 1.0692e-03
1253 1 1 1 1 0 15.4170 0.020342 2.4099e-04
1254 1 1 1 1 0 5.6667 0.037205 9.1458e-04
1255 1 1 1 1 0 101.0000 0.293570 1.5150e-02
1256 1 1 1 1 0 101.0000 0.344860 2.9380e-02
1257 1 1 1 1 0 12.0830 0.032627 4.3396e-04
1258 1 1 1 1 0 87.1670 0.073916 1.0825e-03
1259 1 1 1 1 0 101.0000 0.423370 2.4148e-02
1260 1 1 1 1 0 12.4170 0.018780 2.1646e-04
1261 1 1 1 1 0 72.8330 0.055828 7.9841e-04
1262 1 1 1 1 0 10.8330 0.011818 1.0709e-04
1263 1 1 1 1 0 16.5000 0.050006 1.1494e-03
1264 1 1 1 1 0 5.4167 0.013838 1.3883e-04
1265 1 1 1 1 0 9.4167 0.013074 1.2892e-04
1266 1 1 1 1 0 21.7500 0.057730 1.0395e-03
1267 1 1 1 1 0 29.6670 0.065394 2.0424e-03
1268 1 1 1 1 0 13.5830 0.033849 4.5316e-04
1269 1 1 1 1 0 7.5833 0.020433 2.4243e-04
1270 1 1 1 1 0 18.5830 0.019708 2.3103e-04
1271 1 1 1 1 0 101.0000 0.479230 5.7290e-02
1272 1 1 1 1 0 54.1660 0.045402 6.3463e-04
1273 1 1 1 1 0 39.0000 0.066505 9.7747e-04
1274 1 1 1 1 0 43.0830 0.028136 3.6343e-04
1275 1 1 1 1 0 10.9170 0.017288 1.9301e-04
1276 1 1 1 1 0 101.0000 0.507070 4.0885e-02
1277 1 1 1 1 0 27.1670 0.049580 7.0027e-04
1278 1 1 1 1 0 12.4170 0.013974 1.4096e-04
1279 1 1 1 1 0 11.3330 0.014906 1.5561e-04
1280 1 1 1 1 0 59.2500 0.055676 7.9602e-04
1281 1 1 1 1 0 35.3330 0.046590 6.5329e-04
1282 1 1 1 1 0 10.4170 0.036084 4.8827e-04
1283 1 1 1 1 0 14.2500 0.053894 1.0012e-03
1284 1 1 1 1 0 18.4170 0.039478 5.4157e-04
1285 1 1 1 1 0 101.0000 0.124990 1.8848e-03
1286 1 1 1 1 0 24.0830 0.062004 1.5894e-03
1287 1 1 1 1 0 101.0000 0.339250 3.1273e-02
1288 1 1 1 1 0 12.2500 0.032807 4.3679e-04
1289 1 1 1 1 0 101.0000 0.472840 5.7969e-02
1290 1 1 1 1 0 52.3330 0.080523 2.0080e-03
1291 1 1 1 1 0 101.0000 0.253070 8.5001e-03
1292 1 1 1 1 0 101.0000 0.101990 1.5236e-03
1293 1 1 1 1 0 73.4170 0.064931 9.4140e-04
1294 1 1 1 1 0 56.6660 0.035803 4.8386e-04
1295 1 1 1 1 0 21.0000 0.041011 8.4284e-04
1296 1 1 1 1 0 101.0000 0.252130 1.5565e-02
1297 1 1 1 1 0 13.0830 0.043200 6.0004e-04
1298 1 1 1 1 0 38.6670 0.072059 1.0534e-03
1299 1 1 1 1 0 15.5000 0.054061 1.2279e-03
1300 1 1 1 1 0 33.3330 0.045680 6.3900e-04
1301 1 1 1 1 0 7.5833 0.015855 1.7050e-04
1302 1 1 1 1 0 74.8330 0.089985 1.3349e-03
1303 1 1 1 1 0 5.7500 0.013363 1.3137e-04
1304 1 1 1 1 0 8.7500 0.013895 1.3972e-04
1305 1 1 1 1 0 15.6670 0.018379 2.1015e-04
1306 1 1 1 1 0 3.5833 0.010899 9.2662e-05
1307 1 1 1 1 0 18.3330 0.018329 2.0937e-04
1308 1 1 1 1 0 101.0000 0.520820 4.6253e-02
1309 1 1 1 1 0 57.1660 0.065606 9.9118e-04
1310 1 1 1 1 0 79.6670 0.061422 8.8627e-04
1311 1 1 1 1 0 56.0830 0.041306 5.7029e-04
1312 1 1 1 1 0 13.8330 0.016101 1.7438e-04
1313 1 1 1 1 0 5.5000 0.025697 3.5642e-04
1314 1 1 1 1 0 101.0000 0.513250 5.8446e-02
1315 1 1 1 1 0 10.5830 0.041596 5.7484e-04
1316 1 1 1 1 0 29.2500 0.021263 2.5545e-04
1317 1 1 1 1 0 38.5000 0.038379 5.2432e-04
1318 1 1 1 1 0 40.7500 0.058846 8.4581e-04
1319 1 1 1 1 0 101.0000 0.444980 4.8626e-02
1320 1 1 1 1 0 7.5833 0.045434 1.3188e-03
1321 1 1 1 1 0 101.0000 0.276790 1.3832e-02
1322 1 1 1 1 0 48.4170 0.032586 4.3332e-04
1323 1 1 1 1 0 21.8330 0.049233 6.9481e-04
1324 1 1 1 1 0 59.5830 0.037679 5.1333e-04
1325 1 1 1 1 0 22.0000 0.041770 5.7758e-04
1326 1 1 1 1 0 39.5000 0.022905 2.8124e-04
1327 1 1 1 1 0 16.4170 0.011006 9.4341e-05
1328 1 1 1 1 0 9.2500 0.021025 2.5173e-04
1329 1 1 1 1 0 36.4170 0.020109 2.3733e-04
1330 1 1 1 1 0 24.5830 0.024515 3.0653e-04
1331 1 1 1 1 0 11.5000 0.016206 1.7602e-04
1332 1 1 1 1 0 73.7500 0.060896 8.7802e-04
1333 1 1 1 1 0 41.5000 0.079744 1.5484e-03
1334 1 1 1 1 0 101.0000 0.399260 3.8216e-02
1335 1 1 1 1 0 3.0000 0.023514 3.3090e-04
1336 1 1 1 1 0 15.4170 0.012728 1.2140e-04
1337 1 1 1 1 0 22.6670 0.013197 1.2875e-04
1338 1 1 1 1 0 23.5000 0.055137 7.8756e-04
1339 1 1 1 1 0 43.1670 0.090077 2.0336e-03
1340 1 1 1 1 0 37.9170 0.032295 4.6165e-04
1341 1 1 1 1 0 23.6670 0.017669 1.9901e-04
1342 1 1 1 1 0 21.6670 0.013098 1.2721e-04
1343 1 1 1 1 0 4.8333 0.014447 1.4840e-04
1344 1 1 1 1 0 21.6670 0.016860 1.8630e-04
1345 1 1 1 1 0 13.2500 0.022014 2.6726e-04
1346 1 1 1 1 0 33.5000 0.039997 5.4974e-04
1347 1 1 1 1 0 101.0000 0.068742 1.0013e-03
1348 1 1 1 1 0 101.0000 0.346480 2.5957e-02
1349 1 1 1 1 0 4.1667 0.015736 1.7009e-04
1350 1 1 1 1 0 12.5830 0.015187 1.6002e-04
1351 1 1 1 1 0 101.0000 0.341290 2.7589e-02
1352 1 1 1 1 0 4.1667 0.033723 8.9321e-04
1353 1 1 1 1 0 21.6670 0.027120 3.4747e-04
1354 1 1 1 1 0 26.4170 0.041276 6.6665e-04
1355 1 1 1 1 0 50.6660 0.022002 2.6706e-04
1356 1 1 1 1 0 36.3330 0.033045 4.4053e-04
1357 1 1 1 1 0 101.0000 0.133840 3.1508e-03
1358 1 1 1 1 0 3.2500 0.026847 5.6607e-04
1359 1 1 1 1 0 3.3333 0.028766 6.4989e-04
1360 1 1 1 1 0 24.3330 0.059264 1.2150e-03
1361 1 1 1 1 0 23.5000 0.047806 6.7240e-04
1362 1 1 1 1 0 10.0830 0.028209 4.0827e-04
1363 1 1 1 1 0 19.0830 0.021641 2.6139e-04
1364 1 1 1 1 0 25.5830 0.021732 2.6283e-04
1365 1 1 1 1 0 101.0000 0.261120 1.1060e-02
1366 1 1 1 1 0 29.5000 0.017678 1.9915e-04
1367 1 1 1 1 0 85.5840 0.064117 1.1974e-03
1368 1 1 1 1 0 101.0000 0.228350 8.1225e-03
1369 1 1 1 1 0 25.5000 0.039486 5.4170e-04
1370 1 1 1 1 0 15.7500 0.020063 2.3662e-04
1371 1 1 1 1 0 27.7500 0.021777 2.6353e-04
1372 1 1 1 1 0 49.0830 0.030688 4.0350e-04
1373 1 1 1 1 0 28.0830 0.023204 2.8595e-04
1374 1 1 1 1 0 2.4167 0.025330 5.0392e-04
1375 1 1 1 1 0 29.6670 0.033239 4.4358e-04
1376 1 1 1 1 0 24.4170 0.033316 4.4479e-04
1377 1 1 1 1 0 68.1660 0.092495 1.9691e-03
1378 1 1 1 1 0 34.9170 0.033574 4.4883e-04
1379 1 1 1 1 0 46.5000 0.067892 1.4334e-03
1380 1 1 1 1 0 71.3330 0.059468 8.5558e-04
1381 1 1 1 1 0 13.0830 0.044717 6.8497e-04
1382 1 1 1 1 0 3.2500 0.031327 7.7077e-04
1383 1 1 1 1 0 3.3333 0.028097 6.2001e-04
1384 1 1 1 1 0 101.0000 0.202360 1.2005e-02
1385 1 1 1 1 0 23.5000 0.034064 6.8569e-04
1386 1 1 1 1 0 80.6670 0.064014 9.2698e-04
1387 1 1 1 1 0 34.5830 0.036139 5.0572e-04
1388 1 1 1 1 0 101.0000 0.183370 2.8234e-03
1389 1 1 1 1 0 8.4167 0.012939 1.2470e-04
1390 1 1 1 1 0 16.5830 0.022830 2.8008e-04
1391 1 1 1 1 0 6.6667 0.020292 2.4021e-04
1392 1 1 1 1 0 101.0000 0.298360 1.3054e-02
1393 1 1 1 1 0 56.2500 0.034635 4.6550e-04
1394 1 1 1 1 0 13.9170 0.013154 1.2809e-04
1395 1 1 1 1 0 6.0833 0.038161 7.3703e-04
1396 1 1 1 1 0 49.6660 0.058775 1.2493e-03
1397 1 1 1 1 0 9.4167 0.028476 3.6876e-04
1398 1 1 1 1 0 21.5000 0.026812 3.4262e-04
1399 1 1 1 1 0 101.0000 0.249410 8.6956e-03
1400 1 1 1 1 0 47.7500 0.027798 3.5812e-04
1401 1 1 1 1 0 57.4160 0.072969 1.3988e-03
1402 1 1 1 1 0 3.2500 0.031910 7.9974e-04
1403 1 1 1 1 0 3.1667 0.021433 2.9420e-04
1404 1 1 1 1 0 3.5833 0.022027 2.6746e-04
1405 1 1 1 1 0 3.5833 0.017248 1.9239e-04
1406 1 1 1 1 0 3.5833 0.024951 4.8896e-04
1407 1 1 1 1 0 3.5833 0.021293 3.1401e-04
1408 1 1 1 1 0 7.4167 0.039401 1.0102e-03
1409 1 1 1 1 0 21.3330 0.013438 1.3254e-04
1410 1 1 1 1 0 17.6670 0.048032 1.1812e-03
1411 1 1 1 1 0 13.5000 0.053347 1.5721e-03
1412 1 1 1 1 0 28.3330 0.022179 2.6985e-04
1413 1 1 1 1 0 15.5830 0.017530 1.9683e-04
1414 1 1 1 1 0 32.0000 0.056730 8.1257e-04
1415 1 1 1 1 0 101.0000 0.453230 2.9294e-02
1416 1 1 1 1 0 19.8330 0.018913 2.1855e-04
1417 1 1 1 1 0 10.6670 0.048635 7.9204e-04
1418 1 1 1 1 0 101.0000 0.401840 3.4265e-02
1419 1 1 1 1 0 3.5833 0.031283 7.6863e-04
1420 1 1 1 1 0 1.4167 0.012404 1.2084e-04
1421 1 1 1 1 0 3.2500 0.028955 5.7598e-04
1422 1 1 1 1 0 3.7500 0.024916 4.8757e-04
1423 1 1 1 1 0 3.5833 0.022923 4.1270e-04
1424 1 1 1 1 0 51.6660 0.037688 5.1346e-04
1425 1 1 1 1 0 3.5833 0.022942 4.1338e-04
1426 1 1 1 1 0 101.0000 0.293850 2.5288e-02
1427 1 1 1 1 0 22.7500 0.044852 6.2600e-04
1428 1 1 1 1 0 23.5000 0.033419 4.4640e-04
1429 1 1 1 1 0 23.5000 0.046213 6.6178e-04
1430 1 1 1 1 0 101.0000 0.191240 4.0152e-03
1431 1 1 1 1 0 25.0830 0.024831 3.1150e-04
1432 1 1 1 1 0 21.5000 0.022308 2.7188e-04
1433 1 1 1 1 0 101.0000 0.509120 5.7895e-02
1434 1 1 1 1 0 91.1670 0.079435 1.1692e-03
1435 1 1 1 1 0 21.5000 0.017028 1.8893e-04
1436 1 1 1 1 0 101.0000 0.171320 1.1942e-02
1437 1 1 1 1 0 40.0000 0.051402 7.2889e-04
1438 1 1 1 1 0 32.6670 0.018675 2.1480e-04
1439 1 1 1 1 0 101.0000 0.466290 3.7816e-02
1440 1 1 1 1 0 11.5830 0.042245 6.0170e-04
1441 1 1 1 1 0 8.1667 0.012222 1.1344e-04
1442 1 1 1 1 0 7.0000 0.035258 4.7529e-04
1443 1 1 1 1 0 66.2500 0.092676 1.3855e-03
1444 1 1 1 1 0 101.0000 0.130320 5.1702e-03
1445 1 1 1 1 0 64.9160 0.081573 1.4304e-03
1446 1 1 1 1 0 64.3330 0.028045 3.6199e-04
1447 1 1 1 1 0 24.7500 0.030560 4.0149e-04
1448 1 1 1 1 0 8.5000 0.023611 2.9234e-04
1449 1 1 1 1 0 25.5000 0.021616 2.6101e-04
1450 1 1 1 1 0 3.5833 0.023463 4.2123e-04
1451 1 1 1 1 0 3.5833 0.019226 2.2346e-04
1452 1 1 1 1 0 63.7500 0.037541 5.1116e-04
1453 1 1 1 1 0 3.5833 0.013925 1.4020e-04
1454 1 1 1 1 0 101.0000 0.215910 4.9286e-03
1455 1 1 1 1 0 3.2500 0.019808 2.3261e-04
1456 1 1 1 1 0 23.4170 0.050690 7.1769e-04
1457 1 1 1 1 0 39.8330 0.081005 1.5101e-03
1458 1 1 1 1 0 101.0000 0.427710 4.0705e-02
1459 1 1 1 1 0 24.1670 0.025003 3.1420e-04
1460 1 1 1 1 0 16.0000 0.038758 5.3027e-04
1461 1 1 1 1 0 101.0000 0.277120 1.7437e-02
1462 1 1 1 1 0 14.0000 0.022305 2.7183e-04
1463 1 1 1 1 0 17.6670 0.032420 5.4480e-04
1464 1 1 1 1 0 17.5830 0.090352 5.1558e-03
1465 1 1 1 1 0 67.0830 0.061241 8.8343e-04
1466 1 1 1 1 0 3.6667 0.011111 9.6957e-05
1467 1 1 1 1 0 4.5000 0.011024 9.5442e-05
1468 1 1 1 1 0 5.6667 0.013818 1.3851e-04
1469 1 1 1 1 0 45.9170 0.068124 2.5706e-03
1470 1 1 1 1 0 13.4170 0.022759 2.7895e-04
1471 1 1 1 1 0 28.2500 0.025723 3.2552e-04
1472 1 1 1 1 0 12.8330 0.017778 2.0072e-04
1473 1 1 1 1 0 30.5830 0.020996 2.5126e-04
1474 1 1 1 1 0 101.0000 0.607220 7.1030e-02
1475 1 1 1 1 0 23.0830 0.054067 8.1436e-04
1476 1 1 1 1 0 101.0000 0.212320 3.9645e-03
1477 1 1 1 1 0 101.0000 0.228780 1.2905e-02
1478 1 1 1 1 0 35.7500 0.051405 7.2893e-04
1479 1 1 1 1 0 12.4170 0.058141 2.1349e-03
1480 1 1 1 1 0 3.1667 0.031107 7.5999e-04
1481 1 1 1 1 0 3.5833 0.019122 2.5801e-04
1482 1 1 1 1 0 3.4167 0.028711 6.4743e-04
1483 1 1 1 1 0 3.5833 0.016174 1.7552e-04
1484 1 1 1 1 0 3.0833 0.014624 1.5667e-04
1485 1 1 1 1 0 14.5830 0.021112 2.5309e-04
1486 1 1 1 1 0 7.5000 0.040504 5.5770e-04
1487 1 1 1 1 0 101.0000 0.224020 9.7464e-03
1488 1 1 1 1 0 18.3330 0.024534 3.0684e-04
1489 1 1 1 1 0 51.5000 0.064888 9.4072e-04
1490 1 1 1 1 0 55.8330 0.081980 1.2092e-03
1491 1 1 1 1 0 44.1670 0.075838 1.7249e-03
1492 1 1 1 1 0 5.3333 0.011311 1.0049e-04
1493 1 1 1 1 0 20.8330 0.018968 2.1940e-04
1494 1 1 1 1 0 10.2500 0.017817 2.0133e-04
1495 1 1 1 1 0 11.7500 0.012967 1.2515e-04
1496 1 1 1 1 0 3.6667 0.010271 8.2847e-05
1497 1 1 1 1 0 6.2500 0.045631 1.6353e-03
1498 1 1 1 1 0 6.3333 0.019038 2.2051e-04
1499 1 1 1 1 0 101.0000 0.382130 3.4419e-02
1500 1 1 1 1 0 11.0000 0.021313 2.5625e-04
1501 1 1 1 1 0 3.0000 0.011129 9.7274e-05
1502 1 1 1 1 0 11.0830 0.021785 2.6366e-04
1503 1 1 1 1 0 82.2500 0.076929 1.1299e-03
1504 1 1 1 1 0 10.6670 0.018913 2.1854e-04
1505 1 1 1 1 0 7.5000 0.020120 2.3751e-04
1506 1 1 1 1 0 29.0000 0.028291 3.6585e-04
1507 1 1 1 1 0 101.0000 0.154470 3.1618e-03
1508 1 1 1 1 0 4.2500 0.014080 1.5570e-04
1509 1 1 1 1 0 3.5833 0.021304 3.0121e-04
1510 1 1 1 1 0 101.0000 0.272110 1.8847e-02
1511 1 1 1 1 0 77.4170 0.081959 1.4102e-03
1512 1 1 1 1 0 11.0830 0.019389 2.2602e-04
1513 1 1 1 1 0 101.0000 0.141600 2.1457e-03
1514 1 1 1 1 0 51.5000 0.060650 8.7415e-04
1515 1 1 1 1 0 8.1667 0.022371 2.7286e-04
1516 1 1 1 1 0 17.6670 0.030882 4.0656e-04
1517 1 1 1 1 0 10.9170 0.016837 1.8594e-04
1518 1 1 1 1 0 17.6670 0.023065 2.8377e-04
1519 1 1 1 1 0 59.8330 0.122100 7.5154e-03
1520 1 1 1 1 0 17.6670 0.041782 7.9447e-04
1521 1 1 1 1 0 19.1670 0.033075 4.4100e-04
1522 1 1 1 1 0 30.1670 0.022136 2.6918e-04
1523 1 1 1 1 0 15.5000 0.021222 2.5482e-04
1524 1 1 1 1 0 49.5000 0.062082 8.9664e-04
1525 1 1 1 1 0 24.0830 0.023295 2.8738e-04
1526 1 1 1 1 0 56.4160 0.085584 1.6127e-03
1527 1 1 1 1 0 30.8330 0.068198 1.1382e-03
1528 1 1 1 1 0 79.2500 0.067568 9.8281e-04
1529 1 1 1 1 0 101.0000 0.221020 1.0482e-02
1530 1 1 1 1 0 12.5830 0.040494 5.5754e-04
1531 1 1 1 1 0 101.0000 0.083516 1.4757e-03
1532 1 1 1 1 0 66.6660 0.034552 4.6421e-04
1533 1 1 1 1 0 8.0000 0.033454 4.6061e-04
1534 1 1 1 1 0 3.2500 0.026944 5.7017e-04
1535 1 1 1 1 0 3.5000 0.022565 3.9992e-04
1536 1 1 1 1 0 3.5833 0.011118 9.7081e-05
1537 1 1 1 1 0 3.5833 0.012449 1.2172e-04
1538 1 1 1 1 0 101.0000 0.167700 5.7636e-03
1539 1 1 1 1 0 37.0830 0.067059 1.0014e-03
1540 1 1 1 1 0 66.1660 0.121000 3.9724e-03
1541 1 1 1 1 0 17.6670 0.053282 1.1964e-03
1542 1 1 1 1 0 17.6670 0.018176 2.0696e-04
1543 1 1 1 1 0 48.6670 0.107360 3.8841e-03
1544 1 1 1 1 0 9.0000 0.034331 7.6067e-04
1545 1 1 1 1 0 17.6670 0.033903 4.5401e-04
1546 1 1 1 1 0 61.7500 0.089721 3.1354e-03
1547 1 1 1 1 0 6.5000 0.011853 1.0764e-04
1548 1 1 1 1 0 62.0830 0.083523 1.5307e-03
1549 1 1 1 1 0 20.4170 0.049998 1.0763e-03
1550 1 1 1 1 0 83.0000 0.075049 1.3344e-03
1551 1 1 1 1 0 17.6670 0.017196 1.9157e-04
1552 1 1 1 1 0 15.0000 0.031381 4.1439e-04
1553 1 1 1 1 0 58.2500 0.074333 1.6861e-03
1554 1 1 1 1 0 101.0000 0.436210 3.7761e-02
1555 1 1 1 1 0 57.2500 0.036873 5.0065e-04
1556 1 1 1 1 0 3.4167 0.025110 4.8780e-04
1557 1 1 1 1 0 3.5833 0.011061 9.6082e-05
1558 1 1 1 1 0 101.0000 0.241810 9.0737e-03
1559 1 1 1 1 0 23.5000 0.032942 4.3891e-04
1560 1 1 1 1 0 18.4170 0.026401 3.3616e-04
1561 1 1 1 1 0 58.1660 0.134750 4.1200e-03
1562 1 1 1 1 0 50.2500 0.139700 9.9325e-03
1563 1 1 1 1 0 29.3330 0.068061 1.2689e-03
1564 1 1 1 1 0 70.3330 0.128910 2.4615e-03
1565 1 1 1 1 0 17.5830 0.060408 1.1730e-03
1566 1 1 1 1 0 89.5000 0.132530 5.1914e-03
1567 1 1 1 1 0 13.5830 0.051542 7.3108e-04
1568 1 1 1 1 0 39.5000 0.040784 5.6210e-04
1569 1 1 1 1 0 31.4170 0.029371 3.8282e-04
1570 1 1 1 1 0 23.0000 0.030180 3.9553e-04
1571 1 1 1 1 0 3.1667 0.010673 8.9118e-05
1572 1 1 1 1 0 10.5830 0.013996 1.4130e-04
1573 1 1 1 1 0 26.6670 0.028748 3.7304e-04
1574 1 1 1 1 0 37.8330 0.042013 6.0817e-04
1575 1 1 1 1 0 2.3333 0.013934 1.5250e-04
1576 1 1 1 1 0 6.0000 0.015934 1.7175e-04
1577 1 1 1 1 0 82.6670 0.066470 9.6557e-04
1578 1 1 1 1 0 101.0000 0.404090 3.3128e-02
1579 1 1 1 1 0 20.4170 0.027668 3.5607e-04
1580 1 1 1 1 0 62.5830 0.079092 2.2547e-03
1581 1 1 1 1 0 79.5000 0.096207 2.4679e-03
1582 1 1 1 1 0 34.2500 0.040491 5.5750e-04
1583 1 1 1 1 0 7.9167 0.021414 2.5784e-04
1584 1 1 1 1 0 8.3333 0.041202 1.3333e-03
1585 1 1 1 1 0 7.9167 0.021122 2.5324e-04
1586 1 1 1 1 0 9.5833 0.046456 1.6857e-03
1587 1 1 1 1 0 7.9167 0.016252 1.7675e-04
1588 1 1 1 1 0 7.9167 0.019860 2.4438e-04
1589 1 1 1 1 0 8.5000 0.018718 2.1548e-04
1590 1 1 1 1 0 14.0000 0.023640 2.9280e-04
1591 1 1 1 1 0 29.5000 0.049977 7.0792e-04
1592 1 1 1 1 0 48.5830 0.129910 7.0984e-03
1593 1 1 1 1 0 65.7500 0.071817 1.9105e-03
1594 1 1 1 1 0 33.6670 0.030693 4.0359e-04
1595 1 1 1 1 0 13.5000 0.011913 1.0859e-04
1596 1 1 1 1 0 55.7500 0.068953 1.0388e-03
1597 1 1 1 1 0 16.3330 0.040325 9.6405e-04
1598 1 1 1 1 0 101.0000 0.425870 4.1003e-02
1599 1 1 1 1 0 50.5000 0.059200 9.1057e-04
1600 1 1 1 1 0 35.5830 0.088450 1.6615e-03
1601 1 1 1 1 0 7.6667 0.010635 8.8514e-05
1602 1 1 1 1 0 101.0000 0.257040 1.3814e-02
1603 1 1 1 1 0 92.6670 0.079277 1.1667e-03
1604 1 1 1 1 0 33.7500 0.037118 5.0451e-04
1605 1 1 1 1 0 29.4170 0.040413 5.5627e-04
1606 1 1 1 1 0 35.0830 0.035782 4.8353e-04
1607 1 1 1 1 0 28.5830 0.033016 4.4008e-04
1608 1 1 1 1 0 9.6667 0.035409 6.4786e-04
1609 1 1 1 1 0 22.8330 0.037609 5.1222e-04
1610 1 1 1 1 0 101.0000 0.276330 9.8151e-03
1611 1 1 1 1 0 8.9167 0.038117 1.1335e-03
1612 1 1 1 1 0 7.9167 0.025489 3.2183e-04
1613 1 1 1 1 0 8.6667 0.029317 3.8197e-04
1614 1 1 1 1 0 7.3333 0.015190 1.6006e-04
1615 1 1 1 1 0 29.4170 0.087616 4.0588e-03
1616 1 1 1 1 0 7.5000 0.039045 6.9520e-04
1617 1 1 1 1 0 76.4170 0.112200 4.3867e-03
1618 1 1 1 1 0 19.9170 0.013728 1.3709e-04
1619 1 1 1 1 0 10.5000 0.054186 1.8838e-03
1620 1 1 1 1 0 10.4170 0.012711 1.2113e-04
1621 1 1 1 1 0 6.9167 0.010254 8.2522e-05
1622 1 1 1 1 0 17.6670 0.014035 1.4192e-04
1623 1 1 1 1 0 86.0840 0.085713 1.7965e-03
1624 1 1 1 1 0 14.6670 0.037377 6.9465e-04
1625 1 1 1 1 0 101.0000 0.477630 5.4997e-02
1626 1 1 1 1 0 30.0830 0.041250 5.6942e-04
1627 1 1 1 1 0 4.5000 0.023196 2.8581e-04
1628 1 1 1 1 0 8.7500 0.013643 1.3576e-04
1629 1 1 1 1 0 10.5000 0.045507 1.1837e-03
1630 1 1 1 1 0 6.7500 0.014801 1.5395e-04
1631 1 1 1 1 0 14.8330 0.017037 1.8908e-04
1632 1 1 1 1 0 9.4167 0.017195 1.9156e-04
1633 1 1 1 1 0 101.0000 0.480220 5.4756e-02
1634 1 1 1 1 0 101.0000 0.094932 1.7229e-03
1635 1 1 1 1 0 101.0000 0.214980 4.4563e-03
1636 1 1 1 1 0 30.7500 0.031300 4.1312e-04
1637 1 1 1 1 0 47.2500 0.055995 8.0103e-04
1638 1 1 1 1 0 25.5830 0.023956 2.9777e-04
1639 1 1 1 1 0 83.8340 0.093997 1.8791e-03
1640 1 1 1 1 0 10.5000 0.014543 1.4990e-04
1641 1 1 1 1 0 44.5000 0.058706 1.4619e-03
1642 1 1 1 1 0 35.5830 0.067504 2.6893e-03
1643 1 1 1 1 0 22.2500 0.053853 1.5093e-03
1644 1 1 1 1 0 7.9167 0.021699 2.6230e-04
1645 1 1 1 1 0 5.2500 0.012481 1.1751e-04
1646 1 1 1 1 0 9.5000 0.036893 5.0902e-04
1647 1 1 1 1 0 7.9167 0.017432 1.9529e-04
1648 1 1 1 1 0 45.6670 0.095492 4.1166e-03
1649 1 1 1 1 0 4.8333 0.010417 8.5225e-05
1650 1 1 1 1 0 101.0000 0.360930 2.9345e-02
1651 1 1 1 1 0 29.0830 0.051969 9.9586e-04
1652 1 1 1 1 0 26.4170 0.017412 1.9497e-04
1653 1 1 1 1 0 101.0000 0.232550 1.4892e-02
1654 1 1 1 1 0 49.8330 0.041825 5.7844e-04
1655 1 1 1 1 0 10.3330 0.010387 8.4737e-05
1656 1 1 1 1 0 101.0000 0.175160 9.9282e-03
1657 1 1 1 1 0 46.1670 0.065758 1.0358e-03
1658 1 1 1 1 0 101.0000 0.320280 9.6703e-03
1659 1 1 1 1 0 19.6670 0.055965 9.8569e-04
1660 1 1 1 1 0 19.8330 0.045123 1.4885e-03
1661 1 1 1 1 0 51.0000 0.059879 9.8071e-04
1662 1 1 1 1 0 52.9160 0.181640 1.3013e-02
1663 1 1 1 1 0 36.4170 0.076522 2.6924e-03
1664 1 1 1 1 0 20.1670 0.020375 2.4152e-04
1665 1 1 1 1 0 8.7500 0.011995 1.0987e-04
1666 1 1 1 1 0 31.8330 0.032303 4.2888e-04
1667 1 1 1 1 0 15.4170 0.046711 6.5519e-04
1668 1 1 1 1 0 101.0000 0.246940 1.3937e-02
1669 1 1 1 1 0 27.8330 0.079683 2.7168e-03
1670 1 1 1 1 0 50.2500 0.093566 6.3824e-03
1671 1 1 1 1 0 3.9167 0.016654 1.8306e-04
1672 1 1 1 1 0 48.3330 0.140330 9.7363e-03
1673 1 1 1 1 0 30.3330 0.057301 8.5600e-04
1674 1 1 1 1 0 14.5000 0.015559 1.6586e-04
1675 1 1 1 1 0 6.1667 0.010886 9.3078e-05
1676 1 1 1 1 0 47.2500 0.031455 4.1556e-04
1677 1 1 1 1 0 31.0830 0.057233 8.2047e-04
1678 1 1 1 1 0 22.9170 0.020517 2.4375e-04
1679 1 1 1 1 0 4.2500 0.013293 1.3027e-04
1680 1 1 1 1 0 4.1667 0.012903 1.2415e-04
1681 1 1 1 1 0 28.5830 0.019416 2.2645e-04
1682 1 1 1 1 0 56.8330 0.132750 3.7566e-03
1683 1 1 1 1 0 13.9170 0.022169 2.6969e-04
1684 1 1 1 1 0 19.4170 0.016527 1.8106e-04
1685 1 1 1 1 0 101.0000 0.183310 4.6191e-03
1686 1 1 1 1 0 101.0000 0.223970 3.4395e-03
1687 1 1 1 1 0 30.0000 0.051004 7.2263e-04
1688 1 1 1 1 0 9.3333 0.011718 1.0552e-04
1689 1 1 1 1 0 9.5833 0.043034 7.5976e-04
1690 1 1 1 1 0 22.3330 0.021530 2.5966e-04
1691 1 1 1 1 0 13.2500 0.042640 1.4216e-03
1692 1 1 1 1 0 19.9170 0.019477 2.2741e-04
1693 1 1 1 1 0 5.5000 0.010894 9.3211e-05
1694 1 1 1 1 0 23.4170 0.035713 4.9416e-04
1695 1 1 1 1 0 101.0000 0.171440 2.6144e-03
1696 1 1 1 1 0 40.5000 0.063095 1.0827e-03
1697 1 1 1 1 0 5.4167 0.010890 9.3141e-05
1698 1 1 1 1 0 74.8330 0.058861 8.4605e-04
1699 1 1 1 1 0 18.4170 0.024426 3.0514e-04
1700 1 1 1 1 0 37.4170 0.036145 8.3144e-04
1701 1 1 1 1 0 9.1667 0.022999 2.8417e-04
1702 1 1 1 1 0 35.8330 0.088679 2.5512e-03
1703 1 1 1 1 0 9.4167 0.014820 1.5426e-04
1704 1 1 1 1 0 12.8330 0.016953 1.8777e-04
1705 1 1 1 1 0 43.3330 0.023670 2.9327e-04
1706 1 1 1 1 0 101.0000 0.238090 1.0286e-02
1707 1 1 1 1 0 39.5000 0.053750 1.0596e-03
1708 1 1 1 1 0 20.4170 0.052140 7.6283e-04
1709 1 1 1 1 0 101.0000 0.247190 1.2590e-02
1710 1 1 1 1 0 101.0000 0.277020 1.7970e-02
1711 1 1 1 1 0 101.0000 0.296340 1.4538e-02
1712 1 1 1 1 0 101.0000 0.267490 2.0222e-02
1713 1 1 1 1 0 24.2500 0.041818 5.7833e-04
1714 1 1 1 1 0 9.2500 0.011692 1.0512e-04
1715 1 1 1 1 0 30.4170 0.043632 6.0683e-04
1716 1 1 1 1 0 3.6667 0.019463 2.4445e-04
1717 1 1 1 1 0 4.6667 0.012037 1.1053e-04
1718 1 1 1 1 0 5.8333 0.016113 1.7456e-04
1719 1 1 1 1 0 50.8330 0.062215 8.9873e-04
1720 1 1 1 1 0 101.0000 0.388990 3.4208e-02
1721 1 1 1 1 0 55.6660 0.077970 2.7032e-03
1722 1 1 1 1 0 10.5830 0.016962 1.8790e-04
1723 1 1 1 1 0 12.7500 0.016596 1.8215e-04
1724 1 1 1 1 0 101.0000 0.406580 3.7015e-02
1725 1 1 1 1 0 30.4170 0.060597 1.1949e-03
1726 1 1 1 1 0 101.0000 0.358990 2.3246e-02
1727 1 1 1 1 0 34.1670 0.049411 6.9761e-04
1728 1 1 1 1 0 24.2500 0.025917 3.2856e-04
1729 1 1 1 1 0 101.0000 0.186550 9.5117e-03
1730 1 1 1 1 0 101.0000 0.369240 3.5546e-02
1731 1 1 1 1 0 60.3330 0.066248 9.6209e-04
1732 1 1 1 1 0 1.9167 0.013370 1.4039e-04
1733 1 1 1 1 0 28.5000 0.021540 2.5981e-04
1734 1 1 1 1 0 101.0000 0.389410 3.5331e-02
1735 1 1 1 1 0 15.5000 0.050648 8.5896e-04
1736 1 1 1 1 0 69.5000 0.086545 2.6010e-03
1737 1 1 1 1 0 5.4167 0.012995 1.2558e-04
1738 1 1 1 1 0 23.8330 0.031072 4.0954e-04
1739 1 1 1 1 0 85.1670 0.356310 4.0459e-02
1740 1 1 1 1 0 58.0830 0.069373 1.0112e-03
1741 1 1 1 1 0 76.5830 0.064616 9.3645e-04
1742 1 1 1 1 0 36.0830 0.060576 8.7298e-04
1743 1 1 1 1 0 12.4170 0.011256 9.8272e-05
1744 1 1 1 1 0 44.8330 0.021448 2.5836e-04
1745 1 1 1 1 0 36.4170 0.025472 3.2157e-04
1746 1 1 1 1 0 45.5000 0.031849 4.2174e-04
1747 1 1 1 1 0 3.5833 0.012065 1.1097e-04
1748 1 1 1 1 0 66.2500 0.070905 1.0352e-03
1749 1 1 1 1 0 46.5830 0.026799 3.4242e-04
1750 1 1 1 1 0 13.4170 0.018506 2.1215e-04
1751 1 1 1 1 0 4.2500 0.011908 1.0851e-04
1752 1 1 1 1 0 101.0000 0.169130 3.7684e-03
1753 1 1 1 1 0 101.0000 0.145120 3.1163e-03
1754 1 1 1 1 0 24.4170 0.025320 3.1918e-04
1755 1 1 1 1 0 17.3330 0.020930 2.5023e-04
1756 1 1 1 1 0 28.5000 0.068634 1.6646e-03
1757 1 1 1 1 0 16.5000 0.026869 5.2546e-04
1758 1 1 1 1 0 36.8330 0.040286 1.0357e-03
1759 1 1 1 1 0 86.0000 0.082611 1.2191e-03
1760 1 1 1 1 0 40.8330 0.054319 7.7470e-04
1761 1 1 1 1 0 101.0000 0.122320 2.6493e-03
1762 1 1 1 1 0 19.3330 0.013338 1.3097e-04
1763 1 1 1 1 0 101.0000 0.489600 3.7950e-02
1764 1 1 1 1 0 44.9170 0.041495 5.7326e-04
1765 1 1 1 1 0 10.5830 0.042439 1.0016e-03
1766 1 1 1 1 0 32.5000 0.037116 5.0447e-04
1767 1 1 1 1 0 24.3330 0.022834 2.8014e-04
1768 1 1 1 1 0 44.5830 0.058545 8.4108e-04
1769 1 1 1 1 0 16.5000 0.017538 1.9694e-04
1770 1 1 1 1 0 4.3333 0.012247 1.1780e-04
1771 1 1 1 1 0 101.0000 0.344930 2.6361e-02
1772 1 1 1 1 0 11.3330 0.016015 1.7302e-04
1773 1 1 1 1 0 48.1670 0.041516 5.7359e-04
1774 1 1 1 1 0 34.2500 0.094735 5.0988e-03
1775 1 1 1 1 0 4.2500 0.018566 2.1309e-04
1776 1 1 1 1 0 101.0000 0.214690 8.4103e-03
1777 1 1 1 1 0 101.0000 0.586570 6.7290e-02
1778 1 1 1 1 0 3.5000 0.021818 3.7388e-04
1779 1 1 1 1 0 40.4170 0.037851 5.1603e-04
1780 1 1 1 1 0 20.2500 0.020526 2.4389e-04
1781 1 1 1 1 0 44.5000 0.111570 1.6741e-03
1782 1 1 1 1 0 41.3330 0.069996 1.0210e-03
1783 1 1 1 1 0 28.2500 0.029478 3.8450e-04
1784 1 1 1 1 0 90.6670 0.084940 1.2557e-03
1785 1 1 1 1 0 14.7500 0.020837 2.4876e-04
1786 1 1 1 1 0 24.9170 0.030203 3.9588e-04
1787 1 1 1 1 0 3.4167 0.010439 8.5586e-05
1788 1 1 1 1 0 101.0000 0.320850 1.9638e-02
1789 1 1 1 1 0 15.0000 0.053006 9.6867e-04
1790 1 1 1 1 0 15.6670 0.015074 1.5825e-04
1791 1 1 1 1 0 53.0000 0.063464 9.1835e-04
1792 1 1 1 1 0 101.0000 0.175210 2.6736e-03
1793 1 1 1 1 0 18.5830 0.024306 3.0326e-04
1794 1 1 1 1 0 10.9170 0.034211 4.5885e-04
1795 1 1 1 1 0 2.4167 0.017828 2.2664e-04
1796 1 1 1 1 0 22.9170 0.067886 2.1921e-03
1797 1 1 1 1 0 8.0000 0.025691 3.2502e-04
1798 1 1 1 1 0 101.0000 0.239560 1.4064e-02
1799 1 1 1 1 0 3.0833 0.014271 1.5142e-04
1800 1 1 1 1 0 40.5000 0.068222 1.6803e-03
1801 1 1 1 1 0 101.0000 0.314610 3.0875e-02
1802 1 1 1 1 0 11.0830 0.035566 4.8013e-04
1803 1 1 1 1 0 10.0830 0.013791 1.3809e-04
1804 1 1 1 1 0 17.0000 0.033004 4.3988e-04
1805 1 1 1 1 0 101.0000 0.227870 7.7108e-03
1806 1 1 1 1 0 51.6660 0.067077 1.5444e-03
1807 1 1 1 1 0 101.0000 0.135470 2.0494e-03
1808 1 1 1 1 0 20.2500 0.017048 1.8924e-04
1809 1 1 1 1 0 70.8330 0.064984 9.4223e-04
1810 1 1 1 1 0 32.5000 0.022639 2.7707e-04
1811 1 1 1 1 0 101.0000 0.355600 2.2829e-02
1812 1 1 1 1 0 10.4170 0.029312 3.8188e-04
1813 1 1 1 1 0 1.7500 0.015090 1.7884e-04
1814 1 1 1 1 0 24.6670 0.025415 3.2068e-04
1815 1 1 1 1 0 57.0830 0.087789 2.9353e-03
1816 1 1 1 1 0 101.0000 0.432880 4.1594e-02
1817 1 1 1 1 0 49.9160 0.066812 1.2416e-03
1818 1 1 1 1 0 27.4170 0.063248 2.0454e-03
1819 1 1 1 1 0 58.0830 0.058416 8.3905e-04
1820 1 1 1 1 0 11.1670 0.017797 2.0102e-04
1821 1 1 1 1 0 42.3330 0.058562 8.4134e-04
1822 1 1 1 1 0 22.9170 0.050382 7.1286e-04
1823 1 1 1 1 0 32.6670 0.021164 2.5390e-04
1824 1 1 1 1 0 18.9170 0.016996 1.8843e-04
1825 1 1 1 1 0 35.3330 0.038390 5.2448e-04
1826 1 1 1 1 0 6.7500 0.018740 2.1583e-04
1827 1 1 1 1 0 11.1670 0.014984 1.5683e-04
1828 1 1 1 1 0 17.5000 0.067383 1.6414e-03
1829 1 1 1 1 0 101.0000 0.443610 4.2729e-02
1830 1 1 1 1 0 59.5830 0.075327 1.5063e-03
1831 1 1 1 1 0 101.0000 0.095059 1.4146e-03
1832 1 1 1 1 0 11.5830 0.042247 7.2461e-04
1833 1 1 1 1 0 7.8333 0.044970 1.3706e-03
1834 1 1 1 1 0 12.4170 0.010478 8.6053e-05
1835 1 1 1 1 0 26.2500 0.060469 1.1238e-03
1836 1 1 1 1 0 75.5830 0.052500 7.4613e-04
1837 1 1 1 1 0 101.0000 0.288950 2.5513e-02
1838 1 1 1 1 0 48.1670 0.059516 1.6558e-03
1839 1 1 1 1 0 25.7500 0.098096 3.8829e-03
1840 1 1 1 1 0 1.7500 0.011510 1.0405e-04
1841 1 1 1 1 0 17.7500 0.028587 5.6602e-04
1842 1 1 1 1 0 15.6670 0.026445 3.3686e-04
1843 1 1 1 1 0 35.9170 0.048352 7.7477e-04
1844 1 1 1 1 0 25.2500 0.028223 3.6478e-04
1845 1 1 1 1 0 43.2500 0.108150 4.3446e-03
1846 1 1 1 1 0 18.0830 0.019090 2.2132e-04
1847 1 1 1 1 0 49.3330 0.087365 3.4003e-03
1848 1 1 1 1 0 25.3330 0.045141 6.3054e-04
1849 1 1 1 1 0 13.7500 0.021871 2.6502e-04
1850 1 1 1 1 0 7.8333 0.012969 1.2517e-04
1851 1 1 1 1 0 10.4170 0.015827 1.7006e-04
1852 1 1 1 1 0 4.2500 0.013620 1.4569e-04
1853 1 1 1 1 0 12.2500 0.017877 2.0228e-04
1854 1 1 1 1 0 2.9167 0.011509 1.0402e-04
1855 1 1 1 1 0 14.9170 0.051818 1.6437e-03
1856 1 1 1 1 0 9.5833 0.013240 1.2943e-04
1857 1 1 1 1 0 7.2500 0.017051 1.8930e-04
1858 1 1 1 1 0 17.2500 0.030853 4.0610e-04
1859 1 1 1 1 0 26.8330 0.024097 2.9998e-04
1860 1 1 1 1 0 13.5000 0.016184 1.7568e-04
1861 1 1 1 1 0 24.2500 0.033510 4.4784e-04
1862 1 1 1 1 0 9.5000 0.019751 2.3171e-04
1863 1 1 1 1 0 11.5830 0.012956 1.2497e-04
1864 1 1 1 1 0 71.9170 0.110830 2.5513e-03
1865 1 1 1 1 0 7.5000 0.020110 2.3735e-04
1866 1 1 1 1 0 22.5830 0.053943 7.6880e-04
1867 1 1 1 1 0 20.0830 0.061340 2.1957e-03
1868 1 1 1 1 0 87.4170 0.050585 7.1604e-04
1869 1 1 1 1 0 19.2500 0.021518 3.1242e-04
1870 1 1 1 1 0 28.2500 0.029205 3.8021e-04
1871 1 1 1 1 0 6.7500 0.013651 1.3588e-04
1872 1 1 1 1 0 31.5830 0.019761 2.3186e-04
1873 1 1 1 1 0 24.0000 0.025507 3.2212e-04
1874 1 1 1 1 0 17.4170 0.020679 2.4628e-04
1875 1 1 1 1 0 101.0000 0.269410 1.8874e-02
1876 1 1 1 1 0 56.7500 0.061024 2.2371e-03
1877 1 1 1 1 0 46.6670 0.041324 5.7058e-04
1878 1 1 1 1 0 101.0000 0.278270 1.1975e-02
1879 1 1 1 1 0 19.4170 0.014839 1.5455e-04
1880 1 1 1 1 0 32.5830 0.029560 3.8579e-04
1881 1 1 1 1 0 25.1670 0.039043 5.3475e-04
1882 1 1 1 1 0 101.0000 0.337930 1.4893e-02
1883 1 1 1 1 0 12.0830 0.014883 1.5524e-04
1884 1 1 1 1 0 10.5830 0.011857 1.0771e-04
1885 1 1 1 1 0 33.3330 0.034806 4.6819e-04
1886 1 1 1 1 0 101.0000 0.250480 7.5821e-03
height CD CR GPP NPP Rday Rnight
1 13.2630 2.65270 2.02400 411.2800 1.4911e+02 35.09900 76.56400
2 25.1630 5.03270 4.32510 5322.1000 1.4641e+03 498.37000 1094.80000
3 9.4462 1.88920 1.57780 327.9800 1.4997e+02 21.28200 44.66100
4 1.9834 0.39669 0.53179 20.4180 7.4475e+00 2.01340 4.27410
5 5.2310 1.04620 0.77823 57.9520 2.3299e+01 4.80850 10.18100
6 9.7823 1.95650 1.49500 160.2600 7.3575e+01 9.08550 18.62000
7 5.1800 1.03600 1.03290 192.9900 8.9776e+01 13.22300 27.26400
8 17.4640 3.49280 2.66050 2394.2000 8.1066e+02 210.66000 461.76000
9 6.3911 1.27820 1.17950 157.0000 6.8004e+01 11.60700 24.38700
10 21.7040 4.34080 3.39640 2040.7000 7.3675e+02 170.40000 372.07000
11 21.0120 4.20240 3.19040 3010.5000 1.0688e+03 255.23000 557.32000
12 9.2589 1.85180 1.55360 627.6100 2.8867e+02 39.56200 82.35700
13 2.0492 0.40984 0.47071 1.9667 3.0859e-01 0.26793 0.58039
14 4.1403 0.82805 0.86981 10.9510 2.8927e+00 1.00640 2.10240
15 2.1316 0.42631 0.46717 23.5860 1.0027e+01 1.93560 4.06710
16 2.0180 0.40360 0.55257 30.1510 1.1176e+01 2.96520 6.23130
17 4.8135 0.96269 0.96519 53.9510 2.5739e+01 3.10390 6.31140
18 6.8288 1.36580 1.23750 115.7600 2.7612e+01 14.61800 31.71200
19 8.9038 1.78080 1.42220 895.8500 3.9901e+02 62.16100 132.11000
20 2.2396 0.44792 0.57598 16.5320 5.3430e+00 1.77520 3.83690
21 6.8100 1.36200 1.16500 64.3520 2.8345e+01 3.83500 7.99900
22 6.0924 1.21850 1.09730 338.4100 1.5976e+02 22.04600 45.47800
23 6.2427 1.24850 0.98602 128.2100 4.8959e+01 10.72100 23.78000
24 16.0030 3.20060 2.15610 592.6700 1.7656e+02 61.09900 132.98000
25 1.7552 0.35103 0.52264 12.1780 3.8521e+00 1.34780 2.90660
26 30.9080 6.18170 5.26960 16732.0000 6.7806e+03 1073.80000 2220.30000
27 11.8850 2.37710 1.56520 341.5400 1.2357e+02 29.33800 63.66600
28 22.7000 4.54000 3.63930 3478.6000 1.1740e+03 288.73000 632.05000
29 10.4940 2.09890 1.71330 189.5900 5.6849e+01 18.32800 41.65600
30 10.0320 2.00650 1.65350 651.2700 2.4133e+02 56.59900 124.90000
31 28.6090 5.72180 5.52630 17368.0000 5.7961e+03 1454.40000 3106.20000
32 2.0196 0.40393 0.53813 7.0928 1.9658e+00 0.83086 1.78230
33 24.8750 4.97500 4.23240 6669.4000 2.1187e+03 578.58000 1266.50000
34 22.8840 4.57680 3.46660 7540.2000 2.9942e+03 568.43000 1200.90000
35 4.7995 0.95989 1.02480 43.3440 1.3813e+01 4.26540 9.20220
36 9.5990 1.91980 1.41800 601.2600 2.4941e+02 46.05200 99.89500
37 7.8335 1.56670 1.31990 571.0400 2.3064e+02 45.52800 98.49900
38 6.8349 1.36700 1.23830 359.4900 1.7858e+02 20.50800 42.55900
39 6.1969 1.23940 1.15360 345.5900 1.4489e+02 27.13300 58.54000
40 4.1078 0.82156 0.75943 40.8510 1.6919e+01 3.23040 6.80220
41 30.3510 6.07020 5.12010 17253.0000 7.0930e+03 1092.90000 2246.90000
42 2.0558 0.41116 0.57283 28.6450 1.2375e+01 2.26390 4.75740
43 19.3920 3.87830 2.95020 3820.7000 1.4546e+03 294.65000 633.04000
44 23.6150 4.72300 3.50400 7184.1000 2.7336e+03 560.44000 1184.10000
45 11.6290 2.32570 1.76650 481.6700 1.9038e+02 38.47200 84.14900
46 4.1733 0.83466 0.82384 46.9820 1.4300e+01 5.20280 11.19700
47 7.4551 1.49100 1.31960 132.7100 4.0047e+01 13.85700 30.91800
48 4.4435 0.88870 0.91315 33.3360 1.3391e+01 2.51400 5.26310
49 8.4985 1.69970 1.33990 245.5300 1.0335e+02 18.79300 39.95900
50 20.6440 4.12890 2.70360 635.4700 1.9192e+02 58.54100 129.42000
51 3.0037 0.60074 0.73563 30.7300 1.3093e+01 2.34870 4.92310
52 4.8827 0.97655 0.86611 28.8420 1.0398e+01 2.47360 5.17040
53 9.1376 1.82750 1.31470 368.9000 1.2990e+02 34.52300 76.27400
54 30.9040 6.18070 5.26830 18219.0000 7.4581e+03 1157.50000 2381.20000
55 7.6446 1.52890 1.34440 390.4800 1.3727e+02 34.88000 77.05400
56 2.0000 0.39999 0.54445 21.4170 8.1669e+00 2.00150 4.24990
57 11.7070 2.34130 1.78000 342.8800 8.4966e+01 39.71800 89.55000
58 31.5090 6.30180 5.43730 21660.0000 8.1103e+03 1532.20000 3191.10000
59 9.1574 1.83150 1.56730 325.6000 1.1663e+02 29.82300 65.13500
60 13.7400 2.74800 2.76120 1743.9000 5.9173e+02 150.54000 333.02000
61 8.0297 1.60590 1.39450 302.1100 1.0010e+02 29.43300 65.59700
62 6.3952 1.27900 1.18010 350.1800 1.5129e+02 26.53200 55.54200
63 9.4461 1.88920 1.57780 284.7800 1.0074e+02 25.33400 56.14500
64 22.9900 4.59800 3.71160 4392.2000 1.6719e+03 324.83000 698.69000
65 7.0832 1.41660 1.19910 45.4120 1.0831e+01 4.83310 10.66600
66 8.2901 1.65800 1.31170 330.5900 1.2727e+02 26.78300 58.60200
67 6.6750 1.33500 1.21710 260.3000 1.1683e+02 17.95300 38.09700
68 21.9790 4.39570 3.36930 1553.2000 5.3926e+02 121.38000 262.31000
69 2.5047 0.50094 0.49181 13.0180 3.8096e+00 1.52530 3.28950
70 9.2087 1.84170 1.32290 202.4600 6.5849e+01 20.35300 44.94600
71 27.7800 5.55600 4.88280 14244.0000 5.1882e+03 1096.20000 2335.80000
72 9.3012 1.86020 1.23870 185.4100 7.4106e+01 14.40200 31.56400
73 6.8772 1.37540 1.25570 199.9800 9.0935e+01 13.49500 28.52300
74 2.0349 0.40697 0.54079 8.4676 2.1756e+00 1.04870 2.27610
75 2.2016 0.44032 0.56953 19.6370 7.6978e+00 1.74710 3.70680
76 12.7350 2.54700 1.50240 282.2700 7.0582e+01 30.07300 68.77700
77 4.6439 0.92878 0.96515 67.9890 2.4864e+01 6.34470 13.33500
78 5.8922 1.17840 1.03710 103.1000 5.0150e+01 5.86060 12.26200
79 6.9563 1.39130 1.14630 206.0600 8.6329e+01 15.32500 33.84000
80 8.4138 1.68280 1.23170 63.5380 2.2429e+01 4.92260 10.51800
81 11.7520 2.35030 1.78790 630.9700 2.6591e+02 46.95000 99.89300
82 5.1071 1.02140 0.90407 54.1860 2.4079e+01 3.67860 7.60330
83 5.3742 1.07480 0.98272 20.0870 2.6372e+00 2.62020 5.90520
84 3.9944 0.79888 0.71449 34.2620 1.3532e+01 2.90210 6.12030
85 9.7895 1.95790 1.62210 565.3800 2.2745e+02 44.19300 96.84200
86 4.0533 0.81067 0.85726 22.0080 9.0265e+00 1.53780 3.16940
87 2.0509 0.41018 0.48094 6.5515 1.5525e+00 0.85886 1.84970
88 5.1828 1.03660 1.01630 95.9770 2.9705e+01 10.38000 22.65100
89 2.5410 0.50820 0.62364 8.2565 2.0205e+00 0.99060 2.15050
90 8.1746 1.63490 1.41330 98.9240 3.3646e+01 8.49040 18.54300
91 30.7830 6.15660 5.23550 19426.0000 7.1829e+03 1389.10000 2901.00000
92 10.3330 2.06670 1.69250 313.2100 1.2024e+02 25.88300 56.57700
93 2.3069 0.46138 0.51624 13.1890 4.2167e+00 1.43750 3.09060
94 7.4166 1.48330 1.31460 48.4420 1.0573e+01 5.27820 11.45200
95 6.6179 1.32360 1.28630 525.8900 2.3461e+02 36.89100 78.16400
96 6.9687 1.39370 1.07080 329.1100 1.4596e+02 23.45200 50.34600
97 10.3100 2.06190 1.36400 376.9000 1.5001e+02 29.69600 63.59600
98 6.4410 1.28820 1.14230 147.2700 6.6223e+01 9.93410 21.45500
99 9.7105 1.94210 1.75100 820.6600 3.1148e+02 69.52300 152.62000
100 2.9341 0.58682 0.68904 13.8380 5.0150e+00 1.22190 2.59450
101 3.9784 0.79567 0.75358 26.9870 9.2531e+00 2.60070 5.54130
102 25.9880 5.19760 4.32980 4452.5000 1.2860e+03 419.42000 908.30000
103 12.4940 2.49880 1.79520 279.6100 9.9857e+01 23.69200 51.80900
104 2.0830 0.41661 0.54916 4.0694 7.2000e-01 0.55946 1.20340
105 2.7636 0.55273 0.49230 15.3880 5.0674e+00 1.63730 3.53490
106 2.0545 0.41089 0.54421 4.7034 1.1807e+00 0.55732 1.19900
107 30.0820 6.01640 5.41110 19318.0000 6.9723e+03 1529.70000 3240.30000
108 8.3963 1.67930 1.32760 356.9700 1.2100e+02 34.56100 77.23900
109 4.0281 0.80563 0.85361 50.6940 2.2787e+01 3.51770 7.22900
110 6.5934 1.31870 0.93079 214.9400 8.7091e+01 17.89700 37.92500
111 4.2108 0.84217 0.81546 33.6040 1.4551e+01 2.36500 4.89240
112 13.9150 2.78300 1.88460 724.6700 2.5762e+02 65.06100 141.51000
113 9.5634 1.91270 1.54990 324.3200 9.8295e+01 32.16600 71.49100
114 9.4593 1.89190 1.57950 662.7500 2.4072e+02 58.47000 128.96000
115 9.9993 1.99990 1.47870 186.5100 6.7044e+01 16.12300 35.12000
116 6.7242 1.34480 1.22370 241.6000 9.8970e+01 18.55000 40.14600
117 7.4095 1.48190 1.17150 237.5600 9.9920e+01 17.71200 38.43300
118 2.0195 0.40390 0.53811 27.9970 1.1725e+01 2.33850 4.90450
119 9.0840 1.81680 1.62690 731.5900 3.0887e+02 54.44200 115.50000
120 15.1810 3.03610 2.21020 1138.2000 4.6592e+02 81.86100 175.05000
121 19.9360 3.98720 3.03520 3139.5000 1.2245e+03 241.02000 525.62000
122 14.2610 2.85220 2.21060 2035.0000 7.4949e+02 170.12000 370.15000
123 4.4273 0.88546 0.85813 64.3500 2.4221e+01 5.87870 12.45700
124 1.5542 0.31084 0.48288 19.4770 6.3550e+00 2.15200 4.64120
125 30.5900 6.11800 5.18350 15885.0000 6.3939e+03 1029.90000 2130.80000
126 3.8509 0.77017 0.75231 24.7830 9.5944e+00 2.05170 4.33270
127 2.0132 0.40264 0.53700 15.7000 4.5343e+00 1.86670 4.04080
128 8.7316 1.74630 1.54940 144.2000 5.0981e+01 12.24300 26.73900
129 22.7370 4.54730 3.50010 2220.9000 6.9919e+02 190.00000 417.59000
130 11.4880 2.29760 1.70270 270.0800 8.4320e+01 27.08700 59.37000
131 8.1128 1.62260 1.40530 148.3200 5.1373e+01 13.39500 29.80400
132 14.8860 2.97720 2.29590 2221.3000 7.8461e+02 199.00000 433.59000
133 15.5200 3.10390 2.11930 2233.2000 8.2716e+02 186.01000 399.52000
134 10.0000 2.00010 1.32610 363.8000 1.4469e+02 28.48900 62.01800
135 30.7260 6.14520 5.22010 19428.0000 7.3482e+03 1355.50000 2821.10000
136 8.7879 1.75760 1.49270 266.1700 1.1243e+02 19.66500 42.58100
137 3.0161 0.60323 0.70187 53.8940 2.6677e+01 3.30270 6.54280
138 3.7294 0.74588 0.82448 13.2220 4.6124e+00 1.05500 2.20110
139 5.9354 1.18710 1.11860 107.3800 5.1677e+01 6.22340 12.85000
140 6.3996 1.27990 1.26580 170.4100 6.1966e+01 15.63900 34.51400
141 8.6319 1.72640 1.47250 206.8900 8.0685e+01 16.72000 36.57700
142 4.8399 0.96798 0.96888 24.1200 7.2679e+00 2.28130 4.81280
143 3.7488 0.74977 0.81278 36.0630 1.3568e+01 3.19620 6.78510
144 5.3818 1.07640 0.49037 35.9970 1.4359e+01 3.14050 6.67670
145 4.2812 0.85624 0.79849 12.3250 2.8784e+00 1.34010 2.88020
146 5.6508 1.13020 1.08020 56.6850 2.1707e+01 4.56490 9.60440
147 7.4243 1.48490 1.17320 220.3400 1.0539e+02 13.58000 27.82500
148 18.2640 3.65280 2.77870 4061.0000 1.4513e+03 330.48000 703.47000
149 5.5791 1.11580 0.98545 47.1760 9.8691e+00 6.06140 13.53400
150 22.7850 4.55690 3.62570 4701.7000 1.7114e+03 389.23000 842.64000
151 4.2924 0.85849 0.89165 33.5480 1.4683e+01 2.22550 4.59240
152 7.8875 1.57750 1.17580 78.9760 3.2420e+01 5.32060 11.65800
153 5.3867 1.07730 0.88246 336.3800 1.6323e+02 21.47700 44.05700
154 2.4851 0.49702 0.61696 21.0730 8.5568e+00 1.76420 3.71650
155 10.0180 2.00360 0.97848 34.6340 7.0511e+00 3.73870 8.28250
156 9.7623 1.95250 0.94283 140.1800 6.0525e+01 9.93360 20.69000
157 8.5787 1.71570 1.46560 318.3600 1.1135e+02 29.34900 64.81500
158 2.4487 0.48973 0.61095 16.5610 6.3765e+00 1.46910 3.09580
159 4.2884 0.85767 0.67174 24.8970 9.8432e+00 2.03860 4.30950
160 26.7260 5.34520 4.06110 5485.9000 1.8213e+03 448.03000 968.70000
161 10.9170 2.18350 1.76820 471.6900 1.5972e+02 43.79400 96.47000
162 2.3185 0.46369 0.62340 12.3930 5.0533e+00 0.98221 2.06710
163 19.1840 3.83690 2.61370 707.9000 2.6848e+02 53.74100 117.23000
164 5.8949 1.17900 1.07160 63.8040 2.9037e+01 3.81600 8.03550
165 5.8759 1.17520 0.92801 83.2010 2.9621e+01 7.96650 16.98000
166 5.1755 1.03510 1.01530 115.0200 3.6185e+01 12.01300 26.88500
167 5.2766 1.05530 1.02920 54.2530 1.8498e+01 5.06940 10.96400
168 10.8700 2.17410 1.70350 418.0600 1.9896e+02 24.74100 51.89400
169 4.6470 0.92939 0.84322 26.1050 9.3296e+00 2.24850 4.75130
170 3.7929 0.75859 0.81927 36.9830 1.3924e+01 3.27380 6.94960
171 6.7624 1.35250 1.12090 110.4100 4.8218e+01 7.77810 16.13000
172 5.0478 1.00960 0.99773 121.7600 4.1222e+01 12.09000 26.75500
173 8.3961 1.67920 0.77522 67.8200 3.2627e+01 3.91540 7.90610
174 10.1090 2.02190 1.43550 343.4300 1.2827e+02 29.20300 64.09300
175 4.8943 0.97887 0.86050 50.6090 1.9853e+01 4.22860 8.93900
176 3.0069 0.60138 0.70043 50.5350 2.3856e+01 3.36030 6.93790
177 5.6339 1.12680 0.95884 53.7090 2.4016e+01 3.46690 7.11020
178 2.7715 0.55430 0.66331 18.9710 6.4517e+00 1.89430 4.05820
179 8.4625 1.69250 1.48180 345.4000 1.1524e+02 34.64200 75.42000
180 5.8684 1.17370 1.10960 416.9300 1.8261e+02 30.82400 66.24300
181 4.1728 0.83455 0.87449 38.3320 1.4382e+01 3.33830 7.05540
182 19.8540 3.97070 3.02280 6066.7000 2.4454e+03 455.60000 962.87000
183 12.5110 2.50210 1.88760 461.1800 7.5015e+01 62.87000 142.54000
184 4.8416 0.96833 0.98558 33.2780 1.3144e+01 2.42130 5.11360
185 9.5936 1.91870 1.50010 904.1200 4.0074e+02 61.40900 130.09000
186 1.6516 0.33033 0.47185 8.3374 2.4466e+00 0.97691 2.11410
187 3.0382 0.60765 0.70531 26.6660 9.8441e+00 2.47290 5.23970
188 2.5051 0.50103 0.62024 53.0700 2.7260e+01 2.97410 6.01640
189 3.9231 0.78462 0.83834 40.1440 1.9698e+01 2.23390 4.50150
190 4.2459 0.84918 0.88499 39.8250 1.9809e+01 2.07510 4.08490
191 3.5668 0.71336 0.71991 56.4500 2.7175e+01 3.58990 7.31730
192 7.1441 1.42880 1.27890 348.2600 1.6888e+02 21.13000 43.85700
193 5.1247 1.02490 0.83309 25.1540 9.0573e+00 2.09550 4.41310
194 9.4554 1.89110 1.57900 710.8000 3.2488e+02 45.46500 93.99000
195 10.1370 2.02730 1.69990 676.3800 3.0400e+02 46.78300 98.67200
196 8.2852 1.65700 1.51740 386.1400 1.5712e+02 30.17100 65.25000
197 3.0935 0.61871 0.65377 6.5888 1.4376e+00 0.77575 1.65290
198 6.0742 1.21480 1.13720 184.3300 7.9571e+01 13.47500 30.14900
199 7.8978 1.57960 1.19020 246.1100 1.0043e+02 19.35300 42.90300
200 14.8780 2.97550 2.22430 181.7200 2.0264e+01 22.87900 52.05200
201 11.7650 2.35300 1.87870 523.6400 1.5258e+02 56.19900 124.00000
202 27.2000 5.44000 4.81880 15334.0000 5.5014e+03 1221.40000 2569.10000
203 10.0030 2.00050 1.31840 152.6600 5.7729e+01 12.49300 26.85200
204 6.1255 1.22510 0.55343 12.4770 3.5678e+00 1.32170 2.80570
205 1.9711 0.39422 0.52691 5.7683 2.0596e+00 0.53062 1.12890
206 9.0687 1.81370 1.35940 149.7200 5.8451e+01 11.51800 25.50000
207 11.6500 2.32990 1.53420 385.0900 1.0835e+02 39.65800 90.14800
208 2.4832 0.49663 0.56080 21.0880 8.3695e+00 1.85040 3.90500
209 1.9723 0.39446 0.46456 4.3607 1.7548e+00 0.34856 0.73129
210 3.2265 0.64531 0.70558 168.3500 8.7937e+01 9.13140 18.39200
211 24.8490 4.96970 3.94170 600.8800 9.4434e+01 61.86700 134.44000
212 10.1350 2.02690 1.47760 33.5840 3.8076e+00 3.01070 6.55080
213 6.4271 1.28540 1.01330 276.0200 1.1510e+02 21.96200 48.28600
214 13.1630 2.63270 2.06310 2523.9000 1.0269e+03 198.77000 425.64000
215 8.3871 1.67740 1.13470 343.7800 1.2935e+02 29.57200 65.12800
216 18.2460 3.64920 2.84350 1655.8000 6.0219e+02 134.65000 290.82000
217 27.3690 5.47380 4.40500 10431.0000 3.9387e+03 753.28000 1577.30000
218 12.7760 2.55520 1.74350 833.0000 2.9838e+02 75.02900 162.81000
219 4.2569 0.85137 0.88656 52.1270 2.6402e+01 2.71840 5.35520
220 5.9253 1.18510 0.94735 159.1700 8.4614e+01 7.75050 15.35700
221 5.4419 1.08840 1.05180 120.9400 6.3976e+01 5.71880 11.27600
222 4.6865 0.93730 1.00800 95.9870 3.4894e+01 9.06810 19.47000
223 11.3270 2.26540 1.82150 1853.3000 8.2347e+02 128.35000 266.55000
224 5.5040 1.10080 1.13320 130.6100 4.4213e+01 13.05000 28.70000
225 8.6354 1.72710 1.16360 329.8100 1.3622e+02 25.09800 53.99400
226 10.3280 2.06560 1.45230 279.7200 1.1495e+02 21.54600 46.35200
227 4.8410 0.96819 0.98548 95.4250 3.0731e+01 10.25400 21.96400
228 29.6210 5.92410 4.03420 7332.1000 2.8148e+03 527.76000 1109.00000
229 2.6344 0.52688 0.67906 18.5460 6.4614e+00 1.80390 3.85570
230 27.0530 5.41060 4.97970 15008.0000 5.4647e+03 1169.30000 2497.40000
231 5.2047 1.04090 1.03230 36.8980 1.4684e+01 2.62790 5.48800
232 2.0572 0.41144 0.49213 2.7762 6.0142e-01 0.34376 0.74052
233 5.2826 1.05650 0.94087 79.8130 3.9695e+01 4.40160 8.87020
234 3.8166 0.76331 0.66501 41.5750 1.9331e+01 2.79220 5.75240
235 3.4018 0.68035 0.66577 21.1810 7.4205e+00 2.03210 4.34080
236 16.3610 3.27230 2.50180 1922.8000 7.1727e+02 158.74000 348.37000
237 1.6307 0.32614 0.46795 80.0970 4.1660e+01 4.50230 9.08740
238 5.2210 1.04420 1.02160 158.4800 5.2768e+01 16.38700 35.60300
239 3.0130 0.60260 0.70138 77.4730 3.4237e+01 5.93410 12.41800
240 2.7025 0.54050 0.54730 5.0560 1.2176e+00 0.59230 1.27880
241 2.1775 0.43549 0.51364 75.6930 4.0966e+01 3.76040 7.44950
242 2.2961 0.45922 0.61589 9.1349 1.9673e+00 1.20300 2.62790
243 4.0936 0.81873 0.86309 126.5100 6.5432e+01 6.84400 13.78200
244 3.8929 0.77858 0.76244 89.0210 4.7244e+01 4.46210 8.85170
245 3.2985 0.65971 0.70181 39.8980 2.0596e+01 2.10020 4.14270
246 3.7672 0.75344 0.81439 66.1600 3.4566e+01 3.36960 6.66860
247 3.0604 0.61207 0.70875 24.9280 1.2675e+01 1.29770 2.54760
248 2.1022 0.42043 0.49924 22.5080 8.1895e+00 2.22630 4.77030
249 1.6755 0.33511 0.47628 16.3560 6.2319e+00 1.53640 3.28870
250 2.3544 0.47088 0.59529 15.8330 5.5827e+00 1.55220 3.32150
251 7.9687 1.59370 1.38650 49.4290 1.5031e+01 3.77740 8.37970
252 2.8629 0.57259 0.56898 8.8552 2.9400e+00 0.86441 1.84180
253 3.4127 0.68254 0.76266 28.8080 9.5137e+00 2.92960 6.30360
254 9.0785 1.81570 1.53790 149.1400 4.7180e+01 14.27800 31.38700
255 1.9104 0.38209 0.46741 9.1656 2.8128e+00 1.03830 2.23920
256 6.6297 1.32590 1.16660 95.3270 3.7321e+01 7.67650 16.35700
257 8.4732 1.69460 1.46110 321.5200 1.1572e+02 28.98900 63.77100
258 29.0360 5.80710 4.63330 14627.0000 5.3947e+03 1092.90000 2281.50000
259 9.8048 1.96100 0.94865 134.9100 6.4804e+01 7.93910 16.10600
260 12.1540 2.43090 1.92970 291.3900 1.0711e+02 23.48700 51.41000
261 9.3721 1.87440 1.40580 270.0800 9.1949e+01 25.67300 57.10200
262 15.4520 3.09050 2.37420 1683.0000 4.9013e+02 174.52000 387.53000
263 2.7128 0.54255 0.50204 11.0080 4.6317e+00 0.85734 1.79970
264 8.7306 1.74610 1.48530 180.1000 4.5920e+01 20.13200 44.94600
265 6.2651 1.25300 1.16270 101.4800 3.0385e+01 10.57300 23.15000
266 4.9410 0.98820 0.90169 53.8170 1.8637e+01 5.21870 11.07100
267 7.0486 1.40970 1.27800 166.8100 5.1071e+01 17.80800 38.76000
268 8.0049 1.60100 1.39120 395.3200 1.5787e+02 31.95100 68.96900
269 21.2870 4.25730 3.80330 9192.9000 3.5434e+03 693.18000 1461.00000
270 3.6999 0.73998 0.71441 22.9040 1.0646e+01 1.41150 2.85610
271 17.4920 3.49830 2.78060 806.2100 2.1719e+02 80.32000 178.59000
272 14.5450 2.90900 2.24930 2161.6000 8.0192e+02 183.69000 400.50000
273 6.3922 1.27840 0.57695 29.9750 1.3415e+01 2.04750 4.24200
274 5.2024 1.04050 1.04130 77.0100 3.8895e+01 3.89830 7.86160
275 3.0506 0.61012 0.70723 29.9160 1.5425e+01 1.53730 3.02040
276 4.8343 0.96685 0.81762 55.7160 2.1927e+01 4.76320 10.01200
277 2.7677 0.55354 0.66271 14.8630 4.6818e+00 1.56190 3.33930
278 1.5224 0.30448 0.47112 14.9970 5.5363e+00 1.46580 3.13390
279 2.0621 0.41242 0.54553 3.0347 8.0261e-01 0.32040 0.68108
280 1.8157 0.36313 0.53433 8.9189 2.5666e+00 1.03840 2.24850
281 7.0896 1.41790 1.27180 122.1600 5.0648e+01 9.10020 19.14800
282 3.0837 0.61675 0.71237 95.0150 5.0084e+01 4.99240 9.93770
283 30.2180 6.04350 4.97000 13373.0000 5.1662e+03 937.40000 1960.40000
284 10.5170 2.10330 1.78510 252.0600 1.0379e+02 17.93000 38.09200
285 8.7103 1.74210 1.48270 153.1700 5.4131e+01 13.39600 29.20800
286 2.3512 0.47023 0.59475 16.4860 5.9126e+00 1.59560 3.40040
287 3.4510 0.69020 0.76843 46.5490 2.3468e+01 2.56210 5.18370
288 27.5010 5.50030 4.43410 10258.0000 3.5316e+03 811.02000 1713.70000
289 10.9670 2.19340 1.53770 279.7400 1.1918e+02 19.70500 42.62300
290 10.9920 2.19850 1.77800 755.2700 3.5995e+02 44.66700 93.75100
291 3.9379 0.78757 0.75450 97.4120 5.1486e+01 4.97380 9.89990
292 5.5628 1.11260 1.11920 210.8800 7.9764e+01 18.52300 40.67000
293 8.0090 1.60180 1.41100 93.2350 3.0941e+01 8.08420 17.89100
294 6.1936 1.23870 1.03090 97.3310 3.5675e+01 8.82700 19.08100
295 2.4843 0.49686 0.61682 28.4350 1.1329e+01 2.49770 5.25160
296 2.7515 0.55029 0.66011 33.6970 1.3908e+01 2.79370 5.88460
297 4.1309 0.82619 0.86847 80.7340 4.1853e+01 4.19010 8.34270
298 2.2402 0.44803 0.57608 51.0000 2.7663e+01 2.46620 4.86710
299 4.9192 0.98384 0.97991 138.2400 6.5187e+01 8.90420 18.62600
300 11.8520 2.37050 1.89010 1526.2000 7.6138e+02 86.03700 174.95000
301 2.5630 0.51261 0.54658 38.1300 2.0724e+01 1.80540 3.55590
302 24.2090 4.84180 3.83110 5426.0000 1.8210e+03 451.87000 991.01000
303 3.2049 0.64098 0.66954 20.3510 6.6510e+00 2.09810 4.48560
304 2.6568 0.53136 0.64492 15.4420 5.1977e+00 1.54530 3.30400
305 8.1116 1.62230 1.29900 162.9600 6.7921e+01 12.24300 25.82300
306 5.8376 1.16750 1.15770 96.3540 3.2894e+01 9.08160 20.37500
307 10.4860 2.09720 1.61410 307.4800 1.0148e+02 29.92600 66.60900
308 2.6063 0.52125 0.63674 20.8850 7.9847e+00 1.87240 3.97470
309 11.6290 2.32590 1.86100 297.5700 7.6272e+01 34.14600 75.97000
310 8.0327 1.60650 1.28790 124.2600 4.2468e+01 11.49400 25.15700
311 10.3290 2.06580 1.69190 1105.9000 4.3986e+02 86.88400 189.72000
312 3.0588 0.61176 0.66704 11.9220 3.9624e+00 1.14480 2.41460
313 25.7630 5.15260 4.06770 10942.0000 4.3893e+03 803.11000 1688.50000
314 8.9399 1.78800 1.40190 84.4990 2.9000e+01 6.63740 14.66600
315 6.8380 1.36760 1.13840 120.5100 4.6071e+01 10.36400 22.17500
316 4.0705 0.81410 0.85974 36.4500 1.2812e+01 3.45460 7.26140
317 19.8030 3.96070 2.97180 2112.0000 6.9233e+02 182.61000 405.03000
318 26.5950 5.31890 4.23880 10189.0000 3.6134e+03 836.04000 1778.60000
319 5.1592 1.03180 0.83185 128.9500 6.5931e+01 7.06780 14.13300
320 2.4263 0.48526 0.60725 8.5250 2.7570e+00 0.85139 1.81230
321 3.0672 0.61344 0.54981 10.5520 3.3771e+00 1.09480 2.33300
322 3.0609 0.61218 0.70883 6.1730 7.6532e-01 0.84935 1.83540
323 19.4100 3.88190 2.70340 955.5600 3.1707e+02 85.22900 185.64000
324 8.3634 1.67270 1.43780 98.8140 2.5528e+01 10.74300 23.57700
325 14.2160 2.84310 2.98190 1398.0000 3.7215e+02 151.50000 339.99000
326 25.2360 5.04730 4.34390 6143.3000 1.8649e+03 545.02000 1202.60000
327 4.7262 0.94525 0.99951 46.0200 1.7382e+01 3.78480 8.20420
328 6.7685 1.35370 1.22950 33.5940 8.5993e+00 3.11820 6.63130
329 12.3820 2.47650 1.81000 1847.3000 7.4017e+02 144.83000 308.71000
330 2.6050 0.52100 0.64752 42.3430 1.8996e+01 3.13010 6.51690
331 8.6838 1.73680 1.47920 410.6000 1.6032e+02 33.37200 73.68000
332 6.3962 1.27920 1.05110 126.7500 5.7197e+01 8.72680 18.04300
333 5.2591 1.05180 1.02680 212.8900 8.1533e+01 18.35500 40.75800
334 16.2920 3.25830 2.49190 1858.6000 5.6999e+02 176.08000 392.62000
335 9.6935 1.93870 1.67660 300.8900 1.2799e+02 20.94200 46.83200
336 5.0767 1.01530 0.91904 57.8760 2.2005e+01 5.03860 10.62900
337 3.0532 0.61064 0.62547 50.2770 2.2725e+01 3.65280 7.60130
338 2.2393 0.44785 0.57593 55.7570 3.0056e+01 2.76600 5.46030
339 5.7837 1.15670 1.17480 152.1400 6.1224e+01 12.51600 27.08900
340 8.5199 1.70400 1.45800 291.2700 1.0346e+02 25.56600 56.26500
341 2.0497 0.40994 0.52168 7.2839 1.6301e+00 0.97251 2.10370
342 9.8965 1.97930 1.45770 64.5400 1.6352e+01 5.73190 12.94500
343 7.4654 1.49310 1.16960 87.2120 2.9259e+01 8.04510 17.73400
344 3.6481 0.72961 0.84751 46.5590 2.0902e+01 3.22240 6.70600
345 4.0960 0.81920 0.86342 25.9800 1.0117e+01 2.04470 4.23860
346 2.0533 0.41065 0.47726 7.2688 1.6861e+00 0.97007 2.09340
347 11.4240 2.28490 1.83420 446.3600 1.6027e+02 39.14900 85.45700
348 3.7066 0.74133 0.80536 30.6840 9.6329e+00 3.23610 6.93990
349 33.8560 6.77120 4.85760 16376.0000 6.1387e+03 1196.50000 2501.20000
350 12.4030 2.48050 1.69810 214.3600 6.7640e+01 20.16100 44.04500
351 19.7890 3.95790 3.07330 720.0800 1.9390e+02 71.94200 161.50000
352 2.1771 0.43542 0.56269 15.7110 6.2235e+00 1.36390 2.88920
353 5.9170 1.18340 1.12020 136.7200 5.5975e+01 10.85900 23.10000
354 2.4327 0.48653 0.53293 19.0200 6.3621e+00 2.02960 4.30570
355 13.1930 2.63860 2.06710 784.5600 2.7972e+02 68.32100 148.46000
356 2.0444 0.40888 0.46998 12.7050 4.3390e+00 1.33310 2.83700
357 3.0882 0.61764 0.71306 14.5460 4.7359e+00 1.44190 3.02780
358 4.3487 0.86973 0.69019 25.3800 9.0554e+00 2.36850 4.98600
359 6.4185 1.28370 1.08530 110.7900 3.8929e+01 10.36900 22.51100
360 8.9678 1.79360 1.61100 150.3600 4.2935e+01 15.11600 34.78900
361 4.0197 0.80395 0.80288 28.6420 1.0424e+01 2.56400 5.41170
362 17.8370 3.56740 2.71530 1847.7000 5.4374e+02 185.51000 408.88000
363 3.8428 0.76855 0.62057 20.6070 7.4181e+00 1.91770 4.09900
364 4.3079 0.86159 0.84207 31.0770 1.1868e+01 2.58280 5.42870
365 3.8643 0.77287 0.82975 41.8690 1.8412e+01 2.97870 6.17510
366 28.3440 5.66890 4.62480 6053.0000 2.2338e+03 430.10000 920.66000
367 9.0848 1.81700 1.53110 298.0600 1.0313e+02 28.39300 62.58900
368 27.9090 5.58180 5.15240 11780.0000 3.8619e+03 1010.10000 2143.80000
369 11.9810 2.39630 1.90700 455.6500 1.8489e+02 34.32500 74.39700
370 15.7430 3.14850 3.12370 3679.6000 1.3286e+03 305.90000 666.21000
371 4.1405 0.82810 0.79606 50.0820 1.7494e+01 4.95220 10.56800
372 21.6780 4.33570 3.26300 1081.8000 3.2491e+02 99.54200 221.07000
373 20.6910 4.13820 2.91530 3932.1000 1.4768e+03 297.03000 635.06000
374 9.2921 1.85840 1.45920 351.8500 1.2359e+02 32.60700 72.66100
375 6.2617 1.25230 0.56538 39.9080 1.7709e+01 2.86580 5.97420
376 1.8215 0.36431 0.50297 17.7850 6.4414e+00 1.76600 3.77030
377 6.6196 1.32390 1.02480 326.6700 1.3364e+02 26.15000 57.89100
378 6.1506 1.23010 1.05890 56.8060 2.3683e+01 3.94820 8.27310
379 22.2970 4.45950 3.39210 2034.9000 5.6636e+02 198.47000 435.59000
380 4.6834 0.93669 0.94700 56.3140 2.5328e+01 3.75570 7.75160
381 4.7771 0.95542 0.96011 52.6920 2.3776e+01 3.42230 7.05860
382 5.3686 1.07370 0.86097 29.5450 1.0843e+01 2.42510 5.11760
383 12.0590 2.41170 1.91720 447.3000 1.1217e+02 50.50000 113.11000
384 16.3600 3.27200 2.13890 634.3600 2.4701e+02 48.38700 103.76000
385 17.5990 3.51990 2.32750 1400.7000 4.2722e+02 131.91000 289.26000
386 15.1110 3.02210 2.16170 608.9000 1.8639e+02 61.55400 135.15000
387 4.6465 0.92929 0.86366 44.5080 1.9091e+01 3.21610 6.68280
388 31.0820 6.21640 5.31740 19997.0000 7.4272e+03 1422.10000 2965.40000
389 4.1755 0.83510 0.84115 4.4338 5.1498e-01 0.36223 0.74558
390 2.4624 0.49249 0.61322 13.4840 4.5180e+00 1.36090 2.91660
391 1.7655 0.35311 0.49281 47.0200 2.5742e+01 2.24390 4.41960
392 27.1010 5.42030 4.26280 7027.3000 2.0448e+03 673.26000 1482.50000
393 3.1729 0.63459 0.63459 19.2370 6.8034e+00 1.84140 3.93340
394 2.0625 0.41250 0.54560 7.3689 2.3611e+00 0.76937 1.63710
395 4.3726 0.87452 0.90308 56.3990 2.1788e+01 4.86810 10.34900
396 4.9705 0.99411 0.98703 42.0250 1.6484e+01 3.21650 6.90550
397 6.1540 1.23080 1.01050 18.9250 5.1422e+00 1.55510 3.32530
398 20.4610 4.09210 3.10500 3226.2000 1.4104e+03 214.71000 452.07000
399 11.5640 2.31290 1.96700 628.4800 2.4282e+02 51.13000 109.21000
400 2.6035 0.52069 0.53376 19.2470 7.8147e+00 1.63470 3.44740
401 3.4965 0.69929 0.70373 16.9860 6.6161e+00 1.36340 2.87030
402 10.3230 2.06470 1.57760 330.2800 9.9193e+01 32.65800 73.89000
403 4.9442 0.98883 0.98338 49.1670 1.8957e+01 4.00010 8.55480
404 11.3590 2.27170 1.49630 248.5000 6.7238e+01 26.10600 60.04000
405 3.9683 0.79366 0.84492 28.7570 1.0576e+01 2.51010 5.28720
406 3.9234 0.78467 0.73663 17.7720 6.4862e+00 1.51350 3.18160
407 5.9320 1.18640 1.03090 40.3390 1.7177e+01 2.52370 5.17000
408 1.7647 0.35294 0.49266 8.2543 2.6761e+00 0.88431 1.90320
409 7.1902 1.43800 1.09680 88.3970 4.0425e+01 5.29940 11.27600
410 17.1350 3.42690 2.61260 440.8700 1.1618e+02 44.70700 98.15500
411 10.5700 2.11400 1.72320 408.5400 1.5155e+02 35.11100 76.63100
412 10.9640 2.19290 1.67710 287.7500 7.5515e+01 33.12400 73.26200
413 10.3980 2.07960 1.54420 186.6900 6.2622e+01 17.08900 37.54900
414 3.5588 0.71176 0.79882 26.2230 9.5321e+00 2.36480 4.99510
415 1.8027 0.36053 0.49956 29.8970 1.2251e+01 2.59690 5.48740
416 5.7494 1.14990 0.83630 29.4410 1.2146e+01 2.01930 4.19210
417 21.9250 4.38510 3.36030 4179.4000 1.3260e+03 382.22000 836.12000
418 24.9670 4.99350 4.26050 9708.5000 4.0270e+03 645.07000 1353.30000
419 5.9320 1.18640 0.99511 34.2290 1.3019e+01 2.50590 5.25480
420 17.1540 3.43080 2.61540 1015.8000 3.1616e+02 99.67900 219.25000
421 7.8878 1.57760 1.38630 73.4020 1.9092e+01 7.71750 16.62200
422 4.7298 0.94596 0.95350 37.5790 1.5973e+01 2.56460 5.31780
423 21.0760 4.21530 3.23270 2860.6000 1.1508e+03 199.23000 423.78000
424 4.0756 0.81511 0.86047 22.0680 7.4174e+00 2.01670 4.24590
425 5.3742 1.07480 0.95264 61.7770 2.8973e+01 3.73670 7.63390
426 2.8696 0.57392 0.67888 15.1780 4.7120e+00 1.60140 3.43050
427 4.0996 0.81993 0.86395 17.1300 6.6798e+00 1.18710 2.46670
428 10.9800 2.19600 1.86530 415.3800 1.2814e+02 39.55900 88.97400
429 3.1432 0.62863 0.69323 18.7030 7.0805e+00 1.61750 3.42080
430 2.8067 0.56134 0.58112 16.7220 5.7563e+00 1.67350 3.58200
431 10.7350 2.14690 1.74450 154.1800 4.7531e+01 13.75800 30.82700
432 7.6359 1.52720 1.34320 316.0100 1.1487e+02 27.03000 59.24500
433 10.5610 2.11230 1.39520 193.1500 7.1678e+01 16.13200 35.68500
434 2.6687 0.53374 0.64683 19.0650 6.5385e+00 1.90630 4.07570
435 6.1702 1.23400 1.20390 59.3440 2.1987e+01 4.64860 10.06100
436 32.3860 6.47720 5.76940 22576.0000 8.5397e+03 1665.20000 3503.60000
437 6.5499 1.31000 1.01400 148.0900 6.9155e+01 9.37740 20.44400
438 2.0684 0.41368 0.51439 8.6521 2.9629e+00 0.87856 1.84700
439 2.8592 0.57184 0.67724 15.4810 5.2096e+00 1.51850 3.24660
440 28.1790 5.63580 5.29090 13189.0000 5.3136e+03 913.17000 1906.00000
441 3.1804 0.63608 0.64450 28.1370 1.2433e+01 2.05510 4.26970
442 15.6700 3.13390 3.04130 1534.9000 4.0802e+02 156.39000 347.68000
443 2.8671 0.57342 0.65174 13.9450 4.8119e+00 1.33100 2.83590
444 8.4182 1.68360 1.44490 375.7500 1.4255e+02 31.78900 69.16500
445 13.5680 2.71350 2.17380 608.7000 1.9184e+02 57.26400 124.38000
446 4.7786 0.95573 0.98175 55.4390 1.2786e+01 7.03520 15.65800
447 27.0360 5.40720 4.13220 6259.0000 2.3114e+03 461.59000 989.72000
448 26.9200 5.38400 4.30780 4155.1000 1.6765e+03 266.43000 570.72000
449 2.0738 0.41475 0.54755 13.2160 4.6277e+00 1.31560 2.82650
450 34.0160 6.80320 4.89250 16223.0000 6.0294e+03 1193.60000 2493.30000
451 6.8748 1.37500 1.24350 251.6800 1.0307e+02 19.65000 43.36900
452 3.1031 0.62063 0.53352 2.6716 6.8309e-01 0.24675 0.51846
453 3.8487 0.76975 0.82650 22.9750 8.4976e+00 1.93300 4.08210
454 3.2930 0.65860 0.79235 17.3950 6.3620e+00 1.47510 3.11210
455 26.1990 5.23980 4.15640 5915.6000 1.9360e+03 513.61000 1119.50000
456 6.1289 1.22580 1.14450 95.5290 3.8074e+01 7.50040 16.37400
457 31.6610 6.33210 5.48070 20487.0000 7.2902e+03 1517.80000 3196.60000
458 7.0692 1.41380 1.26910 118.4200 4.6781e+01 9.26220 20.21100
459 15.5630 3.11260 2.38960 1637.5000 6.7830e+02 119.27000 252.74000
460 23.5180 4.70350 3.58260 4868.0000 1.6901e+03 401.45000 875.11000
461 7.5888 1.51780 1.33710 120.2000 4.6807e+01 9.17150 20.58900
462 2.2404 0.44808 0.57348 16.1910 5.5344e+00 1.65500 3.55130
463 5.1485 1.02970 1.02850 35.9100 1.3563e+01 2.78830 5.78070
464 2.6337 0.52673 0.60353 13.9740 4.4063e+00 1.49360 3.20440
465 3.5516 0.71032 0.78351 26.6660 9.7594e+00 2.40290 5.07780
466 2.9613 0.59226 0.69117 22.9000 9.1180e+00 1.90920 4.03070
467 3.2160 0.64320 0.64937 15.7350 5.0593e+00 1.61370 3.44880
468 10.2520 2.05040 1.56840 162.3500 6.4935e+01 11.55800 24.52200
469 4.3770 0.87540 0.96218 32.8170 1.2468e+01 2.62740 5.53320
470 2.9417 0.58834 0.69023 26.9660 1.0744e+01 2.28410 4.82350
471 5.1050 1.02100 0.84912 107.4400 5.0200e+01 7.22390 14.90300
472 2.2125 0.44250 0.58693 27.7850 1.2450e+01 2.06610 4.26890
473 7.5096 1.50190 1.03420 297.0600 1.1539e+02 24.99500 55.61100
474 2.4652 0.49303 0.53247 21.1620 8.2169e+00 1.92350 4.06980
475 9.3013 1.86030 1.65660 360.0300 1.2596e+02 33.04300 71.98000
476 2.0167 0.40335 0.53763 6.9586 1.6102e+00 0.90179 1.96150
477 9.6943 1.93890 1.43990 336.8000 1.0619e+02 34.02000 76.23200
478 1.8989 0.37978 0.51683 7.7374 2.2911e+00 0.87910 1.89190
479 30.5350 6.10690 5.16870 12983.0000 5.3888e+03 803.64000 1670.10000
480 7.2657 1.45310 1.29490 86.6070 3.2042e+01 7.02410 14.95600
481 4.8566 0.97133 0.74744 27.9500 8.6925e+00 2.91780 6.19280
482 3.4089 0.68178 0.76208 19.6430 7.1801e+00 1.71500 3.63280
483 4.6170 0.92340 0.88347 30.7190 1.0911e+01 2.70940 5.72630
484 7.0684 1.41370 1.26900 151.7600 5.6958e+01 13.09000 28.92000
485 9.0653 1.81310 1.44390 131.5800 5.5493e+01 8.60930 18.34800
486 6.7518 1.35040 1.22730 79.1080 2.9640e+01 6.42510 13.65400
487 2.5042 0.50083 0.59549 17.1010 5.3373e+00 1.88110 4.04840
488 5.9743 1.19490 1.12380 85.1330 4.0050e+01 4.82830 10.43500
489 2.5298 0.50596 0.54180 15.5710 5.2668e+00 1.60700 3.44770
490 25.6950 5.13910 4.46110 6670.4000 1.9244e+03 601.59000 1325.10000
491 11.2900 2.25810 1.67850 329.1600 1.4192e+02 22.82700 48.70700
492 2.0661 0.41321 0.54622 10.3990 3.3398e+00 1.10550 2.38790
493 2.4559 0.49118 0.61214 14.3720 4.6188e+00 1.52150 3.25450
494 5.0389 1.00780 0.99649 25.3770 8.1189e+00 2.21720 4.70330
495 8.7056 1.74110 1.49830 115.8600 3.8021e+01 10.24500 22.69200
496 7.1236 1.42470 1.27620 287.9000 1.0668e+02 25.10500 56.02900
497 3.7852 0.75705 0.81814 105.0000 4.3573e+01 8.74090 18.48600
498 12.5600 2.51210 1.83540 665.4300 2.3657e+02 60.07100 131.74000
499 11.0620 2.21230 1.80540 90.4950 1.2535e+01 10.47600 23.79000
500 2.3117 0.46234 0.59945 19.6520 7.6957e+00 1.74060 3.66770
501 2.7617 0.55235 0.60244 14.6220 5.2705e+00 1.37250 2.91580
502 5.3813 1.07630 0.49033 25.6130 1.0738e+01 2.04150 4.30140
503 3.9771 0.79542 0.86575 41.4370 1.8347e+01 2.85880 5.92480
504 18.7680 3.75370 3.26670 2319.3000 7.7349e+02 210.06000 455.35000
505 8.0516 1.61030 1.41660 139.9600 5.0294e+01 12.12400 26.48500
506 8.9048 1.78100 1.42410 273.8700 9.0042e+01 26.74300 59.77500
507 9.6379 1.92760 1.60260 222.4600 8.0603e+01 19.72700 41.75800
508 2.7787 0.55573 0.66445 25.7450 9.7872e+00 2.33400 4.95460
509 2.4745 0.49490 0.59080 16.1460 5.4594e+00 1.65370 3.53460
510 3.1020 0.62040 0.71520 18.7750 5.9883e+00 1.94190 4.14710
511 8.6675 1.73350 1.47710 217.9300 7.9114e+01 19.05700 43.01600
512 5.8371 1.16740 1.12880 176.2000 5.7716e+01 17.94000 40.01100
513 4.2985 0.85970 0.78420 115.5000 5.9571e+01 6.23760 12.59400
514 2.1855 0.43710 0.56678 25.1900 9.5427e+00 2.37510 5.02960
515 2.7504 0.55007 0.55381 22.3350 7.8088e+00 2.26190 4.83460
516 26.9120 5.38230 4.22560 8270.1000 3.0298e+03 655.81000 1418.20000
517 5.0562 1.01120 0.81763 24.6510 9.2152e+00 1.97230 4.13140
518 2.6621 0.53242 0.64577 125.6400 6.6831e+01 6.51900 12.99400
519 1.8959 0.37919 0.51630 9.2291 3.2098e+00 0.92070 1.97070
520 7.0293 1.40590 1.26390 55.1340 1.8935e+01 4.22560 9.63720
521 29.3510 5.87030 4.51760 13682.0000 5.2212e+03 1025.00000 2142.00000
522 7.6901 1.53800 1.35030 87.7870 3.4121e+01 6.33610 13.72100
523 3.5367 0.70734 0.65691 35.1440 1.5590e+01 2.56780 5.32680
524 4.8075 0.96150 0.96436 56.9770 2.5064e+01 3.93170 8.14920
525 21.6230 4.32460 3.48440 4640.7000 1.8275e+03 334.24000 715.97000
526 8.7919 1.75840 1.49320 141.8000 5.0435e+01 11.98400 26.38800
527 1.8105 0.36210 0.50097 20.0620 7.7790e+00 1.84910 3.93640
528 8.2230 1.64460 1.41960 77.7220 2.5655e+01 6.41710 13.99800
529 11.1210 2.22410 1.46570 331.4300 1.1577e+02 29.75200 64.63900
530 15.8930 3.17870 2.16570 499.5800 1.6451e+02 44.86100 98.36100
531 3.9490 0.78980 0.74711 7.3528 2.0442e+00 0.62583 1.31830
532 5.2230 1.04460 1.02190 194.2900 7.1555e+01 17.82600 39.75200
533 2.0528 0.41056 0.48984 7.3573 1.8131e+00 0.94726 2.04010
534 2.9696 0.59392 0.69460 24.0010 9.2017e+00 2.10870 4.47650
535 6.1787 1.23570 1.15120 52.4790 2.0220e+01 3.92280 8.18850
536 2.0633 0.41266 0.54574 3.5966 1.0427e+00 0.36985 0.77712
537 5.9733 1.19470 0.94681 74.6360 2.7512e+01 6.72430 14.31600
538 10.7340 2.14670 1.74440 229.2200 7.0595e+01 22.55000 50.09400
539 5.0949 1.01900 1.00420 489.1600 2.2187e+02 35.51300 75.00100
540 4.9576 0.99153 0.98525 478.3200 2.0972e+02 36.80700 78.48100
541 5.2758 1.05520 1.02910 702.2500 3.3207e+02 47.86700 99.13200
542 1.8926 0.37852 0.54902 14.9780 5.5127e+00 1.43540 3.06010
543 3.9184 0.78367 0.64093 25.8640 1.0541e+01 2.10350 4.37960
544 2.9392 0.58784 0.60222 13.5530 4.5045e+00 1.36060 2.91650
545 6.5098 1.30200 1.19530 162.2900 7.0316e+01 11.61000 25.54100
546 8.4218 1.68440 1.44530 192.9200 7.3994e+01 15.94400 34.84000
547 4.9530 0.99061 0.92786 124.7300 5.1381e+01 10.33100 21.72700
548 4.1072 0.82143 0.72845 53.8000 2.3391e+01 4.08040 8.51190
549 13.7060 2.74110 1.80810 392.5200 1.0537e+02 40.40400 90.21800
550 26.3970 5.27950 4.19750 5179.9000 1.4902e+03 466.06000 1017.00000
551 3.6966 0.73931 0.85528 118.5300 4.9963e+01 9.60510 20.29400
552 5.8469 1.16940 1.10670 88.9270 4.2040e+01 5.18500 10.87400
553 3.0859 0.61718 0.65268 141.2000 6.5546e+01 10.08500 20.90700
554 20.7750 4.15490 3.16940 1106.6000 3.4148e+02 103.16000 227.90000
555 3.1932 0.63863 0.72925 10.5010 -1.3558e+01 5.64340 13.48900
556 26.1380 5.22750 4.35290 7063.5000 2.4519e+03 566.20000 1232.20000
557 14.0310 2.80630 1.93770 419.6500 9.7238e+01 46.15100 104.71000
558 6.6023 1.32050 1.20750 174.5900 7.5662e+01 12.61300 27.51400
559 27.7880 5.55760 5.09260 9280.4000 3.3437e+03 721.85000 1545.70000
560 12.0400 2.40800 1.91120 870.4400 3.1002e+02 76.65500 167.59000
561 3.3928 0.67856 0.75965 69.6600 2.7502e+01 6.10900 13.01000
562 22.9110 4.58220 3.65360 913.1200 2.5101e+02 86.21300 190.22000
563 4.5439 0.90878 0.97285 40.4450 1.7772e+01 2.63940 5.44500
564 2.8415 0.56831 0.53739 17.0910 7.1811e+00 1.36130 2.85270
565 8.6808 1.73620 1.39660 311.1000 9.6783e+01 31.99600 71.22200
566 9.2467 1.84930 1.23550 339.3500 1.3861e+02 25.85200 56.18100
567 14.2970 2.85950 3.02290 1801.2000 6.2133e+02 152.47000 337.25000
568 5.0039 1.00080 0.99310 32.5020 1.2336e+01 2.39660 5.28680
569 25.1170 5.02340 3.93970 7275.8000 3.0850e+03 487.56000 1014.90000
570 7.1809 1.43620 0.64992 40.6700 2.0397e+01 2.12860 4.19690
571 17.1580 3.43150 2.61600 2074.3000 6.7952e+02 193.16000 427.85000
572 6.1421 1.22840 1.14630 264.6800 1.1500e+02 19.11900 41.79200
573 9.9678 1.99360 1.47500 281.2700 8.8906e+01 26.94700 60.10400
574 5.2406 1.04810 1.02430 109.2400 5.2791e+01 6.47610 13.59100
575 3.0490 0.60979 0.75245 48.7580 2.2123e+01 3.46230 7.18180
576 2.1220 0.42439 0.50236 3.5949 8.3550e-01 0.44471 0.94421
577 2.6079 0.52157 0.58310 30.6400 1.2327e+01 2.66950 5.63240
578 2.9715 0.59429 0.73960 13.3610 4.8686e+00 1.13320 2.39230
579 10.9380 2.18760 1.77090 148.6100 4.6325e+01 13.10600 28.33100
580 7.8342 1.56680 1.21420 137.5400 4.2537e+01 14.34600 31.05800
581 2.5058 0.50116 0.62035 13.8210 4.9824e+00 1.28790 2.75360
582 9.4820 1.89640 1.58240 349.1400 1.1619e+02 33.08300 74.02000
583 6.0493 1.20990 1.09170 104.8800 4.6512e+01 7.14090 15.26800
584 8.8952 1.77900 1.50660 267.9800 7.8863e+01 27.53100 62.80600
585 3.4049 0.68098 0.66299 33.5370 1.4050e+01 2.67530 5.62620
586 2.7127 0.54255 0.49684 25.8320 1.0328e+01 2.29890 4.82040
587 3.8949 0.77897 0.83421 29.2770 1.2751e+01 2.00110 4.12730
588 4.8979 0.97958 0.85551 32.6400 1.3362e+01 2.40510 4.98300
589 8.1121 1.62240 1.40520 198.5900 7.2395e+01 17.30700 39.21300
590 7.0819 1.41640 0.64045 17.3560 5.9038e+00 1.49420 3.15410
591 3.8804 0.77608 0.83210 26.3610 9.9780e+00 2.19730 4.63880
592 2.0189 0.40379 0.53801 30.5080 1.1699e+01 2.86400 6.07840
593 2.9847 0.59694 0.69696 30.1280 1.0968e+01 2.87500 6.10460
594 2.6305 0.52610 0.64067 27.5710 1.1136e+01 2.33480 4.95640
595 3.1289 0.62578 0.60424 29.9890 1.1460e+01 2.74810 5.82810
596 5.4692 1.09380 1.05550 198.3100 9.4130e+01 12.28000 26.86800
597 7.6371 1.52740 1.34340 149.4200 4.9437e+01 14.47500 32.13700
598 2.9091 0.58183 0.68511 33.9400 1.4967e+01 2.51190 5.24010
599 5.4432 1.08860 1.05200 126.2700 3.4256e+01 14.96900 32.71600
600 4.8243 0.96487 0.86642 55.4290 2.0488e+01 5.05480 10.72400
601 23.3850 4.67700 3.44660 2085.3000 6.4633e+02 190.63000 419.38000
602 33.0760 6.61520 4.69220 14684.0000 5.4090e+03 1096.40000 2298.50000
603 6.3593 1.27190 1.17530 323.9100 1.2736e+02 26.82400 59.67400
604 3.1071 0.62143 0.73314 89.6430 3.9747e+01 6.80020 14.21600
605 2.4033 0.48067 0.60344 89.7400 3.8461e+01 7.32250 15.43900
606 2.0601 0.41201 0.54518 11.5580 4.1132e+00 1.13990 2.39120
607 15.6940 3.13880 2.40780 1509.2000 4.7286e+02 146.73000 323.52000
608 5.0616 1.01230 0.82512 27.1770 9.9001e+00 2.29560 4.80960
609 3.3079 0.66158 0.66138 21.3800 8.1133e+00 1.88460 3.98930
610 8.3285 1.66570 1.31940 136.2300 5.3960e+01 10.51300 22.70600
611 12.0130 2.40260 1.90780 270.7800 6.6705e+01 31.31100 68.85200
612 4.6302 0.92604 0.85617 51.1730 2.2849e+01 3.51180 7.28420
613 31.3930 6.27860 5.40430 20863.0000 7.6550e+03 1509.00000 3154.60000
614 7.1305 1.42610 1.08480 74.6450 3.2239e+01 4.93460 10.37700
615 19.1670 3.83330 2.87730 1590.9000 5.1486e+02 137.98000 305.37000
616 11.9000 2.38000 1.89630 541.4500 1.4811e+02 59.78300 133.42000
617 2.0937 0.41873 0.52901 35.3360 1.3916e+01 3.21910 6.83430
618 2.4598 0.49197 0.55438 25.6440 9.8304e+00 2.36820 5.02410
619 6.1965 1.23930 1.07630 304.1000 1.3850e+02 20.59800 45.17700
620 2.9307 0.58614 0.59840 33.0080 1.2802e+01 2.98530 6.34250
621 7.5476 1.50950 1.35740 741.5300 3.0705e+02 57.60300 127.44000
622 31.5810 6.31610 5.45770 20278.0000 7.2144e+03 1503.00000 3167.20000
623 7.1511 1.43020 1.09500 80.6520 3.5131e+01 5.27180 11.21400
624 12.1690 2.43380 1.93170 582.0800 2.4182e+02 44.03400 94.20400
625 5.2912 1.05820 1.03120 32.9520 1.1314e+01 2.75600 5.90220
626 4.2721 0.85441 0.88873 130.5700 5.6001e+01 10.30800 21.59500
627 4.7130 0.94260 0.95114 34.9550 1.5051e+01 2.29800 4.72900
628 3.8237 0.76474 0.76245 176.1400 9.4005e+01 8.91280 17.87400
629 2.3909 0.47817 0.63632 0.0000 -1.1820e+00 0.22028 0.47303
630 3.4802 0.69604 0.57829 12.6000 5.0487e+00 0.99472 2.09470
631 8.1730 1.63460 1.25520 97.8690 3.8867e+01 7.09160 15.55500
632 10.1740 2.03480 1.67190 39.1590 1.2185e+00 4.21480 9.32070
633 27.0510 5.41010 4.83320 12621.0000 4.3510e+03 999.25000 2150.10000
634 9.9063 1.98130 1.58140 207.6200 7.8664e+01 16.93200 36.45600
635 3.9407 0.78814 0.84090 26.9410 9.6397e+00 2.40770 5.09210
636 2.7145 0.54290 0.65419 31.7260 1.1622e+01 3.06060 6.49860
637 5.5910 1.11820 1.01070 70.1620 1.4697e+01 9.46930 20.72800
638 9.9239 1.98480 1.63950 211.4400 6.5046e+01 20.78400 45.58800
639 2.9995 0.59990 0.69927 13.0280 5.1048e+00 1.01690 2.13890
640 8.3521 1.67040 1.13070 83.6570 2.3274e+01 8.84150 20.03000
641 31.2660 6.25310 5.36840 18597.0000 6.4891e+03 1412.90000 3001.50000
642 6.0609 1.21220 1.04270 106.9300 3.1155e+01 11.92800 26.72700
643 25.4580 5.09160 4.14190 4921.9000 1.8335e+03 374.12000 800.13000
644 3.6293 0.72587 0.81373 66.9840 3.0667e+01 4.66570 9.67870
645 3.8359 0.76717 0.65254 44.4320 1.8276e+01 3.65640 7.72140
646 10.4580 2.09150 1.52470 319.0300 1.1547e+02 29.02000 62.47800
647 2.9208 0.58417 0.68695 14.2960 5.7601e+00 1.10830 2.31080
648 15.0220 3.00440 2.21570 900.6300 2.7937e+02 85.12100 184.88000
649 3.4017 0.68034 0.61129 15.8150 5.9053e+00 1.40030 2.95780
650 4.5964 0.91927 0.98054 11.5560 1.2534e+00 1.38590 3.11960
651 6.4867 1.29730 1.19220 418.2600 1.6465e+02 35.24200 76.59700
652 8.7930 1.75860 1.40170 255.7200 9.4154e+01 21.69900 47.39200
653 30.4250 6.08500 4.73410 14731.0000 5.4870e+03 1122.50000 2358.80000
654 10.2610 2.05220 1.44450 242.1000 8.5124e+01 22.13500 49.23600
655 28.9720 5.79450 5.74170 22293.0000 7.9602e+03 1768.90000 3712.30000
656 25.5130 5.10260 4.25890 7332.3000 2.2067e+03 649.35000 1421.30000
657 5.9346 1.18690 1.19720 132.9700 6.2449e+01 8.17480 17.27000
658 1.9639 0.39277 0.52834 6.1348 1.6755e+00 0.71453 1.55440
659 3.3106 0.66211 0.74718 33.2300 1.6255e+01 1.95950 3.86460
660 5.1034 1.02070 1.00540 201.2500 9.8283e+01 12.25300 25.84300
661 6.7026 1.34050 1.17590 135.5000 4.2627e+01 13.95900 31.07700
662 11.1810 2.23620 1.82920 614.6400 2.2510e+02 54.03800 117.73000
663 13.1960 2.63920 1.88800 77.0710 4.6947e-01 10.14600 22.61900
664 12.5100 2.50210 1.71110 203.0300 5.6355e+01 20.75200 46.33500
665 4.6920 0.93839 0.94819 115.3200 5.0243e+01 8.77560 18.32200
666 32.9590 6.59180 4.66790 15034.0000 5.7025e+03 1089.70000 2270.30000
667 2.7214 0.54428 0.54988 20.3210 8.6171e+00 1.61310 3.38130
668 26.7670 5.35340 4.27720 4928.9000 1.3541e+03 480.42000 1061.30000
669 13.4280 2.68570 1.82370 405.4000 1.6841e+02 29.11700 63.32000
670 15.1870 3.03750 2.59790 409.5400 1.1654e+02 39.46500 87.08300
671 21.4010 4.28020 3.26160 4028.6000 1.5318e+03 314.43000 684.64000
672 4.0061 0.80123 0.75734 27.4570 1.0244e+01 2.40740 5.08660
673 25.4860 5.09730 4.01240 9649.2000 3.5402e+03 819.29000 1745.30000
674 6.0687 1.21370 1.13650 361.0200 1.3594e+02 32.27000 70.72900
675 11.0320 2.20640 1.78310 284.3500 8.7625e+01 28.72300 63.59600
676 8.0735 1.61470 1.40020 161.5500 4.9216e+01 16.49900 37.65400
677 1.7649 0.35299 0.49270 61.2810 3.0667e+01 3.77220 7.70670
678 25.6250 5.12510 4.04010 2476.8000 7.8478e+02 202.33000 445.70000
679 5.1244 1.02490 1.00830 30.7390 1.0149e+01 2.64110 5.83150
680 20.8470 4.16940 3.66960 1562.6000 2.7089e+02 187.68000 420.76000
681 4.5508 0.91016 0.81668 172.0800 8.7893e+01 9.53270 19.32400
682 5.4065 1.08130 0.95679 209.2000 1.0839e+02 11.00900 21.98300
683 8.6178 1.72360 1.47070 165.6600 5.8596e+01 14.63400 32.24000
684 2.1476 0.42953 0.58946 5.5724 2.1765e+00 0.43971 0.87741
685 6.7507 1.35010 1.04110 70.7960 3.0235e+01 4.91170 10.19800
686 2.9612 0.59224 0.69329 30.7750 1.1924e+01 2.72570 5.78760
687 26.5840 5.31670 4.23640 6093.3000 2.0401e+03 516.64000 1127.90000
688 2.2807 0.45614 0.61661 186.8200 9.9292e+01 9.78730 19.75500
689 3.3185 0.66370 0.60303 31.3730 1.2331e+01 2.77340 5.86810
690 6.2253 1.24510 1.15740 366.4900 1.4031e+02 31.82600 70.76100
691 7.6964 1.53930 1.30250 423.5800 1.4676e+02 39.93200 87.73600
692 7.6931 1.53860 1.20380 369.5900 1.4245e+02 31.21900 68.35000
693 6.0788 1.21580 1.03150 32.4340 9.5759e+00 3.06430 6.52500
694 2.8586 0.57171 0.67714 23.8180 9.7513e+00 1.93760 4.06040
695 10.9620 2.19240 1.93780 94.6160 2.0831e+01 8.58290 18.89100
696 2.4731 0.49461 0.61497 12.7050 4.1986e+00 1.29320 2.76480
697 2.1364 0.42728 0.55837 16.6020 7.2024e+00 1.26900 2.65640
698 4.5274 0.90547 0.82951 81.5420 2.9970e+01 7.70950 16.42100
699 29.2670 5.85340 4.84480 15126.0000 5.6633e+03 1175.90000 2486.10000
700 7.5614 1.51230 1.04000 59.1880 2.6703e+01 3.34670 7.00120
701 14.9990 2.99980 2.31140 917.3200 3.6201e+02 70.99900 151.69000
702 2.2645 0.45291 0.58020 20.4980 8.0119e+00 1.82260 3.88280
703 3.9838 0.79677 0.90084 26.6090 9.1554e+00 2.41180 5.12800
704 4.6911 0.93822 0.94807 87.5300 4.2101e+01 5.38060 10.95500
705 2.8844 0.57687 0.68121 30.0600 1.3511e+01 2.14110 4.42490
706 8.9729 1.79460 1.39720 235.8600 8.4795e+01 21.53800 47.54700
707 9.3951 1.87900 1.34440 256.2000 1.2204e+02 15.34100 31.99000
708 28.1650 5.63290 5.28340 19555.0000 7.2000e+03 1514.40000 3162.80000
709 6.4039 1.28080 1.20550 199.0500 8.0102e+01 16.43700 35.57400
710 8.2628 1.65260 1.37410 164.7800 7.0006e+01 11.52500 25.03800
711 10.6460 2.12930 1.07330 102.4900 3.9373e+01 7.99330 17.34600
712 5.9264 1.18530 1.11740 105.4200 4.2566e+01 8.22500 18.22600
713 3.0269 0.60539 0.66236 14.2530 4.1881e+00 1.56420 3.34990
714 4.2509 0.85018 0.92948 41.6760 1.8957e+01 2.63580 5.41810
715 23.9580 4.79160 3.71970 2064.5000 4.1065e+02 237.24000 531.02000
716 2.2791 0.45583 0.58266 15.7020 5.7668e+00 1.47710 3.16340
717 18.8430 3.76850 2.72930 911.8300 2.2297e+02 100.46000 223.88000
718 3.7476 0.74951 0.64074 125.1200 6.0046e+01 8.27820 17.12500
719 5.5706 1.11410 1.07230 52.4330 2.1387e+01 3.76960 7.95000
720 3.6940 0.73880 0.80347 15.3600 4.7588e+00 1.47550 3.13600
721 2.8243 0.56487 0.67171 16.6890 6.1311e+00 1.50610 3.20420
722 2.1138 0.42277 0.58623 25.4880 9.6021e+00 2.40410 5.12750
723 3.6437 0.72875 0.79723 15.5850 4.9650e+00 1.48060 3.11620
724 4.2887 0.85774 0.81109 24.3260 9.1355e+00 1.99960 4.21980
725 8.8885 1.77770 1.50570 358.5100 1.5672e+02 25.19300 54.55100
726 4.0510 0.81020 0.69511 65.5280 3.3984e+01 3.50290 6.92590
727 6.4965 1.29930 1.19350 386.0400 1.5270e+02 31.94300 69.71300
728 2.0257 0.40513 0.53649 1.6169 8.7447e-02 0.23596 0.51672
729 3.7633 0.75267 0.81492 60.1290 2.8782e+01 3.80830 7.71710
730 5.7150 1.14300 1.00300 47.3030 2.0561e+01 3.00550 6.34760
731 4.2816 0.85632 0.78201 23.8990 9.1705e+00 1.92940 4.06570
732 2.3184 0.46367 0.62727 35.3760 1.4979e+01 2.87240 6.03990
733 12.4160 2.48310 1.42100 113.7300 3.4601e+01 9.83900 22.49400
734 9.2899 1.85800 1.38560 283.9700 7.8634e+01 31.34600 71.48200
735 7.7557 1.55110 1.28250 236.1500 9.1384e+01 20.01800 43.72000
736 11.9380 2.38770 1.71180 279.8400 8.5916e+01 27.19800 59.54100
737 4.3272 0.86543 0.89660 28.9330 1.0529e+01 2.45670 5.21130
738 11.2490 2.24980 1.70150 472.4300 1.5549e+02 45.55400 101.21000
739 30.4760 6.09530 5.15320 12757.0000 4.9885e+03 848.90000 1784.80000
740 11.9080 2.38150 1.30550 344.7900 1.2243e+02 29.32700 64.32000
741 4.5518 0.91037 0.82449 17.6670 5.3089e+00 1.69440 3.60510
742 5.6505 1.13010 1.08020 326.7100 1.4770e+02 22.83400 48.91500
743 13.5370 2.70730 2.07580 2065.7000 8.1907e+02 169.98000 366.37000
744 2.1238 0.42476 0.55620 7.7723 3.2677e+00 0.59503 1.19600
745 26.4820 5.29640 4.53670 9245.4000 2.9506e+03 781.39000 1705.20000
746 4.9351 0.98701 0.98211 29.9870 1.1479e+01 2.22100 4.67920
747 16.9070 3.38130 2.57970 676.7400 1.9004e+02 66.46400 150.29000
748 23.0610 4.61210 3.49860 781.2600 1.9524e+02 76.98500 170.41000
749 8.7883 1.75770 1.32740 119.0000 4.6407e+01 8.96480 19.55100
750 8.5173 1.70350 1.36010 174.6700 6.9590e+01 13.63900 29.83300
751 6.9418 1.38840 1.17160 343.0300 1.2385e+02 31.45900 70.53900
752 6.2810 1.25620 1.21920 392.3400 1.5781e+02 31.46900 69.37600
753 7.6608 1.53220 1.16360 415.7600 1.6321e+02 35.20700 75.72700
754 6.9325 1.38650 1.25110 425.6500 1.5717e+02 37.48000 83.87400
755 19.2650 3.85290 3.08530 441.7600 8.0528e+01 49.17900 109.03000
756 3.6946 0.73892 0.73101 21.9050 8.2950e+00 1.86640 3.93320
757 2.0664 0.41327 0.54627 6.5071 1.4840e+00 0.84796 1.81810
758 8.3724 1.67450 1.26180 50.4520 1.5799e+01 4.15040 8.66570
759 13.2190 2.64390 1.64230 432.3200 1.3541e+02 40.38300 89.30800
760 5.1656 1.03310 0.78189 22.2290 7.7918e+00 1.92240 4.02470
761 5.7430 1.14860 0.91378 35.0640 1.3662e+01 2.64240 5.52960
762 4.0480 0.80960 0.85648 21.5110 7.9093e+00 1.76270 3.68170
763 2.4367 0.48735 0.55089 11.8510 3.9221e+00 1.23000 2.62370
764 7.1022 1.42040 1.16550 42.3210 1.4642e+01 3.17330 6.84550
765 2.6451 0.52901 0.55830 31.0350 1.4990e+01 1.98270 4.08150
766 4.4556 0.89113 0.97432 57.6890 2.7825e+01 3.30250 6.73660
767 14.3170 2.86350 2.14160 1774.1000 7.2657e+02 135.25000 289.06000
768 24.3100 4.86200 3.85620 2987.1000 8.0029e+02 291.22000 648.89000
769 2.4528 0.49056 0.62234 20.7050 7.8643e+00 1.89620 3.99570
770 2.4564 0.49128 0.61222 25.9780 9.3869e+00 2.54900 5.42350
771 2.2405 0.44809 0.59039 21.0580 7.9462e+00 1.96410 4.16650
772 14.0860 2.81720 1.91950 312.5900 1.0012e+02 29.31200 63.79600
773 2.2104 0.44208 0.53739 22.7860 8.2292e+00 2.26220 4.82580
774 7.2761 1.45520 1.10490 285.1400 1.3217e+02 18.54600 39.38300
775 8.5201 1.70400 1.27440 77.9280 2.7714e+01 6.24710 13.33300
776 4.8041 0.96083 0.96389 62.0410 3.0767e+01 3.34220 6.68710
777 9.1013 1.82030 1.53320 1544.5000 6.8169e+02 112.29000 236.28000
778 2.2313 0.44625 0.58483 58.8130 3.1606e+01 2.95080 5.82570
779 22.7030 4.54060 3.49410 3859.0000 1.4201e+03 299.67000 651.15000
780 10.2150 2.04290 1.57860 303.9200 1.4169e+02 18.67700 38.60200
781 2.4882 0.49763 0.48955 18.6830 7.0442e+00 1.76760 3.74840
782 30.8370 6.16740 5.25000 17529.0000 6.0294e+03 1335.90000 2824.80000
783 4.9599 0.99198 0.86881 24.9910 7.3178e+00 2.53860 5.43500
784 30.0340 6.00670 5.03750 12070.0000 4.3954e+03 869.17000 1843.40000
785 3.7623 0.75247 0.81477 29.5550 1.1818e+01 2.35550 4.94450
786 28.0310 5.60610 5.21390 11191.0000 4.3988e+03 798.58000 1673.60000
787 9.7575 1.95150 1.58950 263.7400 1.2055e+02 16.62400 34.35000
788 12.5210 2.50430 1.97810 126.4700 3.5133e+01 10.34300 21.87100
789 3.0959 0.61917 0.62116 47.7790 1.9931e+01 3.94210 8.31230
790 9.4868 1.89740 1.68200 316.7500 1.0115e+02 31.85600 68.42200
791 9.2617 1.85230 1.55400 314.1600 1.2583e+02 24.54700 53.42400
792 4.4195 0.88390 0.81292 22.0870 7.4304e+00 2.01990 4.28510
793 1.7929 0.35859 0.49779 19.5390 7.8395e+00 1.72420 3.66100
794 2.9272 0.58544 0.60054 16.7080 6.4620e+00 1.44900 3.07230
795 2.5371 0.50742 0.62548 11.7700 4.2770e+00 1.06680 2.26530
796 25.4800 5.09600 3.96660 8575.6000 3.1460e+03 671.20000 1431.00000
797 14.2930 2.85850 2.10020 322.4700 7.4418e+01 37.40900 83.19400
798 3.9529 0.79059 0.76612 110.6500 5.2179e+01 7.34050 15.20000
799 5.8931 1.17860 1.11690 83.1400 3.6767e+01 5.47000 11.67400
800 6.1439 1.22880 1.21940 157.7500 6.1783e+01 13.19300 28.93800
801 3.3285 0.66570 0.74819 27.7220 1.0450e+01 2.45880 5.21600
802 1.7534 0.35068 0.49060 33.9070 1.8292e+01 1.69060 3.32980
803 3.1054 0.62107 0.71572 34.3330 1.3542e+01 2.97600 6.28880
804 1.8295 0.36591 0.50441 12.6620 4.0515e+00 1.39710 2.99910
805 10.2030 2.04060 1.67560 250.1100 8.1804e+01 23.77500 53.38200
806 5.7481 1.14960 0.96080 67.6930 2.7418e+01 5.35180 11.25100
807 1.6097 0.32193 0.47277 18.6340 6.6393e+00 1.90120 4.06370
808 2.4894 0.49789 0.53812 22.3860 9.8299e+00 1.69990 3.56260
809 30.4650 6.09300 5.04500 15703.0000 5.6355e+03 1190.60000 2503.50000
810 7.7791 1.55580 1.25480 288.8100 1.2282e+02 21.15600 45.53700
811 10.4760 2.09510 1.71090 282.5200 9.7182e+01 25.91400 57.66000
812 3.1119 0.62239 0.62874 3.9924 7.9688e-01 0.43556 0.91944
813 1.8511 0.37023 0.53492 10.3570 4.1395e+00 0.88054 1.86220
814 1.8112 0.36224 0.50110 19.9990 7.5939e+00 1.89510 4.02310
815 27.9720 5.59450 4.47480 9304.8000 3.4657e+03 751.37000 1597.20000
816 2.6402 0.52803 0.58791 16.7960 6.0398e+00 1.61480 3.43340
817 3.1029 0.62058 0.71533 6.9995 1.4672e+00 0.81491 1.72880
818 7.3866 1.47730 1.32970 151.0200 5.0963e+01 14.56300 31.99700
819 5.0192 1.00380 0.99377 52.3770 2.1560e+01 3.85160 8.28810
820 6.8234 1.36470 0.95662 201.7400 9.5147e+01 12.93800 26.65100
821 7.5522 1.51040 1.04430 92.9740 3.6070e+01 7.61330 16.31400
822 5.0831 1.01660 1.06660 64.6390 2.9207e+01 4.12460 8.56090
823 17.2260 3.44520 2.97140 2618.0000 9.4659e+02 233.95000 509.52000
824 1.7106 0.34212 0.49227 31.1810 1.2046e+01 2.93590 6.21580
825 2.8865 0.57730 0.68154 159.5400 8.4658e+01 8.32990 16.71000
826 2.7477 0.54954 0.63346 34.8780 9.2628e+00 4.36760 9.49030
827 2.7605 0.55211 0.67403 158.7700 8.3761e+01 8.46260 16.95300
828 4.9580 0.99159 0.88285 35.4760 1.2933e+01 3.07490 6.48630
829 2.8504 0.57008 0.62363 146.1300 7.9066e+01 7.19460 14.35200
830 2.5731 0.51461 0.57137 32.2380 1.3368e+01 2.68820 5.68010
831 2.8761 0.57523 0.57075 14.9100 4.9817e+00 1.52750 3.26580
832 7.9525 1.59050 0.72736 37.1600 1.4466e+01 2.92190 6.14950
833 7.1674 1.43350 1.23530 235.1600 9.7020e+01 18.17100 39.81700
834 34.9540 6.99080 5.10340 18007.0000 6.7658e+03 1306.40000 2721.30000
835 4.6650 0.93300 0.84562 31.1180 1.4737e+01 1.71850 3.45940
836 11.1180 2.22370 1.79430 316.0800 1.1214e+02 28.53600 61.33800
837 9.9870 1.99740 1.47720 119.6200 3.8450e+01 10.49100 23.57100
838 1.9913 0.39827 0.53318 29.8710 1.2456e+01 2.50910 5.29870
839 21.1300 4.22600 3.41250 2764.7000 7.6765e+02 270.96000 601.71000
840 8.8439 1.76880 1.18790 146.4800 5.5735e+01 12.20200 26.77500
841 3.7745 0.75490 0.72425 18.4830 6.4034e+00 1.70440 3.61390
842 31.3050 6.26110 5.37960 19913.0000 7.1438e+03 1469.40000 3090.50000
843 8.9255 1.78510 1.51050 154.6200 6.6243e+01 10.04000 21.53100
844 25.5860 5.11720 4.18590 2453.4000 8.1142e+02 208.10000 450.37000
845 4.4209 0.88419 0.91006 32.1770 1.1933e+01 2.70440 5.70790
846 4.5809 0.91618 0.76447 22.3940 7.9612e+00 1.96420 4.15380
847 3.2660 0.65320 0.67814 41.8890 1.4866e+01 4.17750 8.90980
848 2.6668 0.53337 0.64653 8.8907 3.1399e+00 0.78379 1.65290
849 2.8215 0.56430 0.67127 166.7100 8.8420e+01 8.73730 17.53700
850 9.6992 1.93980 1.44310 1248.3000 5.9231e+02 79.88600 163.70000
851 2.8671 0.57341 0.68988 17.6160 5.6338e+00 1.83370 3.92490
852 3.5506 0.71012 0.58655 20.3840 7.0363e+00 2.01950 4.33800
853 4.2537 0.85074 0.88610 123.9500 6.3593e+01 6.78370 13.46400
854 6.6903 1.33810 1.15000 173.9400 7.4040e+01 12.98300 28.55200
855 2.0419 0.40838 0.54202 5.6564 2.0948e+00 0.49277 1.03260
856 3.1052 0.62104 0.71569 17.1000 6.4257e+00 1.46800 3.08590
857 3.4106 0.68211 0.67569 20.3010 7.3868e+00 1.85610 3.93750
858 4.0150 0.80299 0.75853 14.5290 4.8372e+00 1.29100 2.72780
859 2.6913 0.53826 0.65047 20.5370 8.1773e+00 1.72790 3.66370
860 7.0613 1.41230 1.26810 60.6840 1.9398e+01 5.34720 11.72400
861 4.8206 0.96412 0.96618 292.0200 1.5165e+02 15.65400 31.33000
862 34.1020 6.82040 4.91140 16626.0000 6.2329e+03 1214.60000 2531.90000
863 4.5893 0.91786 0.81669 19.7030 6.9800e+00 1.63380 3.44640
864 26.7920 5.35850 4.64400 8534.8000 2.9411e+03 695.93000 1496.40000
865 1.9030 0.38061 0.47623 14.3140 5.6613e+00 1.28280 2.70530
866 3.3288 0.66577 0.60438 23.8270 9.2354e+00 2.10350 4.45140
867 2.0650 0.41301 0.47910 19.2560 9.0238e+00 1.34130 2.72240
868 8.1532 1.63060 1.26020 677.1100 2.8594e+02 53.45400 113.31000
869 1.7578 0.35155 0.50378 23.8190 6.9885e+00 2.86290 6.18100
870 4.3312 0.86623 0.89717 106.6500 5.6678e+01 5.21390 10.31100
871 25.0440 5.00880 4.13290 5806.1000 1.7647e+03 514.56000 1118.70000
872 4.9939 0.99877 0.99026 63.0700 1.7714e+01 7.12150 15.83600
873 5.9767 1.19530 1.12420 84.1090 3.7685e+01 5.45150 11.37900
874 24.2320 4.84650 3.51250 4555.9000 1.5550e+03 394.46000 866.96000
875 2.0315 0.40629 0.47793 3.7449 1.1068e+00 0.40457 0.86246
876 6.1600 1.23200 1.14870 202.7300 7.3487e+01 18.68000 41.71100
877 7.3322 1.46640 1.30360 84.7630 3.2563e+01 6.37730 13.76500
878 25.6800 5.13600 3.88520 4678.6000 1.3226e+03 465.46000 1025.30000
879 8.1743 1.63490 1.30740 40.1940 -3.8936e-01 6.59480 14.57400
880 12.1890 2.43770 1.93420 224.4200 6.7326e+01 20.85300 47.16300
881 9.3975 1.87950 1.51680 178.3200 6.1528e+01 15.91000 35.18200
882 6.1998 1.24000 1.15400 114.6500 3.9999e+01 10.79000 23.90600
883 7.8241 1.56480 1.16850 147.4300 4.5575e+01 15.25800 33.86500
884 7.4581 1.49160 1.40340 293.9200 9.4609e+01 29.18500 65.35100
885 3.0865 0.61730 0.62526 7.3258 2.1995e+00 0.72628 1.52650
886 5.7924 1.15850 1.00930 131.5800 4.0055e+01 14.62000 31.73900
887 1.8077 0.36153 0.50046 41.8860 2.2992e+01 1.96950 3.87910
888 26.4390 5.28770 4.55270 12681.0000 4.6852e+03 1022.60000 2190.50000
889 7.6423 1.52850 1.23640 331.5400 1.3189e+02 27.33900 60.22400
890 10.0690 2.01380 1.65530 275.7700 6.4597e+01 31.32000 71.30700
891 9.0778 1.81560 1.53020 318.1400 1.0762e+02 29.69500 66.85800
892 9.3631 1.87260 1.40020 143.2800 5.4469e+01 11.21400 24.68600
893 6.1113 1.22230 0.55220 11.8720 2.8505e+00 1.40420 3.00930
894 25.7770 5.15530 4.24790 7412.4000 2.9368e+03 524.49000 1107.80000
895 3.0537 0.61073 0.70770 18.5210 5.6734e+00 1.99130 4.25480
896 17.6240 3.52470 2.68390 573.6900 1.5022e+02 60.95800 135.00000
897 3.2168 0.64336 0.67701 175.5300 9.3872e+01 8.92030 17.86700
898 7.5970 1.51940 1.39810 60.6610 1.0304e+01 7.59320 16.76700
899 7.0988 1.41980 1.27300 118.5400 4.5397e+01 9.66080 21.15700
900 2.8066 0.56133 0.66891 23.0530 9.3913e+00 1.88550 3.97150
901 14.6510 2.93030 2.24240 1120.6000 3.4867e+02 102.73000 229.90000
902 3.1921 0.63841 0.77594 15.6180 5.5519e+00 1.36150 2.87960
903 3.6612 0.73223 0.79982 15.0960 5.1201e+00 1.32490 2.78550
904 15.4100 3.08190 2.78330 577.6000 1.2863e+02 64.59200 144.34000
905 4.1602 0.83205 0.83902 28.8970 1.2895e+01 1.84480 3.79340
906 10.8620 2.17250 1.10870 209.9800 8.1083e+01 16.33500 36.17900
907 2.0875 0.41749 0.52798 9.7442 3.4686e+00 0.95459 1.99910
908 25.2760 5.05510 3.33790 2149.2000 5.3138e+02 218.69000 482.41000
909 3.1389 0.62778 0.72089 20.6170 7.6046e+00 1.84500 3.91180
910 2.4476 0.48952 0.61077 16.5210 4.1704e+00 2.10620 4.53320
911 10.8070 2.16150 1.75390 253.6700 9.1451e+01 20.88000 45.95700
912 14.3770 2.87540 2.04910 737.7700 3.0633e+02 52.35800 113.16000
913 2.0673 0.41346 0.56005 9.3550 2.9542e+00 1.01010 2.13730
914 8.7542 1.75080 1.50480 189.6100 7.0019e+01 16.14400 35.28100
915 7.5036 1.50070 1.13130 102.1600 4.4079e+01 6.95000 14.92300
916 13.1810 2.63620 2.53430 207.1500 4.6117e+01 20.13900 44.47100
917 2.6459 0.52918 0.64315 11.4770 3.8076e+00 1.12640 2.40820
918 3.4821 0.69642 0.77310 18.3380 6.6187e+00 1.58820 3.37740
919 4.5852 0.91703 0.93318 25.0760 9.7356e+00 1.82370 3.79950
920 7.0494 1.40990 1.34660 232.5300 1.0183e+02 16.60000 35.58600
921 9.1402 1.82800 1.37170 273.1700 1.0342e+02 23.31400 51.69800
922 7.9731 1.59460 1.27640 195.8700 7.5209e+01 16.60500 36.74000
923 7.1543 1.43090 0.64736 17.0720 5.6390e+00 1.50380 3.16160
924 2.0745 0.41490 0.54768 10.2920 3.1430e+00 1.16310 2.44310
925 28.5660 5.71310 4.83940 14753.0000 5.5747e+03 1113.90000 2362.90000
926 8.6326 1.72650 1.53630 121.6600 4.5027e+01 9.47070 20.37300
927 5.5814 1.11630 0.98575 31.7880 6.1810e+00 3.99950 8.84710
928 2.9163 0.58325 0.59640 18.0370 5.7349e+00 1.93800 4.17090
929 6.6961 1.33920 1.21990 88.4530 3.2183e+01 7.34010 16.63000
930 2.5597 0.51193 0.66159 26.8770 1.1641e+01 2.04310 4.28290
931 28.6170 5.72330 5.26730 17271.0000 6.3248e+03 1395.00000 2989.70000
932 9.9360 1.98720 1.62690 496.9800 1.9874e+02 37.93900 81.79900
933 4.6022 0.92045 0.70741 14.9440 6.5421e+00 0.88326 1.79840
934 13.8320 2.76640 2.01180 674.3500 2.4802e+02 55.26400 120.67000
935 6.4548 1.29100 1.00180 64.6530 2.7298e+01 4.52570 9.64820
936 2.8892 0.57783 0.60409 56.9160 3.0316e+01 2.88310 5.70070
937 2.3985 0.47970 0.60264 119.4900 6.3335e+01 6.31280 12.60100
938 3.9477 0.78954 0.73848 174.1800 9.1335e+01 9.19860 18.57200
939 3.3081 0.66161 0.74680 196.5600 9.7332e+01 12.26300 24.89900
940 29.2700 5.85390 4.84550 13993.0000 5.0104e+03 1102.80000 2356.10000
941 7.5952 1.51900 1.24280 150.9100 6.6343e+01 10.22800 22.09800
942 30.9490 6.18970 5.28060 18917.0000 7.3911e+03 1272.30000 2634.30000
943 4.1440 0.82881 0.70703 27.9230 1.0560e+01 2.44790 5.16520
944 3.7664 0.75329 0.68601 2.7659 -2.0107e-02 0.33432 0.72391
945 19.0750 3.81500 3.05160 644.7600 1.9877e+02 56.93100 125.63000
946 33.3250 6.66510 4.74440 15290.0000 5.6822e+03 1131.10000 2364.90000
947 8.9051 1.78100 1.50790 153.3500 5.2474e+01 13.66700 30.22000
948 20.0340 4.00680 2.98370 2595.6000 8.0922e+02 237.91000 528.14000
949 12.3080 2.46150 1.39510 331.6500 1.0271e+02 31.18500 70.14000
950 26.7060 5.34130 4.63250 8824.1000 2.6701e+03 838.16000 1844.00000
951 3.1027 0.62053 0.71530 11.2940 3.4024e+00 1.14650 2.41710
952 19.4100 3.88190 2.88520 2969.1000 1.0859e+03 238.78000 519.95000
953 10.1080 2.02160 1.66330 383.4800 1.5399e+02 30.96500 65.89100
954 9.2588 1.85180 1.46680 317.4100 1.1719e+02 28.48500 61.69300
955 10.0940 2.01870 0.98929 75.5970 2.3630e+01 7.44560 15.97100
956 4.2845 0.85689 0.71265 65.8020 2.6195e+01 5.64030 11.96100
957 23.2110 4.64230 3.72100 5084.1000 2.0675e+03 372.09000 789.91000
958 1.7375 0.34751 0.48770 3.2593 1.1694e+00 0.28905 0.61076
959 2.1145 0.42290 0.55460 34.0360 1.4949e+01 2.64330 5.53500
960 3.1319 0.62638 0.53697 58.0140 3.0898e+01 2.97400 5.88230
961 2.2838 0.45676 0.52754 5.5436 3.6880e-01 0.95566 2.12790
962 2.5410 0.50820 0.49678 7.0218 -6.8797e-03 1.37490 3.06700
963 2.4521 0.49042 0.51280 10.6860 -5.4712e-01 2.27910 5.10030
964 10.9880 2.19760 1.62470 756.3300 2.8364e+02 63.27900 135.82000
965 13.3460 2.66930 2.07680 1713.9000 6.8344e+02 132.65000 284.10000
966 5.8163 1.16330 1.02730 378.5100 1.6147e+02 29.38600 63.45800
967 3.1685 0.63370 0.72546 18.1420 5.7851e+00 1.85030 3.97210
968 27.2800 5.45600 4.85450 8536.1000 2.7578e+03 733.04000 1585.20000
969 9.9284 1.98570 1.47410 101.1600 3.4114e+01 8.10950 17.86200
970 2.9586 0.59173 0.69288 23.2570 9.2675e+00 1.93900 4.09360
971 18.6000 3.71990 2.59390 3574.1000 1.2856e+03 289.21000 621.39000
972 7.8557 1.57110 1.26500 160.3400 6.5249e+01 12.38200 26.93000
973 10.2430 2.04850 1.35570 448.0100 2.0163e+02 29.58100 62.36600
974 4.2605 0.85210 0.88708 89.1290 3.8352e+01 6.71590 14.03100
975 7.9825 1.59650 1.30400 233.1800 8.7139e+01 20.46300 45.61600
976 3.5406 0.70812 0.78043 20.6220 7.3394e+00 1.84620 3.92080
977 3.8638 0.77277 0.82967 68.4160 2.1869e+01 7.45830 16.10200
978 8.2862 1.65720 1.12310 43.1390 1.6302e+01 2.83580 5.75940
979 7.1858 1.43720 1.14550 221.0200 8.9579e+01 17.05600 37.44800
980 8.8493 1.76990 1.41440 0.0000 -1.4902e+01 2.03780 4.70480
981 25.6090 5.12190 3.38730 2600.1000 6.5530e+02 259.91000 577.15000
982 4.6909 0.93817 0.94804 77.8880 3.1696e+01 6.37940 13.43900
983 7.8200 1.56400 1.36720 258.1700 9.3095e+01 23.03800 52.91200
984 10.7930 2.15850 1.09710 139.2400 5.8545e+01 10.07400 21.06900
985 16.3880 3.27760 2.83120 1097.3000 3.1608e+02 113.60000 249.60000
986 6.3295 1.26590 0.98575 292.5800 1.2059e+02 23.37400 51.71400
987 3.0926 0.61852 0.59924 39.8240 1.6714e+01 3.27140 6.85410
988 2.9560 0.59120 0.69247 145.2900 7.6863e+01 7.59170 15.23800
989 1.9072 0.38144 0.55178 6.2592 3.2331e-01 1.12140 2.49850
990 10.8890 2.17780 1.83430 2200.6000 9.9037e+02 159.52000 334.16000
991 2.2344 0.44688 0.58537 69.1700 3.7138e+01 3.49130 6.90620
992 6.1392 1.22780 1.02450 112.2000 3.9192e+01 10.81700 23.07500
993 6.5485 1.30970 1.21260 92.4350 3.9435e+01 6.22490 13.63500
994 26.2090 5.24170 4.48570 9271.3000 3.3350e+03 764.67000 1651.10000
995 3.6874 0.73747 0.67609 19.4040 6.9320e+00 1.79520 3.77540
996 4.3919 0.87838 0.90582 37.3670 1.4254e+01 3.11570 6.57150
997 3.1654 0.63307 0.64244 21.7620 7.6642e+00 2.11760 4.50630
998 4.0885 0.81769 0.75691 55.6300 2.1180e+01 5.03730 10.72000
999 11.2960 2.25910 1.81740 849.2000 2.9471e+02 76.29400 168.26000
1000 5.4956 1.09910 0.96820 62.6730 2.9786e+01 3.65310 7.42010
1001 3.5689 0.71379 0.78610 37.4170 1.6109e+01 2.79210 5.79750
1002 6.9032 1.38060 1.14640 311.6300 1.1327e+02 28.51200 63.78200
1003 9.2172 1.84340 1.54820 238.8200 6.7459e+01 25.49600 57.09100
1004 3.7355 0.74711 0.61972 34.9690 1.2244e+01 3.50550 7.40820
1005 2.4483 0.48966 0.61089 26.0500 9.5750e+00 2.51150 5.30270
1006 2.3713 0.47425 0.55110 23.0990 8.3232e+00 2.29510 4.87360
1007 2.5408 0.50817 0.62361 17.9550 5.8138e+00 1.90170 4.09270
1008 3.1947 0.63894 0.66517 32.4810 1.3502e+01 2.63100 5.52550
1009 5.1212 1.02420 0.89579 21.9120 6.9979e+00 1.96020 4.10140
1010 25.8500 5.17010 4.38390 7933.3000 3.1089e+03 597.92000 1278.40000
1011 11.5780 2.31550 1.23810 69.5970 2.1915e+01 5.67600 12.13300
1012 3.6035 0.72070 0.79125 29.6860 1.2494e+01 2.21860 4.63530
1013 2.3339 0.46678 0.54166 39.3350 1.6726e+01 3.23160 6.77590
1014 11.3020 2.26040 1.81820 624.3900 2.2160e+02 55.88700 120.83000
1015 2.4340 0.48680 0.63998 46.1960 2.1715e+01 3.14680 6.52380
1016 5.1960 1.03920 0.47511 15.4460 5.8000e-01 2.86600 6.43770
1017 3.0527 0.61054 0.70755 3.6576 2.7659e-01 0.46683 1.01100
1018 9.2152 1.84300 1.38210 286.5500 9.7305e+01 26.65400 59.08200
1019 4.6306 0.92612 0.98555 163.0300 8.0459e+01 9.68390 20.10100
1020 1.8905 0.37810 0.51534 13.2780 4.7592e+00 1.31080 2.80570
1021 4.9570 0.99140 0.81193 34.3270 1.2307e+01 3.10260 6.55810
1022 4.8816 0.97632 0.97468 33.2570 1.1261e+01 3.01030 6.33090
1023 9.7675 1.95350 1.29780 182.4200 5.7612e+01 18.26700 39.50000
1024 8.7375 1.74750 1.51280 308.3400 1.0878e+02 28.34800 63.31500
1025 9.5772 1.91540 1.50690 452.4600 1.8718e+02 34.57400 75.02600
1026 4.9795 0.99589 0.98827 45.9810 2.1380e+01 2.66700 5.42110
1027 3.7395 0.74789 0.70734 30.6780 1.3436e+01 2.20690 4.59530
1028 24.9010 4.98010 3.67060 2058.0000 6.7050e+02 170.17000 375.35000
1029 2.5994 0.51988 0.58185 31.3010 1.3263e+01 2.53690 5.31790
1030 4.7351 0.94701 0.84024 16.1470 5.9516e+00 1.15370 2.40610
1031 10.4220 2.08440 1.37790 279.1500 1.3356e+02 16.45400 34.06500
1032 7.2368 1.44740 1.00320 94.3570 2.4814e+01 10.99700 24.05500
1033 2.4072 0.48145 0.62044 30.8990 1.1258e+01 3.04300 6.42420
1034 6.9021 1.38040 1.11330 92.7270 3.2632e+01 8.35350 18.58300
1035 2.0649 0.41298 0.54602 25.9500 9.6605e+00 2.52200 5.31920
1036 3.5456 0.70912 0.78261 26.0700 9.5167e+00 2.35060 4.96750
1037 6.0130 1.20260 1.05270 306.3400 1.4082e+02 20.87100 44.41000
1038 2.8381 0.56762 0.67389 5.8018 -6.9670e+00 2.94360 6.97610
1039 2.1742 0.43484 0.56485 26.2970 9.5886e+00 2.58510 5.51770
1040 2.1795 0.43591 0.60227 55.9660 2.9665e+01 2.92750 5.78420
1041 3.0820 0.61640 0.71210 215.1100 1.0890e+02 12.75200 25.99200
1042 2.7008 0.54017 0.65200 22.6620 9.1824e+00 1.88230 3.96490
1043 16.5160 3.30310 2.22580 1665.4000 6.8812e+02 123.61000 264.29000
1044 8.2892 1.65780 1.54220 232.1800 7.2796e+01 23.49000 53.34100
1045 7.7812 1.55620 1.36220 168.1400 6.5052e+01 13.47300 30.52800
1046 2.0853 0.41707 0.51716 4.3360 9.6629e-01 0.55630 1.18830
1047 2.9487 0.58975 0.66412 23.1760 9.3999e+00 1.90290 4.00830
1048 8.2453 1.64910 1.42240 218.1000 8.0045e+01 18.69000 42.17000
1049 2.9819 0.59638 0.63780 16.8490 6.1989e+00 1.53580 3.25060
1050 2.2783 0.45565 0.59373 24.1180 8.9488e+00 2.30920 4.89610
1051 5.5020 1.10040 1.02010 153.3900 5.5512e+01 14.41600 31.04100
1052 1.7582 0.35164 0.51728 49.5250 2.4164e+01 3.20350 6.60360
1053 4.8334 0.96667 0.79634 35.2070 1.4594e+01 2.64620 5.51660
1054 11.2940 2.25880 1.68360 249.5400 9.2588e+01 20.58500 44.77700
1055 18.8640 3.77290 2.74850 1814.5000 6.3845e+02 149.43000 326.80000
1056 17.4150 3.48310 2.49940 2905.7000 1.0539e+03 237.86000 514.15000
1057 9.3841 1.87680 1.59000 494.4000 1.9668e+02 37.96500 83.61600
1058 6.7660 1.35320 1.04180 114.9200 5.1804e+01 7.83310 16.14400
1059 15.7280 3.14570 3.10720 3230.2000 1.3719e+03 218.54000 460.70000
1060 5.8527 1.17050 1.10750 101.0500 4.0873e+01 7.88730 17.35600
1061 14.7870 2.95740 2.42060 982.9000 3.5378e+02 82.00500 181.16000
1062 9.3764 1.87530 1.56880 177.1800 4.9945e+01 19.03000 42.08700
1063 10.1630 2.03260 1.49820 97.6600 2.7014e+01 9.39600 20.53400
1064 5.4608 1.09220 0.97015 167.8500 8.1160e+01 10.57900 21.69300
1065 7.7265 1.54530 1.35500 174.2500 6.8757e+01 13.76600 30.88300
1066 27.4130 5.48260 4.41460 8543.2000 2.5173e+03 757.17000 1635.50000
1067 3.0369 0.60738 0.70510 20.7730 7.7536e+00 1.85840 3.91770
1068 7.2624 1.45250 1.29440 164.3400 5.4125e+01 16.59900 36.17700
1069 18.4090 3.68170 2.57050 2513.8000 1.2195e+03 142.27000 291.05000
1070 8.6515 1.73030 1.47510 250.8700 9.1320e+01 22.42100 48.00100
1071 1.6096 0.32191 0.46399 16.9690 5.5150e+00 1.88230 4.05090
1072 3.4741 0.69483 0.60424 53.4590 2.1605e+01 4.62160 9.80820
1073 14.8700 2.97400 2.00870 505.8800 1.4220e+02 50.52700 114.37000
1074 6.0377 1.20750 1.13230 64.3950 2.4499e+01 5.11520 11.05200
1075 16.4270 3.28530 2.51100 1693.4000 4.3431e+02 175.06000 385.46000
1076 5.5603 1.11210 1.06790 141.5900 5.6659e+01 12.01300 25.57600
1077 2.6574 0.53149 0.58698 23.2920 9.5146e+00 1.95370 4.11520
1078 4.2841 0.85683 0.89046 41.0970 1.6710e+01 3.20790 6.71990
1079 11.1840 2.23670 1.80280 304.9600 9.4824e+01 30.26700 68.48600
1080 11.0860 2.21710 1.79010 587.0500 2.3918e+02 46.06400 98.88800
1081 3.7115 0.74230 0.84773 19.6360 4.6406e+00 2.35180 5.09380
1082 13.9550 2.79100 2.08900 715.6000 2.0613e+02 75.56400 167.45000
1083 14.3680 2.87360 1.95150 419.8200 1.7319e+02 29.97300 64.05600
1084 3.9333 0.78666 0.68001 30.8270 1.2743e+01 2.45190 5.13830
1085 31.2890 6.25780 5.37500 20458.0000 7.4577e+03 1490.40000 3117.00000
1086 9.6009 1.92020 1.59780 286.8300 1.2174e+02 20.66000 44.65400
1087 31.0040 6.20090 5.29590 19940.0000 7.4620e+03 1405.50000 2928.30000
1088 4.9554 0.99108 0.98493 46.6030 1.9209e+01 3.39200 7.20240
1089 14.6260 2.92520 2.36780 730.1000 2.5454e+02 65.32300 143.60000
1090 10.1110 2.02220 1.66370 228.8000 7.9517e+01 20.32800 45.22700
1091 2.0536 0.41073 0.57918 30.1140 1.2627e+01 2.49510 5.25770
1092 2.0734 0.41468 0.50094 0.0000 -9.5460e-01 0.22595 0.47773
1093 17.5140 3.50280 2.66780 2071.0000 8.6458e+02 151.74000 320.53000
1094 11.0870 2.21740 1.79020 354.4800 1.2434e+02 31.02900 66.72600
1095 10.7980 2.15950 1.78280 681.3500 2.9232e+02 48.02900 102.06000
1096 9.3480 1.86960 1.24750 173.0900 8.0676e+01 10.29800 21.94900
1097 20.5090 4.10170 3.12640 1079.9000 2.3665e+02 122.22000 270.07000
1098 6.2868 1.25740 0.99250 52.7230 2.2781e+01 3.45180 7.19550
1099 6.5658 1.31320 1.27900 200.0900 7.6935e+01 16.78300 37.53500
1100 2.8852 0.57704 0.62056 1.3951 -2.1959e-01 0.20266 0.44382
1101 3.0620 0.61241 0.72069 72.2610 3.3763e+01 4.98490 10.30600
1102 7.9555 1.59110 1.38480 90.3810 3.1032e+01 7.63830 16.60600
1103 8.1961 1.63920 1.52860 275.8500 9.4958e+01 26.19800 57.98300
1104 27.0420 5.40840 4.33390 11683.0000 4.2267e+03 889.53000 1855.60000
1105 11.5340 2.30670 1.84840 701.8800 2.3853e+02 65.39300 144.43000
1106 3.9479 0.78957 0.68413 31.9800 1.3529e+01 2.45930 5.13750
1107 22.4100 4.48210 3.56900 8305.1000 3.5528e+03 542.86000 1123.50000
1108 7.3272 1.46540 1.40170 351.3000 1.2376e+02 32.87300 72.88300
1109 7.0985 1.41970 1.27290 106.5000 3.5908e+01 10.06600 21.76400
1110 20.6690 4.13370 3.15220 562.6300 1.3990e+02 54.94100 120.69000
1111 4.2524 0.85047 0.74669 37.3040 1.6142e+01 2.73400 5.67490
1112 21.4180 4.28360 3.21030 2493.4000 9.0167e+02 198.41000 429.50000
1113 7.5580 1.51160 1.33310 200.0500 7.9158e+01 16.55700 35.68300
1114 19.1570 3.83130 2.91270 985.7400 3.4352e+02 86.68600 189.29000
1115 4.8003 0.96007 0.88397 86.3700 3.8828e+01 6.13880 12.74300
1116 9.8392 1.96780 1.47690 278.2400 1.2301e+02 18.74800 40.11400
1117 32.1120 6.42230 4.49700 12968.0000 4.6845e+03 989.65000 2087.40000
1118 9.9856 1.99710 1.42090 241.9100 8.2874e+01 22.55000 49.48200
1119 19.0230 3.80450 2.57350 1445.1000 5.7334e+02 106.29000 225.67000
1120 6.8016 1.36030 1.06970 86.7140 3.0603e+01 8.02030 17.15800
1121 4.6418 0.92837 0.94116 66.5060 3.1879e+01 3.97630 8.12520
1122 4.6481 0.92962 0.76180 60.4540 2.8362e+01 3.94040 8.11180
1123 12.8040 2.56080 2.39750 914.0900 3.5399e+02 70.44700 151.28000
1124 2.1026 0.42053 0.48379 5.2934 1.1005e+00 0.73172 1.56090
1125 3.6072 0.72143 0.70211 21.9900 8.7926e+00 1.76770 3.70820
1126 9.1316 1.82630 1.46520 283.5300 1.1979e+02 20.24900 43.56900
1127 2.3553 0.47106 0.59544 10.5200 3.4269e+00 1.07990 2.30500
1128 2.5832 0.51664 0.63299 6.6040 1.7467e+00 0.72193 1.55560
1129 4.5087 0.90175 0.98250 169.2600 8.5044e+01 9.68770 20.18400
1130 6.7089 1.34180 1.22160 350.5500 1.4335e+02 27.32900 59.42000
1131 5.5495 1.10990 1.06650 435.8200 1.8190e+02 34.88900 76.27800
1132 8.4348 1.68700 1.44700 17.5310 -7.4316e+00 3.49920 7.87950
1133 4.4628 0.89256 0.91589 62.8660 3.0094e+01 3.81190 7.72610
1134 9.1183 1.82370 1.55480 205.3100 6.3261e+01 20.88400 46.70900
1135 9.0334 1.80670 1.52440 291.7000 8.0449e+01 31.06000 69.02500
1136 8.6097 1.72190 1.48530 49.2140 9.0453e+00 5.09530 11.21200
1137 6.0602 1.21200 1.13530 69.4800 1.9825e+01 7.45680 16.52200
1138 11.1450 2.22900 1.70110 535.4000 2.1254e+02 43.05600 93.92200
1139 30.9640 6.19270 5.28470 17993.0000 7.2368e+03 1167.50000 2411.00000
1140 8.0851 1.61700 1.24310 151.1300 5.6116e+01 13.20800 28.67400
1141 2.9185 0.58370 0.68659 18.0410 7.1854e+00 1.46970 3.08950
1142 7.4549 1.49100 1.33060 124.3400 3.7582e+01 13.10700 28.35300
1143 30.9260 6.18520 5.78120 23953.0000 9.0252e+03 1826.00000 3842.90000
1144 13.6810 2.73610 2.02460 559.6900 1.7840e+02 51.45600 114.61000
1145 25.6980 5.13960 4.05460 7598.2000 2.6583e+03 607.71000 1292.70000
1146 6.5930 1.31860 1.12710 338.3800 1.5536e+02 22.56600 49.25800
1147 8.4291 1.68580 1.44630 133.8400 4.4507e+01 11.90800 27.55900
1148 6.3620 1.27240 0.99626 46.2940 1.6285e+01 3.88450 8.61000
1149 7.1747 1.43490 1.28290 223.7700 8.4238e+01 18.92200 41.23600
1150 7.5987 1.51970 1.19690 133.5400 5.9638e+01 8.68190 18.77900
1151 10.0780 2.01570 1.57230 369.9600 1.0883e+02 39.81800 88.09900
1152 5.0229 1.00460 0.99428 160.0300 6.1948e+01 13.95900 30.99200
1153 4.3830 0.87660 0.73756 33.2210 1.3751e+01 2.57670 5.38270
1154 2.7022 0.54044 0.65222 36.7710 1.6548e+01 2.67950 5.55820
1155 10.4140 2.08270 1.70630 221.5700 7.6505e+01 19.83100 42.93300
1156 3.5990 0.71980 0.79058 26.9670 1.1424e+01 1.97140 4.09200
1157 3.5116 0.70233 0.82554 26.8750 1.1302e+01 1.95890 4.09340
1158 24.6860 4.93710 3.67040 3263.9000 8.7974e+02 334.86000 743.21000
1159 3.7366 0.74732 0.81098 24.5540 9.8517e+00 1.89550 3.96120
1160 2.9556 0.59112 0.69241 15.5240 5.1732e+00 1.52270 3.25570
1161 7.1243 1.42490 1.20420 456.3600 1.6842e+02 41.73500 91.08200
1162 11.2820 2.25650 1.18220 360.1400 1.3307e+02 31.35000 69.75200
1163 17.1720 3.43450 2.39040 1312.2000 5.7834e+02 87.79600 186.27000
1164 3.4501 0.69003 0.70124 31.1670 1.4222e+01 2.10800 4.35230
1165 14.5040 2.90080 2.16900 2030.8000 7.6879e+02 169.53000 367.40000
1166 1.7891 0.35781 0.49709 12.6980 3.5296e+00 1.54800 3.38210
1167 27.6120 5.52230 4.45850 9257.4000 2.8949e+03 786.39000 1689.20000
1168 11.3050 2.26100 1.48940 145.5100 5.2578e+01 11.32000 25.20700
1169 6.0450 1.20900 1.16040 163.2600 5.7840e+01 15.93500 34.23100
1170 2.1211 0.42421 0.55573 18.1010 7.0529e+00 1.62440 3.44860
1171 13.2460 2.64920 2.12720 562.3900 1.5260e+02 58.34600 129.02000
1172 2.6468 0.52937 0.58233 2.0713 -3.5867e+00 1.29210 3.11600
1173 16.7840 3.35670 2.26280 844.2900 2.0971e+02 95.35600 213.06000
1174 9.8404 1.96810 1.46120 253.6600 9.3624e+01 22.20000 48.97700
1175 9.7313 1.94630 1.51590 259.2200 7.5377e+01 27.63000 62.94100
1176 2.0490 0.40980 0.54326 14.6700 6.1485e+00 1.19620 2.47540
1177 31.4280 6.28560 5.41410 18842.0000 6.4439e+03 1446.10000 3075.90000
1178 8.3307 1.66610 1.31970 335.1800 1.2148e+02 30.74300 67.50500
1179 3.5565 0.71130 0.78424 29.9130 1.3009e+01 2.13000 4.41710
1180 3.0937 0.61875 0.67215 17.3330 5.8421e+00 1.71070 3.64840
1181 2.9043 0.58087 0.50950 15.6540 5.7445e+00 1.48480 3.17820
1182 2.4479 0.48959 0.61083 10.2380 3.3697e+00 1.02420 2.18910
1183 25.3430 5.06870 4.24540 7740.5000 2.6853e+03 662.29000 1439.00000
1184 2.0723 0.41446 0.54731 2.6636 6.4971e-01 0.28706 0.60921
1185 13.1210 2.62420 1.73450 1189.2000 4.5947e+02 93.82400 203.14000
1186 1.9526 0.39052 0.47542 17.6810 6.6337e+00 1.69020 3.61270
1187 10.5490 2.10980 1.72040 441.3700 1.5676e+02 39.37700 86.38800
1188 3.9191 0.78382 0.83775 83.6550 3.8220e+01 5.88530 12.22100
1189 3.0269 0.60538 0.70355 25.5080 1.0258e+01 2.11560 4.43710
1190 6.8160 1.36320 1.23580 143.7900 5.7524e+01 11.51200 25.03600
1191 3.4017 0.68034 0.77491 105.9100 5.5856e+01 5.50990 10.96500
1192 13.3610 2.67210 1.98020 277.5900 7.2025e+01 29.35000 66.07300
1193 3.0981 0.61962 0.57148 5.0740 1.3137e+00 0.54486 1.15200
1194 21.0110 4.20210 3.20780 2552.5000 7.1374e+02 245.63000 547.47000
1195 27.8080 5.56150 4.89260 12946.0000 4.8479e+03 960.74000 2054.70000
1196 13.1600 2.63210 1.91700 308.8500 1.0675e+02 27.09100 58.55200
1197 5.2118 1.04240 1.02030 35.9890 1.3595e+01 2.77290 5.82440
1198 3.1856 0.63712 0.69953 36.5100 1.6443e+01 2.58830 5.38130
1199 3.5908 0.71817 0.78936 21.1910 4.9764e+00 2.63920 5.71980
1200 8.5433 1.70870 1.46110 154.2100 5.8986e+01 12.29500 26.73000
1201 22.1060 4.42120 3.39100 2223.2000 6.2908e+02 222.22000 491.89000
1202 2.7512 0.55023 0.59770 18.5200 6.9046e+00 1.70590 3.63470
1203 2.4779 0.49559 0.61577 12.9610 4.7638e+00 1.17900 2.50890
1204 25.1080 5.02170 3.89080 4921.9000 1.4882e+03 450.53000 989.04000
1205 6.0794 1.21590 1.13790 25.5770 5.4834e+00 2.66390 5.68010
1206 9.7367 1.94730 1.52000 338.0600 9.8622e+01 34.91800 78.16800
1207 4.5450 0.90899 0.92751 46.3480 1.7866e+01 3.90100 8.19740
1208 6.3982 1.27960 1.08280 85.9350 2.9642e+01 7.95470 17.75300
1209 11.6440 2.32880 1.97800 301.6900 1.1394e+02 23.63300 51.64600
1210 9.7504 1.95010 1.49110 266.1600 9.1210e+01 25.12700 56.33400
1211 21.3300 4.26590 3.39320 2309.0000 6.8025e+02 214.92000 476.61000
1212 7.2231 1.44460 1.24240 358.9900 1.4169e+02 29.07800 64.83800
1213 2.2326 0.44652 0.57479 21.1030 8.0985e+00 1.93080 4.10750
1214 7.1355 1.42710 1.13950 87.6230 3.5579e+01 6.44350 13.98600
1215 4.9662 0.99324 0.86860 27.0700 1.0283e+01 2.11800 4.41630
1216 4.0735 0.81470 0.82694 24.8730 9.4310e+00 2.04670 4.27280
1217 5.9707 1.19410 1.17630 64.9550 1.4877e+01 7.89370 17.60800
1218 3.6287 0.72575 0.74868 25.2320 1.0789e+01 1.82700 3.78620
1219 2.0929 0.41857 0.55087 13.9660 5.2142e+00 1.30670 2.77040
1220 5.7828 1.15660 1.11570 63.5990 2.7118e+01 4.19440 9.17940
1221 5.0701 1.01400 0.46487 16.4720 5.7702e+00 1.62230 3.46150
1222 28.6300 5.72590 5.53830 18805.0000 6.7775e+03 1475.20000 3107.70000
1223 9.4190 1.88380 1.57430 541.3400 2.1799e+02 42.82700 92.14400
1224 1.9520 0.39039 0.52624 9.0095 2.5534e+00 1.05510 2.29790
1225 7.2860 1.45720 1.15740 291.6500 1.3705e+02 18.53000 37.92200
1226 4.8744 0.97489 1.03590 133.3700 5.7488e+01 10.14100 21.48300
1227 2.4028 0.48056 0.60335 11.6350 4.9604e+00 0.86826 1.78010
1228 3.8816 0.77632 0.87380 41.4010 1.9043e+01 2.64990 5.45510
1229 21.9520 4.39030 3.15610 2440.7000 9.2433e+02 188.05000 406.00000
1230 7.7969 1.55940 1.17680 158.4300 6.0675e+01 13.61100 29.47400
1231 6.8636 1.37270 1.33390 189.3000 8.7695e+01 11.99000 25.47800
1232 9.5885 1.91770 1.50910 173.6700 6.6224e+01 13.82100 29.86200
1233 2.2733 0.45465 0.58167 32.4020 1.4412e+01 2.44170 5.10040
1234 2.0030 0.40061 0.53523 15.8050 5.2148e+00 1.68680 3.64580
1235 5.3016 1.06030 0.79699 31.6840 1.5596e+01 1.59200 3.12910
1236 7.9738 1.59480 1.38720 96.1040 3.1601e+01 8.43880 19.04400
1237 7.9116 1.58230 1.37910 96.4300 3.5291e+01 7.64880 16.65300
1238 28.6850 5.73710 4.88080 11302.0000 3.8240e+03 942.97000 2038.90000
1239 4.9379 0.98757 0.90204 36.4310 1.4234e+01 2.88080 6.01160
1240 2.7919 0.55838 0.61026 39.7470 1.6715e+01 3.26690 6.85410
1241 1.8299 0.36598 0.50447 20.9270 7.6572e+00 2.07080 4.39960
1242 16.4450 3.28910 2.46600 572.2600 1.7460e+02 55.99500 123.95000
1243 25.6240 5.12480 4.20460 5494.0000 1.5723e+03 511.46000 1131.90000
1244 6.7720 1.35440 1.13040 256.5100 1.0116e+02 21.46400 47.65300
1245 8.5236 1.70470 1.15060 335.8000 1.2097e+02 29.81200 66.84300
1246 13.0540 2.61080 2.03960 293.6300 1.1085e+02 21.72000 48.00800
1247 7.2852 1.45700 1.29740 72.8980 2.3718e+01 6.46180 14.27400
1248 1.9125 0.38250 0.55279 4.3584 5.7910e-01 0.65769 1.44960
1249 5.9637 1.19270 1.14610 37.2360 1.1263e+01 3.39720 7.23750
1250 13.9040 2.78080 2.16230 807.9400 3.5997e+02 53.27300 112.87000
1251 3.2311 0.64621 0.73505 29.7920 1.2313e+01 2.36480 4.97020
1252 11.1220 2.22440 1.61880 152.3500 4.2964e+01 15.13200 33.70800
1253 2.8741 0.57482 0.72333 24.0950 1.0340e+01 1.79200 3.73620
1254 5.4880 1.09760 1.05810 322.9900 1.4629e+02 22.56100 48.45500
1255 23.3090 4.66170 3.88780 2744.8000 4.6131e+02 320.94000 718.95000
1256 26.8970 5.37950 4.30290 8467.0000 2.8957e+03 668.92000 1433.30000
1257 5.6403 1.12810 0.97409 64.6710 3.2909e+01 3.14960 6.19300
1258 9.8551 1.97100 1.63060 110.9200 3.7794e+01 8.75800 18.60400
1259 27.3730 5.47460 4.89640 8235.9000 2.9303e+03 651.60000 1392.00000
1260 2.9264 0.58528 0.68782 19.1820 6.2636e+00 1.97460 4.21930
1261 9.1366 1.82730 1.36640 108.7400 3.6632e+01 9.69880 20.66400
1262 2.1543 0.43085 0.51374 12.7590 4.6518e+00 1.23020 2.61630
1263 7.4776 1.49550 1.27480 304.5100 1.2545e+02 23.72200 51.28100
1264 2.1894 0.43789 0.56745 22.7350 8.4411e+00 2.17390 4.64180
1265 3.0500 0.61000 0.54750 18.5360 6.3240e+00 1.89590 4.04820
1266 8.0377 1.60750 1.39550 306.1400 9.4492e+01 32.76900 73.03700
1267 9.3603 1.87210 1.50950 306.9200 8.3929e+01 32.78600 72.91600
1268 4.8668 0.97336 0.99692 50.2390 1.7276e+01 4.63300 10.21700
1269 3.8481 0.76963 0.72538 35.9010 1.6341e+01 2.42270 5.02240
1270 3.0623 0.61246 0.70904 17.0970 6.0031e+00 1.60070 3.37790
1271 30.9980 6.19960 5.29410 18823.0000 7.0012e+03 1332.00000 2786.00000
1272 8.0918 1.61840 1.19950 24.7490 3.5378e+00 2.56470 5.46700
1273 9.0424 1.80850 1.52560 223.0300 8.4087e+01 18.69100 41.13900
1274 3.8925 0.77851 0.88733 21.8460 8.5906e+00 1.61460 3.36350
1275 2.7062 0.54124 0.65286 28.2760 1.1657e+01 2.32120 4.90900
1276 28.5370 5.70750 5.48580 15215.0000 5.7184e+03 1138.30000 2400.70000
1277 7.0603 1.41210 1.26790 123.7800 4.1705e+01 11.92400 25.96700
1278 2.3502 0.47004 0.57095 16.2740 5.9114e+00 1.56190 3.32870
1279 2.5757 0.51514 0.59466 23.1800 8.1202e+00 2.33420 4.98780
1280 8.9435 1.78870 1.36400 116.0500 3.5931e+01 11.16500 24.91100
1281 6.6904 1.33810 1.21920 93.8500 4.0069e+01 6.17000 13.89600
1282 6.2534 1.25070 1.03790 104.5800 4.1077e+01 8.81680 18.75300
1283 7.4991 1.49980 1.33630 323.5200 1.4828e+02 21.34100 45.66100
1284 5.6555 1.13110 1.09840 118.8500 5.1004e+01 8.77380 18.84500
1285 13.7360 2.74720 2.27030 415.5100 1.3842e+02 37.30600 82.17100
1286 9.1031 1.82060 1.45970 344.9300 1.4020e+02 25.61300 56.45500
1287 26.6890 5.33790 4.25870 8947.7000 3.0474e+03 713.35000 1520.80000
1288 5.8562 1.17120 0.97748 71.0990 2.6855e+01 6.17550 13.10800
1289 30.8350 6.16700 5.24950 18644.0000 6.8220e+03 1345.10000 2812.70000
1290 10.3670 2.07350 1.72100 356.0200 1.1626e+02 32.88800 73.06500
1291 23.1170 4.62340 3.54070 2757.5000 8.7852e+02 251.66000 554.89000
1292 11.7840 2.35680 1.99730 337.0300 1.2513e+02 27.59100 60.10000
1293 8.0194 1.60390 1.50280 99.6080 3.4906e+01 8.10040 17.56500
1294 5.9809 1.19620 1.03280 32.5180 1.2112e+01 2.35420 4.91590
1295 7.4500 1.49000 1.12510 278.5800 1.2890e+02 18.17800 38.54900
1296 22.9210 4.58410 3.53240 5349.0000 2.0323e+03 406.77000 869.55000
1297 6.1284 1.22570 1.16250 146.5400 6.6446e+01 9.88760 20.87500
1298 10.0910 2.01810 1.60470 68.8820 1.8081e+01 5.69860 12.45000
1299 6.8981 1.37960 1.33900 313.1500 1.1748e+02 27.29600 61.17400
1300 6.5767 1.31530 1.20410 124.5800 5.4139e+01 8.47620 18.84300
1301 2.4928 0.49857 0.61822 25.9610 1.1361e+01 1.96330 4.10160
1302 11.5130 2.30260 1.84580 393.9400 1.3591e+02 36.88500 81.04300
1303 2.1174 0.42348 0.55510 18.2360 6.6634e+00 1.76620 3.76880
1304 2.3375 0.46750 0.56891 15.0300 5.4927e+00 1.42640 3.03830
1305 3.9039 0.78079 0.67852 25.4250 8.5768e+00 2.53930 5.42760
1306 2.0173 0.40345 0.48821 17.6820 6.1349e+00 1.83780 3.92210
1307 3.0368 0.60736 0.67737 17.3550 5.5720e+00 1.79710 3.83470
1308 32.8460 6.56910 5.57900 23258.0000 9.4353e+03 1625.50000 3385.50000
1309 12.7730 2.55460 1.51260 267.9800 1.1410e+02 18.23300 39.18600
1310 8.4662 1.69320 1.45110 125.2800 4.7770e+01 9.68390 20.89400
1311 6.0213 1.20430 1.13010 31.8140 1.0731e+01 2.39170 5.18900
1312 2.3437 0.46875 0.62426 15.6720 6.1095e+00 1.35460 2.86900
1313 3.9213 0.78425 0.83807 130.4700 5.8659e+01 9.62350 20.10400
1314 31.9330 6.38650 5.52780 20398.0000 7.3097e+03 1546.10000 3238.10000
1315 5.8834 1.17670 1.13510 148.2500 6.5599e+01 10.30700 22.69500
1316 3.2882 0.65764 0.74378 19.1830 7.8221e+00 1.45700 3.04820
1317 5.6420 1.12840 1.07900 56.5970 2.6697e+01 3.07150 6.29750
1318 7.7040 1.54080 1.41240 150.3400 5.9544e+01 11.70000 25.34500
1319 30.4890 6.09780 5.05240 15888.0000 5.4773e+03 1251.90000 2651.70000
1320 6.3630 1.27260 1.20000 364.6900 1.4326e+02 30.60600 67.74900
1321 24.1010 4.82020 3.74630 3465.3000 9.0318e+02 350.20000 768.86000
1322 4.8718 0.97436 0.97332 30.5040 1.1332e+01 2.41470 5.03340
1323 7.0177 1.40350 1.26230 140.9000 5.5902e+01 11.19800 24.65400
1324 6.0289 1.20580 1.06660 47.2530 1.4664e+01 4.48550 9.97780
1325 6.0809 1.21620 1.13810 81.1470 2.9799e+01 6.99300 15.23800
1326 3.5246 0.70492 0.77947 16.1870 3.3333e+00 2.08430 4.54810
1327 1.7568 0.35136 0.49122 7.2895 1.8627e+00 0.92083 2.00030
1328 3.7031 0.74061 0.73855 40.8020 1.7063e+01 3.25160 6.77390
1329 3.5709 0.71419 0.71809 21.1830 8.4878e+00 1.67790 3.51890
1330 3.7541 0.75081 0.81355 29.5770 1.2661e+01 2.12390 4.39320
1331 2.4797 0.49594 0.62682 18.8770 6.8347e+00 1.80640 3.83540
1332 7.9341 1.58680 1.44320 76.0640 2.9689e+01 5.01180 10.50600
1333 10.4720 2.09450 1.71050 555.8400 2.3558e+02 41.14400 88.95900
1334 33.2040 6.64080 4.71890 15365.0000 5.8231e+03 1114.90000 2323.00000
1335 3.6205 0.72411 0.79247 104.6500 5.4608e+01 5.53040 11.04100
1336 2.0208 0.40416 0.53834 10.3070 3.2917e+00 1.11070 2.38220
1337 2.0921 0.41842 0.55073 2.5021 4.0000e-01 0.32500 0.69465
1338 7.5027 1.50050 1.35570 227.5900 8.3575e+01 20.63400 45.62900
1339 10.6920 2.13830 1.84690 515.1800 1.9748e+02 41.76800 92.02000
1340 9.9430 1.98860 0.96783 100.9200 3.8810e+01 8.28600 17.47600
1341 3.5757 0.71514 0.66190 18.5880 7.1341e+00 1.57470 3.31630
1342 2.0771 0.41542 0.54814 5.3610 1.4317e+00 0.62355 1.32460
1343 2.2815 0.45630 0.58306 21.1050 8.6614e+00 1.76900 3.71600
1344 2.6428 0.52856 0.64265 15.0360 6.3328e+00 1.13150 2.37260
1345 3.9094 0.78188 0.76023 43.0850 1.7357e+01 3.58330 7.57160
1346 5.7579 1.15160 1.10750 69.2630 2.9950e+01 4.63700 9.87180
1347 11.8290 2.36580 1.55780 150.0000 4.9426e+01 12.77500 28.39500
1348 31.1710 6.23410 4.31560 9950.8000 3.7807e+03 717.41000 1512.50000
1349 3.7973 0.75945 0.61529 48.4400 2.2999e+01 3.17890 6.56980
1350 3.6803 0.73605 0.60170 18.2660 6.4418e+00 1.74440 3.71340
1351 26.7650 5.35300 4.27480 9919.9000 3.4574e+03 826.36000 1760.90000
1352 5.0251 1.00500 0.99459 384.0400 1.6667e+02 29.38900 63.44600
1353 4.6718 0.93437 0.86701 51.6680 1.9955e+01 4.45190 9.37670
1354 6.7703 1.35410 1.12960 169.7600 7.2006e+01 12.59500 27.52400
1355 8.2574 1.65150 0.75997 17.5130 4.3366e+00 1.70310 3.65250
1356 6.2149 1.24300 0.98194 36.3420 1.1684e+01 3.24630 7.13580
1357 14.4380 2.88750 2.37030 799.0300 2.8226e+02 67.84900 150.85000
1358 4.0826 0.81651 0.86148 288.9500 1.3679e+02 19.52200 40.54200
1359 6.2344 1.24690 0.89979 261.6900 1.0845e+02 21.72400 45.43000
1360 8.2168 1.64340 1.41870 280.5800 1.0307e+02 24.49300 54.49000
1361 6.2185 1.24370 1.23910 137.4900 6.2261e+01 8.92110 19.29000
1362 4.9910 0.99820 0.88877 118.5000 5.5489e+01 7.88050 16.24700
1363 3.3428 0.66857 0.75208 22.4360 8.6425e+00 1.88420 3.97470
1364 3.3561 0.67121 0.75409 29.1310 9.8923e+00 2.90430 6.21910
1365 23.3630 4.67250 3.61120 3009.5000 7.4625e+02 321.60000 717.47000
1366 3.2417 0.64834 0.66212 15.1900 6.0848e+00 1.19250 2.49820
1367 10.0420 2.00840 1.49090 266.4800 7.1835e+01 30.07000 67.23100
1368 20.5320 4.10650 3.31870 1419.6000 2.6023e+02 163.83000 369.18000
1369 6.4606 1.29210 1.09850 140.7000 5.0044e+01 13.50000 29.16200
1370 3.1141 0.62282 0.71707 18.5480 6.6302e+00 1.70050 3.61880
1371 3.3625 0.67250 0.75507 21.8700 9.6228e+00 1.47730 3.05840
1372 4.6138 0.92275 0.93721 19.7360 6.7398e+00 1.58270 3.30760
1373 3.5674 0.71348 0.78587 19.5740 7.6048e+00 1.54880 3.24530
1374 4.3220 0.86440 0.83050 327.8000 1.6009e+02 20.90500 42.99600
1375 4.9600 0.99199 0.98557 60.3700 1.7054e+01 6.83050 14.99000
1376 5.8652 1.17300 0.98701 49.7580 1.9835e+01 3.78430 7.90730
1377 11.7600 2.35200 1.87800 397.5200 1.1175e+02 41.29500 94.30100
1378 6.3236 1.26470 0.99180 45.8250 1.5486e+01 4.15160 8.83140
1379 9.1970 1.83940 1.54560 287.8100 8.6145e+01 30.11200 66.63000
1380 10.0650 2.01310 1.42180 195.2900 9.1550e+01 11.21700 23.23300
1381 7.1646 1.43290 1.18810 373.4100 1.9498e+02 19.46200 38.90700
1382 5.3494 1.06990 0.94946 467.4400 2.2089e+02 31.59600 65.56900
1383 4.2567 0.85135 0.88654 320.0500 1.4355e+02 23.99200 50.03900
1384 20.2070 4.04140 3.07540 3120.6000 1.0181e+03 272.48000 597.43000
1385 5.0594 1.01190 1.00090 151.3800 5.8721e+01 13.02100 28.52800
1386 8.7620 1.75240 1.48940 146.4100 5.3485e+01 11.98800 26.61600
1387 5.3473 1.06950 1.03890 91.3210 2.7116e+01 10.18900 22.18200
1388 14.0260 2.80520 2.89030 526.1500 1.6016e+02 49.10600 109.81000
1389 2.8904 0.57809 0.54392 22.4260 8.0781e+00 2.20510 4.69430
1390 8.4199 1.68400 0.77788 54.8540 2.6895e+01 2.89280 5.72100
1391 3.0623 0.61245 0.72222 38.0270 1.6609e+01 2.85820 5.94470
1392 21.6760 4.33520 3.92760 2672.7000 5.7707e+02 294.35000 656.91000
1393 5.1472 1.02940 1.01140 14.5580 4.6233e+00 0.92942 1.99370
1394 2.0857 0.41713 0.54962 5.5633 1.9293e+00 0.52050 1.08570
1395 5.6134 1.12270 1.07510 114.5500 2.9359e+01 13.86000 30.43800
1396 9.0153 1.80310 1.41140 305.1300 1.1134e+02 27.01300 59.19200
1397 4.9205 0.98409 0.89406 113.9300 5.9750e+01 5.78120 11.46600
1398 4.0816 0.81631 0.86079 22.9720 6.9695e+00 2.31840 4.96990
1399 22.7840 4.55680 3.50830 2352.8000 6.7800e+02 225.06000 501.07000
1400 4.2153 0.84306 0.88060 22.2850 8.3494e+00 1.74670 3.65920
1401 9.7530 1.95060 1.61740 223.2700 7.4502e+01 20.08900 44.25600
1402 4.7803 0.95606 0.96056 485.4000 2.3787e+02 30.42100 62.84500
1403 3.6206 0.72412 0.74754 113.5500 5.6430e+01 6.90320 13.99600
1404 3.2700 0.65399 0.76052 79.7980 3.7180e+01 5.53800 11.38300
1405 2.7003 0.54005 0.65191 39.0790 1.3729e+01 3.97180 8.48940
1406 3.8159 0.76318 0.82265 72.9460 1.9592e+01 8.88010 19.23900
1407 3.2044 0.64088 0.74446 60.2640 1.6622e+01 7.38400 15.96300
1408 6.7792 1.35580 1.09700 221.1900 9.2988e+01 16.58700 35.51600
1409 1.9569 0.39139 0.55704 9.7546 4.2179e+00 0.72032 1.50820
1410 8.0373 1.60750 1.24280 222.5800 7.3195e+01 21.43100 47.81700
1411 8.7703 1.75410 1.32780 383.0000 1.5146e+02 30.63700 66.76200
1412 4.1744 0.83488 0.76382 22.7010 7.5718e+00 2.17170 4.63260
1413 2.7421 0.54842 0.65862 17.9910 7.3105e+00 1.44510 3.05090
1414 8.7681 1.75360 1.38020 175.6600 7.5376e+01 11.98400 26.26200
1415 30.3170 6.06350 5.11130 11045.0000 4.6133e+03 679.23000 1408.60000
1416 2.9459 0.58919 0.69089 17.0010 6.8672e+00 1.34200 2.81240
1417 8.5491 1.70980 1.25260 304.6600 1.4866e+02 18.01000 36.79300
1418 29.1080 5.82160 4.73810 11232.0000 3.5045e+03 991.07000 2168.70000
1419 5.6183 1.12370 0.94863 491.0300 2.4023e+02 30.87500 63.39600
1420 2.5765 0.51531 0.52965 86.0730 4.6847e+01 4.17910 8.27690
1421 4.3756 0.87512 0.90351 242.8000 1.2678e+02 12.86500 25.75900
1422 3.8109 0.76218 0.82191 285.5100 1.3885e+02 18.24700 38.01000
1423 3.5272 0.70545 0.77987 66.8380 1.7123e+01 8.46080 18.34500
1424 7.7956 1.55910 1.06670 60.7810 2.0920e+01 5.31680 11.30600
1425 3.4489 0.68979 0.78027 70.5130 1.8056e+01 8.94160 19.45600
1426 24.6840 4.93680 3.89010 8106.9000 2.8691e+03 655.54000 1396.90000
1427 6.0720 1.21440 1.19030 70.2280 2.7353e+01 5.36130 11.63300
1428 4.8105 0.96210 0.98892 14.7040 3.0601e+00 1.51680 3.23950
1429 6.6433 1.32870 1.21300 158.9700 5.9524e+01 14.15100 30.77100
1430 22.6530 4.53060 2.96790 978.5700 2.7319e+02 94.43900 207.45000
1431 4.3197 0.86394 0.82015 32.0710 1.2746e+01 2.55320 5.35190
1432 3.1351 0.62701 0.76662 16.4860 6.5350e+00 1.26760 2.65290
1433 31.8530 6.37060 5.49980 20711.0000 7.6094e+03 1534.00000 3195.10000
1434 9.6643 1.93290 1.70630 209.3900 8.5004e+01 14.98100 32.43700
1435 3.6554 0.73109 0.64666 25.2000 1.2424e+01 1.44260 2.83930
1436 18.2000 3.64000 2.76910 3661.3000 1.4344e+03 273.60000 585.37000
1437 6.8495 1.36990 1.29710 106.4800 3.9577e+01 8.93830 19.39600
1438 2.9109 0.58218 0.68539 12.4990 4.3376e+00 1.14650 2.43440
1439 30.6650 6.13300 5.20360 14113.0000 5.8230e+03 882.89000 1828.90000
1440 6.0080 1.20160 1.14630 209.7600 9.3661e+01 15.04200 32.01100
1441 1.9434 0.38868 0.52473 16.0190 6.2362e+00 1.44560 3.07560
1442 5.2302 1.04600 1.02290 32.2280 7.2432e+00 3.81450 8.30470
1443 14.1180 2.82370 1.88030 297.4100 9.0848e+01 29.13300 63.19600
1444 16.8190 3.36380 2.33080 1378.1000 4.9567e+02 113.85000 246.47000
1445 10.6620 2.13240 1.73510 301.7800 1.0107e+02 28.07300 61.71800
1446 9.3263 1.86530 0.88552 25.0580 9.1224e+00 1.57420 3.09120
1447 4.5962 0.91925 0.93474 71.6100 2.4571e+01 7.18120 15.32600
1448 3.6255 0.72511 0.79453 42.2280 1.8807e+01 2.99560 6.19320
1449 3.3393 0.66787 0.75155 18.0500 6.1866e+00 1.68090 3.59470
1450 4.2919 0.85837 0.79139 96.4810 4.3673e+01 6.81720 14.11500
1451 3.3642 0.67283 0.69806 47.9610 1.4895e+01 5.42120 11.62000
1452 6.0094 1.20190 1.06410 46.4030 1.5103e+01 4.32820 9.17370
1453 2.6472 0.52944 0.56970 15.3440 4.4646e+00 1.77680 3.83190
1454 20.9850 4.19700 3.20360 4620.6000 2.0357e+03 333.94000 704.98000
1455 3.9689 0.79377 0.71131 106.6300 5.6091e+01 5.59520 11.15300
1456 8.3155 1.66310 1.28570 157.6200 6.1684e+01 12.35300 28.05300
1457 11.5650 2.31300 1.72750 407.1900 1.3449e+02 39.65900 86.38000
1458 30.0770 6.01530 4.92800 15214.0000 5.9840e+03 1051.10000 2176.70000
1459 4.3839 0.87678 0.82372 33.6450 1.3670e+01 2.59570 5.44780
1460 7.1109 1.42220 1.08570 86.7080 3.9286e+01 5.37810 11.26800
1461 23.0860 4.61710 3.74910 7037.2000 2.5141e+03 596.40000 1301.00000
1462 3.4386 0.68772 0.76655 44.5870 2.3450e+01 2.17510 4.28810
1463 6.9440 1.38880 0.97019 230.4100 1.1820e+02 12.41000 24.86900
1464 13.0650 2.61310 1.85050 1292.4000 5.1226e+02 97.51800 209.33000
1465 8.4454 1.68910 1.44840 149.6900 6.1002e+01 10.93900 23.35200
1466 2.2046 0.44092 0.49416 19.0710 7.3405e+00 1.76170 3.74910
1467 2.1464 0.42928 0.49171 21.0770 7.8318e+00 2.04020 4.34870
1468 1.9877 0.39754 0.56692 16.2130 6.1452e+00 1.49800 3.18510
1469 9.2226 1.84450 1.54890 764.9800 3.3325e+02 53.68800 115.38000
1470 3.5037 0.70073 0.77634 39.9030 1.7849e+01 2.80310 5.82910
1471 3.9249 0.78498 0.83859 31.8850 1.2814e+01 2.51190 5.27280
1472 2.7788 0.55576 0.66447 21.7240 9.1969e+00 1.66990 3.50040
1473 3.2496 0.64992 0.73789 14.8390 4.5310e+00 1.51270 3.25430
1474 29.5870 5.91740 6.14550 26741.0000 9.5417e+03 2148.50000 4504.70000
1475 7.6039 1.52080 1.33910 248.8800 9.9402e+01 20.30200 44.79900
1476 15.7820 3.15640 3.17000 520.0600 5.1328e+01 71.75900 163.94000
1477 21.0940 4.21890 3.32270 3944.3000 1.4814e+03 299.01000 649.40000
1478 8.9311 1.78620 1.29710 84.5480 2.3991e+01 8.47590 18.57700
1479 8.0858 1.61720 1.40180 1024.3000 4.4963e+02 75.96300 161.54000
1480 5.5228 1.10460 0.94525 408.6500 1.9947e+02 25.72000 52.57300
1481 2.7108 0.54215 0.69569 39.0690 1.1037e+01 4.68000 10.16000
1482 4.3419 0.86838 0.89871 302.9900 1.5307e+02 17.63900 35.77800
1483 2.4402 0.48805 0.62604 19.2100 5.6232e+00 2.25060 4.77510
1484 2.3081 0.46161 0.58753 37.5230 1.3688e+01 3.70570 7.91410
1485 3.2665 0.65329 0.74046 35.3610 1.5895e+01 2.47650 5.13790
1486 5.7224 1.14450 1.11630 214.9200 1.0362e+02 13.41200 28.01300
1487 20.9450 4.18890 3.27890 2341.2000 6.7949e+02 221.51000 489.47000
1488 4.2735 0.85470 0.81396 36.4060 1.4535e+01 2.94390 6.18180
1489 9.6251 1.92500 1.50210 226.2900 7.4654e+01 22.06000 48.71100
1490 10.7040 2.14080 1.74050 194.4700 4.8823e+01 21.62300 48.67800
1491 10.0240 2.00470 1.65720 400.9000 1.3720e+02 37.45100 81.98900
1492 1.8038 0.36076 0.49976 21.7680 8.6506e+00 1.95080 4.14230
1493 3.5293 0.70585 0.69214 16.1630 5.5258e+00 1.51720 3.22660
1494 2.7845 0.55690 0.66538 24.1460 8.8654e+00 2.26620 4.83130
1495 2.0013 0.40025 0.54468 8.6100 2.5302e+00 0.97761 2.10390
1496 2.5857 0.51714 0.47027 19.2520 7.6199e+00 1.71470 3.65020
1497 6.5241 1.30480 1.20330 373.1700 1.4913e+02 30.06700 66.09200
1498 3.5409 0.70819 0.69376 34.1150 1.2651e+01 3.17360 6.74540
1499 28.1950 5.63900 4.59030 13017.0000 4.6768e+03 1040.20000 2220.30000
1500 4.5235 0.90470 0.74490 29.4370 1.2716e+01 2.06820 4.29510
1501 2.6585 0.53169 0.49467 25.0250 1.0915e+01 1.94590 4.08480
1502 4.1078 0.82156 0.75524 31.6530 1.3526e+01 2.31460 4.82970
1503 9.9678 1.99360 1.67220 243.3800 8.1772e+01 22.92600 50.27000
1504 3.2227 0.64453 0.69088 29.9570 1.2640e+01 2.34150 4.89230
1505 3.4141 0.68283 0.71835 39.6940 1.6580e+01 3.18820 6.67930
1506 4.2837 0.85673 0.89039 74.1570 3.0968e+01 5.92780 12.46100
1507 18.5670 3.71340 2.59430 1367.2000 5.5434e+02 102.81000 222.39000
1508 2.2260 0.44520 0.57368 76.9050 3.8891e+01 4.64150 9.24530
1509 3.2942 0.65884 0.74469 37.4120 1.2834e+01 3.74130 7.99200
1510 23.8850 4.77690 3.70620 6468.3000 2.3577e+03 515.90000 1103.90000
1511 13.5170 2.70340 1.74030 256.2700 7.4367e+01 24.89800 56.19600
1512 3.0156 0.60313 0.70179 32.9910 1.6641e+01 1.81880 3.65020
1513 15.0310 3.00620 2.45590 401.7300 1.0168e+02 42.75900 96.20100
1514 8.2704 1.65410 1.43960 134.8200 5.7003e+01 9.01280 19.40400
1515 3.9207 0.78413 0.76798 133.9900 6.8711e+01 7.59270 15.23100
1516 4.4929 0.89859 0.94094 135.1300 7.3193e+01 6.23490 12.33100
1517 2.5656 0.51311 0.64210 20.1550 8.4717e+00 1.58590 3.30910
1518 3.5570 0.71141 0.78291 18.6960 7.5123e+00 1.39450 2.91270
1519 14.4550 2.89100 2.23700 2891.1000 1.1600e+03 228.91000 485.84000
1520 6.0490 1.20980 1.13830 117.9600 3.5059e+01 12.67700 27.80400
1521 4.9378 0.98757 0.98250 78.0780 2.5789e+01 7.94350 17.38500
1522 3.4143 0.68286 0.76289 16.5260 5.3135e+00 1.61290 3.43150
1523 4.4103 0.88206 0.74289 43.2510 2.2104e+01 2.24280 4.42360
1524 8.9509 1.79020 1.46090 166.2000 6.1002e+01 13.95400 30.78000
1525 3.5804 0.71609 0.78781 19.9080 7.9209e+00 1.52040 3.18620
1526 11.0720 2.21450 1.78840 396.0700 1.3751e+02 35.66600 79.69100
1527 8.7361 1.74720 1.55000 277.6100 1.0915e+02 22.11600 49.12800
1528 9.1609 1.83220 1.54090 115.4300 3.4344e+01 11.03100 24.27100
1529 15.8470 3.16950 3.25120 1822.9000 4.4385e+02 193.73000 433.93000
1530 5.9168 1.18340 1.11610 112.5200 5.3137e+01 6.72190 14.41200
1531 10.8620 2.17240 1.76100 351.7700 1.2220e+02 32.38500 69.83400
1532 5.6820 1.13640 1.00990 29.1550 9.8963e+00 2.33810 5.05500
1533 4.9889 0.99778 0.98958 80.1230 3.1200e+01 6.81590 14.60300
1534 4.9247 0.98493 0.86344 299.8200 1.5432e+02 16.55800 33.56700
1535 8.3685 1.67370 0.77217 236.2200 1.0600e+02 17.20900 35.99700
1536 5.4300 1.08600 0.49436 33.9280 1.3588e+01 2.93120 6.22340
1537 2.7725 0.55449 0.53086 33.6410 1.3157e+01 3.06190 6.49990
1538 16.8970 3.37940 2.73210 1158.6000 2.7573e+02 126.83000 286.26000
1539 9.1043 1.82090 1.53360 301.5000 1.1057e+02 27.16000 59.48800
1540 15.9800 3.19590 2.22430 1295.0000 4.5763e+02 114.08000 250.40000
1541 7.5097 1.50190 1.32680 283.0100 1.0635e+02 24.51700 53.95600
1542 3.2350 0.64701 0.67379 23.1860 9.5544e+00 1.84150 3.85140
1543 13.1610 2.63230 2.06290 1567.0000 7.0134e+02 105.14000 220.82000
1544 5.6505 1.13010 1.00580 181.5600 5.8924e+01 19.22200 41.43200
1545 5.0493 1.00990 0.99793 101.5300 4.1352e+01 8.36540 17.66100
1546 11.4870 2.29740 1.84230 658.5700 2.0194e+02 65.89600 145.07000
1547 2.6729 0.53457 0.51470 16.8420 6.1564e+00 1.62470 3.45460
1548 11.7700 2.35390 1.76110 391.0000 1.2105e+02 39.72200 87.77800
1549 7.1115 1.42230 1.27460 249.7100 9.2838e+01 22.06000 48.39600
1550 13.2320 2.64640 1.64630 274.5100 9.2825e+01 24.15200 52.92000
1551 2.6925 0.53850 0.65067 17.8810 6.8711e+00 1.55910 3.30580
1552 4.7083 0.94166 0.95048 72.2920 3.2590e+01 4.97650 10.24300
1553 9.8998 1.98000 1.63640 454.4600 1.8511e+02 34.06800 76.04200
1554 29.8460 5.96920 4.98950 17318.0000 6.8321e+03 1271.00000 2648.40000
1555 6.8465 1.36930 1.05210 45.0790 1.6740e+01 3.42310 7.28340
1556 3.8384 0.76768 0.82595 167.8500 8.5715e+01 9.41040 18.99900
1557 1.6929 0.33859 0.49275 20.9620 6.4454e+00 2.44800 5.22630
1558 22.5130 4.50250 3.44060 4724.7000 1.9473e+03 347.35000 745.00000
1559 6.2037 1.24070 0.98000 39.9510 1.1111e+01 4.18200 9.16660
1560 5.8937 1.17870 0.85244 46.6000 2.0046e+01 3.24990 6.75830
1561 14.6790 2.93590 2.38040 1167.6000 3.8314e+02 110.51000 242.93000
1562 14.8880 2.97750 2.43510 2320.5000 7.3592e+02 218.75000 480.53000
1563 9.0656 1.81310 1.54800 245.3200 5.1660e+01 32.30600 70.62200
1564 15.0240 3.00470 2.31480 451.6100 9.1580e+01 54.95800 122.18000
1565 8.3494 1.66990 1.43590 403.2200 1.6595e+02 32.06100 68.98100
1566 16.9280 3.38570 2.35560 1579.6000 6.6685e+02 106.66000 224.05000
1567 7.0776 1.41550 1.29930 250.1200 1.0914e+02 18.46900 39.19300
1568 5.9542 1.19080 1.12110 36.1500 1.3311e+01 2.55370 5.54620
1569 6.3428 1.26860 0.91167 22.7510 8.5685e+00 1.55210 3.04400
1570 4.2371 0.84741 0.92742 88.6810 4.3129e+01 5.37890 11.00200
1571 1.7055 0.34110 0.48181 20.7760 7.5764e+00 2.06710 4.41700
1572 2.0123 0.40246 0.57151 17.0880 6.3189e+00 1.62890 3.46270
1573 4.3470 0.86941 0.89944 107.1600 5.3258e+01 6.29510 12.81700
1574 6.1121 1.22240 1.14230 228.4900 1.0419e+02 15.79100 33.61700
1575 2.5634 0.51269 0.56993 41.7400 1.6379e+01 3.78400 8.05530
1576 3.7394 0.74788 0.62017 21.0100 6.0491e+00 2.42530 5.18290
1577 10.2170 2.04340 1.52510 114.0100 4.0886e+01 8.72420 18.55200
1578 27.1040 5.42070 4.75470 16037.0000 6.4928e+03 1169.30000 2447.00000
1579 4.1971 0.83943 0.87800 46.1690 2.0364e+01 3.22040 6.68080
1580 10.4040 2.08080 1.70160 567.8500 1.6843e+02 60.69500 134.18000
1581 12.1200 2.42390 1.92520 541.2800 1.7110e+02 52.88000 115.32000
1582 7.0130 1.40260 1.11610 78.4590 2.2970e+01 8.32390 18.22400
1583 3.3102 0.66203 0.74712 38.4170 1.7310e+01 2.68900 5.58930
1584 6.0080 1.20160 1.12830 454.0000 1.9862e+02 34.02800 71.52100
1585 3.2679 0.65357 0.74068 38.5050 1.7399e+01 2.68860 5.58930
1586 6.5819 1.31640 1.21700 631.3700 2.8642e+02 43.75700 93.36200
1587 3.5298 0.70596 0.62795 21.1180 7.4791e+00 2.02670 4.30960
1588 3.0845 0.61691 0.71249 46.5470 1.5859e+01 4.80760 10.37200
1589 2.6564 0.53129 0.68639 26.4750 9.6906e+00 2.50820 5.34410
1590 3.4939 0.69878 0.79514 33.1090 1.3969e+01 2.52460 5.22880
1591 8.3495 1.66990 1.27430 235.4900 9.7634e+01 18.46700 39.67400
1592 14.9510 2.99010 2.32620 2478.5000 9.8584e+02 192.84000 415.21000
1593 9.6281 1.92560 1.60130 519.3600 1.8508e+02 48.09300 103.62000
1594 4.3035 0.86069 0.93731 58.6920 2.2012e+01 5.26150 11.17800
1595 1.8437 0.36875 0.51634 8.5019 3.0249e+00 0.82725 1.76110
1596 10.5080 2.10150 1.56080 279.4300 9.4668e+01 26.69500 58.59600
1597 5.8949 1.17900 1.11320 138.3000 4.8738e+01 12.61900 27.52400
1598 27.8700 5.57390 4.91460 14106.0000 5.0794e+03 1096.40000 2335.20000
1599 9.5413 1.90830 1.41780 258.0600 9.3937e+01 23.17300 50.77900
1600 11.3610 2.27210 1.82590 529.6300 1.9808e+02 45.44400 100.25000
1601 2.0825 0.41650 0.48072 13.9320 5.3135e+00 1.29790 2.74640
1602 21.9050 4.38090 3.57560 3850.1000 1.3056e+03 320.21000 702.67000
1603 10.4240 2.08470 1.70420 224.2900 8.2291e+01 18.38700 40.69000
1604 6.1722 1.23440 1.05650 70.5280 2.5918e+01 6.10800 13.13600
1605 5.9063 1.18130 1.11470 116.4100 4.9903e+01 8.51370 18.30300
1606 6.0861 1.21720 1.03240 48.5340 1.9720e+01 3.35710 7.29620
1607 4.5016 0.90031 0.98140 52.8290 1.3980e+01 6.25820 13.68000
1608 5.0701 1.01400 1.02560 163.3700 5.4464e+01 16.69300 37.09100
1609 5.5411 1.10820 1.06530 113.7900 3.9956e+01 11.10600 23.88500
1610 23.3060 4.66110 3.74240 4469.5000 1.8284e+03 320.60000 690.60000
1611 5.6076 1.12150 1.07440 352.2300 1.5023e+02 26.62600 58.80100
1612 3.8978 0.77957 0.83377 51.4550 2.2667e+01 3.72020 7.74960
1613 4.4256 0.88512 0.91061 63.2620 1.8279e+01 7.33070 15.75700
1614 2.3932 0.47865 0.60177 2.8221 5.4438e-01 0.31561 0.66699
1615 11.2770 2.25540 1.81500 1432.5000 6.5834e+02 91.02500 191.57000
1616 7.1545 1.43090 1.09080 227.8800 1.0633e+02 14.35000 31.36200
1617 15.6300 3.12610 2.12100 1157.4000 4.2585e+02 93.38400 204.55000
1618 2.6730 0.53459 0.56459 6.9967 2.2201e+00 0.69576 1.49050
1619 7.9998 1.60000 1.34090 408.0500 1.4095e+02 38.01000 84.82600
1620 2.0182 0.40363 0.53788 14.7240 4.6489e+00 1.63290 3.51310
1621 1.6405 0.32811 0.46978 9.6206 3.5245e+00 0.92920 1.99340
1622 2.2192 0.44384 0.57252 14.2900 4.9471e+00 1.43250 3.06980
1623 12.9380 2.58760 1.79010 385.5500 1.2401e+02 36.38300 79.47200
1624 5.5107 1.10210 1.06120 138.5400 4.6141e+01 14.03800 30.57500
1625 30.9570 6.19140 5.28290 18170.0000 6.7938e+03 1279.50000 2673.00000
1626 6.0142 1.20280 1.12920 13.4850 2.6021e+00 0.99317 2.11870
1627 3.4848 0.69696 0.78569 77.6760 3.6017e+01 5.37550 11.11800
1628 3.1611 0.63221 0.56239 14.5950 5.5748e+00 1.27920 2.71550
1629 7.3530 1.47060 1.20130 360.1700 1.3805e+02 31.35500 68.64800
1630 3.2340 0.64681 0.59200 26.6330 9.9196e+00 2.49980 5.31380
1631 2.6690 0.53380 0.64688 12.3040 3.6264e+00 1.34200 2.90570
1632 3.4879 0.69758 0.65065 24.0260 8.3934e+00 2.35720 5.00320
1633 31.0230 6.20450 5.30090 18875.0000 7.2979e+03 1282.40000 2664.20000
1634 11.9970 2.39940 1.90910 433.7000 1.5619e+02 37.09900 82.76200
1635 20.7450 4.14890 3.19490 1053.2000 3.0465e+02 100.12000 220.06000
1636 4.6973 0.93946 0.94894 45.9560 2.1566e+01 2.69770 5.47410
1637 9.1990 1.83980 1.36890 156.0200 4.7417e+01 16.33200 35.20500
1638 3.6830 0.73660 0.80183 18.1950 6.2462e+00 1.63650 3.45620
1639 12.7530 2.55060 1.89720 314.0700 7.7892e+01 33.93600 77.47000
1640 2.8380 0.56759 0.58550 18.2700 6.9591e+00 1.64250 3.48760
1641 12.3720 2.47430 1.41030 128.3100 -1.5586e+01 25.28600 57.13900
1642 11.6940 2.33890 1.54000 660.1700 2.4716e+02 54.93200 118.57000
1643 7.5005 1.50010 1.33570 199.1400 4.4962e+01 24.41000 54.29000
1644 3.3512 0.67025 0.75336 37.0710 1.6092e+01 2.76700 5.74830
1645 1.9830 0.39660 0.53171 27.6280 1.1450e+01 2.34020 4.94200
1646 6.1396 1.22790 1.05250 214.7800 1.0198e+02 13.92000 29.04200
1647 2.7276 0.54552 0.65630 17.2540 6.3965e+00 1.56300 3.31870
1648 14.1650 2.83310 1.91610 1424.2000 5.3954e+02 118.58000 259.17000
1649 1.6658 0.33317 0.47449 14.2490 4.9409e+00 1.48300 3.16980
1650 27.4750 5.49490 4.42820 10223.0000 4.0636e+03 700.19000 1444.50000
1651 8.1643 1.63290 1.30610 213.8200 8.0680e+01 17.85700 39.77600
1652 3.5279 0.70558 0.65582 16.5360 5.0675e+00 1.75380 3.76100
1653 21.9060 4.38130 3.35700 5049.2000 1.8471e+03 406.09000 876.96000
1654 5.7041 1.14080 1.13910 45.0970 1.5327e+01 3.82690 8.36510
1655 5.1778 1.03560 0.47363 19.7250 7.1676e+00 1.87490 4.01310
1656 18.8700 3.77410 2.80810 2820.7000 9.5114e+02 248.01000 540.58000
1657 8.8962 1.77920 1.51480 233.8500 8.0354e+01 21.90400 48.31700
1658 26.1510 5.23030 4.10710 3243.4000 1.0959e+03 272.28000 595.16000
1659 8.7348 1.74700 1.36850 433.3500 2.0288e+02 28.53300 58.59400
1660 6.4622 1.29240 1.19490 336.5100 1.2379e+02 30.69400 66.20400
1661 8.2882 1.65760 1.42800 258.9300 8.6722e+01 25.36700 56.59400
1662 13.9890 2.79780 2.87310 2578.7000 8.4405e+02 228.86000 505.71000
1663 10.1330 2.02670 1.66660 722.2100 2.7987e+02 59.68900 128.15000
1664 3.1596 0.63191 0.72408 22.0640 8.3909e+00 1.90770 4.05280
1665 2.3223 0.46446 0.51857 18.5710 7.1928e+00 1.69100 3.58640
1666 4.8336 0.96671 0.96799 57.2260 2.0033e+01 5.43650 11.57600
1667 7.8238 1.56480 1.22120 152.5500 6.5785e+01 10.66100 23.29600
1668 22.0620 4.41230 3.48640 4069.5000 1.4534e+03 321.48000 701.99000
1669 10.9180 2.18370 1.70960 704.3300 2.6616e+02 58.27100 128.35000
1670 13.9210 2.78410 1.89170 1423.1000 5.0845e+02 118.88000 257.38000
1671 2.6121 0.52241 0.63768 34.6920 1.5414e+01 2.59370 5.38000
1672 15.9390 3.18770 2.44210 3005.8000 1.1285e+03 245.70000 529.31000
1673 9.3389 1.86780 1.38900 190.1800 7.0597e+01 16.10800 35.50900
1674 2.2274 0.44548 0.61094 15.6020 5.4729e+00 1.53730 3.28510
1675 2.2753 0.45505 0.48784 31.1780 1.3090e+01 2.61160 5.49660
1676 6.0086 1.20170 0.95191 40.3770 1.7531e+01 2.54030 5.20210
1677 7.9793 1.59590 1.38790 207.5000 8.9547e+01 14.51900 32.03300
1678 2.9525 0.59049 0.72725 17.2280 5.7068e+00 1.69910 3.63680
1679 2.1068 0.42135 0.55327 16.8500 8.3350e+00 0.99435 2.02820
1680 2.0475 0.40950 0.54299 12.5240 5.7441e+00 0.86498 1.76170
1681 3.8974 0.77948 0.70241 24.1890 1.1017e+01 1.55920 3.19800
1682 15.3370 3.06730 2.35810 674.6800 1.3303e+02 81.46300 184.43000
1683 3.1167 0.62334 0.76360 24.5230 1.0997e+01 1.64730 3.39340
1684 3.5620 0.71240 0.63461 18.4610 6.5135e+00 1.74700 3.71660
1685 15.5230 3.10460 2.88980 753.7500 1.6433e+02 84.58900 190.22000
1686 19.4240 3.88480 3.27840 853.1800 2.8129e+02 72.51800 162.04000
1687 6.8029 1.36060 1.29070 66.2880 8.7214e-01 11.82300 26.65700
1688 2.4392 0.48784 0.51099 12.7360 4.1547e+00 1.36710 2.91140
1689 6.5762 1.31520 1.15970 78.5140 4.6615e+00 13.27100 29.67200
1690 3.3270 0.66539 0.74967 19.7290 7.5609e+00 1.63870 3.45540
1691 6.1922 1.23840 1.15300 340.7500 1.2996e+02 29.32400 65.33200
1692 2.9226 0.58451 0.70380 21.9400 8.9343e+00 1.76170 3.69610
1693 2.0971 0.41942 0.48806 14.9410 4.8113e+00 1.64640 3.53790
1694 7.4834 1.49670 1.03120 123.7900 5.1807e+01 9.19460 20.32300
1695 18.9610 3.79210 2.77030 449.8300 9.1024e+01 50.16100 113.82000
1696 9.5254 1.90510 1.47590 220.6800 7.9721e+01 18.79000 42.16300
1697 1.7538 0.35076 0.48795 18.8150 6.9228e+00 1.84450 3.94370
1698 8.1698 1.63400 1.41270 53.2830 1.4136e+01 4.71430 10.48300
1699 3.7415 0.74830 0.81170 58.2030 2.7713e+01 3.68830 7.58660
1700 5.3312 1.06620 1.03900 316.5600 1.4302e+02 22.44100 47.98900
1701 4.0671 0.81343 0.78149 44.0350 1.4243e+01 4.64310 10.00100
1702 11.3870 2.27740 1.82880 764.5400 3.1462e+02 57.12100 124.10000
1703 2.3377 0.46754 0.59250 23.5090 9.1221e+00 2.11560 4.51130
1704 2.4177 0.48354 0.64488 17.1850 6.3314e+00 1.59170 3.38450
1705 3.6340 0.72680 0.79579 17.0420 5.9948e+00 1.47340 3.12080
1706 19.9160 3.98320 3.40710 2272.5000 6.0894e+02 227.84000 503.80000
1707 7.5658 1.51320 1.33410 213.8700 6.8670e+01 21.26900 47.95300
1708 7.3720 1.47440 1.30880 196.3700 8.0710e+01 15.47600 32.98900
1709 26.2810 5.25620 3.48870 3380.9000 9.7646e+02 309.95000 685.49000
1710 23.1340 4.62680 3.74830 4556.2000 1.3513e+03 418.59000 919.15000
1711 24.5270 4.90530 3.91090 3985.8000 1.2097e+03 360.95000 790.13000
1712 23.6680 4.73360 3.66650 5910.0000 2.1933e+03 440.41000 935.52000
1713 7.6033 1.52070 1.13900 161.4200 6.0324e+01 14.32700 31.47000
1714 1.8623 0.37247 0.51030 18.3360 6.7307e+00 1.78760 3.83160
1715 7.0906 1.41810 1.16980 81.2570 3.4701e+01 5.33310 11.51700
1716 3.0265 0.60529 0.70347 54.5780 1.7411e+01 6.06390 13.00500
1717 1.9151 0.38302 0.51972 9.3396 3.6293e+00 0.82336 1.73640
1718 2.4602 0.49204 0.62455 60.1100 3.1652e+01 3.19270 6.30900
1719 9.2195 1.84390 1.46290 120.7500 3.3965e+01 12.19300 27.73400
1720 26.1370 5.22740 4.64200 12363.0000 4.8962e+03 866.10000 1825.50000
1721 11.3550 2.27100 1.68640 821.2500 2.8040e+02 77.90700 172.07000
1722 2.6579 0.53157 0.64508 16.9490 6.0897e+00 1.60070 3.40340
1723 2.6034 0.52068 0.63627 18.4940 7.0797e+00 1.63520 3.48100
1724 27.4630 5.49270 4.77320 14133.0000 5.5841e+03 998.41000 2096.40000
1725 8.3711 1.67420 1.43880 283.5700 1.0123e+02 25.65900 57.05100
1726 27.5190 5.50390 4.41320 8561.4000 3.1804e+03 650.35000 1393.20000
1727 7.0396 1.40790 1.26520 97.3820 2.9706e+01 9.82700 21.92700
1728 3.9522 0.79043 0.84257 37.3940 1.2318e+01 3.78840 8.12030
1729 20.6450 4.12900 2.92180 3472.5000 1.2557e+03 290.11000 634.02000
1730 32.0870 6.41740 4.49220 13921.0000 5.2709e+03 1014.10000 2114.10000
1731 8.1504 1.63010 1.52190 53.5440 1.2988e+01 4.75930 10.78100
1732 2.1184 0.42367 0.55527 61.0460 2.9862e+01 3.91540 8.04690
1733 3.6373 0.72745 0.74988 24.1790 9.3804e+00 2.01480 4.23280
1734 27.0790 5.41580 4.64520 11650.0000 4.0928e+03 926.72000 1992.30000
1735 8.0066 1.60130 1.28510 202.5800 8.2110e+01 15.82400 34.20400
1736 13.9520 2.79040 1.80100 1495.7000 6.5421e+02 108.96000 229.06000
1737 1.9071 0.38142 0.54541 12.8700 6.8558e+00 0.61205 1.20090
1738 5.0808 1.01620 0.94458 33.5630 1.0524e+01 3.30200 6.98520
1739 27.3110 5.46230 4.39240 12273.0000 4.2829e+03 969.26000 2036.40000
1740 9.3607 1.87210 1.56670 226.6000 9.6596e+01 15.60900 34.06400
1741 9.2468 1.84940 1.49820 139.1100 4.9149e+01 11.71300 25.62300
1742 7.8983 1.57970 1.43850 66.2500 1.6087e+01 6.90850 15.09100
1743 1.7953 0.35906 0.49822 15.2080 5.9897e+00 1.36240 2.89670
1744 3.3150 0.66299 0.74785 13.4040 4.5708e+00 1.19450 2.53800
1745 3.6190 0.72380 0.83342 20.1020 6.8826e+00 1.82030 3.87060
1746 9.8826 1.97650 0.95939 42.3710 1.8127e+01 2.30760 4.53770
1747 2.1057 0.42114 0.52048 21.6330 8.0058e+00 2.09890 4.46680
1748 9.5287 1.90570 1.58840 252.0100 8.9014e+01 23.07500 50.36100
1749 4.0759 0.81518 0.86052 19.9090 6.7862e+00 1.74950 3.67470
1750 3.4522 0.69045 0.68148 20.0360 6.6932e+00 1.99490 4.26050
1751 1.8248 0.36496 0.51621 22.4790 7.8873e+00 2.31960 4.95800
1752 18.5070 3.70150 2.74680 1169.0000 4.3977e+02 91.35500 199.90000
1753 16.3080 3.26160 2.49420 895.8700 2.8034e+02 87.54200 192.26000
1754 4.5335 0.90671 0.83028 30.9290 1.1942e+01 2.51700 5.29220
1755 3.6365 0.72730 0.73644 32.9460 1.2659e+01 2.90060 6.10420
1756 9.2792 1.85580 1.55620 280.3900 6.4841e+01 33.87300 75.96600
1757 4.4557 0.89113 0.86193 251.2700 1.2400e+02 15.53700 31.55900
1758 5.8899 1.17800 1.11250 496.1300 2.1114e+02 38.91500 84.69900
1759 10.7690 2.15380 1.74900 187.0400 6.5572e+01 15.42900 33.77900
1760 8.4678 1.69360 1.34300 122.1000 4.9228e+01 8.84880 19.15100
1761 16.0910 3.21830 2.23960 696.2400 1.9025e+02 74.59100 166.05000
1762 3.1017 0.62034 0.55444 7.3937 2.2080e+00 0.77611 1.64680
1763 28.3200 5.66400 5.36590 13782.0000 5.0898e+03 1052.50000 2221.00000
1764 7.1590 1.43180 1.13340 63.9500 1.9999e+01 6.24020 13.27200
1765 6.1665 1.23330 1.14960 217.9300 7.8967e+01 19.88400 44.06500
1766 6.1901 1.23800 1.05650 53.3960 1.8924e+01 4.64700 9.82690
1767 3.5145 0.70290 0.77796 27.0600 1.0548e+01 2.25650 4.75990
1768 9.4260 1.88520 1.40790 146.4200 5.2792e+01 12.09700 27.36700
1769 3.5513 0.71026 0.65880 23.8810 1.0960e+01 1.56690 3.22150
1770 2.1362 0.42723 0.52542 29.2110 1.1442e+01 2.67000 5.65710
1771 31.1060 6.22120 4.30340 10988.0000 4.4457e+03 741.80000 1535.60000
1772 2.5168 0.50335 0.62215 20.6330 7.4223e+00 1.98840 4.26590
1773 5.9539 1.19080 1.13380 23.3710 6.2781e+00 1.91450 4.29610
1774 14.2910 2.85820 1.90660 1317.2000 4.8753e+02 107.87000 233.64000
1775 2.8949 0.57898 0.68287 55.0760 2.6181e+01 3.64020 7.52980
1776 20.9150 4.18300 3.19220 1892.4000 5.7470e+02 168.69000 370.93000
1777 29.3940 5.87890 6.01300 23564.0000 7.9262e+03 1985.10000 4211.70000
1778 8.2206 1.64410 0.75597 229.5100 1.0593e+02 15.93900 33.12900
1779 6.9814 1.39630 1.06960 56.1560 2.4581e+01 3.30490 7.14520
1780 2.9537 0.59073 0.72745 20.3450 8.0454e+00 1.66760 3.51850
1781 12.9940 2.59890 2.11360 290.6500 6.4828e+01 34.09500 76.33000
1782 8.7092 1.74180 1.57560 182.9300 5.8515e+01 17.71400 39.68500
1783 5.6402 1.12800 0.91376 48.6980 2.2211e+01 3.01100 6.14830
1784 12.9370 2.58750 1.77990 309.1400 1.1679e+02 25.20800 53.52900
1785 3.6723 0.73447 0.73436 65.5180 2.8418e+01 5.08680 10.62000
1786 5.1815 1.03630 0.92785 37.4770 1.4360e+01 2.98510 6.28720
1787 2.0670 0.41339 0.47512 17.0570 5.7479e+00 1.81480 3.90680
1788 25.9800 5.19610 4.11170 6244.4000 2.3790e+03 447.03000 943.68000
1789 8.0787 1.61570 1.32240 308.4600 1.3188e+02 23.20100 49.06700
1790 3.6561 0.73121 0.59888 13.3720 4.3523e+00 1.33950 2.85580
1791 8.6996 1.73990 1.48130 183.3900 5.8707e+01 17.92300 40.49500
1792 18.8740 3.77480 2.80860 337.2600 6.7667e+01 34.35000 75.94400
1793 3.6411 0.72823 0.80918 5.3807 9.7316e-01 0.50416 1.05980
1794 4.9968 0.99937 1.00360 79.8940 3.8552e+01 4.64450 9.62590
1795 2.7861 0.55721 0.66563 94.4980 4.7098e+01 5.74490 11.77200
1796 9.1963 1.83930 1.54550 575.9800 1.9476e+02 55.21700 123.27000
1797 4.7578 0.95157 0.83794 68.2660 3.1583e+01 4.53090 9.36510
1798 23.3960 4.67930 3.42040 6406.3000 2.2878e+03 559.52000 1205.80000
1799 2.3976 0.47952 0.57856 34.3230 1.3971e+01 2.95840 6.25760
1800 9.9301 1.98600 1.55030 551.8300 2.3342e+02 41.05900 87.95400
1801 25.7300 5.14600 4.06110 7872.9000 2.3832e+03 692.72000 1497.40000
1802 4.8093 0.96186 1.02850 122.0400 5.0418e+01 9.90140 21.14900
1803 2.1823 0.43646 0.56623 14.8140 5.6915e+00 1.33050 2.82590
1804 4.7560 0.95121 0.98117 46.6410 1.8883e+01 3.58090 7.45190
1805 21.6530 4.33060 3.31430 1974.8000 6.7799e+02 160.58000 344.50000
1806 10.3300 2.06600 1.53390 476.9800 1.8324e+02 40.34000 87.28700
1807 15.5550 3.11100 2.38840 254.1000 5.7761e+01 25.93500 56.80500
1808 2.6706 0.53412 0.64714 19.7750 7.5579e+00 1.75590 3.72740
1809 8.1842 1.63680 1.50350 97.8480 3.5581e+01 7.58580 16.10300
1810 5.0926 1.01850 0.77376 18.4680 5.3345e+00 1.88030 3.95060
1811 26.2520 5.25040 4.38680 7425.4000 2.6270e+03 582.98000 1270.40000
1812 5.2402 1.04800 0.91050 68.3160 2.9387e+01 5.05450 10.51500
1813 2.3783 0.47565 0.59927 77.8380 4.0314e+01 4.32770 8.74790
1814 3.8815 0.77630 0.83226 15.4860 5.5327e+00 1.23120 2.58750
1815 11.2940 2.25890 1.81730 585.8700 1.8094e+02 57.47800 127.86000
1816 29.7200 5.94400 4.96550 16864.0000 6.5167e+03 1231.60000 2577.00000
1817 9.9516 1.99030 1.53010 310.5600 1.3008e+02 22.16700 48.72300
1818 8.6751 1.73500 1.47810 314.5400 1.0540e+02 28.73900 62.94900
1819 8.1179 1.62360 1.40590 55.6090 1.5617e+01 4.76690 10.67000
1820 3.0444 0.60888 0.66493 27.0800 9.9860e+00 2.55200 5.38360
1821 8.8279 1.76560 1.40810 139.0600 4.4776e+01 13.30700 29.38100
1822 7.1584 1.43170 1.28080 179.1200 6.7711e+01 15.13100 34.72600
1823 4.9051 0.98102 0.74161 18.5650 5.7534e+00 1.80750 3.85340
1824 2.6628 0.53257 0.64589 13.9250 5.0179e+00 1.28280 2.72370
1825 5.6434 1.12870 1.07920 118.0300 4.7178e+01 9.81840 20.99600
1826 2.9205 0.58410 0.68690 33.8590 1.3839e+01 2.81800 5.94920
1827 2.6989 0.53979 0.59661 31.3940 1.2603e+01 2.73520 5.77110
1828 8.9903 1.79810 1.53830 481.3600 1.8112e+02 42.35000 91.41200
1829 30.0540 6.01070 5.04260 16740.0000 6.3875e+03 1225.70000 2576.30000
1830 11.3700 2.27390 1.65020 329.3400 1.1042e+02 30.45900 66.93300
1831 12.0090 2.40180 1.91070 272.2500 9.6116e+01 23.10800 49.98400
1832 6.1420 1.22840 1.14630 310.7300 1.3600e+02 23.58100 49.62600
1833 7.5801 1.51600 1.19230 297.8300 1.2251e+02 22.51700 49.05000
1834 1.6753 0.33507 0.47625 12.1060 4.7344e+00 1.09310 2.32560
1835 7.8864 1.57730 1.43690 285.8600 1.1731e+02 22.13300 47.90900
1836 7.4156 1.48310 1.31450 134.5500 5.3865e+01 10.30000 22.60400
1837 23.9160 4.78310 3.84910 7704.2000 2.8230e+03 586.15000 1255.60000
1838 10.0000 2.00000 1.42260 368.1700 1.1984e+02 36.07900 78.78900
1839 13.8490 2.76990 1.94890 878.2700 3.1562e+02 73.45200 158.08000
1840 2.2100 0.44200 0.50527 38.5120 1.7726e+01 2.78490 5.77970
1841 4.3247 0.86494 0.89625 306.0200 1.4028e+02 22.13300 45.84700
1842 3.9236 0.78471 0.85334 132.6300 6.3371e+01 8.75160 18.00000
1843 7.9176 1.58350 1.24800 148.8100 5.6293e+01 12.53500 26.96900
1844 4.8819 0.97638 0.88905 14.3560 9.5811e-01 2.15790 4.73200
1845 13.2340 2.64670 2.07250 527.2900 5.8488e+01 73.09600 165.64000
1846 2.8905 0.57809 0.69495 18.7780 7.6894e+00 1.47760 3.08300
1847 12.6200 2.52400 1.81170 717.1900 2.2290e+02 68.94600 154.29000
1848 7.6771 1.53540 1.19520 103.6200 4.5142e+01 6.70230 14.58100
1849 3.3762 0.67523 0.75713 20.5050 6.4664e+00 2.11570 4.50750
1850 2.0729 0.41457 0.54471 17.1170 6.6049e+00 1.55610 3.30750
1851 2.4887 0.49773 0.61754 19.8020 6.8465e+00 2.00070 4.25960
1852 2.1563 0.43126 0.56179 38.2500 1.3826e+01 3.81780 8.20280
1853 2.5639 0.51278 0.66680 35.3800 1.4745e+01 2.90200 6.12660
1854 1.8341 0.36682 0.50523 25.5770 1.1053e+01 2.04150 4.29400
1855 8.5774 1.71550 1.30370 334.4100 1.1685e+02 30.43700 67.22000
1856 2.7387 0.54774 0.55187 15.0300 5.0438e+00 1.55370 3.31050
1857 3.6787 0.73574 0.64723 41.8270 1.8554e+01 3.09130 6.43120
1858 4.6363 0.92727 0.94038 38.4500 1.5350e+01 2.95740 6.18750
1859 4.9630 0.99261 0.80480 25.6270 9.8555e+00 2.00870 4.21150
1860 2.7012 0.54024 0.62628 17.9050 6.4251e+00 1.70760 3.63850
1861 5.9917 1.19830 0.99063 94.4760 4.3458e+01 6.16340 12.76800
1862 2.7951 0.55903 0.71002 32.3890 1.3960e+01 2.47740 5.17690
1863 2.0555 0.41110 0.54438 13.7540 4.5742e+00 1.46580 3.09210
1864 14.2500 2.85000 2.10460 664.5200 2.6265e+02 48.86500 107.91000
1865 4.2149 0.84299 0.71813 51.2620 2.3844e+01 3.42620 7.04680
1866 7.5890 1.51780 1.33710 196.6200 8.3519e+01 14.52500 31.22400
1867 9.2284 1.84570 1.44990 407.5000 1.2771e+02 40.40800 89.50700
1868 8.5901 1.71800 1.28400 12.2950 -4.8523e+00 2.08490 4.62600
1869 4.5567 0.91133 0.74940 37.0540 8.7553e+00 4.69310 10.25700
1870 5.7215 1.14430 0.90842 31.1130 9.2749e+00 3.11250 6.63620
1871 2.6753 0.53506 0.56259 18.8890 6.9876e+00 1.78150 3.79580
1872 3.0700 0.61400 0.71024 5.5465 1.1047e+00 0.62068 1.31810
1873 4.4243 0.88487 0.83414 22.7010 7.1085e+00 2.21930 4.72990
1874 3.2036 0.64072 0.73084 22.7070 8.0074e+00 2.14800 4.58030
1875 23.7590 4.75170 3.68310 5110.9000 1.7645e+03 407.26000 874.34000
1876 9.7293 1.94590 1.44520 488.1400 1.7091e+02 44.41200 96.63500
1877 6.0237 1.20470 1.13050 73.9260 1.6222e+01 9.28130 21.14100
1878 21.1430 4.22860 3.75890 2500.9000 5.7875e+02 266.98000 597.70000
1879 2.3405 0.46810 0.59297 16.0630 5.8424e+00 1.52750 3.25770
1880 5.3791 1.07580 0.91536 33.6370 1.3232e+01 2.51060 5.25170
1881 6.4614 1.29230 1.09070 49.1490 8.2268e+00 6.73150 14.76900
1882 26.8580 5.37170 4.24830 7942.6000 3.3159e+03 562.73000 1177.20000
1883 2.3471 0.46943 0.59408 14.9490 5.5722e+00 1.37330 2.92380
1884 1.8876 0.37752 0.51482 15.3690 5.6766e+00 1.48300 3.15510
1885 7.3371 1.46740 1.01460 73.6490 2.9015e+01 5.75380 12.30100
1886 22.4600 4.49200 3.51780 2266.8000 8.5190e+02 165.76000 365.01000
Rstem LAmax LA youngLA matureLA oldLA LAI
1 20.51200 2.2676e+01 8.756200 8.9521e-01 2.9187e+00 4.942300 0.805570
2 560.55000 1.3621e+02 128.890000 9.1694e+00 4.2964e+01 76.759000 2.589800
3 9.88540 1.9905e+01 5.801500 9.1035e-01 1.9384e+00 2.952800 0.966920
4 0.23149 1.5568e+00 0.416750 3.3132e-02 1.3886e-01 0.244770 0.416750
5 1.45600 2.5060e+00 1.281700 1.7601e-01 4.2722e-01 0.678430 1.281700
6 9.06200 2.2301e+01 2.067300 3.1457e-01 6.8911e-01 1.063600 0.344550
7 2.67050 8.0709e+00 2.777400 3.1173e-01 9.2580e-01 1.539900 1.181000
8 151.68000 5.3975e+01 52.629000 3.3321e+00 1.7879e+01 31.419000 2.885900
9 3.90780 8.9306e+00 2.854500 2.2029e-01 9.6236e-01 1.671900 0.846850
10 116.33000 6.5955e+01 35.257000 3.8770e+00 1.1752e+01 19.627000 1.165900
11 176.56000 7.2537e+01 56.666000 3.8826e+00 1.9035e+01 33.747000 2.100500
12 21.56300 2.2013e+01 8.966900 1.5290e+00 3.0230e+00 4.414800 1.494500
13 0.16893 1.0095e+00 0.066773 3.5101e-03 2.0519e-02 0.042743 0.066773
14 1.43730 2.8942e+00 0.229750 2.0723e-02 7.5833e-02 0.133200 0.166870
15 0.17164 2.1021e+00 0.447330 4.9945e-02 1.4911e-01 0.248270 0.447330
16 0.26018 1.7017e+00 0.531640 5.7913e-02 1.7721e-01 0.296520 0.531640
17 2.03850 6.3551e+00 0.730900 1.2664e-01 2.4363e-01 0.360630 0.379360
18 4.54780 4.5835e+00 3.423000 3.3105e-01 1.1254e+00 1.966600 0.898260
19 22.94800 2.1102e+01 16.252000 2.7846e+00 5.6632e+00 7.803900 3.035200
20 0.32028 1.5036e+00 0.519630 5.4728e-02 1.7321e-01 0.291690 0.519630
21 4.07260 1.0768e+01 0.896310 1.4517e-01 2.9877e-01 0.452360 0.274620
22 5.93650 9.5101e+00 4.976500 6.7519e-01 1.7664e+00 2.534900 1.788500
23 4.34210 5.1822e+00 2.954100 5.8775e-01 9.9058e-01 1.375800 1.438000
24 32.87300 2.1733e+01 14.628000 1.0278e+00 4.8743e+00 8.725400 1.219000
25 0.19557 1.3083e+00 0.340030 3.7757e-02 1.1334e-01 0.188940 0.340030
26 1403.10000 3.1800e+02 235.970000 4.2732e+01 7.8680e+01 114.560000 3.188800
27 17.00400 1.4270e+01 7.999900 7.6809e-01 2.6866e+00 4.545200 1.333300
28 280.26000 9.4174e+01 72.811000 6.8080e+00 2.4270e+01 41.732000 2.080300
29 12.26800 1.3128e+01 5.641400 7.8445e-01 1.8805e+00 2.976500 0.781130
30 22.84300 1.7123e+01 13.416000 1.4290e+00 4.4981e+00 7.488700 2.035900
31 1497.80000 2.9246e+02 285.050000 1.9954e+01 9.5784e+01 169.310000 3.521500
32 0.24319 1.1544e+00 0.184800 1.4634e-02 6.1593e-02 0.108570 0.184800
33 583.36000 1.4899e+02 144.890000 1.0377e+01 4.9634e+01 84.882000 3.064800
34 405.90000 1.3231e+02 132.310000 9.8903e+00 4.5734e+01 76.690000 4.166900
35 2.27260 3.6759e+00 1.076600 1.5699e-01 3.5870e-01 0.560950 0.468290
36 17.35900 1.5614e+01 10.990000 9.3873e-01 3.8045e+00 6.246900 2.067100
37 17.00800 1.3422e+01 10.912000 1.1672e+00 3.6924e+00 6.052200 2.439600
38 6.52420 1.4314e+01 4.822900 5.9543e-01 1.6755e+00 2.552000 1.263500
39 6.73300 9.1161e+00 6.455700 5.5315e-01 2.1547e+00 3.747800 2.029400
40 1.08760 2.3095e+00 0.783600 1.1894e-01 2.6120e-01 0.403450 0.783600
41 1406.90000 2.9825e+02 238.740000 4.3997e+01 7.9671e+01 115.070000 3.442200
42 0.29007 2.2583e+00 0.553340 5.7482e-02 1.8445e-01 0.311410 0.553340
43 234.09000 8.1834e+01 73.310000 8.0909e+00 2.4437e+01 40.783000 3.187400
44 441.41000 1.3400e+02 132.130000 1.3166e+01 4.4779e+01 74.186000 4.056500
45 17.18300 1.8548e+01 8.932900 8.2472e-01 2.9815e+00 5.126700 1.144800
46 1.30230 2.1067e+00 1.254500 1.4148e-01 4.1837e-01 0.694670 1.108000
47 5.56090 6.9534e+00 3.580500 3.2836e-01 1.1934e+00 2.058800 0.800870
48 1.69420 3.6524e+00 0.609490 7.5777e-02 2.0316e-01 0.330550 0.376320
49 6.51100 1.2209e+01 4.436500 5.6760e-01 1.4788e+00 2.390100 0.956030
50 52.91200 3.4778e+01 14.375000 1.2881e+00 4.7917e+00 8.295400 0.758020
51 0.74455 2.4083e+00 0.572610 5.7136e-02 1.9087e-01 0.324600 0.572610
52 1.68110 3.0522e+00 0.560700 6.9675e-02 1.8690e-01 0.304120 0.413300
53 11.42000 9.9767e+00 8.262100 4.0635e-01 2.9234e+00 4.932400 1.864900
54 1504.60000 3.1835e+02 253.060000 4.6816e+01 8.4390e+01 121.860000 3.419800
55 17.64700 1.0939e+01 8.189800 1.0210e+00 2.7299e+00 4.438900 1.750800
56 0.24823 1.7521e+00 0.461560 6.3169e-02 1.5385e-01 0.244540 0.461560
57 18.39800 1.0840e+01 9.511500 5.4565e-01 3.1676e+00 5.798200 1.195800
58 1992.40000 3.3926e+02 339.260000 3.3163e+01 1.1297e+02 193.130000 4.301100
59 11.02900 1.1344e+01 6.676700 1.0696e+00 2.2256e+00 3.381500 1.112800
60 115.49000 5.4326e+01 41.431000 5.9534e+00 1.3810e+01 21.667000 2.076600
61 11.04500 9.6482e+00 6.395400 3.9397e-01 2.1318e+00 3.869600 1.251800
62 7.29520 1.0417e+01 6.450200 6.9408e-01 2.2815e+00 3.474600 1.911300
63 12.43300 1.3052e+01 7.297700 9.2969e-01 2.4326e+00 3.935400 1.216300
64 312.31000 1.1190e+02 80.449000 8.5360e+00 2.6867e+01 45.047000 2.217500
65 4.46030 5.1554e+00 1.196400 1.0221e-01 3.9720e-01 0.696940 0.340160
66 13.79600 1.2430e+01 7.290800 1.2508e+00 2.4303e+00 3.609800 1.654900
67 6.22330 1.1560e+01 4.946900 7.1811e-01 1.6555e+00 2.573300 1.353800
68 138.20000 7.0649e+01 27.880000 5.4200e+00 9.2934e+00 13.167000 0.939880
69 0.23543 1.1033e+00 0.349690 2.4424e-02 1.1606e-01 0.209210 0.349690
70 6.96150 7.8730e+00 4.943500 3.4682e-01 1.6478e+00 2.948800 1.099000
71 1123.10000 2.6089e+02 260.890000 1.4241e+01 9.0418e+01 156.230000 4.141100
72 7.06200 8.6723e+00 2.878000 2.2631e-01 9.9190e-01 1.659800 0.753310
73 4.70010 1.1089e+01 3.070500 3.8007e-01 1.0598e+00 1.630600 0.776690
74 0.24819 1.2536e+00 0.308250 3.1568e-02 1.0275e-01 0.173920 0.308250
75 0.30624 1.9083e+00 0.437050 5.8211e-02 1.4568e-01 0.233160 0.437050
76 22.11200 1.0798e+01 8.786900 8.9258e-01 2.9290e+00 4.965400 1.464500
77 1.96660 3.3745e+00 1.136900 1.7508e-01 3.8006e-01 0.581780 0.590160
78 2.85240 7.2373e+00 1.161900 2.6884e-01 3.8730e-01 0.505760 0.488390
79 5.99140 8.1691e+00 3.744500 5.7762e-01 1.2482e+00 1.918700 1.196900
80 5.55750 9.8678e+00 1.156800 1.3297e-01 3.8563e-01 0.638170 0.307140
81 20.55400 2.3269e+01 10.591000 1.1319e+00 3.5521e+00 5.907500 1.316900
82 1.91030 4.3076e+00 0.841320 1.1430e-01 2.8044e-01 0.446580 0.536630
83 2.35410 1.6443e+00 0.669060 3.3732e-02 2.1320e-01 0.422140 0.328950
84 0.93125 2.1021e+00 0.673150 7.5787e-02 2.2438e-01 0.372980 0.673150
85 19.26800 1.8311e+01 11.397000 1.2421e+00 3.8275e+00 6.327300 1.818700
86 1.36780 3.8628e+00 0.411950 7.6513e-02 1.3732e-01 0.198120 0.314770
87 0.18048 1.1521e+00 0.200990 1.4762e-02 6.6461e-02 0.119770 0.200990
88 2.66360 4.2008e+00 3.067600 3.3579e-01 1.0225e+00 1.709300 1.366300
89 0.43893 1.0583e+00 0.253220 1.6588e-02 8.4373e-02 0.152260 0.253220
90 6.87190 1.2018e+01 2.186400 3.0244e-01 7.2879e-01 1.155100 0.414490
91 1819.90000 3.1444e+02 308.030000 4.5331e+01 1.0309e+02 159.610000 4.213100
92 11.83200 1.5992e+01 6.167600 4.9257e-01 2.0559e+00 3.619200 0.881190
93 0.24857 1.3107e+00 0.341980 3.5640e-02 1.1399e-01 0.192350 0.341980
94 5.49520 7.2426e+00 1.366200 1.4053e-01 4.3412e-01 0.791520 0.308450
95 12.09800 1.4625e+01 9.084800 1.2224e+00 3.1072e+00 4.755200 2.164200
96 6.60000 8.1717e+00 5.346300 5.9066e-01 1.7821e+00 2.973500 2.054700
97 15.11100 1.4807e+01 7.997500 9.0253e-01 2.6773e+00 4.417700 1.650800
98 3.71820 8.5025e+00 2.385800 4.4900e-01 7.9528e-01 1.141600 0.769780
99 28.31600 2.0808e+01 17.007000 2.5321e+00 5.6691e+00 8.806100 2.228500
100 0.63299 2.0537e+00 0.351320 4.4162e-02 1.1716e-01 0.189990 0.351320
101 1.03670 1.7607e+00 0.609320 4.8374e-02 2.0822e-01 0.352730 0.609320
102 415.81000 1.2843e+02 83.523000 7.3347e+00 2.7840e+01 48.348000 1.673900
103 15.80300 1.6512e+01 5.844100 6.7638e-01 1.9480e+00 3.219700 0.719350
104 0.26434 1.2107e+00 0.134480 7.1943e-03 4.3211e-02 0.084078 0.134480
105 0.26053 1.4060e+00 0.445010 4.5033e-02 1.4834e-01 0.251640 0.445010
106 0.25471 1.5036e+00 0.162410 1.9472e-02 5.4101e-02 0.088836 0.162410
107 1468.20000 3.1730e+02 316.370000 2.2463e+01 1.0852e+02 185.390000 4.056800
108 10.94200 1.0349e+01 8.567100 6.2340e-01 2.8669e+00 5.076700 1.888200
109 1.34800 3.4820e+00 0.704800 8.8023e-02 2.3493e-01 0.381840 0.546730
110 4.52610 5.3687e+00 4.644900 4.2770e-01 1.7210e+00 2.496100 2.697700
111 1.28750 2.6635e+00 0.461030 5.8763e-02 1.5709e-01 0.245180 0.423330
112 31.19600 2.1671e+01 15.564000 1.4409e+00 5.1879e+00 8.935000 1.699600
113 18.94100 1.2341e+01 8.894400 1.3296e+00 2.9648e+00 4.600000 1.482400
114 25.14300 1.5498e+01 13.179000 8.8723e-01 4.6492e+00 7.643100 2.196600
115 9.24950 1.2005e+01 3.808500 5.0073e-01 1.2695e+00 2.038300 0.648880
116 8.11000 9.6723e+00 4.383500 6.8828e-01 1.4612e+00 2.234000 1.183500
117 7.06890 8.8444e+00 4.269000 5.0495e-01 1.4230e+00 2.341100 1.289100
118 0.25480 2.2021e+00 0.521060 1.2993e-01 1.7398e-01 0.217150 0.521060
119 23.62900 2.2479e+01 13.478000 1.6597e+00 4.5366e+00 7.282100 2.134300
120 58.18700 3.6212e+01 20.135000 2.2629e+00 6.7518e+00 11.121000 1.630800
121 160.15000 7.4704e+01 57.927000 5.4431e+00 1.9685e+01 32.800000 2.419500
122 102.61000 3.9180e+01 38.102000 2.8721e+00 1.3070e+01 22.160000 3.084500
123 1.49700 2.8245e+00 1.391800 1.2527e-01 4.6930e-01 0.797240 1.059700
124 0.13904 1.4083e+00 0.542960 6.4503e-02 1.8097e-01 0.297480 0.542960
125 1339.80000 3.0506e+02 226.470000 4.1111e+01 7.5492e+01 109.870000 3.171400
126 0.99999 2.1072e+00 0.518820 5.3305e-02 1.7296e-01 0.292560 0.518820
127 0.24108 1.2595e+00 0.467950 4.0080e-02 1.5598e-01 0.271890 0.467950
128 8.60040 1.2102e+01 3.110000 2.9023e-01 1.0367e+00 1.783100 0.518330
129 207.08000 7.7119e+01 45.596000 5.8179e+00 1.5199e+01 24.579000 1.403500
130 13.28900 1.2732e+01 6.591700 6.6087e-01 2.1971e+00 3.733700 0.927350
131 6.75290 1.0666e+01 3.514100 4.4749e-01 1.1714e+00 1.895200 0.675280
132 101.00000 4.3952e+01 42.961000 3.2939e+00 1.4405e+01 25.262000 3.168200
133 115.52000 4.1964e+01 38.885000 2.5763e+00 1.3503e+01 22.805000 3.240400
134 14.23300 1.2686e+01 7.759100 8.4763e-01 2.6509e+00 4.260700 1.715000
135 1776.90000 3.1083e+02 299.710000 4.6857e+01 1.0009e+02 152.760000 4.127900
136 8.11950 1.2800e+01 4.998500 4.1931e-01 1.6662e+00 2.913000 0.833080
137 0.67700 4.6536e+00 0.886090 2.0295e-01 2.9536e-01 0.387780 0.886090
138 1.16560 2.3890e+00 0.224230 2.4394e-02 7.4741e-02 0.125100 0.197460
139 3.29900 9.1664e+00 1.252800 1.3762e-01 4.1760e-01 0.697570 0.427430
140 4.43640 7.6362e+00 3.844400 7.9645e-01 1.2838e+00 1.764200 0.953060
141 7.79040 1.3292e+01 4.235800 6.3051e-01 1.4119e+00 2.193400 0.728800
142 2.06450 4.0119e+00 0.567440 6.9363e-02 1.8917e-01 0.308910 0.291130
143 1.13880 2.1555e+00 0.777030 7.2838e-02 2.5901e-01 0.445180 0.722570
144 0.50559 2.2048e+00 0.849310 9.2468e-02 2.8804e-01 0.468800 0.849310
145 1.25510 1.3147e+00 0.321260 2.5443e-02 1.0531e-01 0.190520 0.320290
146 2.94760 6.1312e+00 0.952310 1.1666e-01 3.1733e-01 0.518320 0.357230
147 5.12100 1.1615e+01 3.087100 4.2671e-01 1.0339e+00 1.626400 0.928700
148 291.17000 7.5802e+01 75.802000 5.5443e+00 2.6612e+01 43.646000 3.742000
149 2.45650 2.0674e+00 1.474900 6.0538e-02 4.7866e-01 0.935670 0.719160
150 272.76000 1.0402e+02 79.848000 8.2341e+00 2.6616e+01 44.998000 2.281400
151 1.56340 3.9625e+00 0.499740 5.0658e-02 1.6777e-01 0.281310 0.333670
152 4.79580 7.8685e+00 1.146500 1.5180e-01 3.8218e-01 0.612550 0.342930
153 3.26780 6.0512e+00 4.702600 4.4911e-01 1.7584e+00 2.495100 3.251000
154 0.41870 2.0607e+00 0.411570 5.3012e-02 1.3719e-01 0.221370 0.411570
155 4.35300 4.0596e+00 1.062500 9.7530e-02 3.4836e-01 0.616630 0.529190
156 5.18990 5.7077e+00 2.617900 3.3594e-01 9.0656e-01 1.375400 1.460400
157 12.03000 1.3611e+01 8.777800 1.1350e+00 2.9259e+00 4.716900 1.527000
158 0.40326 2.0595e+00 0.354530 3.8130e-02 1.1818e-01 0.198220 0.354530
159 0.87533 2.2060e+00 0.542530 7.8175e-02 1.8084e-01 0.283510 0.542530
160 505.94000 1.5843e+02 105.050000 1.0839e+01 3.5016e+01 59.193000 2.397700
161 22.08000 1.9100e+01 13.065000 1.7791e+00 4.3549e+00 6.930700 1.670200
162 0.40012 2.0107e+00 0.230350 4.4075e-02 7.6784e-02 0.109490 0.230350
163 45.27100 4.5683e+01 12.865000 9.3644e-01 4.3265e+00 7.601800 0.714710
164 3.03020 7.8004e+00 0.889590 1.3612e-01 3.0181e-01 0.451650 0.341180
165 2.31030 3.5126e+00 1.941900 2.2067e-01 6.4731e-01 1.074000 1.138600
166 3.31850 3.9533e+00 3.114000 3.3520e-01 1.0372e+00 1.741600 1.391000
167 2.51870 3.8076e+00 1.087900 1.2905e-01 3.6262e-01 0.596250 0.467350
168 12.58400 2.3273e+01 5.758600 9.5518e-01 1.9357e+00 2.867700 0.809150
169 1.51820 2.4190e+00 0.525720 8.2654e-02 1.7527e-01 0.267790 0.426110
170 1.17060 2.2218e+00 0.795870 7.3090e-02 2.6529e-01 0.457490 0.717860
171 3.77270 7.8319e+00 1.784900 3.4142e-01 5.9495e-01 0.848480 0.605590
172 3.07030 5.2457e+00 3.623500 4.9018e-01 1.2078e+00 1.925500 1.703200
173 2.31860 4.6048e+00 1.004700 1.6977e-01 3.4204e-01 0.492900 1.004700
174 13.49300 1.1844e+01 6.303300 6.0812e-01 2.1011e+00 3.594100 1.151600
175 1.66380 2.8607e+00 1.029800 1.4803e-01 3.4325e-01 0.538470 0.776460
176 0.67198 3.2048e+00 0.901780 2.1559e-01 3.0059e-01 0.385590 0.901780
177 2.35650 5.4577e+00 0.766400 9.8117e-02 2.6166e-01 0.406620 0.405870
178 0.55018 1.5583e+00 0.478480 4.5475e-02 1.5949e-01 0.273520 0.478480
179 10.45100 1.0100e+01 6.434700 6.1062e-01 2.1449e+00 3.679200 1.090900
180 6.96640 9.7320e+00 7.668900 5.1180e-01 2.6991e+00 4.458000 2.674000
181 1.46380 2.8111e+00 0.768330 4.7255e-02 2.6941e-01 0.451670 0.547840
182 297.08000 9.3870e+01 97.292000 2.7473e+00 3.4309e+01 60.236000 4.104000
183 30.59700 1.4243e+01 16.310000 4.8673e-01 5.4263e+00 10.397000 1.774100
184 2.13240 5.5274e+00 0.520940 5.3204e-02 1.7365e-01 0.294090 0.253920
185 29.58600 2.1456e+01 14.266000 1.9491e+00 4.9277e+00 7.389400 2.377700
186 0.13717 1.0607e+00 0.234360 2.0380e-02 7.7807e-02 0.136170 0.234360
187 0.68913 2.3036e+00 0.706840 8.7354e-02 2.3930e-01 0.380190 0.706840
188 0.42730 3.6095e+00 0.655830 7.9227e-02 2.6283e-01 0.313770 0.655830
189 1.26720 4.2032e+00 0.479050 8.5082e-02 1.6658e-01 0.227390 0.396580
190 1.52420 6.6946e+00 0.514940 8.8288e-02 1.9299e-01 0.233660 0.352580
191 0.84496 3.3607e+00 0.801550 1.0339e-01 2.8165e-01 0.416510 0.801550
192 6.34320 1.3338e+01 4.257100 3.8868e-01 1.5404e+00 2.327900 1.028600
193 1.63490 2.8441e+00 0.504480 7.4537e-02 1.6846e-01 0.261480 0.427380
194 25.00500 2.2421e+01 10.226000 1.7152e+00 3.4575e+00 5.053300 1.704300
195 15.94200 2.4408e+01 8.418500 1.2719e+00 2.8062e+00 4.340500 1.189400
196 12.36600 1.7073e+01 7.633300 1.1678e+00 2.5443e+00 3.921200 1.272200
197 0.59467 1.5607e+00 0.184130 1.4079e-02 6.0557e-02 0.109500 0.184130
198 3.47830 7.5798e+00 3.286600 3.9873e-01 1.0955e+00 1.792400 1.073000
199 6.17680 9.0284e+00 4.906500 5.4923e-01 1.6355e+00 2.721800 1.422000
200 26.91500 1.1851e+01 5.635100 2.9174e-01 1.8784e+00 3.465000 0.449250
201 23.57700 1.5845e+01 13.527000 9.5924e-01 4.4960e+00 8.071900 1.488500
202 1192.40000 2.3423e+02 234.230000 1.5545e+01 8.0764e+01 137.920000 3.780900
203 7.44900 9.3235e+00 2.469200 3.0280e-01 8.2306e-01 1.343300 0.553540
204 0.79288 2.0048e+00 0.358460 3.6500e-02 1.1949e-01 0.202470 0.358460
205 0.22448 1.6583e+00 0.132910 1.5086e-02 4.4304e-02 0.073522 0.132910
206 7.12470 1.0405e+01 2.527700 2.7199e-01 8.4257e-01 1.413200 0.526030
207 23.72800 1.2217e+01 11.349000 9.3444e-01 3.7829e+00 6.631400 1.891500
208 0.33234 1.9521e+00 0.422890 4.3846e-02 1.4078e-01 0.238270 0.422890
209 0.15604 2.0107e+00 0.080919 1.4197e-02 2.6973e-02 0.039749 0.080919
210 0.96216 4.3607e+00 1.996200 3.5270e-01 7.3072e-01 0.912790 1.996200
211 114.34000 7.9199e+01 12.541000 7.5397e-01 3.9420e+00 7.845000 0.307300
212 9.20160 1.0600e+01 0.753450 5.4692e-02 2.1675e-01 0.482000 0.128590
213 4.15230 6.9876e+00 5.823300 8.0775e-01 2.1865e+00 2.829100 2.616700
214 80.14400 4.6209e+01 46.209000 2.3202e+00 1.6639e+01 27.250000 4.063300
215 11.30300 8.8083e+00 8.143900 9.0175e-01 2.7880e+00 4.454100 2.674400
216 104.88000 6.0861e+01 33.745000 2.2840e+00 1.1355e+01 20.106000 1.576700
217 871.97000 2.1065e+02 172.130000 2.2762e+01 5.7507e+01 91.857000 3.312700
218 33.32900 2.0105e+01 17.854000 1.0600e+00 6.0215e+00 10.773000 2.365000
219 1.53340 6.7246e+00 0.678940 1.1938e-01 2.4915e-01 0.310410 0.462100
220 2.42270 7.4660e+00 1.408800 1.9744e-01 6.0497e-01 0.606420 0.774300
221 2.70360 1.0235e+01 1.118300 2.1892e-01 3.7359e-01 0.525800 0.451720
222 2.22100 4.4936e+00 2.277800 2.9214e-01 7.5906e-01 1.226600 1.039200
223 56.41900 3.8560e+01 33.713000 3.9657e+00 1.2481e+01 17.266000 4.002400
224 3.21710 5.4067e+00 3.198900 5.0742e-01 1.0655e+00 1.626000 1.054300
225 11.04900 1.0022e+01 6.797400 8.8028e-01 2.2658e+00 3.651300 2.089300
226 9.10160 1.3526e+01 5.098100 4.7322e-01 1.6994e+00 2.925500 0.906090
227 2.13170 3.4454e+00 2.238400 1.8140e-01 7.4488e-01 1.312200 1.091400
228 570.55000 1.7891e+02 122.830000 1.1175e+01 4.1425e+01 70.227000 2.847900
229 0.55062 1.5607e+00 0.429660 7.7869e-02 1.4322e-01 0.208570 0.429660
230 1134.30000 2.6701e+02 280.720000 9.0844e+00 1.0287e+02 168.760000 4.259400
231 2.49800 7.5305e+00 0.596020 1.0982e-01 1.9867e-01 0.287530 0.253870
232 0.19374 1.3072e+00 0.089181 6.8875e-03 2.9052e-02 0.053242 0.089181
233 2.13200 6.7373e+00 1.062000 1.8603e-01 3.5421e-01 0.521800 0.596310
234 0.76194 2.7533e+00 0.604190 6.3258e-02 2.1026e-01 0.330670 0.604190
235 0.68086 1.6595e+00 0.500050 4.8218e-02 1.6668e-01 0.285150 0.500050
236 91.67100 5.1142e+01 38.579000 4.2455e+00 1.2860e+01 21.474000 2.315200
237 0.13204 3.9583e+00 1.065700 1.7227e-01 3.6290e-01 0.530550 1.065700
238 3.40630 4.8440e+00 4.180100 2.1087e-01 1.3924e+00 2.576800 1.834400
239 0.68943 2.9083e+00 1.422300 1.0109e-01 5.2134e-01 0.799910 1.422300
240 0.33998 1.0021e+00 0.141460 8.5344e-03 4.6074e-02 0.086850 0.141460
241 0.23699 4.3021e+00 0.791590 1.0121e-01 2.8373e-01 0.406650 0.791590
242 0.38531 8.5834e-01 0.307020 1.3746e-02 1.0052e-01 0.192750 0.307020
243 1.39980 5.6008e+00 1.500900 1.9354e-01 6.0352e-01 0.703820 1.119900
244 1.03910 4.3021e+00 0.922640 1.1133e-01 3.5508e-01 0.456230 0.922640
245 0.74027 4.3607e+00 0.462760 8.0214e-02 1.5616e-01 0.226380 0.462760
246 1.14890 4.7459e+00 0.781730 1.2095e-01 2.6511e-01 0.395670 0.721410
247 0.70137 3.9017e+00 0.221850 2.2302e-02 7.3991e-02 0.125560 0.221850
248 0.20905 1.6572e+00 0.571240 6.7930e-02 1.9041e-01 0.312890 0.571240
249 0.14349 1.7548e+00 0.427460 6.1656e-02 1.4249e-01 0.223320 0.427460
250 0.36467 1.6083e+00 0.391630 4.1165e-02 1.3054e-01 0.219920 0.391630
251 6.48030 1.0033e+01 0.927470 1.3720e-01 3.0985e-01 0.480420 0.184030
252 0.39727 1.5021e+00 0.202140 1.1135e-02 6.7961e-02 0.123040 0.202140
253 0.91149 1.8537e+00 0.853540 9.0548e-02 2.8470e-01 0.478290 0.853540
254 8.82880 1.0007e+01 3.408500 3.8427e-01 1.1366e+00 1.887700 0.568090
255 0.15408 1.1607e+00 0.248750 1.9134e-02 8.2884e-02 0.146730 0.248750
256 3.97440 7.0358e+00 1.818900 2.6959e-01 6.0630e-01 0.943020 0.555330
257 11.37600 1.1916e+01 6.855100 5.3477e-01 2.3793e+00 3.941100 1.201300
258 1239.10000 2.4522e+02 245.220000 1.6110e+01 8.4660e+01 144.450000 4.302100
259 4.17470 7.2663e+00 2.047300 3.4325e-01 6.9634e-01 1.007700 1.120500
260 17.35700 2.6699e+01 6.962400 1.0752e+00 2.3208e+00 3.566400 0.717880
261 9.71060 1.0044e+01 6.063600 5.2879e-01 2.0212e+00 3.513600 1.164200
262 93.12400 4.1469e+01 38.455000 3.0598e+00 1.2818e+01 22.577000 2.614600
263 0.27048 2.2560e+00 0.223910 3.9686e-02 7.4635e-02 0.109580 0.223910
264 11.25800 8.7446e+00 4.909300 5.0743e-01 1.6342e+00 2.767700 0.827770
265 4.99140 4.8278e+00 2.460600 3.0167e-01 8.2018e-01 1.338700 0.757720
266 1.83880 3.0441e+00 1.229200 1.1342e-01 4.0972e-01 0.706020 0.790840
267 6.00070 8.9099e+00 4.209400 4.3955e-01 1.4034e+00 2.366400 1.018900
268 12.26600 1.3237e+01 7.898300 7.9014e-01 2.6328e+00 4.475400 1.554500
269 599.78000 1.6074e+02 160.740000 1.6716e+01 5.4816e+01 89.203000 4.181100
270 0.86239 3.3021e+00 0.309020 4.1432e-02 1.0394e-01 0.163650 0.309020
271 71.71400 3.6078e+01 21.030000 1.8409e+00 7.0057e+00 12.183000 1.036500
272 93.12400 5.1504e+01 51.504000 3.6922e+00 1.7906e+01 29.906000 3.994300
273 0.91793 2.9048e+00 0.541960 1.1186e-01 1.8065e-01 0.249440 0.541960
274 2.53740 8.5158e+00 0.796020 1.7112e-01 2.7847e-01 0.346430 0.330770
275 0.69596 3.9017e+00 0.262440 2.7370e-02 8.8301e-02 0.146770 0.262440
276 1.48600 2.4179e+00 0.984680 1.0305e-01 3.2823e-01 0.553400 0.895050
277 0.54834 1.4521e+00 0.364610 4.3856e-02 1.2154e-01 0.199220 0.364610
278 0.12584 1.6083e+00 0.364530 3.5836e-02 1.2148e-01 0.207220 0.364530
279 0.25726 1.8537e+00 0.092220 1.3880e-02 3.0763e-02 0.047577 0.092220
280 0.21459 1.1583e+00 0.263340 3.0609e-02 8.7380e-02 0.145350 0.263340
281 4.95560 1.0591e+01 1.985400 2.9299e-01 6.6179e-01 1.030600 0.486470
282 0.71442 4.4583e+00 1.169800 2.2702e-01 3.9245e-01 0.550380 1.169800
283 1097.60000 2.7638e+02 212.410000 2.3358e+01 7.1045e+01 118.010000 3.238000
284 13.17700 2.0743e+01 4.430400 4.3642e-01 1.4768e+00 2.517200 0.553020
285 7.95480 1.0895e+01 3.028400 3.5368e-01 1.0095e+00 1.665300 0.512750
286 0.36338 1.6107e+00 0.375110 2.7979e-02 1.2504e-01 0.222090 0.375110
287 0.93604 3.5107e+00 0.571000 8.9489e-02 1.9442e-01 0.287090 0.571000
288 950.39000 2.0892e+02 187.100000 2.2411e+01 6.2389e+01 102.300000 3.598100
289 10.66300 1.5032e+01 4.137500 3.5558e-01 1.4516e+00 2.330300 0.689580
290 22.28600 2.9166e+01 10.853000 1.7632e+00 3.6226e+00 5.467600 1.368500
291 1.03370 4.3607e+00 1.095800 1.7593e-01 3.7042e-01 0.549430 1.095800
292 5.42770 6.9677e+00 4.667400 2.6817e-01 1.6398e+00 2.759400 1.590100
293 6.71410 9.3863e+00 1.822700 1.8489e-01 6.0740e-01 1.030400 0.346850
294 3.00260 6.1604e+00 2.119300 2.6036e-01 7.0667e-01 1.152300 0.906220
295 0.41834 1.9556e+00 0.521120 7.7302e-02 1.7369e-01 0.270130 0.521120
296 0.54040 2.1021e+00 0.641500 7.5316e-02 2.1383e-01 0.352350 0.641500
297 1.42980 5.7614e+00 0.880080 1.6885e-01 3.1647e-01 0.394760 0.642630
298 0.32050 4.4095e+00 0.556930 9.5295e-02 1.9460e-01 0.267040 0.556930
299 2.54820 8.5326e+00 2.008100 3.4614e-01 7.0351e-01 0.958450 0.995770
300 31.34800 3.8019e+01 18.881000 2.0146e+00 6.5488e+00 10.318000 2.047000
301 0.32134 4.4095e+00 0.397070 6.3526e-02 1.3774e-01 0.195810 0.397070
302 440.19000 1.2998e+02 111.780000 8.6590e+00 3.7274e+01 65.843000 2.858000
303 0.64948 1.5607e+00 0.494630 3.1338e-02 1.6939e-01 0.293900 0.494630
304 0.49535 1.5107e+00 0.365890 3.3235e-02 1.2196e-01 0.210690 0.365890
305 5.88600 1.1618e+01 2.857400 4.8725e-01 9.5247e-01 1.417700 0.664280
306 3.45210 5.5102e+00 2.369900 2.0826e-01 7.8985e-01 1.371800 0.738080
307 11.80200 1.1582e+01 7.211100 5.0463e-01 2.4037e+00 4.302800 1.165900
308 0.47211 1.8107e+00 0.440170 4.4961e-02 1.4672e-01 0.248490 0.440170
309 15.62800 1.1133e+01 7.555900 5.6843e-01 2.4954e+00 4.492000 0.850910
310 5.74090 8.0970e+00 3.012500 3.1882e-01 1.0042e+00 1.689500 0.715420
311 41.73200 2.4471e+01 21.625000 1.7105e+00 7.3439e+00 12.571000 3.092300
312 0.61479 1.9107e+00 0.270530 3.6723e-02 9.0216e-02 0.143590 0.270530
313 622.92000 1.8838e+02 186.220000 1.8646e+01 6.3097e+01 104.480000 4.234100
314 7.41010 1.0808e+01 1.756100 2.6755e-01 5.8562e-01 0.902910 0.339410
315 3.92320 7.2312e+00 2.462000 3.5831e-01 8.2066e-01 1.283000 0.801520
316 1.38140 2.5856e+00 0.720540 8.8542e-02 2.4019e-01 0.391810 0.544980
317 161.03000 6.3809e+01 50.984000 4.6156e+00 1.7003e+01 29.365000 2.216700
318 736.66000 1.7724e+02 172.800000 8.4434e+00 5.8406e+01 105.950000 3.642100
319 1.97480 5.2269e+00 1.745700 3.9125e-01 5.9873e-01 0.755740 1.487100
320 0.39393 1.8048e+00 0.235570 2.0828e-02 7.8522e-02 0.136220 0.235570
321 0.39042 1.7560e+00 0.290060 5.4634e-02 9.6937e-02 0.138490 0.290060
322 0.70166 9.0443e-01 0.193280 7.3425e-03 6.0466e-02 0.125470 0.193280
323 64.20400 4.0474e+01 18.257000 1.7882e+00 6.0855e+00 10.383000 0.962940
324 7.24300 7.4948e+00 2.600900 1.4217e-01 8.6696e-01 1.591800 0.473390
325 86.09800 4.4398e+01 42.299000 5.2282e+00 1.4100e+01 22.971000 1.839100
326 571.78000 1.5740e+02 138.540000 1.4411e+01 4.6181e+01 77.950000 2.755400
327 2.13670 4.2191e+00 0.954230 9.1175e-02 3.1808e-01 0.544980 0.446210
328 4.45650 6.1300e+00 0.713340 1.0377e-01 2.3776e-01 0.371810 0.190270
329 73.05800 3.3208e+01 34.676000 8.9467e-01 1.2741e+01 21.040000 4.181700
330 0.49011 2.5521e+00 0.707480 9.2250e-02 2.3621e-01 0.379020 0.707480
331 13.99600 1.4848e+01 8.400800 6.9748e-01 2.8496e+00 4.853700 1.430100
332 3.25950 7.4971e+00 1.940200 2.2943e-01 6.6864e-01 1.042100 0.785130
333 5.16080 5.6377e+00 4.332000 6.6956e-01 1.4440e+00 2.218400 1.873400
334 127.54000 5.2170e+01 45.468000 3.5155e+00 1.5156e+01 26.796000 2.754300
335 10.92300 1.7604e+01 5.447000 4.9986e-01 1.8157e+00 3.131500 0.797430
336 1.95950 3.5647e+00 1.180000 1.0792e-01 3.9335e-01 0.678770 0.713680
337 0.62104 2.6607e+00 0.831590 9.9299e-02 2.8989e-01 0.442400 0.831590
338 0.32017 4.3021e+00 0.583340 1.1684e-01 1.9980e-01 0.266690 0.583340
339 3.51120 7.1482e+00 3.018700 6.0836e-01 1.0062e+00 1.404100 0.904890
340 13.81500 1.2239e+01 6.143500 8.2948e-01 2.0478e+00 3.266200 1.081900
341 0.22725 1.0607e+00 0.234370 1.7054e-02 7.7538e-02 0.139780 0.234370
342 8.77670 9.2209e+00 1.286500 1.1216e-01 4.2440e-01 0.749900 0.226680
343 4.49590 5.9222e+00 2.000400 2.2824e-01 6.6679e-01 1.105400 0.606690
344 1.20380 3.2014e+00 0.747290 1.5772e-01 2.4910e-01 0.340470 0.594730
345 1.40170 3.4983e+00 0.485400 5.7704e-02 1.6180e-01 0.265900 0.361680
346 0.17657 1.1607e+00 0.231720 1.7053e-02 7.7135e-02 0.137530 0.231720
347 20.33100 2.1233e+01 11.573000 1.4969e+00 3.8578e+00 6.218600 1.350600
348 1.10550 1.7653e+00 0.806530 4.8511e-02 2.8289e-01 0.475130 0.777260
349 1373.30000 2.7472e+02 274.720000 1.5256e+01 9.5710e+01 163.760000 4.360700
350 14.28100 1.2451e+01 4.844500 3.7618e-01 1.6147e+00 2.853600 0.686300
351 61.95600 4.4221e+01 18.794000 1.2401e+00 6.2508e+00 11.303000 0.761700
352 0.29385 1.9083e+00 0.340090 3.2574e-02 1.1346e-01 0.194050 0.340090
353 3.87720 7.0315e+00 2.711200 2.5916e-01 9.1504e-01 1.537000 0.921500
354 0.28554 1.6056e+00 0.426810 3.8138e-02 1.4227e-01 0.246400 0.426810
355 39.86000 3.3871e+01 20.106000 3.0201e+00 6.7019e+00 10.384000 1.760000
356 0.16772 1.6595e+00 0.320010 3.3692e-02 1.0667e-01 0.179650 0.320010
357 0.71694 2.0521e+00 0.330490 5.1795e-02 1.1031e-01 0.168380 0.330490
358 0.94155 1.7591e+00 0.458480 3.9519e-02 1.5283e-01 0.266140 0.458480
359 3.90470 6.2091e+00 2.695600 3.0465e-01 8.9855e-01 1.492400 0.998130
360 9.44200 9.4464e+00 4.069900 4.1289e-01 1.3565e+00 2.300400 0.661380
361 1.19150 2.1573e+00 0.604710 5.7185e-02 2.0382e-01 0.343710 0.589890
362 119.57000 4.8619e+01 43.983000 4.8474e+00 1.4661e+01 24.474000 2.295300
363 0.65625 1.8060e+00 0.516020 6.7166e-02 1.7201e-01 0.276850 0.516020
364 1.40370 2.6479e+00 0.608290 7.6245e-02 2.0277e-01 0.329280 0.495500
365 1.22310 3.0100e+00 0.662500 9.6421e-02 2.2316e-01 0.342910 0.569680
366 557.10000 2.0169e+02 97.854000 1.6114e+01 3.2618e+01 49.122000 1.716700
367 9.50770 1.1346e+01 6.824000 4.8109e-01 2.2734e+00 4.069600 1.137300
368 1021.30000 2.5006e+02 197.040000 1.3997e+01 6.5804e+01 117.240000 2.798800
369 18.96600 2.3041e+01 8.609300 9.8630e-01 2.8782e+00 4.744800 0.913450
370 215.57000 8.9363e+01 85.114000 9.6028e+00 2.8371e+01 47.140000 3.317700
371 1.20650 1.9021e+00 1.144100 9.2150e-02 3.8137e-01 0.670620 1.144100
372 91.14600 5.3390e+01 24.937000 2.4846e+00 8.3123e+00 14.140000 0.876560
373 282.86000 8.1437e+01 68.787000 6.9449e+00 2.3037e+01 38.806000 3.030100
374 11.59400 1.1641e+01 7.866400 5.0110e-01 2.6221e+00 4.743100 1.382600
375 0.90016 2.8048e+00 0.748540 8.9591e-02 2.6914e-01 0.389820 0.748540
376 0.18546 1.5521e+00 0.400710 7.0920e-02 1.3360e-01 0.196190 0.400710
377 6.45530 6.9785e+00 6.148800 5.9056e-01 2.0478e+00 3.510400 2.674200
378 3.09350 8.0936e+00 0.895630 1.3029e-01 2.9858e-01 0.466760 0.355040
379 183.17000 6.5913e+01 49.158000 4.6527e+00 1.6355e+01 28.150000 1.630600
380 1.91360 4.8933e+00 0.827870 7.4093e-02 2.9882e-01 0.454960 0.455530
381 2.00320 5.3059e+00 0.805340 9.9290e-02 2.8456e-01 0.421490 0.424760
382 1.82700 2.9241e+00 0.635710 9.5477e-02 2.1322e-01 0.327020 0.478420
383 27.76300 1.9539e+01 11.741000 8.4661e-01 3.8970e+00 6.996900 1.229800
384 35.51200 3.0311e+01 9.541500 1.0769e+00 3.1805e+00 5.284100 0.795130
385 105.74000 3.8790e+01 32.129000 2.3721e+00 1.0712e+01 19.046000 2.292000
386 31.71500 2.5512e+01 15.005000 1.4223e+00 5.0016e+00 8.581400 1.250400
387 1.59090 3.3504e+00 0.723070 6.1908e-02 2.4157e-01 0.419600 0.538280
388 1870.30000 3.2184e+02 314.940000 4.7295e+01 1.0530e+02 162.350000 4.209000
389 1.35760 3.2534e+00 0.084357 9.1225e-03 2.6189e-02 0.049046 0.068989
390 0.40906 1.7048e+00 0.379100 3.5780e-02 1.2637e-01 0.216950 0.379100
391 0.16694 3.9017e+00 0.379760 4.0796e-02 1.3346e-01 0.205510 0.379760
392 581.71000 1.5683e+02 151.970000 1.7272e+01 5.0654e+01 84.042000 3.160200
393 0.57037 1.6095e+00 0.453110 4.8317e-02 1.5104e-01 0.253760 0.453110
394 0.25740 1.8048e+00 0.212720 2.9748e-02 7.1000e-02 0.111980 0.212720
395 1.63210 3.4298e+00 1.334000 1.3119e-01 4.5945e-01 0.743350 0.853960
396 2.19520 4.8568e+00 0.754000 1.4727e-01 2.5133e-01 0.355400 0.365900
397 2.83910 5.4437e+00 0.375200 4.5116e-02 1.2494e-01 0.205150 0.169960
398 140.71000 8.4787e+01 46.053000 4.9708e+00 1.5351e+01 25.731000 1.821100
399 27.38600 2.7403e+01 12.776000 1.7362e+00 4.2588e+00 6.781400 1.258200
400 0.30685 1.9021e+00 0.379140 2.8563e-02 1.2641e-01 0.224160 0.379140
401 0.78928 2.1572e+00 0.343220 3.5566e-02 1.1507e-01 0.192590 0.343220
402 19.16800 1.1866e+01 8.848200 8.4080e-01 2.9494e+00 5.058000 1.474700
403 2.16840 4.3561e+00 0.909250 1.8847e-01 3.0308e-01 0.417700 0.446150
404 15.48400 1.0072e+01 7.561700 7.1072e-01 2.5163e+00 4.334800 1.260300
405 1.30160 2.2980e+00 0.545870 4.2182e-02 1.8505e-01 0.318630 0.439250
406 0.97529 1.8056e+00 0.315380 2.8064e-02 1.0513e-01 0.182190 0.315380
407 2.84000 6.7046e+00 0.559710 5.7780e-02 1.8657e-01 0.315360 0.239330
408 0.16672 1.2595e+00 0.220400 1.9773e-02 7.3466e-02 0.127160 0.220400
409 3.85630 9.0822e+00 1.289600 1.9660e-01 4.2987e-01 0.663140 0.464000
410 40.40600 3.1967e+01 10.878000 9.4146e-01 3.6154e+00 6.321000 0.604330
411 16.28200 1.6832e+01 9.023200 8.7242e-01 3.0239e+00 5.126800 1.231300
412 13.52800 1.1920e+01 7.955900 4.3733e-01 2.6193e+00 4.899300 1.163800
413 10.18300 1.0897e+01 4.294300 3.6870e-01 1.4314e+00 2.494200 0.715710
414 1.04420 1.8583e+00 0.508860 3.7771e-02 1.6962e-01 0.301470 0.506480
415 0.17962 1.9521e+00 0.598200 4.8873e-02 1.9940e-01 0.349920 0.598200
416 1.84820 3.2936e+00 0.527750 8.4620e-02 1.7592e-01 0.267210 0.440820
417 305.08000 8.4489e+01 81.243000 3.8803e+00 2.7447e+01 49.916000 2.756600
418 638.78000 1.9792e+02 155.840000 1.9323e+01 5.2014e+01 84.508000 3.245100
419 2.65990 5.0016e+00 0.569850 7.6650e-02 1.8995e-01 0.303250 0.269950
420 57.18300 3.3616e+01 21.757000 2.0653e+00 7.2516e+00 12.440000 1.208700
421 6.41260 7.0161e+00 1.805300 1.5261e-01 6.0168e-01 1.051000 0.358360
422 1.95770 5.1947e+00 0.688900 9.4880e-02 2.3269e-01 0.361330 0.371130
423 188.07000 9.6568e+01 50.735000 6.0715e+00 1.6928e+01 27.735000 1.823000
424 1.38540 2.6650e+00 0.468380 3.9768e-02 1.5613e-01 0.272480 0.353200
425 2.22050 6.0948e+00 0.912510 1.3896e-01 3.0635e-01 0.467200 0.492970
426 0.59942 1.4021e+00 0.367850 2.8366e-02 1.2418e-01 0.215300 0.367850
427 1.40460 3.6338e+00 0.320620 5.1223e-02 1.0687e-01 0.162530 0.238390
428 26.35100 1.7828e+01 11.069000 1.9079e+00 3.6905e+00 5.470400 1.239500
429 0.68702 1.8607e+00 0.380390 5.1298e-02 1.2680e-01 0.202300 0.380390
430 0.41020 1.5595e+00 0.404060 3.8057e-02 1.3469e-01 0.231320 0.404060
431 12.93700 1.2935e+01 3.316000 4.4993e-01 1.1054e+00 1.760600 0.438590
432 15.00000 1.0386e+01 6.296900 1.0257e+00 2.0990e+00 3.172300 1.348900
433 8.68210 1.0724e+01 4.492400 6.8615e-01 1.4975e+00 2.308800 0.878210
434 0.50091 1.5607e+00 0.451360 4.1080e-02 1.5045e-01 0.259830 0.451360
435 3.91350 9.7697e+00 1.170200 1.2312e-01 3.9007e-01 0.657030 0.329300
436 1748.70000 3.7624e+02 385.190000 7.9476e+00 1.3428e+02 242.960000 4.349000
437 3.04130 7.1695e+00 2.338100 3.2280e-01 7.7937e-01 1.235900 1.048500
438 0.22069 2.0107e+00 0.206840 3.0391e-02 6.9102e-02 0.107350 0.206840
439 0.59411 1.6083e+00 0.382790 3.3513e-02 1.2760e-01 0.221680 0.382790
440 912.94000 2.7537e+02 175.190000 1.7666e+01 5.8497e+01 99.030000 2.367500
441 0.59211 2.5021e+00 0.463020 6.2554e-02 1.5434e-01 0.246130 0.463020
442 130.58000 5.2049e+01 44.348000 3.1520e+00 1.4878e+01 26.319000 1.843300
443 0.54733 1.6107e+00 0.314890 2.9018e-02 1.0558e-01 0.180290 0.314890
444 13.79100 1.4202e+01 8.937600 8.8234e-01 3.0490e+00 5.006300 1.607900
445 41.44900 2.5520e+01 14.644000 1.5405e+00 4.8812e+00 8.222300 1.220300
446 2.08930 2.1124e+00 1.607200 1.4671e-01 5.3281e-01 0.927720 0.792550
447 519.97000 1.6179e+02 107.230000 1.0953e+01 3.5872e+01 60.407000 2.349400
448 336.24000 1.6536e+02 60.659000 1.1829e+01 2.0220e+01 28.610000 1.230500
449 0.26119 1.7036e+00 0.382800 5.7183e-02 1.2759e-01 0.198030 0.382800
450 1386.30000 2.7520e+02 275.200000 8.0963e+00 9.4063e+01 173.040000 4.354500
451 6.60510 1.1182e+01 5.873400 9.4674e-01 1.9578e+00 2.968900 1.522400
452 0.36530 2.1560e+00 0.065672 9.0918e-03 2.1353e-02 0.035227 0.065672
453 1.20870 2.3545e+00 0.480610 5.2996e-02 1.6020e-01 0.267410 0.419370
454 0.95055 2.0583e+00 0.362690 3.6099e-02 1.2273e-01 0.203860 0.362690
455 466.82000 1.2597e+02 110.990000 7.4480e+00 3.6998e+01 66.548000 2.412900
456 3.55050 7.2549e+00 1.785000 2.1875e-01 5.9500e-01 0.971250 0.572950
457 2000.70000 3.3971e+02 339.710000 2.1692e+01 1.1330e+02 204.720000 4.246400
458 4.92300 9.6785e+00 2.383000 4.2003e-01 7.9435e-01 1.168700 0.586980
459 73.64300 5.0610e+01 29.740000 3.5510e+00 9.9935e+00 16.195000 1.990800
460 359.18000 1.1281e+02 97.290000 9.8946e+00 3.2461e+01 54.935000 2.834500
461 5.79240 1.0157e+01 2.427600 4.0928e-01 8.0920e-01 1.209100 0.525850
462 0.31700 1.5083e+00 0.418110 3.3881e-02 1.3937e-01 0.244860 0.418110
463 2.45440 6.2183e+00 0.588890 6.9923e-02 1.9630e-01 0.322670 0.253470
464 0.42144 1.4107e+00 0.359060 3.3066e-02 1.1969e-01 0.206310 0.359060
465 1.00220 1.9521e+00 0.553180 5.9492e-02 1.8607e-01 0.307620 0.553180
466 0.64313 2.1083e+00 0.474550 5.7330e-02 1.5818e-01 0.259040 0.474550
467 0.60896 1.4521e+00 0.371780 2.4427e-02 1.2688e-01 0.220460 0.371780
468 10.31100 1.5351e+01 2.936500 4.5018e-01 9.7882e-01 1.507500 0.489410
469 1.84280 3.8319e+00 0.615580 9.4995e-02 2.0654e-01 0.314050 0.322560
470 0.63700 2.0107e+00 0.534160 6.7340e-02 1.7805e-01 0.288770 0.534160
471 1.69090 3.8830e+00 1.614900 1.3979e-01 5.7064e-01 0.904430 1.276400
472 0.33124 2.2017e+00 0.364220 6.9546e-02 1.2141e-01 0.173270 0.364220
473 7.53760 7.1664e+00 6.929300 5.8611e-01 2.4052e+00 3.938000 2.936400
474 0.28869 1.9095e+00 0.459080 5.2992e-02 1.5303e-01 0.253060 0.459080
475 15.03200 1.4526e+01 8.406000 7.6846e-01 2.8213e+00 4.816300 1.269400
476 0.24224 9.5834e-01 0.230410 1.0059e-02 7.6596e-02 0.143760 0.230410
477 13.14900 1.0862e+01 8.718200 5.9643e-01 2.9061e+00 5.215700 1.581200
478 0.20526 1.1521e+00 0.203520 1.7892e-02 6.7838e-02 0.117790 0.203520
479 1049.20000 2.8961e+02 177.510000 3.4622e+01 5.9170e+01 83.717000 2.502600
480 5.24220 9.9831e+00 1.458100 1.1486e-01 4.8604e-01 0.857220 0.341690
481 1.24440 1.5091e+00 0.566070 3.0376e-02 1.9320e-01 0.342500 0.566070
482 0.90904 1.9583e+00 0.428340 4.9239e-02 1.4278e-01 0.236320 0.428340
483 1.65200 2.8417e+00 0.638510 5.5645e-02 2.1701e-01 0.365860 0.439720
484 4.92170 8.2983e+00 2.998300 3.8817e-01 9.9969e-01 1.610500 0.738700
485 7.90890 1.6692e+01 2.056000 3.0334e-01 6.8533e-01 1.067300 0.370470
486 4.43130 8.2961e+00 1.774700 2.3685e-01 5.9156e-01 0.946270 0.475530
487 0.38818 1.3107e+00 0.449130 2.9050e-02 1.5112e-01 0.268960 0.449130
488 3.34870 9.4250e+00 1.151100 2.0116e-01 3.8371e-01 0.566250 0.387870
489 0.31006 1.4595e+00 0.388030 2.5402e-02 1.3051e-01 0.232120 0.388030
490 687.43000 1.6293e+02 156.020000 1.3770e+01 5.2005e+01 90.240000 2.970400
491 12.74600 1.9646e+01 5.403100 6.4550e-01 1.8072e+00 2.950400 0.788700
492 0.25860 1.4536e+00 0.323510 3.9076e-02 1.0768e-01 0.176750 0.323510
493 0.40630 1.6083e+00 0.382120 2.5573e-02 1.2726e-01 0.229290 0.382120
494 2.26530 4.2846e+00 0.611330 6.3728e-02 2.0378e-01 0.343820 0.288420
495 8.09520 1.1149e+01 2.671700 3.2221e-01 8.9059e-01 1.458900 0.445280
496 9.20260 9.3561e+00 6.488500 6.7836e-01 2.1629e+00 3.647300 1.576100
497 1.27410 2.9983e+00 2.114800 1.2322e-01 7.7849e-01 1.213100 1.917700
498 26.50700 2.1924e+01 14.627000 1.2588e+00 4.8755e+00 8.492300 1.704100
499 14.12600 9.7370e+00 2.486800 1.0243e-01 7.4455e-01 1.639800 0.301780
500 0.36403 1.8544e+00 0.373640 4.2098e-02 1.2455e-01 0.207000 0.373640
501 0.44007 1.6521e+00 0.315670 2.5139e-02 1.0522e-01 0.185310 0.315670
502 0.50539 2.3548e+00 0.549340 7.2117e-02 1.8339e-01 0.293840 0.549340
503 1.36820 3.3131e+00 0.607330 1.2231e-01 2.0244e-01 0.282580 0.448320
504 144.11000 6.7753e+01 50.743000 7.6995e+00 1.6914e+01 26.129000 1.778800
505 6.79600 1.0353e+01 2.698100 2.3082e-01 8.9936e-01 1.567900 0.508660
506 10.30500 1.0155e+01 6.697900 5.7723e-01 2.2326e+00 3.888000 1.246900
507 10.05700 1.1641e+01 4.063200 2.2178e-01 1.3651e+00 2.476400 0.669580
508 0.55371 1.8607e+00 0.546560 4.9799e-02 1.8219e-01 0.314580 0.546560
509 0.37639 1.5607e+00 0.393130 4.6160e-02 1.3094e-01 0.216040 0.393130
510 0.72472 1.5521e+00 0.452840 4.9014e-02 1.5091e-01 0.252920 0.452840
511 7.86480 1.1608e+01 4.745200 4.4916e-01 1.5817e+00 2.714300 0.810500
512 4.54980 6.7140e+00 4.099000 5.7692e-01 1.3696e+00 2.152400 1.364900
513 1.43640 4.0595e+00 1.443100 2.4229e-01 4.9135e-01 0.709450 1.443100
514 0.30036 1.7056e+00 0.498660 3.6122e-02 1.6622e-01 0.296310 0.498660
515 0.35662 1.5521e+00 0.531740 3.6242e-02 1.7725e-01 0.318250 0.531740
516 553.86000 1.6282e+02 145.370000 2.1239e+01 4.8458e+01 75.677000 3.086800
517 1.55420 2.7531e+00 0.514000 1.0880e-01 1.7133e-01 0.233870 0.467190
518 0.59926 4.1068e+00 1.243900 1.3657e-01 4.4531e-01 0.661980 1.243900
519 0.20436 1.4595e+00 0.225680 2.0877e-02 7.5228e-02 0.129580 0.225680
520 4.85960 7.8419e+00 1.050800 1.3069e-01 3.5001e-01 0.570080 0.261510
521 981.70000 2.3227e+02 231.470000 2.3555e+01 7.8709e+01 129.200000 4.277200
522 5.97150 1.1444e+01 1.610700 1.8035e-01 5.3689e-01 0.893440 0.340670
523 0.68716 2.4056e+00 0.523870 6.1971e-02 1.7462e-01 0.287280 0.523870
524 2.03270 4.8809e+00 0.866020 1.6317e-01 2.8883e-01 0.414020 0.450670
525 303.07000 1.2009e+02 90.061000 1.0716e+01 3.0118e+01 49.226000 2.802000
526 8.12810 1.3190e+01 3.573700 6.3181e-01 1.1912e+00 1.750700 0.595620
527 0.18069 1.7595e+00 0.455850 5.5238e-02 1.5195e-01 0.248660 0.455850
528 6.96600 1.2000e+01 1.487800 2.7775e-01 4.9595e-01 0.714140 0.279100
529 16.30100 1.3167e+01 8.100400 6.7877e-01 2.7494e+00 4.672200 1.408900
530 33.15700 2.4828e+01 12.382000 1.6995e+00 4.1280e+00 6.554900 1.031900
531 1.01090 1.8521e+00 0.143140 2.0414e-02 4.7471e-02 0.075252 0.143140
532 3.80390 5.5009e+00 4.666300 3.1498e-01 1.5555e+00 2.795800 2.046200
533 0.19072 1.2107e+00 0.226920 1.4736e-02 7.5219e-02 0.136970 0.226920
534 0.65185 1.9095e+00 0.518400 6.5577e-02 1.7280e-01 0.280030 0.518400
535 3.61690 9.3737e+00 0.903300 1.2441e-01 3.0110e-01 0.477790 0.285540
536 0.25766 1.7068e+00 0.076321 5.5820e-03 2.4700e-02 0.046038 0.076321
537 2.51440 3.8994e+00 1.766600 2.2572e-01 6.0825e-01 0.932650 0.972670
538 12.93400 1.2170e+01 5.738600 5.1196e-01 1.9104e+00 3.316200 0.759150
539 4.29300 7.8713e+00 7.981000 2.3226e-01 3.0934e+00 4.655400 3.680900
540 3.85830 8.8165e+00 8.816500 8.4839e-01 3.5213e+00 4.446900 4.301700
541 4.91170 9.2521e+00 9.252100 5.9826e-01 3.8636e+00 4.790300 3.975700
542 0.24003 1.7083e+00 0.357980 5.2443e-02 1.1933e-01 0.186210 0.357980
543 0.72041 2.1091e+00 0.402730 4.7789e-02 1.3424e-01 0.220700 0.402730
544 0.46793 1.4595e+00 0.335970 2.8206e-02 1.1199e-01 0.195770 0.335970
545 4.07600 8.2131e+00 2.534400 3.9642e-01 8.4482e-01 1.293200 0.726550
546 7.36010 1.2018e+01 4.089700 3.4343e-01 1.3632e+00 2.383100 0.735200
547 2.16360 4.4124e+00 2.395700 2.2327e-01 8.5047e-01 1.321900 1.405300
548 0.99740 2.5521e+00 0.922130 6.7776e-02 3.2614e-01 0.528210 0.922130
549 30.70300 1.7859e+01 11.523000 8.4019e-01 3.8456e+00 6.836900 1.393200
550 551.03000 1.6040e+02 111.050000 1.4071e+01 3.7015e+01 59.958000 2.395700
551 1.53640 3.3376e+00 2.231600 3.1061e-01 7.8374e-01 1.137200 1.719200
552 3.18740 9.9848e+00 1.413400 2.5588e-01 4.7113e-01 0.686380 0.496310
553 0.71854 3.5107e+00 2.211500 2.4365e-01 8.8337e-01 1.084500 2.211500
554 81.42500 4.7120e+01 22.595000 1.6096e+00 7.5312e+00 13.455000 0.850830
555 0.78063 2.7521e+00 1.470500 1.4823e-01 4.9016e-01 0.832080 1.470500
556 575.51000 1.7649e+02 138.990000 1.3983e+01 4.6331e+01 78.679000 2.751000
557 36.29700 1.6762e+01 13.378000 1.0604e+00 4.4594e+00 7.858400 1.365700
558 4.20980 1.0805e+01 3.726200 6.7874e-01 1.2421e+00 1.805400 1.040600
559 734.92000 2.1721e+02 142.130000 1.3368e+01 4.7378e+01 81.387000 2.075600
560 40.79000 2.4248e+01 18.197000 1.7080e+00 6.0720e+00 10.417000 1.920500
561 1.12840 2.5548e+00 1.671200 1.6073e-01 5.8358e-01 0.926870 1.671200
562 93.26000 5.8267e+01 18.028000 1.9637e+00 6.0061e+00 10.058000 0.515070
563 1.95310 5.5303e+00 0.633300 7.0588e-02 2.1110e-01 0.351610 0.320940
564 0.34092 2.1033e+00 0.300530 2.6809e-02 1.0337e-01 0.170350 0.300530
565 12.00900 1.0016e+01 7.980500 7.4560e-01 2.6602e+00 4.574700 1.556400
566 12.18900 1.1009e+01 7.072700 8.5955e-01 2.3576e+00 3.855600 1.863600
567 119.33000 6.2367e+01 41.958000 7.0256e+00 1.3986e+01 20.947000 1.769800
568 2.23530 4.7217e+00 0.622450 9.4731e-02 2.0748e-01 0.320230 0.296630
569 410.02000 1.6241e+02 100.170000 8.3422e+00 3.3993e+01 57.831000 2.457300
570 1.36230 4.6048e+00 0.536190 1.1543e-01 1.7873e-01 0.242030 0.536190
571 114.67000 5.0391e+01 50.391000 1.6556e+00 1.6574e+01 32.162000 2.799500
572 6.01970 8.7365e+00 4.839800 6.8886e-01 1.6133e+00 2.537700 1.547200
573 15.79000 1.0987e+01 6.518000 6.7837e-01 2.1725e+00 3.667100 1.117100
574 2.47940 7.7716e+00 1.595400 1.8757e-01 5.3182e-01 0.876060 0.694880
575 0.79207 2.9083e+00 0.840150 1.4707e-01 2.8005e-01 0.413040 0.840150
576 0.21196 1.7572e+00 0.113210 8.4310e-03 3.7544e-02 0.067238 0.113210
577 0.38431 2.1107e+00 0.625340 7.0707e-02 2.0845e-01 0.346190 0.625340
578 0.74487 2.0083e+00 0.279860 3.1446e-02 9.3285e-02 0.155120 0.279860
579 13.52100 1.7608e+01 3.093400 4.5014e-01 1.0311e+00 1.612200 0.393960
580 5.77460 6.1803e+00 3.497900 2.2733e-01 1.1733e+00 2.097300 0.963220
581 0.42759 1.7548e+00 0.357910 3.7261e-02 1.1930e-01 0.201340 0.357910
582 14.99900 1.4013e+01 10.024000 1.5587e+00 3.3415e+00 5.124300 1.670700
583 3.21680 7.5411e+00 1.688300 2.2995e-01 5.7543e-01 0.882870 0.615260
584 13.20900 1.0527e+01 8.163400 8.5475e-01 2.7212e+00 4.587500 1.360600
585 0.67521 2.2595e+00 0.619990 5.3717e-02 2.2620e-01 0.340070 0.619990
586 0.26566 1.8591e+00 0.443260 4.6214e-02 1.4775e-01 0.249290 0.443260
587 1.24590 2.9615e+00 0.407550 4.6805e-02 1.3852e-01 0.222220 0.343550
588 1.64620 3.4529e+00 0.562090 9.4391e-02 1.8736e-01 0.280330 0.432610
589 6.92630 1.1393e+01 5.310500 7.9265e-01 1.7702e+00 2.747700 1.020600
590 1.29980 2.2548e+00 0.402960 5.8167e-02 1.3432e-01 0.210480 0.402960
591 1.23500 2.4145e+00 0.531240 4.6025e-02 1.7708e-01 0.308130 0.452040
592 0.25457 1.9595e+00 0.696100 7.7871e-02 2.3203e-01 0.386190 0.696100
593 0.65997 1.8521e+00 0.666550 1.0091e-01 2.2218e-01 0.343460 0.666550
594 0.48319 2.1548e+00 0.636600 6.4866e-02 2.2237e-01 0.349370 0.636600
595 0.50208 1.8521e+00 0.640950 4.5279e-02 2.1375e-01 0.381920 0.640950
596 3.40890 8.0055e+00 3.076900 3.8913e-01 1.0256e+00 1.662200 1.230700
597 5.91920 8.0954e+00 4.177200 4.7254e-01 1.3924e+00 2.312200 0.894550
598 0.61988 2.3521e+00 0.555440 9.0808e-02 1.8715e-01 0.277480 0.555440
599 3.86840 4.5420e+00 4.371900 2.8657e-01 1.5356e+00 2.549700 1.765100
600 1.66210 2.7158e+00 1.172200 7.5938e-02 4.1600e-01 0.680260 0.862960
601 164.61000 6.7134e+01 41.245000 3.4908e+00 1.3748e+01 24.006000 1.317000
602 1243.00000 2.5344e+02 253.440000 1.8565e+01 8.6976e+01 147.890000 4.357000
603 8.14010 9.0901e+00 7.036000 8.4224e-01 2.3453e+00 3.848400 2.106900
604 0.89116 2.6544e+00 1.440700 2.1570e-01 5.0230e-01 0.722750 1.440700
605 0.43626 3.1037e+00 1.977100 2.4780e-01 8.1069e-01 0.918620 1.977100
606 0.25658 1.9056e+00 0.237250 2.9336e-02 7.9128e-02 0.128780 0.237250
607 85.56600 3.6525e+01 34.769000 2.9111e+00 1.1632e+01 20.226000 2.285400
608 1.58430 2.6835e+00 0.550050 5.2417e-02 1.8335e-01 0.314280 0.482980
609 0.65245 1.9107e+00 0.441420 5.4018e-02 1.4714e-01 0.240260 0.441420
610 6.21060 1.0584e+01 2.521000 3.6325e-01 8.4032e-01 1.317400 0.564100
611 16.83000 1.3117e+01 7.477600 5.0826e-01 2.4925e+00 4.476800 0.792620
612 1.55870 3.7027e+00 0.872270 1.2270e-01 2.9076e-01 0.458820 0.669480
613 1954.50000 3.3414e+02 334.140000 3.4682e+01 1.1292e+02 186.530000 4.297400
614 3.74810 8.3754e+00 1.141300 1.3899e-01 3.8043e-01 0.621870 0.423210
615 126.91000 5.4193e+01 36.567000 3.5173e+00 1.2189e+01 20.861000 1.661500
616 26.70400 1.6852e+01 15.662000 7.4148e-01 5.2207e+00 9.699900 1.684600
617 0.25023 1.9607e+00 0.748150 6.4815e-02 2.6516e-01 0.418170 0.748150
618 0.34113 2.0572e+00 0.601600 9.1528e-02 2.0056e-01 0.309510 0.601600
619 5.05420 7.6851e+00 4.280900 6.6763e-01 1.4270e+00 2.186300 1.622100
620 0.48473 1.9595e+00 0.715450 9.0312e-02 2.3848e-01 0.386650 0.715450
621 16.87900 1.4334e+01 12.993000 1.8112e+00 4.4247e+00 6.757500 2.713300
622 1977.50000 3.3579e+02 335.790000 2.2544e+01 1.1305e+02 200.200000 4.219600
623 3.82370 8.5797e+00 1.190800 1.9965e-01 3.9695e-01 0.594240 0.430400
624 19.51600 2.5084e+01 10.350000 8.4654e-01 3.5058e+00 5.998000 1.064600
625 2.53470 4.2635e+00 0.565420 2.5439e-02 2.0183e-01 0.338150 0.241550
626 1.81230 4.0269e+00 2.289900 2.6037e-01 8.0737e-01 1.222100 1.545800
627 1.94160 5.0591e+00 0.505910 7.4222e-02 1.7235e-01 0.259340 0.274640
628 1.11370 4.1068e+00 1.629800 2.8943e-01 6.2851e-01 0.711840 1.629800
629 0.43245 1.1607e+00 0.055324 2.3173e-03 1.4959e-02 0.038047 0.055324
630 0.50261 2.1560e+00 0.263170 2.9539e-02 8.8434e-02 0.145190 0.263170
631 5.58230 1.0408e+01 1.754600 3.0693e-01 5.8498e-01 0.862670 0.444210
632 11.41000 8.2390e+00 0.855970 1.3449e-02 2.2640e-01 0.616120 0.126220
633 1120.50000 2.4546e+02 248.420000 7.7170e+00 8.9102e+01 151.610000 3.982000
634 10.10500 1.3004e+01 4.053900 4.7729e-01 1.3513e+00 2.225300 0.675650
635 1.28050 2.2617e+00 0.547750 8.6825e-02 1.8258e-01 0.278340 0.448430
636 0.52256 1.7544e+00 0.656300 4.0388e-02 2.4209e-01 0.373820 0.656300
637 2.58040 2.5642e+00 2.334300 1.5837e-01 7.6250e-01 1.413400 1.056800
638 12.63600 1.1098e+01 4.977700 4.9796e-01 1.6592e+00 2.820500 0.772370
639 0.66795 2.2548e+00 0.277990 3.4676e-02 9.2682e-02 0.150630 0.277990
640 4.73310 4.4650e+00 2.521400 2.5052e-01 8.4075e-01 1.430200 0.835940
641 1803.70000 3.1701e+02 317.010000 3.7420e+01 1.0834e+02 171.250000 4.141800
642 2.96360 3.9914e+00 2.967400 2.2191e-01 9.8907e-01 1.756400 1.228200
643 360.88000 1.3157e+02 73.352000 6.0186e+00 2.4749e+01 42.584000 1.598300
644 1.10510 2.8361e+00 0.989630 1.7741e-01 3.3320e-01 0.479020 0.916130
645 0.83853 2.4060e+00 0.943140 1.3057e-01 3.3773e-01 0.474840 0.943140
646 11.21300 1.2042e+01 6.193200 4.6318e-01 2.0644e+00 3.665700 1.032200
647 0.62601 2.1544e+00 0.239590 3.2218e-02 7.9863e-02 0.127510 0.239590
648 64.35600 3.3428e+01 22.139000 2.1531e+00 7.3795e+00 12.606000 1.782100
649 0.56094 1.8033e+00 0.314040 2.6461e-02 1.0475e-01 0.182820 0.314040
650 2.00500 1.8478e+00 0.371410 1.2449e-02 1.1239e-01 0.246570 0.183820
651 10.19000 9.9158e+00 8.744300 6.6622e-01 2.9515e+00 5.126500 2.523300
652 11.71700 1.1679e+01 5.896200 1.1941e+00 1.9654e+00 2.736700 1.139900
653 1113.30000 2.5412e+02 254.120000 6.0062e+00 8.7446e+01 160.670000 4.277500
654 8.95910 1.0259e+01 5.415300 3.7114e-01 1.8051e+00 3.239100 0.974750
655 1799.60000 3.4596e+02 340.110000 2.5489e+01 1.1505e+02 199.570000 3.883800
656 715.87000 1.7642e+02 170.200000 1.4004e+01 5.6734e+01 99.462000 3.547100
657 3.72650 9.9734e+00 1.924500 5.7657e-01 6.4149e-01 0.706400 0.549410
658 0.22528 1.1536e+00 0.210510 2.2457e-02 7.0167e-02 0.117890 0.210510
659 0.84763 4.6536e+00 0.523380 1.1610e-01 1.7446e-01 0.232820 0.523380
660 2.46690 7.1724e+00 2.861900 4.4786e-01 9.5400e-01 1.460000 1.315400
661 4.69760 5.4211e+00 3.455800 3.1499e-01 1.1519e+00 1.988900 1.033400
662 23.60400 1.9319e+01 12.068000 1.8025e+00 4.0228e+00 6.243100 1.417800
663 18.16800 1.2560e+01 2.617300 1.4730e-01 7.8462e-01 1.685400 0.284530
664 14.59300 1.0644e+01 5.096300 3.2303e-01 1.6986e+00 3.074700 0.707960
665 1.93090 5.6218e+00 2.438700 3.3289e-01 8.6973e-01 1.236100 1.336600
666 1231.60000 2.5031e+02 250.310000 1.7949e+01 8.5924e+01 146.440000 4.356700
667 0.34651 2.1521e+00 0.370640 2.8953e-02 1.2523e-01 0.216450 0.370640
668 454.61000 1.2735e+02 104.440000 8.0865e+00 3.4724e+01 61.626000 2.154400
669 17.44200 2.1490e+01 6.964400 6.0588e-01 2.3215e+00 4.037000 0.824310
670 35.48500 4.1112e+01 11.125000 1.3216e+00 3.7094e+00 6.093900 0.618050
671 227.85000 8.3463e+01 70.180000 1.0700e+01 2.3393e+01 36.086000 2.469300
672 1.05470 2.0107e+00 0.562840 7.3568e-02 1.8761e-01 0.301660 0.562840
673 496.68000 1.4868e+02 149.200000 2.9935e+00 5.3473e+01 92.732000 3.504200
674 8.21890 9.4840e+00 9.484000 8.5280e-01 3.2875e+00 5.343700 3.101700
675 13.79500 1.3496e+01 7.015600 4.6322e-01 2.3385e+00 4.213800 0.878240
676 6.67780 7.6856e+00 3.739200 3.5371e-01 1.2426e+00 2.142800 0.724810
677 0.16832 3.2521e+00 0.829000 2.0680e-01 2.7633e-01 0.345870 0.829000
678 255.75000 9.8077e+01 47.367000 8.4699e+00 1.5795e+01 23.101000 1.094500
679 2.35470 4.8654e+00 0.687580 7.1504e-02 2.2919e-01 0.386880 0.313400
680 175.28000 5.0743e+01 46.558000 3.8526e+00 1.5519e+01 27.186000 1.318800
681 2.15880 4.4470e+00 2.196300 3.3444e-01 7.7183e-01 1.090000 2.005100
682 3.24820 8.3005e+00 2.607900 4.4171e-01 9.0197e-01 1.264200 1.390200
683 7.76110 1.1299e+01 3.692100 3.5708e-01 1.2307e+00 2.104300 0.637100
684 0.32489 3.8583e+00 0.102040 1.4720e-02 3.4028e-02 0.053292 0.102040
685 3.29130 6.3716e+00 1.121300 1.0570e-01 3.7427e-01 0.641350 0.466210
686 0.64736 1.9595e+00 0.662990 5.7374e-02 2.3066e-01 0.374960 0.662990
687 474.72000 1.4433e+02 111.830000 7.4467e+00 3.7276e+01 67.104000 2.360100
688 0.44336 4.3607e+00 2.127400 4.9356e-01 8.0786e-01 0.825930 2.127400
689 0.52999 2.0595e+00 0.671100 7.3135e-02 2.2370e-01 0.374260 0.671100
690 8.10720 8.4819e+00 7.836000 7.4830e-01 2.6123e+00 4.475400 2.442200
691 14.94500 1.0681e+01 9.738100 8.4217e-01 3.2703e+00 5.625700 2.249100
692 11.16400 9.6478e+00 7.577900 6.1299e-01 2.5449e+00 4.420000 2.133000
693 2.91330 5.0353e+00 0.721970 9.1064e-02 2.4070e-01 0.390210 0.308220
694 0.59379 2.1044e+00 0.421000 4.6119e-02 1.4033e-01 0.234550 0.421000
695 15.76500 1.7371e+01 2.102500 3.2126e-01 7.0432e-01 1.076900 0.214610
696 0.41355 1.6083e+00 0.324550 1.8969e-02 1.0818e-01 0.197400 0.324550
697 0.28282 2.3083e+00 0.311830 2.7568e-02 1.0394e-01 0.180320 0.311830
698 1.68890 2.5393e+00 1.749000 1.0476e-01 6.8289e-01 0.961400 1.505600
699 1028.60000 2.6406e+02 264.950000 7.1385e+00 9.1623e+01 166.190000 4.223100
700 3.67960 8.2963e+00 0.877820 1.3356e-01 2.9736e-01 0.446900 0.366030
701 44.08700 3.7812e+01 15.728000 1.8561e+00 5.2426e+00 8.629100 1.141000
702 0.32969 1.9548e+00 0.504680 7.8217e-02 1.6823e-01 0.258240 0.504680
703 1.47990 2.6465e+00 0.569200 6.9300e-02 1.9272e-01 0.307180 0.367350
704 1.92080 5.5347e+00 1.064400 9.9625e-02 3.5968e-01 0.605130 0.583640
705 0.60703 2.4568e+00 0.428790 3.2213e-02 1.4643e-01 0.250150 0.428790
706 7.39460 1.0714e+01 5.278900 6.5199e-01 1.7596e+00 2.867300 1.028400
707 7.23940 1.5435e+01 3.495200 3.6645e-01 1.1961e+00 1.932700 0.747200
708 1502.70000 2.8877e+02 288.770000 2.1271e+01 9.8999e+01 168.500000 3.902300
709 4.39970 7.7001e+00 3.646500 6.2977e-01 1.2155e+00 1.801200 1.022600
710 6.61490 1.2174e+01 2.784300 4.3368e-01 9.2809e-01 1.422500 0.564540
711 5.48860 6.5304e+00 2.216100 3.0242e-01 7.3871e-01 1.175000 0.846180
712 3.28750 6.9009e+00 2.369000 3.2063e-01 7.8967e-01 1.258700 0.810620
713 0.59901 1.5107e+00 0.375350 3.8139e-02 1.2513e-01 0.212080 0.375350
714 1.67650 5.0558e+00 0.630180 7.0945e-02 2.1006e-01 0.349170 0.367640
715 216.99000 6.9733e+01 55.413000 3.3321e+00 1.7997e+01 34.083000 1.519500
716 0.33525 1.7548e+00 0.411180 4.8236e-02 1.3706e-01 0.225880 0.411180
717 71.19900 3.2826e+01 25.086000 1.9941e+00 8.3620e+00 14.730000 1.293000
718 0.82294 3.6560e+00 2.096700 3.9905e-01 7.4405e-01 0.953560 2.096700
719 2.86710 6.5214e+00 0.936000 1.2488e-01 3.1200e-01 0.499120 0.358290
720 1.09660 1.8575e+00 0.369220 3.2212e-02 1.2307e-01 0.213930 0.359120
721 0.57645 2.0036e+00 0.433930 6.9053e-02 1.4464e-01 0.220240 0.433930
722 0.31557 1.7107e+00 0.571390 9.8043e-02 1.9046e-01 0.282880 0.571390
723 1.06490 1.9521e+00 0.335210 3.6769e-02 1.1174e-01 0.186700 0.335210
724 1.29740 2.2960e+00 0.505320 5.7631e-02 1.6844e-01 0.279250 0.473700
725 10.00600 1.6851e+01 6.431900 8.6890e-01 2.1440e+00 3.419000 1.072000
726 0.89063 4.2533e+00 0.731500 1.1785e-01 2.4911e-01 0.364540 0.731500
727 10.27500 9.6850e+00 8.066000 8.1476e-01 2.6983e+00 4.552900 2.321100
728 0.24196 6.5834e-01 0.064118 1.6891e-03 1.6998e-02 0.045431 0.064118
729 1.14920 4.2630e+00 1.045100 2.5048e-01 3.4837e-01 0.446260 0.962080
730 2.60040 5.9514e+00 0.687190 7.5616e-02 2.2906e-01 0.382510 0.318100
731 1.20350 2.1095e+00 0.468350 5.0621e-02 1.5612e-01 0.261620 0.468350
732 0.40584 2.3583e+00 0.700210 7.7159e-02 2.4188e-01 0.381170 0.700210
733 10.53600 1.0270e+01 2.872700 4.2407e-01 9.5907e-01 1.489600 0.537630
734 11.59700 7.8967e+00 7.085800 5.1440e-01 2.3619e+00 4.209500 1.408300
735 6.65960 9.5100e+00 4.885100 4.5919e-01 1.6468e+00 2.779200 1.172200
736 17.99700 1.2443e+01 6.457100 6.8557e-01 2.1520e+00 3.619500 0.896130
737 1.59300 3.1285e+00 0.673830 6.6268e-02 2.2932e-01 0.378240 0.441700
738 20.10800 1.4430e+01 10.748000 1.0683e+00 3.5815e+00 6.098600 1.514800
739 1119.90000 2.8909e+02 189.650000 3.2091e+01 6.3279e+01 94.275000 2.692800
740 19.61200 1.1874e+01 8.217500 9.9593e-01 2.7392e+00 4.482400 1.887300
741 1.42260 1.8732e+00 0.389630 2.7194e-02 1.3163e-01 0.230800 0.343100
742 5.38910 8.5088e+00 5.260400 8.0259e-01 1.7553e+00 2.702500 1.973500
743 60.68700 4.1607e+01 41.607000 2.8844e+00 1.4259e+01 24.464000 3.606600
744 0.27841 3.5107e+00 0.131930 1.9184e-02 4.3977e-02 0.068770 0.131930
745 866.92000 2.0565e+02 203.550000 1.5607e+01 6.8700e+01 119.240000 3.724100
746 2.15920 5.1553e+00 0.551700 9.2778e-02 1.8390e-01 0.275020 0.271750
747 53.41400 3.1914e+01 19.535000 2.0166e+00 6.5112e+00 11.007000 1.090900
748 87.50600 5.0965e+01 18.958000 1.9335e+00 6.3077e+00 10.717000 0.584170
749 6.62270 1.0223e+01 2.171700 2.2309e-01 7.2390e-01 1.224700 0.478870
750 6.69760 1.0867e+01 3.229700 2.6834e-01 1.0766e+00 1.884800 0.671280
751 8.73250 7.6174e+00 6.684200 7.6911e-01 2.2280e+00 3.687000 2.018000
752 10.41900 1.0374e+01 8.036300 5.6357e-01 2.7226e+00 4.750200 2.189600
753 10.79900 9.3642e+00 8.041100 7.3426e-01 2.6808e+00 4.626000 2.471600
754 12.72400 1.0251e+01 9.606400 6.9107e-01 3.2005e+00 5.714800 2.452100
755 59.60700 3.5452e+01 12.855000 7.1965e-01 4.2605e+00 7.875000 0.516170
756 0.90383 2.2072e+00 0.470990 5.7454e-02 1.5700e-01 0.256540 0.470990
757 0.25870 1.3021e+00 0.198860 1.8997e-02 6.5820e-02 0.114050 0.198860
758 5.77150 1.0358e+01 0.920190 1.0951e-01 3.0675e-01 0.503930 0.229950
759 29.56300 1.5226e+01 11.410000 1.1915e+00 3.8033e+00 6.415000 1.762600
760 1.45160 1.9091e+00 0.369740 2.7124e-02 1.2371e-01 0.218900 0.369740
761 2.19250 3.9760e+00 0.682710 1.0519e-01 2.3456e-01 0.342960 0.420590
762 1.36360 2.8683e+00 0.395620 4.7061e-02 1.3243e-01 0.216120 0.303250
763 0.31173 1.7072e+00 0.314290 3.6319e-02 1.0462e-01 0.173350 0.314290
764 4.25070 7.5102e+00 0.757470 1.2405e-01 2.5249e-01 0.380930 0.231820
765 0.35005 2.8595e+00 0.460400 7.1206e-02 1.5347e-01 0.235730 0.460400
766 1.92060 6.1444e+00 0.749740 1.8356e-01 2.5119e-01 0.314990 0.378210
767 66.42200 3.9009e+01 31.242000 2.3185e+00 1.0484e+01 18.439000 2.603500
768 289.10000 9.2507e+01 73.213000 6.4459e+00 2.4382e+01 42.385000 1.843400
769 0.42164 2.0021e+00 0.433960 6.1378e-02 1.4465e-01 0.227930 0.433960
770 0.40651 1.8595e+00 0.621100 5.9143e-02 2.0703e-01 0.354920 0.621100
771 0.34022 1.6544e+00 0.427050 5.6703e-02 1.4240e-01 0.227950 0.427050
772 19.93700 1.8456e+01 7.086300 5.8321e-01 2.3621e+00 4.141000 0.740110
773 0.26519 1.7107e+00 0.540740 5.6875e-02 1.8025e-01 0.303620 0.540740
774 6.28560 8.6465e+00 3.868600 4.3766e-01 1.2956e+00 2.135300 1.364500
775 5.97750 1.0327e+01 1.524800 2.0358e-01 5.0828e-01 0.812990 0.371690
776 2.02940 7.3741e+00 0.788390 1.4573e-01 2.6287e-01 0.379780 0.410880
777 31.89000 2.4750e+01 25.465000 9.9361e-01 9.4229e+00 15.049000 4.244200
778 0.33118 4.3021e+00 0.608840 1.0645e-01 2.3477e-01 0.267620 0.608840
779 269.31000 9.9862e+01 75.408000 8.5107e+00 2.5136e+01 41.761000 2.330600
780 10.38800 1.8776e+01 4.148500 3.9348e-01 1.4236e+00 2.331400 0.691410
781 0.23076 1.7033e+00 0.398050 4.4967e-02 1.3268e-01 0.220400 0.398050
782 1782.90000 3.1120e+02 300.190000 4.0440e+01 1.0013e+02 159.620000 4.079100
783 1.71800 2.1360e+00 0.624940 4.0101e-02 2.0986e-01 0.374980 0.455710
784 1148.10000 2.7610e+02 195.850000 2.9378e+01 6.5383e+01 101.090000 2.892000
785 1.14850 2.7660e+00 0.669630 1.2096e-01 2.2321e-01 0.325460 0.616860
786 799.33000 2.5880e+02 153.840000 1.4960e+01 5.1355e+01 87.526000 2.124800
787 10.04100 1.9891e+01 4.269800 9.4837e-01 1.4283e+00 1.893100 0.711640
788 18.63700 2.6544e+01 2.132300 1.4239e-01 7.1076e-01 1.279100 0.207180
789 0.61603 2.3095e+00 0.916310 7.6099e-02 3.3387e-01 0.506330 0.916310
790 14.55400 1.3753e+01 8.004300 9.0275e-01 2.6681e+00 4.433400 1.162100
791 11.63300 1.5451e+01 6.943700 8.5899e-01 2.3150e+00 3.769800 1.157300
792 1.34300 1.9458e+00 0.474160 5.0538e-02 1.5805e-01 0.265570 0.440640
793 0.17451 2.1037e+00 0.495810 8.0956e-02 1.6527e-01 0.249580 0.495810
794 0.46296 1.8595e+00 0.353920 5.4158e-02 1.1798e-01 0.181780 0.353920
795 0.44123 1.7107e+00 0.250860 2.8319e-02 8.3620e-02 0.138920 0.250860
796 618.71000 1.6946e+02 158.760000 1.6234e+01 5.3411e+01 89.111000 3.832000
797 23.50600 1.5730e+01 9.330300 7.0421e-01 3.0991e+00 5.526900 0.786930
798 1.53080 3.4572e+00 1.793200 2.2309e-01 6.3373e-01 0.936360 1.793200
799 3.26630 8.0363e+00 1.362300 1.5152e-01 4.7030e-01 0.740500 0.466720
800 4.19250 7.9228e+00 3.364700 3.3038e-01 1.1490e+00 1.885300 0.916500
801 0.85461 2.0083e+00 0.613640 9.9331e-02 2.0517e-01 0.309140 0.613640
802 0.16363 4.4583e+00 0.374590 4.5238e-02 1.4656e-01 0.182790 0.374590
803 0.72663 2.0021e+00 0.679630 4.5138e-02 2.3446e-01 0.400030 0.679630
804 0.18627 1.3021e+00 0.327470 4.0671e-02 1.0916e-01 0.177650 0.327470
805 11.67300 1.1959e+01 6.113300 4.2015e-01 2.0377e+00 3.655400 0.896340
806 2.41360 4.3712e+00 1.251500 1.1079e-01 4.4069e-01 0.700050 0.658650
807 0.13465 1.5021e+00 0.441340 4.8065e-02 1.4711e-01 0.246160 0.441340
808 0.29973 2.3095e+00 0.410400 5.5573e-02 1.3680e-01 0.218030 0.410400
809 1407.70000 2.9055e+02 271.190000 2.5793e+01 9.0790e+01 154.600000 3.990300
810 8.87280 1.0871e+01 5.038800 6.9894e-01 1.6796e+00 2.660300 1.276700
811 12.21700 1.4217e+01 6.768900 5.3789e-01 2.2557e+00 3.975300 0.940630
812 0.54769 1.6056e+00 0.092472 5.9028e-03 2.9049e-02 0.057521 0.092472
813 0.21942 1.9083e+00 0.215930 1.5518e-02 7.2863e-02 0.127550 0.215930
814 0.18225 1.7521e+00 0.439270 6.9754e-02 1.4642e-01 0.223090 0.439270
815 553.92000 1.7314e+02 136.250000 1.3525e+01 4.5449e+01 77.275000 2.575200
816 0.39687 1.7107e+00 0.381200 3.5435e-02 1.2707e-01 0.218700 0.381200
817 0.72522 1.5056e+00 0.172930 9.1593e-03 5.5605e-02 0.108170 0.172930
818 5.58340 8.7679e+00 3.259600 3.2041e-01 1.0865e+00 1.852800 0.715720
819 2.24500 5.2966e+00 0.977230 1.5489e-01 3.2574e-01 0.496590 0.464770
820 4.28570 6.8690e+00 3.316700 4.5674e-01 1.1568e+00 1.703200 1.769000
821 3.70310 5.1465e+00 1.500200 1.5012e-01 5.0005e-01 0.849990 0.618270
822 2.59070 8.8523e+00 1.001500 2.7613e-01 3.3383e-01 0.391530 0.389100
823 100.37000 6.0465e+01 56.514000 7.0715e+00 1.9191e+01 30.252000 2.457100
824 0.16268 1.8044e+00 0.633220 4.9467e-02 2.1107e-01 0.372680 0.633220
825 0.69395 4.3021e+00 1.683800 2.1839e-01 7.4505e-01 0.720340 1.683800
826 0.57253 1.3607e+00 1.050200 1.0009e-01 3.5689e-01 0.593220 1.050200
827 0.65588 4.2044e+00 1.529100 1.9646e-01 7.7359e-01 0.559080 1.529100
828 1.77160 2.9775e+00 0.718350 5.3130e-02 2.4229e-01 0.422930 0.495870
829 0.57439 4.1068e+00 1.316500 2.4381e-01 4.9683e-01 0.575880 1.316500
830 0.39271 2.2072e+00 0.680180 1.0374e-01 2.2673e-01 0.349710 0.680180
831 0.40218 1.4521e+00 0.359190 2.2667e-02 1.1973e-01 0.216790 0.359190
832 1.92520 2.5048e+00 0.781200 8.8151e-02 2.6633e-01 0.426720 0.781200
833 6.38510 9.3284e+00 4.427700 6.6961e-01 1.4759e+00 2.282200 1.167000
834 1533.20000 2.9971e+02 299.710000 1.0549e+01 1.0331e+02 185.850000 4.354900
835 1.53270 4.4186e+00 0.382650 6.8187e-02 1.2775e-01 0.186710 0.306980
836 14.05200 1.8254e+01 6.792700 8.7074e-01 2.2643e+00 3.657600 0.837080
837 9.06330 1.0367e+01 2.556100 2.7308e-01 8.5202e-01 1.431000 0.436500
838 0.24285 2.1583e+00 0.624760 9.4466e-02 2.0825e-01 0.322040 0.624760
839 239.36000 7.4028e+01 70.396000 7.7612e+00 2.3458e+01 39.177000 2.301700
840 5.59150 8.4228e+00 3.370800 4.2497e-01 1.1236e+00 1.822200 0.981760
841 0.90555 1.7521e+00 0.391900 4.0611e-02 1.3063e-01 0.220650 0.391900
842 1911.80000 3.2741e+02 327.410000 3.8595e+01 1.1056e+02 178.260000 4.256600
843 8.41640 1.6417e+01 2.448600 2.4351e-01 8.3903e-01 1.366100 0.408110
844 204.33000 1.2131e+02 41.414000 3.3483e+00 1.3805e+01 24.261000 0.899380
845 1.67470 3.2895e+00 0.670650 5.9677e-02 2.2538e-01 0.385600 0.418670
846 1.22950 2.0095e+00 0.475050 4.3251e-02 1.5835e-01 0.273450 0.475050
847 0.68062 1.9107e+00 0.989210 8.5882e-02 3.2974e-01 0.573590 0.989210
848 0.50003 1.7544e+00 0.171300 2.4475e-02 5.7209e-02 0.089616 0.171300
849 0.65672 4.3021e+00 1.709100 2.2178e-01 8.3990e-01 0.647470 1.709100
850 24.47300 2.3515e+01 17.075000 2.1530e+00 6.5946e+00 8.327100 3.080900
851 0.62016 1.4521e+00 0.424090 2.9093e-02 1.4426e-01 0.250730 0.424090
852 0.53076 1.6560e+00 0.546110 5.8613e-02 1.8204e-01 0.305460 0.546110
853 1.81930 6.1647e+00 1.462900 2.9279e-01 4.9722e-01 0.672910 0.997410
854 3.90900 8.2385e+00 3.199300 4.9315e-01 1.0664e+00 1.639700 1.014100
855 0.25051 2.0521e+00 0.109580 2.5400e-02 3.6754e-02 0.047427 0.109580
856 0.72653 1.9044e+00 0.319960 2.6356e-02 1.0665e-01 0.186950 0.319960
857 0.70514 1.8107e+00 0.435690 5.1918e-02 1.4523e-01 0.238540 0.435690
858 1.06050 1.8607e+00 0.301830 3.0250e-02 1.0061e-01 0.170970 0.301830
859 0.51153 2.1048e+00 0.476210 7.3140e-02 1.5874e-01 0.244330 0.476210
860 4.91040 7.2928e+00 1.357300 1.8521e-01 4.5297e-01 0.719110 0.335000
861 3.27210 7.7259e+00 2.966100 3.0586e-01 1.1067e+00 1.553600 1.534700
862 1401.50000 2.7782e+02 277.820000 1.2383e+01 9.7159e+01 168.280000 4.355900
863 1.40750 2.1985e+00 0.388760 4.1753e-02 1.2959e-01 0.217420 0.354900
864 696.48000 1.8606e+02 137.490000 1.0483e+01 4.5982e+01 81.022000 2.412100
865 0.16258 1.7068e+00 0.256310 4.2437e-02 8.5499e-02 0.128370 0.256310
866 0.53446 2.0095e+00 0.509080 4.8254e-02 1.6969e-01 0.291130 0.509080
867 0.17965 3.2607e+00 0.295860 4.4424e-02 1.0579e-01 0.145650 0.295860
868 12.31800 1.4528e+01 11.549000 1.0816e+00 4.8349e+00 5.632800 2.895400
869 0.17989 1.2044e+00 0.633320 8.7098e-02 2.1147e-01 0.334750 0.633320
870 1.59640 6.2677e+00 1.022100 1.4947e-01 3.4089e-01 0.531730 0.668590
871 556.78000 1.6986e+02 133.960000 1.2750e+01 4.4654e+01 76.557000 2.933900
872 2.21900 3.2545e+00 2.144600 2.4024e-01 7.1485e-01 1.189500 1.030700
873 3.35170 8.3073e+00 1.254700 1.3498e-01 4.1898e-01 0.700720 0.422440
874 294.86000 9.9050e+01 95.221000 5.7181e+00 3.1918e+01 57.585000 2.906700
875 0.17543 1.4021e+00 0.093544 9.8781e-03 3.1160e-02 0.052506 0.093544
876 4.77190 8.3101e+00 4.601400 4.4658e-01 1.5337e+00 2.621100 1.462900
877 5.35300 1.1208e+01 1.615900 1.5251e-01 5.3863e-01 0.924740 0.372450
878 368.68000 1.1342e+02 101.630000 6.0656e+00 3.3878e+01 61.691000 2.540900
879 5.99860 2.7806e+00 1.611800 6.9827e-02 5.3830e-01 1.003700 0.368850
880 17.47400 1.8561e+01 6.130200 6.3515e-01 2.0434e+00 3.451700 0.628530
881 9.18760 1.1597e+01 4.376700 9.0137e-01 1.4594e+00 2.015900 0.729450
882 3.64520 6.1099e+00 2.818700 3.3668e-01 9.3956e-01 1.542400 0.885300
883 5.75620 5.3168e+00 3.330700 2.4373e-01 1.1100e+00 1.976900 1.012600
884 11.30400 1.0417e+01 7.645000 8.2264e-01 2.5483e+00 4.274000 1.473800
885 0.53634 1.7556e+00 0.151580 1.4492e-02 5.0174e-02 0.086911 0.151580
886 3.21380 4.1305e+00 3.523900 2.3511e-01 1.1746e+00 2.114200 1.601400
887 0.17863 4.1556e+00 0.368650 6.2921e-02 1.4458e-01 0.161150 0.368650
888 778.89000 2.0639e+02 206.390000 1.7569e+01 7.0372e+01 118.450000 3.744700
889 7.85030 1.0127e+01 6.686400 6.8937e-01 2.2288e+00 3.768200 1.758500
890 19.69500 1.1767e+01 8.868900 1.0771e+00 2.9598e+00 4.832000 1.342100
891 13.04200 1.6450e+01 9.054500 1.0994e+00 3.0182e+00 4.936900 1.509100
892 7.74460 1.1016e+01 2.784600 3.2761e-01 9.2820e-01 1.528800 0.539760
893 0.78655 1.7048e+00 0.384730 3.4769e-02 1.2790e-01 0.222060 0.384730
894 512.34000 1.8851e+02 124.850000 1.3517e+01 4.1758e+01 69.577000 2.618000
895 0.69765 1.7083e+00 0.501670 4.6711e-02 1.6722e-01 0.287740 0.501670
896 43.43400 2.6804e+01 13.396000 9.8311e-01 4.4645e+00 7.948800 0.719080
897 0.82813 4.1068e+00 1.620300 2.8718e-01 6.3712e-01 0.696040 1.620300
898 6.26760 4.8787e+00 2.010900 8.8709e-02 5.8931e-01 1.332800 0.391170
899 4.97040 1.0775e+01 2.750000 4.7583e-01 9.1665e-01 1.357500 0.672220
900 0.56758 2.4037e+00 0.537830 7.7910e-02 1.7931e-01 0.280610 0.537830
901 82.36900 3.3476e+01 29.372000 3.0255e+00 9.7908e+00 16.556000 2.295300
902 0.88317 1.9583e+00 0.336870 3.9214e-02 1.1229e-01 0.185370 0.336870
903 1.07690 2.1277e+00 0.319000 2.7738e-02 1.0633e-01 0.184930 0.315930
904 53.62500 3.1399e+01 18.408000 1.5506e+00 6.1807e+00 10.677000 0.905100
905 1.34590 3.3934e+00 0.421610 6.6538e-02 1.4082e-01 0.214250 0.347990
906 10.24700 7.9740e+00 4.622200 6.2743e-01 1.5407e+00 2.454100 1.615200
907 0.23902 2.1107e+00 0.222290 3.0649e-02 7.4112e-02 0.117530 0.222290
908 225.62000 7.7022e+01 53.606000 3.8976e+00 1.7839e+01 31.869000 1.848400
909 0.74573 1.8107e+00 0.430950 2.9608e-02 1.4442e-01 0.256930 0.430950
910 0.40281 1.1556e+00 0.446900 2.2729e-02 1.5287e-01 0.271300 0.446900
911 15.18100 1.5368e+01 4.884600 9.2961e-01 1.6282e+00 2.326800 0.637320
912 34.59000 3.0576e+01 12.765000 1.8829e+00 4.2549e+00 6.626900 1.140600
913 0.27575 1.6044e+00 0.219080 3.0615e-02 7.3028e-02 0.115440 0.219080
914 8.29960 1.2067e+01 4.153800 5.2144e-01 1.3846e+00 2.247800 0.692300
915 4.25630 7.4326e+00 1.467600 2.0359e-01 4.8921e-01 0.774820 0.485880
916 29.57000 3.4661e+01 5.529500 7.9831e-01 1.8475e+00 2.883600 0.321890
917 0.49028 1.5583e+00 0.283950 2.7018e-02 9.4649e-02 0.162280 0.283950
918 0.95625 2.0048e+00 0.438990 5.1685e-02 1.4633e-01 0.240980 0.438990
919 1.82200 4.2637e+00 0.447990 6.7316e-02 1.4933e-01 0.231340 0.258090
920 5.85000 1.3635e+01 4.156000 5.7819e-01 1.3946e+00 2.183200 0.884840
921 8.60340 1.0333e+01 5.489800 5.5560e-01 1.8299e+00 3.104200 1.117900
922 5.60930 9.1124e+00 4.079100 5.3664e-01 1.3597e+00 2.182800 0.990410
923 1.34530 2.3548e+00 0.403920 5.3615e-02 1.3464e-01 0.215670 0.403920
924 0.26144 1.6017e+00 0.213620 1.4215e-02 7.0084e-02 0.129320 0.213620
925 1049.10000 2.3663e+02 231.470000 1.8580e+01 7.8378e+01 134.510000 3.699100
926 8.37990 1.3780e+01 2.369500 2.2400e-01 7.8984e-01 1.355700 0.394920
927 2.45900 1.9863e+00 0.963880 3.9040e-02 3.1318e-01 0.611650 0.469560
928 0.45371 1.4095e+00 0.470480 3.8597e-02 1.5683e-01 0.275060 0.470480
929 4.34800 6.7591e+00 1.812900 2.0266e-01 6.0421e-01 1.006100 0.493250
930 0.50523 2.3083e+00 0.498140 6.0215e-02 1.6605e-01 0.271880 0.498140
931 1105.50000 2.7483e+02 277.520000 1.0047e+01 1.0021e+02 167.260000 3.750300
932 22.30300 1.8583e+01 10.151000 1.7086e+00 3.4183e+00 5.023900 1.607400
933 1.05050 3.3060e+00 0.226310 3.5258e-02 7.5561e-02 0.115490 0.226310
934 37.42200 2.6167e+01 13.901000 1.4756e+00 4.6336e+00 7.791500 1.297200
935 2.93060 5.7303e+00 1.103400 1.3645e-01 3.6780e-01 0.599150 0.512540
936 0.48793 4.3021e+00 0.603200 1.0273e-01 2.2107e-01 0.279390 0.603200
937 0.42613 4.4583e+00 1.289800 1.4843e-01 6.8243e-01 0.458890 1.289800
938 1.36050 4.4095e+00 2.104100 3.4603e-01 7.4845e-01 1.009600 2.104100
939 1.18130 4.3021e+00 2.560000 4.1862e-01 1.0649e+00 1.076500 2.560000
940 1097.90000 2.5960e+02 259.600000 1.7788e+01 8.9741e+01 152.070000 4.136200
941 5.09690 1.0016e+01 2.374600 1.8960e-01 8.1516e-01 1.369800 0.616430
942 1665.70000 3.1835e+02 279.960000 4.7508e+01 9.3365e+01 139.080000 3.783200
943 0.94484 1.9533e+00 0.548490 5.2733e-02 1.8283e-01 0.312930 0.548490
944 0.80485 8.5209e-01 0.087096 1.0328e-03 1.9064e-02 0.066999 0.087096
945 57.97400 5.8216e+01 14.791000 1.2640e+00 4.9304e+00 8.596800 0.609820
946 1285.60000 2.6016e+02 260.160000 1.6008e+01 9.0091e+01 154.060000 4.356800
947 8.37190 1.1090e+01 3.547600 3.0745e-01 1.1823e+00 2.057800 0.591270
948 193.69000 6.2116e+01 58.705000 5.0485e+00 1.9602e+01 34.055000 2.552400
949 21.95300 1.1628e+01 8.961100 9.8828e-01 2.9870e+00 4.985800 1.752100
950 657.62000 1.7469e+02 173.810000 1.2018e+01 5.9170e+01 102.620000 3.049300
951 0.72509 1.9021e+00 0.263720 2.3674e-02 8.7606e-02 0.152440 0.263720
952 186.47000 6.7587e+01 57.818000 6.7874e+00 1.9273e+01 31.758000 2.610100
953 12.14600 1.5991e+01 7.087800 9.0242e-01 2.3626e+00 3.822800 1.059200
954 9.81930 1.0820e+01 5.845900 7.3420e-01 1.9486e+00 3.163100 1.015100
955 4.47670 4.3298e+00 2.040400 2.2241e-01 6.8015e-01 1.137900 0.983510
956 1.31880 2.5560e+00 1.477300 2.1337e-01 5.0685e-01 0.757120 1.477300
957 258.35000 1.2383e+02 74.644000 9.0327e+00 2.5157e+01 40.454000 2.045200
958 0.15937 1.7021e+00 0.065699 9.1089e-03 2.1900e-02 0.034691 0.065699
959 0.27517 2.3607e+00 0.610590 5.8648e-02 2.0353e-01 0.348410 0.610590
960 0.39248 4.5560e+00 0.724340 1.3171e-01 2.6302e-01 0.329610 0.724340
961 0.26093 2.5717e-01 0.271090 9.1159e-03 6.8659e-02 0.193310 0.271090
962 0.24587 3.2592e-03 0.351400 6.1749e-03 8.2839e-02 0.262390 0.351400
963 0.26549 5.2087e-02 0.593520 7.2755e-03 1.5444e-01 0.431800 0.593520
964 34.98900 1.8915e+01 15.583000 1.3751e+00 5.2791e+00 8.928900 2.476500
965 74.95800 3.8704e+01 30.790000 3.2122e+00 1.0350e+01 17.229000 2.665800
966 5.71610 6.9469e+00 6.012300 7.3476e-01 2.0053e+00 3.272300 2.596600
967 0.76283 1.5095e+00 0.458210 3.2083e-02 1.5511e-01 0.271020 0.458210
968 745.95000 1.8848e+02 145.760000 1.1442e+01 4.8588e+01 85.734000 2.313700
969 8.97720 1.2611e+01 2.042800 2.3255e-01 6.8094e-01 1.129300 0.350590
970 0.64599 2.3537e+00 0.554390 8.7730e-02 1.8480e-01 0.281860 0.554390
971 247.73000 6.6250e+01 66.250000 3.5558e+00 2.3598e+01 39.096000 3.680500
972 5.43960 9.3323e+00 2.979900 5.0039e-01 9.9330e-01 1.486200 0.739940
973 14.69700 1.6511e+01 7.820500 1.0720e+00 2.6479e+00 4.100500 1.638000
974 2.14710 3.6987e+00 1.473800 2.1276e-01 5.1465e-01 0.746380 1.001100
975 6.38610 8.5019e+00 4.322500 6.1581e-01 1.4408e+00 2.265900 0.995510
976 0.99114 1.9083e+00 0.461620 5.2516e-02 1.5387e-01 0.255230 0.461620
977 1.22270 2.2185e+00 1.890200 1.3126e-01 6.3007e-01 1.128900 1.625900
978 4.63880 1.1127e+01 0.725050 1.4017e-01 2.4168e-01 0.343190 0.244750
979 7.52980 8.0209e+00 4.061000 5.2294e-01 1.3537e+00 2.184400 1.300700
980 7.44950 7.1956e+00 0.460540 1.9269e-02 1.3389e-01 0.307380 0.087142
981 272.26000 8.3411e+01 64.147000 4.8495e+00 2.1330e+01 37.967000 2.134900
982 1.92060 4.1919e+00 1.537600 8.8354e-02 5.6573e-01 0.883530 0.843180
983 7.50490 9.6986e+00 5.836900 4.9559e-01 1.9456e+00 3.395700 1.197900
984 5.92660 8.0138e+00 2.687300 3.6545e-01 9.0166e-01 1.420200 0.966260
985 67.31200 3.8893e+01 26.505000 1.8271e+00 8.8352e+00 15.843000 1.251300
986 5.11380 6.5372e+00 5.780500 6.2874e-01 2.1052e+00 3.046600 2.816100
987 0.50576 2.1556e+00 0.674070 8.7150e-02 2.2469e-01 0.362230 0.674070
988 0.83055 4.4095e+00 1.700800 2.8708e-01 6.5197e-01 0.761790 1.700800
989 0.24499 2.0834e-01 0.309760 1.0312e-02 7.9954e-02 0.219490 0.309760
990 30.21100 3.6572e+01 36.572000 2.4257e+00 1.5250e+01 18.897000 4.267500
991 0.34599 4.3021e+00 0.720200 1.2390e-01 2.7986e-01 0.316450 0.720200
992 3.58050 4.5498e+00 2.546400 1.6256e-01 8.7102e-01 1.512800 1.108400
993 4.20680 9.1149e+00 1.477300 1.8275e-01 4.9712e-01 0.797390 0.408150
994 588.89000 1.6430e+02 156.460000 1.5907e+01 5.2153e+01 88.399000 2.940300
995 0.76337 1.8556e+00 0.371300 3.3864e-02 1.2377e-01 0.213670 0.371300
996 1.64890 3.7044e+00 0.883000 1.0625e-01 3.0363e-01 0.473110 0.559660
997 0.58507 1.6521e+00 0.488680 5.2515e-02 1.6289e-01 0.273270 0.488680
998 1.15840 2.1095e+00 1.219200 9.3190e-02 4.2733e-01 0.698640 1.219200
999 40.91000 2.1579e+01 19.485000 1.9329e+00 6.4951e+00 11.057000 2.326200
1000 2.34110 6.7002e+00 0.888540 1.5641e-01 2.9618e-01 0.435950 0.456840
1001 1.01380 2.4544e+00 0.601110 9.5679e-02 2.0037e-01 0.305060 0.601110
1002 7.58310 8.0057e+00 7.080800 6.0471e-01 2.3610e+00 4.115200 2.263100
1003 12.38100 1.2255e+01 7.421500 7.6517e-01 2.4727e+00 4.183600 1.236900
1004 0.73788 1.7091e+00 0.681250 7.0919e-02 2.2705e-01 0.383280 0.681250
1005 0.43363 2.0021e+00 0.579000 1.0233e-01 1.9300e-01 0.283660 0.579000
1006 0.30365 1.5568e+00 0.461810 6.0899e-02 1.5394e-01 0.246970 0.461810
1007 0.43885 1.4583e+00 0.481860 3.8047e-02 1.6061e-01 0.283200 0.481860
1008 0.63814 2.1521e+00 0.598200 5.6988e-02 1.9940e-01 0.341810 0.598200
1009 1.88200 3.2710e+00 0.444770 4.5634e-02 1.4826e-01 0.250880 0.292430
1010 451.70000 1.8407e+02 121.140000 1.4958e+01 4.0379e+01 65.799000 2.357700
1011 7.71800 8.2587e+00 1.550100 2.2018e-01 5.1669e-01 0.813210 0.406210
1012 1.03720 2.4095e+00 0.530830 5.3759e-02 1.7694e-01 0.300130 0.530830
1013 0.28639 2.3607e+00 0.742760 6.7121e-02 2.6030e-01 0.415340 0.742760
1014 28.48700 2.3015e+01 16.364000 2.0151e+00 5.4548e+00 8.894400 1.951300
1015 0.44601 2.8583e+00 0.758780 8.6739e-02 2.5293e-01 0.419120 0.758780
1016 0.44150 3.5482e-01 0.862130 1.4790e-02 2.3451e-01 0.612830 0.862130
1017 0.69711 1.0583e+00 0.127820 3.2391e-03 3.0418e-02 0.094165 0.127820
1018 12.62600 1.0204e+01 6.664400 7.4531e-01 2.2216e+00 3.697600 1.332700
1019 2.27160 7.1975e+00 2.307200 2.9175e-01 8.1016e-01 1.205300 1.124600
1020 0.20273 1.5095e+00 0.324920 4.0188e-02 1.0830e-01 0.176420 0.324920
1021 1.50270 2.2527e+00 0.745010 5.0080e-02 2.5502e-01 0.439910 0.695590
1022 2.10570 3.9672e+00 0.672890 8.4512e-02 2.2430e-01 0.364080 0.339060
1023 8.97680 8.2714e+00 4.972700 4.9002e-01 1.6576e+00 2.825100 1.158700
1024 10.29500 1.1253e+01 6.489800 1.1534e+00 2.1637e+00 3.172700 1.081600
1025 13.77500 1.7171e+01 8.406800 1.1386e+00 2.8023e+00 4.466000 1.401100
1026 2.20430 6.6303e+00 0.600340 1.0613e-01 2.0011e-01 0.294100 0.290260
1027 0.85339 2.5595e+00 0.518350 8.3444e-02 1.7278e-01 0.262130 0.518350
1028 187.94000 8.2656e+01 40.704000 4.1994e+00 1.3568e+01 22.937000 1.152200
1029 0.38106 2.3107e+00 0.589850 6.2079e-02 1.9737e-01 0.330410 0.589850
1030 1.53630 2.8123e+00 0.277180 4.5393e-02 9.2393e-02 0.139390 0.227570
1031 8.38340 1.8457e+01 4.281500 6.9911e-01 1.4365e+00 2.145900 0.862410
1032 4.21990 3.5586e+00 3.028800 2.5751e-01 1.0089e+00 1.762400 1.401000
1033 0.41090 1.6017e+00 0.548100 5.7145e-02 1.8270e-01 0.308250 0.548100
1034 3.80330 5.3286e+00 2.064200 1.9126e-01 6.8807e-01 1.184900 0.713330
1035 0.25821 1.5517e+00 0.463270 3.4253e-02 1.5442e-01 0.274590 0.463270
1036 0.99818 1.9521e+00 0.542400 7.9555e-02 1.8080e-01 0.282040 0.542400
1037 4.83600 7.5257e+00 4.208200 6.5747e-01 1.4027e+00 2.148000 1.696000
1038 0.58338 2.3607e+00 0.761400 7.1708e-02 2.6867e-01 0.421020 0.761400
1039 0.29629 1.6521e+00 0.601500 4.1782e-02 2.0051e-01 0.359210 0.601500
1040 0.34706 4.4583e+00 0.664070 1.2212e-01 2.3814e-01 0.303810 0.664070
1041 0.94631 4.4583e+00 2.879300 4.3746e-01 1.2069e+00 1.234900 2.879300
1042 0.51606 2.0021e+00 0.432220 4.0309e-02 1.4407e-01 0.247840 0.432220
1043 67.01000 4.1102e+01 29.068000 2.5390e+00 9.6895e+00 16.840000 2.313600
1044 8.62430 9.6825e+00 5.942200 9.3360e-01 1.9833e+00 3.025400 0.990370
1045 6.13520 1.0105e+01 3.496100 3.0546e-01 1.1654e+00 2.025200 0.723950
1046 0.22580 1.4607e+00 0.133640 1.0441e-02 4.3891e-02 0.079309 0.133640
1047 0.58695 2.0607e+00 0.445720 7.1011e-02 1.4857e-01 0.226140 0.445720
1048 8.30540 1.2119e+01 5.481200 7.9764e-01 1.8271e+00 2.856500 1.023300
1049 0.54221 1.8607e+00 0.360900 3.3534e-02 1.2030e-01 0.207070 0.360900
1050 0.35066 1.7044e+00 0.498780 4.1086e-02 1.6626e-01 0.291430 0.498780
1051 3.93430 4.9123e+00 3.451800 3.4240e-01 1.1506e+00 1.958800 1.521100
1052 0.19570 3.0583e+00 0.768060 9.6961e-02 2.5602e-01 0.415080 0.768060
1053 1.40940 2.5595e+00 0.630900 7.1844e-02 2.1030e-01 0.348760 0.630900
1054 12.81600 1.5051e+01 5.120900 5.3512e-01 1.7070e+00 2.878800 0.741680
1055 125.39000 5.6711e+01 41.141000 5.5122e+00 1.3714e+01 21.915000 2.085000
1056 181.47000 5.9040e+01 57.991000 5.1702e+00 1.9338e+01 33.483000 3.487900
1057 20.70600 1.6684e+01 9.783900 8.9368e-01 3.3422e+00 5.548000 1.630700
1058 3.30260 7.2266e+00 1.832100 1.9374e-01 6.2967e-01 1.008700 0.760350
1059 167.68000 9.8492e+01 58.841000 8.5440e+00 1.9638e+01 30.659000 2.323000
1060 3.19450 5.7303e+00 1.511600 1.2714e-01 5.0387e-01 0.880610 0.529810
1061 55.16400 4.1731e+01 21.156000 2.1037e+00 7.1015e+00 11.951000 1.373100
1062 9.43430 1.0687e+01 4.647000 3.1789e-01 1.5434e+00 2.785700 0.774490
1063 9.44920 1.0465e+01 2.227300 2.3930e-01 7.4163e-01 1.246400 0.371220
1064 2.33500 6.4017e+00 2.309600 2.0941e-01 8.2168e-01 1.278500 1.180300
1065 6.03660 1.0036e+01 3.419600 3.3700e-01 1.1405e+00 1.942100 0.717140
1066 905.42000 1.9823e+02 178.570000 1.8303e+01 5.9524e+01 100.750000 3.434100
1067 0.68839 1.9521e+00 0.416400 8.3193e-02 1.3880e-01 0.194400 0.416400
1068 5.23670 7.2901e+00 3.891500 3.9373e-01 1.2972e+00 2.200600 0.912680
1069 81.13700 6.8859e+01 28.617000 3.4190e+00 9.8509e+00 15.347000 1.611400
1070 9.85670 1.4049e+01 6.239100 8.8175e-01 2.0797e+00 3.277600 1.069200
1071 0.12686 1.2607e+00 0.446870 3.2203e-02 1.4896e-01 0.265710 0.446870
1072 0.63328 2.4060e+00 1.205700 1.6943e-01 4.2135e-01 0.614900 1.205700
1073 36.93500 1.9480e+01 12.704000 9.6193e-01 4.2346e+00 7.507100 1.189900
1074 3.43070 7.0578e+00 1.436500 2.2532e-01 4.7883e-01 0.732340 0.474380
1075 154.80000 4.8792e+01 42.088000 4.2712e+00 1.4029e+01 23.787000 2.503900
1076 2.84040 5.5794e+00 2.537900 2.6335e-01 8.4595e-01 1.428500 0.982560
1077 0.39795 2.0021e+00 0.445510 3.7731e-02 1.4850e-01 0.259280 0.445510
1078 1.55640 3.3601e+00 0.734910 5.5611e-02 2.5348e-01 0.425820 0.492890
1079 14.24700 1.4294e+01 8.039300 4.4199e-01 2.6798e+00 4.917500 0.979130
1080 18.62500 2.2119e+01 11.608000 1.1175e+00 3.8694e+00 6.621200 1.439000
1081 1.22540 1.5826e+00 0.593580 3.2818e-02 1.9636e-01 0.364400 0.471960
1082 37.73500 2.7128e+01 18.128000 1.1464e+00 6.0427e+00 10.939000 1.548100
1083 20.90800 3.3586e+01 7.115100 8.7176e-01 2.3717e+00 3.871700 0.714080
1084 0.82462 2.2033e+00 0.545640 7.5407e-02 1.8188e-01 0.288350 0.545640
1085 1929.00000 3.3015e+02 330.150000 3.7288e+01 1.1158e+02 181.270000 4.301000
1086 9.96740 1.6696e+01 5.265100 7.0817e-01 1.7550e+00 2.801900 0.874570
1087 1852.70000 3.1875e+02 311.110000 4.7428e+01 1.0388e+02 159.810000 4.198000
1088 2.17980 5.0349e+00 0.834080 1.4948e-01 2.7803e-01 0.406570 0.407340
1089 35.38900 2.9606e+01 15.249000 1.4838e+00 5.0829e+00 8.682100 1.043400
1090 11.24500 1.4549e+01 6.125100 7.3156e-01 2.0417e+00 3.351800 0.914740
1091 0.29771 2.2583e+00 0.612930 7.2004e-02 2.0715e-01 0.333780 0.612930
1092 0.20546 1.7607e+00 0.053389 2.4103e-03 1.7331e-02 0.033648 0.053389
1093 84.95300 6.2491e+01 31.806000 4.3604e+00 1.0602e+01 16.843000 1.732300
1094 20.14900 1.9087e+01 7.285700 1.1247e+00 2.4286e+00 3.732400 0.902960
1095 25.74200 2.5556e+01 11.836000 1.1792e+00 4.1858e+00 6.471100 1.482300
1096 6.31540 1.4246e+01 2.763200 4.7835e-01 9.2105e-01 1.363800 0.710490
1097 102.26000 5.0714e+01 31.044000 1.8826e+00 1.0193e+01 18.968000 1.207600
1098 2.80520 6.4374e+00 0.895220 2.9841e-01 2.9841e-01 0.298410 0.427390
1099 5.80400 9.4158e+00 4.391000 6.6451e-01 1.4637e+00 2.262800 1.060900
1100 0.49271 4.5209e-01 0.057024 3.5126e-04 7.0409e-03 0.049631 0.057024
1101 0.72704 2.9521e+00 1.092200 1.3149e-01 4.0026e-01 0.560430 1.092200
1102 6.45550 8.7782e+00 1.619100 1.3377e-01 5.3962e-01 0.945670 0.322220
1103 9.28550 1.1009e+01 6.461400 1.1225e+00 2.1538e+00 3.185100 1.076900
1104 1018.40000 2.1340e+02 202.400000 2.4564e+01 6.7740e+01 110.100000 4.047400
1105 30.91600 2.3430e+01 19.411000 1.9117e+00 6.6692e+00 10.831000 2.222500
1106 0.83860 2.4595e+00 0.587550 6.4410e-02 1.9585e-01 0.327290 0.587550
1107 486.75000 1.4974e+02 128.910000 1.5703e+01 4.3659e+01 69.547000 3.789600
1108 10.57300 1.0860e+01 8.121700 1.2215e+00 2.7072e+00 4.193000 1.570200
1109 4.96990 7.8928e+00 2.256600 2.1926e-01 7.5220e-01 1.285100 0.551670
1110 66.22000 4.8571e+01 13.984000 1.3487e+00 4.6513e+00 7.984000 0.533430
1111 1.08730 2.4056e+00 0.558100 7.2544e-02 1.8603e-01 0.299520 0.558100
1112 175.62000 7.6364e+01 48.449000 5.5189e+00 1.6150e+01 26.780000 1.769600
1113 5.73870 1.0715e+01 4.195600 4.2865e-01 1.4141e+00 2.352900 0.915490
1114 54.02600 4.9704e+01 17.936000 2.4937e+00 5.9803e+00 9.461900 0.791770
1115 1.71950 3.9735e+00 1.358300 1.0265e-01 4.8108e-01 0.774570 0.933640
1116 9.48030 1.5842e+01 4.621000 6.4654e-01 1.5403e+00 2.434100 0.789540
1117 1106.70000 2.3028e+02 230.280000 1.7861e+01 7.8872e+01 133.550000 4.301800
1118 10.31200 9.8584e+00 4.866500 4.7310e-01 1.6220e+00 2.771400 0.910930
1119 85.37000 4.9212e+01 20.749000 1.9527e+00 6.9186e+00 11.878000 1.165300
1120 3.48480 5.1940e+00 2.131600 2.8040e-01 7.1471e-01 1.136500 0.821580
1121 1.87450 5.4042e+00 0.863590 2.0948e-01 2.8786e-01 0.366240 0.484420
1122 1.23860 3.3060e+00 1.008200 2.2361e-01 3.3741e-01 0.447180 1.008200
1123 50.53900 4.0783e+01 18.821000 3.4498e+00 6.2736e+00 9.097400 1.249900
1124 0.18832 1.3056e+00 0.155860 7.5978e-03 5.0440e-02 0.097819 0.155860
1125 0.81026 2.1521e+00 0.399530 3.7733e-02 1.3663e-01 0.225170 0.399530
1126 11.11500 1.6122e+01 5.420600 1.1488e+00 1.8069e+00 2.464900 0.943650
1127 0.36503 1.4521e+00 0.249310 2.0231e-02 8.6261e-02 0.142820 0.249310
1128 0.46168 1.2095e+00 0.179760 1.5999e-02 5.7757e-02 0.106010 0.179760
1129 1.97420 6.8575e+00 2.240200 6.3823e-01 7.5869e-01 0.843290 1.102100
1130 10.42400 1.0517e+01 6.450300 7.9318e-01 2.2003e+00 3.456900 1.748800
1131 6.14180 7.9447e+00 7.944700 5.1341e-01 2.8650e+00 4.566300 3.087600
1132 7.38630 5.1945e+00 1.038800 5.9167e-03 1.9446e-01 0.838430 0.186230
1133 1.71130 4.7353e+00 0.672890 9.1754e-02 2.2430e-01 0.356840 0.411470
1134 9.03530 9.8528e+00 4.764300 3.6935e-01 1.5801e+00 2.814900 0.794060
1135 17.76100 1.0844e+01 7.536700 8.2930e-01 2.5123e+00 4.195100 1.256100
1136 7.88730 8.8886e+00 1.326000 9.6364e-02 4.3415e-01 0.795460 0.223560
1137 3.45990 4.6488e+00 1.823100 1.2626e-01 6.0712e-01 1.089700 0.597810
1138 17.53400 1.7885e+01 10.168000 7.5802e-01 3.3895e+00 6.020400 1.434000
1139 1525.00000 3.1788e+02 256.250000 4.5881e+01 8.5425e+01 124.940000 3.462800
1140 5.42780 8.1140e+00 2.842300 2.2163e-01 9.4744e-01 1.673300 0.737440
1141 0.62479 2.0607e+00 0.337270 2.3737e-02 1.1716e-01 0.196370 0.337270
1142 5.64220 7.5847e+00 3.079300 2.6057e-01 1.0264e+00 1.792300 0.674920
1143 1704.60000 3.5482e+02 369.630000 8.8645e+00 1.3428e+02 226.480000 4.153300
1144 37.15800 2.2767e+01 13.724000 1.2541e+00 4.5746e+00 7.895000 1.261700
1145 633.35000 1.7338e+02 140.570000 1.5081e+01 4.7622e+01 77.868000 3.220600
1146 5.80630 8.7370e+00 4.651600 6.2992e-01 1.5719e+00 2.449900 1.555300
1147 7.37470 9.4355e+00 3.235000 2.2954e-01 1.0784e+00 1.927100 0.580670
1148 2.85890 4.0210e+00 0.946990 8.5849e-02 3.1566e-01 0.545480 0.447090
1149 8.79440 9.5670e+00 4.502400 5.6620e-01 1.5008e+00 2.435400 1.079500
1150 4.76940 9.4890e+00 2.163300 3.6370e-01 7.2111e-01 1.078500 0.617980
1151 15.07100 1.0422e+01 8.348200 7.2760e-01 2.7827e+00 4.837800 1.391400
1152 2.73920 4.9710e+00 3.366100 2.9598e-01 1.1386e+00 1.931500 1.598500
1153 1.09240 2.3033e+00 0.567480 5.0763e-02 1.9464e-01 0.322080 0.567480
1154 0.51671 2.4056e+00 0.539220 5.3408e-02 1.9616e-01 0.289650 0.539220
1155 12.08900 1.3473e+01 4.662700 4.9495e-01 1.5542e+00 2.613500 0.652420
1156 1.03420 2.9037e+00 0.554180 1.0454e-01 1.8473e-01 0.264910 0.554180
1157 1.10030 2.6295e+00 0.456150 9.3437e-02 1.5205e-01 0.210660 0.399760
1158 260.02000 7.6376e+01 73.671000 5.0450e+00 2.4557e+01 44.069000 2.085600
1159 1.13000 2.4584e+00 0.436980 4.2033e-02 1.4566e-01 0.249290 0.409860
1160 0.64438 1.6083e+00 0.383870 3.6668e-02 1.2796e-01 0.219240 0.383870
1161 11.02400 1.0068e+01 9.996500 7.3477e-01 3.6113e+00 5.650400 2.811400
1162 12.26000 9.8288e+00 8.892600 8.7329e-01 2.9893e+00 5.030000 2.622800
1163 49.92900 4.2993e+01 18.464000 2.0832e+00 6.1547e+00 10.226000 1.235000
1164 0.77294 2.7021e+00 0.468110 4.1236e-02 1.6013e-01 0.266750 0.468110
1165 84.73400 3.9434e+01 39.434000 2.0767e+00 1.3599e+01 23.758000 3.286200
1166 0.17343 1.1536e+00 0.458030 4.1357e-02 1.5268e-01 0.264000 0.458030
1167 939.00000 2.0626e+02 184.440000 1.9382e+01 6.1481e+01 103.580000 3.516600
1168 10.40500 1.3078e+01 3.173400 4.1320e-01 1.0578e+00 1.702400 0.531650
1169 3.58970 5.9205e+00 2.920600 2.8517e-01 9.7352e-01 1.661900 0.904100
1170 0.27745 1.8095e+00 0.394930 4.8154e-02 1.3164e-01 0.215130 0.394930
1171 42.22200 2.4823e+01 15.191000 1.2232e+00 5.0635e+00 8.903800 1.265900
1172 0.38880 1.4572e+00 0.373110 2.8492e-02 1.2439e-01 0.220230 0.373110
1173 54.71700 2.9221e+01 23.434000 1.7300e+00 7.8112e+00 13.892000 1.790700
1174 8.76370 1.2147e+01 5.601200 5.9753e-01 1.8671e+00 3.136600 0.981340
1175 10.45800 9.3524e+00 6.816200 4.0247e-01 2.2692e+00 4.144500 1.136000
1176 0.25289 2.9037e+00 0.335250 7.2725e-02 1.1175e-01 0.150770 0.335250
1177 1902.50000 3.2524e+02 325.240000 3.0790e+01 1.1065e+02 183.800000 4.165000
1178 9.50540 1.0343e+01 7.494700 7.0096e-01 2.4983e+00 4.295500 1.676200
1179 1.00550 2.5521e+00 0.475140 7.5488e-02 1.5838e-01 0.241270 0.475140
1180 0.63232 1.6607e+00 0.408840 4.0732e-02 1.3624e-01 0.231870 0.408840
1181 0.30182 1.7060e+00 0.400100 4.8205e-02 1.3337e-01 0.218530 0.400100
1182 0.40295 1.7548e+00 0.284540 3.5569e-02 9.4840e-02 0.154140 0.284540
1183 501.61000 1.6151e+02 136.360000 1.3671e+01 4.5452e+01 77.233000 2.863300
1184 0.26071 1.7095e+00 0.070747 7.1525e-03 2.3320e-02 0.040275 0.070747
1185 58.24400 2.6900e+01 25.416000 2.5299e+00 8.6816e+00 14.205000 3.411100
1186 0.16627 1.7072e+00 0.432620 5.6705e-02 1.4420e-01 0.231710 0.432620
1187 19.18100 1.8697e+01 11.688000 1.3575e+00 3.9113e+00 6.419100 1.601400
1188 1.26410 3.3396e+00 1.315000 1.1554e-01 4.6135e-01 0.738080 1.091400
1189 0.68290 2.5536e+00 0.600910 1.3015e-01 2.0030e-01 0.270460 0.600910
1190 4.52830 8.8796e+00 2.951900 4.0145e-01 9.8397e-01 1.566500 0.777320
1191 0.93862 4.2044e+00 1.117000 1.7268e-01 3.7245e-01 0.571840 1.117000
1192 21.04000 1.5472e+01 7.914100 6.5916e-01 2.6354e+00 4.619500 0.766930
1193 0.43459 1.6533e+00 0.122630 1.0745e-02 4.0483e-02 0.071403 0.122630
1194 228.80000 7.8869e+01 71.160000 7.6572e+00 2.3720e+01 39.783000 2.604000
1195 998.31000 2.4722e+02 231.750000 2.3453e+01 7.7271e+01 131.030000 3.666800
1196 18.58700 2.0158e+01 6.745000 6.8042e-01 2.2483e+00 3.816200 0.706640
1197 2.44810 4.7688e+00 0.568100 3.9670e-02 1.8904e-01 0.339390 0.250200
1198 0.70996 2.6107e+00 0.593260 7.6420e-02 2.0461e-01 0.312240 0.593260
1199 1.02860 1.1521e+00 0.620370 3.4755e-02 2.1235e-01 0.373260 0.620370
1200 7.60730 1.2181e+01 3.137700 2.5489e-01 1.0459e+00 1.836900 0.549860
1201 168.88000 6.5371e+01 52.914000 6.0487e+00 1.7635e+01 29.230000 1.756500
1202 0.43024 1.8072e+00 0.435250 5.4251e-02 1.4508e-01 0.235920 0.435250
1203 0.41564 1.9048e+00 0.326100 4.3672e-02 1.0870e-01 0.173730 0.326100
1204 424.41000 1.4512e+02 109.980000 1.1093e+01 3.6661e+01 62.228000 2.749500
1205 3.48520 5.5773e+00 0.670290 5.6635e-02 1.9701e-01 0.416640 0.218480
1206 18.36300 1.1017e+01 8.649500 8.2647e-01 2.8832e+00 4.939800 1.441600
1207 1.78520 3.6642e+00 0.894380 1.9516e-01 2.9903e-01 0.400190 0.525290
1208 3.35190 4.9392e+00 2.125900 2.1429e-01 7.0863e-01 1.203000 0.792290
1209 17.33000 2.3702e+01 6.041700 8.1685e-01 2.0139e+00 3.211000 0.587070
1210 9.11500 1.1651e+01 6.254400 6.4825e-01 2.0848e+00 3.521400 1.045000
1211 199.95000 8.2888e+01 60.001000 6.9344e+00 2.0000e+01 33.066000 1.988700
1212 10.46900 9.9471e+00 7.210000 8.5359e-01 2.4033e+00 3.953100 1.873100
1213 0.31767 1.8583e+00 0.482160 4.3183e-02 1.6072e-01 0.278260 0.482160
1214 4.10090 8.1827e+00 1.516700 2.1588e-01 5.0556e-01 0.795230 0.492530
1215 1.71940 2.9489e+00 0.437590 3.5637e-02 1.4611e-01 0.255840 0.319360
1216 1.28060 2.7086e+00 0.475140 7.4708e-02 1.5838e-01 0.242050 0.413760
1217 3.63300 3.7421e+00 2.053700 9.8706e-02 6.7684e-01 1.278200 0.613630
1218 0.93296 2.6107e+00 0.424250 5.6961e-02 1.4142e-01 0.225870 0.424250
1219 0.26771 1.7521e+00 0.302500 4.0933e-02 1.0083e-01 0.160730 0.302500
1220 3.19920 7.3827e+00 0.935130 1.2929e-01 3.1171e-01 0.494130 0.321260
1221 0.40202 1.9048e+00 0.442230 5.4500e-02 1.4741e-01 0.240320 0.442230
1222 1499.30000 3.0309e+02 285.220000 2.2731e+01 9.5800e+01 166.680000 3.505600
1223 18.31400 1.6171e+01 9.473100 8.1310e-01 3.2653e+00 5.394700 1.578900
1224 0.22154 1.1048e+00 0.298680 2.6448e-02 9.9559e-02 0.172670 0.298680
1225 7.45900 1.0812e+01 4.057400 5.1760e-01 1.4257e+00 2.114100 1.264600
1226 2.54060 6.3928e+00 2.513100 3.5727e-01 8.3771e-01 1.318200 1.059900
1227 0.38424 2.8607e+00 0.196370 2.3968e-02 6.5457e-02 0.106950 0.196370
1228 1.35960 4.1274e+00 0.634480 9.3542e-02 2.1149e-01 0.329440 0.453620
1229 152.79000 6.9241e+01 39.928000 4.0136e+00 1.3309e+01 22.605000 1.518600
1230 4.74760 7.8678e+00 3.370700 3.6355e-01 1.1236e+00 1.883600 1.006100
1231 5.21710 1.3116e+01 2.839100 7.2106e-01 9.4637e-01 1.171700 0.618560
1232 9.02730 1.1945e+01 2.829700 3.5211e-01 9.4324e-01 1.534400 0.471620
1233 0.33301 2.4107e+00 0.562640 5.5683e-02 1.8755e-01 0.319410 0.562640
1234 0.23779 1.4548e+00 0.473880 4.6364e-02 1.5796e-01 0.269560 0.473880
1235 1.54840 4.0091e+00 0.287730 5.4667e-02 9.5912e-02 0.137160 0.287730
1236 6.48990 9.4453e+00 2.101800 2.1068e-01 6.9934e-01 1.191800 0.416570
1237 6.37390 1.1087e+01 1.726700 2.4187e-01 5.7556e-01 0.909250 0.347060
1238 911.12000 2.1515e+02 200.520000 1.5237e+01 6.6841e+01 118.440000 3.182900
1239 1.83900 3.5762e+00 0.650620 4.6657e-02 2.1713e-01 0.386830 0.418070
1240 0.45857 2.3607e+00 0.755250 7.1551e-02 2.5938e-01 0.424330 0.755250
1241 0.18809 1.5556e+00 0.436190 3.1196e-02 1.4540e-01 0.259600 0.436190
1242 35.27300 2.8875e+01 13.419000 8.9875e-01 4.4728e+00 8.047500 0.833210
1243 521.90000 1.3216e+02 127.680000 1.1583e+01 4.2560e+01 73.537000 2.743500
1244 5.55430 9.8235e+00 5.276900 6.0828e-01 1.7774e+00 2.891300 1.750700
1245 12.00300 8.7696e+00 8.418000 8.6910e-01 2.8019e+00 4.747100 2.665000
1246 20.44800 2.5646e+01 5.203300 5.4391e-01 1.7485e+00 2.910800 0.470080
1247 5.27450 9.0490e+00 1.682900 1.6683e-01 5.6099e-01 0.955130 0.392460
1248 0.24682 5.0834e-01 0.177660 9.2224e-03 4.8444e-02 0.119990 0.177660
1249 3.46300 6.5199e+00 0.740930 1.4883e-01 2.4825e-01 0.343850 0.237000
1250 29.65700 3.4110e+01 10.989000 9.1075e-01 3.6827e+00 6.395900 0.915780
1251 0.79960 2.2107e+00 0.550410 6.2266e-02 1.8347e-01 0.304680 0.550410
1252 11.80700 1.1336e+01 3.804400 3.6836e-01 1.2653e+00 2.170700 0.610410
1253 0.68768 2.5083e+00 0.437070 6.5278e-02 1.4569e-01 0.226100 0.437070
1254 4.98340 8.1595e+00 5.339700 5.1434e-01 1.7873e+00 3.038000 2.121200
1255 350.61000 9.0406e+01 84.646000 5.3960e+00 2.8215e+01 51.035000 2.116200
1256 784.61000 1.7834e+02 156.420000 1.7890e+01 5.2252e+01 86.279000 3.181500
1257 2.43020 8.5976e+00 0.685270 1.4261e-01 2.2842e-01 0.314230 0.345930
1258 10.59200 1.4071e+01 1.977300 2.9922e-01 6.5910e-01 1.019000 0.311230
1259 656.29000 1.9812e+02 128.000000 1.1279e+01 4.2666e+01 74.054000 2.021500
1260 0.62892 1.5521e+00 0.460700 4.8754e-02 1.5357e-01 0.258380 0.460700
1261 7.24270 1.0236e+01 2.295300 2.3784e-01 7.6509e-01 1.292300 0.471780
1262 0.22906 1.6607e+00 0.290470 2.9575e-02 9.6823e-02 0.164070 0.290470
1263 8.53350 1.0662e+01 5.701900 7.8870e-01 1.9013e+00 3.011900 1.389000
1264 0.30179 1.7095e+00 0.537550 5.8361e-02 1.7918e-01 0.300010 0.537550
1265 0.39041 1.8560e+00 0.503480 9.8088e-02 1.6804e-01 0.237350 0.503480
1266 8.29540 8.4387e+00 6.354200 2.8437e-01 2.1272e+00 3.942700 1.241500
1267 18.98100 1.3140e+01 9.071700 1.2852e+00 3.0239e+00 4.762600 1.511900
1268 2.18970 3.8460e+00 0.871190 1.2084e-01 2.9104e-01 0.459310 0.410500
1269 0.92624 2.7095e+00 0.577080 7.5179e-02 1.9435e-01 0.307550 0.577080
1270 0.70244 2.3036e+00 0.457470 5.8922e-02 1.5249e-01 0.246060 0.457470
1271 1763.20000 3.1524e+02 296.110000 4.5926e+01 9.8704e+01 151.480000 3.998800
1272 5.09860 8.8474e+00 0.537440 8.1431e-02 1.7944e-01 0.276560 0.152670
1273 8.77560 1.3802e+01 5.347200 8.0539e-01 1.7824e+00 2.759400 0.891200
1274 1.40460 3.6169e+00 0.393470 5.5022e-02 1.3116e-01 0.207290 0.267020
1275 0.51860 2.2548e+00 0.626950 6.2970e-02 2.2381e-01 0.340170 0.626950
1276 1158.40000 2.8703e+02 220.760000 1.9947e+01 7.3586e+01 127.220000 2.759500
1277 4.90880 7.5230e+00 3.006900 3.8144e-01 1.0025e+00 1.623000 0.742360
1278 0.32893 1.6107e+00 0.370160 4.6995e-02 1.2339e-01 0.199780 0.370160
1279 0.39794 1.6607e+00 0.558890 6.1942e-02 1.8630e-01 0.310650 0.558890
1280 7.06840 7.4466e+00 2.869700 2.7657e-01 9.5657e-01 1.636600 0.592290
1281 4.33960 9.0702e+00 1.538900 1.9608e-01 5.1297e-01 0.829860 0.419350
1282 3.03150 6.4643e+00 2.083000 2.9415e-01 6.9438e-01 1.094500 0.873660
1283 7.45460 1.3965e+01 4.952100 6.7835e-01 1.6599e+00 2.613800 1.074100
1284 3.04100 6.7627e+00 1.919800 1.9369e-01 6.3992e-01 1.086100 0.688070
1285 25.70500 2.5914e+01 9.612700 1.2952e+00 3.2042e+00 5.113300 0.728650
1286 14.36500 1.7542e+01 7.023700 1.2609e+00 2.3412e+00 3.421600 1.233500
1287 828.70000 1.8366e+02 165.940000 1.8815e+01 5.5461e+01 91.668000 3.458800
1288 2.53970 3.8780e+00 1.298800 1.7095e-01 4.3368e-01 0.694190 0.648870
1289 1774.70000 3.1240e+02 298.820000 4.4799e+01 9.9781e+01 154.240000 4.061500
1290 20.66900 1.5421e+01 9.090300 1.3380e+00 3.0301e+00 4.722200 1.244400
1291 195.09000 7.2873e+01 56.874000 9.3624e+00 1.8967e+01 28.544000 1.703600
1292 17.82600 2.3308e+01 7.030700 8.5685e-01 2.3436e+00 3.830300 0.667510
1293 7.49550 1.1721e+01 1.957100 4.3873e-01 6.5278e-01 0.865550 0.326180
1294 2.87320 7.6895e+00 0.545790 9.4803e-02 1.8193e-01 0.269060 0.232140
1295 6.23440 9.0542e+00 3.759800 3.9388e-01 1.2951e+00 2.070800 1.263100
1296 354.21000 1.1662e+02 99.393000 8.3291e+00 3.3380e+01 57.684000 2.993700
1297 3.65110 8.8446e+00 2.126600 2.7622e-01 7.0887e-01 1.141500 0.655210
1298 10.55300 1.2115e+01 1.384000 1.8956e-01 4.6189e-01 0.732520 0.227260
1299 8.40970 1.0257e+01 6.816900 1.0002e+00 2.2723e+00 3.544400 1.471600
1300 4.17250 9.0593e+00 2.138000 1.9790e-01 7.3922e-01 1.200900 0.601370
1301 0.42201 2.4583e+00 0.481470 4.0362e-02 1.6049e-01 0.280620 0.481470
1302 15.26000 1.6227e+01 8.829600 5.5610e-01 2.9501e+00 5.323400 1.014600
1303 0.27617 1.6107e+00 0.416720 3.3187e-02 1.3976e-01 0.243770 0.416720
1304 0.32427 1.6107e+00 0.332380 2.5788e-02 1.1809e-01 0.188500 0.332380
1305 0.81456 1.7095e+00 0.615900 3.7009e-02 2.1172e-01 0.367170 0.615900
1306 0.18559 1.6021e+00 0.423810 2.4040e-02 1.4234e-01 0.257430 0.423810
1307 0.63128 1.6607e+00 0.426420 4.7796e-02 1.4214e-01 0.236480 0.426420
1308 1508.40000 3.4768e+02 347.680000 2.6040e+01 1.1502e+02 206.620000 4.199900
1309 12.57000 1.7620e+01 4.983000 6.6972e-01 1.6921e+00 2.621200 0.830510
1310 7.44980 1.4037e+01 2.829600 5.3036e-01 9.4322e-01 1.356100 0.503940
1311 3.40940 8.0978e+00 0.600860 9.6995e-02 2.0037e-01 0.303500 0.199450
1312 0.40577 1.8583e+00 0.333700 2.8188e-02 1.1123e-01 0.194280 0.333700
1313 1.38770 3.5010e+00 2.150300 1.7345e-01 7.7177e-01 1.205100 1.782200
1314 1853.00000 3.4784e+02 347.840000 1.4955e+01 1.2036e+02 212.520000 4.294400
1315 3.35790 7.3410e+00 2.326400 6.1094e-01 7.7546e-01 0.939980 0.763240
1316 0.83398 2.3583e+00 0.357810 2.9702e-02 1.1927e-01 0.208840 0.357810
1317 2.93710 8.9814e+00 0.686510 1.1178e-01 2.2884e-01 0.345900 0.258310
1318 6.46960 1.1877e+01 2.947800 2.4936e-01 9.8262e-01 1.715900 0.559640
1319 1472.00000 2.8577e+02 285.770000 2.2269e+01 9.7644e+01 165.860000 4.202500
1320 8.33160 8.9874e+00 6.944700 1.1570e+00 2.3149e+00 3.472800 1.970500
1321 330.99000 9.8232e+01 88.948000 5.6765e+00 2.9769e+01 53.503000 2.398100
1322 2.09600 5.1423e+00 0.654230 8.2004e-02 2.1808e-01 0.354150 0.331060
1323 4.84120 8.6533e+00 2.651900 5.1974e-01 8.8408e-01 1.248100 0.662000
1324 3.07270 4.4835e+00 1.118000 9.7123e-02 3.7268e-01 0.648230 0.434380
1325 3.48710 6.8150e+00 1.327100 1.2177e-01 4.4240e-01 0.762920 0.432360
1326 0.98419 1.0083e+00 0.536740 3.1823e-02 1.7826e-01 0.326660 0.536740
1327 0.16455 9.1068e-01 0.221110 1.2433e-02 7.3099e-02 0.135580 0.221110
1328 0.92551 2.6107e+00 0.752010 8.6734e-02 2.5076e-01 0.414520 0.752010
1329 0.84144 2.1521e+00 0.380960 3.9928e-02 1.2699e-01 0.214050 0.380960
1330 1.14250 2.5883e+00 0.428320 3.8250e-02 1.4277e-01 0.247300 0.396850
1331 0.43337 1.7021e+00 0.416550 4.4223e-02 1.3885e-01 0.233480 0.416550
1332 6.91660 1.5236e+01 1.214300 1.0153e-01 4.1499e-01 0.697780 0.219040
1333 16.10000 1.9605e+01 9.810000 1.0287e+00 3.3253e+00 5.456100 1.364100
1334 1259.90000 2.5689e+02 256.450000 2.2195e+01 8.7593e+01 146.660000 4.349800
1335 1.18950 4.4583e+00 1.293800 2.1264e-01 4.3949e-01 0.641650 1.293800
1336 0.24356 1.5083e+00 0.279640 1.8725e-02 9.3213e-02 0.167700 0.279640
1337 0.26744 1.4107e+00 0.078103 3.4073e-03 2.4070e-02 0.050626 0.078103
1338 5.86670 8.4516e+00 3.893000 4.9941e-01 1.2976e+00 2.096000 0.815490
1339 21.58700 2.1483e+01 10.742000 1.1342e+00 3.6113e+00 5.996400 1.232300
1340 4.55740 5.0433e+00 2.217600 2.3158e-01 7.5943e-01 1.226600 1.141500
1341 0.70651 1.9521e+00 0.364750 3.3439e-02 1.2158e-01 0.209730 0.364750
1342 0.26233 1.5521e+00 0.142520 1.5308e-02 4.7459e-02 0.079751 0.142520
1343 0.33616 2.0521e+00 0.400730 4.3664e-02 1.4026e-01 0.216810 0.400730
1344 0.48884 2.3548e+00 0.308100 3.9874e-02 1.0308e-01 0.165140 0.308100
1345 1.03730 2.2572e+00 0.882160 7.3119e-02 3.2676e-01 0.482280 0.882160
1346 3.14270 7.4486e+00 1.070200 1.3754e-01 3.5927e-01 0.573420 0.375120
1347 11.75900 1.2209e+01 3.574700 4.6575e-01 1.1916e+00 1.917400 0.595790
1348 803.33000 2.0275e+02 167.760000 1.5435e+01 5.6247e+01 96.078000 3.388400
1349 0.64125 3.1060e+00 0.827070 1.3781e-01 2.7569e-01 0.413570 0.827070
1350 0.58472 1.9060e+00 0.467470 5.6095e-02 1.5582e-01 0.255560 0.467470
1351 733.16000 1.7736e+02 171.290000 9.3774e+00 5.7621e+01 104.290000 3.538500
1352 4.45650 6.9702e+00 6.766000 5.5007e-01 2.5660e+00 3.649900 3.210100
1353 1.61170 2.9993e+00 1.033100 8.6318e-02 3.5500e-01 0.591740 0.758740
1354 4.48120 9.7552e+00 3.227000 3.9207e-01 1.1675e+00 1.667400 1.072500
1355 2.18950 2.1048e+00 0.466670 5.5247e-02 1.5551e-01 0.255910 0.466670
1356 2.71830 3.8804e+00 0.887770 1.7262e-01 2.9594e-01 0.419210 0.437510
1357 45.16400 3.3382e+01 17.647000 2.0124e+00 5.8825e+00 9.752500 1.204600
1358 2.29450 5.0209e+00 4.298200 3.9723e-01 1.6649e+00 2.236000 3.227900
1359 4.02280 5.8762e+00 4.044900 2.8930e-01 1.5251e+00 2.230500 2.620600
1360 9.91170 1.1405e+01 6.240100 5.7332e-01 2.0800e+00 3.586700 1.172200
1361 4.15150 1.0145e+01 2.149600 6.2729e-01 7.1654e-01 0.805780 0.562160
1362 2.02310 4.6171e+00 1.763300 2.2413e-01 6.3365e-01 0.905550 1.190200
1363 0.86754 2.0107e+00 0.440170 4.7406e-02 1.4672e-01 0.246040 0.440170
1364 0.87577 1.6595e+00 0.720210 6.8997e-02 2.4007e-01 0.411150 0.720210
1365 256.55000 8.6713e+01 77.241000 7.7498e+00 2.5663e+01 43.828000 2.208800
1366 0.64098 2.1107e+00 0.273190 2.0976e-02 9.6793e-02 0.155430 0.273190
1367 11.93800 1.1314e+01 7.676800 3.7653e-01 2.5750e+00 4.725300 1.283100
1368 165.58000 4.7365e+01 43.465000 3.2081e+00 1.4488e+01 25.770000 1.498800
1369 3.47470 5.5000e+00 3.148300 1.7015e-01 1.0611e+00 1.917000 1.128000
1370 0.73159 1.7595e+00 0.418910 3.7565e-02 1.3987e-01 0.241480 0.418910
1371 0.87980 2.6107e+00 0.337090 3.9809e-02 1.1450e-01 0.182780 0.337090
1372 1.84840 3.7824e+00 0.361150 4.5302e-02 1.2038e-01 0.195460 0.205260
1373 1.01280 2.1521e+00 0.349090 4.9954e-02 1.1636e-01 0.182770 0.349090
1374 2.16240 4.5345e+00 3.947400 5.3770e-01 1.4850e+00 1.924700 3.383000
1375 2.18440 2.6279e+00 1.307600 6.8363e-02 4.3307e-01 0.806210 0.637390
1376 2.59020 4.8119e+00 0.857490 9.8869e-02 2.8583e-01 0.472790 0.416160
1377 22.99200 1.7698e+01 12.771000 1.5879e+00 4.2570e+00 6.926100 1.406500
1378 2.81800 3.7349e+00 0.971340 7.7346e-02 3.2378e-01 0.570210 0.464690
1379 13.08900 1.0010e+01 6.908500 5.0174e-01 2.3028e+00 4.103900 1.151400
1380 8.55040 1.8694e+01 2.510400 2.5485e-01 8.9677e-01 1.358700 0.469140
1381 4.87250 1.4661e+01 4.162300 4.9364e-01 1.4538e+00 2.214900 1.211900
1382 4.09370 7.9380e+00 7.518000 9.0609e-01 2.9510e+00 3.660900 4.103600
1383 2.62040 6.5626e+00 6.562600 6.4911e-01 2.4729e+00 3.440500 4.466900
1384 240.84000 8.3384e+01 75.141000 6.5647e+00 2.5140e+01 43.437000 3.040400
1385 3.44440 5.0948e+00 3.346100 3.0390e-01 1.1323e+00 1.909800 1.558300
1386 8.06420 1.3622e+01 3.604500 5.8888e-01 1.2015e+00 1.814100 0.603910
1387 2.68490 4.2289e+00 3.004100 2.8402e-01 1.0014e+00 1.718700 1.256600
1388 39.31800 3.9627e+01 13.660000 2.4025e+00 4.5548e+00 6.703100 0.614100
1389 0.35787 1.6033e+00 0.498490 4.5589e-02 1.6616e-01 0.286740 0.498490
1390 2.34140 4.6048e+00 0.730160 1.4165e-01 2.4438e-01 0.344130 0.730160
1391 0.73034 2.4544e+00 0.605210 5.6929e-02 2.0226e-01 0.346020 0.605210
1392 280.93000 7.5776e+01 72.689000 5.5167e+00 2.4230e+01 42.943000 1.796400
1393 2.37890 7.1581e+00 0.228300 3.3017e-02 7.6118e-02 0.119170 0.103120
1394 0.26524 2.2107e+00 0.119890 1.3694e-02 3.9802e-02 0.066390 0.119890
1395 4.10770 3.7949e+00 3.581100 2.8880e-01 1.1187e+00 2.173600 1.360900
1396 11.18300 1.1592e+01 6.926700 5.0023e-01 2.5242e+00 3.902200 1.317400
1397 1.80150 6.7114e+00 1.360600 2.3954e-01 4.7002e-01 0.651050 0.900340
1398 1.38850 2.2019e+00 0.585280 6.1267e-02 1.9489e-01 0.329130 0.440800
1399 196.70000 6.7285e+01 51.953000 4.3121e+00 1.7318e+01 30.323000 1.590300
1400 1.49880 3.5907e+00 0.495550 7.0425e-02 1.6520e-01 0.259920 0.345050
1401 13.54500 1.2407e+01 4.703800 6.8486e-01 1.5679e+00 2.451000 0.756410
1402 3.79570 8.0518e+00 7.045400 9.1630e-01 2.6583e+00 3.470800 3.710800
1403 1.05760 3.9107e+00 1.557600 2.3923e-01 5.3345e-01 0.784890 1.557600
1404 0.86835 2.7017e+00 0.967500 1.2916e-01 3.2739e-01 0.510950 0.967500
1405 0.51579 1.7521e+00 0.911440 1.6088e-01 3.0616e-01 0.444400 0.911440
1406 1.85250 1.9506e+00 2.099300 9.3559e-02 7.0156e-01 1.304200 1.864300
1407 0.99902 1.6544e+00 1.627300 1.1225e-01 5.4097e-01 0.974040 1.627300
1408 6.79950 7.6140e+00 3.851500 4.5504e-01 1.2838e+00 2.112600 1.385000
1409 0.25752 2.1107e+00 0.168060 3.2151e-02 5.6021e-02 0.079892 0.168060
1410 9.42570 7.9264e+00 5.311400 4.1525e-01 1.7705e+00 3.125700 1.378700
1411 13.68900 1.1993e+01 7.530800 7.7833e-01 2.5103e+00 4.242200 1.659300
1412 1.11840 1.7595e+00 0.522570 4.6210e-02 1.7419e-01 0.302170 0.522570
1413 0.53587 2.2048e+00 0.393970 4.3861e-02 1.3476e-01 0.215340 0.393970
1414 7.07380 1.3373e+01 3.144800 4.8935e-01 1.0483e+00 1.607200 0.630880
1415 881.79000 2.8877e+02 149.720000 2.9751e+01 4.9906e+01 70.061000 2.167500
1416 0.63924 2.1021e+00 0.302530 4.8033e-02 1.0084e-01 0.153650 0.302530
1417 6.72290 1.2842e+01 3.607600 4.5885e-01 1.2169e+00 1.931800 0.918090
1418 990.26000 2.2945e+02 246.500000 4.8062e+00 8.9820e+01 151.880000 4.141000
1419 4.28760 7.3458e+00 6.031300 6.1532e-01 2.3477e+00 3.068300 3.301000
1420 0.30913 4.1556e+00 0.792180 1.1824e-01 2.9316e-01 0.380780 0.792180
1421 2.50230 6.2894e+00 2.490900 2.8798e-01 9.1427e-01 1.288600 1.592000
1422 1.84480 4.7814e+00 4.781400 3.7913e-01 1.8059e+00 2.596400 4.260500
1423 1.44530 1.6544e+00 1.901900 6.1258e-02 6.3426e-01 1.206400 1.901900
1424 3.97420 5.1645e+00 1.423300 2.0657e-01 4.7443e-01 0.742300 0.552770
1425 1.41550 1.7521e+00 2.113100 8.0140e-02 7.0425e-01 1.328700 2.113100
1426 619.74000 1.3939e+02 128.250000 9.7707e+00 4.3015e+01 75.466000 3.206300
1427 3.77390 9.6324e+00 1.352900 1.8259e-01 4.5114e-01 0.719140 0.391980
1428 2.13210 3.3063e+00 0.282020 2.6219e-02 8.6502e-02 0.169290 0.136090
1429 4.36500 7.5785e+00 3.628000 3.5783e-01 1.2096e+00 2.060600 1.001600
1430 90.30700 5.9051e+01 23.045000 2.1679e+00 7.6794e+00 13.198000 1.002000
1431 1.33600 2.4432e+00 0.575680 3.8573e-02 1.9686e-01 0.340240 0.517140
1432 0.84627 2.3583e+00 0.310350 4.0504e-02 1.0345e-01 0.166400 0.310350
1433 1830.90000 3.4417e+02 344.170000 1.6851e+01 1.1781e+02 209.500000 4.300700
1434 11.21900 1.8304e+01 3.794600 5.1036e-01 1.2649e+00 2.019400 0.530970
1435 0.68569 4.4095e+00 0.324740 3.7274e-02 1.0821e-01 0.179260 0.324740
1436 215.78000 8.1300e+01 75.666000 8.1478e+00 2.5781e+01 41.738000 3.766300
1437 4.95690 8.6295e+00 2.256000 2.0852e-01 7.5199e-01 1.295500 0.526420
1438 0.62081 1.7107e+00 0.268550 1.9772e-02 8.9515e-02 0.159260 0.268550
1439 1151.40000 3.0114e+02 194.390000 3.6882e+01 6.4796e+01 92.710000 2.697400
1440 3.58920 8.5373e+00 3.261000 3.5114e-01 1.0870e+00 1.822900 1.042600
1441 0.21888 2.0036e+00 0.408720 4.3003e-02 1.4664e-01 0.219070 0.408720
1442 2.46810 2.4583e+00 0.907460 1.0014e-01 2.8364e-01 0.523680 0.396810
1443 19.42200 2.0008e+01 7.955700 9.3554e-01 2.6519e+00 4.368300 0.873520
1444 86.33700 4.0909e+01 30.919000 2.8340e+00 1.0453e+01 17.632000 2.198000
1445 15.14200 1.4416e+01 8.022000 9.4223e-01 2.6740e+00 4.405800 1.075700
1446 3.35200 6.7385e+00 0.394930 9.9463e-02 1.3164e-01 0.163820 0.269860
1447 1.83220 3.1373e+00 1.648600 1.6236e-01 5.4953e-01 0.936700 0.944780
1448 1.05230 2.6544e+00 0.642130 8.2740e-02 2.1404e-01 0.345350 0.642130
1449 0.86538 1.8048e+00 0.467230 5.4310e-02 1.5574e-01 0.257180 0.467230
1450 1.79500 3.1521e+00 1.516300 1.8289e-01 5.2456e-01 0.808890 1.516300
1451 0.74639 1.5568e+00 1.100400 1.3657e-01 3.6778e-01 0.596000 1.100400
1452 3.04980 4.6302e+00 1.027900 1.3041e-01 3.4264e-01 0.554880 0.401950
1453 0.36849 1.2021e+00 0.420900 5.1968e-02 1.3317e-01 0.235760 0.420900
1454 102.69000 9.8653e+01 70.688000 6.6778e+00 2.6773e+01 37.238000 2.594700
1455 0.91660 4.3021e+00 1.223300 1.6399e-01 4.1229e-01 0.646980 1.223300
1456 5.92530 8.8509e+00 3.231600 5.0972e-01 1.0772e+00 1.644700 0.770660
1457 17.34000 1.5187e+01 9.877900 1.0583e+00 3.2939e+00 5.525600 1.339400
1458 1215.50000 2.7450e+02 235.850000 2.6474e+01 7.8877e+01 130.500000 3.668300
1459 1.36760 2.7181e+00 0.652360 9.7025e-02 2.1745e-01 0.337880 0.576490
1460 3.74380 8.2777e+00 1.108200 1.8315e-01 3.6938e-01 0.555620 0.409940
1461 399.68000 1.2765e+02 136.950000 2.9482e+00 5.0846e+01 83.155000 3.685600
1462 0.92804 4.1068e+00 0.417280 3.8021e-02 1.4015e-01 0.239110 0.417280
1463 3.75610 8.8081e+00 3.091400 4.2183e-01 1.0830e+00 1.586600 1.579600
1464 66.88100 2.8873e+01 22.524000 2.1709e+00 7.7432e+00 12.610000 2.571900
1465 7.40770 1.3353e+01 2.576000 2.8364e-01 8.5868e-01 1.433700 0.460790
1466 0.21223 1.7595e+00 0.422900 4.1071e-02 1.4097e-01 0.240860 0.422900
1467 0.20339 1.7107e+00 0.481200 6.2007e-02 1.6040e-01 0.258790 0.481200
1468 0.27335 1.8083e+00 0.372610 4.0105e-02 1.2420e-01 0.208300 0.372610
1469 23.53900 2.1587e+01 14.814000 1.8062e+00 5.1813e+00 7.826500 2.469000
1470 0.97038 2.6595e+00 0.675050 1.1981e-01 2.2502e-01 0.330220 0.675050
1471 1.26850 2.7863e+00 0.621700 9.1769e-02 2.0723e-01 0.322700 0.514100
1472 0.55377 2.2107e+00 0.387640 5.3940e-02 1.2921e-01 0.204490 0.387640
1473 0.81067 1.6536e+00 0.440730 4.8647e-02 1.4691e-01 0.245170 0.440730
1474 2086.60000 3.9287e+02 404.940000 1.0948e+01 1.4736e+02 246.630000 4.023400
1475 6.14810 1.0265e+01 4.961200 6.4783e-01 1.6537e+00 2.659600 1.070800
1476 62.12000 2.2850e+01 20.946000 1.3263e+00 6.9806e+00 12.639000 0.788380
1477 270.29000 9.8647e+01 81.753000 9.4687e+00 2.7251e+01 45.033000 2.819100
1478 6.46370 6.1140e+00 1.840900 1.7415e-01 5.9500e-01 1.071800 0.429540
1479 17.13900 1.9901e+01 18.503000 1.2608e+00 6.7807e+00 10.461000 3.576800
1480 4.16730 7.4628e+00 5.503500 7.1230e-01 2.0981e+00 2.693100 3.045600
1481 0.69440 1.5083e+00 1.188000 1.3163e-01 3.9679e-01 0.659540 1.188000
1482 2.79100 6.3950e+00 3.790900 6.5689e-01 1.3406e+00 1.793400 2.465800
1483 0.42525 1.3517e+00 0.410460 5.7077e-02 1.3275e-01 0.220630 0.410460
1484 0.35903 1.8107e+00 0.872700 9.9196e-02 2.9134e-01 0.482170 0.872700
1485 0.82081 2.7583e+00 0.603120 7.0465e-02 2.0104e-01 0.331620 0.603120
1486 3.16860 8.3760e+00 2.390100 3.9692e-01 7.9669e-01 1.196500 0.820010
1487 202.68000 7.0113e+01 61.620000 6.6168e+00 2.0540e+01 34.463000 2.141400
1488 1.30190 2.3741e+00 0.669240 5.1265e-02 2.2308e-01 0.394900 0.618860
1489 8.98990 1.0335e+01 5.274700 4.0554e-01 1.7566e+00 3.112600 0.879110
1490 12.85100 9.0116e+00 4.748200 2.1603e-01 1.5796e+00 2.952500 0.631620
1491 17.16700 1.5003e+01 8.904200 1.1434e+00 2.9684e+00 4.792300 1.343500
1492 0.17996 1.8595e+00 0.474370 5.4304e-02 1.5812e-01 0.261940 0.474370
1493 0.76880 1.7107e+00 0.357030 3.5938e-02 1.1901e-01 0.202080 0.357030
1494 0.55659 1.7595e+00 0.559490 5.7939e-02 1.8650e-01 0.315060 0.559490
1495 0.24866 1.1521e+00 0.228500 1.5999e-02 7.6166e-02 0.136330 0.228500
1496 0.21269 1.9060e+00 0.459520 5.2866e-02 1.5317e-01 0.253480 0.459520
1497 10.59300 1.0254e+01 7.742800 6.9866e-01 2.6323e+00 4.411900 2.181700
1498 0.77523 1.9107e+00 0.746390 1.0420e-01 2.4880e-01 0.393400 0.746390
1499 963.50000 2.3461e+02 248.090000 6.0378e+00 9.0931e+01 151.120000 4.414800
1500 1.15090 2.8060e+00 0.534260 1.0990e-01 1.7823e-01 0.246130 0.534260
1501 0.25675 2.4060e+00 0.508200 1.1405e-01 1.6940e-01 0.224750 0.508200
1502 1.07530 2.5095e+00 0.544800 6.4203e-02 1.8160e-01 0.298990 0.544800
1503 11.18200 1.1199e+01 5.153000 7.7739e-01 1.7177e+00 2.658000 0.759520
1504 0.69925 2.4107e+00 0.548190 8.0873e-02 1.8273e-01 0.284590 0.548190
1505 0.80509 2.4107e+00 0.746520 8.3177e-02 2.5138e-01 0.411960 0.746520
1506 1.55600 3.4957e+00 1.347000 1.1689e-01 4.9302e-01 0.737080 0.903630
1507 58.28700 4.4524e+01 21.582000 1.4988e+00 7.8115e+00 12.271000 1.199000
1508 0.34412 4.6536e+00 1.214600 2.2521e-01 4.5486e-01 0.534500 1.214600
1509 0.98517 1.7521e+00 0.847610 1.8315e-01 2.8497e-01 0.379490 0.847610
1510 446.94000 1.2922e+02 114.360000 9.8954e+00 3.8252e+01 66.211000 3.163100
1511 18.92500 1.3548e+01 7.179200 8.5286e-01 2.3935e+00 3.932800 0.955400
1512 0.67673 3.6607e+00 0.402670 8.0806e-02 1.3422e-01 0.187640 0.402670
1513 32.02200 2.7491e+01 11.256000 1.0211e+00 3.7489e+00 6.486300 0.705790
1514 7.17790 1.6067e+01 2.284500 3.4470e-01 7.6151e-01 1.178300 0.414580
1515 1.06220 4.3607e+00 1.667400 1.9148e-01 5.8733e-01 0.888580 1.667400
1516 1.81360 7.4017e+00 1.263300 2.5891e-01 4.2200e-01 0.582390 0.709130
1517 0.47364 2.1544e+00 0.335130 2.6582e-02 1.1434e-01 0.194210 0.335130
1518 1.00220 2.4083e+00 0.342930 4.6699e-02 1.1431e-01 0.181920 0.342930
1519 107.86000 4.7613e+01 47.613000 3.4663e+00 1.6666e+01 27.481000 3.742800
1520 4.77140 5.3923e+00 3.273300 2.6449e-01 1.0914e+00 1.917400 1.065900
1521 2.16200 3.7118e+00 2.257300 2.4900e-01 7.5571e-01 1.252600 1.110500
1522 0.91249 1.6521e+00 0.374680 4.4415e-02 1.2489e-01 0.205370 0.374680
1523 1.11580 4.4095e+00 0.505900 1.0601e-01 1.6863e-01 0.231260 0.505900
1524 7.96840 1.0921e+01 3.422800 5.1920e-01 1.1409e+00 1.762600 0.599990
1525 1.02160 2.2595e+00 0.364880 3.9647e-02 1.2163e-01 0.203600 0.364880
1526 17.72900 1.5912e+01 7.900900 6.7617e-01 2.6336e+00 4.591100 0.981780
1527 9.87250 1.3867e+01 5.714000 4.9653e-01 1.9047e+00 3.312800 0.952340
1528 8.93920 1.0264e+01 2.647000 2.2285e-01 8.8087e-01 1.543300 0.441170
1529 164.92000 5.8223e+01 55.438000 4.7251e+00 1.8479e+01 32.234000 1.965400
1530 3.27530 8.5727e+00 1.405100 1.5203e-01 4.6837e-01 0.784720 0.482290
1531 15.91400 1.7859e+01 9.457500 1.2472e+00 3.1525e+00 5.057900 1.221500
1532 2.61880 4.1068e+00 0.478950 7.2674e-02 1.5972e-01 0.246550 0.217290
1533 2.28150 4.5095e+00 1.594500 2.5862e-01 5.3149e-01 0.804370 0.767890
1534 2.78780 5.3763e+00 3.249700 3.9018e-01 1.1868e+00 1.672800 2.421200
1535 3.32290 4.6048e+00 4.604800 4.6289e-01 1.5272e+00 2.614800 4.604800
1536 0.52338 2.2048e+00 0.795090 1.2535e-01 2.6503e-01 0.404710 0.795090
1537 0.33505 2.0095e+00 0.743350 8.8055e-02 2.4778e-01 0.407510 0.743350
1538 96.69300 3.5858e+01 33.488000 2.1648e+00 1.1163e+01 20.160000 1.721700
1539 9.05230 1.2268e+01 6.484900 5.4005e-01 2.1617e+00 3.783200 1.080800
1540 63.02400 3.1904e+01 24.643000 1.5018e+00 8.4516e+00 14.690000 1.964700
1541 8.92070 9.8309e+00 5.594400 5.6552e-01 1.8648e+00 3.164100 1.234900
1542 0.66474 2.3107e+00 0.423840 3.9281e-02 1.4630e-01 0.238260 0.423840
1543 50.75500 4.3320e+01 23.753000 3.8576e+00 7.9178e+00 11.978000 2.089300
1544 4.26750 4.3444e+00 3.929200 2.8080e-01 1.3056e+00 2.342800 1.803700
1545 2.27610 5.7907e+00 2.391300 3.4386e-01 7.9779e-01 1.249600 1.123400
1546 35.75900 1.8846e+01 16.800000 1.5537e+00 5.6000e+00 9.646300 1.939200
1547 0.28566 1.6033e+00 0.366840 2.9757e-02 1.2228e-01 0.214800 0.366840
1548 17.88700 1.4901e+01 10.039000 6.3666e-01 3.3462e+00 6.055800 1.296400
1549 7.59910 1.0453e+01 6.554200 8.4471e-01 2.1847e+00 3.524800 1.597000
1550 17.53100 1.3671e+01 6.761000 8.2722e-01 2.2537e+00 3.680100 1.037800
1551 0.51212 1.8595e+00 0.382830 4.9059e-02 1.2761e-01 0.206160 0.382830
1552 1.93710 6.0465e+00 1.383700 2.3228e-01 4.6587e-01 0.685520 0.752750
1553 16.57300 1.6608e+01 8.806200 1.0435e+00 2.9354e+00 4.827300 1.373200
1554 1119.00000 2.8449e+02 284.490000 1.4710e+01 9.5358e+01 174.420000 4.296800
1555 3.40330 5.3892e+00 0.801080 8.6136e-02 2.6703e-01 0.447920 0.323320
1556 1.85900 5.0910e+00 2.450700 4.2723e-01 8.4194e-01 1.181600 2.143800
1557 0.16150 1.1517e+00 0.445910 4.6035e-02 1.4863e-01 0.251250 0.445910
1558 202.82000 1.0152e+02 75.759000 1.1242e+01 2.6064e+01 38.453000 2.429000
1559 2.70340 2.8674e+00 0.903790 7.2692e-02 2.9822e-01 0.532870 0.448040
1560 1.96710 3.5864e+00 0.849540 1.1383e-01 2.8487e-01 0.450830 0.662230
1561 60.04700 5.0522e+01 25.798000 2.6914e+00 8.5970e+00 14.510000 1.743000
1562 146.81000 5.7089e+01 56.021000 4.2127e+00 1.8932e+01 32.876000 3.584400
1563 11.42100 7.9538e+00 7.208200 3.4919e-01 2.3843e+00 4.474700 1.201400
1564 36.71700 2.8671e+01 14.068000 7.4641e-01 4.5884e+00 8.732800 1.016900
1565 9.72360 1.4227e+01 7.519800 6.4881e-01 2.5066e+00 4.364300 1.372800
1566 87.25600 4.9980e+01 24.275000 3.0597e+00 8.1207e+00 13.095000 1.682000
1567 5.13740 1.0767e+01 3.343900 5.0973e-01 1.1146e+00 1.719500 0.777000
1568 3.32300 9.9940e+00 0.720880 1.4392e-01 2.4029e-01 0.336670 0.244460
1569 2.41080 6.4538e+00 0.279910 3.7055e-02 9.3304e-02 0.149550 0.173740
1570 1.66390 5.5779e+00 1.255500 1.2899e-01 4.5073e-01 0.675800 0.737640
1571 0.15090 1.5521e+00 0.480750 3.0078e-02 1.6126e-01 0.289410 0.480750
1572 0.28232 1.8583e+00 0.405080 5.8701e-02 1.3503e-01 0.211350 0.405080
1573 1.61000 5.1918e+00 1.366200 1.5210e-01 4.9674e-01 0.717340 0.886250
1574 3.69070 9.2893e+00 3.914400 3.1980e-01 1.3472e+00 2.247400 1.263000
1575 0.38813 2.1072e+00 0.952130 8.2137e-02 3.3401e-01 0.535980 0.952130
1576 0.63767 1.2591e+00 0.477020 3.8899e-02 1.5843e-01 0.279690 0.477020
1577 9.79490 1.5117e+01 2.137100 2.9610e-01 7.1237e-01 1.128600 0.356180
1578 891.49000 2.4272e+02 231.550000 2.7512e+01 7.7626e+01 126.410000 3.857600
1579 1.48380 3.9065e+00 0.780180 6.3844e-02 2.6546e-01 0.450870 0.548730
1580 23.29000 1.5571e+01 13.317000 1.1366e+00 4.4352e+00 7.745000 1.876500
1581 29.69700 2.2278e+01 13.357000 1.5960e+00 4.4499e+00 7.310800 1.385100
1582 3.88180 4.5614e+00 1.807300 1.3384e-01 6.0137e-01 1.072100 0.620390
1583 0.84739 2.6595e+00 0.647270 1.0252e-01 2.1576e-01 0.329000 0.647270
1584 7.95310 1.1826e+01 9.603600 1.3493e+00 3.3110e+00 4.943300 3.201400
1585 0.82165 2.6595e+00 0.647270 1.0548e-01 2.1576e-01 0.326030 0.647270
1586 11.01600 1.3193e+01 10.041000 1.1986e+00 3.4780e+00 5.364900 2.748900
1587 0.61945 1.6533e+00 0.457750 5.1700e-02 1.5244e-01 0.253610 0.457750
1588 0.74842 2.0537e+00 1.404700 1.9563e-01 4.6822e-01 0.740820 1.404700
1589 0.56834 1.8583e+00 0.625180 8.9246e-02 2.0839e-01 0.327540 0.625180
1590 1.01570 2.1517e+00 0.444070 4.7970e-02 1.5074e-01 0.245360 0.444070
1591 5.86860 9.4367e+00 3.932700 4.4596e-01 1.3109e+00 2.175900 0.958860
1592 105.37000 4.6257e+01 42.561000 6.8691e+00 1.4187e+01 21.505000 3.040200
1593 18.26300 1.4518e+01 11.111000 1.0439e+00 3.7505e+00 6.316400 1.834800
1594 1.72440 3.5270e+00 1.300100 1.0350e-01 4.3338e-01 0.763260 0.738690
1595 0.19877 1.5021e+00 0.191260 2.0009e-02 6.3753e-02 0.107500 0.191260
1596 10.83700 1.2159e+01 6.701300 6.4964e-01 2.2338e+00 3.817900 1.116900
1597 5.64240 5.6887e+00 2.925100 3.5832e-01 9.7538e-01 1.591400 1.011100
1598 1134.60000 2.6997e+02 263.020000 2.3643e+01 8.8199e+01 151.180000 4.117400
1599 8.62590 1.1433e+01 5.799100 4.3616e-01 1.9441e+00 3.418800 1.091100
1600 18.74000 1.9010e+01 9.948100 1.1877e+00 3.3160e+00 5.444400 1.174100
1601 0.18301 1.6056e+00 0.272300 2.4865e-02 9.0691e-02 0.156740 0.272300
1602 300.42000 1.0255e+02 88.459000 1.0002e+01 2.9486e+01 48.970000 2.589200
1603 12.07500 1.5042e+01 4.797700 5.2831e-01 1.5992e+00 2.670100 0.673480
1604 3.09170 5.5209e+00 1.458400 1.6892e-01 4.8613e-01 0.803330 0.581760
1605 3.26200 7.7306e+00 2.363200 2.9049e-01 8.0872e-01 1.264000 0.813890
1606 2.92180 7.3706e+00 0.807340 1.2626e-01 2.6911e-01 0.411970 0.343750
1607 1.96690 2.4677e+00 1.523100 2.0595e-01 5.0949e-01 0.807680 0.751870
1608 3.26130 4.0798e+00 3.164500 2.8922e-01 1.0548e+00 1.820500 1.373100
1609 2.81800 5.0116e+00 2.803800 1.8207e-01 9.3461e-01 1.687100 1.092900
1610 227.11000 1.1397e+02 65.434000 8.4971e+00 2.1820e+01 35.117000 1.768500
1611 6.31100 8.1432e+00 6.325200 8.7005e-01 2.1084e+00 3.346800 2.408500
1612 1.24550 3.1777e+00 0.907730 1.0104e-01 3.0880e-01 0.497890 0.766710
1613 1.67840 2.2561e+00 1.580900 1.4527e-01 5.0382e-01 0.931790 0.984930
1614 0.38034 1.5556e+00 0.068390 5.5911e-03 1.9856e-02 0.042943 0.068390
1615 45.44500 3.2695e+01 21.895000 2.4937e+00 7.3565e+00 12.045000 2.622500
1616 4.93830 8.0933e+00 3.084300 3.8986e-01 1.0281e+00 1.666400 1.126600
1617 68.07600 3.5900e+01 25.751000 2.9286e+00 8.5836e+00 14.238000 2.145900
1618 0.36383 1.4095e+00 0.171720 1.9874e-02 5.7217e-02 0.094628 0.171720
1619 14.96200 1.1001e+01 9.428400 8.4324e-01 3.1486e+00 5.436600 2.028200
1620 0.24271 1.4095e+00 0.406800 4.5263e-02 1.3565e-01 0.225880 0.406800
1621 0.13442 1.6048e+00 0.259110 2.6559e-02 8.6368e-02 0.146180 0.259110
1622 0.31271 1.5583e+00 0.360440 2.9354e-02 1.2003e-01 0.211060 0.360440
1623 23.07700 1.5831e+01 8.827600 8.3334e-01 2.9425e+00 5.051800 1.094300
1624 3.80070 5.5542e+00 4.135800 4.1150e-01 1.3852e+00 2.339100 1.629700
1625 1690.40000 3.1501e+02 284.070000 4.4230e+01 9.4732e+01 145.110000 3.838800
1626 3.40020 8.1442e+00 0.237950 3.3445e-02 7.4892e-02 0.129610 0.079165
1627 0.98889 3.0021e+00 1.197900 1.5312e-01 4.1211e-01 0.632630 1.197900
1628 0.42610 1.9560e+00 0.337570 5.2274e-02 1.1289e-01 0.172410 0.337570
1629 8.64140 9.6435e+00 7.620400 6.8268e-01 2.5418e+00 4.395900 2.156700
1630 0.49432 1.8595e+00 0.607710 5.6636e-02 2.0257e-01 0.348500 0.607710
1631 0.50105 1.4036e+00 0.393490 5.3439e-02 1.3120e-01 0.208860 0.393490
1632 0.66336 1.6056e+00 0.491720 3.2344e-02 1.6434e-01 0.295030 0.491720
1633 1686.50000 3.1876e+02 283.130000 4.6733e+01 9.4428e+01 141.970000 3.811700
1634 20.52200 2.2570e+01 11.208000 1.5645e+00 3.7361e+00 5.907700 1.186100
1635 91.78400 4.8884e+01 25.353000 2.5776e+00 8.4479e+00 14.328000 0.936690
1636 1.92670 6.3881e+00 0.707590 1.1208e-01 2.4109e-01 0.354420 0.386880
1637 7.31610 8.2945e+00 4.026000 3.1308e-01 1.3423e+00 2.370600 0.823770
1638 1.08880 2.0991e+00 0.406880 5.3971e-02 1.3568e-01 0.217220 0.398970
1639 23.79300 1.3927e+01 9.279000 7.0356e-01 3.0902e+00 5.485200 0.996930
1640 0.42239 1.8095e+00 0.393400 3.8435e-02 1.3113e-01 0.223830 0.393400
1641 17.95700 1.0402e+01 7.300100 7.9260e-01 2.4332e+00 4.074300 1.390900
1642 31.22400 1.8115e+01 14.885000 1.4621e+00 5.0171e+00 8.405900 2.480800
1643 11.24000 6.7949e+00 6.404800 4.0169e-01 2.1177e+00 3.885400 1.390900
1644 0.87277 2.4544e+00 0.596000 7.2888e-02 1.9867e-01 0.324450 0.596000
1645 0.23135 2.0107e+00 0.547290 7.8773e-02 1.8243e-01 0.286080 0.547290
1646 3.10290 8.7584e+00 3.224400 4.5278e-01 1.0748e+00 1.696800 1.300100
1647 0.52886 1.7607e+00 0.367530 5.0084e-02 1.2250e-01 0.194950 0.367530
1648 57.89700 3.1455e+01 28.459000 1.9158e+00 9.5479e+00 16.995000 2.984800
1649 0.14096 1.4521e+00 0.346110 4.8329e-02 1.1537e-01 0.182410 0.346110
1650 800.50000 2.2090e+02 157.670000 2.3027e+01 5.2620e+01 82.027000 3.032200
1651 8.07250 9.7596e+00 4.401400 5.9567e-01 1.4671e+00 2.338600 1.009700
1652 0.68291 1.4021e+00 0.413680 3.0070e-02 1.3787e-01 0.245740 0.413680
1653 323.90000 9.8007e+01 86.662000 5.4238e+00 2.9265e+01 51.973000 2.947200
1654 3.27590 5.7490e+00 0.972940 8.8920e-02 3.2431e-01 0.559710 0.316290
1655 0.43562 1.8048e+00 0.512720 6.2538e-02 1.7091e-01 0.279270 0.512720
1656 186.01000 6.3269e+01 58.710000 5.2826e+00 1.9570e+01 33.857000 2.826400
1657 9.14880 1.0964e+01 5.247500 6.5943e-01 1.7491e+00 2.838900 0.874580
1658 251.08000 1.1422e+02 58.532000 4.5295e+00 1.9511e+01 34.492000 1.300900
1659 8.54840 1.6961e+01 6.461200 7.9641e-01 2.2126e+00 3.452200 1.323100
1660 9.55060 9.0585e+00 7.745400 5.8479e-01 2.6474e+00 4.513100 2.222300
1661 8.07030 9.4776e+00 5.615700 4.3284e-01 1.8719e+00 3.311000 1.038700
1662 180.74000 6.6492e+01 62.917000 8.6533e+00 2.0972e+01 33.291000 2.868600
1663 27.08900 2.2185e+01 17.263000 2.1366e+00 5.8769e+00 9.249600 2.566600
1664 0.75764 2.0548e+00 0.526780 6.8422e-02 1.7559e-01 0.282760 0.526780
1665 0.25333 1.8107e+00 0.396840 5.9088e-02 1.3228e-01 0.205470 0.396840
1666 2.05820 3.5191e+00 1.277200 1.2254e-01 4.2555e-01 0.729070 0.657080
1667 5.08940 9.5593e+00 2.526300 3.8960e-01 8.4210e-01 1.294600 0.685570
1668 305.27000 9.8383e+01 80.847000 7.6081e+00 2.6977e+01 46.261000 2.511800
1669 29.45200 1.9277e+01 14.272000 1.5806e+00 4.7575e+00 7.934400 1.987100
1670 88.21200 3.2968e+01 32.716000 3.1658e+00 1.1128e+01 18.422000 3.539800
1671 0.47475 2.3568e+00 0.524510 4.1555e-02 1.7486e-01 0.308090 0.524510
1672 154.08000 6.1781e+01 61.781000 4.3794e+00 2.1431e+01 35.971000 3.926200
1673 7.93710 1.0193e+01 3.944300 4.8329e-01 1.3147e+00 2.146200 0.779380
1674 0.36680 1.6083e+00 0.384300 4.3168e-02 1.2810e-01 0.213030 0.384300
1675 0.21027 2.1021e+00 0.604550 7.2428e-02 2.0152e-01 0.330610 0.604550
1676 2.47910 6.2719e+00 0.644460 1.2889e-01 2.1849e-01 0.297070 0.348980
1677 6.50000 1.2471e+01 3.492000 4.0954e-01 1.1640e+00 1.918500 0.691260
1678 0.71452 1.5583e+00 0.423000 2.6262e-02 1.4100e-01 0.255740 0.423000
1679 0.27249 3.1095e+00 0.234880 4.0923e-02 7.8294e-02 0.115670 0.234880
1680 0.25237 2.8556e+00 0.174320 1.8708e-02 5.8559e-02 0.097053 0.174320
1681 0.87627 2.8521e+00 0.348500 3.2428e-02 1.2048e-01 0.195580 0.348500
1682 57.20200 2.2397e+01 21.359000 1.6390e+00 7.1195e+00 12.600000 1.476100
1683 0.83454 2.9083e+00 0.396980 7.7171e-02 1.3233e-01 0.187480 0.396980
1684 0.64034 1.7595e+00 0.425050 3.4822e-02 1.4168e-01 0.248540 0.425050
1685 71.19000 3.4085e+01 24.303000 2.2272e+00 8.0999e+00 13.976000 1.093000
1686 66.33200 6.7746e+01 17.930000 2.0617e+00 5.9768e+00 9.891900 0.623330
1687 4.88090 6.1123e+00 3.107400 1.9924e-01 1.0266e+00 1.881500 0.733930
1688 0.25554 1.5521e+00 0.320210 2.2128e-02 1.0674e-01 0.191350 0.320210
1689 4.96060 2.7051e+00 3.711400 5.2888e-03 6.8801e-01 3.018100 1.150800
1690 0.85771 2.3036e+00 0.467960 6.5616e-02 1.5599e-01 0.246360 0.467960
1691 8.74000 8.4803e+00 7.480600 6.3086e-01 2.4950e+00 4.354700 2.355000
1692 0.65987 2.0044e+00 0.378870 7.7117e-02 1.2629e-01 0.175470 0.378870
1693 0.19408 1.3021e+00 0.383830 3.6524e-02 1.2771e-01 0.219600 0.383830
1694 3.67160 6.1696e+00 2.558500 3.3852e-01 8.5282e-01 1.367100 1.093100
1695 49.21600 2.7568e+01 14.360000 1.0493e+00 4.7448e+00 8.565800 0.714040
1696 10.23900 1.2258e+01 5.048900 5.9834e-01 1.6830e+00 2.767600 0.864120
1697 0.16218 1.6583e+00 0.464310 5.4828e-02 1.5477e-01 0.254710 0.464310
1698 6.86270 9.9039e+00 1.145100 1.0262e-01 3.7854e-01 0.663950 0.217310
1699 1.13360 3.2426e+00 0.832650 1.0253e-01 2.8757e-01 0.442560 0.778280
1700 4.40090 8.0611e+00 5.524300 5.7419e-01 2.0090e+00 2.941100 2.310000
1701 1.14750 1.8072e+00 1.193300 8.4091e-02 4.0360e-01 0.705580 1.193300
1702 28.84300 2.3971e+01 13.463000 1.5471e+00 4.5072e+00 7.408400 1.582400
1703 0.35803 1.9548e+00 0.586380 8.9012e-02 1.9546e-01 0.301910 0.586380
1704 0.45072 1.8083e+00 0.395930 4.8213e-02 1.3198e-01 0.215740 0.395930
1705 1.05820 2.1537e+00 0.422290 5.1374e-02 1.4123e-01 0.229690 0.422290
1706 203.40000 6.8648e+01 55.740000 5.7452e+00 1.8589e+01 31.407000 1.829400
1707 7.95960 9.4899e+00 6.494300 8.1354e-01 2.1648e+00 3.516000 1.414500
1708 5.58340 1.0367e+01 3.820400 5.0131e-01 1.2735e+00 2.045600 0.872000
1709 328.52000 8.3316e+01 76.143000 5.6567e+00 2.5381e+01 45.105000 2.362100
1710 412.75000 1.1265e+02 105.880000 8.4752e+00 3.5295e+01 62.114000 2.851100
1711 354.02000 1.1876e+02 89.130000 9.5755e+00 2.9707e+01 49.847000 2.225400
1712 475.20000 1.3240e+02 102.100000 1.3129e+01 3.4094e+01 54.880000 2.897900
1713 4.36590 6.7622e+00 3.461200 2.8440e-01 1.1539e+00 2.022900 1.125500
1714 0.19438 1.7536e+00 0.518900 8.8686e-02 1.7297e-01 0.257250 0.518900
1715 4.27200 9.8709e+00 1.379200 2.4177e-01 4.5972e-01 0.677670 0.418020
1716 0.73454 1.7056e+00 1.290500 1.1686e-01 4.3019e-01 0.743440 1.290500
1717 0.21017 1.7544e+00 0.180030 2.2118e-02 6.0011e-02 0.097905 0.180030
1718 0.42638 4.2044e+00 0.621040 8.6334e-02 2.3591e-01 0.298800 0.621040
1719 8.22670 9.8955e+00 3.108500 3.1320e-01 1.0350e+00 1.760300 0.543170
1720 887.70000 2.3966e+02 210.290000 2.4323e+01 7.0097e+01 115.870000 3.689300
1721 30.47600 1.8964e+01 18.848000 1.1892e+00 6.6241e+00 11.034000 2.718000
1722 0.49584 1.6521e+00 0.361730 5.6526e-02 1.2058e-01 0.184630 0.361730
1723 0.47081 1.9548e+00 0.452460 6.1250e-02 1.5082e-01 0.240390 0.452460
1724 1009.30000 2.5695e+02 236.150000 2.5343e+01 7.9149e+01 131.660000 3.898400
1725 9.93150 1.1755e+01 6.726600 8.2112e-01 2.2422e+00 3.663300 1.222300
1726 635.14000 2.0941e+02 154.930000 1.8520e+01 5.1643e+01 84.766000 2.979400
1727 4.87580 6.7635e+00 2.274900 2.2091e-01 7.5634e-01 1.297700 0.564660
1728 1.28930 2.0340e+00 0.918170 4.8522e-02 3.2174e-01 0.547900 0.746300
1729 194.97000 6.7133e+01 62.781000 4.4496e+00 2.1017e+01 37.314000 2.751200
1730 1132.40000 2.3248e+02 232.480000 9.5908e+00 8.0629e+01 142.260000 4.353900
1731 7.78540 1.0313e+01 1.201300 1.6540e-01 4.0060e-01 0.635320 0.200220
1732 0.29527 3.1107e+00 0.869320 8.7747e-02 3.1426e-01 0.467310 0.869320
1733 0.93824 2.1607e+00 0.474290 6.5215e-02 1.5810e-01 0.250980 0.474290
1734 949.90000 2.2760e+02 224.260000 1.9122e+01 7.5384e+01 129.760000 3.934400
1735 6.82830 1.0112e+01 3.784800 5.9623e-01 1.2616e+00 1.927000 0.903740
1736 36.02900 2.7607e+01 20.460000 1.7623e+00 7.6239e+00 11.074000 2.498200
1737 0.23779 4.4583e+00 0.139620 2.1334e-02 4.6612e-02 0.071674 0.139620
1738 2.06590 3.4450e+00 0.781570 1.1206e-01 2.6204e-01 0.407470 0.433470
1739 1097.10000 2.1842e+02 220.330000 5.0034e+00 7.6133e+01 139.200000 4.269200
1740 9.39770 1.5948e+01 3.901000 4.2517e-01 1.3003e+00 2.175500 0.650170
1741 8.59740 1.1872e+01 2.849000 4.5258e-01 9.5005e-01 1.446400 0.474830
1742 6.84590 7.5722e+00 1.772100 1.3050e-01 5.6826e-01 1.073400 0.322180
1743 0.17517 2.0036e+00 0.392300 8.2709e-02 1.3077e-01 0.178820 0.392300
1744 0.85033 2.0036e+00 0.343720 4.2451e-02 1.1457e-01 0.186700 0.343720
1745 1.15550 2.1339e+00 0.450090 2.9200e-02 1.5017e-01 0.270730 0.380750
1746 4.13810 8.6986e+00 0.579730 1.2207e-01 1.9324e-01 0.264410 0.306480
1747 0.23200 1.7107e+00 0.497450 3.8537e-02 1.6990e-01 0.289010 0.497450
1748 9.79400 1.1475e+01 5.490000 4.9231e-01 1.8300e+00 3.167700 0.915000
1749 1.38570 2.7993e+00 0.406940 5.0886e-02 1.3565e-01 0.220410 0.306820
1750 0.72716 1.6107e+00 0.470380 3.7678e-02 1.5820e-01 0.274510 0.470380
1751 0.19660 1.4544e+00 0.508220 6.6949e-02 1.6941e-01 0.271870 0.508220
1752 69.24500 5.0501e+01 22.229000 2.8294e+00 7.4098e+00 11.990000 1.128200
1753 50.45800 4.0525e+01 21.291000 2.0671e+00 7.0970e+00 12.127000 1.286900
1754 1.43670 2.5129e+00 0.587840 6.1231e-02 1.9595e-01 0.330660 0.504280
1755 0.90348 1.9068e+00 0.578430 7.4130e-02 1.9281e-01 0.311490 0.578430
1756 15.33600 9.0162e+00 8.700700 5.4195e-01 2.8988e+00 5.259900 1.450100
1757 2.32460 5.6334e+00 3.459900 4.9351e-01 1.2551e+00 1.711300 2.593700
1758 6.05650 9.5289e+00 9.528900 7.6987e-01 3.5493e+00 5.209800 3.299300
1759 13.03500 1.4803e+01 3.911800 4.9413e-01 1.3039e+00 2.113700 0.514050
1760 6.51320 1.1574e+01 2.382700 5.9596e-01 7.9422e-01 0.992480 0.510630
1761 42.32600 2.1147e+01 16.462000 1.0360e+00 5.4853e+00 9.940500 1.290400
1762 0.40334 1.9060e+00 0.204890 3.2812e-02 6.8296e-02 0.103780 0.204890
1763 1067.10000 2.7012e+02 204.210000 1.7829e+01 6.8097e+01 118.280000 2.670900
1764 4.07470 5.6793e+00 1.315800 1.1594e-01 4.3834e-01 0.761530 0.433450
1765 6.13220 6.7286e+00 4.568800 4.2106e-01 1.5230e+00 2.624800 1.449600
1766 3.10040 5.3496e+00 1.176800 1.1313e-01 3.9225e-01 0.671370 0.469460
1767 0.97752 2.4037e+00 0.644630 1.1230e-01 2.1488e-01 0.317460 0.644630
1768 7.87150 1.0074e+01 3.087000 4.1720e-01 1.0290e+00 1.640800 0.590590
1769 0.69442 2.7521e+00 0.353030 3.4239e-02 1.1940e-01 0.199390 0.353030
1770 0.24986 1.9607e+00 0.633890 8.5695e-02 2.1130e-01 0.336900 0.633890
1771 814.13000 2.1299e+02 170.220000 1.7407e+01 5.7199e+01 95.616000 3.461200
1772 0.43234 1.7548e+00 0.554470 6.5147e-02 1.8482e-01 0.304500 0.554470
1773 3.39070 7.3623e+00 0.466560 6.1659e-02 1.5553e-01 0.249370 0.153560
1774 72.34800 3.2455e+01 29.348000 2.8762e+00 9.8693e+00 16.603000 3.115700
1775 0.61249 2.9595e+00 0.871990 1.5754e-01 2.9066e-01 0.423790 0.871990
1776 174.65000 6.1948e+01 40.501000 4.3195e+00 1.3500e+01 22.681000 1.499300
1777 1963.80000 3.7216e+02 379.020000 9.6194e+00 1.3736e+02 232.040000 3.924100
1778 3.05160 4.6048e+00 4.191000 5.7775e-01 1.4525e+00 2.160800 4.191000
1779 3.57690 8.3554e+00 0.817160 1.1204e-01 2.7239e-01 0.432730 0.314970
1780 0.71521 2.1083e+00 0.402900 2.6508e-02 1.4275e-01 0.233640 0.402900
1781 21.59800 1.5570e+01 8.937500 4.7862e-01 2.8998e+00 5.559100 0.744790
1782 8.82820 1.0919e+01 4.642600 5.4322e-01 1.5475e+00 2.551800 0.773760
1783 2.15320 4.6978e+00 0.601830 6.9357e-02 2.0439e-01 0.328090 0.370790
1784 16.12900 1.6925e+01 5.264400 4.5228e-01 1.7548e+00 3.057300 0.661990
1785 0.90701 2.7107e+00 1.140700 1.0642e-01 4.3148e-01 0.602800 1.140700
1786 2.03660 3.8390e+00 0.750550 7.4852e-02 2.5329e-01 0.422420 0.440310
1787 0.17564 1.3595e+00 0.450050 3.4147e-02 1.5002e-01 0.265890 0.450050
1788 506.55000 1.7023e+02 103.020000 1.4207e+01 3.4366e+01 54.446000 2.283600
1789 7.76970 1.3402e+01 5.498000 7.3307e-01 1.8327e+00 2.932300 1.223400
1790 0.57444 1.8060e+00 0.359520 3.5959e-02 1.1984e-01 0.203720 0.359520
1791 7.93220 8.6399e+00 3.526900 2.0633e-01 1.1756e+00 2.145000 0.598450
1792 50.10200 3.4608e+01 8.304600 7.4652e-01 2.6925e+00 4.865600 0.399620
1793 1.09630 2.0106e+00 0.116780 1.1850e-02 3.6684e-02 0.068250 0.110480
1794 2.27640 7.1531e+00 1.045400 2.3546e-01 3.4847e-01 0.461490 0.483000
1795 0.62692 3.4107e+00 1.287000 1.7159e-01 4.5128e-01 0.664120 1.287000
1796 20.01500 1.4180e+01 13.651000 1.1478e+00 4.5503e+00 7.952800 2.275100
1797 1.53530 3.5354e+00 1.051600 1.3003e-01 3.5688e-01 0.564740 0.872130
1798 326.69000 1.2184e+02 130.390000 2.9316e+00 4.8114e+01 79.342000 4.239700
1799 0.36045 2.0607e+00 0.685560 6.5706e-02 2.4224e-01 0.377620 0.685560
1800 16.56600 1.8494e+01 9.800800 1.1241e+00 3.3397e+00 5.337000 1.633500
1801 788.74000 1.6502e+02 162.820000 1.4342e+01 5.5176e+01 93.304000 3.716400
1802 2.29260 5.2836e+00 2.356700 4.5104e-01 7.8557e-01 1.120100 1.014400
1803 0.29920 1.7595e+00 0.327260 4.1693e-02 1.0909e-01 0.176480 0.327260
1804 2.07720 4.2214e+00 0.635790 9.5899e-02 2.1193e-01 0.327960 0.314060
1805 165.77000 7.4523e+01 37.616000 5.2762e+00 1.2539e+01 19.801000 1.297100
1806 15.84000 1.5658e+01 9.938900 7.7774e-01 3.3711e+00 5.790100 1.656500
1807 31.65100 2.1233e+01 6.114400 6.0273e-01 2.0329e+00 3.478800 0.409780
1808 0.50178 1.8595e+00 0.426870 5.0671e-02 1.4229e-01 0.233910 0.426870
1809 7.65630 1.5877e+01 1.883800 3.0719e-01 6.2793e-01 0.948680 0.313970
1810 1.40090 1.7591e+00 0.363520 3.2918e-02 1.2085e-01 0.209760 0.363520
1811 595.03000 1.7013e+02 143.300000 1.4228e+01 4.7768e+01 81.307000 2.784900
1812 1.98690 4.0687e+00 1.132500 1.2366e-01 3.8784e-01 0.621000 0.705860
1813 0.42230 3.8095e+00 0.997350 1.4185e-01 3.3838e-01 0.517120 0.997350
1814 1.23590 2.5381e+00 0.305080 5.0716e-02 1.0169e-01 0.152670 0.259410
1815 32.91600 1.9379e+01 16.619000 1.4858e+00 5.5396e+00 9.593400 1.984400
1816 1227.30000 2.8497e+02 284.970000 8.8825e+00 9.7117e+01 178.970000 4.353400
1817 12.26800 1.6397e+01 5.834500 6.9890e-01 1.9448e+00 3.190800 0.972420
1818 17.61700 1.2243e+01 6.690600 1.0116e+00 2.2302e+00 3.448800 1.141000
1819 6.76270 9.7344e+00 1.222800 1.2614e-01 4.0640e-01 0.690230 0.234710
1820 0.60762 2.1107e+00 0.603240 8.0082e-02 2.0108e-01 0.322080 0.603240
1821 7.37420 1.0891e+01 3.655200 6.6788e-01 1.2185e+00 1.768800 0.698990
1822 5.06650 8.6281e+00 4.076400 3.7470e-01 1.3588e+00 2.342900 0.981410
1823 1.23650 1.8560e+00 0.485100 5.9264e-02 1.6171e-01 0.264130 0.485100
1824 0.49817 1.6521e+00 0.296800 2.0393e-02 9.9099e-02 0.177310 0.296800
1825 2.93870 5.7721e+00 2.288800 1.9665e-01 7.6293e-01 1.329200 0.860800
1826 0.62582 2.2083e+00 0.697730 7.2345e-02 2.3753e-01 0.387850 0.697730
1827 0.42024 2.1107e+00 0.640740 9.0630e-02 2.1358e-01 0.336530 0.640740
1828 14.65100 1.4302e+01 9.312400 7.1914e-01 3.1041e+00 5.489100 1.552100
1829 1275.00000 2.9635e+02 296.350000 1.1210e+01 1.0145e+02 183.690000 4.365500
1830 17.00400 1.2911e+01 7.550100 7.2408e-01 2.5167e+00 4.309300 1.151900
1831 16.86800 1.9893e+01 5.867500 4.6680e-01 1.9558e+00 3.444900 0.619670
1832 4.41880 8.0844e+00 4.311900 3.2213e-01 1.4510e+00 2.538800 1.378400
1833 10.31500 9.4991e+00 5.319100 6.4282e-01 1.7730e+00 2.903200 1.534600
1834 0.14314 1.9536e+00 0.314950 6.6058e-02 1.0498e-01 0.143910 0.314950
1835 8.79940 1.3561e+01 5.560100 4.3468e-01 1.8697e+00 3.255700 1.013500
1836 5.49350 1.0886e+01 2.938000 4.1337e-01 9.7934e-01 1.545300 0.663490
1837 605.81000 1.6018e+02 150.180000 1.4775e+01 5.0290e+01 85.113000 3.797700
1838 16.44000 1.0646e+01 7.748600 5.4257e-01 2.5829e+00 4.623200 1.446300
1839 53.39100 2.8147e+01 17.142000 2.1315e+00 5.7142e+00 9.296800 1.725900
1840 0.22830 2.6021e+00 0.626770 8.7764e-02 2.0892e-01 0.330080 0.626770
1841 2.43040 6.8900e+00 6.072500 9.1431e-01 2.2062e+00 2.952000 3.985800
1842 1.31220 4.0476e+00 1.765300 1.6947e-01 6.7969e-01 0.916110 1.370900
1843 6.09050 8.7536e+00 3.345800 4.8112e-01 1.1279e+00 1.736800 0.859370
1844 1.76810 4.3791e+00 0.566650 9.1225e-02 1.8888e-01 0.286540 0.382070
1845 57.08500 2.0268e+01 18.086000 1.6868e+00 6.0287e+00 10.371000 1.573500
1846 0.63516 2.1544e+00 0.314050 2.7261e-02 1.0472e-01 0.182070 0.314050
1847 42.60600 1.9425e+01 17.404000 1.2944e+00 5.8013e+00 10.308000 2.093900
1848 4.80610 9.4660e+00 1.644800 2.9349e-01 5.4825e-01 0.803020 0.471610
1849 0.88835 1.4556e+00 0.446890 3.1571e-02 1.4896e-01 0.266350 0.446890
1850 0.25760 1.8083e+00 0.389410 4.8888e-02 1.2980e-01 0.210720 0.389410
1851 0.42021 1.6521e+00 0.465120 6.4090e-02 1.5502e-01 0.246010 0.465120
1852 0.31191 2.0036e+00 1.068100 9.5391e-02 4.1312e-01 0.559550 1.068100
1853 0.51492 2.1107e+00 0.682730 1.7036e-01 2.2758e-01 0.284790 0.682730
1854 0.18943 2.1595e+00 0.497270 7.3553e-02 1.6576e-01 0.257960 0.497270
1855 13.99800 9.8288e+00 7.466600 6.4632e-01 2.4889e+00 4.331400 1.720600
1856 0.35195 1.4056e+00 0.325570 2.2560e-02 1.0852e-01 0.194490 0.325570
1857 0.69142 2.5033e+00 0.682930 9.6542e-02 2.2764e-01 0.358740 0.682930
1858 1.86940 3.9056e+00 0.657640 1.1567e-01 2.1921e-01 0.322760 0.369840
1859 1.47820 2.5374e+00 0.523970 1.1659e-01 1.7466e-01 0.232730 0.506330
1860 0.47115 1.6607e+00 0.404600 4.9079e-02 1.3487e-01 0.220650 0.404600
1861 2.66420 6.0631e+00 1.399000 1.5921e-01 5.2128e-01 0.718550 0.671650
1862 0.64304 2.5083e+00 0.605610 9.8964e-02 2.0187e-01 0.304780 0.605610
1863 0.25505 1.7068e+00 0.301910 2.3307e-02 1.0004e-01 0.178560 0.301910
1864 36.09600 3.1254e+01 12.922000 1.7823e+00 4.3074e+00 6.832600 1.084500
1865 0.99329 3.0595e+00 0.805900 1.0477e-01 2.6863e-01 0.432500 0.805900
1866 5.79270 1.1487e+01 3.575700 4.4592e-01 1.1919e+00 1.937900 0.774520
1867 20.11900 1.1898e+01 9.903700 1.1571e+00 3.3018e+00 5.444900 1.767300
1868 6.10700 5.9528e+00 0.554560 1.0267e-02 1.5084e-01 0.393460 0.132680
1869 1.41340 1.4060e+00 1.264900 8.6936e-02 4.3661e-01 0.741380 1.264900
1870 2.15990 2.4736e+00 0.704780 6.6650e-02 2.3482e-01 0.403310 0.442550
1871 0.36093 1.7095e+00 0.428060 5.9933e-02 1.4283e-01 0.225300 0.428060
1872 0.70674 1.4556e+00 0.132320 7.3696e-03 4.1927e-02 0.083025 0.132320
1873 1.41500 1.8999e+00 0.512320 4.1230e-02 1.7042e-01 0.300670 0.432010
1874 0.78334 1.8083e+00 0.537290 4.5210e-02 1.8277e-01 0.309310 0.537290
1875 445.23000 1.1711e+02 95.446000 1.0862e+01 3.1844e+01 52.740000 2.679900
1876 21.61000 1.3668e+01 10.900000 8.9421e-01 3.6345e+00 6.371000 1.960000
1877 3.41250 3.6241e+00 2.863000 2.7200e-01 9.5436e-01 1.636700 0.949670
1878 251.37000 7.0957e+01 66.137000 5.9638e+00 2.2046e+01 38.128000 1.768900
1879 0.35914 1.7083e+00 0.382410 2.7772e-02 1.2747e-01 0.227170 0.382410
1880 2.06040 3.7619e+00 0.589950 5.9447e-02 1.9991e-01 0.330590 0.361430
1881 3.43060 2.6204e+00 1.793300 1.0006e-01 5.6480e-01 1.128400 0.655050
1882 397.14000 1.5609e+02 100.330000 1.2152e+01 3.3593e+01 54.581000 2.103300
1883 0.36178 1.7095e+00 0.338600 4.0030e-02 1.1287e-01 0.185700 0.338600
1884 0.20187 1.6021e+00 0.339390 5.1253e-02 1.1313e-01 0.175010 0.339390
1885 3.41060 5.2873e+00 1.548600 2.0681e-01 5.1618e-01 0.825560 0.693210
1886 169.08000 9.1943e+01 43.695000 4.6846e+00 1.4584e+01 24.427000 1.329000
litter carbon_storage carbon_biometry multiplier_seed hurt NPPneg
1 91.77700 2.1387e-05 8.6667e+00 1 0 0
2 834.60000 1.3741e+04 1.3861e+02 1 0 0
3 61.88300 9.3309e-02 2.6021e+01 1 0 0
4 5.65080 4.1700e-07 4.5070e-03 1 0 0
5 13.12700 8.5086e-07 2.1729e+00 1 0 0
6 30.07300 0.0000e+00 1.2807e+01 1 0 0
7 40.55300 0.0000e+00 1.3260e+01 1 0 0
8 348.65000 1.7907e+03 1.3261e+02 1 0 0
9 28.32300 1.4393e-05 1.1658e+01 1 0 0
10 405.54000 3.1953e-05 7.2065e+01 1 0 0
11 502.61000 1.0964e+03 1.4608e+02 1 0 0
12 112.02000 6.3738e-02 5.4893e+01 1 0 0
13 0.56591 0.0000e+00 1.0805e-08 1 0 0
14 2.99480 2.8592e-08 0.0000e+00 1 0 0
15 6.37740 5.5744e-07 6.9138e-01 1 0 0
16 7.18000 8.5414e-02 8.4380e-01 1 0 0
17 10.86500 8.7911e-02 4.3463e+00 1 0 0
18 38.21000 0.0000e+00 0.0000e+00 1 0 0
19 132.73000 3.8654e+00 8.1861e+01 1 0 0
20 2.90220 1.0756e-01 5.7660e-01 1 0 0
21 12.48200 1.0857e-01 4.5309e+00 1 0 0
22 50.68600 1.9812e-05 3.3183e+01 1 0 0
23 29.84900 2.6026e-06 3.5618e+00 1 0 0
24 131.24000 1.2843e-05 9.3678e-01 1 0 0
25 2.92240 0.0000e+00 2.5689e-03 1 0 0
26 2970.90000 1.3262e-04 1.0903e+03 1 0 0
27 56.97600 2.7783e-06 1.8427e+01 1 0 0
28 618.99000 1.6992e+03 1.3626e+02 1 0 0
29 41.59900 7.5070e-06 8.3382e-01 1 0 0
30 114.35000 0.0000e+00 3.5249e+01 1 0 0
31 2665.60000 1.7437e+04 8.6697e+02 1 0 0
32 1.78920 0.0000e+00 0.0000e+00 1 0 0
33 915.43000 1.4678e+04 3.4448e+02 1 0 0
34 1099.50000 4.7805e+03 6.2030e+02 1 0 0
35 15.38900 0.0000e+00 0.0000e+00 1 0 0
36 95.18800 0.0000e+00 4.4656e+01 1 0 0
37 97.01400 2.0383e+01 3.7210e+01 1 0 0
38 60.72000 8.8854e-02 3.6921e+01 1 0 0
39 67.33800 3.1084e-05 2.1600e+01 1 0 0
40 10.81400 9.9980e-02 1.2049e+00 1 0 0
41 3057.30000 2.2902e-02 1.1645e+03 1 0 0
42 6.80990 7.9342e-02 1.2791e+00 1 0 0
43 694.12000 7.2798e+01 2.0264e+02 1 0 0
44 1113.10000 1.3999e+03 4.8464e+02 1 0 0
45 91.22700 2.6500e+01 2.6679e+01 1 0 0
46 14.23900 0.0000e+00 0.0000e+00 1 0 0
47 28.16900 9.1483e-06 1.1175e+00 1 0 0
48 6.50090 8.7913e-02 1.8376e+00 1 0 0
49 54.26300 1.3009e-01 1.2100e+01 1 0 0
50 136.49000 0.0000e+00 4.6803e+00 1 0 0
51 6.76890 7.9334e-02 1.6434e+00 1 0 0
52 6.62960 8.2014e-02 6.2297e-01 1 0 0
53 47.79300 5.6356e+01 2.3581e+01 1 0 0
54 3254.70000 0.0000e+00 1.2040e+03 1 0 0
55 70.98900 5.1465e+01 1.6590e+01 1 0 0
56 5.76460 0.0000e+00 2.2148e-01 1 0 0
57 62.38800 1.5460e-06 0.0000e+00 1 0 0
58 2921.10000 4.2692e+04 2.2840e+03 1 0 0
59 77.01300 0.0000e+00 4.1571e+00 1 0 0
60 302.49000 1.9685e-05 7.0698e+01 1 0 0
61 67.20000 7.9732e-02 4.1950e+00 1 0 0
62 52.01000 9.2589e-02 3.1187e+01 1 0 0
63 63.30300 8.7466e+00 6.5887e+00 1 0 0
64 775.22000 3.2516e-05 2.4587e+02 1 0 0
65 9.57220 0.0000e+00 0.0000e+00 1 0 0
66 63.55100 1.1875e-01 1.6010e+01 1 0 0
67 48.75500 0.0000e+00 2.0030e+01 1 0 0
68 376.85000 8.4440e-05 1.6034e+01 1 0 0
69 2.70130 9.3407e-07 9.6416e-02 1 0 0
70 44.28500 2.3190e-06 2.8680e+00 1 0 0
71 1937.00000 3.9741e+04 1.0615e+03 1 0 0
72 29.21200 9.1354e-06 1.3149e+01 1 0 0
73 33.14100 6.2042e-06 1.7914e+01 1 0 0
74 1.70170 9.1059e-08 0.0000e+00 1 0 0
75 4.70980 9.7466e-02 5.8904e-01 1 0 0
76 60.56200 5.1499e+01 2.5908e-06 1 0 0
77 25.49600 0.0000e+00 1.5299e-06 1 0 0
78 28.12100 1.0670e-01 4.9906e+00 1 0 0
79 50.05700 3.5835e-05 7.7458e+00 1 0 0
80 17.30100 9.5136e-07 0.0000e+00 1 0 0
81 124.73000 1.4523e-01 3.8636e+01 1 0 0
82 9.90560 9.4633e-02 4.1905e+00 1 0 0
83 4.36430 7.7573e-08 1.0760e-07 1 0 0
84 9.67720 4.1622e-07 3.0374e-01 1 0 0
85 99.95400 3.4663e-05 3.6154e+01 1 0 0
86 5.20980 1.3396e-06 7.6812e-01 1 0 0
87 1.73150 0.0000e+00 0.0000e+00 1 0 0
88 17.80700 1.0751e-01 2.3673e+00 1 0 0
89 1.50980 4.8742e-07 1.2887e-02 1 0 0
90 24.47100 3.9937e-06 5.5440e-01 1 0 0
91 3144.40000 2.1285e+03 1.1560e+03 1 0 0
92 60.48800 5.6040e-06 1.5416e+01 1 0 0
93 3.08850 4.0354e-08 5.7819e-02 1 0 0
94 18.35300 6.7818e-07 9.0424e-07 1 0 0
95 92.55500 0.0000e+00 4.2687e+01 1 0 0
96 65.36800 9.5855e-06 2.1739e+01 1 0 0
97 67.11500 3.0145e-05 2.3297e+01 1 0 0
98 37.82800 9.2716e-02 6.2316e+00 1 0 0
99 155.47000 1.6395e+02 3.8551e+01 1 0 0
100 2.34150 1.0384e-01 7.3576e-01 1 0 0
101 4.08530 9.4655e-02 1.4752e+00 1 0 0
102 1028.80000 1.5017e-05 0.0000e+00 1 0 0
103 64.80400 3.2926e-05 5.2482e+00 1 0 0
104 0.95796 9.3329e-09 0.0000e+00 1 0 0
105 3.35860 6.0342e-07 2.4674e-01 1 0 0
106 1.20600 0.0000e+00 3.8584e-08 1 0 0
107 2820.70000 5.0877e+04 1.2326e+03 1 0 0
108 59.45000 1.3927e+02 1.6138e+01 1 0 0
109 15.01400 5.2820e-06 1.2129e+00 1 0 0
110 26.32000 0.0000e+00 1.8073e+01 1 0 0
111 5.98940 5.6710e-02 2.5300e+00 1 0 0
112 183.99000 1.2606e-05 5.4688e+00 1 0 0
113 67.55900 5.0797e+01 3.3348e+00 1 0 0
114 91.01500 8.1010e+01 4.4846e+01 1 0 0
115 47.64500 0.0000e+00 2.7389e+00 1 0 0
116 51.11900 6.4023e-02 1.1095e+01 1 0 0
117 53.50400 9.1325e-02 1.1229e+01 1 0 0
118 9.30710 0.0000e+00 0.0000e+00 1 0 0
119 127.33000 7.9245e-02 5.2971e+01 1 0 0
120 204.91000 5.9950e-05 7.4266e+01 1 0 0
121 526.59000 2.2751e+02 2.0106e+02 1 0 0
122 306.04000 9.9555e+01 1.2894e+02 1 0 0
123 10.67300 0.0000e+00 3.7676e+00 1 0 0
124 5.34670 0.0000e+00 0.0000e+00 1 0 0
125 2858.40000 9.9805e-03 9.9777e+02 1 0 0
126 4.49500 9.2515e-02 1.2793e+00 1 0 0
127 3.43840 0.0000e+00 4.3683e-03 1 0 0
128 34.38300 2.7583e-06 2.1670e+00 1 0 0
129 432.09000 1.0182e-04 4.3806e+01 1 0 0
130 63.66500 0.0000e+00 2.6710e-07 1 0 0
131 36.20600 1.3187e-06 1.4336e+00 1 0 0
132 368.99000 1.2833e+03 1.0788e+02 1 0 0
133 317.57000 5.3581e+02 1.5288e+02 1 0 0
134 62.25500 1.5743e+01 2.3371e+01 1 0 0
135 3254.60000 6.4194e-03 1.1689e+03 1 0 0
136 54.45600 4.4147e-06 5.2035e+00 1 0 0
137 10.76200 1.0756e-01 5.1551e+00 1 0 0
138 3.17340 4.0890e-07 1.6444e-01 1 0 0
139 23.47500 7.9953e-02 7.8959e+00 1 0 0
140 51.30400 1.7727e-06 0.0000e+00 1 0 0
141 54.09100 6.3919e-06 3.5702e+00 1 0 0
142 5.72110 0.0000e+00 0.0000e+00 1 0 0
143 7.84760 8.8939e-02 1.1959e+00 1 0 0
144 6.19270 2.8966e-01 2.4182e+00 1 0 0
145 3.57110 0.0000e+00 0.0000e+00 1 0 0
146 19.25600 0.0000e+00 0.0000e+00 1 0 0
147 45.03900 9.1343e-02 1.7049e+01 1 0 0
148 499.85000 3.3688e+03 3.0518e+02 1 0 0
149 10.24700 3.9463e-07 7.0872e-07 1 0 0
150 861.29000 1.0911e-04 2.1878e+02 1 0 0
151 6.18850 1.1133e-01 2.4869e+00 1 0 0
152 19.75400 2.5754e-06 2.2029e+00 1 0 0
153 43.58600 1.4743e-01 3.3487e+01 1 0 0
154 5.23070 1.7517e-06 6.5134e-01 1 0 0
155 9.10060 0.0000e+00 0.0000e+00 1 0 0
156 21.65700 3.3491e-06 1.1942e+01 1 0 0
157 60.18900 3.0369e+01 1.2144e+01 1 0 0
158 4.10820 0.0000e+00 3.4811e-01 1 0 0
159 5.83030 1.0707e-01 8.2294e-01 1 0 0
160 1031.40000 6.2236e-02 1.7612e+02 1 0 0
161 94.34600 1.2005e+01 1.3470e+01 1 0 0
162 2.70620 9.6497e-08 5.6648e-01 1 0 0
163 118.76000 1.4270e-05 4.2724e+01 1 0 0
164 11.22000 9.2692e-02 5.4011e+00 1 0 0
165 23.16500 9.0705e-07 0.0000e+00 1 0 0
166 31.13900 0.0000e+00 0.0000e+00 1 0 0
167 15.89800 0.0000e+00 6.5495e-07 1 0 0
168 79.75800 4.3940e-06 3.5709e+01 1 0 0
169 7.24770 0.0000e+00 0.0000e+00 1 0 0
170 7.87470 8.8922e-02 1.3551e+00 1 0 0
171 29.58800 9.4568e-02 3.5242e+00 1 0 0
172 25.99400 1.1004e+01 2.8676e+00 1 0 0
173 11.17100 2.8962e-01 6.8621e+00 1 0 0
174 79.13400 1.0316e-01 8.8821e+00 1 0 0
175 13.45900 9.3143e-07 8.1208e-01 1 0 0
176 14.68000 9.3632e-02 1.8047e+00 1 0 0
177 9.05430 1.3292e-07 4.5932e+00 1 0 0
178 3.67940 1.7896e-07 5.0981e-01 1 0 0
179 75.70400 0.0000e+00 5.2900e+00 1 0 0
180 61.54900 4.1341e+01 3.7737e+01 1 0 0
181 5.37030 3.1197e-07 2.7651e+00 1 0 0
182 533.00000 7.0760e+03 8.9169e+02 1 0 0
183 137.77000 1.2487e+02 1.5432e+01 1 0 0
184 6.92120 1.6659e-07 1.4017e+00 1 0 0
185 161.15000 9.4217e-02 6.9957e+01 1 0 0
186 2.22290 2.8717e-09 5.4562e-08 1 0 0
187 4.58200 1.0755e-01 1.5312e+00 1 0 0
188 4.58080 3.9744e-02 5.0755e+00 1 0 0
189 6.11430 2.4317e-07 4.0750e+00 1 0 0
190 3.53660 7.2926e-07 3.8360e+00 1 0 0
191 9.30100 1.3040e-01 5.6843e+00 1 0 0
192 42.19100 2.9612e-06 3.4806e+01 1 0 0
193 8.56580 0.0000e+00 0.0000e+00 1 0 0
194 124.99000 6.3766e-02 6.1794e+01 1 0 0
195 157.69000 8.4969e-02 3.7350e+01 1 0 0
196 90.37800 0.0000e+00 1.3755e+01 1 0 0
197 1.69730 3.7561e-08 0.0000e+00 1 0 0
198 48.96400 1.1127e-01 5.7036e+00 1 0 0
199 56.30800 1.5856e-01 9.3851e+00 1 0 0
200 40.36600 1.7801e+02 0.0000e+00 1 0 0
201 127.81000 4.9178e-06 8.4631e-06 1 0 0
202 2128.30000 1.4850e+04 1.0752e+03 1 0 0
203 40.68700 1.0011e-06 1.4308e+00 1 0 0
204 2.47650 2.8965e-01 1.1825e-01 1 0 0
205 1.37310 0.0000e+00 9.6265e-02 1 0 0
206 36.66400 1.1844e-01 3.9213e+00 1 0 0
207 69.69000 1.8417e+02 6.2874e+00 1 0 0
208 6.06370 1.3369e-06 1.3730e-01 1 0 0
209 1.23030 2.5978e-07 5.1801e-02 1 0 0
210 21.68900 9.2767e-02 1.7940e+01 1 0 0
211 159.10000 0.0000e+00 0.0000e+00 1 0 0
212 13.97000 7.4012e-08 8.0180e-08 1 0 0
213 32.29700 0.0000e+00 2.3497e+01 1 0 0
214 335.93000 1.5838e+03 2.2525e+02 1 0 0
215 66.10500 5.2076e+01 1.4133e+01 1 0 0
216 268.68000 1.5756e-04 9.3876e+01 1 0 0
217 1688.10000 3.0755e-02 6.5070e+02 1 0 0
218 134.05000 1.4492e+02 4.5990e+01 1 0 0
219 5.27890 5.0788e-02 5.1439e+00 1 0 0
220 9.09690 2.6056e-06 1.6150e+01 1 0 0
221 24.57800 9.9309e-02 1.2019e+01 1 0 0
222 22.60800 0.0000e+00 1.9411e+00 1 0 0
223 155.10000 7.4321e+02 1.6802e+02 1 0 0
224 31.11700 0.0000e+00 1.8554e+00 1 0 0
225 65.65100 2.3914e+00 1.8194e+01 1 0 0
226 60.42600 1.4714e-01 1.3380e+01 1 0 0
227 24.57300 1.5144e-07 0.0000e+00 1 0 0
228 1169.40000 6.5333e-02 4.8104e+02 1 0 0
229 4.78110 0.0000e+00 6.4813e-02 1 0 0
230 1758.90000 4.0151e+04 1.9671e+03 1 0 0
231 10.02100 0.0000e+00 5.2252e-01 1 0 0
232 0.77387 2.2089e-08 2.6384e-08 1 0 0
233 15.68400 9.2475e-02 7.2346e+00 1 0 0
234 6.57130 1.4618e-01 3.8813e+00 1 0 0
235 4.38400 9.9979e-02 6.7271e-01 1 0 0
236 418.91000 7.1309e-05 6.2432e+01 1 0 0
237 12.06200 9.7476e-02 8.5707e+00 1 0 0
238 27.38200 2.2703e+01 5.9736e+00 1 0 0
239 11.00500 1.1522e-01 7.4906e+00 1 0 0
240 1.32930 0.0000e+00 0.0000e+00 1 0 0
241 11.16000 1.2544e-01 8.4677e+00 1 0 0
242 1.88820 0.0000e+00 0.0000e+00 1 0 0
243 10.26600 8.8923e-02 1.2830e+01 1 0 0
244 9.11310 1.2543e-01 9.4381e+00 1 0 0
245 6.28220 0.0000e+00 4.2664e+00 1 0 0
246 9.27400 6.1458e-07 6.9387e+00 1 0 0
247 3.57040 1.0178e-07 2.6375e+00 1 0 0
248 5.72850 0.0000e+00 2.4271e-01 1 0 0
249 4.19820 9.3637e-02 2.6949e-01 1 0 0
250 3.33070 1.0832e-07 4.5453e-01 1 0 0
251 15.99400 0.0000e+00 4.3649e-07 1 0 0
252 1.41180 4.2551e-07 4.1185e-01 1 0 0
253 4.80060 1.0755e-01 1.2101e+00 1 0 0
254 37.32300 1.4873e-06 1.6148e-06 1 0 0
255 2.02720 9.8683e-08 5.5283e-02 1 0 0
256 22.71300 9.2665e-02 2.8224e+00 1 0 0
257 46.45200 8.3701e-02 2.0587e+01 1 0 0
258 1997.10000 1.9586e+04 1.1133e+03 1 0 0
259 22.63400 2.8957e-01 1.3267e+01 1 0 0
260 57.01900 0.0000e+00 1.1539e+01 1 0 0
261 58.52100 1.4588e-01 5.2965e+00 1 0 0
262 344.29000 1.2023e+03 1.0890e+01 1 0 0
263 2.01640 1.8337e-07 7.5329e-01 1 0 0
264 41.84200 1.4871e-06 0.0000e+00 1 0 0
265 20.97500 0.0000e+00 5.4482e-01 1 0 0
266 10.84300 0.0000e+00 1.3637e+00 1 0 0
267 42.62100 0.0000e+00 0.0000e+00 1 0 0
268 85.13000 1.9667e-05 1.6189e+01 1 0 0
269 1416.10000 2.8404e+03 6.4284e+02 1 0 0
270 3.88590 0.0000e+00 2.0169e+00 1 0 0
271 171.74000 1.2207e-05 4.0689e-06 1 0 0
272 288.03000 1.2893e+03 1.6137e+02 1 0 0
273 7.58980 1.2638e-07 1.3008e+00 1 0 0
274 9.24320 9.0297e-02 7.6661e+00 1 0 0
275 4.32330 4.2975e-07 3.2442e+00 1 0 0
276 13.41000 6.0597e-07 1.9149e+00 1 0 0
277 3.25710 6.0091e-07 1.5076e-01 1 0 0
278 4.29720 2.2067e-07 0.0000e+00 1 0 0
279 0.89339 2.3922e-08 0.0000e+00 1 0 0
280 2.93540 5.1812e-08 8.3351e-08 1 0 0
281 32.34000 8.1710e-02 3.1206e+00 1 0 0
282 18.20000 9.7462e-02 1.0111e+01 1 0 0
283 2217.50000 4.3560e-02 8.4538e+02 1 0 0
284 51.70300 1.2909e-05 1.3578e+01 1 0 0
285 39.03900 5.5512e-06 2.9178e-01 1 0 0
286 3.40810 2.8361e-08 5.4146e-01 1 0 0
287 8.57920 6.2028e-07 4.5883e+00 1 0 0
288 1664.20000 3.2389e-02 5.4301e+02 1 0 0
289 43.20600 1.9876e-05 2.3625e+01 1 0 0
290 151.12000 8.7087e-02 6.0443e+01 1 0 0
291 18.25400 9.1401e-02 1.0429e+01 1 0 0
292 29.46100 7.9289e-02 1.5317e+01 1 0 0
293 24.83400 8.1780e-07 8.7838e-07 1 0 0
294 29.23200 0.0000e+00 0.0000e+00 1 0 0
295 8.80110 0.0000e+00 0.0000e+00 1 0 0
296 9.24890 1.1138e-01 6.6129e-01 1 0 0
297 9.89240 3.8159e-06 8.3819e+00 1 0 0
298 5.17300 8.7954e-02 5.3325e+00 1 0 0
299 15.79200 6.4026e-02 1.6840e+01 1 0 0
300 174.06000 0.0000e+00 1.5461e+02 1 0 0
301 3.94460 0.0000e+00 4.0149e+00 1 0 0
302 828.46000 6.9079e+03 2.7838e+02 1 0 0
303 2.90400 1.3043e-01 1.0356e+00 1 0 0
304 3.27930 8.0407e-07 3.3581e-01 1 0 0
305 42.22500 9.4474e-02 4.7873e+00 1 0 0
306 24.92600 0.0000e+00 0.0000e+00 1 0 0
307 69.82000 6.9583e-06 3.4572e+00 1 0 0
308 4.43630 1.0684e-01 8.1686e-01 1 0 0
309 78.78300 0.0000e+00 0.0000e+00 1 0 0
310 26.88600 1.6412e-02 2.6994e+00 1 0 0
311 180.69000 1.3035e+02 7.2496e+01 1 0 0
312 3.33790 0.0000e+00 1.0510e-07 1 0 0
313 1810.30000 1.1666e+03 7.6543e+02 1 0 0
314 23.22800 7.8538e-07 0.0000e+00 1 0 0
315 34.25400 1.5136e-06 1.4565e-01 1 0 0
316 9.99700 2.5420e-07 0.0000e+00 1 0 0
317 344.16000 1.8038e+03 9.0917e+01 1 0 0
318 1386.20000 8.6292e+03 6.6966e+02 1 0 0
319 14.46600 2.6973e-06 1.2830e+01 1 0 0
320 1.41820 0.0000e+00 2.8885e-01 1 0 0
321 3.01600 0.0000e+00 0.0000e+00 1 0 0
322 1.15640 0.0000e+00 0.0000e+00 1 0 0
323 236.31000 5.5749e-06 0.0000e+00 1 0 0
324 17.31700 7.6859e-06 1.0416e+00 1 0 0
325 265.65000 1.3149e+02 5.0538e+00 1 0 0
326 1310.30000 3.0669e+02 3.8683e+01 1 0 0
327 10.80100 7.9295e-02 9.5436e-01 1 0 0
328 10.59100 0.0000e+00 0.0000e+00 1 0 0
329 213.83000 7.2652e+02 2.6938e+02 1 0 0
330 8.40550 8.4000e-02 3.0200e+00 1 0 0
331 73.75700 8.8650e-02 2.6346e+01 1 0 0
332 20.91300 8.2013e-02 1.1084e+01 1 0 0
333 46.56100 5.5098e-02 7.9994e+00 1 0 0
334 301.59000 3.4490e+02 6.5500e+01 1 0 0
335 59.21800 0.0000e+00 1.8974e+01 1 0 0
336 10.31800 1.3042e-01 3.1958e+00 1 0 0
337 8.12320 9.4664e-02 4.1099e+00 1 0 0
338 7.20930 6.0793e-07 5.9731e+00 1 0 0
339 37.35300 9.0567e-02 4.4335e+00 1 0 0
340 61.60500 9.2687e-06 8.3285e+00 1 0 0
341 1.72300 0.0000e+00 0.0000e+00 1 0 0
342 18.75100 6.1202e-07 0.0000e+00 1 0 0
343 21.93100 0.0000e+00 1.6508e-06 1 0 0
344 9.68400 9.0660e-02 3.0913e+00 1 0 0
345 6.21700 8.8905e-02 7.5396e-01 1 0 0
346 1.76630 4.1615e-08 0.0000e+00 1 0 0
347 79.37900 2.9210e+01 2.1730e+01 1 0 0
348 4.12080 5.6605e-02 1.5424e+00 1 0 0
349 2168.00000 4.5210e+04 1.2898e+03 1 0 0
350 48.03400 7.7893e-06 2.8078e-01 1 0 0
351 153.87000 1.1033e-06 5.9580e-06 1 0 0
352 2.96390 4.1325e-07 8.3250e-01 1 0 0
353 23.33600 7.4942e-02 8.9669e+00 1 0 0
354 5.14100 1.0436e-06 4.1930e-01 1 0 0
355 160.16000 1.0592e-01 2.6161e+01 1 0 0
356 3.22800 0.0000e+00 4.2158e-02 1 0 0
357 4.14270 0.0000e+00 0.0000e+00 1 0 0
358 5.31020 0.0000e+00 7.8318e-01 1 0 0
359 25.69100 2.3562e-06 1.9307e+00 1 0 0
360 31.95800 5.4426e-06 3.3319e-01 1 0 0
361 4.87430 1.0865e-01 1.5700e+00 1 0 0
362 389.44000 2.3000e+02 1.2230e+01 1 0 0
363 5.00930 1.0419e-07 3.1465e-01 1 0 0
364 6.55560 1.0864e-01 1.2310e+00 1 0 0
365 7.66590 9.8877e-02 3.1699e+00 1 0 0
366 1120.40000 2.9729e-02 2.8803e+02 1 0 0
367 59.07200 1.4982e-05 9.5529e+00 1 0 0
368 1878.60000 8.0227e+03 5.2844e+02 1 0 0
369 84.44900 1.1838e+01 2.7764e+01 1 0 0
370 651.55000 3.3364e-05 1.7812e+02 1 0 0
371 12.75000 0.0000e+00 1.6724e-01 1 0 0
372 243.76000 1.9988e-05 4.6400e-06 1 0 0
373 658.62000 2.2708e+02 2.2839e+02 1 0 0
374 69.33300 4.5626e+01 1.2012e+01 1 0 0
375 5.08730 0.0000e+00 3.5906e+00 1 0 0
376 4.97280 2.5902e-07 0.0000e+00 1 0 0
377 65.33800 2.1003e+01 1.8198e+01 1 0 0
378 18.20000 0.0000e+00 0.0000e+00 1 0 0
379 478.08000 0.0000e+00 0.0000e+00 1 0 0
380 7.69520 1.1134e-01 5.2559e+00 1 0 0
381 7.65730 8.7918e-02 4.9526e+00 1 0 0
382 4.83030 1.1892e-01 1.7080e+00 1 0 0
383 107.44000 3.3924e-06 0.0000e+00 1 0 0
384 144.71000 0.0000e+00 2.1599e+01 1 0 0
385 251.36000 6.5330e+02 4.3959e+01 1 0 0
386 135.97000 0.0000e+00 2.6450e+00 1 0 0
387 8.55190 1.2542e-01 2.9758e+00 1 0 0
388 3283.10000 3.8935e+03 1.1808e+03 1 0 0
389 1.46900 2.6359e-08 0.0000e+00 1 0 0
390 2.43620 9.3632e-02 4.7771e-01 1 0 0
391 4.67080 1.0657e-01 5.0795e+00 1 0 0
392 1243.50000 1.7387e+04 1.4720e+02 1 0 0
393 4.39300 1.5347e-07 3.5733e-01 1 0 0
394 2.31690 0.0000e+00 1.1097e-07 1 0 0
395 8.58650 9.3609e-02 3.9666e+00 1 0 0
396 10.93800 6.4060e-02 7.0196e-01 1 0 0
397 5.08300 3.3461e-07 0.0000e+00 1 0 0
398 646.65000 3.4990e-04 2.1004e+02 1 0 0
399 134.38000 6.9203e-06 2.4986e+01 1 0 0
400 3.64680 1.4749e-01 1.0528e+00 1 0 0
401 2.98710 3.8778e-07 1.0090e+00 1 0 0
402 70.90400 2.7100e+01 2.2090e+00 1 0 0
403 13.10400 5.5101e-02 6.3379e-01 1 0 0
404 57.68900 0.0000e+00 0.0000e+00 1 0 0
405 4.59500 8.1826e-02 1.5780e+00 1 0 0
406 3.78310 0.0000e+00 4.7680e-01 1 0 0
407 7.99440 1.2536e-01 2.5304e+00 1 0 0
408 1.69640 5.1934e-07 1.6904e-01 1 0 0
409 20.15600 1.5850e-01 5.2809e+00 1 0 0
410 105.58000 0.0000e+00 0.0000e+00 1 0 0
411 70.32400 6.9448e+01 2.2072e+01 1 0 0
412 69.48700 0.0000e+00 0.0000e+00 1 0 0
413 37.79900 0.0000e+00 3.5804e+00 1 0 0
414 4.91370 0.0000e+00 1.1632e+00 1 0 0
415 6.00170 1.1140e-01 1.6569e+00 1 0 0
416 6.31100 1.4659e-01 1.4598e+00 1 0 0
417 651.04000 6.4590e+03 2.2464e+02 1 0 0
418 1755.60000 7.5781e-02 6.3914e+02 1 0 0
419 7.29330 8.2012e-02 1.3009e+00 1 0 0
420 232.39000 1.7186e-05 3.8778e+00 1 0 0
421 13.92600 1.1898e-06 2.9167e-01 1 0 0
422 6.36510 0.0000e+00 2.8882e+00 1 0 0
423 511.73000 5.2778e-05 1.8051e+02 1 0 0
424 4.84420 0.0000e+00 4.0349e-01 1 0 0
425 11.62700 9.2497e-02 5.3238e+00 1 0 0
426 2.25260 3.7879e-07 6.6520e-01 1 0 0
427 3.48770 0.0000e+00 7.9470e-01 1 0 0
428 97.99200 0.0000e+00 3.5964e-06 1 0 0
429 4.32190 6.9146e-07 5.2904e-01 1 0 0
430 3.64620 3.5134e-07 3.6481e-01 1 0 0
431 36.56300 0.0000e+00 0.0000e+00 1 0 0
432 71.31400 5.4909e-02 5.9919e+00 1 0 0
433 51.17300 0.0000e+00 5.1163e-01 1 0 0
434 4.05340 2.2054e-06 4.5839e-01 1 0 0
435 14.58600 7.9200e-02 1.0451e+00 1 0 0
436 1825.80000 8.3420e+04 3.1192e+03 1 0 0
437 33.09400 1.5856e-01 9.6710e+00 1 0 0
438 3.06980 0.0000e+00 0.0000e+00 1 0 0
439 2.71150 9.7461e-02 6.2452e-01 1 0 0
440 2371.30000 6.1459e-02 8.2614e+02 1 0 0
441 5.95200 8.2041e-02 1.7382e+00 1 0 0
442 212.91000 4.2920e+03 4.8290e+01 1 0 0
443 2.43480 2.2558e-07 6.1240e-01 1 0 0
444 58.58100 8.7511e-06 2.4825e+01 1 0 0
445 140.21000 8.4769e-07 2.6996e+00 1 0 0
446 12.10600 0.0000e+00 7.5437e-07 1 0 0
447 1039.70000 6.5308e-02 3.5773e+02 1 0 0
448 822.50000 3.6425e-02 2.2550e+02 1 0 0
449 3.03180 3.0868e-07 2.4138e-01 1 0 0
450 1801.80000 4.6467e+04 2.1244e+03 1 0 0
451 50.20600 1.0737e-01 1.3568e+01 1 0 0
452 0.94856 0.0000e+00 1.9535e-08 1 0 0
453 4.82370 7.4999e-02 8.1809e-01 1 0 0
454 2.75490 7.9579e-02 1.0405e+00 1 0 0
455 1127.70000 2.5878e+03 1.6132e+02 1 0 0
456 26.86200 1.1127e-01 9.7726e-01 1 0 0
457 2400.40000 4.3997e+04 2.4348e+03 1 0 0
458 33.98400 9.7274e-02 2.2911e-01 1 0 0
459 285.61000 9.4150e-02 1.1404e+02 1 0 0
460 833.33000 5.1661e+02 2.2464e+02 1 0 0
461 33.11500 0.0000e+00 9.6785e-01 1 0 0
462 3.08380 7.5026e-02 5.5816e-01 1 0 0
463 9.09630 1.8022e-06 6.1426e-01 1 0 0
464 2.84300 4.7044e-07 2.5318e-01 1 0 0
465 4.39110 6.4073e-02 1.5116e+00 1 0 0
466 5.21820 7.5027e-02 8.5688e-01 1 0 0
467 2.26940 8.2043e-02 7.5790e-01 1 0 0
468 37.96400 3.1415e-06 5.6740e+00 1 0 0
469 5.80610 0.0000e+00 1.8385e+00 1 0 0
470 6.64440 1.0453e-06 7.6126e-01 1 0 0
471 16.06600 2.4379e-06 1.0339e+01 1 0 0
472 8.62230 4.4743e-07 4.1709e-01 1 0 0
473 40.45300 7.3661e+01 2.1866e+01 1 0 0
474 5.07710 1.0308e-01 4.2288e-01 1 0 0
475 59.19500 7.8978e-02 1.8196e+01 1 0 0
476 1.43470 3.4017e-08 0.0000e+00 1 0 0
477 61.14600 1.2237e+02 7.9499e+00 1 0 0
478 1.43740 0.0000e+00 1.5210e-01 1 0 0
479 2407.30000 8.8454e-03 8.3771e+02 1 0 0
480 19.59200 6.7514e-07 2.3543e+00 1 0 0
481 3.97020 9.7690e-02 1.3316e+00 1 0 0
482 3.98390 2.5730e-02 7.3586e-01 1 0 0
483 4.69130 1.0864e-01 1.8000e+00 1 0 0
484 44.03600 0.0000e+00 0.0000e+00 1 0 0
485 26.08100 4.2840e-06 7.9974e+00 1 0 0
486 16.12700 9.3499e-02 3.1981e+00 1 0 0
487 2.42140 3.5309e-07 7.9927e-01 1 0 0
488 24.50400 1.0543e-01 2.9398e+00 1 0 0
489 2.39870 1.4416e-06 8.0224e-01 1 0 0
490 1253.40000 4.2606e+03 9.3110e+01 1 0 0
491 61.56400 2.1368e-06 2.4007e+01 1 0 0
492 2.07060 0.0000e+00 2.3277e-01 1 0 0
493 3.32080 0.0000e+00 9.1037e-02 1 0 0
494 4.33930 0.0000e+00 8.7594e-01 1 0 0
495 29.86900 0.0000e+00 0.0000e+00 1 0 0
496 58.19700 3.5155e-06 1.1247e+01 1 0 0
497 13.19600 7.5897e-06 9.0822e+00 1 0 0
498 120.34000 6.1985e+01 2.9591e+01 1 0 0
499 22.69400 0.0000e+00 0.0000e+00 1 0 0
500 5.47640 9.1624e-07 1.8542e-01 1 0 0
501 3.47820 0.0000e+00 2.6394e-01 1 0 0
502 4.88940 2.8966e-01 1.6270e+00 1 0 0
503 8.80600 9.0318e-02 2.5707e+00 1 0 0
504 472.75000 9.4896e+01 5.3180e+01 1 0 0
505 30.02700 9.4047e-02 4.0814e+00 1 0 0
506 49.63100 2.9965e+00 8.0899e+00 1 0 0
507 37.57700 7.9428e-08 1.1824e+01 1 0 0
508 6.06600 7.4448e-07 6.8683e-01 1 0 0
509 3.88730 1.3241e-07 1.2282e-01 1 0 0
510 3.63990 0.0000e+00 4.5381e-01 1 0 0
511 54.71300 0.0000e+00 2.5566e+00 1 0 0
512 41.47600 1.5286e+01 1.2070e+01 1 0 0
513 21.37400 9.9980e-02 1.1828e+01 1 0 0
514 5.46920 8.0426e-02 8.8016e-01 1 0 0
515 4.62780 1.4749e-01 6.5419e-01 1 0 0
516 1529.20000 1.4220e+03 3.7645e+02 1 0 0
517 5.52800 1.1892e-01 7.5393e-01 1 0 0
518 19.37300 7.9981e-02 1.3819e+01 1 0 0
519 2.24930 0.0000e+00 9.5197e-02 1 0 0
520 18.21200 5.4324e-07 0.0000e+00 1 0 0
521 2105.10000 1.2740e+04 9.3173e+02 1 0 0
522 23.42200 8.3758e-06 1.2549e+00 1 0 0
523 8.06430 1.0363e-01 1.8802e+00 1 0 0
524 11.34100 5.5104e-02 3.8495e+00 1 0 0
525 797.89000 3.8674e-04 2.9264e+02 1 0 0
526 33.50500 0.0000e+00 2.3924e+00 1 0 0
527 4.73890 8.7953e-02 5.8711e-01 1 0 0
528 19.31200 1.5217e-06 9.3923e-02 1 0 0
529 49.35100 1.4630e+01 1.9177e+01 1 0 0
530 129.01000 0.0000e+00 6.8069e-06 1 0 0
531 2.53750 0.0000e+00 1.6615e-07 1 0 0
532 40.90700 7.3799e-01 6.4902e+00 1 0 0
533 1.89820 3.0838e-08 3.5464e-08 1 0 0
534 5.62580 7.5011e-02 6.8446e-01 1 0 0
535 15.15400 1.3330e-06 1.0673e-01 1 0 0
536 1.22230 3.1027e-08 0.0000e+00 1 0 0
537 11.02400 1.1891e-01 4.9264e+00 1 0 0
538 61.35300 0.0000e+00 1.7058e-06 1 0 0
539 61.50300 5.9654e+01 6.1592e+01 1 0 0
540 53.98300 1.8409e+01 5.5228e+01 1 0 0
541 57.50300 6.0857e+01 8.7145e+01 1 0 0
542 4.05920 4.0549e-08 6.5308e-02 1 0 0
543 6.42140 0.0000e+00 7.9633e-01 1 0 0
544 2.56450 0.0000e+00 4.3011e-01 1 0 0
545 44.60600 9.9194e-02 4.1042e+00 1 0 0
546 44.60200 1.1487e-01 5.7707e+00 1 0 0
547 17.64300 1.2091e-05 1.0787e+01 1 0 0
548 7.94960 1.6352e-06 4.8556e+00 1 0 0
549 56.97800 1.5620e+02 1.1399e+01 1 0 0
550 1045.10000 7.9186e+00 4.3600e+01 1 0 0
551 17.79300 1.9442e-06 9.8100e+00 1 0 0
552 17.42300 0.0000e+00 7.1276e+00 1 0 0
553 14.30400 1.3043e-01 1.3702e+01 1 0 0
554 243.70000 5.9225e-06 3.6376e+00 1 0 0
555 18.20200 1.1138e-01 4.8307e+00 1 0 0
556 1339.70000 5.4453e+02 2.5733e+02 1 0 0
557 71.94500 1.7278e+02 8.7502e-01 1 0 0
558 35.99300 1.0744e-01 1.0700e+01 1 0 0
559 1796.20000 6.3568e-02 3.5528e+02 1 0 0
560 155.81000 3.1965e+01 4.0162e+01 1 0 0
561 10.32800 9.3641e-02 5.2299e+00 1 0 0
562 233.98000 6.6243e-06 7.7933e-06 1 0 0
563 8.36260 7.9299e-02 2.5714e+00 1 0 0
564 2.85200 0.0000e+00 1.3025e+00 1 0 0
565 64.10700 6.0518e+01 4.3200e+00 1 0 0
566 64.10500 1.4639e-01 1.9489e+01 1 0 0
567 356.97000 0.0000e+00 5.4433e+01 1 0 0
568 8.62240 5.4040e-07 3.7666e-01 1 0 0
569 1236.30000 6.2927e-02 5.5079e+02 1 0 0
570 7.83210 3.9494e-07 3.8286e+00 1 0 0
571 357.68000 7.2325e+02 1.2460e+02 1 0 0
572 59.09800 8.7855e-02 1.3330e+01 1 0 0
573 64.54500 2.0913e-05 1.0430e+00 1 0 0
574 24.36000 1.1518e-01 7.8310e+00 1 0 0
575 11.38300 7.9605e-02 2.6896e+00 1 0 0
576 0.81830 0.0000e+00 0.0000e+00 1 0 0
577 6.75960 1.3044e-01 1.3060e+00 1 0 0
578 2.43400 9.4614e-07 6.3368e-01 1 0 0
579 33.43100 0.0000e+00 8.2511e-01 1 0 0
580 21.68100 1.0295e-01 5.3077e+00 1 0 0
581 2.53710 1.9723e-02 6.2551e-01 1 0 0
582 82.65500 1.3829e-05 2.6854e+00 1 0 0
583 18.92400 2.8247e-06 8.2438e+00 1 0 0
584 58.20000 6.3963e+01 0.0000e+00 1 0 0
585 4.35810 1.0308e-01 2.9133e+00 1 0 0
586 6.20980 9.7700e-02 8.2178e-01 1 0 0
587 5.15060 4.0607e-07 2.2716e+00 1 0 0
588 9.04360 6.5807e-07 5.4463e-01 1 0 0
589 42.03400 0.0000e+00 6.3556e+00 1 0 0
590 3.94660 4.1074e-07 2.7517e-01 1 0 0
591 4.95870 8.8933e-02 1.3134e+00 1 0 0
592 8.38980 8.8952e-02 3.3094e-01 1 0 0
593 7.49450 6.4068e-02 4.2130e-01 1 0 0
594 4.17430 8.4816e-07 2.1445e+00 1 0 0
595 5.78080 1.4749e-01 1.4531e+00 1 0 0
596 41.92500 4.0136e-07 1.4634e+01 1 0 0
597 32.17500 7.7048e-06 1.5864e+00 1 0 0
598 6.25360 5.5122e-02 2.4063e+00 1 0 0
599 14.20200 6.4107e+01 5.9166e+00 1 0 0
600 7.37730 0.0000e+00 4.0582e+00 1 0 0
601 454.26000 6.8353e-05 1.6449e+01 1 0 0
602 2043.80000 2.8815e+04 1.0753e+03 1 0 0
603 68.14600 9.7409e-02 1.3902e+01 1 0 0
604 14.67400 9.0354e-02 7.5295e+00 1 0 0
605 7.16840 4.8647e-06 7.8189e+00 1 0 0
606 3.53030 0.0000e+00 0.0000e+00 1 0 0
607 233.02000 1.9117e+03 6.0251e+01 1 0 0
608 5.37380 1.5862e-01 1.0936e+00 1 0 0
609 4.68120 9.4657e-02 7.4044e-01 1 0 0
610 34.72700 1.3015e-01 3.1386e+00 1 0 0
611 46.38200 1.6700e-05 1.7032e+00 1 0 0
612 10.34700 9.2519e-02 3.5000e+00 1 0 0
613 2964.80000 4.1718e+04 2.0881e+03 1 0 0
614 17.74800 1.4735e-01 3.3172e+00 1 0 0
615 296.61000 0.0000e+00 4.5037e+01 1 0 0
616 96.29600 3.7028e+02 6.5279e+00 1 0 0
617 5.09750 9.2780e-02 2.7191e+00 1 0 0
618 7.79600 3.2336e-07 0.0000e+00 1 0 0
619 69.83400 0.0000e+00 1.8377e+01 1 0 0
620 8.65280 1.0308e-01 5.3869e-01 1 0 0
621 127.49000 1.7202e+01 5.2958e+01 1 0 0
622 2528.70000 4.3303e+04 2.4073e+03 1 0 0
623 22.09500 1.4611e-01 2.2474e+00 1 0 0
624 101.39000 3.1764e-06 4.0973e+01 1 0 0
625 3.88840 8.0421e-07 2.2995e+00 1 0 0
626 19.51100 9.8867e-02 1.1085e+01 1 0 0
627 5.81460 0.0000e+00 2.8144e+00 1 0 0
628 17.70900 3.4096e-06 1.8549e+01 1 0 0
629 0.55976 0.0000e+00 0.0000e+00 1 0 0
630 2.19040 2.7783e-07 8.2450e-01 1 0 0
631 29.67300 0.0000e+00 0.0000e+00 1 0 0
632 9.89840 0.0000e+00 0.0000e+00 1 0 0
633 1528.10000 3.3893e+04 1.2354e+03 1 0 0
634 40.21200 4.2371e-06 8.3888e+00 1 0 0
635 6.97550 2.2260e-06 1.7545e-01 1 0 0
636 3.88570 2.1459e-06 2.4352e+00 1 0 0
637 17.97600 0.0000e+00 8.2077e-07 1 0 0
638 36.98400 1.0168e-05 4.1467e+00 1 0 0
639 2.36100 4.2012e-07 7.6015e-01 1 0 0
640 20.38700 0.0000e+00 0.0000e+00 1 0 0
641 2622.10000 4.0658e+04 1.1715e+03 1 0 0
642 21.21400 2.9827e-06 1.1731e+00 1 0 0
643 801.31000 7.1083e-01 2.9229e+02 1 0 0
644 12.66000 9.0328e-02 5.2881e+00 1 0 0
645 5.81540 1.1893e-01 3.8059e+00 1 0 0
646 62.43600 3.8918e-06 1.2675e+01 1 0 0
647 3.55620 4.6902e-07 4.1123e-01 1 0 0
648 181.57000 2.1677e-05 1.5228e+01 1 0 0
649 2.92760 1.5009e-06 7.7934e-01 1 0 0
650 2.50680 3.4479e-08 0.0000e+00 1 0 0
651 71.17000 2.7594e+01 2.4914e+01 1 0 0
652 60.67300 1.1859e-01 3.4385e+00 1 0 0
653 1417.10000 4.1671e+04 1.9859e+03 1 0 0
654 47.39100 1.4698e-01 7.3715e+00 1 0 0
655 3375.60000 1.6718e+04 1.3255e+03 1 0 0
656 1181.00000 1.2919e+04 2.5056e+02 1 0 0
657 35.40100 9.0570e-02 6.0229e+00 1 0 0
658 1.19090 0.0000e+00 4.1276e-02 1 0 0
659 6.15680 4.1750e-02 3.0989e+00 1 0 0
660 44.19600 3.1428e-05 1.4773e+01 1 0 0
661 26.53800 0.0000e+00 2.3075e+00 1 0 0
662 129.78000 1.6898e-05 1.9613e+01 1 0 0
663 27.68000 0.0000e+00 8.4769e-07 1 0 0
664 41.24700 1.9027e-06 4.7404e-01 1 0 0
665 15.27600 0.0000e+00 1.0373e+01 1 0 0
666 2107.70000 2.4132e+04 1.1633e+03 1 0 0
667 3.64640 1.4749e-01 1.4530e+00 1 0 0
668 1135.20000 0.0000e+00 0.0000e+00 1 0 0
669 77.36500 0.0000e+00 2.4688e+01 1 0 0
670 96.16600 7.0773e-06 0.0000e+00 1 0 0
671 770.42000 4.0685e+02 1.9172e+02 1 0 0
672 6.37540 9.4630e-02 7.3443e-01 1 0 0
673 1165.30000 2.5402e+04 8.8706e+02 1 0 0
674 61.05900 7.4750e+01 2.6427e+01 1 0 0
675 56.42500 1.1132e-01 5.0661e+00 1 0 0
676 45.45300 0.0000e+00 0.0000e+00 1 0 0
677 16.61400 9.8895e-02 3.3519e+00 1 0 0
678 598.94000 0.0000e+00 0.0000e+00 1 0 0
679 5.78540 2.1193e-06 9.7611e-01 1 0 0
680 333.86000 1.6999e+03 0.0000e+00 1 0 0
681 27.18700 9.9962e-02 1.8014e+01 1 0 0
682 33.74200 9.2518e-02 2.2482e+01 1 0 0
683 38.47200 7.4252e-06 1.9648e+00 1 0 0
684 1.85280 0.0000e+00 4.1375e-08 1 0 0
685 13.48500 1.4742e-01 4.8333e+00 1 0 0
686 4.66670 8.7941e-02 2.1959e+00 1 0 0
687 1127.50000 1.6404e+03 2.0253e+02 1 0 0
688 15.49700 9.0670e-02 1.9219e+01 1 0 0
689 7.49780 1.5863e-01 8.9272e-01 1 0 0
690 73.83800 3.6159e+01 1.5328e+01 1 0 0
691 70.57600 9.7007e+01 1.9666e+01 1 0 0
692 64.59400 9.1303e-02 2.2126e+01 1 0 0
693 8.64460 0.0000e+00 2.6230e-07 1 0 0
694 5.09060 8.1833e-02 1.1616e+00 1 0 0
695 24.94700 0.0000e+00 0.0000e+00 1 0 0
696 2.46340 5.2512e-02 3.5236e-01 1 0 0
697 3.58020 8.5422e-07 9.4368e-01 1 0 0
698 7.83760 9.1406e-02 6.1556e+00 1 0 0
699 1572.20000 4.9231e+04 2.0546e+03 1 0 0
700 9.74520 4.7579e-06 5.1832e+00 1 0 0
701 204.87000 0.0000e+00 3.4139e+01 1 0 0
702 5.32580 9.3630e-02 3.7866e-01 1 0 0
703 4.19660 2.3361e-02 1.3846e+00 1 0 0
704 16.72800 7.9923e-02 7.6993e+00 1 0 0
705 5.32740 7.9986e-02 2.4700e+00 1 0 0
706 62.33000 5.1640e-06 1.0547e+00 1 0 0
707 45.18600 0.0000e+00 2.3705e+01 1 0 0
708 2840.80000 6.8901e+03 1.3204e+03 1 0 0
709 45.34400 0.0000e+00 7.6310e+00 1 0 0
710 36.53700 9.2447e-02 7.9932e+00 1 0 0
711 20.51900 6.2242e-06 4.6060e+00 1 0 0
712 21.83200 6.1511e-06 5.2448e+00 1 0 0
713 3.40840 1.6015e-07 2.5023e-08 1 0 0
714 8.40490 0.0000e+00 2.8903e+00 1 0 0
715 500.38000 5.3456e-06 1.0280e-05 1 0 0
716 3.28440 9.3633e-02 5.7098e-01 1 0 0
717 171.45000 2.1429e+02 0.0000e+00 1 0 0
718 16.94300 1.1892e-01 1.2068e+01 1 0 0
719 11.36700 7.4982e-02 2.4237e+00 1 0 0
720 2.93200 5.2981e-08 3.3672e-01 1 0 0
721 3.66190 8.2114e-02 4.9934e-01 1 0 0
722 6.01980 9.0676e-02 6.4992e-01 1 0 0
723 2.95410 4.0685e-07 4.0381e-01 1 0 0
724 4.86000 9.2508e-02 1.0405e+00 1 0 0
725 70.30300 9.7052e-02 2.3702e+01 1 0 0
726 12.65300 1.4619e-01 7.2153e+00 1 0 0
727 69.74800 3.6041e+01 2.1473e+01 1 0 0
728 0.43939 5.9603e-09 0.0000e+00 1 0 0
729 13.28300 1.0754e-01 4.2987e+00 1 0 0
730 10.46200 1.2539e-01 2.5638e+00 1 0 0
731 4.60240 9.9978e-02 1.1822e+00 1 0 0
732 5.71060 7.9599e-02 2.8452e+00 1 0 0
733 32.04900 1.0426e-06 0.0000e+00 1 0 0
734 69.34200 1.4940e+01 0.0000e+00 1 0 0
735 39.17400 7.6872e-06 1.3677e+01 1 0 0
736 71.36000 0.0000e+00 0.0000e+00 1 0 0
737 4.40870 4.0426e-07 1.7953e+00 1 0 0
738 118.30000 3.5044e-06 0.0000e+00 1 0 0
739 2230.10000 1.2277e-02 7.7342e+02 1 0 0
740 67.57400 2.8246e+01 1.2671e+01 1 0 0
741 2.56220 4.2092e-07 7.3700e-01 1 0 0
742 64.44400 0.0000e+00 2.2778e+01 1 0 0
743 312.20000 2.0777e+02 1.5717e+02 1 0 0
744 2.33680 4.6087e-08 7.7775e-02 1 0 0
745 1301.80000 2.8676e+04 4.6059e+02 1 0 0
746 7.50660 1.4788e-06 6.0277e-01 1 0 0
747 137.30000 3.2595e-05 1.8119e+00 1 0 0
748 190.35000 0.0000e+00 0.0000e+00 1 0 0
749 23.63900 9.1229e-02 5.6346e+00 1 0 0
750 37.12700 5.5409e-06 7.8670e+00 1 0 0
751 80.44900 1.4602e+01 6.4718e+00 1 0 0
752 65.74200 0.0000e+00 2.5918e+01 1 0 0
753 81.26500 2.6918e-01 2.2245e+01 1 0 0
754 74.33100 9.5381e+01 2.0700e+01 1 0 0
755 73.66600 0.0000e+00 0.0000e+00 1 0 0
756 4.84510 9.2510e-02 7.0751e-01 1 0 0
757 1.82010 6.5927e-08 2.5938e-08 1 0 0
758 12.25600 0.0000e+00 0.0000e+00 1 0 0
759 80.84600 6.5089e+01 1.1001e+01 1 0 0
760 3.62910 9.7672e-02 1.1456e+00 1 0 0
761 5.13470 0.0000e+00 2.5965e+00 1 0 0
762 3.77090 1.9641e-07 1.1416e+00 1 0 0
763 3.16690 0.0000e+00 4.9087e-09 1 0 0
764 10.75000 7.3646e-07 1.8467e-01 1 0 0
765 6.82220 1.0308e-01 2.1670e+00 1 0 0
766 11.18900 9.0645e-02 4.9812e+00 1 0 0
767 319.22000 7.4222e-05 1.1528e+02 1 0 0
768 641.09000 0.0000e+00 2.3557e-05 1 0 0
769 5.60110 1.5723e-06 2.2180e-01 1 0 0
770 6.37210 8.8946e-02 3.4884e-01 1 0 0
771 4.08220 9.0359e-02 9.9988e-01 1 0 0
772 61.79700 4.5888e-05 7.1865e+00 1 0 0
773 4.89010 1.0867e-01 7.6270e-01 1 0 0
774 56.76400 1.0355e-01 2.2085e+01 1 0 0
775 20.87100 4.3682e-06 9.5213e-02 1 0 0
776 11.78900 9.7414e-02 5.6675e+00 1 0 0
777 213.31000 4.1993e+02 1.9537e+02 1 0 0
778 5.38920 9.9862e-07 6.1261e+00 1 0 0
779 730.14000 0.0000e+00 1.7143e+02 1 0 0
780 52.41300 1.2467e-01 2.7559e+01 1 0 0
781 4.97650 0.0000e+00 1.7019e-01 1 0 0
782 2811.20000 9.3499e+03 8.7499e+02 1 0 0
783 3.62390 3.0166e-07 9.5606e-01 1 0 0
784 2040.90000 2.9597e+02 6.5091e+02 1 0 0
785 6.41470 1.0752e-01 1.2843e+00 1 0 0
786 2008.50000 5.8682e-02 6.7962e+02 1 0 0
787 47.97600 1.1856e-01 2.1823e+01 1 0 0
788 24.28800 4.2494e-06 1.1886e+00 1 0 0
789 6.39060 1.0308e-01 4.1769e+00 1 0 0
790 69.87600 0.0000e+00 2.8552e+00 1 0 0
791 58.48500 9.3142e-02 1.8407e+01 1 0 0
792 4.37960 1.9320e-06 6.3337e-01 1 0 0
793 4.29310 1.0756e-01 8.3358e-01 1 0 0
794 4.93970 0.0000e+00 0.0000e+00 1 0 0
795 2.79430 3.4460e-07 2.2835e-01 1 0 0
796 1359.30000 3.1749e+03 5.1227e+02 1 0 0
797 66.10200 4.8045e-06 2.4023e-07 1 0 0
798 17.09300 9.2521e-02 1.0912e+01 1 0 0
799 13.17600 1.6954e-07 6.9398e+00 1 0 0
800 24.88800 7.4970e-06 9.7308e+00 1 0 0
801 10.39000 0.0000e+00 3.4967e-07 1 0 0
802 3.42770 0.0000e+00 3.6416e+00 1 0 0
803 5.26490 1.1139e-01 2.4907e+00 1 0 0
804 3.02060 1.0808e-07 2.9244e-02 1 0 0
805 45.26700 0.0000e+00 8.3581e+00 1 0 0
806 9.86500 1.0305e-01 5.4536e+00 1 0 0
807 4.38620 2.0716e-07 3.3043e-01 1 0 0
808 5.05270 9.9989e-02 1.1216e+00 1 0 0
809 2447.20000 2.7780e+03 9.0407e+02 1 0 0
810 60.57000 9.4556e-02 1.6277e+01 1 0 0
811 69.85200 2.4855e-05 1.7568e+00 1 0 0
812 1.15580 4.9040e-09 4.8059e-08 1 0 0
813 1.81890 8.7233e-07 6.6490e-01 1 0 0
814 5.18060 6.4081e-02 2.9610e-01 1 0 0
815 1676.30000 6.3672e+03 4.7679e+02 1 0 0
816 3.38760 1.3044e-01 6.0196e-01 1 0 0
817 1.79380 1.4321e-08 0.0000e+00 1 0 0
818 46.96100 1.9385e-06 1.6356e-06 1 0 0
819 12.53300 9.7458e-02 1.9150e+00 1 0 0
820 31.51700 1.4661e-01 2.0006e+01 1 0 0
821 20.17100 4.1242e-02 3.6123e+00 1 0 0
822 21.37300 2.5951e-06 4.2215e-01 1 0 0
823 427.54000 6.5334e+01 1.4592e+02 1 0 0
824 6.43510 9.4297e-02 1.3623e+00 1 0 0
825 10.04600 4.4603e-06 1.6573e+01 1 0 0
826 9.89750 2.0597e-07 0.0000e+00 1 0 0
827 5.38990 9.4304e-02 1.6005e+01 1 0 0
828 5.55840 9.1408e-02 2.0930e+00 1 0 0
829 15.87200 1.0676e-01 1.5653e+01 1 0 0
830 8.74870 9.2533e-02 7.0671e-01 1 0 0
831 2.89440 7.0237e-07 4.4635e-01 1 0 0
832 5.82720 1.4447e-01 2.5799e+00 1 0 0
833 56.41400 9.2574e-02 8.5597e+00 1 0 0
834 2112.40000 5.4604e+04 2.3066e+03 1 0 0
835 5.90240 6.1540e-07 2.6505e+00 1 0 0
836 86.87500 2.8487e-06 0.0000e+00 1 0 0
837 25.98400 2.0825e-06 1.5704e+00 1 0 0
838 7.64330 9.7473e-02 9.1271e-01 1 0 0
839 600.63000 1.7998e+03 0.0000e+00 1 0 0
840 31.69400 1.4653e-01 5.3147e+00 1 0 0
841 3.86420 1.1077e-07 5.0186e-01 1 0 0
842 2917.80000 4.1005e+04 1.5178e+03 1 0 0
843 25.39500 1.0034e-05 1.2204e+01 1 0 0
844 449.92000 1.1513e-04 7.8072e+01 1 0 0
845 5.40120 7.5006e-02 1.8341e+00 1 0 0
846 4.43410 1.5863e-01 8.0778e-01 1 0 0
847 8.21030 1.3043e-01 1.5701e+00 1 0 0
848 3.09420 0.0000e+00 0.0000e+00 1 0 0
849 6.52490 2.0656e-02 1.7027e+01 1 0 0
850 136.30000 8.1877e-02 1.2172e+02 1 0 0
851 2.60140 8.4005e-02 8.4107e-01 1 0 0
852 4.37130 4.0547e-02 4.8570e-01 1 0 0
853 20.83400 6.4057e-02 1.3137e+01 1 0 0
854 42.40100 1.0854e-01 6.8852e+00 1 0 0
855 1.98410 1.0118e-08 0.0000e+00 1 0 0
856 2.90920 0.0000e+00 9.8630e-01 1 0 0
857 4.49920 6.1002e-02 5.5619e-01 1 0 0
858 2.62140 1.5133e-07 5.3917e-01 1 0 0
859 4.98010 9.3630e-02 6.1802e-01 1 0 0
860 17.80000 9.9872e-08 5.1934e-07 1 0 0
861 38.40300 7.9939e-02 3.1059e+01 1 0 0
862 2129.90000 4.7184e+04 1.6760e+03 1 0 0
863 4.00030 5.5769e-07 6.5223e-01 1 0 0
864 1405.50000 9.1711e+02 4.0687e+02 1 0 0
865 4.60350 0.0000e+00 3.2269e-07 1 0 0
866 4.94700 1.5864e-01 1.0603e+00 1 0 0
867 3.36940 0.0000e+00 2.2108e+00 1 0 0
868 58.14700 8.1980e-02 5.8999e+01 1 0 0
869 7.08720 7.3866e-08 0.0000e+00 1 0 0
870 22.62200 8.0381e-02 1.0410e+01 1 0 0
871 1075.20000 1.9264e+03 1.3315e+02 1 0 0
872 12.74000 1.9138e-06 3.5522e-01 1 0 0
873 16.42200 1.0549e-01 6.1080e+00 1 0 0
874 726.96000 9.3610e+03 2.2095e+02 1 0 0
875 1.07200 2.6308e-08 0.0000e+00 1 0 0
876 54.39600 0.0000e+00 7.1081e-01 1 0 0
877 19.80600 1.1503e-01 2.4543e+00 1 0 0
878 817.65000 1.2774e+04 9.0486e+01 1 0 0
879 16.69200 0.0000e+00 0.0000e+00 1 0 1
880 43.24700 8.6877e-06 3.5163e+00 1 0 0
881 46.29000 3.4071e-06 1.8928e-06 1 0 0
882 27.24100 4.5212e-07 1.2546e+00 1 0 0
883 31.71500 0.0000e+00 1.0735e+00 1 0 0
884 63.67500 3.0039e+01 2.4858e+00 1 0 0
885 2.33200 3.9232e-08 2.5501e-08 1 0 0
886 22.47700 8.5002e-01 3.9435e+00 1 0 0
887 3.72710 0.0000e+00 4.4427e+00 1 0 0
888 1930.10000 3.2007e+04 8.3049e+02 1 0 0
889 65.90300 8.3981e+00 1.6740e+01 1 0 0
890 69.83000 1.0884e-06 0.0000e+00 1 0 0
891 58.30100 1.0716e-01 1.0922e+01 1 0 0
892 31.38800 1.1154e-06 4.9460e+00 1 0 0
893 2.61770 2.5671e-08 1.6192e-07 1 0 0
894 1292.30000 8.0112e-02 4.6886e+02 1 0 0
895 3.77940 1.1738e-02 2.7689e-01 1 0 0
896 110.62000 3.9821e-06 1.1932e+00 1 0 0
897 16.22000 1.0094e-02 1.8460e+01 1 0 0
898 18.88500 0.0000e+00 0.0000e+00 1 0 0
899 32.39900 9.3468e-02 1.0520e+00 1 0 0
900 4.13130 1.0756e-01 1.5046e+00 1 0 0
901 205.28000 6.0518e+01 2.9790e+01 1 0 0
902 3.03530 2.5681e-07 5.9194e-01 1 0 0
903 2.98850 6.4594e-07 4.4472e-01 1 0 0
904 120.34000 1.6429e-06 0.0000e+00 1 0 0
905 5.59910 6.6694e-07 2.0805e+00 1 0 0
906 42.57100 2.8959e-01 9.8527e+00 1 0 0
907 2.63140 0.0000e+00 5.8848e-08 1 0 0
908 439.75000 0.0000e+00 2.5263e-05 1 0 0
909 3.59100 1.0556e-01 1.0931e+00 1 0 0
910 2.50900 1.8279e-02 3.1409e-01 1 0 0
911 64.63600 0.0000e+00 2.4287e+00 1 0 0
912 180.40000 2.0701e-05 2.6026e+01 1 0 0
913 2.20430 8.5915e-08 2.1938e-02 1 0 0
914 47.46100 0.0000e+00 2.2559e+00 1 0 0
915 26.49400 0.0000e+00 3.1042e+00 1 0 0
916 47.26700 0.0000e+00 0.0000e+00 1 0 0
917 2.18600 0.0000e+00 3.5427e-01 1 0 0
918 3.51920 0.0000e+00 7.5506e-01 1 0 0
919 5.44660 2.3077e-06 9.7637e-01 1 0 0
920 44.54400 3.4241e-05 1.6870e+01 1 0 0
921 61.48900 1.4576e-01 7.6626e+00 1 0 0
922 51.30300 1.3024e-01 2.3327e+00 1 0 0
923 3.63780 0.0000e+00 3.2983e-01 1 0 0
924 3.31020 0.0000e+00 0.0000e+00 1 0 0
925 2380.30000 3.8497e+03 9.4168e+02 1 0 0
926 26.53700 5.0754e-06 3.6506e+00 1 0 0
927 6.47700 0.0000e+00 0.0000e+00 1 0 0
928 3.69800 0.0000e+00 3.3073e-01 1 0 0
929 25.53600 0.0000e+00 1.4010e-06 1 0 0
930 7.13360 3.6134e-06 7.3456e-01 1 0 0
931 2281.00000 5.9294e+04 1.6713e+03 1 0 0
932 85.98700 2.9528e-05 3.0320e+01 1 0 0
933 2.62660 2.2574e-07 1.1740e+00 1 0 0
934 134.17000 9.8469e-02 2.7058e+01 1 0 0
935 13.98900 1.5856e-01 3.3774e+00 1 0 0
936 6.80010 3.4338e-06 6.0608e+00 1 0 0
937 3.54820 5.9871e-06 1.2106e+01 1 0 0
938 26.11700 9.9970e-02 1.8840e+01 1 0 0
939 13.92300 0.0000e+00 1.9184e+01 1 0 0
940 1886.50000 4.3237e+04 1.0409e+03 1 0 0
941 25.26700 2.0617e-06 1.2223e+01 1 0 0
942 3302.70000 0.0000e+00 1.1553e+03 1 0 0
943 5.83600 1.4618e-01 1.0916e+00 1 0 0
944 0.97200 1.2339e-10 2.9759e-10 1 0 0
945 115.05000 1.6106e-05 1.5902e+01 1 0 0
946 2055.50000 4.0646e+04 1.1936e+03 1 0 0
947 41.35600 0.0000e+00 2.4190e-07 1 0 0
948 425.05000 1.4051e+03 9.3673e+01 1 0 0
949 67.05500 8.4866e+01 5.4292e+00 1 0 0
950 1231.00000 3.3899e+04 3.8266e+02 1 0 0
951 3.34690 6.7905e-08 1.7512e-07 1 0 0
952 571.84000 4.8348e+01 1.2177e+02 1 0 0
953 72.50100 2.9993e+01 2.2084e+01 1 0 0
954 76.79700 0.0000e+00 2.9711e+00 1 0 0
955 15.09000 2.8954e-01 1.4492e+00 1 0 0
956 10.48400 1.1895e-01 4.5210e+00 1 0 0
957 936.40000 0.0000e+00 3.5471e+02 1 0 0
958 0.73181 2.4551e-08 7.8573e-02 1 0 0
959 7.14400 1.0558e-01 2.1496e+00 1 0 0
960 6.87620 1.5628e-06 6.1495e+00 1 0 0
961 5.49860 7.7160e-02 9.5316e-02 1 0 0
962 6.32490 0.0000e+00 0.0000e+00 1 0 1
963 7.46400 0.0000e+00 0.0000e+00 1 0 1
964 123.17000 2.9806e-05 4.5458e+01 1 0 0
965 291.35000 8.2769e-02 1.1003e+02 1 0 0
966 76.89000 1.0669e-01 2.2124e+01 1 0 0
967 2.71500 8.7940e-02 8.3927e-01 1 0 0
968 1537.50000 2.4104e+02 2.7756e+02 1 0 0
969 23.84100 1.6709e-07 1.0399e+00 1 0 0
970 4.65230 1.0756e-01 1.1966e+00 1 0 0
971 432.83000 2.9281e+03 2.7105e+02 1 0 0
972 43.36400 9.4499e-02 2.5943e+00 1 0 0
973 78.53200 0.0000e+00 3.6851e+01 1 0 0
974 13.89700 5.5116e-02 7.7285e+00 1 0 0
975 64.41400 8.6701e-06 7.7514e-01 1 0 0
976 4.78000 7.4703e-07 3.9845e-01 1 0 0
977 17.04700 5.6259e-01 0.0000e+00 1 0 0
978 10.45400 1.4650e-01 9.7535e-01 1 0 0
979 49.75700 0.0000e+00 9.0093e+00 1 0 0
980 8.53780 0.0000e+00 0.0000e+00 1 0 1
981 546.84000 2.2894e-05 0.0000e+00 1 0 0
982 9.43200 9.8273e-07 6.4407e+00 1 0 0
983 60.36700 0.0000e+00 4.7941e+00 1 0 0
984 24.68200 9.1133e-02 9.9016e+00 1 0 0
985 202.21000 1.6916e+03 1.9017e+01 1 0 0
986 57.47600 1.5857e-01 1.7236e+01 1 0 0
987 11.34100 1.0361e-01 6.8314e-01 1 0 0
988 14.64400 5.6728e-06 1.5253e+01 1 0 0
989 5.50440 6.8633e-02 8.4782e-02 1 0 0
990 216.34000 5.2019e+01 2.0572e+02 1 0 0
991 6.08860 4.6319e-06 7.1455e+00 1 0 0
992 16.62600 9.1385e-02 6.4749e+00 1 0 0
993 16.54400 9.0088e-06 6.5855e+00 1 0 0
994 1663.90000 1.0813e+04 4.3080e+02 1 0 0
995 4.40670 9.5624e-02 4.1581e-01 1 0 0
996 5.41960 1.0754e-01 2.7013e+00 1 0 0
997 4.99680 4.9846e-07 4.1191e-01 1 0 0
998 7.92980 9.9987e-02 3.8857e+00 1 0 0
999 165.83000 2.6665e+02 2.9108e+01 1 0 0
1000 13.19000 0.0000e+00 4.7212e+00 1 0 0
1001 10.56100 8.1818e-02 8.3816e-01 1 0 0
1002 57.81500 4.2538e+01 1.3500e+01 1 0 0
1003 54.10800 0.0000e+00 0.0000e+00 1 0 0
1004 9.83130 3.9107e-07 0.0000e+00 1 0 0
1005 7.60040 6.4077e-02 4.0730e-01 1 0 0
1006 6.42620 0.0000e+00 0.0000e+00 1 0 0
1007 3.46310 0.0000e+00 4.7842e-01 1 0 0
1008 7.88490 1.2543e-01 1.1327e+00 1 0 0
1009 4.34210 1.1852e-06 4.9767e-01 1 0 0
1010 1564.60000 7.3073e-02 3.9442e+02 1 0 0
1011 14.93900 3.0015e-07 8.5827e-01 1 0 0
1012 5.79200 8.8944e-02 1.8482e+00 1 0 0
1013 6.02130 1.3044e-01 3.3458e+00 1 0 0
1014 106.86000 1.5399e+02 3.0626e+01 1 0 0
1015 10.27600 7.9354e-02 3.1284e+00 1 0 0
1016 8.23500 4.8446e-01 6.0840e-02 1 0 0
1017 1.33490 0.0000e+00 0.0000e+00 1 0 0
1018 71.93600 1.1600e-06 0.0000e+00 1 0 0
1019 32.23800 7.9278e-02 1.4634e+01 1 0 0
1020 3.44770 5.9924e-07 8.4780e-02 1 0 0
1021 4.96160 1.5396e-06 2.1561e+00 1 0 0
1022 5.87610 5.5101e-02 1.3133e+00 1 0 0
1023 36.54500 1.0974e-05 3.6028e+00 1 0 0
1024 83.77800 2.2799e-06 0.0000e+00 1 0 0
1025 97.89600 1.0832e-01 2.1650e+01 1 0 0
1026 10.47200 1.0678e-01 2.8520e+00 1 0 0
1027 7.99470 1.0307e-01 1.0623e+00 1 0 0
1028 399.58000 6.3094e-05 4.9758e+01 1 0 0
1029 5.91900 1.3043e-01 2.0838e+00 1 0 0
1030 4.12720 0.0000e+00 1.4122e-01 1 0 0
1031 51.75200 1.4632e-01 2.4817e+01 1 0 0
1032 19.69600 1.0245e-06 1.4239e-06 1 0 0
1033 7.08490 8.5414e-02 7.2792e-01 1 0 0
1034 20.26600 1.6036e-06 2.2630e+00 1 0 0
1035 6.65500 1.8095e-07 3.3942e-01 1 0 0
1036 5.90860 0.0000e+00 6.6049e-01 1 0 0
1037 68.77200 1.0672e-01 1.9775e+01 1 0 0
1038 6.56530 2.8028e-06 3.7158e+00 1 0 0
1039 5.13090 1.1140e-01 1.0622e+00 1 0 0
1040 6.87220 6.1274e-07 5.9284e+00 1 0 0
1041 15.80200 0.0000e+00 2.1858e+01 1 0 0
1042 4.94990 1.1139e-01 1.0153e+00 1 0 0
1043 324.21000 0.0000e+00 9.8755e+01 1 0 0
1044 61.37500 2.4589e-06 0.0000e+00 1 0 0
1045 32.91100 0.0000e+00 8.1594e+00 1 0 0
1046 1.12800 4.6293e-08 0.0000e+00 1 0 0
1047 5.98270 2.8443e-07 5.8132e-01 1 0 0
1048 54.31100 3.4878e-06 3.2471e+00 1 0 0
1049 3.20580 7.7905e-08 7.5338e-01 1 0 0
1050 5.34480 2.8382e-02 7.6215e-01 1 0 0
1051 28.84700 9.2740e-02 6.5746e+00 1 0 0
1052 11.48700 7.9356e-02 3.4455e+00 1 0 0
1053 7.36550 1.5862e-01 1.8607e+00 1 0 0
1054 54.86000 0.0000e+00 7.3030e+00 1 0 0
1055 411.10000 1.3968e-01 3.3511e+01 1 0 0
1056 494.92000 5.4447e+02 1.5056e+02 1 0 0
1057 79.10400 5.5679e+01 3.4463e+01 1 0 0
1058 19.10500 1.5858e-01 1.0101e+01 1 0 0
1059 579.32000 2.8190e-01 2.3079e+02 1 0 0
1060 24.70300 1.2666e-06 3.3157e+00 1 0 0
1061 162.05000 8.9388e-06 5.2115e+01 1 0 0
1062 44.12800 0.0000e+00 0.0000e+00 1 0 0
1063 26.79600 7.3108e-07 0.0000e+00 1 0 0
1064 25.79200 1.2541e-01 1.6762e+01 1 0 0
1065 33.24500 3.9514e-06 9.4456e+00 1 0 0
1066 1359.40000 5.4008e+03 2.6163e+02 1 0 0
1067 5.78440 3.2377e-07 5.8627e-02 1 0 0
1068 31.63200 1.7172e-05 4.7288e+00 1 0 0
1069 442.34000 1.7777e-04 2.4119e+02 1 0 0
1070 60.03900 2.6634e-05 7.1420e+00 1 0 0
1071 3.92270 1.0557e-01 3.5194e-02 1 0 0
1072 8.13140 1.1894e-01 4.1323e+00 1 0 0
1073 101.93000 0.0000e+00 2.6031e+00 1 0 0
1074 15.34200 9.3545e-02 1.5501e+00 1 0 0
1075 317.22000 1.7137e+02 4.4112e+00 1 0 0
1076 29.63200 9.9249e-02 6.6722e+00 1 0 0
1077 5.22050 3.5436e-07 1.0064e+00 1 0 0
1078 6.47690 3.2190e-06 3.1008e+00 1 0 0
1079 57.40100 3.8748e+01 6.3973e+00 1 0 0
1080 145.12000 1.1454e-01 1.8283e+01 1 0 0
1081 4.42280 0.0000e+00 7.5854e-08 1 0 0
1082 158.62000 1.1465e+02 0.0000e+00 1 0 0
1083 92.37200 0.0000e+00 1.9571e+01 1 0 0
1084 8.34520 0.0000e+00 6.7052e-01 1 0 0
1085 2993.80000 4.0868e+04 1.7595e+03 1 0 0
1086 57.29800 0.0000e+00 1.6798e+01 1 0 0
1087 3294.40000 2.1754e+03 1.1840e+03 1 0 0
1088 12.82400 8.7935e-02 8.7307e-01 1 0 0
1089 164.21000 4.1936e+00 1.4547e+01 1 0 0
1090 38.79500 9.6410e+00 7.3325e+00 1 0 0
1091 5.52620 7.9597e-02 2.0687e+00 1 0 0
1092 0.67225 0.0000e+00 0.0000e+00 1 0 1
1093 490.63000 1.0898e-05 8.3028e+01 1 0 0
1094 83.53200 6.3635e-02 5.6656e+00 1 0 0
1095 99.55700 0.0000e+00 6.0893e+01 1 0 0
1096 35.67500 1.4639e-01 1.2722e+01 1 0 0
1097 239.78000 0.0000e+00 1.1840e-05 1 0 0
1098 15.16200 1.1885e-01 1.0795e+00 1 0 0
1099 51.43500 7.9427e-02 3.5016e+00 1 0 0
1100 1.35630 0.0000e+00 0.0000e+00 1 0 1
1101 9.70970 0.0000e+00 6.9716e+00 1 0 0
1102 23.15000 0.0000e+00 0.0000e+00 1 0 0
1103 68.92100 2.7448e-06 1.6152e+00 1 0 0
1104 1819.40000 0.0000e+00 6.9395e+02 1 0 0
1105 97.95900 1.9875e+02 4.1006e+01 1 0 0
1106 6.60330 1.5864e-01 1.8409e+00 1 0 0
1107 1403.30000 1.7802e-03 6.4264e+02 1 0 0
1108 75.00200 6.8151e+01 1.0535e+01 1 0 0
1109 24.20200 6.4507e-06 1.5651e+00 1 0 0
1110 127.70000 0.0000e+00 8.4692e-06 1 0 0
1111 9.44020 1.0362e-01 1.4093e+00 1 0 0
1112 528.76000 9.1996e-02 7.6908e+01 1 0 0
1113 34.34800 1.4694e-05 1.2880e+01 1 0 0
1114 267.81000 0.0000e+00 1.0521e-05 1 0 0
1115 13.01000 1.2543e-01 8.1062e+00 1 0 0
1116 58.78400 9.9693e-02 1.6650e+01 1 0 0
1117 1835.10000 1.6208e+04 8.5579e+02 1 0 0
1118 61.56200 0.0000e+00 6.9998e-01 1 0 0
1119 262.35000 1.9372e-04 8.6765e+01 1 0 0
1120 14.19000 3.9039e-06 4.5319e+00 1 0 0
1121 14.56500 5.5106e-02 4.7811e+00 1 0 0
1122 11.31200 1.1892e-01 5.0920e+00 1 0 0
1123 175.28000 1.1714e-01 4.6106e+01 1 0 0
1124 1.31170 4.0213e-08 4.8059e-08 1 0 0
1125 3.48520 5.5938e-07 1.5943e+00 1 0 0
1126 58.37000 5.3945e-06 1.6273e+01 1 0 0
1127 1.43420 1.0375e-07 5.9722e-01 1 0 0
1128 2.50570 2.0382e-08 0.0000e+00 1 0 0
1129 37.78900 0.0000e+00 1.3113e+01 1 0 0
1130 57.40500 6.4041e-02 2.6070e+01 1 0 0
1131 60.74800 4.0022e+01 5.2583e+01 1 0 0
1132 10.97700 0.0000e+00 0.0000e+00 1 0 1
1133 17.82700 1.0652e-01 2.4558e+00 1 0 0
1134 48.22600 0.0000e+00 0.0000e+00 1 0 0
1135 62.20400 0.0000e+00 2.6284e-06 1 0 0
1136 11.30800 0.0000e+00 2.8610e-07 1 0 0
1137 15.82900 0.0000e+00 0.0000e+00 1 0 0
1138 104.88000 1.2483e-01 2.8222e+01 1 0 0
1139 3190.00000 8.7859e-04 1.1520e+03 1 0 0
1140 29.87600 4.7078e-06 6.4786e+00 1 0 0
1141 2.73380 1.0423e-06 1.3609e+00 1 0 0
1142 23.77800 4.3769e-06 2.2509e+00 1 0 0
1143 2751.30000 7.2067e+04 3.2513e+03 1 0 0
1144 105.76000 5.3585e+01 1.1848e+01 1 0 0
1145 1103.10000 2.4661e+02 4.5791e+02 1 0 0
1146 64.99800 1.0671e-01 2.6184e+01 1 0 0
1147 29.81100 3.9095e-02 1.8820e+00 1 0 0
1148 10.96200 1.4568e-06 6.9327e-01 1 0 0
1149 42.05100 6.3946e-02 1.0778e+01 1 0 0
1150 33.06700 0.0000e+00 6.1220e+00 1 0 0
1151 76.10700 7.8961e+01 3.2809e+00 1 0 0
1152 36.42100 1.1130e-01 5.7119e+00 1 0 0
1153 5.42400 0.0000e+00 2.5037e+00 1 0 0
1154 5.06430 4.6371e-06 3.4393e+00 1 0 0
1155 45.16700 8.3458e-02 6.4599e+00 1 0 0
1156 5.54370 2.3459e-07 1.5683e+00 1 0 0
1157 5.73700 9.0665e-02 1.4248e+00 1 0 0
1158 680.06000 8.8266e+03 0.0000e+00 1 0 0
1159 5.12000 7.5866e-07 1.1632e+00 1 0 0
1160 2.96680 7.8179e-07 4.8287e-01 1 0 0
1161 55.01200 1.2369e+02 3.5299e+01 1 0 0
1162 58.89100 1.7552e+01 2.0850e+01 1 0 0
1163 280.81000 0.0000e+00 7.8037e+01 1 0 0
1164 5.52150 0.0000e+00 2.6741e+00 1 0 0
1165 292.15000 3.1150e+02 1.4976e+02 1 0 0
1166 2.19320 1.0756e-01 2.4501e-01 1 0 0
1167 1439.50000 6.7903e+03 3.7932e+02 1 0 0
1168 30.81600 1.6323e-05 4.5697e+00 1 0 0
1169 35.35500 8.5352e-02 5.0587e+00 1 0 0
1170 5.18810 3.4492e-07 8.5547e-02 1 0 0
1171 111.34000 3.6451e-05 1.7354e+01 1 0 0
1172 2.40250 9.2529e-02 5.1492e-01 1 0 0
1173 220.91000 0.0000e+00 1.1725e+01 1 0 0
1174 61.25800 1.5821e-01 4.8535e+00 1 0 0
1175 55.67700 6.3785e-06 7.9509e-01 1 0 0
1176 3.85660 2.4817e-06 4.5294e-01 1 0 0
1177 2573.20000 4.2011e+04 1.5900e+03 1 0 0
1178 67.01100 3.1276e+01 1.0973e+01 1 0 0
1179 6.06470 5.6117e-07 1.9084e+00 1 0 0
1180 3.50180 0.0000e+00 4.6793e-01 1 0 0
1181 3.59510 4.6884e-07 3.8597e-01 1 0 0
1182 2.42170 1.1890e-08 6.7225e-02 1 0 0
1183 1430.00000 4.0564e+03 2.9458e+02 1 0 0
1184 0.78424 2.0599e-08 0.0000e+00 1 0 0
1185 183.50000 1.3867e+02 8.2818e+01 1 0 0
1186 4.78190 2.9943e-07 1.3014e-01 1 0 0
1187 71.80800 9.5836e+01 2.3810e+01 1 0 0
1188 13.26000 1.1136e-01 7.7092e+00 1 0 0
1189 6.90190 8.6373e-02 4.6943e-01 1 0 0
1190 32.48100 9.7324e-02 5.6059e+00 1 0 0
1191 22.45900 9.4282e-02 1.0008e+01 1 0 0
1192 56.79800 0.0000e+00 1.5708e-06 1 0 0
1193 1.44750 4.0262e-08 0.0000e+00 1 0 0
1194 521.38000 3.3119e+02 8.9224e+00 1 0 0
1195 2246.80000 4.6655e+03 7.2327e+02 1 0 0
1196 61.86400 9.8723e-02 9.6865e+00 1 0 0
1197 6.76480 5.0635e-07 1.7141e+00 1 0 0
1198 6.15710 9.2769e-02 3.2606e+00 1 0 0
1199 2.51520 6.4073e-02 6.3174e-01 1 0 0
1200 33.10200 0.0000e+00 5.0094e+00 1 0 0
1201 499.25000 3.8309e-05 0.0000e+00 1 0 0
1202 4.57500 4.2705e-07 3.3674e-01 1 0 0
1203 2.97360 1.3079e-07 3.1099e-01 1 0 0
1204 934.57000 1.1820e+03 9.5543e+01 1 0 0
1205 12.06600 0.0000e+00 3.5746e-07 1 0 0
1206 71.62200 4.7096e+01 1.5301e+00 1 0 0
1207 15.54000 0.0000e+00 0.0000e+00 1 0 0
1208 18.07100 2.9648e-06 2.2219e+00 1 0 0
1209 63.22700 2.3356e-05 1.1680e+01 1 0 0
1210 61.97300 0.0000e+00 3.6627e+00 1 0 0
1211 524.62000 2.3894e-05 0.0000e+00 1 0 0
1212 71.91500 1.6525e+01 1.6572e+01 1 0 0
1213 5.60810 0.0000e+00 2.9968e-01 1 0 0
1214 20.54100 8.1934e-02 3.3189e+00 1 0 0
1215 4.79810 1.1868e-01 1.4901e+00 1 0 0
1216 6.29420 5.8463e-02 4.4853e-01 1 0 0
1217 12.74400 1.7929e-07 0.0000e+00 1 0 0
1218 4.89750 5.3050e-07 1.6498e+00 1 0 0
1219 3.04010 6.0523e-07 4.5842e-01 1 0 0
1220 16.82000 1.9688e-06 1.8903e+00 1 0 0
1221 3.69780 2.8965e-01 3.7262e-01 1 0 0
1222 3037.80000 1.0109e+03 1.0490e+03 1 0 0
1223 86.16700 8.1450e-02 4.0607e+01 1 0 0
1224 1.80080 9.3639e-02 6.9976e-02 1 0 0
1225 44.90700 8.1991e-02 2.8729e+01 1 0 0
1226 27.65300 7.9554e-02 8.1944e+00 1 0 0
1227 2.91950 1.8789e-07 4.0813e-01 1 0 0
1228 11.08200 7.9318e-02 1.6967e+00 1 0 0
1229 522.29000 2.0942e-04 8.9884e+01 1 0 0
1230 37.27100 1.5854e-01 4.4059e+00 1 0 0
1231 44.27300 9.0400e-02 1.1188e+01 1 0 0
1232 36.83100 1.0667e-05 6.6080e+00 1 0 0
1233 6.78270 1.0557e-01 2.0599e+00 1 0 0
1234 3.15690 9.3640e-02 4.3583e-01 1 0 0
1235 7.34560 1.4235e-06 2.2548e+00 1 0 0
1236 27.85900 0.0000e+00 1.3330e-06 1 0 0
1237 26.69800 7.9413e-06 6.1731e-02 1 0 0
1238 1982.80000 1.3477e+04 4.5422e+02 1 0 0
1239 6.44960 1.2542e-01 2.1543e+00 1 0 0
1240 6.59040 1.3044e-01 3.0553e+00 1 0 0
1241 4.72330 8.6370e-07 5.4916e-01 1 0 0
1242 124.35000 9.9220e-06 3.9536e+00 1 0 0
1243 1109.80000 7.7065e+03 2.7168e+01 1 0 0
1244 57.57900 3.4991e-05 2.5160e+01 1 0 0
1245 64.78500 7.4545e+01 1.2550e+01 1 0 0
1246 49.34900 7.6490e-07 1.7506e+01 1 0 0
1247 13.49800 1.0738e-06 2.2987e+00 1 0 0
1248 1.79820 1.7459e-08 0.0000e+00 1 0 0
1249 13.66900 6.3702e-07 0.0000e+00 1 0 0
1250 154.71000 1.2295e-04 5.9356e+01 1 0 0
1251 6.14380 4.1812e-06 1.6013e+00 1 0 0
1252 38.81200 0.0000e+00 0.0000e+00 1 0 0
1253 5.05270 0.0000e+00 1.4042e+00 1 0 0
1254 62.47900 1.0556e-01 2.2971e+01 1 0 0
1255 491.15000 1.5166e+03 0.0000e+00 1 0 0
1256 1327.10000 8.5208e+01 4.3591e+02 1 0 0
1257 12.35900 9.4606e-02 6.3014e+00 1 0 0
1258 20.80500 0.0000e+00 3.9252e+00 1 0 0
1259 1515.50000 6.7530e-02 3.4920e+02 1 0 0
1260 3.62100 6.4072e-02 5.7055e-01 1 0 0
1261 25.20200 6.8091e-06 1.3333e+00 1 0 0
1262 2.82740 3.8396e-07 3.5313e-01 1 0 0
1263 66.44800 9.2624e-02 1.3940e+01 1 0 0
1264 5.00680 8.7955e-02 6.9447e-01 1 0 0
1265 5.19060 4.0222e-07 0.0000e+00 1 0 0
1266 55.23500 7.1792e+01 8.9877e+00 1 0 0
1267 65.30200 5.6503e+01 0.0000e+00 1 0 0
1268 17.34800 0.0000e+00 5.7733e-07 1 0 0
1269 6.76770 9.9973e-02 2.8314e+00 1 0 0
1270 3.12470 1.0756e-01 7.4297e-01 1 0 0
1271 3193.20000 2.9339e+02 1.0574e+03 1 0 0
1272 11.96700 0.0000e+00 0.0000e+00 1 0 0
1273 54.83900 1.4141e-05 4.5850e+00 1 0 0
1274 4.25880 1.0813e-07 1.1359e+00 1 0 0
1275 3.88080 9.3535e-07 2.4406e+00 1 0 0
1276 2680.30000 5.8968e-02 8.2243e+02 1 0 0
1277 34.03000 1.5980e-07 0.0000e+00 1 0 0
1278 3.95930 4.6098e-07 2.6578e-01 1 0 0
1279 5.32580 1.0865e-01 4.2330e-01 1 0 0
1280 25.14600 9.7377e-06 4.4919e-01 1 0 0
1281 19.34700 2.1136e-06 5.4919e+00 1 0 0
1282 31.46000 0.0000e+00 0.0000e+00 1 0 0
1283 61.68600 8.3885e-02 2.5600e+01 1 0 0
1284 25.19700 9.4207e-02 6.7655e+00 1 0 0
1285 100.25000 1.0381e-05 2.4644e+00 1 0 0
1286 64.06700 4.3622e+00 2.1023e+01 1 0 0
1287 1395.10000 5.1394e+02 4.5652e+02 1 0 0
1288 26.37100 0.0000e+00 0.0000e+00 1 0 0
1289 3112.00000 6.6503e+01 1.0320e+03 1 0 0
1290 67.98400 5.5253e+01 1.0135e+01 1 0 0
1291 690.49000 2.1487e-11 0.0000e+00 1 0 0
1292 66.32300 8.6504e-07 1.4368e+01 1 0 0
1293 27.35300 0.0000e+00 1.8299e-06 1 0 0
1294 9.06320 3.6727e-07 2.6817e-02 1 0 0
1295 49.17700 0.0000e+00 2.4722e+01 1 0 0
1296 892.66000 4.6558e-05 3.2466e+02 1 0 0
1297 35.93400 9.4192e-02 7.2526e+00 1 0 0
1298 18.56100 0.0000e+00 1.3731e-07 1 0 0
1299 61.41400 2.6733e+01 1.3525e+01 1 0 0
1300 20.35700 3.7126e-06 1.0335e+01 1 0 0
1301 5.24180 1.1523e-01 1.5954e+00 1 0 0
1302 68.18300 9.7201e+01 1.7530e+01 1 0 0
1303 3.25860 1.0685e-01 8.9707e-01 1 0 0
1304 1.99770 1.6183e-07 1.0821e+00 1 0 0
1305 3.65290 1.5864e-01 1.4319e+00 1 0 0
1306 3.30490 1.2545e-01 8.0758e-01 1 0 0
1307 4.02680 9.8080e-08 1.0892e-01 1 0 0
1308 2576.70000 8.2282e+04 2.8749e+03 1 0 0
1309 44.43500 2.8922e-01 2.0477e+01 1 0 0
1310 28.12500 4.8400e-06 4.0889e+00 1 0 0
1311 8.50600 3.5954e-07 0.0000e+00 1 0 0
1312 3.33950 2.8273e-07 5.9212e-01 1 0 0
1313 18.92200 1.1140e-01 1.2123e+01 1 0 0
1314 2413.50000 5.5839e+04 2.3568e+03 1 0 0
1315 43.98800 9.0272e-02 2.6139e+00 1 0 0
1316 3.85730 2.3585e-06 1.0432e+00 1 0 0
1317 13.72600 2.2873e-06 3.2821e+00 1 0 0
1318 29.54200 1.9860e-06 7.7999e+00 1 0 0
1319 2168.20000 2.3758e+04 1.0156e+03 1 0 0
1320 83.30300 5.7045e+00 1.3688e+01 1 0 0
1321 485.70000 1.3599e+04 9.9813e+01 1 0 0
1322 5.58370 9.3570e-02 1.4970e+00 1 0 0
1323 41.91400 1.3953e-06 0.0000e+00 1 0 0
1324 8.35060 2.7926e-06 1.4136e+00 1 0 0
1325 24.76500 9.2452e-07 7.6902e-07 1 0 0
1326 2.73880 0.0000e+00 0.0000e+00 1 0 0
1327 1.66240 0.0000e+00 5.8495e-08 1 0 0
1328 8.29020 1.3042e-01 2.2503e+00 1 0 0
1329 5.52440 0.0000e+00 4.6283e-01 1 0 0
1330 6.52430 5.5599e-07 1.5413e+00 1 0 0
1331 4.03560 8.4009e-02 4.5293e-01 1 0 0
1332 11.65500 2.8411e-06 5.5178e+00 1 0 0
1333 99.68700 1.0638e-01 3.9493e+01 1 0 0
1334 2281.80000 1.5017e+04 1.0420e+03 1 0 0
1335 18.83900 7.5040e-02 1.1386e+01 1 0 0
1336 2.43180 0.0000e+00 3.7299e-02 1 0 0
1337 0.64844 1.5067e-08 0.0000e+00 1 0 0
1338 61.91300 1.3279e-06 5.8868e-01 1 0 0
1339 87.26800 5.4799e+00 3.1226e+01 1 0 0
1340 15.20600 2.8958e-01 7.0549e+00 1 0 0
1341 4.26980 4.2365e-07 5.7542e-01 1 0 0
1342 1.41790 8.4175e-08 7.7161e-08 1 0 0
1343 3.04100 6.4084e-02 1.6563e+00 1 0 0
1344 2.70800 0.0000e+00 9.9335e-01 1 0 0
1345 4.89190 9.2520e-02 3.4812e+00 1 0 0
1346 12.48600 8.7114e-07 5.0309e+00 1 0 0
1347 34.73500 3.9938e-06 1.3185e+00 1 0 0
1348 1628.90000 5.7707e-02 6.1331e+02 1 0 0
1349 10.27800 1.4663e-01 3.6021e+00 1 0 0
1350 4.18350 1.4663e-01 3.4171e-01 1 0 0
1351 1587.60000 4.8155e+03 5.1698e+02 1 0 0
1352 60.33700 1.0557e-01 3.1608e+01 1 0 0
1353 7.94690 1.3039e-01 3.5940e+00 1 0 0
1354 27.75300 9.2404e-02 1.9253e+01 1 0 0
1355 4.29690 0.0000e+00 1.4613e-07 1 0 0
1356 8.78770 5.9151e-08 0.0000e+00 1 0 0
1357 155.76000 1.3552e-05 2.6515e+01 1 0 0
1358 33.04800 1.0553e-01 2.8119e+01 1 0 0
1359 28.65800 1.2251e+01 2.2230e+01 1 0 0
1360 61.77000 3.7126e-06 8.2010e+00 1 0 0
1361 38.51600 9.0504e-02 4.2557e+00 1 0 0
1362 16.92000 9.4645e-02 1.1158e+01 1 0 0
1363 4.67760 1.0684e-01 9.4373e-01 1 0 0
1364 5.91920 9.2882e-07 7.9584e-01 1 0 0
1365 773.11000 2.0950e-05 4.5492e-05 1 0 0
1366 2.03850 5.4276e-07 1.2277e+00 1 0 0
1367 38.41100 7.0290e+01 8.0209e+00 1 0 0
1368 292.00000 1.1224e+03 0.0000e+00 1 0 0
1369 23.27300 1.2528e-01 7.8753e+00 1 0 0
1370 3.21980 8.7947e-02 9.0789e-01 1 0 0
1371 3.84270 1.2406e-06 1.7336e+00 1 0 0
1372 3.36460 3.7179e-07 8.7920e-01 1 0 0
1373 4.01330 8.9787e-07 8.8299e-01 1 0 0
1374 42.93400 1.0672e-01 3.2522e+01 1 0 0
1375 14.10500 0.0000e+00 0.0000e+00 1 0 0
1376 9.40750 8.2023e-02 2.8319e+00 1 0 0
1377 84.20900 5.8243e+01 6.0253e-06 1 0 0
1378 9.87630 1.4741e-01 9.4627e-01 1 0 0
1379 55.38200 2.9606e-05 4.8115e+00 1 0 0
1380 28.17300 0.0000e+00 1.9114e+01 1 0 0
1381 62.15800 1.2527e-01 4.0438e+01 1 0 0
1382 48.29600 8.6261e+00 4.4696e+01 1 0 0
1383 31.05900 3.3615e+01 3.7982e+01 1 0 0
1384 488.51000 4.6645e+03 1.4283e+02 1 0 0
1385 27.68100 9.8756e-06 8.3228e+00 1 0 0
1386 31.22800 1.0718e-01 4.7090e+00 1 0 0
1387 15.06200 1.0753e-01 2.6160e+00 1 0 0
1388 123.62000 0.0000e+00 9.2748e-06 1 0 0
1389 5.04540 1.4620e-01 5.4770e-01 1 0 0
1390 9.55510 2.8964e-01 5.4412e+00 1 0 0
1391 7.39860 9.4293e-02 2.6816e+00 1 0 0
1392 478.08000 1.2826e+04 1.2268e-05 1 0 0
1393 3.62010 1.8500e-07 1.2543e-08 1 0 0
1394 1.93120 0.0000e+00 3.3679e-08 1 0 0
1395 54.32800 1.9829e+00 2.4495e+00 1 0 0
1396 37.94400 2.4568e+01 2.1868e+01 1 0 0
1397 18.02600 9.2503e-02 1.2302e+01 1 0 0
1398 6.08720 0.0000e+00 1.8013e-07 1 0 0
1399 475.97000 2.2205e-05 1.1663e+01 1 0 0
1400 3.73450 1.0753e-01 1.3055e+00 1 0 0
1401 47.61800 1.1008e-06 4.4197e+00 1 0 0
1402 54.98000 8.7869e-02 4.6994e+01 1 0 0
1403 19.82300 1.0866e-01 1.1459e+01 1 0 0
1404 15.80400 8.5417e-02 6.2394e+00 1 0 0
1405 16.29600 0.0000e+00 0.0000e+00 1 0 0
1406 19.17100 4.8594e+00 4.1426e+00 1 0 0
1407 17.50200 2.0905e-01 3.0372e-01 1 0 0
1408 43.29700 8.2001e-02 1.2907e+01 1 0 0
1409 1.97400 4.1458e-07 5.6819e-01 1 0 0
1410 44.00000 2.5923e+01 5.9797e+00 1 0 0
1411 74.57200 1.0295e-01 2.0076e+01 1 0 0
1412 4.42740 0.0000e+00 6.6200e-01 1 0 0
1413 2.89470 0.0000e+00 1.3311e+00 1 0 0
1414 41.26600 9.2195e-02 7.9354e+00 1 0 0
1415 2068.60000 1.2707e-02 7.1267e+02 1 0 0
1416 3.85900 6.0793e-08 5.9972e-01 1 0 0
1417 58.95800 1.0346e-01 2.6846e+01 1 0 0
1418 1014.40000 3.9787e+04 1.1861e+03 1 0 0
1419 55.95500 1.1877e-01 4.8458e+01 1 0 0
1420 10.47200 1.0364e-01 9.3709e+00 1 0 0
1421 33.58400 8.0403e-02 2.5995e+01 1 0 0
1422 26.93600 1.9839e+01 3.7796e+01 1 0 0
1423 18.68600 3.0093e+00 3.6163e+00 1 0 0
1424 15.40600 1.4652e-01 3.9186e-01 1 0 0
1425 20.17900 4.2761e+00 3.8038e+00 1 0 0
1426 1307.00000 6.4332e+02 4.3317e+02 1 0 0
1427 22.68500 0.0000e+00 0.0000e+00 1 0 0
1428 5.84770 4.3300e-08 0.0000e+00 1 0 0
1429 28.95000 2.1099e-06 7.7480e+00 1 0 0
1430 264.02000 0.0000e+00 0.0000e+00 1 0 0
1431 5.16490 7.9976e-02 2.2543e+00 1 0 0
1432 3.13520 7.1186e-07 9.1531e-01 1 0 0
1433 2581.60000 5.4804e+04 2.3783e+03 1 0 0
1434 39.50300 7.9068e-02 1.1930e+01 1 0 0
1435 3.41690 4.1772e-08 2.5021e+00 1 0 0
1436 542.57000 6.3171e+02 2.7954e+02 1 0 0
1437 24.70300 2.0963e-06 2.5877e+00 1 0 0
1438 2.40840 0.0000e+00 4.4450e-01 1 0 0
1439 2564.40000 3.7290e-03 9.2885e+02 1 0 0
1440 45.68000 9.4144e-02 1.3188e+01 1 0 0
1441 1.99940 0.0000e+00 1.3004e+00 1 0 0
1442 15.70900 2.7123e-07 0.0000e+00 1 0 0
1443 70.71900 0.0000e+00 0.0000e+00 1 0 0
1444 206.69000 0.0000e+00 8.5253e+01 1 0 0
1445 64.15700 3.0800e+01 3.9854e+00 1 0 0
1446 6.74850 2.8957e-01 9.2896e-02 1 0 0
1447 13.04400 1.3468e-06 2.8000e+00 1 0 0
1448 9.13280 8.1837e-02 2.6438e+00 1 0 0
1449 3.69800 9.3617e-02 5.0126e-01 1 0 0
1450 16.66600 8.2060e-02 8.2345e+00 1 0 0
1451 18.74000 0.0000e+00 0.0000e+00 1 0 0
1452 11.21300 3.8036e-06 1.7163e-01 1 0 0
1453 9.05120 1.8831e-07 7.2000e-08 1 0 0
1454 573.45000 0.0000e+00 4.2156e+02 1 0 0
1455 20.62300 1.4749e-01 1.1003e+01 1 0 0
1456 46.34400 1.0930e-05 2.7741e-01 1 0 0
1457 117.17000 6.9275e-06 0.0000e+00 1 0 0
1458 2512.40000 4.4572e-02 1.0046e+03 1 0 0
1459 8.18210 9.2483e-02 1.1015e+00 1 0 0
1460 23.83300 1.0354e-01 2.9531e+00 1 0 0
1461 723.31000 1.8674e+04 6.2715e+02 1 0 0
1462 4.36250 7.9990e-02 4.7249e+00 1 0 0
1463 17.85500 1.4657e-01 2.2935e+01 1 0 0
1464 198.97000 7.7844e+00 8.7230e+01 1 0 0
1465 34.55000 0.0000e+00 5.9019e+00 1 0 0
1466 3.93500 1.0309e-01 8.1062e-01 1 0 0
1467 5.37350 9.4657e-02 2.8301e-01 1 0 0
1468 3.10420 7.9596e-02 7.8417e-01 1 0 0
1469 115.65000 9.3392e-02 6.7186e+01 1 0 0
1470 10.27900 8.7924e-02 1.6362e+00 1 0 0
1471 7.42510 9.7430e-02 1.1576e+00 1 0 0
1472 5.32230 1.0684e-01 8.3445e-01 1 0 0
1473 2.57970 9.4763e-07 4.3151e-01 1 0 0
1474 3035.90000 6.7473e+04 3.1533e+03 1 0 0
1475 63.92100 1.0655e-01 4.8852e+00 1 0 0
1476 89.98800 4.1819e+03 0.0000e+00 1 0 0
1477 706.17000 8.7795e-05 2.0585e+02 1 0 0
1478 33.22100 0.0000e+00 6.3626e-07 1 0 0
1479 142.18000 4.6814e+01 9.3375e+01 1 0 0
1480 46.09500 8.2088e-02 4.0416e+01 1 0 0
1481 12.79800 2.9511e-07 0.0000e+00 1 0 0
1482 45.21400 9.8847e-02 3.1410e+01 1 0 0
1483 13.46200 2.8866e-08 1.9485e-07 1 0 0
1484 14.41000 0.0000e+00 0.0000e+00 1 0 0
1485 9.15130 3.4320e-06 1.4599e+00 1 0 0
1486 49.21000 8.5341e-02 1.4682e+01 1 0 0
1487 493.48000 4.4787e+02 8.8912e+00 1 0 0
1488 7.09310 1.2541e-01 1.9721e+00 1 0 0
1489 59.76900 0.0000e+00 0.0000e+00 1 0 0
1490 39.34300 6.7514e-07 0.0000e+00 1 0 0
1491 106.03000 0.0000e+00 0.0000e+00 1 0 0
1492 5.85070 5.9577e-07 3.6251e-01 1 0 0
1493 3.11440 1.8159e-07 5.4199e-01 1 0 0
1494 4.97060 6.0275e-02 8.8458e-01 1 0 0
1495 1.46000 1.0092e-07 2.3910e-01 1 0 0
1496 3.94280 1.4663e-01 9.2581e-01 1 0 0
1497 62.21700 2.8411e+01 2.5825e+01 1 0 0
1498 9.02950 9.4659e-02 2.9062e-01 1 0 0
1499 1415.60000 3.5962e+04 1.4834e+03 1 0 0
1500 5.58080 1.1893e-01 2.0393e+00 1 0 0
1501 5.79510 1.1894e-01 1.2530e+00 1 0 0
1502 6.15130 1.0307e-01 2.1848e+00 1 0 0
1503 55.97200 3.1516e-06 1.0284e+00 1 0 0
1504 6.95340 1.0866e-01 1.4069e+00 1 0 0
1505 7.08980 1.0865e-01 2.7589e+00 1 0 0
1506 9.67170 1.0680e-01 6.5526e+00 1 0 0
1507 177.41000 0.0000e+00 1.1318e+02 1 0 0
1508 7.21650 3.1361e-06 7.5822e+00 1 0 0
1509 17.26500 6.6374e-07 0.0000e+00 1 0 0
1510 1090.10000 2.2863e-04 3.4827e+02 1 0 0
1511 59.93000 0.0000e+00 2.1485e-06 1 0 0
1512 9.84300 1.0555e-01 1.4951e+00 1 0 0
1513 82.22500 0.0000e+00 0.0000e+00 1 0 0
1514 31.37500 1.5682e-06 5.6505e+00 1 0 0
1515 9.82490 1.3042e-01 1.3525e+01 1 0 0
1516 12.03700 9.0310e-02 1.3744e+01 1 0 0
1517 3.36270 9.0867e-08 1.5381e+00 1 0 0
1518 4.25060 1.2927e-06 7.2906e-01 1 0 0
1519 414.22000 9.1946e+02 2.3469e+02 1 0 0
1520 24.07600 1.1868e-06 9.6932e-01 1 0 0
1521 16.95200 0.0000e+00 1.3244e+00 1 0 0
1522 3.29870 9.9431e-08 3.6941e-01 1 0 0
1523 10.86800 1.5861e-01 2.9649e+00 1 0 0
1524 43.74300 1.3810e-05 4.2862e-01 1 0 0
1525 4.27160 8.8932e-02 8.7365e-01 1 0 0
1526 102.38000 8.0049e-02 1.7038e-01 1 0 0
1527 58.82400 7.9034e-02 1.1910e+01 1 0 0
1528 30.95700 0.0000e+00 0.0000e+00 1 0 0
1529 320.60000 6.0782e+03 3.1565e+00 1 0 0
1530 25.93100 7.9927e-02 7.2234e+00 1 0 0
1531 66.13700 0.0000e+00 1.3340e+01 1 0 0
1532 7.82430 0.0000e+00 0.0000e+00 1 0 0
1533 19.20700 6.4073e-02 1.9226e+00 1 0 0
1534 41.12000 1.1865e-01 3.1179e+01 1 0 0
1535 38.94500 1.6774e+01 2.2047e+01 1 0 0
1536 8.50500 2.8965e-01 9.0053e-01 1 0 0
1537 9.02740 1.5864e-01 4.8662e-01 1 0 0
1538 167.56000 1.5914e+03 2.0940e+01 1 0 0
1539 66.31800 1.1110e-01 8.8176e+00 1 0 0
1540 196.16000 4.7589e+02 7.3357e+01 1 0 0
1541 62.42200 0.0000e+00 8.5091e+00 1 0 0
1542 3.58800 1.2611e-01 1.8469e+00 1 0 0
1543 309.92000 1.9753e-04 1.1023e+02 1 0 0
1544 29.19000 2.7634e+01 7.6969e+00 1 0 0
1545 18.23000 1.0751e-01 6.0597e+00 1 0 0
1546 133.29000 1.1985e-05 1.0010e+01 1 0 0
1547 3.29320 1.4620e-01 6.9382e-01 1 0 0
1548 65.27000 1.7233e+02 1.3333e+01 1 0 0
1549 44.79500 1.0739e-01 1.2960e+01 1 0 0
1550 56.12700 1.3270e-06 5.4337e+00 1 0 0
1551 4.20870 0.0000e+00 5.0725e-01 1 0 0
1552 12.15600 1.0752e-01 6.2970e+00 1 0 0
1553 89.52400 3.1959e-06 2.5363e+01 1 0 0
1554 1852.10000 5.5129e+04 2.2086e+03 1 0 0
1555 10.99900 5.7974e-07 7.2227e-01 1 0 0
1556 26.63000 9.3616e-02 1.7696e+01 1 0 0
1557 7.02070 0.0000e+00 0.0000e+00 1 0 0
1558 778.12000 4.2915e-05 3.5155e+02 1 0 0
1559 10.85500 6.0596e-07 0.0000e+00 1 0 0
1560 8.45350 1.4659e-01 3.3910e+00 1 0 0
1561 317.45000 0.0000e+00 0.0000e+00 1 0 0
1562 320.53000 1.4581e+03 1.1292e+02 1 0 0
1563 60.82700 2.2414e-06 0.0000e+00 1 0 0
1564 100.41000 0.0000e+00 1.7058e-06 1 0 0
1565 79.67500 1.1097e-01 2.3015e+01 1 0 0
1566 290.41000 3.1902e-05 1.0913e+02 1 0 0
1567 63.19600 8.5313e-02 9.7126e+00 1 0 0
1568 9.79970 9.3530e-02 1.5552e-01 1 0 0
1569 4.97910 3.4336e-06 7.8050e-01 1 0 0
1570 12.98300 0.0000e+00 8.9445e+00 1 0 0
1571 3.67490 1.1140e-01 1.0433e+00 1 0 0
1572 4.54360 1.0362e-07 2.4361e-01 1 0 0
1573 15.16500 0.0000e+00 1.0988e+01 1 0 0
1574 40.35900 2.0562e-06 1.8988e+01 1 0 0
1575 6.59910 9.2530e-02 2.9353e+00 1 0 0
1576 6.12570 0.0000e+00 0.0000e+00 1 0 0
1577 26.92100 9.9652e-02 2.0863e+00 1 0 0
1578 2866.90000 9.7366e+02 1.0229e+03 1 0 0
1579 8.07950 1.1522e-01 3.8288e+00 1 0 0
1580 128.26000 0.0000e+00 0.0000e+00 1 0 0
1581 146.38000 7.6702e-06 0.0000e+00 1 0 0
1582 18.87100 5.9633e-07 0.0000e+00 1 0 0
1583 8.79510 8.7941e-02 2.1626e+00 1 0 0
1584 68.28200 1.7582e-05 4.1273e+01 1 0 0
1585 9.04930 8.7947e-02 2.0772e+00 1 0 0
1586 104.30000 8.7199e-05 5.7006e+01 1 0 0
1587 5.76650 1.2884e-07 0.0000e+00 1 0 0
1588 10.37400 0.0000e+00 8.2345e-01 1 0 0
1589 6.90760 9.7317e-07 2.2880e-01 1 0 0
1590 5.84260 8.5401e-02 2.2592e+00 1 0 0
1591 60.11600 1.4375e-05 7.3687e+00 1 0 0
1592 494.57000 6.0019e+01 1.2490e+02 1 0 0
1593 83.11500 6.4549e+01 2.8698e+01 1 0 0
1594 12.26100 0.0000e+00 2.2254e+00 1 0 0
1595 1.82590 0.0000e+00 2.3688e-01 1 0 0
1596 66.60100 1.7186e-06 2.6669e+00 1 0 0
1597 24.91100 5.5072e-02 5.9286e+00 1 0 0
1598 2255.70000 1.7506e+04 7.9809e+02 1 0 0
1599 44.52700 5.1372e+00 1.3396e+01 1 0 0
1600 133.64000 3.6049e-05 7.8255e+00 1 0 0
1601 3.35110 0.0000e+00 3.4141e-01 1 0 0
1602 745.97000 7.1113e+01 1.1565e+02 1 0 0
1603 42.74600 0.0000e+00 9.7513e+00 1 0 0
1604 16.14900 1.3036e-01 1.7443e+00 1 0 0
1605 19.14700 9.3581e-02 9.3225e+00 1 0 0
1606 10.94200 9.4584e-02 2.0290e+00 1 0 0
1607 15.98700 0.0000e+00 5.0035e-07 1 0 0
1608 35.85800 4.8805e+00 2.7137e+00 1 0 0
1609 23.64500 0.0000e+00 3.2576e+00 1 0 0
1610 888.68000 0.0000e+00 2.6280e+02 1 0 0
1611 69.90000 2.9779e-05 2.1965e+01 1 0 0
1612 8.97900 7.5022e-02 4.1265e+00 1 0 0
1613 22.13600 2.4888e-07 0.0000e+00 1 0 0
1614 1.29870 2.2923e-08 0.0000e+00 1 0 0
1615 267.14000 8.7980e-02 1.1596e+02 1 0 0
1616 50.73200 1.0356e-01 1.4764e+01 1 0 0
1617 218.42000 1.4450e-01 5.2638e+01 1 0 0
1618 1.96140 0.0000e+00 9.2614e-08 1 0 0
1619 70.97400 1.1014e+02 1.7805e+01 1 0 0
1620 4.35790 0.0000e+00 1.7977e-07 1 0 0
1621 1.80840 2.2195e-07 4.3583e-01 1 0 0
1622 3.88570 0.0000e+00 0.0000e+00 1 0 0
1623 88.30000 2.2204e-05 2.9471e+00 1 0 0
1624 21.75500 3.8065e+01 6.7497e+00 1 0 0
1625 3074.90000 1.8225e+02 1.0358e+03 1 0 0
1626 5.86920 1.0051e-07 1.8379e-07 1 0 0
1627 13.41900 8.4004e-02 7.0118e+00 1 0 0
1628 2.65110 1.1894e-01 7.9170e-01 1 0 0
1629 65.23600 4.6794e+01 1.9410e+01 1 0 0
1630 5.80630 1.5865e-01 8.6114e-01 1 0 0
1631 2.93010 9.5689e-08 1.8212e-07 1 0 0
1632 4.20100 1.0362e-01 1.0641e+00 1 0 0
1633 3248.90000 1.0283e-02 1.1457e+03 1 0 0
1634 82.96400 1.5127e+01 1.7677e+01 1 0 0
1635 238.20000 0.0000e+00 0.0000e+00 1 0 0
1636 7.39750 9.3597e-02 4.3487e+00 1 0 0
1637 32.09800 5.8814e+01 1.4578e+00 1 0 0
1638 5.11790 0.0000e+00 0.0000e+00 1 0 0
1639 60.36700 2.5132e-06 1.0210e-06 1 0 0
1640 3.68250 1.0308e-01 8.0439e-01 1 0 0
1641 53.77600 2.2748e-06 1.0200e-01 1 0 0
1642 108.19000 7.2575e+01 4.0098e+01 1 0 0
1643 36.52300 3.8534e+01 3.0517e-06 1 0 0
1644 8.04540 8.1827e-02 2.0837e+00 1 0 0
1645 7.77250 1.0684e-01 4.6551e-01 1 0 0
1646 43.28600 1.3039e-01 1.6715e+01 1 0 0
1647 5.03970 1.2061e-07 3.7332e-07 1 0 0
1648 243.31000 3.9712e+02 8.2544e+01 1 0 0
1649 3.58940 5.4039e-07 8.3073e-02 1 0 0
1650 1709.00000 3.7881e-02 6.9731e+02 1 0 0
1651 51.62000 9.4417e-02 5.4290e+00 1 0 0
1652 3.83960 2.9359e-07 5.8058e-03 1 0 0
1653 812.12000 2.7209e+02 2.9352e+02 1 0 0
1654 10.53400 2.9101e-06 5.5028e-01 1 0 0
1655 4.24320 8.8466e-07 5.9853e-01 1 0 0
1656 482.07000 6.5614e+02 1.1931e+02 1 0 0
1657 60.17600 7.9040e-06 4.0514e-01 1 0 0
1658 589.42000 2.2300e-04 1.1504e+02 1 0 0
1659 73.72900 1.3015e-01 4.0347e+01 1 0 0
1660 51.82400 7.4935e-02 2.0255e+01 1 0 0
1661 48.70400 2.4102e-06 8.5299e+00 1 0 0
1662 439.67000 1.4177e+03 9.6110e+01 1 0 0
1663 110.53000 5.8907e+01 5.0963e+01 1 0 0
1664 4.65890 3.7475e-02 8.5685e-01 1 0 0
1665 5.12060 0.0000e+00 1.7122e-01 1 0 0
1666 14.92500 0.0000e+00 1.4916e-01 1 0 0
1667 37.07000 8.1862e-02 6.4518e+00 1 0 0
1668 691.39000 7.2790e+01 2.0262e+02 1 0 0
1669 133.17000 3.1755e+01 3.4204e+01 1 0 0
1670 210.34000 6.9863e+02 8.6879e+01 1 0 0
1671 7.08690 7.9993e-02 2.3169e+00 1 0 0
1672 412.35000 2.6818e+03 2.2635e+02 1 0 0
1673 51.20900 8.3880e-07 5.1219e-01 1 0 0
1674 3.34130 0.0000e+00 4.0795e-01 1 0 0
1675 9.24840 0.0000e+00 3.4360e-01 1 0 0
1676 6.37860 0.0000e+00 3.4455e+00 1 0 0
1677 50.29200 1.1103e-01 8.7038e+00 1 0 0
1678 3.11120 4.9650e-07 5.1822e-01 1 0 0
1679 3.51080 2.4968e-08 1.4101e+00 1 0 0
1680 2.81660 2.1592e-07 8.7539e-01 1 0 0
1681 3.94380 5.7974e-07 2.2112e+00 1 0 0
1682 140.61000 1.1064e+03 0.0000e+00 1 0 0
1683 5.97330 7.9570e-02 1.1908e+00 1 0 0
1684 3.57000 1.5863e-01 6.8899e-01 1 0 0
1685 199.38000 1.6429e-06 0.0000e+00 1 0 0
1686 178.67000 9.0393e-06 3.5762e+01 1 0 0
1687 27.68300 0.0000e+00 0.0000e+00 1 0 0
1688 2.82550 3.9392e-07 1.5574e-01 1 0 0
1689 55.18200 4.3385e+01 4.6503e-01 1 0 0
1690 3.47960 0.0000e+00 1.1327e+00 1 0 0
1691 67.97200 1.5954e-05 1.5469e+01 1 0 0
1692 5.55240 0.0000e+00 6.1944e-01 1 0 0
1693 3.47350 5.0954e-07 8.9668e-02 1 0 0
1694 25.24700 1.4654e-01 6.9739e+00 1 0 0
1695 91.46500 4.5148e-06 0.0000e+00 1 0 0
1696 50.45800 0.0000e+00 4.9918e+00 1 0 0
1697 4.99040 7.9471e-08 1.3572e-01 1 0 0
1698 15.06700 0.0000e+00 0.0000e+00 1 0 0
1699 9.71180 1.3554e-06 5.4476e+00 1 0 0
1700 46.50500 7.5444e-06 2.9863e+01 1 0 0
1701 7.03810 9.2514e-02 1.7720e+00 1 0 0
1702 140.75000 8.3309e-02 4.8996e+01 1 0 0
1703 6.06080 9.3642e-02 4.3251e-01 1 0 0
1704 3.73180 1.5318e-07 5.3829e-01 1 0 0
1705 2.71840 4.6919e-07 9.1942e-01 1 0 0
1706 551.75000 3.8740e-05 8.3937e-06 1 0 0
1707 43.14200 1.0600e+01 4.4344e+00 1 0 0
1708 43.00800 3.9150e-06 9.1137e+00 1 0 0
1709 599.39000 8.2110e+02 5.9172e+01 1 0 0
1710 770.57000 8.9464e+01 1.2751e+02 1 0 0
1711 920.62000 1.2849e-05 4.9969e-05 1 0 0
1712 974.11000 4.2055e-05 3.4971e+02 1 0 0
1713 36.31600 1.1357e-05 4.6677e+00 1 0 0
1714 4.70300 8.0256e-08 1.2065e-01 1 0 0
1715 20.38900 6.6758e-07 3.0249e+00 1 0 0
1716 13.14900 9.9313e-02 3.4732e-01 1 0 0
1717 2.44140 7.0353e-07 1.5871e-01 1 0 0
1718 7.26950 0.0000e+00 6.8752e+00 1 0 0
1719 29.65300 0.0000e+00 7.6071e-07 1 0 0
1720 2211.40000 6.7948e-02 7.5175e+02 1 0 0
1721 105.11000 4.2625e+02 5.1673e+01 1 0 0
1722 3.93020 1.7484e-06 3.4964e-01 1 0 0
1723 4.17050 9.3631e-02 6.0572e-01 1 0 0
1724 2418.80000 7.6347e-02 8.9823e+02 1 0 0
1725 66.43700 3.0895e-06 5.1262e+00 1 0 0
1726 1560.30000 4.7538e+02 4.2580e+02 1 0 0
1727 27.16100 5.3970e-07 0.0000e+00 1 0 0
1728 4.86900 5.6442e-07 2.2401e+00 1 0 0
1729 598.04000 1.4582e+03 1.7426e+02 1 0 0
1730 1736.70000 3.3418e+04 1.7134e+03 1 0 0
1731 10.55900 4.8606e-07 3.0021e-07 1 0 0
1732 9.04570 1.0557e-01 6.1921e+00 1 0 0
1733 5.60710 9.3087e-07 7.6011e-01 1 0 0
1734 1821.30000 1.7430e+04 6.3417e+02 1 0 0
1735 51.66900 9.4495e-02 5.4904e+00 1 0 0
1736 186.78000 0.0000e+00 1.3553e+02 1 0 0
1737 2.52430 0.0000e+00 1.3455e+00 1 0 0
1738 11.63400 3.5033e-07 0.0000e+00 1 0 0
1739 1026.60000 2.1817e+04 1.6106e+03 1 0 0
1740 45.80800 0.0000e+00 1.3190e+01 1 0 0
1741 39.03600 2.2362e-06 0.0000e+00 1 0 0
1742 21.12600 0.0000e+00 0.0000e+00 1 0 0
1743 4.38600 7.2230e-07 8.3190e-02 1 0 0
1744 2.25120 0.0000e+00 6.1135e-01 1 0 0
1745 3.45800 0.0000e+00 8.8621e-01 1 0 0
1746 8.28280 1.4703e-01 2.7337e+00 1 0 0
1747 3.20400 1.0867e-01 1.4204e+00 1 0 0
1748 60.45600 1.6583e-05 3.4699e+00 1 0 0
1749 5.02090 1.4933e-06 6.9360e-02 1 0 0
1750 3.24340 9.4649e-02 9.2016e-01 1 0 0
1751 4.82030 9.0355e-02 5.8790e-01 1 0 0
1752 238.38000 2.5108e-05 4.6566e+01 1 0 0
1753 203.96000 1.6471e+01 3.4576e+00 1 0 0
1754 6.48810 9.1392e-02 1.2918e+00 1 0 0
1755 7.75400 6.0885e-08 9.2989e-01 1 0 0
1756 58.38600 2.8509e+02 2.0068e-06 1 0 0
1757 33.65100 2.7226e-06 2.5377e+01 1 0 0
1758 59.57800 4.3355e+01 4.3218e+01 1 0 0
1759 42.39100 8.7314e-02 3.1580e+00 1 0 0
1760 30.28100 8.9909e-07 3.0757e+00 1 0 0
1761 139.65000 5.0217e-07 2.4648e+00 1 0 0
1762 1.66720 1.6266e-07 5.7056e-03 1 0 0
1763 2395.20000 7.0582e-02 7.3477e+02 1 0 0
1764 16.21200 0.0000e+00 0.0000e+00 1 0 0
1765 46.47700 8.1772e-02 6.5988e+00 1 0 0
1766 9.54010 9.2472e-02 2.3874e+00 1 0 0
1767 5.95510 1.0752e-01 1.0289e+00 1 0 0
1768 40.13000 3.0338e-06 1.2046e-06 1 0 0
1769 4.30210 5.6487e-07 1.9426e+00 1 0 0
1770 7.36800 1.0867e-01 6.7269e-01 1 0 0
1771 1834.20000 6.4885e-02 7.6914e+02 1 0 0
1772 4.43590 4.8353e-07 6.0326e-01 1 0 0
1773 6.62900 3.8245e-07 0.0000e+00 1 0 0
1774 213.21000 5.5773e+02 7.8746e+01 1 0 0
1775 13.51500 8.7948e-02 3.1948e+00 1 0 0
1776 320.81000 0.0000e+00 5.1246e+01 1 0 0
1777 2602.40000 6.2550e+04 2.4870e+03 1 0 0
1778 37.35800 2.8962e-01 2.1575e+01 1 0 0
1779 11.48700 0.0000e+00 3.5943e+00 1 0 0
1780 2.89370 1.2275e-06 1.6065e+00 1 0 0
1781 69.15400 0.0000e+00 4.1927e-06 1 0 0
1782 42.04600 0.0000e+00 1.1255e+00 1 0 0
1783 8.83170 5.6506e-06 4.1067e+00 1 0 0
1784 58.85500 5.8173e-06 1.4939e+01 1 0 0
1785 7.71510 1.3042e-01 5.8311e+00 1 0 0
1786 6.25410 9.2493e-02 2.3310e+00 1 0 0
1787 3.10460 9.9990e-02 6.2198e-01 1 0 0
1788 1054.90000 4.4924e-02 3.7463e+02 1 0 0
1789 63.02900 1.0842e-01 1.8460e+01 1 0 0
1790 2.68180 7.9567e-02 3.0315e-01 1 0 0
1791 40.08800 2.7142e-07 2.0342e+00 1 0 0
1792 99.50500 9.3488e-07 1.1049e-06 1 0 0
1793 1.81180 0.0000e+00 1.7263e-08 1 0 0
1794 21.48700 8.3989e-02 3.8063e+00 1 0 0
1795 15.63000 1.0685e-01 9.8534e+00 1 0 0
1796 113.25000 6.6312e+01 1.6471e+01 1 0 0
1797 12.20100 1.0307e-01 5.8672e+00 1 0 0
1798 642.81000 1.4935e+04 7.6739e+02 1 0 0
1799 5.15450 9.2782e-02 2.7700e+00 1 0 0
1800 94.18500 2.0659e-05 4.2548e+01 1 0 0
1801 1049.10000 8.2287e+03 3.8369e+02 1 0 0
1802 27.69400 9.0643e-02 5.2775e+00 1 0 0
1803 3.57680 3.3957e-07 3.7276e-01 1 0 0
1804 11.89000 8.5360e-02 1.2301e+00 1 0 0
1805 391.86000 5.6322e-02 6.1597e+01 1 0 0
1806 78.33700 1.5799e-01 3.0232e+01 1 0 0
1807 54.94900 1.4964e-06 0.0000e+00 1 0 0
1808 5.45920 0.0000e+00 1.4253e-01 1 0 0
1809 23.77800 7.9166e-02 1.6230e+00 1 0 0
1810 4.91970 7.4303e-08 1.4861e-07 1 0 0
1811 1363.20000 1.4493e+02 3.1191e+02 1 0 0
1812 11.39300 8.2011e-02 5.3348e+00 1 0 0
1813 14.94400 8.8945e-02 7.8533e+00 1 0 0
1814 4.10340 2.8728e-07 5.0756e-02 1 0 0
1815 101.17000 5.1975e+02 1.6571e+01 1 0 0
1816 1516.70000 4.7517e+04 2.2763e+03 1 0 0
1817 58.93900 0.0000e+00 1.9118e+01 1 0 0
1818 70.33500 1.0231e-05 4.5598e+00 1 0 0
1819 16.26800 0.0000e+00 0.0000e+00 1 0 0
1820 6.88550 1.0866e-01 3.7701e-01 1 0 0
1821 34.09100 2.1294e-06 1.9401e-06 1 0 0
1822 48.66200 3.8704e-06 1.3889e+00 1 0 0
1823 4.47890 0.0000e+00 7.8140e-08 1 0 0
1824 2.50180 1.3927e-02 6.5669e-01 1 0 0
1825 24.14900 1.4868e-06 5.8320e+00 1 0 0
1826 5.71700 9.7456e-02 2.4023e+00 1 0 0
1827 8.66420 1.3043e-01 4.5754e-01 1 0 0
1828 93.55300 1.2409e+01 2.2407e+01 1 0 0
1829 1894.00000 5.1050e+04 2.2044e+03 1 0 0
1830 69.37400 3.7096e+01 5.4927e+00 1 0 0
1831 60.62300 1.4756e-05 6.0525e+00 1 0 0
1832 62.44400 8.5045e-06 2.0969e+01 1 0 0
1833 61.16400 8.1950e-02 1.5389e+01 1 0 0
1834 3.50310 3.0868e-08 4.7609e-02 1 0 0
1835 51.14800 6.9510e-06 1.8659e+01 1 0 0
1836 28.14700 0.0000e+00 5.8979e+00 1 0 0
1837 1242.10000 7.6826e+02 4.4533e+02 1 0 0
1838 70.60400 2.3277e+01 9.6559e+00 1 0 0
1839 202.81000 8.0997e-02 1.8313e+01 1 0 0
1840 8.35080 8.2046e-02 2.5412e+00 1 0 0
1841 39.02600 1.0752e-01 2.8768e+01 1 0 0
1842 14.77200 3.0289e-07 1.2906e+01 1 0 0
1843 24.22100 0.0000e+00 8.9057e+00 1 0 0
1844 7.69300 0.0000e+00 1.2614e+00 1 0 0
1845 125.28000 7.2233e+01 0.0000e+00 1 0 0
1846 3.54600 9.4293e-02 1.1502e+00 1 0 0
1847 124.02000 1.4821e+02 2.1888e+01 1 0 0
1848 28.11900 5.2389e-02 3.0928e+00 1 0 0
1849 4.78020 4.8232e-02 6.6995e-02 1 0 0
1850 4.44980 1.3245e-07 2.8280e-01 1 0 0
1851 4.75950 2.1615e-07 2.0406e-01 1 0 0
1852 3.65960 1.0756e-01 2.8434e+00 1 0 0
1853 10.46000 3.8599e-07 3.7362e-01 1 0 0
1854 6.31010 8.7952e-02 1.0468e+00 1 0 0
1855 68.48400 9.1208e-02 8.2276e+00 1 0 0
1856 2.93570 4.9235e-08 4.4954e-01 1 0 0
1857 10.68400 1.4620e-01 1.6976e+00 1 0 0
1858 8.04220 5.5108e-02 1.8105e+00 1 0 0
1859 5.92380 1.1891e-01 7.7002e-01 1 0 0
1860 4.13490 1.1819e-06 3.7458e-01 1 0 0
1861 11.25200 1.0305e-01 8.9565e+00 1 0 0
1862 7.66000 7.9588e-02 1.4763e+00 1 0 0
1863 4.69890 6.4535e-08 6.4535e-08 1 0 0
1864 150.30000 9.1028e-02 2.3458e+01 1 0 0
1865 10.74100 1.5864e-01 3.6512e+00 1 0 0
1866 48.04300 8.8739e-02 8.1801e+00 1 0 0
1867 104.93000 0.0000e+00 0.0000e+00 1 0 0
1868 4.76370 0.0000e+00 0.0000e+00 1 0 1
1869 4.26780 1.1893e-01 1.1837e+00 1 0 0
1870 7.81410 0.0000e+00 0.0000e+00 1 0 0
1871 6.29050 0.0000e+00 0.0000e+00 1 0 0
1872 1.65120 4.4066e-09 3.6355e-08 1 0 0
1873 6.12450 0.0000e+00 2.8993e-07 1 0 0
1874 3.58020 9.7466e-02 1.3298e+00 1 0 0
1875 806.44000 1.9858e+00 2.6665e+02 1 0 0
1876 85.66200 0.0000e+00 2.1830e+01 1 0 0
1877 14.42400 7.9733e-01 4.9388e-07 1 0 0
1878 516.83000 3.8910e+03 0.0000e+00 1 0 0
1879 3.60670 2.4001e-06 4.1528e-01 1 0 0
1880 5.60310 1.0305e-01 2.2277e+00 1 0 0
1881 12.05900 0.0000e+00 0.0000e+00 1 0 0
1882 1502.00000 5.9392e-02 5.1046e+02 1 0 0
1883 3.43420 1.0487e-07 4.2818e-01 1 0 0
1884 4.11770 2.6188e-07 9.8402e-02 1 0 0
1885 15.42400 1.4659e-01 3.3060e+00 1 0 0
1886 394.74000 0.0000e+00 1.2603e+02 1 0 0
s_name
1 Licania_canescens
2 Iryanthera_sagotiana
3 Protium_trifoliolatum
4 Micropholis_cayennensis
5 Protium_gallicum
6 Bocoa_prouacensis
7 Lecythis_persistens
8 Dacryodes_cuspidata
9 Pouteria_cladantha
10 Eschweilera_coriacea
11 Lecythis_persistens
12 Neea_floribunda
13 Protium_sagotianum
14 Couepia_bracteosa
15 Licania_membranacea
16 Eschweilera_grandiflora
17 Brosimum_rubescens
18 Pouteria_filipes
19 Quararibea_duckei
20 Cyrillopsis_paraensis
21 Lecythis_poiteaui
22 Caryocar_glabrum
23 Quararibea_duckei
24 Licania_membranacea
25 Gustavia_hexapetala
26 Cecropia_obtusa
27 Protium_gallicum
28 Protium_opacum
29 Cyrillopsis_paraensis
30 Pouteria_filipes
31 Cordia_sagotii
32 Abarema_jupunba
33 Protium_opacum
34 Caryocar_glabrum
35 Gustavia_hexapetala
36 Qualea_rosea
37 Caryocar_glabrum
38 Dacryodes_cuspidata
39 Hirtella_glandulosa
40 Protium_opacum
41 Cecropia_obtusa
42 Diospyros_carbonaria
43 Brosimum_rubescens
44 Lecythis_poiteaui
45 Pouteria_gonggrijpii
46 Lecythis_poiteaui
47 Brosimum_rubescens
48 Brosimum_rubescens
49 Bocoa_prouacensis
50 Qualea_rosea
51 Diospyros_carbonaria
52 Virola_michelii
53 Licania_membranacea
54 Cecropia_obtusa
55 Cecropia_obtusa
56 Dicorynia_guianensis
57 Pouteria_gonggrijpii
58 Cecropia_obtusa
59 Vouacapoua_americana
60 Quararibea_duckei
61 Micropholis_cayennensis
62 Minquartia_guianensis
63 Protium_trifoliolatum
64 Protium_opacum
65 Lecythis_poiteaui
66 Quararibea_duckei
67 Protium_trifoliolatum
68 Cecropia_obtusa
69 Pouteria_gonggrijpii
70 Licania_membranacea
71 Protium_sagotianum
72 Cordia_sagotii
73 Dicorynia_guianensis
74 Cyrillopsis_paraensis
75 Minquartia_guianensis
76 Unonopsis_rufescens
77 Eschweilera_grandiflora
78 Eschweilera_coriacea
79 Conceveiba_guianensis
80 Licania_membranacea
81 Pouteria_gonggrijpii
82 Conceveiba_guianensis
83 Lecythis_poiteaui
84 Licania_membranacea
85 Minquartia_guianensis
86 Protium_trifoliolatum
87 Virola_michelii
88 Cyrillopsis_paraensis
89 Iryanthera_sagotiana
90 Minquartia_guianensis
91 Cecropia_obtusa
92 Couepia_bracteosa
93 Conceveiba_guianensis
94 Minquartia_guianensis
95 Gustavia_hexapetala
96 Pouteria_gonggrijpii
97 Protium_gallicum
98 Caryocar_glabrum
99 Cupania_scrobiculata
100 Cyrillopsis_paraensis
101 Conceveiba_guianensis
102 Cordia_sagotii
103 Protium_sagotianum
104 Couepia_caryophylloides
105 Protium_gallicum
106 Cyrillopsis_paraensis
107 Carapa_procera
108 Bocoa_prouacensis
109 Micropholis_cayennensis
110 Protium_gallicum
111 Eschweilera_coriacea
112 Licania_membranacea
113 Quararibea_duckei
114 Abarema_jupunba
115 Virola_michelii
116 Neea_floribunda
117 Qualea_rosea
118 Cecropia_obtusa
119 Gustavia_hexapetala
120 Protium_opacum
121 Couepia_caryophylloides
122 Abarema_jupunba
123 Lecythis_poiteaui
124 Gustavia_hexapetala
125 Cecropia_obtusa
126 Theobroma_subincanum
127 Brosimum_rubescens
128 Diospyros_carbonaria
129 Neea_floribunda
130 Bocoa_prouacensis
131 Minquartia_guianensis
132 Drypetes_variabilis
133 Carapa_procera
134 Protium_gallicum
135 Cecropia_obtusa
136 Pouteria_cladantha
137 Cyrillopsis_paraensis
138 Lecythis_persistens
139 Micropholis_cayennensis
140 Cupania_scrobiculata
141 Brosimum_rubescens
142 Minquartia_guianensis
143 Dacryodes_cuspidata
144 Unonopsis_rufescens
145 Qualea_rosea
146 Chrysophyllum_sanguinolentum
147 Qualea_rosea
148 Neea_floribunda
149 Licania_alba
150 Eschweilera_coriacea
151 Couepia_bracteosa
152 Carapa_procera
153 Licania_membranacea
154 Couepia_caryophylloides
155 Unonopsis_rufescens
156 Unonopsis_rufescens
157 Cyrillopsis_paraensis
158 Dacryodes_cuspidata
159 Protium_gallicum
160 Virola_michelii
161 Cyrillopsis_paraensis
162 Cupania_scrobiculata
163 Licania_membranacea
164 Caryocar_glabrum
165 Licania_canescens
166 Brosimum_rubescens
167 Drypetes_variabilis
168 Caryocar_glabrum
169 Conceveiba_guianensis
170 Dacryodes_cuspidata
171 Conceveiba_guianensis
172 Cyrillopsis_paraensis
173 Unonopsis_rufescens
174 Carapa_procera
175 Protium_opacum
176 Protium_trifoliolatum
177 Virola_michelii
178 Minquartia_guianensis
179 Eschweilera_grandiflora
180 Pouteria_cladantha
181 Hirtella_glandulosa
182 Vouacapoua_americana
183 Licania_canescens
184 Lecythis_persistens
185 Conceveiba_guianensis
186 Couepia_caryophylloides
187 Cyrillopsis_paraensis
188 Dacryodes_cuspidata
189 Pouteria_filipes
190 Protium_trifoliolatum
191 Bocoa_prouacensis
192 Chrysophyllum_sanguinolentum
193 Licania_canescens
194 Neea_floribunda
195 Eschweilera_grandiflora
196 Gustavia_hexapetala
197 Bocoa_prouacensis
198 Couepia_bracteosa
199 Licania_canescens
200 Licania_alba
201 Couepia_bracteosa
202 Cordia_sagotii
203 Cordia_sagotii
204 Unonopsis_rufescens
205 Iryanthera_sagotiana
206 Eperua_grandiflora
207 Protium_gallicum
208 Licania_alba
209 Conceveiba_guianensis
210 Caryocar_glabrum
211 Cordia_sagotii
212 Qualea_rosea
213 Quararibea_duckei
214 Couepia_caryophylloides
215 Protium_gallicum
216 Diospyros_carbonaria
217 Neea_floribunda
218 Licania_membranacea
219 Protium_trifoliolatum
220 Carapa_procera
221 Drypetes_variabilis
222 Gustavia_hexapetala
223 Protium_trifoliolatum
224 Cupania_scrobiculata
225 Protium_gallicum
226 Licania_membranacea
227 Lecythis_persistens
228 Qualea_rosea
229 Cupania_scrobiculata
230 Protium_opacum
231 Dicorynia_guianensis
232 Theobroma_subincanum
233 Theobroma_subincanum
234 Pouteria_gonggrijpii
235 Protium_opacum
236 Couepia_caryophylloides
237 Minquartia_guianensis
238 Pouteria_cladantha
239 Pouteria_cladantha
240 Licania_membranacea
241 Licania_alba
242 Diospyros_carbonaria
243 Dacryodes_cuspidata
244 Licania_alba
245 Lecythis_poiteaui
246 Iryanthera_sagotiana
247 Manilkara_huberi
248 Theobroma_subincanum
249 Protium_trifoliolatum
250 Minquartia_guianensis
251 Couepia_caryophylloides
252 Licania_membranacea
253 Cyrillopsis_paraensis
254 Dicorynia_guianensis
255 Qualea_rosea
256 Caryocar_glabrum
257 Dicorynia_guianensis
258 Virola_michelii
259 Unonopsis_rufescens
260 Cyrillopsis_paraensis
261 Pouteria_gonggrijpii
262 Drypetes_variabilis
263 Quararibea_duckei
264 Neea_floribunda
265 Cecropia_obtusa
266 Bocoa_prouacensis
267 Dicorynia_guianensis
268 Dacryodes_cuspidata
269 Conceveiba_guianensis
270 Virola_michelii
271 Iryanthera_sagotiana
272 Protium_trifoliolatum
273 Unonopsis_rufescens
274 Vouacapoua_americana
275 Manilkara_huberi
276 Carapa_procera
277 Neea_floribunda
278 Diospyros_carbonaria
279 Cyrillopsis_paraensis
280 Gustavia_hexapetala
281 Abarema_jupunba
282 Minquartia_guianensis
283 Virola_michelii
284 Diospyros_carbonaria
285 Abarema_jupunba
286 Hirtella_glandulosa
287 Couepia_caryophylloides
288 Neea_floribunda
289 Carapa_procera
290 Brosimum_rubescens
291 Qualea_rosea
292 Diospyros_carbonaria
293 Lecythis_persistens
294 Qualea_rosea
295 Drypetes_variabilis
296 Couepia_bracteosa
297 Pouteria_filipes
298 Brosimum_rubescens
299 Neea_floribunda
300 Couepia_bracteosa
301 Protium_sagotianum
302 Protium_sagotianum
303 Bocoa_prouacensis
304 Couepia_caryophylloides
305 Conceveiba_guianensis
306 Diospyros_carbonaria
307 Licania_alba
308 Couepia_caryophylloides
309 Drypetes_variabilis
310 Theobroma_subincanum
311 Dacryodes_cuspidata
312 Lecythis_poiteaui
313 Couepia_caryophylloides
314 Theobroma_subincanum
315 Bocoa_prouacensis
316 Drypetes_variabilis
317 Protium_gallicum
318 Micropholis_cayennensis
319 Quararibea_duckei
320 Protium_trifoliolatum
321 Quararibea_duckei
322 Abarema_jupunba
323 Carapa_procera
324 Hirtella_glandulosa
325 Quararibea_duckei
326 Protium_opacum
327 Diospyros_carbonaria
328 Pouteria_filipes
329 Protium_opacum
330 Dicorynia_guianensis
331 Dacryodes_cuspidata
332 Virola_michelii
333 Cecropia_obtusa
334 Brosimum_rubescens
335 Diospyros_carbonaria
336 Bocoa_prouacensis
337 Conceveiba_guianensis
338 Pouteria_filipes
339 Cupania_scrobiculata
340 Neea_floribunda
341 Caryocar_glabrum
342 Eperua_grandiflora
343 Protium_sagotianum
344 Cupania_scrobiculata
345 Dacryodes_cuspidata
346 Conceveiba_guianensis
347 Cyrillopsis_paraensis
348 Iryanthera_sagotiana
349 Qualea_rosea
350 Licania_membranacea
351 Diospyros_carbonaria
352 Iryanthera_sagotiana
353 Iryanthera_sagotiana
354 Eperua_grandiflora
355 Cyrillopsis_paraensis
356 Protium_sagotianum
357 Neea_floribunda
358 Cordia_sagotii
359 Theobroma_subincanum
360 Gustavia_hexapetala
361 Lecythis_poiteaui
362 Pouteria_filipes
363 Protium_gallicum
364 Lecythis_poiteaui
365 Pouteria_filipes
366 Cecropia_obtusa
367 Couepia_bracteosa
368 Cordia_sagotii
369 Brosimum_rubescens
370 Unonopsis_rufescens
371 Licania_alba
372 Protium_sagotianum
373 Virola_michelii
374 Licania_alba
375 Unonopsis_rufescens
376 Cecropia_obtusa
377 Pouteria_gonggrijpii
378 Licania_alba
379 Protium_sagotianum
380 Couepia_bracteosa
381 Brosimum_rubescens
382 Quararibea_duckei
383 Abarema_jupunba
384 Cordia_sagotii
385 Qualea_rosea
386 Bocoa_prouacensis
387 Licania_alba
388 Cecropia_obtusa
389 Caryocar_glabrum
390 Protium_trifoliolatum
391 Manilkara_huberi
392 Vouacapoua_americana
393 Protium_opacum
394 Protium_trifoliolatum
395 Protium_trifoliolatum
396 Neea_floribunda
397 Protium_sagotianum
398 Lecythis_persistens
399 Gustavia_hexapetala
400 Licania_membranacea
401 Theobroma_subincanum
402 Theobroma_subincanum
403 Cecropia_obtusa
404 Protium_gallicum
405 Abarema_jupunba
406 Eperua_grandiflora
407 Licania_alba
408 Brosimum_rubescens
409 Licania_canescens
410 Couepia_caryophylloides
411 Minquartia_guianensis
412 Licania_alba
413 Licania_canescens
414 Lecythis_persistens
415 Couepia_bracteosa
416 Protium_gallicum
417 Micropholis_cayennensis
418 Protium_opacum
419 Virola_michelii
420 Drypetes_variabilis
421 Dicorynia_guianensis
422 Protium_trifoliolatum
423 Theobroma_subincanum
424 Hirtella_glandulosa
425 Theobroma_subincanum
426 Pouteria_filipes
427 Protium_trifoliolatum
428 Quararibea_duckei
429 Caryocar_glabrum
430 Protium_sagotianum
431 Pouteria_filipes
432 Cecropia_obtusa
433 Protium_gallicum
434 Couepia_caryophylloides
435 Diospyros_carbonaria
436 Caryocar_glabrum
437 Licania_canescens
438 Lecythis_poiteaui
439 Minquartia_guianensis
440 Cordia_sagotii
441 Virola_michelii
442 Unonopsis_rufescens
443 Caryocar_glabrum
444 Protium_trifoliolatum
445 Iryanthera_sagotiana
446 Vouacapoua_americana
447 Virola_michelii
448 Cecropia_obtusa
449 Cyrillopsis_paraensis
450 Qualea_rosea
451 Cyrillopsis_paraensis
452 Protium_gallicum
453 Iryanthera_sagotiana
454 Gustavia_hexapetala
455 Chrysophyllum_sanguinolentum
456 Couepia_bracteosa
457 Cecropia_obtusa
458 Minquartia_guianensis
459 Minquartia_guianensis
460 Caryocar_glabrum
461 Minquartia_guianensis
462 Iryanthera_sagotiana
463 Lecythis_persistens
464 Lecythis_poiteaui
465 Neea_floribunda
466 Iryanthera_sagotiana
467 Virola_michelii
468 Theobroma_subincanum
469 Cupania_scrobiculata
470 Couepia_caryophylloides
471 Licania_membranacea
472 Eschweilera_grandiflora
473 Protium_gallicum
474 Protium_sagotianum
475 Gustavia_hexapetala
476 Pouteria_cladantha
477 Licania_canescens
478 Pouteria_filipes
479 Cecropia_obtusa
480 Micropholis_cayennensis
481 Cordia_sagotii
482 Minquartia_guianensis
483 Lecythis_poiteaui
484 Abarema_jupunba
485 Lecythis_poiteaui
486 Protium_trifoliolatum
487 Caryocar_glabrum
488 Hirtella_glandulosa
489 Protium_sagotianum
490 Iryanthera_sagotiana
491 Bocoa_prouacensis
492 Cyrillopsis_paraensis
493 Pouteria_cladantha
494 Protium_trifoliolatum
495 Iryanthera_sagotiana
496 Brosimum_rubescens
497 Pouteria_cladantha
498 Bocoa_prouacensis
499 Lecythis_persistens
500 Lecythis_persistens
501 Licania_alba
502 Unonopsis_rufescens
503 Vouacapoua_americana
504 Cupania_scrobiculata
505 Lecythis_persistens
506 Lecythis_poiteaui
507 Micropholis_cayennensis
508 Hirtella_glandulosa
509 Caryocar_glabrum
510 Neea_floribunda
511 Hirtella_glandulosa
512 Vouacapoua_americana
513 Protium_opacum
514 Chrysophyllum_sanguinolentum
515 Licania_membranacea
516 Vouacapoua_americana
517 Quararibea_duckei
518 Micropholis_cayennensis
519 Dacryodes_cuspidata
520 Couepia_bracteosa
521 Dicorynia_guianensis
522 Pouteria_cladantha
523 Carapa_procera
524 Cecropia_obtusa
525 Protium_gallicum
526 Cyrillopsis_paraensis
527 Brosimum_rubescens
528 Cecropia_obtusa
529 Protium_gallicum
530 Protium_gallicum
531 Virola_michelii
532 Pouteria_cladantha
533 Qualea_rosea
534 Brosimum_rubescens
535 Hirtella_glandulosa
536 Micropholis_cayennensis
537 Quararibea_duckei
538 Dacryodes_cuspidata
539 Couepia_caryophylloides
540 Minquartia_guianensis
541 Drypetes_variabilis
542 Gustavia_hexapetala
543 Cordia_sagotii
544 Protium_opacum
545 Drypetes_variabilis
546 Pouteria_cladantha
547 Lecythis_poiteaui
548 Licania_membranacea
549 Unonopsis_rufescens
550 Neea_floribunda
551 Cupania_scrobiculata
552 Protium_trifoliolatum
553 Bocoa_prouacensis
554 Chrysophyllum_sanguinolentum
555 Couepia_bracteosa
556 Protium_sagotianum
557 Unonopsis_rufescens
558 Cyrillopsis_paraensis
559 Cordia_sagotii
560 Dicorynia_guianensis
561 Protium_trifoliolatum
562 Eschweilera_coriacea
563 Diospyros_carbonaria
564 Pouteria_gonggrijpii
565 Lecythis_poiteaui
566 Protium_gallicum
567 Quararibea_duckei
568 Iryanthera_sagotiana
569 Chrysophyllum_sanguinolentum
570 Unonopsis_rufescens
571 Pouteria_cladantha
572 Brosimum_rubescens
573 Virola_michelii
574 Pouteria_cladantha
575 Gustavia_hexapetala
576 Theobroma_subincanum
577 Bocoa_prouacensis
578 Gustavia_hexapetala
579 Neea_floribunda
580 Protium_sagotianum
581 Protium_trifoliolatum
582 Cyrillopsis_paraensis
583 Caryocar_glabrum
584 Protium_trifoliolatum
585 Protium_sagotianum
586 Cordia_sagotii
587 Drypetes_variabilis
588 Protium_sagotianum
589 Cyrillopsis_paraensis
590 Unonopsis_rufescens
591 Dacryodes_cuspidata
592 Dacryodes_cuspidata
593 Neea_floribunda
594 Protium_trifoliolatum
595 Licania_membranacea
596 Dacryodes_cuspidata
597 Protium_trifoliolatum
598 Cecropia_obtusa
599 Cyrillopsis_paraensis
600 Qualea_rosea
601 Carapa_procera
602 Qualea_rosea
603 Minquartia_guianensis
604 Vouacapoua_americana
605 Cyrillopsis_paraensis
606 Drypetes_variabilis
607 Pouteria_filipes
608 Licania_canescens
609 Conceveiba_guianensis
610 Bocoa_prouacensis
611 Dicorynia_guianensis
612 Theobroma_subincanum
613 Cecropia_obtusa
614 Licania_membranacea
615 Theobroma_subincanum
616 Pouteria_cladantha
617 Caryocar_glabrum
618 Theobroma_subincanum
619 Eschweilera_coriacea
620 Protium_sagotianum
621 Vouacapoua_americana
622 Cecropia_obtusa
623 Pouteria_gonggrijpii
624 Hirtella_glandulosa
625 Micropholis_cayennensis
626 Pouteria_filipes
627 Pouteria_filipes
628 Eschweilera_coriacea
629 Cupania_scrobiculata
630 Protium_gallicum
631 Protium_sagotianum
632 Manilkara_huberi
633 Iryanthera_sagotiana
634 Caryocar_glabrum
635 Pouteria_filipes
636 Abarema_jupunba
637 Lecythis_poiteaui
638 Neea_floribunda
639 Protium_trifoliolatum
640 Protium_gallicum
641 Cecropia_obtusa
642 Bocoa_prouacensis
643 Cordia_sagotii
644 Vouacapoua_americana
645 Quararibea_duckei
646 Eperua_grandiflora
647 Abarema_jupunba
648 Theobroma_subincanum
649 Pouteria_gonggrijpii
650 Diospyros_carbonaria
651 Dacryodes_cuspidata
652 Quararibea_duckei
653 Dicorynia_guianensis
654 Licania_membranacea
655 Cordia_sagotii
656 Theobroma_subincanum
657 Cupania_scrobiculata
658 Cyrillopsis_paraensis
659 Cyrillopsis_paraensis
660 Couepia_caryophylloides
661 Caryocar_glabrum
662 Vouacapoua_americana
663 Protium_sagotianum
664 Licania_membranacea
665 Cyrillopsis_paraensis
666 Qualea_rosea
667 Licania_membranacea
668 Carapa_procera
669 Licania_membranacea
670 Unonopsis_rufescens
671 Vouacapoua_americana
672 Conceveiba_guianensis
673 Manilkara_huberi
674 Cyrillopsis_paraensis
675 Hirtella_glandulosa
676 Drypetes_variabilis
677 Pouteria_filipes
678 Cecropia_obtusa
679 Minquartia_guianensis
680 Conceveiba_guianensis
681 Protium_opacum
682 Theobroma_subincanum
683 Dacryodes_cuspidata
684 Diospyros_carbonaria
685 Licania_membranacea
686 Brosimum_rubescens
687 Chrysophyllum_sanguinolentum
688 Cupania_scrobiculata
689 Licania_canescens
690 Couepia_caryophylloides
691 Caryocar_glabrum
692 Qualea_rosea
693 Conceveiba_guianensis
694 Abarema_jupunba
695 Cupania_scrobiculata
696 Pouteria_cladantha
697 Pouteria_cladantha
698 Qualea_rosea
699 Pouteria_filipes
700 Protium_gallicum
701 Abarema_jupunba
702 Protium_trifoliolatum
703 Cupania_scrobiculata
704 Micropholis_cayennensis
705 Micropholis_cayennensis
706 Bocoa_prouacensis
707 Licania_membranacea
708 Cordia_sagotii
709 Vouacapoua_americana
710 Caryocar_glabrum
711 Unonopsis_rufescens
712 Protium_trifoliolatum
713 Lecythis_poiteaui
714 Diospyros_carbonaria
715 Abarema_jupunba
716 Protium_trifoliolatum
717 Lecythis_poiteaui
718 Quararibea_duckei
719 Iryanthera_sagotiana
720 Iryanthera_sagotiana
721 Cyrillopsis_paraensis
722 Cupania_scrobiculata
723 Pouteria_filipes
724 Theobroma_subincanum
725 Minquartia_guianensis
726 Pouteria_gonggrijpii
727 Brosimum_rubescens
728 Iryanthera_sagotiana
729 Cyrillopsis_paraensis
730 Licania_alba
731 Protium_opacum
732 Gustavia_hexapetala
733 Unonopsis_rufescens
734 Eperua_grandiflora
735 Lecythis_poiteaui
736 Virola_michelii
737 Protium_trifoliolatum
738 Pouteria_gonggrijpii
739 Cecropia_obtusa
740 Unonopsis_rufescens
741 Virola_michelii
742 Pouteria_filipes
743 Licania_canescens
744 Hirtella_glandulosa
745 Theobroma_subincanum
746 Minquartia_guianensis
747 Protium_trifoliolatum
748 Caryocar_glabrum
749 Qualea_rosea
750 Licania_alba
751 Eschweilera_coriacea
752 Diospyros_carbonaria
753 Pouteria_gonggrijpii
754 Dacryodes_cuspidata
755 Iryanthera_sagotiana
756 Theobroma_subincanum
757 Neea_floribunda
758 Pouteria_gonggrijpii
759 Unonopsis_rufescens
760 Cordia_sagotii
761 Quararibea_duckei
762 Pouteria_filipes
763 Theobroma_subincanum
764 Conceveiba_guianensis
765 Protium_sagotianum
766 Cupania_scrobiculata
767 Licania_alba
768 Protium_sagotianum
769 Dicorynia_guianensis
770 Dacryodes_cuspidata
771 Vouacapoua_americana
772 Qualea_rosea
773 Lecythis_poiteaui
774 Carapa_procera
775 Licania_canescens
776 Minquartia_guianensis
777 Couepia_caryophylloides
778 Dicorynia_guianensis
779 Brosimum_rubescens
780 Licania_alba
781 Pouteria_gonggrijpii
782 Cecropia_obtusa
783 Protium_opacum
784 Cecropia_obtusa
785 Cyrillopsis_paraensis
786 Cordia_sagotii
787 Quararibea_duckei
788 Micropholis_cayennensis
789 Protium_sagotianum
790 Gustavia_hexapetala
791 Protium_trifoliolatum
792 Conceveiba_guianensis
793 Cyrillopsis_paraensis
794 Protium_opacum
795 Couepia_caryophylloides
796 Caryocar_glabrum
797 Lecythis_poiteaui
798 Theobroma_subincanum
799 Iryanthera_sagotiana
800 Gustavia_hexapetala
801 Iryanthera_sagotiana
802 Pouteria_cladantha
803 Couepia_bracteosa
804 Neea_floribunda
805 Dacryodes_cuspidata
806 Protium_sagotianum
807 Dicorynia_guianensis
808 Protium_opacum
809 Virola_michelii
810 Conceveiba_guianensis
811 Pouteria_cladantha
812 Eperua_grandiflora
813 Diospyros_carbonaria
814 Neea_floribunda
815 Eschweilera_grandiflora
816 Bocoa_prouacensis
817 Chrysophyllum_sanguinolentum
818 Lecythis_persistens
819 Minquartia_guianensis
820 Protium_gallicum
821 Cordia_sagotii
822 Gustavia_hexapetala
823 Cupania_scrobiculata
824 Lecythis_persistens
825 Couepia_bracteosa
826 Caryocar_glabrum
827 Lecythis_persistens
828 Qualea_rosea
829 Eschweilera_coriacea
830 Theobroma_subincanum
831 Licania_membranacea
832 Unonopsis_rufescens
833 Caryocar_glabrum
834 Qualea_rosea
835 Conceveiba_guianensis
836 Couepia_caryophylloides
837 Virola_michelii
838 Minquartia_guianensis
839 Gustavia_hexapetala
840 Protium_gallicum
841 Virola_michelii
842 Cecropia_obtusa
843 Dacryodes_cuspidata
844 Cordia_sagotii
845 Iryanthera_sagotiana
846 Licania_canescens
847 Bocoa_prouacensis
848 Abarema_jupunba
849 Couepia_bracteosa
850 Virola_michelii
851 Dicorynia_guianensis
852 Protium_gallicum
853 Neea_floribunda
854 Lecythis_poiteaui
855 Cecropia_obtusa
856 Abarema_jupunba
857 Conceveiba_guianensis
858 Conceveiba_guianensis
859 Protium_trifoliolatum
860 Brosimum_rubescens
861 Micropholis_cayennensis
862 Qualea_rosea
863 Protium_sagotianum
864 Cordia_sagotii
865 Eschweilera_coriacea
866 Licania_canescens
867 Conceveiba_guianensis
868 Virola_michelii
869 Vouacapoua_americana
870 Chrysophyllum_sanguinolentum
871 Theobroma_subincanum
872 Cyrillopsis_paraensis
873 Hirtella_glandulosa
874 Licania_membranacea
875 Virola_michelii
876 Hirtella_glandulosa
877 Pouteria_cladantha
878 Eperua_grandiflora
879 Conceveiba_guianensis
880 Protium_trifoliolatum
881 Quararibea_duckei
882 Minquartia_guianensis
883 Carapa_procera
884 Gustavia_hexapetala
885 Eperua_grandiflora
886 Bocoa_prouacensis
887 Drypetes_variabilis
888 Eschweilera_coriacea
889 Bocoa_prouacensis
890 Quararibea_duckei
891 Cyrillopsis_paraensis
892 Protium_sagotianum
893 Unonopsis_rufescens
894 Protium_sagotianum
895 Minquartia_guianensis
896 Drypetes_variabilis
897 Eschweilera_coriacea
898 Diospyros_carbonaria
899 Protium_trifoliolatum
900 Cyrillopsis_paraensis
901 Unonopsis_rufescens
902 Gustavia_hexapetala
903 Dacryodes_cuspidata
904 Unonopsis_rufescens
905 Caryocar_glabrum
906 Unonopsis_rufescens
907 Caryocar_glabrum
908 Qualea_rosea
909 Hirtella_glandulosa
910 Drypetes_variabilis
911 Cecropia_obtusa
912 Protium_sagotianum
913 Vouacapoua_americana
914 Iryanthera_sagotiana
915 Carapa_procera
916 Quararibea_duckei
917 Minquartia_guianensis
918 Protium_trifoliolatum
919 Minquartia_guianensis
920 Gustavia_hexapetala
921 Pouteria_gonggrijpii
922 Bocoa_prouacensis
923 Unonopsis_rufescens
924 Manilkara_huberi
925 Carapa_procera
926 Diospyros_carbonaria
927 Licania_alba
928 Protium_sagotianum
929 Couepia_bracteosa
930 Diospyros_carbonaria
931 Eschweilera_coriacea
932 Quararibea_duckei
933 Protium_gallicum
934 Protium_opacum
935 Licania_canescens
936 Virola_michelii
937 Pouteria_cladantha
938 Protium_opacum
939 Neea_floribunda
940 Caryocar_glabrum
941 Licania_alba
942 Cecropia_obtusa
943 Pouteria_gonggrijpii
944 Licania_membranacea
945 Iryanthera_sagotiana
946 Qualea_rosea
947 Pouteria_cladantha
948 Caryocar_glabrum
949 Unonopsis_rufescens
950 Eschweilera_coriacea
951 Couepia_bracteosa
952 Caryocar_glabrum
953 Pouteria_filipes
954 Eschweilera_coriacea
955 Unonopsis_rufescens
956 Quararibea_duckei
957 Eschweilera_coriacea
958 Pouteria_filipes
959 Hirtella_glandulosa
960 Protium_gallicum
961 Theobroma_subincanum
962 Pouteria_gonggrijpii
963 Licania_membranacea
964 Protium_opacum
965 Dicorynia_guianensis
966 Eschweilera_coriacea
967 Brosimum_rubescens
968 Cordia_sagotii
969 Licania_canescens
970 Cyrillopsis_paraensis
971 Virola_michelii
972 Conceveiba_guianensis
973 Protium_gallicum
974 Cecropia_obtusa
975 Eschweilera_coriacea
976 Iryanthera_sagotiana
977 Pouteria_cladantha
978 Protium_gallicum
979 Virola_michelii
980 Eschweilera_coriacea
981 Qualea_rosea
982 Pouteria_cladantha
983 Hirtella_glandulosa
984 Unonopsis_rufescens
985 Pouteria_gonggrijpii
986 Licania_canescens
987 Carapa_procera
988 Brosimum_rubescens
989 Gustavia_hexapetala
990 Diospyros_carbonaria
991 Dicorynia_guianensis
992 Qualea_rosea
993 Dicorynia_guianensis
994 Eschweilera_coriacea
995 Carapa_procera
996 Cyrillopsis_paraensis
997 Virola_michelii
998 Protium_opacum
999 Brosimum_rubescens
1000 Theobroma_subincanum
1001 Abarema_jupunba
1002 Bocoa_prouacensis
1003 Protium_trifoliolatum
1004 Cordia_sagotii
1005 Neea_floribunda
1006 Eschweilera_coriacea
1007 Iryanthera_sagotiana
1008 Licania_alba
1009 Virola_michelii
1010 Eschweilera_coriacea
1011 Unonopsis_rufescens
1012 Dacryodes_cuspidata
1013 Bocoa_prouacensis
1014 Cyrillopsis_paraensis
1015 Diospyros_carbonaria
1016 Unonopsis_rufescens
1017 Pouteria_cladantha
1018 Protium_sagotianum
1019 Diospyros_carbonaria
1020 Brosimum_rubescens
1021 Licania_canescens
1022 Cecropia_obtusa
1023 Protium_gallicum
1024 Vouacapoua_americana
1025 Lecythis_poiteaui
1026 Couepia_caryophylloides
1027 Protium_sagotianum
1028 Virola_michelii
1029 Bocoa_prouacensis
1030 Protium_opacum
1031 Protium_gallicum
1032 Protium_gallicum
1033 Eschweilera_grandiflora
1034 Qualea_rosea
1035 Manilkara_huberi
1036 Neea_floribunda
1037 Eschweilera_coriacea
1038 Couepia_caryophylloides
1039 Couepia_bracteosa
1040 Gustavia_hexapetala
1041 Minquartia_guianensis
1042 Couepia_bracteosa
1043 Licania_membranacea
1044 Cupania_scrobiculata
1045 Dacryodes_cuspidata
1046 Lecythis_poiteaui
1047 Caryocar_glabrum
1048 Protium_trifoliolatum
1049 Bocoa_prouacensis
1050 Lecythis_persistens
1051 Caryocar_glabrum
1052 Diospyros_carbonaria
1053 Licania_canescens
1054 Licania_canescens
1055 Protium_gallicum
1056 Protium_sagotianum
1057 Iryanthera_sagotiana
1058 Licania_canescens
1059 Unonopsis_rufescens
1060 Manilkara_huberi
1061 Gustavia_hexapetala
1062 Hirtella_glandulosa
1063 Virola_michelii
1064 Licania_alba
1065 Couepia_caryophylloides
1066 Neea_floribunda
1067 Cecropia_obtusa
1068 Pouteria_filipes
1069 Eperua_grandiflora
1070 Protium_trifoliolatum
1071 Hirtella_glandulosa
1072 Quararibea_duckei
1073 Qualea_rosea
1074 Protium_trifoliolatum
1075 Neea_floribunda
1076 Drypetes_variabilis
1077 Licania_alba
1078 Hirtella_glandulosa
1079 Pouteria_cladantha
1080 Pouteria_cladantha
1081 Diospyros_carbonaria
1082 Licania_alba
1083 Qualea_rosea
1084 Pouteria_gonggrijpii
1085 Cecropia_obtusa
1086 Minquartia_guianensis
1087 Cecropia_obtusa
1088 Brosimum_rubescens
1089 Pouteria_gonggrijpii
1090 Cyrillopsis_paraensis
1091 Gustavia_hexapetala
1092 Bocoa_prouacensis
1093 Drypetes_variabilis
1094 Neea_floribunda
1095 Iryanthera_sagotiana
1096 Protium_gallicum
1097 Dacryodes_cuspidata
1098 Quararibea_duckei
1099 Gustavia_hexapetala
1100 Licania_alba
1101 Dicorynia_guianensis
1102 Micropholis_cayennensis
1103 Cupania_scrobiculata
1104 Neea_floribunda
1105 Cyrillopsis_paraensis
1106 Licania_canescens
1107 Protium_opacum
1108 Cupania_scrobiculata
1109 Abarema_jupunba
1110 Brosimum_rubescens
1111 Carapa_procera
1112 Protium_sagotianum
1113 Minquartia_guianensis
1114 Eschweilera_coriacea
1115 Licania_alba
1116 Protium_opacum
1117 Qualea_rosea
1118 Carapa_procera
1119 Cordia_sagotii
1120 Quararibea_duckei
1121 Cecropia_obtusa
1122 Quararibea_duckei
1123 Quararibea_duckei
1124 Eperua_grandiflora
1125 Virola_michelii
1126 Quararibea_duckei
1127 Neea_floribunda
1128 Dacryodes_cuspidata
1129 Cupania_scrobiculata
1130 Neea_floribunda
1131 Cecropia_obtusa
1132 Pouteria_cladantha
1133 Manilkara_huberi
1134 Lecythis_persistens
1135 Neea_floribunda
1136 Iryanthera_sagotiana
1137 Hirtella_glandulosa
1138 Licania_alba
1139 Cecropia_obtusa
1140 Eperua_grandiflora
1141 Hirtella_glandulosa
1142 Dicorynia_guianensis
1143 Carapa_procera
1144 Theobroma_subincanum
1145 Neea_floribunda
1146 Eschweilera_coriacea
1147 Pouteria_cladantha
1148 Licania_membranacea
1149 Neea_floribunda
1150 Protium_opacum
1151 Eschweilera_coriacea
1152 Couepia_bracteosa
1153 Pouteria_gonggrijpii
1154 Drypetes_variabilis
1155 Dicorynia_guianensis
1156 Cyrillopsis_paraensis
1157 Cupania_scrobiculata
1158 Eperua_grandiflora
1159 Hirtella_glandulosa
1160 Minquartia_guianensis
1161 Lecythis_poiteaui
1162 Unonopsis_rufescens
1163 Eperua_grandiflora
1164 Licania_alba
1165 Licania_alba
1166 Cyrillopsis_paraensis
1167 Neea_floribunda
1168 Protium_gallicum
1169 Eschweilera_grandiflora
1170 Dacryodes_cuspidata
1171 Iryanthera_sagotiana
1172 Theobroma_subincanum
1173 Licania_membranacea
1174 Licania_canescens
1175 Licania_alba
1176 Cyrillopsis_paraensis
1177 Cecropia_obtusa
1178 Bocoa_prouacensis
1179 Pouteria_filipes
1180 Lecythis_poiteaui
1181 Protium_gallicum
1182 Protium_trifoliolatum
1183 Eschweilera_coriacea
1184 Brosimum_rubescens
1185 Protium_gallicum
1186 Theobroma_subincanum
1187 Cyrillopsis_paraensis
1188 Couepia_bracteosa
1189 Cyrillopsis_paraensis
1190 Minquartia_guianensis
1191 Lecythis_persistens
1192 Theobroma_subincanum
1193 Pouteria_gonggrijpii
1194 Protium_trifoliolatum
1195 Protium_sagotianum
1196 Protium_opacum
1197 Micropholis_cayennensis
1198 Caryocar_glabrum
1199 Neea_floribunda
1200 Pouteria_cladantha
1201 Pouteria_filipes
1202 Theobroma_subincanum
1203 Protium_trifoliolatum
1204 Caryocar_glabrum
1205 Dacryodes_cuspidata
1206 Conceveiba_guianensis
1207 Neea_floribunda
1208 Theobroma_subincanum
1209 Gustavia_hexapetala
1210 Bocoa_prouacensis
1211 Protium_gallicum
1212 Caryocar_glabrum
1213 Pouteria_cladantha
1214 Virola_michelii
1215 Eperua_grandiflora
1216 Caryocar_glabrum
1217 Diospyros_carbonaria
1218 Lecythis_poiteaui
1219 Neea_floribunda
1220 Lecythis_persistens
1221 Unonopsis_rufescens
1222 Cordia_sagotii
1223 Abarema_jupunba
1224 Protium_trifoliolatum
1225 Virola_michelii
1226 Gustavia_hexapetala
1227 Hirtella_glandulosa
1228 Diospyros_carbonaria
1229 Carapa_procera
1230 Licania_canescens
1231 Cupania_scrobiculata
1232 Eschweilera_coriacea
1233 Hirtella_glandulosa
1234 Protium_trifoliolatum
1235 Cordia_sagotii
1236 Hirtella_glandulosa
1237 Abarema_jupunba
1238 Carapa_procera
1239 Licania_alba
1240 Bocoa_prouacensis
1241 Chrysophyllum_sanguinolentum
1242 Licania_alba
1243 Protium_sagotianum
1244 Bocoa_prouacensis
1245 Protium_gallicum
1246 Dicorynia_guianensis
1247 Minquartia_guianensis
1248 Gustavia_hexapetala
1249 Vouacapoua_americana
1250 Micropholis_cayennensis
1251 Couepia_caryophylloides
1252 Protium_sagotianum
1253 Gustavia_hexapetala
1254 Hirtella_glandulosa
1255 Iryanthera_sagotiana
1256 Neea_floribunda
1257 Conceveiba_guianensis
1258 Cecropia_obtusa
1259 Cordia_sagotii
1260 Neea_floribunda
1261 Qualea_rosea
1262 Bocoa_prouacensis
1263 Caryocar_glabrum
1264 Brosimum_rubescens
1265 Quararibea_duckei
1266 Manilkara_huberi
1267 Quararibea_duckei
1268 Eschweilera_grandiflora
1269 Protium_opacum
1270 Cyrillopsis_paraensis
1271 Cecropia_obtusa
1272 Carapa_procera
1273 Protium_trifoliolatum
1274 Gustavia_hexapetala
1275 Protium_trifoliolatum
1276 Cordia_sagotii
1277 Brosimum_rubescens
1278 Caryocar_glabrum
1279 Lecythis_poiteaui
1280 Protium_opacum
1281 Couepia_caryophylloides
1282 Qualea_rosea
1283 Dicorynia_guianensis
1284 Lecythis_persistens
1285 Gustavia_hexapetala
1286 Quararibea_duckei
1287 Neea_floribunda
1288 Eperua_grandiflora
1289 Cecropia_obtusa
1290 Quararibea_duckei
1291 Vouacapoua_americana
1292 Gustavia_hexapetala
1293 Cupania_scrobiculata
1294 Bocoa_prouacensis
1295 Carapa_procera
1296 Dacryodes_cuspidata
1297 Lecythis_persistens
1298 Caryocar_glabrum
1299 Cupania_scrobiculata
1300 Dacryodes_cuspidata
1301 Pouteria_cladantha
1302 Couepia_bracteosa
1303 Couepia_caryophylloides
1304 Caryocar_glabrum
1305 Licania_canescens
1306 Licania_alba
1307 Caryocar_glabrum
1308 Vouacapoua_americana
1309 Unonopsis_rufescens
1310 Cyrillopsis_paraensis
1311 Brosimum_rubescens
1312 Diospyros_carbonaria
1313 Couepia_bracteosa
1314 Virola_michelii
1315 Vouacapoua_americana
1316 Pouteria_cladantha
1317 Couepia_bracteosa
1318 Diospyros_carbonaria
1319 Virola_michelii
1320 Vouacapoua_americana
1321 Brosimum_rubescens
1322 Protium_trifoliolatum
1323 Pouteria_filipes
1324 Lecythis_poiteaui
1325 Manilkara_huberi
1326 Minquartia_guianensis
1327 Hirtella_glandulosa
1328 Bocoa_prouacensis
1329 Licania_alba
1330 Micropholis_cayennensis
1331 Dicorynia_guianensis
1332 Diospyros_carbonaria
1333 Couepia_caryophylloides
1334 Qualea_rosea
1335 Iryanthera_sagotiana
1336 Pouteria_cladantha
1337 Hirtella_glandulosa
1338 Eschweilera_grandiflora
1339 Gustavia_hexapetala
1340 Unonopsis_rufescens
1341 Licania_membranacea
1342 Pouteria_filipes
1343 Neea_floribunda
1344 Protium_trifoliolatum
1345 Theobroma_subincanum
1346 Dicorynia_guianensis
1347 Protium_gallicum
1348 Qualea_rosea
1349 Protium_gallicum
1350 Protium_gallicum
1351 Micropholis_cayennensis
1352 Hirtella_glandulosa
1353 Bocoa_prouacensis
1354 Theobroma_subincanum
1355 Unonopsis_rufescens
1356 Quararibea_duckei
1357 Gustavia_hexapetala
1358 Hirtella_glandulosa
1359 Cordia_sagotii
1360 Dacryodes_cuspidata
1361 Cupania_scrobiculata
1362 Conceveiba_guianensis
1363 Couepia_caryophylloides
1364 Brosimum_rubescens
1365 Pouteria_filipes
1366 Qualea_rosea
1367 Licania_canescens
1368 Iryanthera_sagotiana
1369 Licania_alba
1370 Brosimum_rubescens
1371 Couepia_caryophylloides
1372 Neea_floribunda
1373 Pouteria_filipes
1374 Eschweilera_coriacea
1375 Manilkara_huberi
1376 Virola_michelii
1377 Cyrillopsis_paraensis
1378 Licania_membranacea
1379 Abarema_jupunba
1380 Licania_membranacea
1381 Licania_alba
1382 Theobroma_subincanum
1383 Cyrillopsis_paraensis
1384 Protium_gallicum
1385 Iryanthera_sagotiana
1386 Cyrillopsis_paraensis
1387 Cyrillopsis_paraensis
1388 Quararibea_duckei
1389 Pouteria_gonggrijpii
1390 Unonopsis_rufescens
1391 Lecythis_persistens
1392 Conceveiba_guianensis
1393 Dacryodes_cuspidata
1394 Hirtella_glandulosa
1395 Brosimum_rubescens
1396 Theobroma_subincanum
1397 Theobroma_subincanum
1398 Iryanthera_sagotiana
1399 Abarema_jupunba
1400 Cyrillopsis_paraensis
1401 Cecropia_obtusa
1402 Brosimum_rubescens
1403 Lecythis_poiteaui
1404 Eschweilera_grandiflora
1405 Pouteria_filipes
1406 Neea_floribunda
1407 Lecythis_persistens
1408 Virola_michelii
1409 Cupania_scrobiculata
1410 Qualea_rosea
1411 Protium_sagotianum
1412 Protium_sagotianum
1413 Protium_trifoliolatum
1414 Theobroma_subincanum
1415 Cecropia_obtusa
1416 Pouteria_filipes
1417 Carapa_procera
1418 Diospyros_carbonaria
1419 Eperua_grandiflora
1420 Carapa_procera
1421 Chrysophyllum_sanguinolentum
1422 Protium_trifoliolatum
1423 Abarema_jupunba
1424 Protium_gallicum
1425 Dicorynia_guianensis
1426 Cordia_sagotii
1427 Diospyros_carbonaria
1428 Eschweilera_grandiflora
1429 Minquartia_guianensis
1430 Qualea_rosea
1431 Licania_alba
1432 Gustavia_hexapetala
1433 Virola_michelii
1434 Gustavia_hexapetala
1435 Licania_canescens
1436 Protium_trifoliolatum
1437 Diospyros_carbonaria
1438 Hirtella_glandulosa
1439 Cecropia_obtusa
1440 Lecythis_persistens
1441 Cyrillopsis_paraensis
1442 Pouteria_filipes
1443 Protium_gallicum
1444 Protium_gallicum
1445 Protium_trifoliolatum
1446 Unonopsis_rufescens
1447 Pouteria_filipes
1448 Abarema_jupunba
1449 Protium_trifoliolatum
1450 Virola_michelii
1451 Eschweilera_coriacea
1452 Lecythis_poiteaui
1453 Virola_michelii
1454 Abarema_jupunba
1455 Licania_membranacea
1456 Protium_opacum
1457 Licania_canescens
1458 Virola_michelii
1459 Theobroma_subincanum
1460 Carapa_procera
1461 Licania_alba
1462 Micropholis_cayennensis
1463 Protium_gallicum
1464 Virola_michelii
1465 Hirtella_glandulosa
1466 Protium_sagotianum
1467 Conceveiba_guianensis
1468 Gustavia_hexapetala
1469 Protium_trifoliolatum
1470 Brosimum_rubescens
1471 Minquartia_guianensis
1472 Couepia_caryophylloides
1473 Cyrillopsis_paraensis
1474 Cordia_sagotii
1475 Couepia_caryophylloides
1476 Unonopsis_rufescens
1477 Protium_gallicum
1478 Carapa_procera
1479 Pouteria_cladantha
1480 Virola_michelii
1481 Gustavia_hexapetala
1482 Pouteria_filipes
1483 Eschweilera_grandiflora
1484 Hirtella_glandulosa
1485 Pouteria_cladantha
1486 Eschweilera_grandiflora
1487 Protium_gallicum
1488 Licania_alba
1489 Licania_alba
1490 Micropholis_cayennensis
1491 Dicorynia_guianensis
1492 Dacryodes_cuspidata
1493 Conceveiba_guianensis
1494 Brosimum_rubescens
1495 Dicorynia_guianensis
1496 Protium_gallicum
1497 Iryanthera_sagotiana
1498 Conceveiba_guianensis
1499 Dacryodes_cuspidata
1500 Quararibea_duckei
1501 Quararibea_duckei
1502 Protium_sagotianum
1503 Vouacapoua_americana
1504 Lecythis_poiteaui
1505 Lecythis_poiteaui
1506 Couepia_caryophylloides
1507 Eperua_grandiflora
1508 Cyrillopsis_paraensis
1509 Cecropia_obtusa
1510 Abarema_jupunba
1511 Unonopsis_rufescens
1512 Hirtella_glandulosa
1513 Gustavia_hexapetala
1514 Iryanthera_sagotiana
1515 Bocoa_prouacensis
1516 Vouacapoua_americana
1517 Lecythis_persistens
1518 Iryanthera_sagotiana
1519 Drypetes_variabilis
1520 Iryanthera_sagotiana
1521 Protium_trifoliolatum
1522 Neea_floribunda
1523 Licania_canescens
1524 Caryocar_glabrum
1525 Dacryodes_cuspidata
1526 Chrysophyllum_sanguinolentum
1527 Diospyros_carbonaria
1528 Couepia_bracteosa
1529 Unonopsis_rufescens
1530 Micropholis_cayennensis
1531 Cyrillopsis_paraensis
1532 Eschweilera_coriacea
1533 Neea_floribunda
1534 Eperua_grandiflora
1535 Unonopsis_rufescens
1536 Unonopsis_rufescens
1537 Licania_canescens
1538 Gustavia_hexapetala
1539 Couepia_bracteosa
1540 Eperua_grandiflora
1541 Abarema_jupunba
1542 Bocoa_prouacensis
1543 Pouteria_filipes
1544 Eschweilera_coriacea
1545 Cyrillopsis_paraensis
1546 Brosimum_rubescens
1547 Pouteria_gonggrijpii
1548 Licania_canescens
1549 Cyrillopsis_paraensis
1550 Unonopsis_rufescens
1551 Brosimum_rubescens
1552 Cyrillopsis_paraensis
1553 Brosimum_rubescens
1554 Pouteria_filipes
1555 Licania_membranacea
1556 Protium_trifoliolatum
1557 Eschweilera_grandiflora
1558 Vouacapoua_americana
1559 Carapa_procera
1560 Protium_gallicum
1561 Pouteria_gonggrijpii
1562 Gustavia_hexapetala
1563 Lecythis_persistens
1564 Dacryodes_cuspidata
1565 Couepia_bracteosa
1566 Virola_michelii
1567 Eschweilera_grandiflora
1568 Protium_trifoliolatum
1569 Cordia_sagotii
1570 Diospyros_carbonaria
1571 Couepia_bracteosa
1572 Gustavia_hexapetala
1573 Couepia_bracteosa
1574 Pouteria_cladantha
1575 Theobroma_subincanum
1576 Cordia_sagotii
1577 Protium_opacum
1578 Eschweilera_coriacea
1579 Pouteria_cladantha
1580 Drypetes_variabilis
1581 Brosimum_rubescens
1582 Eperua_grandiflora
1583 Brosimum_rubescens
1584 Cyrillopsis_paraensis
1585 Brosimum_rubescens
1586 Dicorynia_guianensis
1587 Pouteria_gonggrijpii
1588 Cyrillopsis_paraensis
1589 Gustavia_hexapetala
1590 Eschweilera_grandiflora
1591 Eperua_grandiflora
1592 Vouacapoua_americana
1593 Pouteria_filipes
1594 Diospyros_carbonaria
1595 Dicorynia_guianensis
1596 Licania_canescens
1597 Cecropia_obtusa
1598 Protium_sagotianum
1599 Licania_canescens
1600 Drypetes_variabilis
1601 Eperua_grandiflora
1602 Protium_gallicum
1603 Minquartia_guianensis
1604 Bocoa_prouacensis
1605 Protium_trifoliolatum
1606 Conceveiba_guianensis
1607 Cupania_scrobiculata
1608 Eschweilera_grandiflora
1609 Pouteria_cladantha
1610 Eschweilera_coriacea
1611 Pouteria_filipes
1612 Iryanthera_sagotiana
1613 Drypetes_variabilis
1614 Drypetes_variabilis
1615 Dacryodes_cuspidata
1616 Carapa_procera
1617 Protium_gallicum
1618 Protium_opacum
1619 Caryocar_glabrum
1620 Brosimum_rubescens
1621 Protium_trifoliolatum
1622 Pouteria_cladantha
1623 Qualea_rosea
1624 Cyrillopsis_paraensis
1625 Cecropia_obtusa
1626 Couepia_caryophylloides
1627 Dicorynia_guianensis
1628 Quararibea_duckei
1629 Bocoa_prouacensis
1630 Licania_canescens
1631 Cyrillopsis_paraensis
1632 Carapa_procera
1633 Cecropia_obtusa
1634 Cyrillopsis_paraensis
1635 Protium_opacum
1636 Protium_trifoliolatum
1637 Licania_canescens
1638 Iryanthera_sagotiana
1639 Theobroma_subincanum
1640 Protium_sagotianum
1641 Unonopsis_rufescens
1642 Protium_gallicum
1643 Iryanthera_sagotiana
1644 Abarema_jupunba
1645 Couepia_caryophylloides
1646 Bocoa_prouacensis
1647 Couepia_caryophylloides
1648 Licania_membranacea
1649 Neea_floribunda
1650 Neea_floribunda
1651 Conceveiba_guianensis
1652 Licania_membranacea
1653 Chrysophyllum_sanguinolentum
1654 Diospyros_carbonaria
1655 Unonopsis_rufescens
1656 Dicorynia_guianensis
1657 Dicorynia_guianensis
1658 Carapa_procera
1659 Bocoa_prouacensis
1660 Iryanthera_sagotiana
1661 Drypetes_variabilis
1662 Quararibea_duckei
1663 Cyrillopsis_paraensis
1664 Protium_trifoliolatum
1665 Conceveiba_guianensis
1666 Hirtella_glandulosa
1667 Virola_michelii
1668 Protium_opacum
1669 Caryocar_glabrum
1670 Unonopsis_rufescens
1671 Micropholis_cayennensis
1672 Minquartia_guianensis
1673 Qualea_rosea
1674 Gustavia_hexapetala
1675 Licania_membranacea
1676 Quararibea_duckei
1677 Couepia_bracteosa
1678 Diospyros_carbonaria
1679 Brosimum_rubescens
1680 Chrysophyllum_sanguinolentum
1681 Licania_membranacea
1682 Brosimum_rubescens
1683 Gustavia_hexapetala
1684 Licania_canescens
1685 Unonopsis_rufescens
1686 Conceveiba_guianensis
1687 Diospyros_carbonaria
1688 Licania_membranacea
1689 Caryocar_glabrum
1690 Cyrillopsis_paraensis
1691 Dacryodes_cuspidata
1692 Vouacapoua_americana
1693 Virola_michelii
1694 Protium_gallicum
1695 Protium_gallicum
1696 Theobroma_subincanum
1697 Iryanthera_sagotiana
1698 Couepia_bracteosa
1699 Couepia_caryophylloides
1700 Iryanthera_sagotiana
1701 Theobroma_subincanum
1702 Dicorynia_guianensis
1703 Protium_trifoliolatum
1704 Gustavia_hexapetala
1705 Cyrillopsis_paraensis
1706 Conceveiba_guianensis
1707 Cyrillopsis_paraensis
1708 Brosimum_rubescens
1709 Qualea_rosea
1710 Protium_opacum
1711 Protium_sagotianum
1712 Neea_floribunda
1713 Licania_membranacea
1714 Cyrillopsis_paraensis
1715 Theobroma_subincanum
1716 Drypetes_variabilis
1717 Abarema_jupunba
1718 Lecythis_persistens
1719 Lecythis_poiteaui
1720 Protium_opacum
1721 Bocoa_prouacensis
1722 Cecropia_obtusa
1723 Protium_trifoliolatum
1724 Protium_sagotianum
1725 Minquartia_guianensis
1726 Caryocar_glabrum
1727 Abarema_jupunba
1728 Dacryodes_cuspidata
1729 Eperua_grandiflora
1730 Qualea_rosea
1731 Cupania_scrobiculata
1732 Hirtella_glandulosa
1733 Lecythis_poiteaui
1734 Protium_sagotianum
1735 Conceveiba_guianensis
1736 Cordia_sagotii
1737 Diospyros_carbonaria
1738 Lecythis_poiteaui
1739 Neea_floribunda
1740 Dacryodes_cuspidata
1741 Caryocar_glabrum
1742 Diospyros_carbonaria
1743 Cyrillopsis_paraensis
1744 Cyrillopsis_paraensis
1745 Diospyros_carbonaria
1746 Unonopsis_rufescens
1747 Lecythis_poiteaui
1748 Couepia_bracteosa
1749 Couepia_caryophylloides
1750 Conceveiba_guianensis
1751 Vouacapoua_americana
1752 Caryocar_glabrum
1753 Couepia_caryophylloides
1754 Qualea_rosea
1755 Eschweilera_coriacea
1756 Dacryodes_cuspidata
1757 Lecythis_poiteaui
1758 Brosimum_rubescens
1759 Brosimum_rubescens
1760 Quararibea_duckei
1761 Eperua_grandiflora
1762 Quararibea_duckei
1763 Cordia_sagotii
1764 Eperua_grandiflora
1765 Abarema_jupunba
1766 Theobroma_subincanum
1767 Cyrillopsis_paraensis
1768 Protium_sagotianum
1769 Licania_membranacea
1770 Lecythis_poiteaui
1771 Qualea_rosea
1772 Protium_trifoliolatum
1773 Dicorynia_guianensis
1774 Protium_gallicum
1775 Brosimum_rubescens
1776 Neea_floribunda
1777 Cordia_sagotii
1778 Unonopsis_rufescens
1779 Licania_canescens
1780 Diospyros_carbonaria
1781 Diospyros_carbonaria
1782 Gustavia_hexapetala
1783 Carapa_procera
1784 Carapa_procera
1785 Bocoa_prouacensis
1786 Theobroma_subincanum
1787 Protium_opacum
1788 Neea_floribunda
1789 Lecythis_poiteaui
1790 Protium_gallicum
1791 Manilkara_huberi
1792 Dicorynia_guianensis
1793 Dicorynia_guianensis
1794 Dicorynia_guianensis
1795 Couepia_caryophylloides
1796 Couepia_caryophylloides
1797 Protium_sagotianum
1798 Bocoa_prouacensis
1799 Caryocar_glabrum
1800 Lecythis_poiteaui
1801 Neea_floribunda
1802 Cupania_scrobiculata
1803 Brosimum_rubescens
1804 Eschweilera_grandiflora
1805 Neea_floribunda
1806 Licania_canescens
1807 Pouteria_filipes
1808 Dacryodes_cuspidata
1809 Gustavia_hexapetala
1810 Cordia_sagotii
1811 Protium_sagotianum
1812 Virola_michelii
1813 Dacryodes_cuspidata
1814 Minquartia_guianensis
1815 Protium_trifoliolatum
1816 Caryocar_glabrum
1817 Theobroma_subincanum
1818 Cecropia_obtusa
1819 Dacryodes_cuspidata
1820 Lecythis_poiteaui
1821 Quararibea_duckei
1822 Pouteria_cladantha
1823 Protium_gallicum
1824 Couepia_bracteosa
1825 Couepia_bracteosa
1826 Minquartia_guianensis
1827 Bocoa_prouacensis
1828 Lecythis_persistens
1829 Brosimum_rubescens
1830 Protium_sagotianum
1831 Pouteria_cladantha
1832 Manilkara_huberi
1833 Virola_michelii
1834 Cyrillopsis_paraensis
1835 Diospyros_carbonaria
1836 Protium_trifoliolatum
1837 Theobroma_subincanum
1838 Carapa_procera
1839 Virola_michelii
1840 Virola_michelii
1841 Cyrillopsis_paraensis
1842 Lecythis_persistens
1843 Quararibea_duckei
1844 Theobroma_subincanum
1845 Neea_floribunda
1846 Lecythis_persistens
1847 Protium_sagotianum
1848 Protium_sagotianum
1849 Chrysophyllum_sanguinolentum
1850 Iryanthera_sagotiana
1851 Neea_floribunda
1852 Cyrillopsis_paraensis
1853 Cupania_scrobiculata
1854 Brosimum_rubescens
1855 Qualea_rosea
1856 Carapa_procera
1857 Pouteria_gonggrijpii
1858 Cecropia_obtusa
1859 Quararibea_duckei
1860 Caryocar_glabrum
1861 Protium_sagotianum
1862 Gustavia_hexapetala
1863 Micropholis_cayennensis
1864 Theobroma_subincanum
1865 Licania_canescens
1866 Dacryodes_cuspidata
1867 Conceveiba_guianensis
1868 Licania_canescens
1869 Quararibea_duckei
1870 Pouteria_gonggrijpii
1871 Protium_sagotianum
1872 Chrysophyllum_sanguinolentum
1873 Licania_alba
1874 Minquartia_guianensis
1875 Neea_floribunda
1876 Protium_sagotianum
1877 Cyrillopsis_paraensis
1878 Conceveiba_guianensis
1879 Pouteria_cladantha
1880 Protium_sagotianum
1881 Theobroma_subincanum
1882 Eschweilera_grandiflora
1883 Brosimum_rubescens
1884 Pouteria_filipes
1885 Protium_gallicum
1886 Theobroma_subincanum
[ reached 'max' / getOption("max.print") -- omitted 376 rows ]
Object of class : trollsim
Name : test
Path :
In memory : TRUE
Extended : TRUE
From data : FALSE
Lidar simulation : FALSE
Random : FALSE
2D discrete network: horizontal step = 1 m, one tree per 1 m^2
Number of sites : 100 x 100
Number of iterations : 120
Duration of timestep : 30.41667 days
Number of Species : 45

Dynamic visualisation as a GIF.

