
rcontroll - Dia 1Introdução prática ao TROLL 3 com rcontroll
CIRAD
Apr 6, 2026
Hoje vamos explorar o uso de simuladores florestais em ecologia, especificamente por meio de um modelo baseado em agentes:
um modelo que simula as ações e interações de agentes autônomos a fim de compreender o comportamento de um sistema e os fatores que determinam seus resultados.
Tropical forests can maintain hyperdiversity because of enemies por Levi et al. (2018)


Um Modelo Florestal Baseado em Indivíduos para Simular Conjuntamente o Carbono e a Diversidade de Árvores na Amazônia por Maréchaux and Chave (2017)
O TROLL modela cada árvore individualmente dentro de um ambiente espacialmente explícito. O modelo TROLL pode, portanto, ser definido como um modelo de crescimento florestal individual, centrado e espacialmente explícito. Ele simula o ciclo de vida das árvores, desde o recrutamento com diâmetro à altura do peito (DAP) de 1 cm até a morte. As árvores crescem em um ambiente luminoso cujos valores são calculados em voxels de \(1 m^3\).
Cada árvore é definida pela sua idade, diâmetro à altura do peito (DAP), altura (H), raio da copa (RC), profundidade da copa (PC) e área foliar (AF). A geometria da árvore é calculada por meio de equações alométricas, e a área foliar varia dinamicamente dentro de cada copa conforme a alocação de carbono. Uma árvore pode ocupar no máximo um pixel de 1 m por 1 m. Cada árvore pertence a uma espécie herdada de sua árvore-mãe. Para cada espécie, uma série de parâmetros é conhecida: os valores de traços funcionais coletados em campo. A assimilação de carbono é calculada em intervalos de 30 minutos. A alocação é então calculada para simular o crescimento da árvore. O ambiente é atualizado mensalmente. Juvenis (árvores com DAP inferior a 1 cm) não são simulados individualmente, mas como grupo. Além disso, processos subterrâneos, plantas herbáceas, epífitas e lianas não são considerados no TROLL.
Durante esta sessão prática, utilizaremos o modelo TROLL (Maréchaux and Chave 2017) com o pacote rcontroll (Schmitt et al. 2023). Também usaremos os pacotes tidyverse para manipulação de tabelas e criação de gráficos. Faça o download deles (pré-requisito!):
Carregue-os com:
O comportamento das espécies no TROLL é determinado por seus traços funcionais e parâmetros de escalonamento.
O TROLL 3 utiliza os seguintes traços funcionais:
Por exemplo, a taxa máxima potencial de transporte de elétrons Jmax varia entre espécies no TROLL de acordo com a seguinte equação segundo DOMINGUES et al. (2010):
\[ J_{max} = min\begin{cases} -1.50+0.41 \times log_{10}(N)+0.45 \times log_{10}(SLA) \\ -0.74+0.44 \times log_{10}(P)+0.32 \times log_{10}(SLA) \end{cases} \]
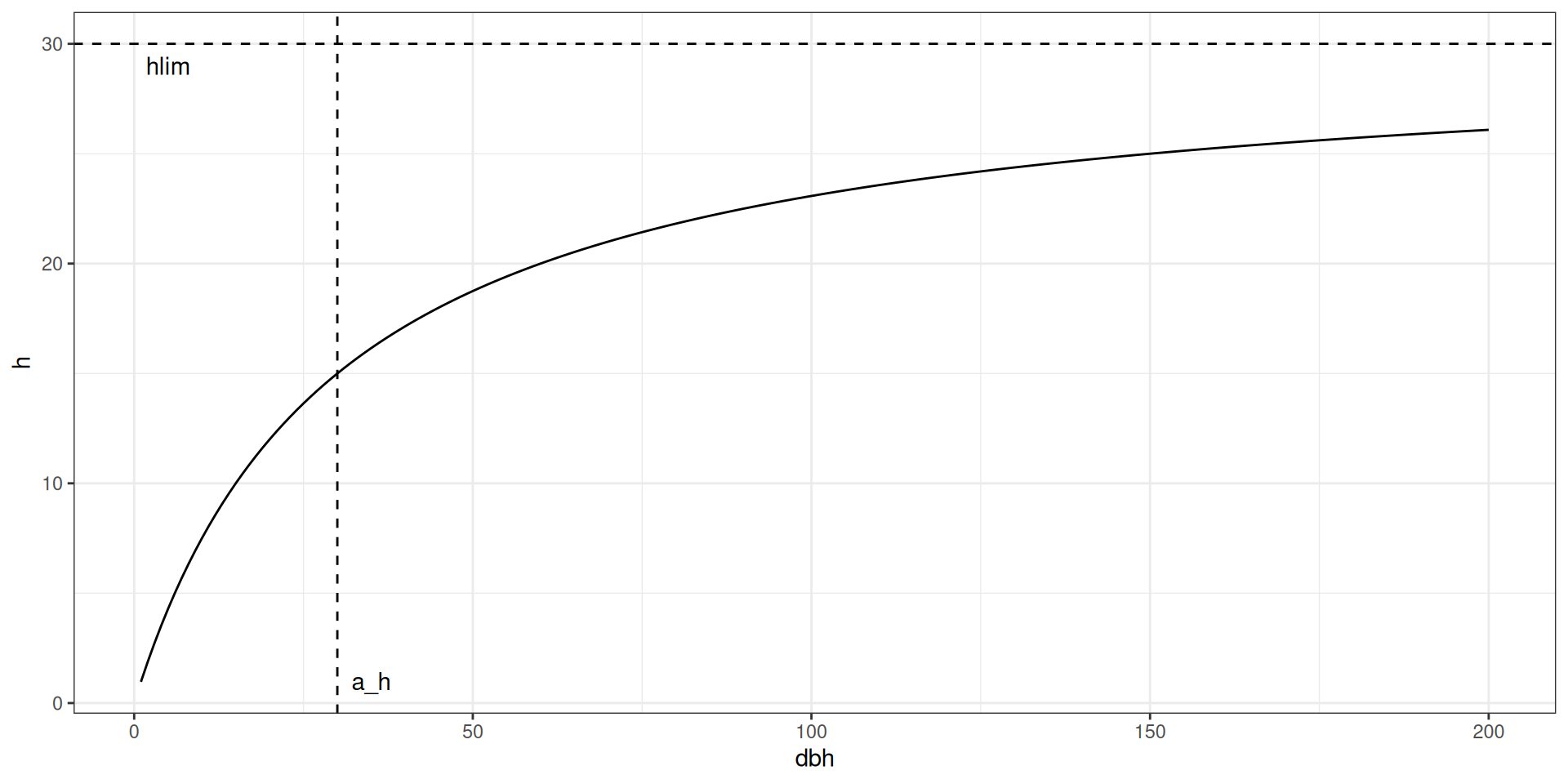
O TROLL utiliza 3 parâmetros de escalonamento para representar o tamanho das árvores entre espécies:
h_lim e a_h definem a trajetória de crescimento em altura para cada espécie em função do seu diâmetro como \(h = \frac{h_{lim} \times dbh}{a_h+dbh}\).
rcontrollrcontroll inclui dados de 45 espécies da Guiana Francesa
# A tibble: 6 × 12
s_name s_LMA s_Nmass s_Pmass s_wsg s_dbhmax s_hmax s_ah s_seedmass
<chr> <dbl> <dbl> <dbl> <dbl> <dbl> <dbl> <dbl> <dbl>
1 Abarema_jupunba 110. 0.0232 5.7 e-4 0.576 0.66 50.9 0.308 1
2 Bocoa_prouacensis 95.6 0.0255 5.05e-4 0.798 0.4 47.9 0.251 1
3 Brosimum_rubesce… 85.8 0.0188 6.88e-4 0.619 0.52 50.9 0.308 1
4 Carapa_procera 130. 0.0177 6.36e-4 0.55 0.49 41.4 0.187 1
5 Caryocar_glabrum 84.2 0.0217 8.13e-4 0.612 1.15 48.6 0.275 1
6 Cecropia_obtusa 69.5 0.0276 1.38e-3 0.388 0.35 50.9 0.308 1
# ℹ 3 more variables: s_regionalfreq <dbl>, s_tlp <dbl>, s_drymass <dbl>
rcontrollPor exemplo, para trajetórias de altura:

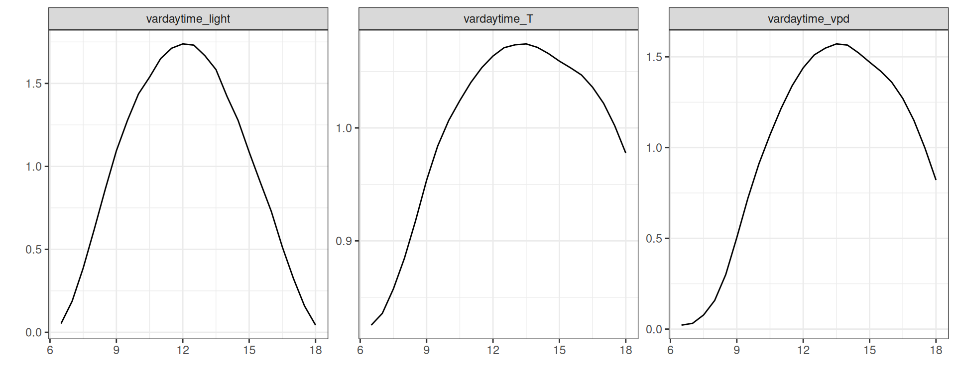
O TROLL 3 utiliza um dia representativo por mês, incorporando variação diurna a cada meia hora.
O TROLL 3 utiliza diversas variáveis derivadas de 5 variáveis climáticas:
A partir delas, 12 variáveis são derivadas:
A partir delas, 12 variáveis são derivadas:
OBS: No TROLL 4, as entradas climáticas foram simplificadas para 5 (sessão do dia 2).
OBS: rcontroll inclui uma função para ajudar na preparação dos dados climáticos (sessão do dia 3).
rcontrollrcontroll inclui dados de 1 ano (12 meses) de variação climática em Paracou a partir do ERA5-Land (Muñoz-Sabater et al. 2021):
# A tibble: 6 × 12
Temperature DaytimeMeanTemperature NightTemperature Rainfall WindSpeed
<dbl> <dbl> <dbl> <dbl> <dbl>
1 24.3 26.4 23.0 9.46 0.904
2 24.3 26.2 23.0 9.52 0.941
3 24.1 26.4 23.0 9.58 0.876
4 24.6 26.8 23.0 10.5 0.908
5 24.6 26.7 23.4 16.0 0.756
6 24.6 26.5 23.0 8.05 0.828
# ℹ 7 more variables: DaytimeMeanIrradiance <dbl>, MeanIrradiance <dbl>,
# SaturatedVapourPressure <dbl>, VapourPressure <dbl>,
# VaporPressureDeficit <dbl>, DayTimeVapourPressureDeficitVPDbasic <dbl>,
# DaytimeMeanVapourPressureDeficit <dbl>
rcontrollrcontroll inclui dados de 1 ano (12 meses) de variação climática em Paracou a partir do ERA5-Land (Muñoz-Sabater et al. 2021):

O carbono assimilado por uma árvore em um dia é a soma dos fluxos de carbono no nível foliar ao longo dos 24 períodos de meia hora de luz do dia:
OBS: rcontroll inclui uma função para ajudar na preparação dos dados de variação a cada meia hora (sessão do dia 3).
rcontrollrcontroll inclui dados de variação a cada meia hora em Paracou a partir do ERA5-Land (Muñoz-Sabater et al. 2021):
# A tibble: 6 × 5
starttime endtime vardaytime_light vardaytime_vpd vardaytime_T
<dbl> <dbl> <dbl> <dbl> <dbl>
1 6.5 7 0.0528 0.0219 0.825
2 7 7.5 0.187 0.0317 0.836
3 7.5 8 0.387 0.0781 0.858
4 8 8.5 0.621 0.158 0.885
5 8.5 9 0.863 0.300 0.918
6 9 9.5 1.09 0.504 0.954
rcontrollrcontroll inclui dados de variação a cada meia hora em Paracou a partir do ERA5-Land (Muñoz-Sabater et al. 2021):

Parâmetros globais da simulação.
O TROLL inclui numerosos parâmetros (veja a documentação do rcontroll ou o apêndice do artigo GMD). Eles podem ser agrupados em vários tipos:
Definição das características da simulação (tamanho, duração, …)

Definição do comportamento do ambiente físico
klight: Atenuação da luz no dossel seguindo a lei de Beer-Lambert
\[PPFD = PPFD \times exp(-k_{light}\times LAI)\]

Definição do comportamento das árvores em nível comunitário
CR_a e CR_b: Intercepto e inclinação logarítmicos do raio da copa com \(CR = CR_a\times dbh^{CR_b}\)

Definição da variação de traços funcionais dentro das espécies
Definição da variação de traços funcionais dentro das espécies
sigma_wsg: Variação intraespecífica na densidade da madeira

Definição do comportamento e dos processos do modelo
rcontrollUma única função para gerá-los todos:
param value description
1 cols 100 /* nb of columns */
2 rows 100 /* nb of rows */
3 HEIGHT 70 /* vertical extent of simulation */
4 length_dcell 25 /* linear size of a dcell */
5 nbiter 12 /* total nb of timesteps */
6 iterperyear 12 /* number of iteration per year */
7 NV 1 /* vertical nb of cells (nb per m) */
8 NH 1 /* horizontal nb of cells (nb per m) */
9 nbout 4 /* Number of outputs */
10 nbspp 45 /* Number of species */
trollVamos finalmente usar o TROLL!
Preparamos os parâmetros globais, dados de espécies, dados climáticos e variação diária.
Você pode executar uma simulação em memória sem a opção path, mas é recomendável usar o path para gravar arquivos e ter acesso às saídas da simulação posteriormente.
Simulação resultante:
Object of class : trollsim
Name : test1
Path : day1_out/test1
In memory : TRUE
Extended : TRUE
From data : FALSE
Lidar simulation : FALSE
Random : FALSE
2D discrete network: horizontal step = 1 m, one tree per 1 m^2
Number of sites : 100 x 100
Number of iterations : 1200
Duration of timestep : 30.41667 days
Number of Species : 45
Object of class : trollsim
Name : test1
Path : day1_out/test1
In memory : TRUE
Extended : TRUE
From data : FALSE
Lidar simulation : FALSE
Random : FALSE
2D discrete network: horizontal step = 1 m, one tree per 1 m^2
Number of sites : 100 x 100
Number of iterations : 1200
Duration of timestep : 30.41667 days
Number of Species : 45
Vamos explorar todas as saídas do modelo.
TROLLsim()$name
[1] "character"
$path
[1] "character"
$mem
[1] "logical"
$parameters
[1] "numeric"
$inputs
[1] "list"
$log
[1] "character"
$forest
[1] "spec_tbl_df" "tbl_df" "tbl" "data.frame"
$ecosystem
[1] "spec_tbl_df" "tbl_df" "tbl" "data.frame"
$species
[1] "spec_tbl_df" "tbl_df" "tbl" "data.frame"
$las
[1] "list"
$class
[1] "character"
# A tibble: 1,200 × 13
iter sum1 sum10 sum30 ba ba10 agb gpp npp rday rnight rstem
<dbl> <dbl> <dbl> <dbl> <dbl> <dbl> <dbl> <dbl> <dbl> <dbl> <dbl> <dbl>
1 0 9924 0 0 0.743 0 564. 0.962 0.522 0.0485 0.0959 0.000176
2 1 9927 0 0 0.944 0 806. 0.972 0.522 0.0498 0.0997 0.00124
3 2 9926 0 0 1.13 0 1058. 1.04 0.559 0.0527 0.104 0.00173
4 3 9924 0 0 1.32 0 1324. 1.10 0.596 0.0567 0.110 0.00236
5 4 9925 0 0 1.49 0 1592. 1.15 0.611 0.0593 0.119 0.00293
6 5 9925 0 0 1.67 0 1878. 1.22 0.655 0.0618 0.122 0.00352
7 6 9927 0 0 1.85 0 2188. 1.31 0.709 0.0667 0.130 0.00424
8 7 9927 0 0 2.05 0 2534. 1.46 0.791 0.0767 0.140 0.00507
9 8 9922 0 0 2.25 0 2912. 1.61 0.866 0.0865 0.155 0.00625
10 9 9926 0 0 2.46 0 3314. 1.73 0.920 0.0958 0.173 0.00748
# ℹ 1,190 more rows
# ℹ 1 more variable: litterfall <dbl>
# A tibble: 54,000 × 14
iter species sum1 sum10 sum30 ba ba10 agb gpp npp rday
<dbl> <chr> <dbl> <dbl> <dbl> <dbl> <dbl> <dbl> <dbl> <dbl> <dbl>
1 0 Abarema_ju… 212 0 0 0.0182 0 12.5 0.0206 0.0111 1.06e-3
2 0 Bocoa_prou… 206 0 0 0.0108 0 9.27 0.0186 0.00989 9.99e-4
3 0 Brosimum_r… 224 0 0 0.0181 0 12.9 0.0213 0.0116 1.05e-3
4 0 Carapa_pro… 225 0 0 0.0170 0 13.8 0.0241 0.0132 1.17e-3
5 0 Caryocar_g… 213 0 0 0.0169 0 12.6 0.0210 0.0115 1.03e-3
6 0 Cecropia_o… 238 0 0 0.0371 0 22.8 0.0249 0.0137 1.19e-3
7 0 Chrysophyl… 209 0 0 0.0203 0 14.5 0.0220 0.0120 1.08e-3
8 0 Conceveiba… 219 0 0 0.0155 0 11.1 0.0203 0.0109 1.07e-3
9 0 Cordia_sag… 225 0 0 0.0171 0 13.0 0.0231 0.0124 1.21e-3
10 0 Couepia_br… 224 0 0 0.0148 0 12.2 0.0222 0.0121 1.09e-3
# ℹ 53,990 more rows
# ℹ 3 more variables: rnight <dbl>, rstem <dbl>, litterfall <dbl>
# A tibble: 2,262 × 59
iter col row from_Data sp_lab site CrownDisplacement Pmass Nmass
<dbl> <dbl> <dbl> <dbl> <dbl> <dbl> <dbl> <dbl> <dbl>
1 1200 0 0 0 27 0 0 0.000437 0.0206
2 1200 13 0 0 23 13 0 0.000529 0.0193
3 1200 14 0 0 39 14 0 0.000580 0.0193
4 1200 15 0 0 30 15 0 0.000388 0.015
5 1200 36 0 0 36 36 0 0.000593 0.0184
6 1200 38 0 0 2 38 0 0.000505 0.0255
7 1200 39 0 0 24 39 0 0.000498 0.0189
8 1200 42 0 0 14 42 0 0.000489 0.0155
9 1200 43 0 0 33 43 0 0.000308 0.013
10 1200 44 0 0 19 44 0 0.00115 0.0207
# ℹ 2,252 more rows
# ℹ 50 more variables: LMA <dbl>, wsg <dbl>, Rdark <dbl>, Vcmax <dbl>,
# Jmax <dbl>, leaflifespan <dbl>, lambda_young <dbl>, lambda_mature <dbl>,
# lambda_old <dbl>, dbhmature <dbl>, dbhmax <dbl>, hmax <dbl>, ah <dbl>,
# Ct <dbl>, LAImax <dbl>, fraction_filled <dbl>, mult_height <dbl>,
# mult_CR <dbl>, mult_CD <dbl>, mult_P <dbl>, mult_N <dbl>, mult_LMA <dbl>,
# mult_dbhmax <dbl>, dev_wsg <dbl>, age <dbl>, dbh <dbl>, …
Reading in file: /home/sschmitt/Documents/rcontroll_tp/inpa_2026/day1_out/test1/test1_input_global.txt
rows: 100 cols: 100 HEIGHT: 70
Number of dcells: 16
Lin number of dcells: 4
Covariance matrix N,P,LMA could not be decomposed. Using uncorrelated variation of trait values instead
Easy MPI rank: 0
On proc #0 seed: 1
Reading in file: /home/sschmitt/Documents/rcontroll_tp/inpa_2026/day1_out/test1/test1_input_species.txt
Successfully initialised 45 species from file.
Successfully read in species file.
Reading in file: /home/sschmitt/Documents/rcontroll_tp/inpa_2026/day1_out/test1/test1_input_daily.txt
Read in: 24 timesteps per day, covering 12 hours of the day.
Successfully read in daytime variation file
Reading in file: /home/sschmitt/Documents/rcontroll_tp/inpa_2026/day1_out/test1/test1_input_climate.txt
Read in climate data for 12 iterations per year.
Successfully read the climate file
Intraspecific variation initialisation:
Max and min allometry deviation, lognormal (height): 1 | 1
Max and min allometry deviation, lognormal (crown radius): 1 | 1
Max and min trait deviation, lognormal (N): 1 | 1
Max and min trait deviation, lognormal (P): 1 | 1
Max and min trait deviation, lognormal (LMA): 1 | 1
Max and min allometry deviation, normal (crown depth): 1 | 1
Max and min trait deviation, normal (wsg): 0 | 0
Max and min trait deviation, lognormal (dmax): 1 | 1
Built-in maximal temperature: 50
Calculated LookUp table for LAImax. Min LAImax is: 4.14551 | max LAImax is: 4.89746 avg LAImax is: 4.56366
SBORD: 2800
row start: 0 | row end: 100 | sites_abc: 10000
klight is: 0.63
CO2 concentration is: 400
Number of species: 45
Activated Module: BASICTREEFALL
Activated Module: OUTPUT_extended
Simulation starts with 0 trees.
Writing snapshot of forest to file.
10000 Seedrain: 50000
Trees_mature: 0 Nbseedsadded: 47316 effective: 47316 nbspeciesaffected: 45
0 Trees (1/ha): 9924.00 | 0.00 | 0.00 *** nbdead (%): 0.04 | -nan | -nan *** AGB (t/ha): 1.00 GPP (MgC/ha/yr) 11.55 NPP 6.26 litterfall (Mg/ha/yr) 1.71
1 Trees (1/ha): 9927.00 | 0.00 | 0.00 *** nbdead (%): 0.01 | -nan | -nan *** AGB (t/ha): 1.00 GPP (MgC/ha/yr) 11.67 NPP 6.27 litterfall (Mg/ha/yr) 1.72
2 Trees (1/ha): 9926.00 | 0.00 | 0.00 *** nbdead (%): 0.02 | -nan | -nan *** AGB (t/ha): 1.00 GPP (MgC/ha/yr) 12.43 NPP 6.71 litterfall (Mg/ha/yr) 1.74
3 Trees (1/ha): 9924.00 | 0.00 | 0.00 *** nbdead (%): 0.04 | -nan | -nan *** AGB (t/ha): 1.00 GPP (MgC/ha/yr) 13.26 NPP 7.15 litterfall (Mg/ha/yr) 1.78
4 Trees (1/ha): 9925.00 | 0.00 | 0.00 *** nbdead (%): 0.03 | -nan | -nan *** AGB (t/ha): 2.00 GPP (MgC/ha/yr) 13.74 NPP 7.34 litterfall (Mg/ha/yr) 1.84
5 Trees (1/ha): 9925.00 | 0.00 | 0.00 *** nbdead (%): 0.03 | -nan | -nan *** AGB (t/ha): 2.00 GPP (MgC/ha/yr) 14.60 NPP 7.86 litterfall (Mg/ha/yr) 1.90
6 Trees (1/ha): 9927.00 | 0.00 | 0.00 *** nbdead (%): 0.01 | -nan | -nan *** AGB (t/ha): 2.00 GPP (MgC/ha/yr) 15.76 NPP 8.51 litterfall (Mg/ha/yr) 1.97
7 Trees (1/ha): 9927.00 | 0.00 | 0.00 *** nbdead (%): 0.01 | -nan | -nan *** AGB (t/ha): 3.00 GPP (MgC/ha/yr) 17.54 NPP 9.49 litterfall (Mg/ha/yr) 2.06
8 Trees (1/ha): 9922.00 | 0.00 | 0.00 *** nbdead (%): 0.06 | -nan | -nan *** AGB (t/ha): 3.00 GPP (MgC/ha/yr) 19.30 NPP 10.39 litterfall (Mg/ha/yr) 2.16
9 Trees (1/ha): 9926.00 | 0.00 | 0.00 *** nbdead (%): 0.02 | -nan | -nan *** AGB (t/ha): 3.00 GPP (MgC/ha/yr) 20.73 NPP 11.04 litterfall (Mg/ha/yr) 2.28
10 Trees (1/ha): 9922.00 | 0.00 | 0.00 *** nbdead (%): 0.06 | -nan | -nan *** AGB (t/ha): 4.00 GPP (MgC/ha/yr) 21.34 NPP 11.29 litterfall (Mg/ha/yr) 2.41
11 Trees (1/ha): 9925.00 | 0.00 | 0.00 *** nbdead (%): 0.03 | -nan | -nan *** AGB (t/ha): 4.00 GPP (MgC/ha/yr) 19.76 NPP 10.19 litterfall (Mg/ha/yr) 2.56
10000 Seedrain: 50000.00
Trees_mature: 0 Nbseedsadded: 47306 effective: 47306 nbspeciesaffected: 45
12 Trees (1/ha): 9995.00 | 0.00 | 0.00 *** nbdead (%): 0.05 | -nan | -nan *** AGB (t/ha): 4.00 GPP (MgC/ha/yr) 20.29 NPP 10.50 litterfall (Mg/ha/yr) 2.71
13 Trees (1/ha): 9998.00 | 0.00 | 0.00 *** nbdead (%): 0.02 | -nan | -nan *** AGB (t/ha): 5.00 GPP (MgC/ha/yr) 20.08 NPP 10.25 litterfall (Mg/ha/yr) 2.84
14 Trees (1/ha): 9995.00 | 0.00 | 0.00 *** nbdead (%): 0.05 | -nan | -nan *** AGB (t/ha): 5.00 GPP (MgC/ha/yr) 20.97 NPP 10.76 litterfall (Mg/ha/yr) 2.94
15 Trees (1/ha): 9998.00 | 0.00 | 0.00 *** nbdead (%): 0.02 | -nan | -nan *** AGB (t/ha): 6.00 GPP (MgC/ha/yr) 21.82 NPP 11.20 litterfall (Mg/ha/yr) 3.03
16 Trees (1/ha): 9996.00 | 0.00 | 0.00 *** nbdead (%): 0.04 | -nan | -nan *** AGB (t/ha): 6.00 GPP (MgC/ha/yr) 21.96 NPP 11.14 litterfall (Mg/ha/yr) 3.12
17 Trees (1/ha): 9997.00 | 0.00 | 0.00 *** nbdead (%): 0.03 | -nan | -nan *** AGB (t/ha): 6.00 GPP (MgC/ha/yr) 22.92 NPP 11.80 litterfall (Mg/ha/yr) 3.20
18 Trees (1/ha): 9990.00 | 0.00 | 0.00 *** nbdead (%): 0.07 | -nan | -nan *** AGB (t/ha): 7.00 GPP (MgC/ha/yr) 24.34 NPP 12.61 litterfall (Mg/ha/yr) 3.28
19 Trees (1/ha): 9996.00 | 0.00 | 0.00 *** nbdead (%): 0.02 | -nan | -nan *** AGB (t/ha): 7.00 GPP (MgC/ha/yr) 26.78 NPP 13.97 litterfall (Mg/ha/yr) 3.37
20 Trees (1/ha): 9997.00 | 0.00 | 0.00 *** nbdead (%): 0.02 | -nan | -nan *** AGB (t/ha): 8.00 GPP (MgC/ha/yr) 29.18 NPP 15.20 litterfall (Mg/ha/yr) 3.48
21 Trees (1/ha): 9992.00 | 0.00 | 0.00 *** nbdead (%): 0.07 | -nan | -nan *** AGB (t/ha): 8.00 GPP (MgC/ha/yr) 30.82 NPP 15.90 litterfall (Mg/ha/yr) 3.61
22 Trees (1/ha): 9996.00 | 0.00 | 0.00 *** nbdead (%): 0.03 | -nan | -nan *** AGB (t/ha): 9.00 GPP (MgC/ha/yr) 31.12 NPP 15.95 litterfall (Mg/ha/yr) 3.76
23 Trees (1/ha): 9989.00 | 0.00 | 0.00 *** nbdead (%): 0.10 | -nan | -nan *** AGB (t/ha): 10.00 GPP (MgC/ha/yr) 28.27 NPP 14.07 litterfall (Mg/ha/yr) 3.93
10000 Seedrain: 50000.00
Trees_mature: 0 Nbseedsadded: 47320 effective: 47320 nbspeciesaffected: 45
24 Trees (1/ha): 9956.00 | 0.00 | 0.00 *** nbdead (%): 0.36 | -nan | -nan *** AGB (t/ha): 10.00 GPP (MgC/ha/yr) 28.73 NPP 14.44 litterfall (Mg/ha/yr) 4.08
25 Trees (1/ha): 9964.00 | 0.00 | 0.00 *** nbdead (%): 0.14 | -nan | -nan *** AGB (t/ha): 10.00 GPP (MgC/ha/yr) 28.22 NPP 13.99 litterfall (Mg/ha/yr) 4.20
26 Trees (1/ha): 9958.00 | 0.00 | 0.00 *** nbdead (%): 0.31 | -nan | -nan *** AGB (t/ha): 11.00 GPP (MgC/ha/yr) 29.34 NPP 14.68 litterfall (Mg/ha/yr) 4.30
27 Trees (1/ha): 9957.00 | 0.00 | 0.00 *** nbdead (%): 0.24 | -nan | -nan *** AGB (t/ha): 11.00 GPP (MgC/ha/yr) 30.36 NPP 15.21 litterfall (Mg/ha/yr) 4.38
28 Trees (1/ha): 9962.00 | 0.00 | 0.00 *** nbdead (%): 0.24 | -nan | -nan *** AGB (t/ha): 12.00 GPP (MgC/ha/yr) 30.20 NPP 14.90 litterfall (Mg/ha/yr) 4.46
29 Trees (1/ha): 9920.00 | 0.00 | 0.00 *** nbdead (%): 0.67 | -nan | -nan *** AGB (t/ha): 12.00 GPP (MgC/ha/yr) 31.27 NPP 15.70 litterfall (Mg/ha/yr) 4.52
30 Trees (1/ha): 9918.00 | 0.00 | 0.00 *** nbdead (%): 0.36 | -nan | -nan *** AGB (t/ha): 13.00 GPP (MgC/ha/yr) 32.76 NPP 16.52 litterfall (Mg/ha/yr) 4.60
31 Trees (1/ha): 9958.00 | 0.00 | 0.00 *** nbdead (%): 0.22 | -nan | -nan *** AGB (t/ha): 14.00 GPP (MgC/ha/yr) 35.53 NPP 18.02 litterfall (Mg/ha/yr) 4.69
32 Trees (1/ha): 9936.00 | 0.00 | 0.00 *** nbdead (%): 0.41 | -nan | -nan *** AGB (t/ha): 14.00 GPP (MgC/ha/yr) 38.01 NPP 19.20 litterfall (Mg/ha/yr) 4.79
33 Trees (1/ha): 9934.00 | 0.00 | 0.00 *** nbdead (%): 0.32 | -nan | -nan *** AGB (t/ha): 15.00 GPP (MgC/ha/yr) 39.23 NPP 19.50 litterfall (Mg/ha/yr) 4.93
34 Trees (1/ha): 9903.00 | 0.00 | 0.00 *** nbdead (%): 0.60 | -nan | -nan *** AGB (t/ha): 16.00 GPP (MgC/ha/yr) 38.56 NPP 18.96 litterfall (Mg/ha/yr) 5.07
35 Trees (1/ha): 9825.00 | 0.00 | 0.00 *** nbdead (%): 1.04 | -nan | -nan *** AGB (t/ha): 16.00 GPP (MgC/ha/yr) 34.03 NPP 16.11 litterfall (Mg/ha/yr) 5.21
10000 Seedrain: 50000.00
Trees_mature: 0 Nbseedsadded: 47326 effective: 47326 nbspeciesaffected: 45
36 Trees (1/ha): 9629.00 | 0.00 | 0.00 *** nbdead (%): 2.60 | -nan | -nan *** AGB (t/ha): 16.00 GPP (MgC/ha/yr) 33.92 NPP 16.27 litterfall (Mg/ha/yr) 5.29
37 Trees (1/ha): 9725.00 | 0.00 | 0.00 *** nbdead (%): 0.67 | -nan | -nan *** AGB (t/ha): 17.00 GPP (MgC/ha/yr) 32.65 NPP 15.38 litterfall (Mg/ha/yr) 5.38
38 Trees (1/ha): 9749.00 | 0.00 | 0.00 *** nbdead (%): 1.48 | -nan | -nan *** AGB (t/ha): 17.00 GPP (MgC/ha/yr) 33.62 NPP 16.06 litterfall (Mg/ha/yr) 5.42
39 Trees (1/ha): 9734.00 | 0.00 | 0.00 *** nbdead (%): 1.21 | -nan | -nan *** AGB (t/ha): 18.00 GPP (MgC/ha/yr) 34.40 NPP 16.47 litterfall (Mg/ha/yr) 5.45
40 Trees (1/ha): 9732.00 | 0.00 | 0.00 *** nbdead (%): 1.16 | -nan | -nan *** AGB (t/ha): 18.00 GPP (MgC/ha/yr) 33.87 NPP 15.95 litterfall (Mg/ha/yr) 5.48
41 Trees (1/ha): 9631.00 | 0.00 | 0.00 *** nbdead (%): 1.92 | -nan | -nan *** AGB (t/ha): 19.00 GPP (MgC/ha/yr) 34.89 NPP 16.81 litterfall (Mg/ha/yr) 5.49
42 Trees (1/ha): 9615.00 | 0.00 | 0.00 *** nbdead (%): 1.63 | -nan | -nan *** AGB (t/ha): 19.00 GPP (MgC/ha/yr) 36.39 NPP 17.68 litterfall (Mg/ha/yr) 5.51
43 Trees (1/ha): 9542.00 | 0.00 | 0.00 *** nbdead (%): 2.05 | -nan | -nan *** AGB (t/ha): 20.00 GPP (MgC/ha/yr) 39.25 NPP 19.26 litterfall (Mg/ha/yr) 5.54
44 Trees (1/ha): 9453.00 | 0.00 | 0.00 *** nbdead (%): 2.11 | -nan | -nan *** AGB (t/ha): 20.00 GPP (MgC/ha/yr) 41.77 NPP 20.44 litterfall (Mg/ha/yr) 5.60
45 Trees (1/ha): 9443.00 | 0.00 | 0.00 *** nbdead (%): 1.43 | -nan | -nan *** AGB (t/ha): 21.00 GPP (MgC/ha/yr) 42.67 NPP 20.55 litterfall (Mg/ha/yr) 5.69
46 Trees (1/ha): 9328.00 | 0.00 | 0.00 *** nbdead (%): 1.96 | -nan | -nan *** AGB (t/ha): 21.00 GPP (MgC/ha/yr) 41.44 NPP 19.72 litterfall (Mg/ha/yr) 5.78
47 Trees (1/ha): 9172.00 | 0.00 | 0.00 *** nbdead (%): 2.52 | -nan | -nan *** AGB (t/ha): 22.00 GPP (MgC/ha/yr) 35.95 NPP 16.35 litterfall (Mg/ha/yr) 5.87
10000 Seedrain: 50000.00
Trees_mature: 0 Nbseedsadded: 47334 effective: 47334 nbspeciesaffected: 45
48 Trees (1/ha): 8788.00 | 0.00 | 0.00 *** nbdead (%): 5.53 | -nan | -nan *** AGB (t/ha): 22.00 GPP (MgC/ha/yr) 35.69 NPP 16.55 litterfall (Mg/ha/yr) 5.88
49 Trees (1/ha): 8983.00 | 0.00 | 0.00 *** nbdead (%): 1.57 | -nan | -nan *** AGB (t/ha): 22.00 GPP (MgC/ha/yr) 34.13 NPP 15.52 litterfall (Mg/ha/yr) 5.92
50 Trees (1/ha): 8923.00 | 0.00 | 0.00 *** nbdead (%): 2.86 | -nan | -nan *** AGB (t/ha): 23.00 GPP (MgC/ha/yr) 35.04 NPP 16.23 litterfall (Mg/ha/yr) 5.91
51 Trees (1/ha): 8961.00 | 0.00 | 0.00 *** nbdead (%): 1.89 | -nan | -nan *** AGB (t/ha): 23.00 GPP (MgC/ha/yr) 35.79 NPP 16.63 litterfall (Mg/ha/yr) 5.91
52 Trees (1/ha): 8922.00 | 0.00 | 0.00 *** nbdead (%): 2.07 | -nan | -nan *** AGB (t/ha): 23.00 GPP (MgC/ha/yr) 35.06 NPP 16.00 litterfall (Mg/ha/yr) 5.90
53 Trees (1/ha): 8783.00 | 0.00 | 0.00 *** nbdead (%): 3.07 | -nan | -nan *** AGB (t/ha): 24.00 GPP (MgC/ha/yr) 36.12 NPP 16.93 litterfall (Mg/ha/yr) 5.88
54 Trees (1/ha): 8755.00 | 0.00 | 0.00 *** nbdead (%): 2.58 | -nan | -nan *** AGB (t/ha): 24.00 GPP (MgC/ha/yr) 37.71 NPP 17.87 litterfall (Mg/ha/yr) 5.89
55 Trees (1/ha): 8707.00 | 0.00 | 0.00 *** nbdead (%): 2.71 | -nan | -nan *** AGB (t/ha): 25.00 GPP (MgC/ha/yr) 40.61 NPP 19.47 litterfall (Mg/ha/yr) 5.91
56 Trees (1/ha): 8634.00 | 0.00 | 0.00 *** nbdead (%): 2.69 | -nan | -nan *** AGB (t/ha): 25.00 GPP (MgC/ha/yr) 43.20 NPP 20.70 litterfall (Mg/ha/yr) 5.94
57 Trees (1/ha): 8601.00 | 0.00 | 0.00 *** nbdead (%): 1.98 | -nan | -nan *** AGB (t/ha): 26.00 GPP (MgC/ha/yr) 44.01 NPP 20.75 litterfall (Mg/ha/yr) 6.00
58 Trees (1/ha): 8518.00 | 0.00 | 0.00 *** nbdead (%): 2.32 | -nan | -nan *** AGB (t/ha): 27.00 GPP (MgC/ha/yr) 42.54 NPP 19.79 litterfall (Mg/ha/yr) 6.08
59 Trees (1/ha): 8398.00 | 0.00 | 0.00 *** nbdead (%): 2.81 | -nan | -nan *** AGB (t/ha): 27.00 GPP (MgC/ha/yr) 36.68 NPP 16.24 litterfall (Mg/ha/yr) 6.15
10000 Seedrain: 50000.00
Trees_mature: 0 Nbseedsadded: 47318 effective: 47318 nbspeciesaffected: 45
60 Trees (1/ha): 8078.00 | 0.00 | 0.00 *** nbdead (%): 5.52 | -nan | -nan *** AGB (t/ha): 27.00 GPP (MgC/ha/yr) 36.47 NPP 16.49 litterfall (Mg/ha/yr) 6.18
61 Trees (1/ha): 8271.00 | 0.00 | 0.00 *** nbdead (%): 1.68 | -nan | -nan *** AGB (t/ha): 27.00 GPP (MgC/ha/yr) 34.80 NPP 15.39 litterfall (Mg/ha/yr) 6.20
62 Trees (1/ha): 8196.00 | 0.00 | 0.00 *** nbdead (%): 3.25 | -nan | -nan *** AGB (t/ha): 28.00 GPP (MgC/ha/yr) 35.71 NPP 16.11 litterfall (Mg/ha/yr) 6.19
63 Trees (1/ha): 8197.00 | 0.00 | 0.00 *** nbdead (%): 2.50 | -nan | -nan *** AGB (t/ha): 28.00 GPP (MgC/ha/yr) 36.48 NPP 16.54 litterfall (Mg/ha/yr) 6.17
64 Trees (1/ha): 8197.00 | 0.00 | 0.00 *** nbdead (%): 2.23 | -nan | -nan *** AGB (t/ha): 28.00 GPP (MgC/ha/yr) 35.70 NPP 15.89 litterfall (Mg/ha/yr) 6.14
65 Trees (1/ha): 8127.00 | 0.00 | 0.00 *** nbdead (%): 3.04 | -nan | -nan *** AGB (t/ha): 29.00 GPP (MgC/ha/yr) 36.84 NPP 16.89 litterfall (Mg/ha/yr) 6.12
66 Trees (1/ha): 8082.00 | 0.00 | 0.00 *** nbdead (%): 2.99 | -nan | -nan *** AGB (t/ha): 29.00 GPP (MgC/ha/yr) 38.43 NPP 17.84 litterfall (Mg/ha/yr) 6.11
67 Trees (1/ha): 8035.00 | 0.00 | 0.00 *** nbdead (%): 3.11 | -nan | -nan *** AGB (t/ha): 30.00 GPP (MgC/ha/yr) 41.38 NPP 19.48 litterfall (Mg/ha/yr) 6.12
68 Trees (1/ha): 7957.00 | 0.00 | 0.00 *** nbdead (%): 3.19 | -nan | -nan *** AGB (t/ha): 30.00 GPP (MgC/ha/yr) 43.97 NPP 20.70 litterfall (Mg/ha/yr) 6.14
69 Trees (1/ha): 7955.00 | 0.00 | 0.00 *** nbdead (%): 2.40 | -nan | -nan *** AGB (t/ha): 31.00 GPP (MgC/ha/yr) 44.65 NPP 20.66 litterfall (Mg/ha/yr) 6.19
70 Trees (1/ha): 7876.00 | 0.00 | 0.00 *** nbdead (%): 2.55 | -nan | -nan *** AGB (t/ha): 31.00 GPP (MgC/ha/yr) 42.91 NPP 19.57 litterfall (Mg/ha/yr) 6.25
71 Trees (1/ha): 7739.00 | 0.00 | 0.00 *** nbdead (%): 3.06 | -nan | -nan *** AGB (t/ha): 32.00 GPP (MgC/ha/yr) 36.79 NPP 15.89 litterfall (Mg/ha/yr) 6.31
10000 Seedrain: 50000.00
Trees_mature: 0 Nbseedsadded: 47325 effective: 47325 nbspeciesaffected: 45
72 Trees (1/ha): 7463.00 | 0.00 | 0.00 *** nbdead (%): 5.88 | -nan | -nan *** AGB (t/ha): 32.00 GPP (MgC/ha/yr) 36.51 NPP 16.14 litterfall (Mg/ha/yr) 6.31
73 Trees (1/ha): 7631.00 | 0.00 | 0.00 *** nbdead (%): 2.25 | -nan | -nan *** AGB (t/ha): 32.00 GPP (MgC/ha/yr) 34.76 NPP 15.01 litterfall (Mg/ha/yr) 6.31
74 Trees (1/ha): 7595.00 | 1.00 | 0.00 *** nbdead (%): 3.28 | 0.00 | -nan *** AGB (t/ha): 32.00 GPP (MgC/ha/yr) 35.73 NPP 15.79 litterfall (Mg/ha/yr) 6.29
75 Trees (1/ha): 7638.00 | 1.00 | 0.00 *** nbdead (%): 2.57 | 0.00 | -nan *** AGB (t/ha): 33.00 GPP (MgC/ha/yr) 36.49 NPP 16.19 litterfall (Mg/ha/yr) 6.27
76 Trees (1/ha): 7648.00 | 1.00 | 0.00 *** nbdead (%): 2.54 | 0.00 | -nan *** AGB (t/ha): 33.00 GPP (MgC/ha/yr) 35.74 NPP 15.57 litterfall (Mg/ha/yr) 6.24
77 Trees (1/ha): 7558.00 | 1.00 | 0.00 *** nbdead (%): 3.31 | 0.00 | -nan *** AGB (t/ha): 34.00 GPP (MgC/ha/yr) 36.86 NPP 16.57 litterfall (Mg/ha/yr) 6.22
78 Trees (1/ha): 7508.00 | 1.00 | 0.00 *** nbdead (%): 3.77 | 0.00 | -nan *** AGB (t/ha): 34.00 GPP (MgC/ha/yr) 38.57 NPP 17.60 litterfall (Mg/ha/yr) 6.20
79 Trees (1/ha): 7480.00 | 2.00 | 0.00 *** nbdead (%): 3.61 | 0.00 | -nan *** AGB (t/ha): 35.00 GPP (MgC/ha/yr) 41.58 NPP 19.27 litterfall (Mg/ha/yr) 6.21
80 Trees (1/ha): 7503.00 | 2.00 | 0.00 *** nbdead (%): 2.88 | 0.00 | -nan *** AGB (t/ha): 35.00 GPP (MgC/ha/yr) 44.15 NPP 20.48 litterfall (Mg/ha/yr) 6.23
81 Trees (1/ha): 7496.00 | 3.00 | 0.00 *** nbdead (%): 2.47 | 0.00 | -nan *** AGB (t/ha): 36.00 GPP (MgC/ha/yr) 44.74 NPP 20.38 litterfall (Mg/ha/yr) 6.27
82 Trees (1/ha): 7430.00 | 6.00 | 0.00 *** nbdead (%): 2.65 | 0.00 | -nan *** AGB (t/ha): 36.00 GPP (MgC/ha/yr) 42.92 NPP 19.27 litterfall (Mg/ha/yr) 6.33
83 Trees (1/ha): 7376.00 | 9.00 | 0.00 *** nbdead (%): 2.39 | 0.00 | -nan *** AGB (t/ha): 37.00 GPP (MgC/ha/yr) 36.64 NPP 15.51 litterfall (Mg/ha/yr) 6.37
10000 Seedrain: 50000.00
Trees_mature: 8 Nbseedsadded: 47300 effective: 47340 nbspeciesaffected: 45
84 Trees (1/ha): 7064.00 | 10.00 | 0.00 *** nbdead (%): 6.09 | 0.00 | -nan *** AGB (t/ha): 37.00 GPP (MgC/ha/yr) 36.36 NPP 15.78 litterfall (Mg/ha/yr) 6.38
85 Trees (1/ha): 7289.00 | 13.00 | 0.00 *** nbdead (%): 1.77 | 0.00 | -nan *** AGB (t/ha): 37.00 GPP (MgC/ha/yr) 34.64 NPP 14.66 litterfall (Mg/ha/yr) 6.38
86 Trees (1/ha): 7256.00 | 17.00 | 0.00 *** nbdead (%): 3.09 | 0.00 | -nan *** AGB (t/ha): 37.00 GPP (MgC/ha/yr) 35.60 NPP 15.44 litterfall (Mg/ha/yr) 6.36
87 Trees (1/ha): 7310.00 | 18.00 | 0.00 *** nbdead (%): 2.50 | 0.00 | -nan *** AGB (t/ha): 38.00 GPP (MgC/ha/yr) 36.37 NPP 15.85 litterfall (Mg/ha/yr) 6.33
88 Trees (1/ha): 7301.00 | 21.00 | 0.00 *** nbdead (%): 2.66 | 0.00 | -nan *** AGB (t/ha): 38.00 GPP (MgC/ha/yr) 35.58 NPP 15.20 litterfall (Mg/ha/yr) 6.30
89 Trees (1/ha): 7227.00 | 23.00 | 0.00 *** nbdead (%): 3.64 | 0.00 | -nan *** AGB (t/ha): 38.00 GPP (MgC/ha/yr) 36.73 NPP 16.23 litterfall (Mg/ha/yr) 6.27
90 Trees (1/ha): 7227.00 | 27.00 | 0.00 *** nbdead (%): 3.33 | 0.00 | -nan *** AGB (t/ha): 39.00 GPP (MgC/ha/yr) 38.39 NPP 17.23 litterfall (Mg/ha/yr) 6.25
91 Trees (1/ha): 7189.00 | 32.00 | 0.00 *** nbdead (%): 3.95 | 0.00 | -nan *** AGB (t/ha): 39.00 GPP (MgC/ha/yr) 41.42 NPP 18.92 litterfall (Mg/ha/yr) 6.25
92 Trees (1/ha): 7175.00 | 35.00 | 0.00 *** nbdead (%): 3.44 | 0.00 | -nan *** AGB (t/ha): 40.00 GPP (MgC/ha/yr) 44.06 NPP 20.17 litterfall (Mg/ha/yr) 6.27
93 Trees (1/ha): 7183.00 | 38.00 | 0.00 *** nbdead (%): 2.60 | 0.00 | -nan *** AGB (t/ha): 41.00 GPP (MgC/ha/yr) 44.62 NPP 20.06 litterfall (Mg/ha/yr) 6.30
94 Trees (1/ha): 7159.00 | 42.00 | 0.00 *** nbdead (%): 2.18 | 0.00 | -nan *** AGB (t/ha): 41.00 GPP (MgC/ha/yr) 42.80 NPP 18.96 litterfall (Mg/ha/yr) 6.35
95 Trees (1/ha): 7087.00 | 44.00 | 0.00 *** nbdead (%): 2.50 | 0.00 | -nan *** AGB (t/ha): 41.00 GPP (MgC/ha/yr) 36.54 NPP 15.23 litterfall (Mg/ha/yr) 6.40
10000 Seedrain: 50000.00
Trees_mature: 22 Nbseedsadded: 47399 effective: 47499 nbspeciesaffected: 45
96 Trees (1/ha): 6851.00 | 47.00 | 0.00 *** nbdead (%): 5.65 | 0.00 | -nan *** AGB (t/ha): 42.00 GPP (MgC/ha/yr) 36.31 NPP 15.53 litterfall (Mg/ha/yr) 6.41
97 Trees (1/ha): 7029.00 | 48.00 | 0.00 *** nbdead (%): 2.13 | 0.00 | -nan *** AGB (t/ha): 42.00 GPP (MgC/ha/yr) 34.61 NPP 14.42 litterfall (Mg/ha/yr) 6.41
98 Trees (1/ha): 7015.00 | 51.00 | 0.00 *** nbdead (%): 3.08 | 0.00 | -nan *** AGB (t/ha): 42.00 GPP (MgC/ha/yr) 35.64 NPP 15.24 litterfall (Mg/ha/yr) 6.39
99 Trees (1/ha): 7050.00 | 53.00 | 0.00 *** nbdead (%): 2.72 | 0.00 | -nan *** AGB (t/ha): 43.00 GPP (MgC/ha/yr) 36.42 NPP 15.66 litterfall (Mg/ha/yr) 6.36
100 Trees (1/ha): 7062.00 | 55.00 | 0.00 *** nbdead (%): 2.73 | 0.00 | -nan *** AGB (t/ha): 43.00 GPP (MgC/ha/yr) 35.68 NPP 15.04 litterfall (Mg/ha/yr) 6.33
101 Trees (1/ha): 7027.00 | 60.00 | 0.00 *** nbdead (%): 3.32 | 0.00 | -nan *** AGB (t/ha): 43.00 GPP (MgC/ha/yr) 36.89 NPP 16.10 litterfall (Mg/ha/yr) 6.30
102 Trees (1/ha): 6993.00 | 63.00 | 0.00 *** nbdead (%): 3.70 | 0.00 | -nan *** AGB (t/ha): 44.00 GPP (MgC/ha/yr) 38.59 NPP 17.13 litterfall (Mg/ha/yr) 6.28
103 Trees (1/ha): 6978.00 | 66.00 | 0.00 *** nbdead (%): 3.60 | 0.00 | -nan *** AGB (t/ha): 44.00 GPP (MgC/ha/yr) 41.65 NPP 18.84 litterfall (Mg/ha/yr) 6.28
104 Trees (1/ha): 6944.00 | 69.00 | 0.00 *** nbdead (%): 3.49 | 0.00 | -nan *** AGB (t/ha): 45.00 GPP (MgC/ha/yr) 44.26 NPP 20.06 litterfall (Mg/ha/yr) 6.29
105 Trees (1/ha): 6980.00 | 74.00 | 0.00 *** nbdead (%): 2.58 | 0.00 | -nan *** AGB (t/ha): 45.00 GPP (MgC/ha/yr) 44.85 NPP 19.96 litterfall (Mg/ha/yr) 6.33
106 Trees (1/ha): 6953.00 | 76.00 | 0.00 *** nbdead (%): 2.42 | 0.00 | -nan *** AGB (t/ha): 46.00 GPP (MgC/ha/yr) 42.98 NPP 18.85 litterfall (Mg/ha/yr) 6.37
107 Trees (1/ha): 6897.00 | 77.00 | 0.00 *** nbdead (%): 2.64 | 0.00 | -nan *** AGB (t/ha): 46.00 GPP (MgC/ha/yr) 36.67 NPP 15.11 litterfall (Mg/ha/yr) 6.41
10000 Seedrain: 50000.00
Trees_mature: 39 Nbseedsadded: 47315 effective: 47489 nbspeciesaffected: 45
108 Trees (1/ha): 6694.00 | 78.00 | 0.00 *** nbdead (%): 5.14 | 0.00 | -nan *** AGB (t/ha): 46.00 GPP (MgC/ha/yr) 36.48 NPP 15.44 litterfall (Mg/ha/yr) 6.42
109 Trees (1/ha): 6862.00 | 78.00 | 0.00 *** nbdead (%): 2.16 | 0.00 | -nan *** AGB (t/ha): 47.00 GPP (MgC/ha/yr) 34.77 NPP 14.33 litterfall (Mg/ha/yr) 6.41
110 Trees (1/ha): 6837.00 | 79.00 | 0.00 *** nbdead (%): 3.17 | 0.00 | -nan *** AGB (t/ha): 47.00 GPP (MgC/ha/yr) 35.81 NPP 15.15 litterfall (Mg/ha/yr) 6.40
111 Trees (1/ha): 6887.00 | 81.00 | 0.00 *** nbdead (%): 2.76 | 0.00 | -nan *** AGB (t/ha): 47.00 GPP (MgC/ha/yr) 36.59 NPP 15.56 litterfall (Mg/ha/yr) 6.37
112 Trees (1/ha): 6892.00 | 81.00 | 0.00 *** nbdead (%): 2.87 | 0.00 | -nan *** AGB (t/ha): 48.00 GPP (MgC/ha/yr) 35.81 NPP 14.91 litterfall (Mg/ha/yr) 6.34
113 Trees (1/ha): 6837.00 | 84.00 | 0.00 *** nbdead (%): 3.54 | 0.00 | -nan *** AGB (t/ha): 48.00 GPP (MgC/ha/yr) 37.07 NPP 16.02 litterfall (Mg/ha/yr) 6.32
114 Trees (1/ha): 6842.00 | 84.00 | 0.00 *** nbdead (%): 3.48 | 0.00 | -nan *** AGB (t/ha): 48.00 GPP (MgC/ha/yr) 38.77 NPP 17.04 litterfall (Mg/ha/yr) 6.30
115 Trees (1/ha): 6792.00 | 85.00 | 0.00 *** nbdead (%): 4.24 | 0.00 | -nan *** AGB (t/ha): 49.00 GPP (MgC/ha/yr) 41.85 NPP 18.76 litterfall (Mg/ha/yr) 6.30
ABC: Conservation of Traits
ABC: Ground data
ABC: CHM simulation
ABC: Transmittance simulation
ABC: Species outputs
116 Trees (1/ha): 6826.00 | 87.00 | 0.00 *** nbdead (%): 3.37 | 0.00 | -nan *** AGB (t/ha): 49.00 GPP (MgC/ha/yr) 44.49 NPP 19.99 litterfall (Mg/ha/yr) 6.32
117 Trees (1/ha): 6858.00 | 94.00 | 0.00 *** nbdead (%): 2.57 | 0.00 | -nan *** AGB (t/ha): 50.00 GPP (MgC/ha/yr) 45.04 NPP 19.85 litterfall (Mg/ha/yr) 6.35
118 Trees (1/ha): 6839.00 | 100.00 | 0.00 *** nbdead (%): 2.27 | 0.00 | -nan *** AGB (t/ha): 51.00 GPP (MgC/ha/yr) 43.18 NPP 18.75 litterfall (Mg/ha/yr) 6.40
119 Trees (1/ha): 6784.00 | 102.00 | 0.00 *** nbdead (%): 2.28 | 0.00 | -nan *** AGB (t/ha): 51.00 GPP (MgC/ha/yr) 36.77 NPP 14.97 litterfall (Mg/ha/yr) 6.44
10000 Seedrain: 50000.00
Trees_mature: 50 Nbseedsadded: 47341 effective: 47558 nbspeciesaffected: 45
120 Trees (1/ha): 6555.00 | 105.00 | 0.00 *** nbdead (%): 5.71 | 0.00 | -nan *** AGB (t/ha): 51.00 GPP (MgC/ha/yr) 36.59 NPP 15.31 litterfall (Mg/ha/yr) 6.44
121 Trees (1/ha): 6716.00 | 109.00 | 0.00 *** nbdead (%): 2.50 | 0.00 | -nan *** AGB (t/ha): 51.00 GPP (MgC/ha/yr) 34.82 NPP 14.16 litterfall (Mg/ha/yr) 6.44
122 Trees (1/ha): 6703.00 | 112.00 | 0.00 *** nbdead (%): 3.19 | 0.00 | -nan *** AGB (t/ha): 52.00 GPP (MgC/ha/yr) 35.89 NPP 15.01 litterfall (Mg/ha/yr) 6.42
123 Trees (1/ha): 6722.00 | 120.00 | 0.00 *** nbdead (%): 3.05 | 0.00 | -nan *** AGB (t/ha): 52.00 GPP (MgC/ha/yr) 36.70 NPP 15.44 litterfall (Mg/ha/yr) 6.39
124 Trees (1/ha): 6758.00 | 126.00 | 0.00 *** nbdead (%): 2.77 | 0.00 | -nan *** AGB (t/ha): 52.00 GPP (MgC/ha/yr) 35.97 NPP 14.81 litterfall (Mg/ha/yr) 6.37
125 Trees (1/ha): 6696.00 | 127.00 | 0.00 *** nbdead (%): 3.81 | 0.00 | -nan *** AGB (t/ha): 53.00 GPP (MgC/ha/yr) 37.25 NPP 15.93 litterfall (Mg/ha/yr) 6.35
126 Trees (1/ha): 6703.00 | 131.00 | 0.00 *** nbdead (%): 3.58 | 0.00 | -nan *** AGB (t/ha): 53.00 GPP (MgC/ha/yr) 38.99 NPP 16.97 litterfall (Mg/ha/yr) 6.34
127 Trees (1/ha): 6664.00 | 134.00 | 0.00 *** nbdead (%): 4.08 | 0.75 | -nan *** AGB (t/ha): 53.00 GPP (MgC/ha/yr) 42.03 NPP 18.67 litterfall (Mg/ha/yr) 6.33
128 Trees (1/ha): 6652.00 | 143.00 | 0.00 *** nbdead (%): 3.56 | 0.00 | -nan *** AGB (t/ha): 54.00 GPP (MgC/ha/yr) 44.67 NPP 19.90 litterfall (Mg/ha/yr) 6.34
129 Trees (1/ha): 6676.00 | 147.00 | 0.00 *** nbdead (%): 2.67 | 0.00 | -nan *** AGB (t/ha): 55.00 GPP (MgC/ha/yr) 45.21 NPP 19.75 litterfall (Mg/ha/yr) 6.38
130 Trees (1/ha): 6650.00 | 155.00 | 0.00 *** nbdead (%): 2.50 | 0.00 | -nan *** AGB (t/ha): 55.00 GPP (MgC/ha/yr) 43.25 NPP 18.61 litterfall (Mg/ha/yr) 6.41
131 Trees (1/ha): 6615.00 | 164.00 | 0.00 *** nbdead (%): 2.39 | 0.00 | -nan *** AGB (t/ha): 55.00 GPP (MgC/ha/yr) 36.86 NPP 14.85 litterfall (Mg/ha/yr) 6.45
10000 Seedrain: 50000.00
Trees_mature: 60 Nbseedsadded: 47368 effective: 47617 nbspeciesaffected: 45
132 Trees (1/ha): 6407.00 | 171.00 | 0.00 *** nbdead (%): 5.37 | 0.00 | -nan *** AGB (t/ha): 56.00 GPP (MgC/ha/yr) 36.68 NPP 15.19 litterfall (Mg/ha/yr) 6.46
133 Trees (1/ha): 6543.00 | 175.00 | 0.00 *** nbdead (%): 2.49 | 0.00 | -nan *** AGB (t/ha): 56.00 GPP (MgC/ha/yr) 34.94 NPP 14.06 litterfall (Mg/ha/yr) 6.46
134 Trees (1/ha): 6555.00 | 178.00 | 0.00 *** nbdead (%): 3.02 | 0.00 | -nan *** AGB (t/ha): 56.00 GPP (MgC/ha/yr) 36.02 NPP 14.92 litterfall (Mg/ha/yr) 6.43
135 Trees (1/ha): 6589.00 | 184.00 | 0.00 *** nbdead (%): 2.60 | 0.00 | -nan *** AGB (t/ha): 56.00 GPP (MgC/ha/yr) 36.83 NPP 15.34 litterfall (Mg/ha/yr) 6.41
136 Trees (1/ha): 6591.00 | 189.00 | 0.00 *** nbdead (%): 2.82 | 0.53 | -nan *** AGB (t/ha): 57.00 GPP (MgC/ha/yr) 35.99 NPP 14.66 litterfall (Mg/ha/yr) 6.38
137 Trees (1/ha): 6529.00 | 196.00 | 0.00 *** nbdead (%): 3.68 | 0.00 | -nan *** AGB (t/ha): 57.00 GPP (MgC/ha/yr) 37.27 NPP 15.79 litterfall (Mg/ha/yr) 6.35
138 Trees (1/ha): 6527.00 | 204.00 | 0.00 *** nbdead (%): 3.75 | 0.00 | -nan *** AGB (t/ha): 57.00 GPP (MgC/ha/yr) 39.03 NPP 16.85 litterfall (Mg/ha/yr) 6.34
139 Trees (1/ha): 6500.00 | 216.00 | 0.00 *** nbdead (%): 4.28 | 0.00 | -nan *** AGB (t/ha): 58.00 GPP (MgC/ha/yr) 42.13 NPP 18.58 litterfall (Mg/ha/yr) 6.33
140 Trees (1/ha): 6498.00 | 226.00 | 0.00 *** nbdead (%): 3.62 | 0.00 | -nan *** AGB (t/ha): 58.00 GPP (MgC/ha/yr) 44.80 NPP 19.82 litterfall (Mg/ha/yr) 6.35
141 Trees (1/ha): 6539.00 | 238.00 | 0.00 *** nbdead (%): 2.65 | 0.42 | -nan *** AGB (t/ha): 59.00 GPP (MgC/ha/yr) 45.27 NPP 19.64 litterfall (Mg/ha/yr) 6.37
142 Trees (1/ha): 6506.00 | 241.00 | 0.00 *** nbdead (%): 2.43 | 0.41 | -nan *** AGB (t/ha): 59.00 GPP (MgC/ha/yr) 43.29 NPP 18.49 litterfall (Mg/ha/yr) 6.41
143 Trees (1/ha): 6445.00 | 247.00 | 0.00 *** nbdead (%): 2.61 | 0.40 | -nan *** AGB (t/ha): 60.00 GPP (MgC/ha/yr) 36.75 NPP 14.66 litterfall (Mg/ha/yr) 6.44
10000 Seedrain: 50000.00
Trees_mature: 67 Nbseedsadded: 47299 effective: 47581 nbspeciesaffected: 45
144 Trees (1/ha): 6275.00 | 251.00 | 0.00 *** nbdead (%): 5.16 | 0.40 | -nan *** AGB (t/ha): 60.00 GPP (MgC/ha/yr) 36.56 NPP 15.01 litterfall (Mg/ha/yr) 6.44
145 Trees (1/ha): 6404.00 | 259.00 | 0.00 *** nbdead (%): 2.40 | 0.00 | -nan *** AGB (t/ha): 60.00 GPP (MgC/ha/yr) 34.86 NPP 13.90 litterfall (Mg/ha/yr) 6.44
146 Trees (1/ha): 6408.00 | 269.00 | 0.00 *** nbdead (%): 2.86 | 0.37 | -nan *** AGB (t/ha): 60.00 GPP (MgC/ha/yr) 35.89 NPP 14.74 litterfall (Mg/ha/yr) 6.42
147 Trees (1/ha): 6419.00 | 277.00 | 0.00 *** nbdead (%): 2.99 | 0.36 | -nan *** AGB (t/ha): 61.00 GPP (MgC/ha/yr) 36.71 NPP 15.16 litterfall (Mg/ha/yr) 6.39
148 Trees (1/ha): 6463.00 | 284.00 | 0.00 *** nbdead (%): 2.57 | 0.00 | -nan *** AGB (t/ha): 61.00 GPP (MgC/ha/yr) 35.93 NPP 14.52 litterfall (Mg/ha/yr) 6.37
149 Trees (1/ha): 6398.00 | 293.00 | 0.00 *** nbdead (%): 3.64 | 0.00 | -nan *** AGB (t/ha): 61.00 GPP (MgC/ha/yr) 37.22 NPP 15.66 litterfall (Mg/ha/yr) 6.34
150 Trees (1/ha): 6375.00 | 301.00 | 0.00 *** nbdead (%): 4.13 | 0.00 | -nan *** AGB (t/ha): 62.00 GPP (MgC/ha/yr) 38.99 NPP 16.73 litterfall (Mg/ha/yr) 6.33
151 Trees (1/ha): 6371.00 | 314.00 | 0.00 *** nbdead (%): 4.05 | 0.00 | -nan *** AGB (t/ha): 62.00 GPP (MgC/ha/yr) 42.09 NPP 18.45 litterfall (Mg/ha/yr) 6.33
152 Trees (1/ha): 6372.00 | 325.00 | 0.00 *** nbdead (%): 3.66 | 0.00 | -nan *** AGB (t/ha): 63.00 GPP (MgC/ha/yr) 44.72 NPP 19.66 litterfall (Mg/ha/yr) 6.33
153 Trees (1/ha): 6418.00 | 334.00 | 0.00 *** nbdead (%): 2.38 | 0.00 | -nan *** AGB (t/ha): 63.00 GPP (MgC/ha/yr) 45.27 NPP 19.53 litterfall (Mg/ha/yr) 6.36
154 Trees (1/ha): 6393.00 | 349.00 | 0.00 *** nbdead (%): 2.32 | 0.00 | -nan *** AGB (t/ha): 64.00 GPP (MgC/ha/yr) 43.25 NPP 18.36 litterfall (Mg/ha/yr) 6.40
155 Trees (1/ha): 6333.00 | 355.00 | 0.00 *** nbdead (%): 2.48 | 0.00 | -nan *** AGB (t/ha): 64.00 GPP (MgC/ha/yr) 36.82 NPP 14.59 litterfall (Mg/ha/yr) 6.43
10000 Seedrain: 50000.00
Trees_mature: 75 Nbseedsadded: 47439 effective: 47753 nbspeciesaffected: 45
156 Trees (1/ha): 6146.00 | 366.00 | 0.00 *** nbdead (%): 5.35 | 0.00 | -nan *** AGB (t/ha): 64.00 GPP (MgC/ha/yr) 36.64 NPP 14.95 litterfall (Mg/ha/yr) 6.44
157 Trees (1/ha): 6251.00 | 370.00 | 0.00 *** nbdead (%): 2.69 | 0.27 | -nan *** AGB (t/ha): 64.00 GPP (MgC/ha/yr) 34.82 NPP 13.78 litterfall (Mg/ha/yr) 6.42
158 Trees (1/ha): 6224.00 | 382.00 | 0.00 *** nbdead (%): 3.74 | 0.00 | -nan *** AGB (t/ha): 64.00 GPP (MgC/ha/yr) 35.89 NPP 14.66 litterfall (Mg/ha/yr) 6.39
159 Trees (1/ha): 6326.00 | 388.00 | 0.00 *** nbdead (%): 2.67 | 0.00 | -nan *** AGB (t/ha): 65.00 GPP (MgC/ha/yr) 36.73 NPP 15.08 litterfall (Mg/ha/yr) 6.37
160 Trees (1/ha): 6317.00 | 402.00 | 0.00 *** nbdead (%): 3.15 | 0.00 | -nan *** AGB (t/ha): 65.00 GPP (MgC/ha/yr) 35.94 NPP 14.43 litterfall (Mg/ha/yr) 6.35
161 Trees (1/ha): 6277.00 | 413.00 | 0.00 *** nbdead (%): 3.79 | 0.00 | -nan *** AGB (t/ha): 65.00 GPP (MgC/ha/yr) 37.27 NPP 15.59 litterfall (Mg/ha/yr) 6.33
162 Trees (1/ha): 6286.00 | 423.00 | 0.00 *** nbdead (%): 3.72 | 0.00 | -nan *** AGB (t/ha): 66.00 GPP (MgC/ha/yr) 38.99 NPP 16.62 litterfall (Mg/ha/yr) 6.31
163 Trees (1/ha): 6244.00 | 434.00 | 0.00 *** nbdead (%): 4.37 | 0.00 | -nan *** AGB (t/ha): 66.00 GPP (MgC/ha/yr) 42.09 NPP 18.34 litterfall (Mg/ha/yr) 6.31
164 Trees (1/ha): 6231.00 | 442.00 | 0.00 *** nbdead (%): 3.85 | 0.00 | -nan *** AGB (t/ha): 67.00 GPP (MgC/ha/yr) 44.68 NPP 19.54 litterfall (Mg/ha/yr) 6.32
165 Trees (1/ha): 6262.00 | 455.00 | 0.00 *** nbdead (%): 2.92 | 0.22 | -nan *** AGB (t/ha): 67.00 GPP (MgC/ha/yr) 45.16 NPP 19.36 litterfall (Mg/ha/yr) 6.34
166 Trees (1/ha): 6270.00 | 466.00 | 0.00 *** nbdead (%): 2.30 | 0.00 | -nan *** AGB (t/ha): 68.00 GPP (MgC/ha/yr) 43.23 NPP 18.25 litterfall (Mg/ha/yr) 6.38
167 Trees (1/ha): 6209.00 | 477.00 | 0.00 *** nbdead (%): 2.63 | 0.00 | -nan *** AGB (t/ha): 68.00 GPP (MgC/ha/yr) 36.77 NPP 14.47 litterfall (Mg/ha/yr) 6.42
10000 Seedrain: 50000.00
Trees_mature: 87 Nbseedsadded: 47273 effective: 47649 nbspeciesaffected: 45
168 Trees (1/ha): 6034.00 | 482.00 | 0.00 *** nbdead (%): 5.39 | 0.41 | -nan *** AGB (t/ha): 68.00 GPP (MgC/ha/yr) 36.54 NPP 14.81 litterfall (Mg/ha/yr) 6.42
169 Trees (1/ha): 6178.00 | 487.00 | 0.00 *** nbdead (%): 2.49 | 0.00 | -nan *** AGB (t/ha): 69.00 GPP (MgC/ha/yr) 34.80 NPP 13.68 litterfall (Mg/ha/yr) 6.41
170 Trees (1/ha): 6173.00 | 496.00 | 0.00 *** nbdead (%): 3.18 | 0.00 | -nan *** AGB (t/ha): 69.00 GPP (MgC/ha/yr) 35.87 NPP 14.56 litterfall (Mg/ha/yr) 6.38
171 Trees (1/ha): 6219.00 | 508.00 | 0.00 *** nbdead (%): 2.86 | 0.00 | -nan *** AGB (t/ha): 69.00 GPP (MgC/ha/yr) 36.70 NPP 14.97 litterfall (Mg/ha/yr) 6.36
172 Trees (1/ha): 6246.00 | 514.00 | 0.00 *** nbdead (%): 2.67 | 0.00 | -nan *** AGB (t/ha): 69.00 GPP (MgC/ha/yr) 35.92 NPP 14.33 litterfall (Mg/ha/yr) 6.34
173 Trees (1/ha): 6179.00 | 524.00 | 0.00 *** nbdead (%): 3.88 | 0.19 | -nan *** AGB (t/ha): 70.00 GPP (MgC/ha/yr) 37.21 NPP 15.47 litterfall (Mg/ha/yr) 6.31
174 Trees (1/ha): 6166.00 | 528.00 | 0.00 *** nbdead (%): 4.12 | 0.19 | -nan *** AGB (t/ha): 70.00 GPP (MgC/ha/yr) 38.92 NPP 16.51 litterfall (Mg/ha/yr) 6.29
175 Trees (1/ha): 6150.00 | 540.00 | 0.00 *** nbdead (%): 4.42 | 0.00 | -nan *** AGB (t/ha): 71.00 GPP (MgC/ha/yr) 42.09 NPP 18.27 litterfall (Mg/ha/yr) 6.28
176 Trees (1/ha): 6153.00 | 552.00 | 0.00 *** nbdead (%): 3.72 | 0.00 | -nan *** AGB (t/ha): 71.00 GPP (MgC/ha/yr) 44.74 NPP 19.49 litterfall (Mg/ha/yr) 6.30
177 Trees (1/ha): 6178.00 | 561.00 | 0.00 *** nbdead (%): 2.87 | 0.00 | -nan *** AGB (t/ha): 72.00 GPP (MgC/ha/yr) 45.25 NPP 19.32 litterfall (Mg/ha/yr) 6.33
178 Trees (1/ha): 6183.00 | 567.00 | 0.00 *** nbdead (%): 2.22 | 0.18 | -nan *** AGB (t/ha): 72.00 GPP (MgC/ha/yr) 43.21 NPP 18.15 litterfall (Mg/ha/yr) 6.36
179 Trees (1/ha): 6149.00 | 571.00 | 0.00 *** nbdead (%): 2.24 | 0.00 | -nan *** AGB (t/ha): 72.00 GPP (MgC/ha/yr) 36.77 NPP 14.41 litterfall (Mg/ha/yr) 6.39
10000 Seedrain: 50000.00
Trees_mature: 112 Nbseedsadded: 47365 effective: 47842 nbspeciesaffected: 45
180 Trees (1/ha): 5963.00 | 575.00 | 0.00 *** nbdead (%): 5.22 | 0.17 | -nan *** AGB (t/ha): 73.00 GPP (MgC/ha/yr) 36.61 NPP 14.78 litterfall (Mg/ha/yr) 6.40
181 Trees (1/ha): 6112.00 | 578.00 | 0.00 *** nbdead (%): 2.21 | 0.00 | -nan *** AGB (t/ha): 73.00 GPP (MgC/ha/yr) 34.87 NPP 13.65 litterfall (Mg/ha/yr) 6.39
182 Trees (1/ha): 6107.00 | 580.00 | 0.00 *** nbdead (%): 3.06 | 0.17 | -nan *** AGB (t/ha): 73.00 GPP (MgC/ha/yr) 35.88 NPP 14.50 litterfall (Mg/ha/yr) 6.36
183 Trees (1/ha): 6148.00 | 586.00 | 0.00 *** nbdead (%): 2.75 | 0.00 | -nan *** AGB (t/ha): 73.00 GPP (MgC/ha/yr) 36.75 NPP 14.93 litterfall (Mg/ha/yr) 6.34
184 Trees (1/ha): 6154.00 | 593.00 | 0.00 *** nbdead (%): 3.10 | 0.00 | -nan *** AGB (t/ha): 74.00 GPP (MgC/ha/yr) 35.99 NPP 14.30 litterfall (Mg/ha/yr) 6.32
185 Trees (1/ha): 6091.00 | 602.00 | 0.00 *** nbdead (%): 4.04 | 0.00 | -nan *** AGB (t/ha): 74.00 GPP (MgC/ha/yr) 37.30 NPP 15.44 litterfall (Mg/ha/yr) 6.30
186 Trees (1/ha): 6112.00 | 611.00 | 0.00 *** nbdead (%): 3.73 | 0.00 | -nan *** AGB (t/ha): 74.00 GPP (MgC/ha/yr) 39.10 NPP 16.52 litterfall (Mg/ha/yr) 6.29
187 Trees (1/ha): 6062.00 | 617.00 | 0.00 *** nbdead (%): 4.47 | 0.00 | -nan *** AGB (t/ha): 75.00 GPP (MgC/ha/yr) 42.19 NPP 18.24 litterfall (Mg/ha/yr) 6.29
188 Trees (1/ha): 6046.00 | 626.00 | 0.00 *** nbdead (%): 4.22 | 0.32 | -nan *** AGB (t/ha): 75.00 GPP (MgC/ha/yr) 44.78 NPP 19.44 litterfall (Mg/ha/yr) 6.29
189 Trees (1/ha): 6075.00 | 634.00 | 0.00 *** nbdead (%): 3.11 | 0.00 | -nan *** AGB (t/ha): 76.00 GPP (MgC/ha/yr) 45.28 NPP 19.26 litterfall (Mg/ha/yr) 6.32
190 Trees (1/ha): 6081.00 | 638.00 | 0.00 *** nbdead (%): 2.53 | 0.00 | -nan *** AGB (t/ha): 76.00 GPP (MgC/ha/yr) 43.29 NPP 18.12 litterfall (Mg/ha/yr) 6.36
191 Trees (1/ha): 6047.00 | 644.00 | 0.00 *** nbdead (%): 2.51 | 0.00 | -nan *** AGB (t/ha): 77.00 GPP (MgC/ha/yr) 36.81 NPP 14.35 litterfall (Mg/ha/yr) 6.39
10000 Seedrain: 50000.00
Trees_mature: 135 Nbseedsadded: 47326 effective: 47867 nbspeciesaffected: 45
192 Trees (1/ha): 5864.00 | 646.00 | 0.00 *** nbdead (%): 5.46 | 0.00 | -nan *** AGB (t/ha): 77.00 GPP (MgC/ha/yr) 36.64 NPP 14.72 litterfall (Mg/ha/yr) 6.39
193 Trees (1/ha): 5981.00 | 648.00 | 0.00 *** nbdead (%): 2.46 | 0.15 | -nan *** AGB (t/ha): 77.00 GPP (MgC/ha/yr) 34.89 NPP 13.58 litterfall (Mg/ha/yr) 6.38
194 Trees (1/ha): 6003.00 | 652.00 | 0.00 *** nbdead (%): 3.03 | 0.31 | -nan *** AGB (t/ha): 77.00 GPP (MgC/ha/yr) 35.92 NPP 14.45 litterfall (Mg/ha/yr) 6.36
195 Trees (1/ha): 6014.00 | 653.00 | 0.00 *** nbdead (%): 3.31 | 0.00 | -nan *** AGB (t/ha): 78.00 GPP (MgC/ha/yr) 36.79 NPP 14.89 litterfall (Mg/ha/yr) 6.33
196 Trees (1/ha): 6039.00 | 660.00 | 0.00 *** nbdead (%): 2.86 | 0.00 | -nan *** AGB (t/ha): 78.00 GPP (MgC/ha/yr) 36.05 NPP 14.26 litterfall (Mg/ha/yr) 6.31
197 Trees (1/ha): 5980.00 | 662.00 | 0.00 *** nbdead (%): 4.23 | 0.00 | -nan *** AGB (t/ha): 78.00 GPP (MgC/ha/yr) 37.36 NPP 15.40 litterfall (Mg/ha/yr) 6.29
198 Trees (1/ha): 5979.00 | 667.00 | 0.00 *** nbdead (%): 4.13 | 0.00 | -nan *** AGB (t/ha): 79.00 GPP (MgC/ha/yr) 39.15 NPP 16.48 litterfall (Mg/ha/yr) 6.28
199 Trees (1/ha): 5954.00 | 676.00 | 0.00 *** nbdead (%): 4.40 | 0.00 | -nan *** AGB (t/ha): 79.00 GPP (MgC/ha/yr) 42.29 NPP 18.22 litterfall (Mg/ha/yr) 6.28
200 Trees (1/ha): 5956.00 | 681.00 | 0.00 *** nbdead (%): 3.96 | 0.00 | -nan *** AGB (t/ha): 80.00 GPP (MgC/ha/yr) 44.90 NPP 19.42 litterfall (Mg/ha/yr) 6.29
201 Trees (1/ha): 5996.00 | 686.00 | 0.00 *** nbdead (%): 2.59 | 0.00 | -nan *** AGB (t/ha): 80.00 GPP (MgC/ha/yr) 45.42 NPP 19.26 litterfall (Mg/ha/yr) 6.32
202 Trees (1/ha): 5986.00 | 689.00 | 0.00 *** nbdead (%): 2.44 | 0.00 | -nan *** AGB (t/ha): 81.00 GPP (MgC/ha/yr) 43.36 NPP 18.08 litterfall (Mg/ha/yr) 6.35
203 Trees (1/ha): 5937.00 | 694.00 | 0.00 *** nbdead (%): 2.73 | 0.00 | -nan *** AGB (t/ha): 81.00 GPP (MgC/ha/yr) 36.86 NPP 14.31 litterfall (Mg/ha/yr) 6.38
10000 Seedrain: 50000.00
Trees_mature: 157 Nbseedsadded: 47274 effective: 47957 nbspeciesaffected: 45
204 Trees (1/ha): 5739.00 | 698.00 | 0.00 *** nbdead (%): 5.94 | 0.14 | -nan *** AGB (t/ha): 81.00 GPP (MgC/ha/yr) 36.69 NPP 14.69 litterfall (Mg/ha/yr) 6.38
205 Trees (1/ha): 5925.00 | 701.00 | 0.00 *** nbdead (%): 2.28 | 0.00 | -nan *** AGB (t/ha): 81.00 GPP (MgC/ha/yr) 34.96 NPP 13.55 litterfall (Mg/ha/yr) 6.38
206 Trees (1/ha): 5934.00 | 702.00 | 0.00 *** nbdead (%): 3.17 | 0.28 | -nan *** AGB (t/ha): 81.00 GPP (MgC/ha/yr) 36.01 NPP 14.43 litterfall (Mg/ha/yr) 6.35
207 Trees (1/ha): 5965.00 | 704.00 | 0.00 *** nbdead (%): 3.24 | 0.00 | -nan *** AGB (t/ha): 82.00 GPP (MgC/ha/yr) 36.89 NPP 14.88 litterfall (Mg/ha/yr) 6.33
208 Trees (1/ha): 6005.00 | 707.00 | 0.00 *** nbdead (%): 3.08 | 0.14 | -nan *** AGB (t/ha): 82.00 GPP (MgC/ha/yr) 36.10 NPP 14.22 litterfall (Mg/ha/yr) 6.31
209 Trees (1/ha): 5949.00 | 710.00 | 0.00 *** nbdead (%): 4.14 | 0.00 | -nan *** AGB (t/ha): 82.00 GPP (MgC/ha/yr) 37.42 NPP 15.37 litterfall (Mg/ha/yr) 6.29
210 Trees (1/ha): 5948.00 | 716.00 | 0.00 *** nbdead (%): 4.03 | 0.00 | -nan *** AGB (t/ha): 83.00 GPP (MgC/ha/yr) 39.20 NPP 16.44 litterfall (Mg/ha/yr) 6.28
211 Trees (1/ha): 5916.00 | 723.00 | 0.00 *** nbdead (%): 4.41 | 0.00 | -nan *** AGB (t/ha): 83.00 GPP (MgC/ha/yr) 42.34 NPP 18.19 litterfall (Mg/ha/yr) 6.28
212 Trees (1/ha): 5919.00 | 726.00 | 0.00 *** nbdead (%): 3.77 | 0.00 | -nan *** AGB (t/ha): 84.00 GPP (MgC/ha/yr) 45.00 NPP 19.41 litterfall (Mg/ha/yr) 6.29
213 Trees (1/ha): 5946.00 | 732.00 | 0.00 *** nbdead (%): 2.66 | 0.00 | -nan *** AGB (t/ha): 84.00 GPP (MgC/ha/yr) 45.51 NPP 19.23 litterfall (Mg/ha/yr) 6.32
214 Trees (1/ha): 5908.00 | 733.00 | 0.00 *** nbdead (%): 2.67 | 0.00 | -nan *** AGB (t/ha): 85.00 GPP (MgC/ha/yr) 43.48 NPP 18.08 litterfall (Mg/ha/yr) 6.35
215 Trees (1/ha): 5888.00 | 736.00 | 0.00 *** nbdead (%): 2.24 | 0.00 | -nan *** AGB (t/ha): 85.00 GPP (MgC/ha/yr) 36.97 NPP 14.30 litterfall (Mg/ha/yr) 6.39
10000 Seedrain: 50000.00
Trees_mature: 181 Nbseedsadded: 47302 effective: 48043 nbspeciesaffected: 45
216 Trees (1/ha): 5708.00 | 737.00 | 0.00 *** nbdead (%): 5.41 | 0.00 | -nan *** AGB (t/ha): 85.00 GPP (MgC/ha/yr) 36.81 NPP 14.68 litterfall (Mg/ha/yr) 6.39
217 Trees (1/ha): 5862.00 | 742.00 | 0.00 *** nbdead (%): 2.47 | 0.00 | -nan *** AGB (t/ha): 85.00 GPP (MgC/ha/yr) 35.05 NPP 13.52 litterfall (Mg/ha/yr) 6.39
218 Trees (1/ha): 5878.00 | 743.00 | 0.00 *** nbdead (%): 3.03 | 0.00 | -nan *** AGB (t/ha): 86.00 GPP (MgC/ha/yr) 36.13 NPP 14.42 litterfall (Mg/ha/yr) 6.37
219 Trees (1/ha): 5858.00 | 744.00 | 0.00 *** nbdead (%): 3.60 | 0.13 | -nan *** AGB (t/ha): 86.00 GPP (MgC/ha/yr) 36.94 NPP 14.83 litterfall (Mg/ha/yr) 6.34
220 Trees (1/ha): 5894.00 | 748.00 | 0.00 *** nbdead (%): 3.26 | 0.00 | -nan *** AGB (t/ha): 86.00 GPP (MgC/ha/yr) 36.23 NPP 14.22 litterfall (Mg/ha/yr) 6.32
221 Trees (1/ha): 5870.00 | 750.00 | 0.00 *** nbdead (%): 3.99 | 0.00 | -nan *** AGB (t/ha): 87.00 GPP (MgC/ha/yr) 37.56 NPP 15.38 litterfall (Mg/ha/yr) 6.30
222 Trees (1/ha): 5870.00 | 752.00 | 0.00 *** nbdead (%): 4.24 | 0.13 | -nan *** AGB (t/ha): 87.00 GPP (MgC/ha/yr) 39.29 NPP 16.44 litterfall (Mg/ha/yr) 6.28
223 Trees (1/ha): 5850.00 | 755.00 | 0.00 *** nbdead (%): 4.27 | 0.00 | -nan *** AGB (t/ha): 87.00 GPP (MgC/ha/yr) 42.45 NPP 18.20 litterfall (Mg/ha/yr) 6.28
224 Trees (1/ha): 5845.00 | 764.00 | 0.00 *** nbdead (%): 4.09 | 0.00 | -nan *** AGB (t/ha): 88.00 GPP (MgC/ha/yr) 45.15 NPP 19.44 litterfall (Mg/ha/yr) 6.29
225 Trees (1/ha): 5905.00 | 765.00 | 0.00 *** nbdead (%): 2.56 | 0.00 | -nan *** AGB (t/ha): 88.00 GPP (MgC/ha/yr) 45.65 NPP 19.25 litterfall (Mg/ha/yr) 6.32
226 Trees (1/ha): 5890.00 | 767.00 | 0.00 *** nbdead (%): 2.43 | 0.00 | -nan *** AGB (t/ha): 89.00 GPP (MgC/ha/yr) 43.58 NPP 18.08 litterfall (Mg/ha/yr) 6.35
227 Trees (1/ha): 5848.00 | 768.00 | 0.00 *** nbdead (%): 2.46 | 0.00 | -nan *** AGB (t/ha): 89.00 GPP (MgC/ha/yr) 37.01 NPP 14.26 litterfall (Mg/ha/yr) 6.38
10000 Seedrain: 50000.00
Trees_mature: 205 Nbseedsadded: 47249 effective: 48118 nbspeciesaffected: 45
228 Trees (1/ha): 5657.00 | 771.00 | 0.00 *** nbdead (%): 5.62 | 0.13 | -nan *** AGB (t/ha): 89.00 GPP (MgC/ha/yr) 36.84 NPP 14.64 litterfall (Mg/ha/yr) 6.38
229 Trees (1/ha): 5792.00 | 773.00 | 0.00 *** nbdead (%): 2.37 | 0.00 | -nan *** AGB (t/ha): 89.00 GPP (MgC/ha/yr) 35.09 NPP 13.50 litterfall (Mg/ha/yr) 6.38
230 Trees (1/ha): 5793.00 | 777.00 | 0.00 *** nbdead (%): 3.23 | 0.00 | -nan *** AGB (t/ha): 90.00 GPP (MgC/ha/yr) 36.21 NPP 14.42 litterfall (Mg/ha/yr) 6.36
231 Trees (1/ha): 5825.00 | 779.00 | 0.00 *** nbdead (%): 3.23 | 0.00 | -nan *** AGB (t/ha): 90.00 GPP (MgC/ha/yr) 37.08 NPP 14.84 litterfall (Mg/ha/yr) 6.34
232 Trees (1/ha): 5814.00 | 782.00 | 0.00 *** nbdead (%): 3.56 | 0.00 | -nan *** AGB (t/ha): 90.00 GPP (MgC/ha/yr) 36.30 NPP 14.19 litterfall (Mg/ha/yr) 6.32
233 Trees (1/ha): 5780.00 | 785.00 | 0.00 *** nbdead (%): 4.19 | 0.00 | -nan *** AGB (t/ha): 91.00 GPP (MgC/ha/yr) 37.64 NPP 15.36 litterfall (Mg/ha/yr) 6.30
234 Trees (1/ha): 5745.00 | 788.00 | 0.00 *** nbdead (%): 4.84 | 0.00 | -nan *** AGB (t/ha): 91.00 GPP (MgC/ha/yr) 39.45 NPP 16.45 litterfall (Mg/ha/yr) 6.29
235 Trees (1/ha): 5726.00 | 792.00 | 0.00 *** nbdead (%): 4.80 | 0.00 | -nan *** AGB (t/ha): 92.00 GPP (MgC/ha/yr) 42.59 NPP 18.19 litterfall (Mg/ha/yr) 6.29
ABC: Conservation of Traits
ABC: Ground data
ABC: CHM simulation
ABC: Transmittance simulation
ABC: Species outputs
236 Trees (1/ha): 5734.00 | 794.00 | 0.00 *** nbdead (%): 4.19 | 0.00 | -nan *** AGB (t/ha): 92.00 GPP (MgC/ha/yr) 45.30 NPP 19.43 litterfall (Mg/ha/yr) 6.30
237 Trees (1/ha): 5811.00 | 803.00 | 0.00 *** nbdead (%): 2.62 | 0.00 | -nan *** AGB (t/ha): 93.00 GPP (MgC/ha/yr) 45.78 NPP 19.23 litterfall (Mg/ha/yr) 6.33
238 Trees (1/ha): 5792.00 | 807.00 | 0.00 *** nbdead (%): 2.64 | 0.00 | -nan *** AGB (t/ha): 93.00 GPP (MgC/ha/yr) 43.68 NPP 18.05 litterfall (Mg/ha/yr) 6.36
239 Trees (1/ha): 5753.00 | 807.00 | 0.00 *** nbdead (%): 2.47 | 0.12 | -nan *** AGB (t/ha): 93.00 GPP (MgC/ha/yr) 37.04 NPP 14.21 litterfall (Mg/ha/yr) 6.38
10000 Seedrain: 50000.00
Trees_mature: 238 Nbseedsadded: 47372 effective: 48378 nbspeciesaffected: 45
240 Trees (1/ha): 5563.00 | 814.00 | 0.00 *** nbdead (%): 5.84 | 0.00 | -nan *** AGB (t/ha): 94.00 GPP (MgC/ha/yr) 36.89 NPP 14.60 litterfall (Mg/ha/yr) 6.39
241 Trees (1/ha): 5663.00 | 813.00 | 0.00 *** nbdead (%): 3.02 | 0.12 | -nan *** AGB (t/ha): 94.00 GPP (MgC/ha/yr) 35.07 NPP 13.42 litterfall (Mg/ha/yr) 6.37
242 Trees (1/ha): 5636.00 | 815.00 | 0.00 *** nbdead (%): 3.85 | 0.00 | -nan *** AGB (t/ha): 94.00 GPP (MgC/ha/yr) 36.21 NPP 14.36 litterfall (Mg/ha/yr) 6.35
243 Trees (1/ha): 5710.00 | 816.00 | 0.00 *** nbdead (%): 3.17 | 0.00 | -nan *** AGB (t/ha): 94.00 GPP (MgC/ha/yr) 37.05 NPP 14.77 litterfall (Mg/ha/yr) 6.33
244 Trees (1/ha): 5722.00 | 816.00 | 0.00 *** nbdead (%): 3.44 | 0.25 | -nan *** AGB (t/ha): 94.00 GPP (MgC/ha/yr) 36.23 NPP 14.11 litterfall (Mg/ha/yr) 6.30
245 Trees (1/ha): 5684.00 | 817.00 | 0.00 *** nbdead (%): 4.15 | 0.12 | -nan *** AGB (t/ha): 95.00 GPP (MgC/ha/yr) 37.60 NPP 15.30 litterfall (Mg/ha/yr) 6.28
246 Trees (1/ha): 5703.00 | 823.00 | 0.00 *** nbdead (%): 4.02 | 0.00 | -nan *** AGB (t/ha): 95.00 GPP (MgC/ha/yr) 39.41 NPP 16.38 litterfall (Mg/ha/yr) 6.28
247 Trees (1/ha): 5683.00 | 822.00 | 0.00 *** nbdead (%): 4.35 | 0.24 | -nan *** AGB (t/ha): 96.00 GPP (MgC/ha/yr) 42.49 NPP 18.10 litterfall (Mg/ha/yr) 6.26
248 Trees (1/ha): 5699.00 | 825.00 | 0.00 *** nbdead (%): 3.79 | 0.00 | -nan *** AGB (t/ha): 96.00 GPP (MgC/ha/yr) 45.16 NPP 19.32 litterfall (Mg/ha/yr) 6.27
249 Trees (1/ha): 5729.00 | 825.00 | 0.00 *** nbdead (%): 2.95 | 0.24 | -nan *** AGB (t/ha): 96.00 GPP (MgC/ha/yr) 45.49 NPP 19.07 litterfall (Mg/ha/yr) 6.28
250 Trees (1/ha): 5693.00 | 828.00 | 0.00 *** nbdead (%): 3.30 | 0.00 | -nan *** AGB (t/ha): 97.00 GPP (MgC/ha/yr) 43.46 NPP 17.93 litterfall (Mg/ha/yr) 6.31
251 Trees (1/ha): 5696.00 | 829.00 | 0.00 *** nbdead (%): 2.67 | 0.12 | -nan *** AGB (t/ha): 97.00 GPP (MgC/ha/yr) 36.87 NPP 14.12 litterfall (Mg/ha/yr) 6.33
10000 Seedrain: 50000.00
Trees_mature: 254 Nbseedsadded: 47176 effective: 48249 nbspeciesaffected: 45
252 Trees (1/ha): 5498.00 | 829.00 | 0.00 *** nbdead (%): 6.33 | 0.00 | -nan *** AGB (t/ha): 97.00 GPP (MgC/ha/yr) 36.73 NPP 14.53 litterfall (Mg/ha/yr) 6.33
253 Trees (1/ha): 5645.00 | 830.00 | 0.00 *** nbdead (%): 2.98 | 0.00 | -nan *** AGB (t/ha): 97.00 GPP (MgC/ha/yr) 34.99 NPP 13.39 litterfall (Mg/ha/yr) 6.33
254 Trees (1/ha): 5671.00 | 831.00 | 0.00 *** nbdead (%): 3.44 | 0.12 | -nan *** AGB (t/ha): 97.00 GPP (MgC/ha/yr) 36.09 NPP 14.30 litterfall (Mg/ha/yr) 6.31
255 Trees (1/ha): 5691.00 | 831.00 | 0.00 *** nbdead (%): 3.65 | 0.00 | -nan *** AGB (t/ha): 98.00 GPP (MgC/ha/yr) 36.93 NPP 14.71 litterfall (Mg/ha/yr) 6.28
256 Trees (1/ha): 5718.00 | 829.00 | 0.00 *** nbdead (%): 3.36 | 0.24 | -nan *** AGB (t/ha): 98.00 GPP (MgC/ha/yr) 36.13 NPP 14.06 litterfall (Mg/ha/yr) 6.26
257 Trees (1/ha): 5660.00 | 830.00 | 0.00 *** nbdead (%): 4.68 | 0.12 | -nan *** AGB (t/ha): 98.00 GPP (MgC/ha/yr) 37.47 NPP 15.23 litterfall (Mg/ha/yr) 6.24
258 Trees (1/ha): 5658.00 | 830.00 | 0.00 *** nbdead (%): 4.90 | 0.24 | -nan *** AGB (t/ha): 99.00 GPP (MgC/ha/yr) 39.28 NPP 16.32 litterfall (Mg/ha/yr) 6.22
259 Trees (1/ha): 5657.00 | 831.00 | 0.00 *** nbdead (%): 4.83 | 0.12 | -nan *** AGB (t/ha): 99.00 GPP (MgC/ha/yr) 42.40 NPP 18.05 litterfall (Mg/ha/yr) 6.22
260 Trees (1/ha): 5660.00 | 833.00 | 0.00 *** nbdead (%): 4.40 | 0.12 | -nan *** AGB (t/ha): 100.00 GPP (MgC/ha/yr) 45.06 NPP 19.26 litterfall (Mg/ha/yr) 6.23
261 Trees (1/ha): 5709.00 | 836.00 | 0.00 *** nbdead (%): 2.98 | 0.00 | -nan *** AGB (t/ha): 100.00 GPP (MgC/ha/yr) 45.53 NPP 19.06 litterfall (Mg/ha/yr) 6.26
262 Trees (1/ha): 5704.00 | 840.00 | 0.00 *** nbdead (%): 2.51 | 0.24 | -nan *** AGB (t/ha): 100.00 GPP (MgC/ha/yr) 43.41 NPP 17.88 litterfall (Mg/ha/yr) 6.28
263 Trees (1/ha): 5657.00 | 839.00 | 0.00 *** nbdead (%): 2.76 | 0.24 | -nan *** AGB (t/ha): 100.00 GPP (MgC/ha/yr) 36.81 NPP 14.08 litterfall (Mg/ha/yr) 6.30
10000 Seedrain: 50000.00
Trees_mature: 264 Nbseedsadded: 47273 effective: 48384 nbspeciesaffected: 45
264 Trees (1/ha): 5481.00 | 840.00 | 0.00 *** nbdead (%): 5.89 | 0.00 | -nan *** AGB (t/ha): 101.00 GPP (MgC/ha/yr) 36.72 NPP 14.51 litterfall (Mg/ha/yr) 6.30
265 Trees (1/ha): 5684.00 | 841.00 | 0.00 *** nbdead (%): 2.30 | 0.12 | -nan *** AGB (t/ha): 101.00 GPP (MgC/ha/yr) 34.94 NPP 13.34 litterfall (Mg/ha/yr) 6.30
266 Trees (1/ha): 5682.00 | 841.00 | 0.00 *** nbdead (%): 3.48 | 0.00 | -nan *** AGB (t/ha): 101.00 GPP (MgC/ha/yr) 36.07 NPP 14.27 litterfall (Mg/ha/yr) 6.28
267 Trees (1/ha): 5681.00 | 843.00 | 0.00 *** nbdead (%): 3.94 | 0.00 | -nan *** AGB (t/ha): 101.00 GPP (MgC/ha/yr) 36.93 NPP 14.69 litterfall (Mg/ha/yr) 6.26
268 Trees (1/ha): 5725.00 | 844.00 | 0.00 *** nbdead (%): 3.27 | 0.00 | -nan *** AGB (t/ha): 102.00 GPP (MgC/ha/yr) 36.20 NPP 14.06 litterfall (Mg/ha/yr) 6.24
269 Trees (1/ha): 5669.00 | 844.00 | 0.00 *** nbdead (%): 4.07 | 0.24 | -nan *** AGB (t/ha): 102.00 GPP (MgC/ha/yr) 37.51 NPP 15.22 litterfall (Mg/ha/yr) 6.22
270 Trees (1/ha): 5655.00 | 844.00 | 0.00 *** nbdead (%): 4.54 | 0.00 | -nan *** AGB (t/ha): 102.00 GPP (MgC/ha/yr) 39.35 NPP 16.32 litterfall (Mg/ha/yr) 6.22
271 Trees (1/ha): 5639.00 | 844.00 | 0.00 *** nbdead (%): 4.82 | 0.00 | -nan *** AGB (t/ha): 103.00 GPP (MgC/ha/yr) 42.50 NPP 18.06 litterfall (Mg/ha/yr) 6.22
272 Trees (1/ha): 5589.00 | 845.00 | 0.00 *** nbdead (%): 5.12 | 0.00 | -nan *** AGB (t/ha): 103.00 GPP (MgC/ha/yr) 45.15 NPP 19.27 litterfall (Mg/ha/yr) 6.23
273 Trees (1/ha): 5660.00 | 846.00 | 0.00 *** nbdead (%): 3.14 | 0.12 | -nan *** AGB (t/ha): 104.00 GPP (MgC/ha/yr) 45.53 NPP 19.02 litterfall (Mg/ha/yr) 6.25
274 Trees (1/ha): 5680.00 | 846.00 | 0.00 *** nbdead (%): 2.24 | 0.12 | -nan *** AGB (t/ha): 104.00 GPP (MgC/ha/yr) 43.50 NPP 17.88 litterfall (Mg/ha/yr) 6.28
275 Trees (1/ha): 5651.00 | 847.00 | 0.00 *** nbdead (%): 2.35 | 0.12 | -nan *** AGB (t/ha): 105.00 GPP (MgC/ha/yr) 36.89 NPP 14.07 litterfall (Mg/ha/yr) 6.30
10000 Seedrain: 50000.00
Trees_mature: 275 Nbseedsadded: 47416 effective: 48541 nbspeciesaffected: 45
276 Trees (1/ha): 5468.00 | 849.00 | 0.00 *** nbdead (%): 5.69 | 0.12 | -nan *** AGB (t/ha): 105.00 GPP (MgC/ha/yr) 36.76 NPP 14.49 litterfall (Mg/ha/yr) 6.31
277 Trees (1/ha): 5604.00 | 852.00 | 0.00 *** nbdead (%): 2.52 | 0.00 | -nan *** AGB (t/ha): 105.00 GPP (MgC/ha/yr) 35.02 NPP 13.35 litterfall (Mg/ha/yr) 6.30
278 Trees (1/ha): 5575.00 | 852.00 | 0.00 *** nbdead (%): 3.71 | 0.00 | -nan *** AGB (t/ha): 105.00 GPP (MgC/ha/yr) 36.13 NPP 14.27 litterfall (Mg/ha/yr) 6.28
279 Trees (1/ha): 5625.00 | 853.00 | 0.00 *** nbdead (%): 3.50 | 0.00 | -nan *** AGB (t/ha): 106.00 GPP (MgC/ha/yr) 36.98 NPP 14.68 litterfall (Mg/ha/yr) 6.26
280 Trees (1/ha): 5673.00 | 852.00 | 0.00 *** nbdead (%): 3.00 | 0.12 | -nan *** AGB (t/ha): 106.00 GPP (MgC/ha/yr) 36.17 NPP 14.01 litterfall (Mg/ha/yr) 6.23
281 Trees (1/ha): 5619.00 | 854.00 | 0.00 *** nbdead (%): 4.31 | 0.00 | -nan *** AGB (t/ha): 106.00 GPP (MgC/ha/yr) 37.52 NPP 15.20 litterfall (Mg/ha/yr) 6.22
282 Trees (1/ha): 5596.00 | 855.00 | 0.00 *** nbdead (%): 4.77 | 0.00 | -nan *** AGB (t/ha): 107.00 GPP (MgC/ha/yr) 39.35 NPP 16.29 litterfall (Mg/ha/yr) 6.21
283 Trees (1/ha): 5626.00 | 855.00 | 0.00 *** nbdead (%): 4.30 | 0.00 | -nan *** AGB (t/ha): 107.00 GPP (MgC/ha/yr) 42.54 NPP 18.05 litterfall (Mg/ha/yr) 6.21
284 Trees (1/ha): 5624.00 | 860.00 | 0.00 *** nbdead (%): 3.98 | 0.00 | -nan *** AGB (t/ha): 108.00 GPP (MgC/ha/yr) 45.15 NPP 19.23 litterfall (Mg/ha/yr) 6.22
285 Trees (1/ha): 5639.00 | 859.00 | 0.00 *** nbdead (%): 3.44 | 0.12 | -nan *** AGB (t/ha): 108.00 GPP (MgC/ha/yr) 45.58 NPP 19.02 litterfall (Mg/ha/yr) 6.24
286 Trees (1/ha): 5618.00 | 859.00 | 0.00 *** nbdead (%): 2.88 | 0.00 | -nan *** AGB (t/ha): 109.00 GPP (MgC/ha/yr) 43.53 NPP 17.87 litterfall (Mg/ha/yr) 6.27
287 Trees (1/ha): 5602.00 | 861.00 | 0.00 *** nbdead (%): 2.77 | 0.00 | -nan *** AGB (t/ha): 109.00 GPP (MgC/ha/yr) 36.97 NPP 14.08 litterfall (Mg/ha/yr) 6.30
10000 Seedrain: 50000.00
Trees_mature: 280 Nbseedsadded: 47242 effective: 48392 nbspeciesaffected: 45
288 Trees (1/ha): 5419.00 | 861.00 | 0.00 *** nbdead (%): 5.94 | 0.00 | -nan *** AGB (t/ha): 109.00 GPP (MgC/ha/yr) 36.81 NPP 14.47 litterfall (Mg/ha/yr) 6.30
289 Trees (1/ha): 5564.00 | 861.00 | 0.00 *** nbdead (%): 2.61 | 0.00 | -nan *** AGB (t/ha): 109.00 GPP (MgC/ha/yr) 35.05 NPP 13.32 litterfall (Mg/ha/yr) 6.30
290 Trees (1/ha): 5551.00 | 860.00 | 0.00 *** nbdead (%): 3.86 | 0.12 | -nan *** AGB (t/ha): 109.00 GPP (MgC/ha/yr) 36.11 NPP 14.22 litterfall (Mg/ha/yr) 6.27
291 Trees (1/ha): 5564.00 | 857.00 | 0.00 *** nbdead (%): 4.10 | 0.35 | -nan *** AGB (t/ha): 110.00 GPP (MgC/ha/yr) 36.94 NPP 14.63 litterfall (Mg/ha/yr) 6.24
292 Trees (1/ha): 5600.00 | 856.00 | 0.00 *** nbdead (%): 3.80 | 0.23 | -nan *** AGB (t/ha): 110.00 GPP (MgC/ha/yr) 36.17 NPP 14.00 litterfall (Mg/ha/yr) 6.21
293 Trees (1/ha): 5561.00 | 855.00 | 0.00 *** nbdead (%): 4.66 | 0.12 | -nan *** AGB (t/ha): 110.00 GPP (MgC/ha/yr) 37.48 NPP 15.15 litterfall (Mg/ha/yr) 6.19
294 Trees (1/ha): 5555.00 | 856.00 | 0.00 *** nbdead (%): 5.13 | 0.00 | -nan *** AGB (t/ha): 110.00 GPP (MgC/ha/yr) 39.32 NPP 16.25 litterfall (Mg/ha/yr) 6.19
295 Trees (1/ha): 5570.00 | 858.00 | 0.00 *** nbdead (%): 5.04 | 0.00 | -nan *** AGB (t/ha): 111.00 GPP (MgC/ha/yr) 42.51 NPP 18.02 litterfall (Mg/ha/yr) 6.19
296 Trees (1/ha): 5597.00 | 858.00 | 0.00 *** nbdead (%): 4.13 | 0.12 | -nan *** AGB (t/ha): 111.00 GPP (MgC/ha/yr) 45.13 NPP 19.21 litterfall (Mg/ha/yr) 6.20
297 Trees (1/ha): 5630.00 | 861.00 | 0.00 *** nbdead (%): 2.91 | 0.00 | -nan *** AGB (t/ha): 112.00 GPP (MgC/ha/yr) 45.59 NPP 19.01 litterfall (Mg/ha/yr) 6.22
298 Trees (1/ha): 5594.00 | 863.00 | 0.00 *** nbdead (%): 3.02 | 0.12 | -nan *** AGB (t/ha): 112.00 GPP (MgC/ha/yr) 43.53 NPP 17.85 litterfall (Mg/ha/yr) 6.25
299 Trees (1/ha): 5579.00 | 863.00 | 0.00 *** nbdead (%): 2.80 | 0.12 | -nan *** AGB (t/ha): 112.00 GPP (MgC/ha/yr) 36.94 NPP 14.05 litterfall (Mg/ha/yr) 6.28
10000 Seedrain: 50000.00
Trees_mature: 286 Nbseedsadded: 47232 effective: 48433 nbspeciesaffected: 45
300 Trees (1/ha): 5347.00 | 860.00 | 0.00 *** nbdead (%): 6.81 | 0.35 | -nan *** AGB (t/ha): 112.00 GPP (MgC/ha/yr) 36.75 NPP 14.43 litterfall (Mg/ha/yr) 6.28
301 Trees (1/ha): 5480.00 | 860.00 | 0.00 *** nbdead (%): 3.27 | 0.00 | -nan *** AGB (t/ha): 112.00 GPP (MgC/ha/yr) 35.03 NPP 13.30 litterfall (Mg/ha/yr) 6.28
302 Trees (1/ha): 5514.00 | 858.00 | 0.00 *** nbdead (%): 3.83 | 0.23 | -nan *** AGB (t/ha): 112.00 GPP (MgC/ha/yr) 36.13 NPP 14.22 litterfall (Mg/ha/yr) 6.25
303 Trees (1/ha): 5548.00 | 860.00 | 0.00 *** nbdead (%): 3.82 | 0.00 | -nan *** AGB (t/ha): 113.00 GPP (MgC/ha/yr) 36.99 NPP 14.64 litterfall (Mg/ha/yr) 6.23
304 Trees (1/ha): 5571.00 | 860.00 | 0.00 *** nbdead (%): 3.72 | 0.00 | -nan *** AGB (t/ha): 113.00 GPP (MgC/ha/yr) 36.24 NPP 14.00 litterfall (Mg/ha/yr) 6.22
305 Trees (1/ha): 5538.00 | 861.00 | 0.00 *** nbdead (%): 4.59 | 0.00 | -nan *** AGB (t/ha): 113.00 GPP (MgC/ha/yr) 37.60 NPP 15.17 litterfall (Mg/ha/yr) 6.20
306 Trees (1/ha): 5505.00 | 863.00 | 0.00 *** nbdead (%): 5.18 | 0.12 | -nan *** AGB (t/ha): 114.00 GPP (MgC/ha/yr) 39.37 NPP 16.24 litterfall (Mg/ha/yr) 6.19
307 Trees (1/ha): 5504.00 | 862.00 | 0.00 *** nbdead (%): 5.18 | 0.23 | -nan *** AGB (t/ha): 114.00 GPP (MgC/ha/yr) 42.48 NPP 17.97 litterfall (Mg/ha/yr) 6.19
308 Trees (1/ha): 5504.00 | 862.00 | 0.00 *** nbdead (%): 4.72 | 0.00 | -nan *** AGB (t/ha): 115.00 GPP (MgC/ha/yr) 45.17 NPP 19.19 litterfall (Mg/ha/yr) 6.20
309 Trees (1/ha): 5566.00 | 863.00 | 0.00 *** nbdead (%): 3.22 | 0.12 | -nan *** AGB (t/ha): 115.00 GPP (MgC/ha/yr) 45.63 NPP 18.98 litterfall (Mg/ha/yr) 6.23
310 Trees (1/ha): 5565.00 | 864.00 | 0.00 *** nbdead (%): 2.86 | 0.12 | -nan *** AGB (t/ha): 116.00 GPP (MgC/ha/yr) 43.55 NPP 17.81 litterfall (Mg/ha/yr) 6.26
311 Trees (1/ha): 5556.00 | 864.00 | 0.00 *** nbdead (%): 2.20 | 0.00 | -nan *** AGB (t/ha): 116.00 GPP (MgC/ha/yr) 36.97 NPP 14.02 litterfall (Mg/ha/yr) 6.29
10000 Seedrain: 50000.00
Trees_mature: 287 Nbseedsadded: 47333 effective: 48563 nbspeciesaffected: 45
312 Trees (1/ha): 5354.00 | 862.00 | 0.00 *** nbdead (%): 6.43 | 0.23 | -nan *** AGB (t/ha): 116.00 GPP (MgC/ha/yr) 36.74 NPP 14.39 litterfall (Mg/ha/yr) 6.28
313 Trees (1/ha): 5516.00 | 864.00 | 0.00 *** nbdead (%): 2.63 | 0.00 | -nan *** AGB (t/ha): 116.00 GPP (MgC/ha/yr) 35.04 NPP 13.27 litterfall (Mg/ha/yr) 6.27
314 Trees (1/ha): 5483.00 | 864.00 | 0.00 *** nbdead (%): 4.50 | 0.12 | -nan *** AGB (t/ha): 116.00 GPP (MgC/ha/yr) 36.11 NPP 14.18 litterfall (Mg/ha/yr) 6.25
315 Trees (1/ha): 5530.00 | 864.00 | 0.00 *** nbdead (%): 3.87 | 0.12 | -nan *** AGB (t/ha): 116.00 GPP (MgC/ha/yr) 36.97 NPP 14.60 litterfall (Mg/ha/yr) 6.22
316 Trees (1/ha): 5545.00 | 863.00 | 0.00 *** nbdead (%): 3.99 | 0.12 | -nan *** AGB (t/ha): 117.00 GPP (MgC/ha/yr) 36.13 NPP 13.94 litterfall (Mg/ha/yr) 6.19
317 Trees (1/ha): 5499.00 | 862.00 | 0.00 *** nbdead (%): 4.71 | 0.35 | -nan *** AGB (t/ha): 117.00 GPP (MgC/ha/yr) 37.50 NPP 15.12 litterfall (Mg/ha/yr) 6.17
318 Trees (1/ha): 5518.00 | 861.00 | 0.00 *** nbdead (%): 4.77 | 0.23 | -nan *** AGB (t/ha): 117.00 GPP (MgC/ha/yr) 39.29 NPP 16.20 litterfall (Mg/ha/yr) 6.16
319 Trees (1/ha): 5464.00 | 862.00 | 0.00 *** nbdead (%): 5.45 | 0.12 | -nan *** AGB (t/ha): 117.00 GPP (MgC/ha/yr) 42.44 NPP 17.94 litterfall (Mg/ha/yr) 6.15
320 Trees (1/ha): 5515.00 | 860.00 | 0.00 *** nbdead (%): 4.41 | 0.23 | -nan *** AGB (t/ha): 118.00 GPP (MgC/ha/yr) 45.13 NPP 19.16 litterfall (Mg/ha/yr) 6.17
321 Trees (1/ha): 5563.00 | 860.00 | 0.00 *** nbdead (%): 3.16 | 0.12 | -nan *** AGB (t/ha): 118.00 GPP (MgC/ha/yr) 45.57 NPP 18.95 litterfall (Mg/ha/yr) 6.19
322 Trees (1/ha): 5578.00 | 860.00 | 0.00 *** nbdead (%): 2.56 | 0.12 | -nan *** AGB (t/ha): 119.00 GPP (MgC/ha/yr) 43.50 NPP 17.79 litterfall (Mg/ha/yr) 6.22
323 Trees (1/ha): 5550.00 | 860.00 | 0.00 *** nbdead (%): 2.77 | 0.12 | -nan *** AGB (t/ha): 119.00 GPP (MgC/ha/yr) 36.89 NPP 13.99 litterfall (Mg/ha/yr) 6.24
10000 Seedrain: 50000.00
Trees_mature: 292 Nbseedsadded: 47343 effective: 48579 nbspeciesaffected: 45
324 Trees (1/ha): 5349.00 | 857.00 | 0.00 *** nbdead (%): 6.54 | 0.47 | -nan *** AGB (t/ha): 119.00 GPP (MgC/ha/yr) 36.69 NPP 14.38 litterfall (Mg/ha/yr) 6.24
325 Trees (1/ha): 5462.00 | 859.00 | 0.00 *** nbdead (%): 3.57 | 0.00 | -nan *** AGB (t/ha): 119.00 GPP (MgC/ha/yr) 34.97 NPP 13.25 litterfall (Mg/ha/yr) 6.23
326 Trees (1/ha): 5483.00 | 858.00 | 0.00 *** nbdead (%): 3.88 | 0.12 | -nan *** AGB (t/ha): 119.00 GPP (MgC/ha/yr) 36.08 NPP 14.18 litterfall (Mg/ha/yr) 6.21
327 Trees (1/ha): 5517.00 | 858.00 | 0.00 *** nbdead (%): 3.82 | 0.00 | -nan *** AGB (t/ha): 120.00 GPP (MgC/ha/yr) 36.94 NPP 14.59 litterfall (Mg/ha/yr) 6.19
328 Trees (1/ha): 5554.00 | 858.00 | 0.00 *** nbdead (%): 3.46 | 0.00 | -nan *** AGB (t/ha): 120.00 GPP (MgC/ha/yr) 36.20 NPP 13.97 litterfall (Mg/ha/yr) 6.17
329 Trees (1/ha): 5476.00 | 857.00 | 0.00 *** nbdead (%): 5.13 | 0.23 | -nan *** AGB (t/ha): 120.00 GPP (MgC/ha/yr) 37.55 NPP 15.14 litterfall (Mg/ha/yr) 6.16
330 Trees (1/ha): 5476.00 | 858.00 | 0.00 *** nbdead (%): 4.99 | 0.00 | -nan *** AGB (t/ha): 120.00 GPP (MgC/ha/yr) 39.38 NPP 16.23 litterfall (Mg/ha/yr) 6.15
331 Trees (1/ha): 5477.00 | 859.00 | 0.00 *** nbdead (%): 5.04 | 0.00 | -nan *** AGB (t/ha): 121.00 GPP (MgC/ha/yr) 42.55 NPP 17.98 litterfall (Mg/ha/yr) 6.16
332 Trees (1/ha): 5489.00 | 860.00 | 0.00 *** nbdead (%): 4.34 | 0.00 | -nan *** AGB (t/ha): 122.00 GPP (MgC/ha/yr) 45.24 NPP 19.19 litterfall (Mg/ha/yr) 6.17
333 Trees (1/ha): 5537.00 | 861.00 | 0.00 *** nbdead (%): 3.02 | 0.00 | -nan *** AGB (t/ha): 122.00 GPP (MgC/ha/yr) 45.72 NPP 18.99 litterfall (Mg/ha/yr) 6.20
334 Trees (1/ha): 5541.00 | 861.00 | 0.00 *** nbdead (%): 2.80 | 0.00 | -nan *** AGB (t/ha): 123.00 GPP (MgC/ha/yr) 43.60 NPP 17.80 litterfall (Mg/ha/yr) 6.23
335 Trees (1/ha): 5502.00 | 862.00 | 0.00 *** nbdead (%): 2.69 | 0.00 | -nan *** AGB (t/ha): 123.00 GPP (MgC/ha/yr) 37.02 NPP 14.01 litterfall (Mg/ha/yr) 6.26
10000 Seedrain: 50000.00
Trees_mature: 296 Nbseedsadded: 47377 effective: 48563 nbspeciesaffected: 45
336 Trees (1/ha): 5348.00 | 860.00 | 0.00 *** nbdead (%): 5.59 | 0.23 | -nan *** AGB (t/ha): 123.00 GPP (MgC/ha/yr) 36.85 NPP 14.41 litterfall (Mg/ha/yr) 6.26
337 Trees (1/ha): 5488.00 | 859.00 | 0.00 *** nbdead (%): 2.82 | 0.12 | -nan *** AGB (t/ha): 123.00 GPP (MgC/ha/yr) 35.06 NPP 13.25 litterfall (Mg/ha/yr) 6.25
338 Trees (1/ha): 5513.00 | 861.00 | 0.00 *** nbdead (%): 3.36 | 0.00 | -nan *** AGB (t/ha): 124.00 GPP (MgC/ha/yr) 36.16 NPP 14.17 litterfall (Mg/ha/yr) 6.23
339 Trees (1/ha): 5507.00 | 863.00 | 0.00 *** nbdead (%): 4.25 | 0.00 | -nan *** AGB (t/ha): 124.00 GPP (MgC/ha/yr) 37.04 NPP 14.60 litterfall (Mg/ha/yr) 6.20
340 Trees (1/ha): 5552.00 | 861.00 | 0.00 *** nbdead (%): 3.60 | 0.23 | -nan *** AGB (t/ha): 124.00 GPP (MgC/ha/yr) 36.30 NPP 13.97 litterfall (Mg/ha/yr) 6.19
341 Trees (1/ha): 5463.00 | 857.00 | 0.00 *** nbdead (%): 5.29 | 0.47 | -nan *** AGB (t/ha): 124.00 GPP (MgC/ha/yr) 37.59 NPP 15.12 litterfall (Mg/ha/yr) 6.16
342 Trees (1/ha): 5429.00 | 856.00 | 0.00 *** nbdead (%): 5.80 | 0.12 | -nan *** AGB (t/ha): 124.00 GPP (MgC/ha/yr) 39.37 NPP 16.20 litterfall (Mg/ha/yr) 6.14
343 Trees (1/ha): 5438.00 | 856.00 | 0.00 *** nbdead (%): 5.44 | 0.12 | -nan *** AGB (t/ha): 125.00 GPP (MgC/ha/yr) 42.59 NPP 17.98 litterfall (Mg/ha/yr) 6.15
344 Trees (1/ha): 5505.00 | 855.00 | 0.00 *** nbdead (%): 4.11 | 0.12 | -nan *** AGB (t/ha): 125.00 GPP (MgC/ha/yr) 45.23 NPP 19.18 litterfall (Mg/ha/yr) 6.16
345 Trees (1/ha): 5540.00 | 854.00 | 0.00 *** nbdead (%): 3.14 | 0.23 | -nan *** AGB (t/ha): 125.00 GPP (MgC/ha/yr) 45.61 NPP 18.94 litterfall (Mg/ha/yr) 6.17
346 Trees (1/ha): 5566.00 | 856.00 | 0.00 *** nbdead (%): 2.32 | 0.00 | -nan *** AGB (t/ha): 126.00 GPP (MgC/ha/yr) 43.58 NPP 17.81 litterfall (Mg/ha/yr) 6.20
347 Trees (1/ha): 5528.00 | 856.00 | 0.00 *** nbdead (%): 2.86 | 0.00 | -nan *** AGB (t/ha): 126.00 GPP (MgC/ha/yr) 36.98 NPP 14.00 litterfall (Mg/ha/yr) 6.23
10000 Seedrain: 50000.00
Trees_mature: 299 Nbseedsadded: 47279 effective: 48450 nbspeciesaffected: 45
348 Trees (1/ha): 5344.00 | 857.00 | 0.00 *** nbdead (%): 6.25 | 0.00 | -nan *** AGB (t/ha): 127.00 GPP (MgC/ha/yr) 36.82 NPP 14.39 litterfall (Mg/ha/yr) 6.24
349 Trees (1/ha): 5478.00 | 857.00 | 0.00 *** nbdead (%): 3.21 | 0.00 | -nan *** AGB (t/ha): 127.00 GPP (MgC/ha/yr) 35.06 NPP 13.24 litterfall (Mg/ha/yr) 6.23
350 Trees (1/ha): 5484.00 | 856.00 | 0.00 *** nbdead (%): 3.63 | 0.12 | -nan *** AGB (t/ha): 127.00 GPP (MgC/ha/yr) 36.16 NPP 14.16 litterfall (Mg/ha/yr) 6.21
351 Trees (1/ha): 5487.00 | 855.00 | 0.00 *** nbdead (%): 3.88 | 0.12 | -nan *** AGB (t/ha): 127.00 GPP (MgC/ha/yr) 37.02 NPP 14.57 litterfall (Mg/ha/yr) 6.19
352 Trees (1/ha): 5540.00 | 853.00 | 0.00 *** nbdead (%): 3.36 | 0.23 | -nan *** AGB (t/ha): 127.00 GPP (MgC/ha/yr) 36.21 NPP 13.91 litterfall (Mg/ha/yr) 6.16
353 Trees (1/ha): 5441.00 | 852.00 | 0.00 *** nbdead (%): 5.29 | 0.12 | -nan *** AGB (t/ha): 128.00 GPP (MgC/ha/yr) 37.59 NPP 15.11 litterfall (Mg/ha/yr) 6.14
354 Trees (1/ha): 5442.00 | 852.00 | 0.00 *** nbdead (%): 5.33 | 0.00 | -nan *** AGB (t/ha): 128.00 GPP (MgC/ha/yr) 39.42 NPP 16.20 litterfall (Mg/ha/yr) 6.14
355 Trees (1/ha): 5451.00 | 853.00 | 0.00 *** nbdead (%): 5.28 | 0.00 | -nan *** AGB (t/ha): 128.00 GPP (MgC/ha/yr) 42.60 NPP 17.95 litterfall (Mg/ha/yr) 6.14
ABC: Conservation of Traits
ABC: Ground data
ABC: CHM simulation
ABC: Transmittance simulation
ABC: Species outputs
356 Trees (1/ha): 5456.00 | 857.00 | 0.00 *** nbdead (%): 4.62 | 0.12 | -nan *** AGB (t/ha): 129.00 GPP (MgC/ha/yr) 45.21 NPP 19.13 litterfall (Mg/ha/yr) 6.15
357 Trees (1/ha): 5500.00 | 857.00 | 0.00 *** nbdead (%): 3.31 | 0.12 | -nan *** AGB (t/ha): 129.00 GPP (MgC/ha/yr) 45.65 NPP 18.92 litterfall (Mg/ha/yr) 6.17
358 Trees (1/ha): 5523.00 | 857.00 | 0.00 *** nbdead (%): 2.73 | 0.12 | -nan *** AGB (t/ha): 130.00 GPP (MgC/ha/yr) 43.57 NPP 17.76 litterfall (Mg/ha/yr) 6.21
359 Trees (1/ha): 5488.00 | 856.00 | 0.00 *** nbdead (%): 2.42 | 0.12 | -nan *** AGB (t/ha): 130.00 GPP (MgC/ha/yr) 36.90 NPP 13.94 litterfall (Mg/ha/yr) 6.22
10000 Seedrain: 50000.00
Trees_mature: 302 Nbseedsadded: 47326 effective: 48525 nbspeciesaffected: 45
360 Trees (1/ha): 5271.00 | 854.00 | 0.00 *** nbdead (%): 6.81 | 0.23 | -nan *** AGB (t/ha): 130.00 GPP (MgC/ha/yr) 36.77 NPP 14.36 litterfall (Mg/ha/yr) 6.22
361 Trees (1/ha): 5425.00 | 854.00 | 0.00 *** nbdead (%): 3.08 | 0.12 | -nan *** AGB (t/ha): 130.00 GPP (MgC/ha/yr) 35.03 NPP 13.21 litterfall (Mg/ha/yr) 6.22
362 Trees (1/ha): 5446.00 | 853.00 | 0.00 *** nbdead (%): 3.69 | 0.12 | -nan *** AGB (t/ha): 130.00 GPP (MgC/ha/yr) 36.14 NPP 14.13 litterfall (Mg/ha/yr) 6.20
363 Trees (1/ha): 5475.00 | 854.00 | 0.00 *** nbdead (%): 3.80 | 0.00 | -nan *** AGB (t/ha): 131.00 GPP (MgC/ha/yr) 37.01 NPP 14.55 litterfall (Mg/ha/yr) 6.18
364 Trees (1/ha): 5491.00 | 852.00 | 0.00 *** nbdead (%): 3.72 | 0.23 | -nan *** AGB (t/ha): 131.00 GPP (MgC/ha/yr) 36.18 NPP 13.88 litterfall (Mg/ha/yr) 6.16
365 Trees (1/ha): 5429.00 | 851.00 | 0.00 *** nbdead (%): 5.05 | 0.12 | -nan *** AGB (t/ha): 131.00 GPP (MgC/ha/yr) 37.50 NPP 15.05 litterfall (Mg/ha/yr) 6.14
366 Trees (1/ha): 5432.00 | 850.00 | 0.00 *** nbdead (%): 5.19 | 0.12 | -nan *** AGB (t/ha): 131.00 GPP (MgC/ha/yr) 39.35 NPP 16.16 litterfall (Mg/ha/yr) 6.13
367 Trees (1/ha): 5445.00 | 851.00 | 0.00 *** nbdead (%): 4.89 | 0.24 | -nan *** AGB (t/ha): 131.00 GPP (MgC/ha/yr) 42.46 NPP 17.88 litterfall (Mg/ha/yr) 6.13
368 Trees (1/ha): 5405.00 | 851.00 | 0.00 *** nbdead (%): 5.24 | 0.00 | -nan *** AGB (t/ha): 132.00 GPP (MgC/ha/yr) 45.14 NPP 19.10 litterfall (Mg/ha/yr) 6.14
369 Trees (1/ha): 5492.00 | 850.00 | 0.00 *** nbdead (%): 3.31 | 0.24 | -nan *** AGB (t/ha): 132.00 GPP (MgC/ha/yr) 45.46 NPP 18.83 litterfall (Mg/ha/yr) 6.15
370 Trees (1/ha): 5486.00 | 848.00 | 0.00 *** nbdead (%): 2.75 | 0.24 | -nan *** AGB (t/ha): 132.00 GPP (MgC/ha/yr) 43.29 NPP 17.65 litterfall (Mg/ha/yr) 6.17
371 Trees (1/ha): 5494.00 | 849.00 | 0.00 *** nbdead (%): 2.53 | 0.00 | -nan *** AGB (t/ha): 133.00 GPP (MgC/ha/yr) 36.77 NPP 13.89 litterfall (Mg/ha/yr) 6.20
10000 Seedrain: 50000.00
Trees_mature: 300 Nbseedsadded: 47276 effective: 48510 nbspeciesaffected: 45
372 Trees (1/ha): 5310.00 | 846.00 | 0.00 *** nbdead (%): 6.55 | 0.35 | -nan *** AGB (t/ha): 133.00 GPP (MgC/ha/yr) 36.64 NPP 14.30 litterfall (Mg/ha/yr) 6.21
373 Trees (1/ha): 5445.00 | 845.00 | 1.00 *** nbdead (%): 3.01 | 0.12 | 0.00 *** AGB (t/ha): 133.00 GPP (MgC/ha/yr) 34.85 NPP 13.14 litterfall (Mg/ha/yr) 6.20
374 Trees (1/ha): 5435.00 | 844.00 | 1.00 *** nbdead (%): 3.90 | 0.12 | 0.00 *** AGB (t/ha): 133.00 GPP (MgC/ha/yr) 35.98 NPP 14.08 litterfall (Mg/ha/yr) 6.18
375 Trees (1/ha): 5504.00 | 844.00 | 1.00 *** nbdead (%): 3.63 | 0.00 | 0.00 *** AGB (t/ha): 134.00 GPP (MgC/ha/yr) 36.86 NPP 14.49 litterfall (Mg/ha/yr) 6.16
376 Trees (1/ha): 5516.00 | 844.00 | 1.00 *** nbdead (%): 3.63 | 0.00 | 0.00 *** AGB (t/ha): 134.00 GPP (MgC/ha/yr) 36.13 NPP 13.87 litterfall (Mg/ha/yr) 6.15
377 Trees (1/ha): 5436.00 | 843.00 | 1.00 *** nbdead (%): 5.21 | 0.12 | 0.00 *** AGB (t/ha): 134.00 GPP (MgC/ha/yr) 37.47 NPP 15.03 litterfall (Mg/ha/yr) 6.13
378 Trees (1/ha): 5488.00 | 843.00 | 1.00 *** nbdead (%): 4.05 | 0.00 | 0.00 *** AGB (t/ha): 135.00 GPP (MgC/ha/yr) 39.29 NPP 16.11 litterfall (Mg/ha/yr) 6.13
379 Trees (1/ha): 5427.00 | 842.00 | 1.00 *** nbdead (%): 5.31 | 0.12 | 0.00 *** AGB (t/ha): 135.00 GPP (MgC/ha/yr) 42.47 NPP 17.87 litterfall (Mg/ha/yr) 6.13
380 Trees (1/ha): 5432.00 | 842.00 | 1.00 *** nbdead (%): 4.46 | 0.12 | 0.00 *** AGB (t/ha): 135.00 GPP (MgC/ha/yr) 45.06 NPP 19.05 litterfall (Mg/ha/yr) 6.13
381 Trees (1/ha): 5450.00 | 843.00 | 1.00 *** nbdead (%): 3.45 | 0.00 | 0.00 *** AGB (t/ha): 136.00 GPP (MgC/ha/yr) 45.54 NPP 18.85 litterfall (Mg/ha/yr) 6.16
382 Trees (1/ha): 5494.00 | 844.00 | 1.00 *** nbdead (%): 2.75 | 0.12 | 0.00 *** AGB (t/ha): 136.00 GPP (MgC/ha/yr) 43.48 NPP 17.71 litterfall (Mg/ha/yr) 6.19
383 Trees (1/ha): 5446.00 | 843.00 | 1.00 *** nbdead (%): 2.86 | 0.12 | 0.00 *** AGB (t/ha): 137.00 GPP (MgC/ha/yr) 36.89 NPP 13.91 litterfall (Mg/ha/yr) 6.22
10000 Seedrain: 50000.00
Trees_mature: 299 Nbseedsadded: 47215 effective: 48456 nbspeciesaffected: 45
384 Trees (1/ha): 5250.00 | 842.00 | 1.00 *** nbdead (%): 6.84 | 0.12 | 0.00 *** AGB (t/ha): 137.00 GPP (MgC/ha/yr) 36.74 NPP 14.31 litterfall (Mg/ha/yr) 6.22
385 Trees (1/ha): 5399.00 | 840.00 | 1.00 *** nbdead (%): 3.43 | 0.24 | 0.00 *** AGB (t/ha): 137.00 GPP (MgC/ha/yr) 34.94 NPP 13.15 litterfall (Mg/ha/yr) 6.21
386 Trees (1/ha): 5424.00 | 839.00 | 1.00 *** nbdead (%): 3.91 | 0.36 | 0.00 *** AGB (t/ha): 137.00 GPP (MgC/ha/yr) 36.03 NPP 14.08 litterfall (Mg/ha/yr) 6.18
387 Trees (1/ha): 5475.00 | 840.00 | 1.00 *** nbdead (%): 3.71 | 0.00 | 0.00 *** AGB (t/ha): 137.00 GPP (MgC/ha/yr) 36.93 NPP 14.50 litterfall (Mg/ha/yr) 6.16
388 Trees (1/ha): 5492.00 | 839.00 | 1.00 *** nbdead (%): 3.88 | 0.12 | 0.00 *** AGB (t/ha): 137.00 GPP (MgC/ha/yr) 36.18 NPP 13.88 litterfall (Mg/ha/yr) 6.14
389 Trees (1/ha): 5451.00 | 839.00 | 1.00 *** nbdead (%): 4.62 | 0.24 | 0.00 *** AGB (t/ha): 138.00 GPP (MgC/ha/yr) 37.54 NPP 15.04 litterfall (Mg/ha/yr) 6.13
390 Trees (1/ha): 5409.00 | 836.00 | 1.00 *** nbdead (%): 5.82 | 0.36 | 0.00 *** AGB (t/ha): 138.00 GPP (MgC/ha/yr) 39.25 NPP 16.08 litterfall (Mg/ha/yr) 6.11
391 Trees (1/ha): 5408.00 | 835.00 | 1.00 *** nbdead (%): 5.51 | 0.36 | 0.00 *** AGB (t/ha): 138.00 GPP (MgC/ha/yr) 42.46 NPP 17.87 litterfall (Mg/ha/yr) 6.11
392 Trees (1/ha): 5407.00 | 835.00 | 1.00 *** nbdead (%): 5.16 | 0.00 | 0.00 *** AGB (t/ha): 139.00 GPP (MgC/ha/yr) 45.14 NPP 19.08 litterfall (Mg/ha/yr) 6.13
393 Trees (1/ha): 5486.00 | 835.00 | 1.00 *** nbdead (%): 3.24 | 0.00 | 0.00 *** AGB (t/ha): 139.00 GPP (MgC/ha/yr) 45.64 NPP 18.89 litterfall (Mg/ha/yr) 6.16
394 Trees (1/ha): 5509.00 | 834.00 | 1.00 *** nbdead (%): 2.50 | 0.24 | 0.00 *** AGB (t/ha): 140.00 GPP (MgC/ha/yr) 43.56 NPP 17.73 litterfall (Mg/ha/yr) 6.19
395 Trees (1/ha): 5478.00 | 833.00 | 1.00 *** nbdead (%): 2.50 | 0.24 | 0.00 *** AGB (t/ha): 140.00 GPP (MgC/ha/yr) 36.95 NPP 13.93 litterfall (Mg/ha/yr) 6.21
10000 Seedrain: 50000.00
Trees_mature: 297 Nbseedsadded: 47310 effective: 48556 nbspeciesaffected: 45
396 Trees (1/ha): 5207.00 | 830.00 | 1.00 *** nbdead (%): 7.57 | 0.36 | 0.00 *** AGB (t/ha): 140.00 GPP (MgC/ha/yr) 36.77 NPP 14.33 litterfall (Mg/ha/yr) 6.21
397 Trees (1/ha): 5384.00 | 831.00 | 1.00 *** nbdead (%): 3.05 | 0.00 | 0.00 *** AGB (t/ha): 140.00 GPP (MgC/ha/yr) 35.03 NPP 13.18 litterfall (Mg/ha/yr) 6.21
398 Trees (1/ha): 5431.00 | 831.00 | 1.00 *** nbdead (%): 3.55 | 0.00 | 0.00 *** AGB (t/ha): 140.00 GPP (MgC/ha/yr) 36.15 NPP 14.11 litterfall (Mg/ha/yr) 6.19
399 Trees (1/ha): 5430.00 | 830.00 | 1.00 *** nbdead (%): 4.33 | 0.12 | 0.00 *** AGB (t/ha): 141.00 GPP (MgC/ha/yr) 36.99 NPP 14.51 litterfall (Mg/ha/yr) 6.17
400 Trees (1/ha): 5487.00 | 830.00 | 1.00 *** nbdead (%): 3.68 | 0.00 | 0.00 *** AGB (t/ha): 141.00 GPP (MgC/ha/yr) 36.24 NPP 13.87 litterfall (Mg/ha/yr) 6.15
401 Trees (1/ha): 5431.00 | 829.00 | 1.00 *** nbdead (%): 5.28 | 0.12 | 0.00 *** AGB (t/ha): 141.00 GPP (MgC/ha/yr) 37.59 NPP 15.04 litterfall (Mg/ha/yr) 6.14
402 Trees (1/ha): 5425.00 | 826.00 | 2.00 *** nbdead (%): 5.60 | 0.36 | 0.00 *** AGB (t/ha): 141.00 GPP (MgC/ha/yr) 39.33 NPP 16.08 litterfall (Mg/ha/yr) 6.12
403 Trees (1/ha): 5430.00 | 827.00 | 2.00 *** nbdead (%): 5.08 | 0.00 | 0.00 *** AGB (t/ha): 142.00 GPP (MgC/ha/yr) 42.52 NPP 17.85 litterfall (Mg/ha/yr) 6.12
404 Trees (1/ha): 5425.00 | 828.00 | 2.00 *** nbdead (%): 5.05 | 0.00 | 0.00 *** AGB (t/ha): 142.00 GPP (MgC/ha/yr) 45.16 NPP 19.04 litterfall (Mg/ha/yr) 6.14
405 Trees (1/ha): 5482.00 | 825.00 | 2.00 *** nbdead (%): 3.47 | 0.36 | 0.00 *** AGB (t/ha): 143.00 GPP (MgC/ha/yr) 45.62 NPP 18.84 litterfall (Mg/ha/yr) 6.16
406 Trees (1/ha): 5463.00 | 826.00 | 2.00 *** nbdead (%): 3.13 | 0.00 | 0.00 *** AGB (t/ha): 143.00 GPP (MgC/ha/yr) 43.56 NPP 17.70 litterfall (Mg/ha/yr) 6.19
407 Trees (1/ha): 5421.00 | 824.00 | 2.00 *** nbdead (%): 3.14 | 0.36 | 0.00 *** AGB (t/ha): 143.00 GPP (MgC/ha/yr) 36.93 NPP 13.90 litterfall (Mg/ha/yr) 6.21
10000 Seedrain: 50000.00
Trees_mature: 299 Nbseedsadded: 47219 effective: 48486 nbspeciesaffected: 45
408 Trees (1/ha): 5263.00 | 821.00 | 2.00 *** nbdead (%): 6.42 | 0.37 | 0.00 *** AGB (t/ha): 143.00 GPP (MgC/ha/yr) 36.71 NPP 14.27 litterfall (Mg/ha/yr) 6.20
409 Trees (1/ha): 5392.00 | 821.00 | 2.00 *** nbdead (%): 3.41 | 0.00 | 0.00 *** AGB (t/ha): 143.00 GPP (MgC/ha/yr) 34.98 NPP 13.14 litterfall (Mg/ha/yr) 6.20
410 Trees (1/ha): 5398.00 | 820.00 | 2.00 *** nbdead (%): 4.33 | 0.12 | 0.00 *** AGB (t/ha): 144.00 GPP (MgC/ha/yr) 36.05 NPP 14.05 litterfall (Mg/ha/yr) 6.18
411 Trees (1/ha): 5437.00 | 820.00 | 2.00 *** nbdead (%): 4.03 | 0.00 | 0.00 *** AGB (t/ha): 144.00 GPP (MgC/ha/yr) 36.93 NPP 14.47 litterfall (Mg/ha/yr) 6.16
412 Trees (1/ha): 5464.00 | 818.00 | 2.00 *** nbdead (%): 4.12 | 0.24 | 0.00 *** AGB (t/ha): 144.00 GPP (MgC/ha/yr) 36.18 NPP 13.84 litterfall (Mg/ha/yr) 6.13
413 Trees (1/ha): 5406.00 | 815.00 | 2.00 *** nbdead (%): 5.29 | 0.37 | 0.00 *** AGB (t/ha): 144.00 GPP (MgC/ha/yr) 37.54 NPP 15.00 litterfall (Mg/ha/yr) 6.12
414 Trees (1/ha): 5418.00 | 814.00 | 2.00 *** nbdead (%): 5.41 | 0.25 | 0.00 *** AGB (t/ha): 145.00 GPP (MgC/ha/yr) 39.30 NPP 16.06 litterfall (Mg/ha/yr) 6.11
415 Trees (1/ha): 5372.00 | 817.00 | 2.00 *** nbdead (%): 6.01 | 0.00 | 0.00 *** AGB (t/ha): 145.00 GPP (MgC/ha/yr) 42.48 NPP 17.83 litterfall (Mg/ha/yr) 6.11
416 Trees (1/ha): 5427.00 | 818.00 | 3.00 *** nbdead (%): 4.70 | 0.24 | 0.00 *** AGB (t/ha): 146.00 GPP (MgC/ha/yr) 45.15 NPP 19.03 litterfall (Mg/ha/yr) 6.12
417 Trees (1/ha): 5467.00 | 817.00 | 4.00 *** nbdead (%): 3.73 | 0.37 | 0.00 *** AGB (t/ha): 146.00 GPP (MgC/ha/yr) 45.46 NPP 18.75 litterfall (Mg/ha/yr) 6.13
418 Trees (1/ha): 5480.00 | 817.00 | 5.00 *** nbdead (%): 2.74 | 0.00 | 0.00 *** AGB (t/ha): 146.00 GPP (MgC/ha/yr) 43.44 NPP 17.64 litterfall (Mg/ha/yr) 6.16
419 Trees (1/ha): 5433.00 | 817.00 | 5.00 *** nbdead (%): 3.17 | 0.00 | 0.00 *** AGB (t/ha): 146.00 GPP (MgC/ha/yr) 36.85 NPP 13.85 litterfall (Mg/ha/yr) 6.19
10000 Seedrain: 50000.00
Trees_mature: 306 Nbseedsadded: 47338 effective: 48657 nbspeciesaffected: 45
420 Trees (1/ha): 5244.00 | 816.00 | 6.00 *** nbdead (%): 6.52 | 0.12 | 0.00 *** AGB (t/ha): 147.00 GPP (MgC/ha/yr) 36.71 NPP 14.26 litterfall (Mg/ha/yr) 6.19
421 Trees (1/ha): 5403.00 | 816.00 | 6.00 *** nbdead (%): 2.96 | 0.00 | 0.00 *** AGB (t/ha): 147.00 GPP (MgC/ha/yr) 34.95 NPP 13.11 litterfall (Mg/ha/yr) 6.19
422 Trees (1/ha): 5426.00 | 814.00 | 6.00 *** nbdead (%): 3.67 | 0.25 | 0.00 *** AGB (t/ha): 147.00 GPP (MgC/ha/yr) 36.03 NPP 14.03 litterfall (Mg/ha/yr) 6.16
423 Trees (1/ha): 5429.00 | 812.00 | 6.00 *** nbdead (%): 4.42 | 0.25 | 0.00 *** AGB (t/ha): 147.00 GPP (MgC/ha/yr) 36.88 NPP 14.43 litterfall (Mg/ha/yr) 6.14
424 Trees (1/ha): 5487.00 | 809.00 | 6.00 *** nbdead (%): 3.85 | 0.37 | 0.00 *** AGB (t/ha): 147.00 GPP (MgC/ha/yr) 36.14 NPP 13.81 litterfall (Mg/ha/yr) 6.12
425 Trees (1/ha): 5418.00 | 808.00 | 7.00 *** nbdead (%): 5.24 | 0.12 | 0.00 *** AGB (t/ha): 147.00 GPP (MgC/ha/yr) 37.50 NPP 14.98 litterfall (Mg/ha/yr) 6.10
426 Trees (1/ha): 5399.00 | 808.00 | 7.00 *** nbdead (%): 5.61 | 0.00 | 0.00 *** AGB (t/ha): 148.00 GPP (MgC/ha/yr) 39.32 NPP 16.06 litterfall (Mg/ha/yr) 6.10
427 Trees (1/ha): 5387.00 | 807.00 | 8.00 *** nbdead (%): 5.87 | 0.25 | 0.00 *** AGB (t/ha): 148.00 GPP (MgC/ha/yr) 42.48 NPP 17.81 litterfall (Mg/ha/yr) 6.10
428 Trees (1/ha): 5378.00 | 808.00 | 8.00 *** nbdead (%): 5.37 | 0.00 | 0.00 *** AGB (t/ha): 149.00 GPP (MgC/ha/yr) 45.13 NPP 19.00 litterfall (Mg/ha/yr) 6.11
429 Trees (1/ha): 5451.00 | 808.00 | 8.00 *** nbdead (%): 3.39 | 0.12 | 0.00 *** AGB (t/ha): 149.00 GPP (MgC/ha/yr) 45.48 NPP 18.73 litterfall (Mg/ha/yr) 6.13
430 Trees (1/ha): 5417.00 | 809.00 | 8.00 *** nbdead (%): 3.47 | 0.00 | 0.00 *** AGB (t/ha): 150.00 GPP (MgC/ha/yr) 43.41 NPP 17.59 litterfall (Mg/ha/yr) 6.16
431 Trees (1/ha): 5406.00 | 809.00 | 8.00 *** nbdead (%): 3.03 | 0.12 | 0.00 *** AGB (t/ha): 150.00 GPP (MgC/ha/yr) 36.86 NPP 13.83 litterfall (Mg/ha/yr) 6.18
10000 Seedrain: 50000.00
Trees_mature: 314 Nbseedsadded: 47383 effective: 48668 nbspeciesaffected: 45
432 Trees (1/ha): 5187.00 | 809.00 | 8.00 *** nbdead (%): 7.65 | 0.12 | 0.00 *** AGB (t/ha): 150.00 GPP (MgC/ha/yr) 36.72 NPP 14.24 litterfall (Mg/ha/yr) 6.19
433 Trees (1/ha): 5353.00 | 809.00 | 9.00 *** nbdead (%): 3.61 | 0.12 | 0.00 *** AGB (t/ha): 150.00 GPP (MgC/ha/yr) 34.98 NPP 13.10 litterfall (Mg/ha/yr) 6.18
434 Trees (1/ha): 5378.00 | 806.00 | 9.00 *** nbdead (%): 4.41 | 0.37 | 0.00 *** AGB (t/ha): 150.00 GPP (MgC/ha/yr) 36.09 NPP 14.03 litterfall (Mg/ha/yr) 6.16
435 Trees (1/ha): 5434.00 | 803.00 | 9.00 *** nbdead (%): 4.21 | 0.37 | 0.00 *** AGB (t/ha): 150.00 GPP (MgC/ha/yr) 36.94 NPP 14.44 litterfall (Mg/ha/yr) 6.14
436 Trees (1/ha): 5464.00 | 803.00 | 9.00 *** nbdead (%): 3.92 | 0.12 | 0.00 *** AGB (t/ha): 151.00 GPP (MgC/ha/yr) 36.19 NPP 13.80 litterfall (Mg/ha/yr) 6.12
437 Trees (1/ha): 5404.00 | 803.00 | 9.00 *** nbdead (%): 5.44 | 0.00 | 0.00 *** AGB (t/ha): 151.00 GPP (MgC/ha/yr) 37.55 NPP 14.96 litterfall (Mg/ha/yr) 6.11
438 Trees (1/ha): 5384.00 | 803.00 | 10.00 *** nbdead (%): 6.04 | 0.00 | 0.00 *** AGB (t/ha): 151.00 GPP (MgC/ha/yr) 39.35 NPP 16.03 litterfall (Mg/ha/yr) 6.11
439 Trees (1/ha): 5344.00 | 805.00 | 10.00 *** nbdead (%): 6.36 | 0.12 | 0.00 *** AGB (t/ha): 152.00 GPP (MgC/ha/yr) 42.45 NPP 17.76 litterfall (Mg/ha/yr) 6.10
440 Trees (1/ha): 5369.00 | 806.00 | 10.00 *** nbdead (%): 4.94 | 0.12 | 0.00 *** AGB (t/ha): 152.00 GPP (MgC/ha/yr) 45.05 NPP 18.94 litterfall (Mg/ha/yr) 6.10
441 Trees (1/ha): 5430.00 | 805.00 | 10.00 *** nbdead (%): 3.87 | 0.25 | 0.00 *** AGB (t/ha): 153.00 GPP (MgC/ha/yr) 45.52 NPP 18.73 litterfall (Mg/ha/yr) 6.13
442 Trees (1/ha): 5444.00 | 805.00 | 10.00 *** nbdead (%): 3.12 | 0.00 | 0.00 *** AGB (t/ha): 153.00 GPP (MgC/ha/yr) 43.44 NPP 17.59 litterfall (Mg/ha/yr) 6.16
443 Trees (1/ha): 5438.00 | 805.00 | 10.00 *** nbdead (%): 2.57 | 0.00 | 0.00 *** AGB (t/ha): 154.00 GPP (MgC/ha/yr) 36.87 NPP 13.82 litterfall (Mg/ha/yr) 6.18
10000 Seedrain: 50000.00
Trees_mature: 319 Nbseedsadded: 47363 effective: 48711 nbspeciesaffected: 45
444 Trees (1/ha): 5212.00 | 803.00 | 10.00 *** nbdead (%): 7.43 | 0.25 | 0.00 *** AGB (t/ha): 154.00 GPP (MgC/ha/yr) 36.73 NPP 14.22 litterfall (Mg/ha/yr) 6.19
445 Trees (1/ha): 5368.00 | 803.00 | 10.00 *** nbdead (%): 3.45 | 0.00 | 0.00 *** AGB (t/ha): 154.00 GPP (MgC/ha/yr) 34.99 NPP 13.08 litterfall (Mg/ha/yr) 6.18
446 Trees (1/ha): 5355.00 | 800.00 | 11.00 *** nbdead (%): 4.43 | 0.38 | 0.00 *** AGB (t/ha): 154.00 GPP (MgC/ha/yr) 35.98 NPP 13.96 litterfall (Mg/ha/yr) 6.15
447 Trees (1/ha): 5368.00 | 800.00 | 12.00 *** nbdead (%): 4.73 | 0.00 | 0.00 *** AGB (t/ha): 154.00 GPP (MgC/ha/yr) 36.89 NPP 14.39 litterfall (Mg/ha/yr) 6.13
448 Trees (1/ha): 5443.00 | 800.00 | 12.00 *** nbdead (%): 3.93 | 0.12 | 0.00 *** AGB (t/ha): 154.00 GPP (MgC/ha/yr) 36.17 NPP 13.77 litterfall (Mg/ha/yr) 6.11
449 Trees (1/ha): 5381.00 | 798.00 | 12.00 *** nbdead (%): 5.13 | 0.25 | 0.00 *** AGB (t/ha): 154.00 GPP (MgC/ha/yr) 37.51 NPP 14.93 litterfall (Mg/ha/yr) 6.10
450 Trees (1/ha): 5330.00 | 797.00 | 12.00 *** nbdead (%): 6.14 | 0.13 | 0.00 *** AGB (t/ha): 155.00 GPP (MgC/ha/yr) 39.23 NPP 15.97 litterfall (Mg/ha/yr) 6.08
451 Trees (1/ha): 5317.00 | 798.00 | 12.00 *** nbdead (%): 6.13 | 0.25 | 0.00 *** AGB (t/ha): 155.00 GPP (MgC/ha/yr) 42.42 NPP 17.73 litterfall (Mg/ha/yr) 6.08
452 Trees (1/ha): 5377.00 | 797.00 | 12.00 *** nbdead (%): 4.69 | 0.13 | 0.00 *** AGB (t/ha): 156.00 GPP (MgC/ha/yr) 45.07 NPP 18.92 litterfall (Mg/ha/yr) 6.10
453 Trees (1/ha): 5415.00 | 796.00 | 12.00 *** nbdead (%): 3.75 | 0.13 | 8.33 *** AGB (t/ha): 155.00 GPP (MgC/ha/yr) 45.34 NPP 18.63 litterfall (Mg/ha/yr) 6.10
454 Trees (1/ha): 5392.00 | 796.00 | 12.00 *** nbdead (%): 3.26 | 0.13 | 0.00 *** AGB (t/ha): 155.00 GPP (MgC/ha/yr) 43.15 NPP 17.45 litterfall (Mg/ha/yr) 6.11
455 Trees (1/ha): 5386.00 | 796.00 | 12.00 *** nbdead (%): 3.14 | 0.00 | 0.00 *** AGB (t/ha): 156.00 GPP (MgC/ha/yr) 36.66 NPP 13.74 litterfall (Mg/ha/yr) 6.14
10000 Seedrain: 50000.00
Trees_mature: 326 Nbseedsadded: 47300 effective: 48663 nbspeciesaffected: 45
456 Trees (1/ha): 5237.00 | 790.00 | 13.00 *** nbdead (%): 6.36 | 0.76 | 0.00 *** AGB (t/ha): 155.00 GPP (MgC/ha/yr) 36.47 NPP 14.12 litterfall (Mg/ha/yr) 6.13
457 Trees (1/ha): 5386.00 | 791.00 | 13.00 *** nbdead (%): 3.21 | 0.00 | 0.00 *** AGB (t/ha): 156.00 GPP (MgC/ha/yr) 34.78 NPP 13.01 litterfall (Mg/ha/yr) 6.13
458 Trees (1/ha): 5415.00 | 791.00 | 13.00 *** nbdead (%): 3.66 | 0.00 | 0.00 *** AGB (t/ha): 156.00 GPP (MgC/ha/yr) 35.90 NPP 13.94 litterfall (Mg/ha/yr) 6.11
459 Trees (1/ha): 5407.00 | 791.00 | 13.00 *** nbdead (%): 4.44 | 0.00 | 0.00 *** AGB (t/ha): 156.00 GPP (MgC/ha/yr) 36.77 NPP 14.35 litterfall (Mg/ha/yr) 6.09
460 Trees (1/ha): 5421.00 | 790.00 | 13.00 *** nbdead (%): 4.21 | 0.13 | 0.00 *** AGB (t/ha): 157.00 GPP (MgC/ha/yr) 36.04 NPP 13.73 litterfall (Mg/ha/yr) 6.07
461 Trees (1/ha): 5369.00 | 791.00 | 13.00 *** nbdead (%): 5.25 | 0.00 | 0.00 *** AGB (t/ha): 157.00 GPP (MgC/ha/yr) 37.41 NPP 14.90 litterfall (Mg/ha/yr) 6.06
462 Trees (1/ha): 5387.00 | 791.00 | 13.00 *** nbdead (%): 5.18 | 0.00 | 0.00 *** AGB (t/ha): 157.00 GPP (MgC/ha/yr) 39.24 NPP 15.98 litterfall (Mg/ha/yr) 6.06
463 Trees (1/ha): 5341.00 | 792.00 | 13.00 *** nbdead (%): 5.88 | 0.13 | 0.00 *** AGB (t/ha): 158.00 GPP (MgC/ha/yr) 42.29 NPP 17.68 litterfall (Mg/ha/yr) 6.05
464 Trees (1/ha): 5354.00 | 793.00 | 13.00 *** nbdead (%): 4.87 | 0.00 | 0.00 *** AGB (t/ha): 158.00 GPP (MgC/ha/yr) 44.96 NPP 18.88 litterfall (Mg/ha/yr) 6.07
465 Trees (1/ha): 5413.00 | 790.00 | 13.00 *** nbdead (%): 3.69 | 0.38 | 0.00 *** AGB (t/ha): 159.00 GPP (MgC/ha/yr) 45.38 NPP 18.65 litterfall (Mg/ha/yr) 6.09
466 Trees (1/ha): 5425.00 | 789.00 | 13.00 *** nbdead (%): 2.88 | 0.13 | 0.00 *** AGB (t/ha): 159.00 GPP (MgC/ha/yr) 43.31 NPP 17.51 litterfall (Mg/ha/yr) 6.12
467 Trees (1/ha): 5412.00 | 789.00 | 13.00 *** nbdead (%): 2.70 | 0.13 | 0.00 *** AGB (t/ha): 159.00 GPP (MgC/ha/yr) 36.74 NPP 13.74 litterfall (Mg/ha/yr) 6.15
10000 Seedrain: 50000.00
Trees_mature: 327 Nbseedsadded: 47233 effective: 48601 nbspeciesaffected: 45
468 Trees (1/ha): 5171.00 | 786.00 | 13.00 *** nbdead (%): 7.56 | 0.51 | 0.00 *** AGB (t/ha): 159.00 GPP (MgC/ha/yr) 36.61 NPP 14.15 litterfall (Mg/ha/yr) 6.15
469 Trees (1/ha): 5298.00 | 785.00 | 14.00 *** nbdead (%): 3.70 | 0.13 | 0.00 *** AGB (t/ha): 160.00 GPP (MgC/ha/yr) 34.85 NPP 13.00 litterfall (Mg/ha/yr) 6.14
470 Trees (1/ha): 5334.00 | 782.00 | 14.00 *** nbdead (%): 4.20 | 0.38 | 0.00 *** AGB (t/ha): 160.00 GPP (MgC/ha/yr) 35.94 NPP 13.92 litterfall (Mg/ha/yr) 6.12
471 Trees (1/ha): 5368.00 | 779.00 | 14.00 *** nbdead (%): 4.34 | 0.39 | 0.00 *** AGB (t/ha): 160.00 GPP (MgC/ha/yr) 36.83 NPP 14.34 litterfall (Mg/ha/yr) 6.10
472 Trees (1/ha): 5405.00 | 778.00 | 15.00 *** nbdead (%): 4.07 | 0.13 | 0.00 *** AGB (t/ha): 160.00 GPP (MgC/ha/yr) 36.07 NPP 13.71 litterfall (Mg/ha/yr) 6.08
473 Trees (1/ha): 5337.00 | 775.00 | 15.00 *** nbdead (%): 5.34 | 0.39 | 0.00 *** AGB (t/ha): 160.00 GPP (MgC/ha/yr) 37.44 NPP 14.88 litterfall (Mg/ha/yr) 6.07
474 Trees (1/ha): 5296.00 | 775.00 | 16.00 *** nbdead (%): 6.21 | 0.00 | 0.00 *** AGB (t/ha): 160.00 GPP (MgC/ha/yr) 39.27 NPP 15.97 litterfall (Mg/ha/yr) 6.06
475 Trees (1/ha): 5317.00 | 775.00 | 17.00 *** nbdead (%): 5.59 | 0.00 | 0.00 *** AGB (t/ha): 161.00 GPP (MgC/ha/yr) 42.43 NPP 17.71 litterfall (Mg/ha/yr) 6.07
ABC: Conservation of Traits
ABC: Ground data
ABC: CHM simulation
ABC: Transmittance simulation
ABC: Species outputs
476 Trees (1/ha): 5318.00 | 774.00 | 17.00 *** nbdead (%): 4.89 | 0.13 | 0.00 *** AGB (t/ha): 161.00 GPP (MgC/ha/yr) 45.03 NPP 18.88 litterfall (Mg/ha/yr) 6.08
477 Trees (1/ha): 5363.00 | 773.00 | 17.00 *** nbdead (%): 3.30 | 0.13 | 0.00 *** AGB (t/ha): 162.00 GPP (MgC/ha/yr) 45.46 NPP 18.65 litterfall (Mg/ha/yr) 6.10
478 Trees (1/ha): 5370.00 | 772.00 | 17.00 *** nbdead (%): 2.89 | 0.13 | 0.00 *** AGB (t/ha): 163.00 GPP (MgC/ha/yr) 43.36 NPP 17.49 litterfall (Mg/ha/yr) 6.13
479 Trees (1/ha): 5353.00 | 771.00 | 18.00 *** nbdead (%): 2.80 | 0.13 | 0.00 *** AGB (t/ha): 163.00 GPP (MgC/ha/yr) 36.81 NPP 13.74 litterfall (Mg/ha/yr) 6.16
10000 Seedrain: 50000.00
Trees_mature: 330 Nbseedsadded: 47358 effective: 48737 nbspeciesaffected: 45
480 Trees (1/ha): 5149.00 | 770.00 | 18.00 *** nbdead (%): 6.97 | 0.13 | 0.00 *** AGB (t/ha): 163.00 GPP (MgC/ha/yr) 36.67 NPP 14.14 litterfall (Mg/ha/yr) 6.16
481 Trees (1/ha): 5296.00 | 769.00 | 18.00 *** nbdead (%): 3.55 | 0.13 | 0.00 *** AGB (t/ha): 163.00 GPP (MgC/ha/yr) 34.93 NPP 13.01 litterfall (Mg/ha/yr) 6.16
482 Trees (1/ha): 5271.00 | 768.00 | 18.00 *** nbdead (%): 4.74 | 0.13 | 0.00 *** AGB (t/ha): 164.00 GPP (MgC/ha/yr) 36.04 NPP 13.94 litterfall (Mg/ha/yr) 6.14
483 Trees (1/ha): 5349.00 | 768.00 | 19.00 *** nbdead (%): 3.76 | 0.00 | 0.00 *** AGB (t/ha): 164.00 GPP (MgC/ha/yr) 36.92 NPP 14.35 litterfall (Mg/ha/yr) 6.12
484 Trees (1/ha): 5342.00 | 768.00 | 19.00 *** nbdead (%): 4.12 | 0.00 | 0.00 *** AGB (t/ha): 164.00 GPP (MgC/ha/yr) 36.17 NPP 13.71 litterfall (Mg/ha/yr) 6.11
485 Trees (1/ha): 5276.00 | 765.00 | 20.00 *** nbdead (%): 5.38 | 0.52 | 0.00 *** AGB (t/ha): 164.00 GPP (MgC/ha/yr) 37.51 NPP 14.87 litterfall (Mg/ha/yr) 6.09
486 Trees (1/ha): 5250.00 | 765.00 | 21.00 *** nbdead (%): 5.83 | 0.00 | 0.00 *** AGB (t/ha): 165.00 GPP (MgC/ha/yr) 39.35 NPP 15.97 litterfall (Mg/ha/yr) 6.08
487 Trees (1/ha): 5212.00 | 766.00 | 21.00 *** nbdead (%): 6.43 | 0.00 | 0.00 *** AGB (t/ha): 165.00 GPP (MgC/ha/yr) 42.52 NPP 17.72 litterfall (Mg/ha/yr) 6.09
488 Trees (1/ha): 5278.00 | 765.00 | 21.00 *** nbdead (%): 4.51 | 0.13 | 0.00 *** AGB (t/ha): 166.00 GPP (MgC/ha/yr) 45.16 NPP 18.90 litterfall (Mg/ha/yr) 6.10
489 Trees (1/ha): 5316.00 | 764.00 | 22.00 *** nbdead (%): 3.44 | 0.13 | 0.00 *** AGB (t/ha): 167.00 GPP (MgC/ha/yr) 45.58 NPP 18.66 litterfall (Mg/ha/yr) 6.12
490 Trees (1/ha): 5295.00 | 763.00 | 24.00 *** nbdead (%): 2.95 | 0.13 | 0.00 *** AGB (t/ha): 167.00 GPP (MgC/ha/yr) 43.44 NPP 17.50 litterfall (Mg/ha/yr) 6.14
491 Trees (1/ha): 5285.00 | 763.00 | 25.00 *** nbdead (%): 2.40 | 0.00 | 0.00 *** AGB (t/ha): 167.00 GPP (MgC/ha/yr) 36.87 NPP 13.74 litterfall (Mg/ha/yr) 6.17
10000 Seedrain: 50000.00
Trees_mature: 331 Nbseedsadded: 47362 effective: 48755 nbspeciesaffected: 45
492 Trees (1/ha): 5076.00 | 761.00 | 27.00 *** nbdead (%): 7.13 | 0.26 | 0.00 *** AGB (t/ha): 167.00 GPP (MgC/ha/yr) 36.72 NPP 14.14 litterfall (Mg/ha/yr) 6.17
493 Trees (1/ha): 5212.00 | 761.00 | 27.00 *** nbdead (%): 3.74 | 0.13 | 0.00 *** AGB (t/ha): 167.00 GPP (MgC/ha/yr) 34.93 NPP 12.98 litterfall (Mg/ha/yr) 6.16
494 Trees (1/ha): 5214.00 | 762.00 | 28.00 *** nbdead (%): 4.49 | 0.00 | 0.00 *** AGB (t/ha): 168.00 GPP (MgC/ha/yr) 36.05 NPP 13.91 litterfall (Mg/ha/yr) 6.14
495 Trees (1/ha): 5291.00 | 761.00 | 29.00 *** nbdead (%): 4.10 | 0.13 | 0.00 *** AGB (t/ha): 168.00 GPP (MgC/ha/yr) 36.92 NPP 14.32 litterfall (Mg/ha/yr) 6.12
496 Trees (1/ha): 5294.00 | 760.00 | 29.00 *** nbdead (%): 4.25 | 0.13 | 3.45 *** AGB (t/ha): 168.00 GPP (MgC/ha/yr) 36.06 NPP 13.64 litterfall (Mg/ha/yr) 6.09
497 Trees (1/ha): 5233.00 | 758.00 | 29.00 *** nbdead (%): 5.33 | 0.26 | 0.00 *** AGB (t/ha): 168.00 GPP (MgC/ha/yr) 37.41 NPP 14.83 litterfall (Mg/ha/yr) 6.06
498 Trees (1/ha): 5237.00 | 758.00 | 29.00 *** nbdead (%): 5.69 | 0.00 | 0.00 *** AGB (t/ha): 168.00 GPP (MgC/ha/yr) 39.27 NPP 15.92 litterfall (Mg/ha/yr) 6.06
499 Trees (1/ha): 5229.00 | 757.00 | 29.00 *** nbdead (%): 5.97 | 0.13 | 0.00 *** AGB (t/ha): 169.00 GPP (MgC/ha/yr) 42.45 NPP 17.68 litterfall (Mg/ha/yr) 6.07
500 Trees (1/ha): 5251.00 | 757.00 | 29.00 *** nbdead (%): 4.89 | 0.13 | 0.00 *** AGB (t/ha): 169.00 GPP (MgC/ha/yr) 45.09 NPP 18.87 litterfall (Mg/ha/yr) 6.08
501 Trees (1/ha): 5282.00 | 757.00 | 29.00 *** nbdead (%): 3.71 | 0.26 | 0.00 *** AGB (t/ha): 170.00 GPP (MgC/ha/yr) 45.51 NPP 18.64 litterfall (Mg/ha/yr) 6.09
502 Trees (1/ha): 5291.00 | 756.00 | 29.00 *** nbdead (%): 3.08 | 0.13 | 0.00 *** AGB (t/ha): 170.00 GPP (MgC/ha/yr) 43.42 NPP 17.49 litterfall (Mg/ha/yr) 6.12
503 Trees (1/ha): 5319.00 | 754.00 | 29.00 *** nbdead (%): 2.20 | 0.27 | 0.00 *** AGB (t/ha): 170.00 GPP (MgC/ha/yr) 36.83 NPP 13.72 litterfall (Mg/ha/yr) 6.15
10000 Seedrain: 50000.00
Trees_mature: 334 Nbseedsadded: 47439 effective: 48803 nbspeciesaffected: 45
504 Trees (1/ha): 5118.00 | 753.00 | 29.00 *** nbdead (%): 6.82 | 0.27 | 0.00 *** AGB (t/ha): 170.00 GPP (MgC/ha/yr) 36.70 NPP 14.14 litterfall (Mg/ha/yr) 6.15
505 Trees (1/ha): 5268.00 | 752.00 | 29.00 *** nbdead (%): 3.30 | 0.13 | 0.00 *** AGB (t/ha): 171.00 GPP (MgC/ha/yr) 34.95 NPP 12.99 litterfall (Mg/ha/yr) 6.15
506 Trees (1/ha): 5224.00 | 750.00 | 29.00 *** nbdead (%): 4.59 | 0.27 | 0.00 *** AGB (t/ha): 171.00 GPP (MgC/ha/yr) 36.00 NPP 13.90 litterfall (Mg/ha/yr) 6.12
507 Trees (1/ha): 5254.00 | 750.00 | 32.00 *** nbdead (%): 4.63 | 0.00 | 0.00 *** AGB (t/ha): 171.00 GPP (MgC/ha/yr) 36.89 NPP 14.31 litterfall (Mg/ha/yr) 6.10
508 Trees (1/ha): 5292.00 | 748.00 | 33.00 *** nbdead (%): 4.12 | 0.27 | 0.00 *** AGB (t/ha): 171.00 GPP (MgC/ha/yr) 36.15 NPP 13.68 litterfall (Mg/ha/yr) 6.09
509 Trees (1/ha): 5198.00 | 748.00 | 35.00 *** nbdead (%): 5.89 | 0.00 | 0.00 *** AGB (t/ha): 172.00 GPP (MgC/ha/yr) 37.52 NPP 14.85 litterfall (Mg/ha/yr) 6.07
510 Trees (1/ha): 5206.00 | 747.00 | 36.00 *** nbdead (%): 5.92 | 0.27 | 0.00 *** AGB (t/ha): 172.00 GPP (MgC/ha/yr) 39.30 NPP 15.92 litterfall (Mg/ha/yr) 6.06
511 Trees (1/ha): 5191.00 | 746.00 | 36.00 *** nbdead (%): 6.11 | 0.13 | 0.00 *** AGB (t/ha): 172.00 GPP (MgC/ha/yr) 42.48 NPP 17.67 litterfall (Mg/ha/yr) 6.07
512 Trees (1/ha): 5260.00 | 746.00 | 36.00 *** nbdead (%): 4.35 | 0.00 | 0.00 *** AGB (t/ha): 173.00 GPP (MgC/ha/yr) 45.12 NPP 18.85 litterfall (Mg/ha/yr) 6.08
513 Trees (1/ha): 5314.00 | 746.00 | 36.00 *** nbdead (%): 3.27 | 0.00 | 0.00 *** AGB (t/ha): 174.00 GPP (MgC/ha/yr) 45.56 NPP 18.63 litterfall (Mg/ha/yr) 6.10
514 Trees (1/ha): 5292.00 | 746.00 | 36.00 *** nbdead (%): 3.17 | 0.40 | 0.00 *** AGB (t/ha): 174.00 GPP (MgC/ha/yr) 43.41 NPP 17.46 litterfall (Mg/ha/yr) 6.13
515 Trees (1/ha): 5276.00 | 746.00 | 36.00 *** nbdead (%): 2.67 | 0.00 | 0.00 *** AGB (t/ha): 174.00 GPP (MgC/ha/yr) 36.87 NPP 13.72 litterfall (Mg/ha/yr) 6.15
10000 Seedrain: 50000.00
Trees_mature: 336 Nbseedsadded: 47292 effective: 48707 nbspeciesaffected: 45
516 Trees (1/ha): 5074.00 | 743.00 | 36.00 *** nbdead (%): 7.06 | 0.40 | 0.00 *** AGB (t/ha): 174.00 GPP (MgC/ha/yr) 36.74 NPP 14.13 litterfall (Mg/ha/yr) 6.15
517 Trees (1/ha): 5215.00 | 743.00 | 36.00 *** nbdead (%): 3.74 | 0.00 | 0.00 *** AGB (t/ha): 175.00 GPP (MgC/ha/yr) 34.99 NPP 12.98 litterfall (Mg/ha/yr) 6.15
518 Trees (1/ha): 5210.00 | 744.00 | 36.00 *** nbdead (%): 4.45 | 0.00 | 0.00 *** AGB (t/ha): 175.00 GPP (MgC/ha/yr) 36.10 NPP 13.91 litterfall (Mg/ha/yr) 6.14
519 Trees (1/ha): 5248.00 | 744.00 | 36.00 *** nbdead (%): 4.42 | 0.00 | 0.00 *** AGB (t/ha): 175.00 GPP (MgC/ha/yr) 36.98 NPP 14.32 litterfall (Mg/ha/yr) 6.12
520 Trees (1/ha): 5268.00 | 744.00 | 36.00 *** nbdead (%): 4.10 | 0.13 | 0.00 *** AGB (t/ha): 175.00 GPP (MgC/ha/yr) 36.25 NPP 13.69 litterfall (Mg/ha/yr) 6.10
521 Trees (1/ha): 5201.00 | 744.00 | 37.00 *** nbdead (%): 5.44 | 0.00 | 0.00 *** AGB (t/ha): 176.00 GPP (MgC/ha/yr) 37.61 NPP 14.86 litterfall (Mg/ha/yr) 6.09
522 Trees (1/ha): 5170.00 | 743.00 | 37.00 *** nbdead (%): 6.23 | 0.13 | 0.00 *** AGB (t/ha): 176.00 GPP (MgC/ha/yr) 39.42 NPP 15.94 litterfall (Mg/ha/yr) 6.08
523 Trees (1/ha): 5193.00 | 743.00 | 37.00 *** nbdead (%): 5.70 | 0.27 | 0.00 *** AGB (t/ha): 177.00 GPP (MgC/ha/yr) 42.62 NPP 17.70 litterfall (Mg/ha/yr) 6.09
524 Trees (1/ha): 5203.00 | 740.00 | 37.00 *** nbdead (%): 4.79 | 0.54 | 0.00 *** AGB (t/ha): 177.00 GPP (MgC/ha/yr) 45.25 NPP 18.88 litterfall (Mg/ha/yr) 6.10
525 Trees (1/ha): 5266.00 | 741.00 | 38.00 *** nbdead (%): 3.10 | 0.00 | 0.00 *** AGB (t/ha): 178.00 GPP (MgC/ha/yr) 45.69 NPP 18.65 litterfall (Mg/ha/yr) 6.12
526 Trees (1/ha): 5242.00 | 740.00 | 39.00 *** nbdead (%): 3.19 | 0.14 | 0.00 *** AGB (t/ha): 178.00 GPP (MgC/ha/yr) 43.47 NPP 17.46 litterfall (Mg/ha/yr) 6.13
527 Trees (1/ha): 5233.00 | 739.00 | 42.00 *** nbdead (%): 2.68 | 0.14 | 0.00 *** AGB (t/ha): 178.00 GPP (MgC/ha/yr) 36.91 NPP 13.71 litterfall (Mg/ha/yr) 6.16
10000 Seedrain: 50000.00
Trees_mature: 336 Nbseedsadded: 47325 effective: 48744 nbspeciesaffected: 45
528 Trees (1/ha): 5067.00 | 738.00 | 42.00 *** nbdead (%): 6.81 | 0.14 | 0.00 *** AGB (t/ha): 178.00 GPP (MgC/ha/yr) 36.75 NPP 14.12 litterfall (Mg/ha/yr) 6.16
529 Trees (1/ha): 5199.00 | 738.00 | 42.00 *** nbdead (%): 3.54 | 0.00 | 0.00 *** AGB (t/ha): 178.00 GPP (MgC/ha/yr) 35.02 NPP 12.97 litterfall (Mg/ha/yr) 6.15
530 Trees (1/ha): 5211.00 | 736.00 | 42.00 *** nbdead (%): 4.39 | 0.27 | 0.00 *** AGB (t/ha): 179.00 GPP (MgC/ha/yr) 36.14 NPP 13.91 litterfall (Mg/ha/yr) 6.14
531 Trees (1/ha): 5262.00 | 734.00 | 43.00 *** nbdead (%): 4.05 | 0.27 | 0.00 *** AGB (t/ha): 179.00 GPP (MgC/ha/yr) 36.99 NPP 14.31 litterfall (Mg/ha/yr) 6.12
532 Trees (1/ha): 5243.00 | 733.00 | 43.00 *** nbdead (%): 4.75 | 0.14 | 0.00 *** AGB (t/ha): 179.00 GPP (MgC/ha/yr) 36.26 NPP 13.68 litterfall (Mg/ha/yr) 6.10
533 Trees (1/ha): 5183.00 | 730.00 | 44.00 *** nbdead (%): 5.83 | 0.41 | 0.00 *** AGB (t/ha): 179.00 GPP (MgC/ha/yr) 37.63 NPP 14.85 litterfall (Mg/ha/yr) 6.09
534 Trees (1/ha): 5187.00 | 731.00 | 44.00 *** nbdead (%): 5.49 | 0.14 | 0.00 *** AGB (t/ha): 179.00 GPP (MgC/ha/yr) 39.47 NPP 15.94 litterfall (Mg/ha/yr) 6.09
535 Trees (1/ha): 5202.00 | 731.00 | 44.00 *** nbdead (%): 5.36 | 0.00 | 0.00 *** AGB (t/ha): 180.00 GPP (MgC/ha/yr) 42.67 NPP 17.71 litterfall (Mg/ha/yr) 6.09
536 Trees (1/ha): 5164.00 | 731.00 | 44.00 *** nbdead (%): 5.58 | 0.27 | 0.00 *** AGB (t/ha): 180.00 GPP (MgC/ha/yr) 45.26 NPP 18.87 litterfall (Mg/ha/yr) 6.10
537 Trees (1/ha): 5233.00 | 729.00 | 44.00 *** nbdead (%): 3.44 | 0.27 | 0.00 *** AGB (t/ha): 180.00 GPP (MgC/ha/yr) 45.57 NPP 18.60 litterfall (Mg/ha/yr) 6.11
538 Trees (1/ha): 5254.00 | 727.00 | 45.00 *** nbdead (%): 3.05 | 0.28 | 0.00 *** AGB (t/ha): 181.00 GPP (MgC/ha/yr) 43.46 NPP 17.46 litterfall (Mg/ha/yr) 6.12
539 Trees (1/ha): 5257.00 | 727.00 | 46.00 *** nbdead (%): 2.66 | 0.00 | 0.00 *** AGB (t/ha): 181.00 GPP (MgC/ha/yr) 36.87 NPP 13.69 litterfall (Mg/ha/yr) 6.15
10000 Seedrain: 50000.00
Trees_mature: 336 Nbseedsadded: 47347 effective: 48725 nbspeciesaffected: 45
540 Trees (1/ha): 5109.00 | 727.00 | 47.00 *** nbdead (%): 6.03 | 0.00 | 0.00 *** AGB (t/ha): 181.00 GPP (MgC/ha/yr) 36.76 NPP 14.11 litterfall (Mg/ha/yr) 6.15
541 Trees (1/ha): 5213.00 | 727.00 | 47.00 *** nbdead (%): 3.41 | 0.00 | 0.00 *** AGB (t/ha): 182.00 GPP (MgC/ha/yr) 35.03 NPP 12.97 litterfall (Mg/ha/yr) 6.15
542 Trees (1/ha): 5176.00 | 726.00 | 47.00 *** nbdead (%): 4.79 | 0.14 | 0.00 *** AGB (t/ha): 181.00 GPP (MgC/ha/yr) 36.09 NPP 13.89 litterfall (Mg/ha/yr) 6.12
543 Trees (1/ha): 5215.00 | 726.00 | 47.00 *** nbdead (%): 4.47 | 0.00 | 0.00 *** AGB (t/ha): 182.00 GPP (MgC/ha/yr) 37.01 NPP 14.32 litterfall (Mg/ha/yr) 6.10
544 Trees (1/ha): 5270.00 | 724.00 | 48.00 *** nbdead (%): 4.19 | 0.28 | 0.00 *** AGB (t/ha): 182.00 GPP (MgC/ha/yr) 36.21 NPP 13.66 litterfall (Mg/ha/yr) 6.08
545 Trees (1/ha): 5199.00 | 723.00 | 49.00 *** nbdead (%): 5.56 | 0.14 | 0.00 *** AGB (t/ha): 182.00 GPP (MgC/ha/yr) 37.57 NPP 14.84 litterfall (Mg/ha/yr) 6.07
546 Trees (1/ha): 5193.00 | 723.00 | 49.00 *** nbdead (%): 5.68 | 0.00 | 0.00 *** AGB (t/ha): 183.00 GPP (MgC/ha/yr) 39.41 NPP 15.93 litterfall (Mg/ha/yr) 6.07
547 Trees (1/ha): 5165.00 | 721.00 | 49.00 *** nbdead (%): 6.21 | 0.28 | 0.00 *** AGB (t/ha): 183.00 GPP (MgC/ha/yr) 42.61 NPP 17.69 litterfall (Mg/ha/yr) 6.07
548 Trees (1/ha): 5212.00 | 721.00 | 49.00 *** nbdead (%): 4.24 | 0.14 | 0.00 *** AGB (t/ha): 183.00 GPP (MgC/ha/yr) 45.25 NPP 18.88 litterfall (Mg/ha/yr) 6.08
549 Trees (1/ha): 5214.00 | 720.00 | 50.00 *** nbdead (%): 3.86 | 0.14 | 0.00 *** AGB (t/ha): 184.00 GPP (MgC/ha/yr) 45.70 NPP 18.65 litterfall (Mg/ha/yr) 6.10
550 Trees (1/ha): 5249.00 | 720.00 | 51.00 *** nbdead (%): 2.90 | 0.14 | 0.00 *** AGB (t/ha): 184.00 GPP (MgC/ha/yr) 43.60 NPP 17.51 litterfall (Mg/ha/yr) 6.13
551 Trees (1/ha): 5230.00 | 720.00 | 51.00 *** nbdead (%): 2.81 | 0.14 | 0.00 *** AGB (t/ha): 185.00 GPP (MgC/ha/yr) 36.96 NPP 13.71 litterfall (Mg/ha/yr) 6.16
10000 Seedrain: 50000.00
Trees_mature: 342 Nbseedsadded: 47305 effective: 48723 nbspeciesaffected: 45
552 Trees (1/ha): 5025.00 | 719.00 | 51.00 *** nbdead (%): 7.18 | 0.28 | 0.00 *** AGB (t/ha): 185.00 GPP (MgC/ha/yr) 36.81 NPP 14.12 litterfall (Mg/ha/yr) 6.16
553 Trees (1/ha): 5176.00 | 719.00 | 51.00 *** nbdead (%): 3.46 | 0.00 | 0.00 *** AGB (t/ha): 185.00 GPP (MgC/ha/yr) 35.05 NPP 12.96 litterfall (Mg/ha/yr) 6.16
554 Trees (1/ha): 5159.00 | 719.00 | 51.00 *** nbdead (%): 4.44 | 0.00 | 0.00 *** AGB (t/ha): 185.00 GPP (MgC/ha/yr) 36.17 NPP 13.90 litterfall (Mg/ha/yr) 6.14
555 Trees (1/ha): 5207.00 | 719.00 | 51.00 *** nbdead (%): 4.40 | 0.00 | 0.00 *** AGB (t/ha): 186.00 GPP (MgC/ha/yr) 37.03 NPP 14.29 litterfall (Mg/ha/yr) 6.12
556 Trees (1/ha): 5233.00 | 719.00 | 51.00 *** nbdead (%): 4.13 | 0.00 | 0.00 *** AGB (t/ha): 186.00 GPP (MgC/ha/yr) 36.29 NPP 13.66 litterfall (Mg/ha/yr) 6.11
557 Trees (1/ha): 5169.00 | 719.00 | 51.00 *** nbdead (%): 5.42 | 0.00 | 0.00 *** AGB (t/ha): 187.00 GPP (MgC/ha/yr) 37.66 NPP 14.84 litterfall (Mg/ha/yr) 6.09
558 Trees (1/ha): 5139.00 | 717.00 | 51.00 *** nbdead (%): 6.09 | 0.28 | 0.00 *** AGB (t/ha): 187.00 GPP (MgC/ha/yr) 39.51 NPP 15.93 litterfall (Mg/ha/yr) 6.09
559 Trees (1/ha): 5119.00 | 716.00 | 51.00 *** nbdead (%): 6.23 | 0.28 | 0.00 *** AGB (t/ha): 187.00 GPP (MgC/ha/yr) 42.64 NPP 17.67 litterfall (Mg/ha/yr) 6.09
560 Trees (1/ha): 5143.00 | 716.00 | 51.00 *** nbdead (%): 4.94 | 0.00 | 0.00 *** AGB (t/ha): 188.00 GPP (MgC/ha/yr) 45.32 NPP 18.87 litterfall (Mg/ha/yr) 6.10
561 Trees (1/ha): 5207.00 | 715.00 | 50.00 *** nbdead (%): 3.55 | 0.14 | 2.00 *** AGB (t/ha): 187.00 GPP (MgC/ha/yr) 45.59 NPP 18.57 litterfall (Mg/ha/yr) 6.10
562 Trees (1/ha): 5223.00 | 716.00 | 50.00 *** nbdead (%): 2.72 | 0.00 | 0.00 *** AGB (t/ha): 188.00 GPP (MgC/ha/yr) 43.51 NPP 17.45 litterfall (Mg/ha/yr) 6.13
563 Trees (1/ha): 5230.00 | 716.00 | 50.00 *** nbdead (%): 3.04 | 0.14 | 0.00 *** AGB (t/ha): 188.00 GPP (MgC/ha/yr) 36.92 NPP 13.68 litterfall (Mg/ha/yr) 6.15
10000 Seedrain: 50000.00
Trees_mature: 343 Nbseedsadded: 47325 effective: 48714 nbspeciesaffected: 45
564 Trees (1/ha): 5036.00 | 715.00 | 50.00 *** nbdead (%): 7.05 | 0.14 | 0.00 *** AGB (t/ha): 188.00 GPP (MgC/ha/yr) 36.79 NPP 14.10 litterfall (Mg/ha/yr) 6.16
565 Trees (1/ha): 5178.00 | 715.00 | 50.00 *** nbdead (%): 3.07 | 0.00 | 0.00 *** AGB (t/ha): 189.00 GPP (MgC/ha/yr) 35.04 NPP 12.94 litterfall (Mg/ha/yr) 6.15
566 Trees (1/ha): 5154.00 | 711.00 | 50.00 *** nbdead (%): 4.58 | 0.56 | 0.00 *** AGB (t/ha): 189.00 GPP (MgC/ha/yr) 36.16 NPP 13.88 litterfall (Mg/ha/yr) 6.13
567 Trees (1/ha): 5219.00 | 711.00 | 50.00 *** nbdead (%): 3.99 | 0.00 | 0.00 *** AGB (t/ha): 189.00 GPP (MgC/ha/yr) 37.02 NPP 14.28 litterfall (Mg/ha/yr) 6.11
568 Trees (1/ha): 5207.00 | 710.00 | 50.00 *** nbdead (%): 4.67 | 0.14 | 0.00 *** AGB (t/ha): 189.00 GPP (MgC/ha/yr) 36.27 NPP 13.63 litterfall (Mg/ha/yr) 6.10
569 Trees (1/ha): 5148.00 | 709.00 | 50.00 *** nbdead (%): 5.77 | 0.14 | 0.00 *** AGB (t/ha): 190.00 GPP (MgC/ha/yr) 37.64 NPP 14.82 litterfall (Mg/ha/yr) 6.09
570 Trees (1/ha): 5118.00 | 709.00 | 51.00 *** nbdead (%): 6.35 | 0.00 | 0.00 *** AGB (t/ha): 190.00 GPP (MgC/ha/yr) 39.50 NPP 15.91 litterfall (Mg/ha/yr) 6.09
571 Trees (1/ha): 5079.00 | 708.00 | 51.00 *** nbdead (%): 6.71 | 0.28 | 0.00 *** AGB (t/ha): 190.00 GPP (MgC/ha/yr) 42.68 NPP 17.67 litterfall (Mg/ha/yr) 6.09
572 Trees (1/ha): 5143.00 | 708.00 | 51.00 *** nbdead (%): 4.71 | 0.00 | 0.00 *** AGB (t/ha): 191.00 GPP (MgC/ha/yr) 45.33 NPP 18.85 litterfall (Mg/ha/yr) 6.10
573 Trees (1/ha): 5193.00 | 707.00 | 52.00 *** nbdead (%): 3.37 | 0.14 | 0.00 *** AGB (t/ha): 192.00 GPP (MgC/ha/yr) 45.76 NPP 18.61 litterfall (Mg/ha/yr) 6.12
574 Trees (1/ha): 5184.00 | 706.00 | 53.00 *** nbdead (%): 3.14 | 0.14 | 0.00 *** AGB (t/ha): 192.00 GPP (MgC/ha/yr) 43.63 NPP 17.46 litterfall (Mg/ha/yr) 6.15
575 Trees (1/ha): 5179.00 | 704.00 | 53.00 *** nbdead (%): 2.74 | 0.28 | 0.00 *** AGB (t/ha): 192.00 GPP (MgC/ha/yr) 37.00 NPP 13.67 litterfall (Mg/ha/yr) 6.17
10000 Seedrain: 50000.00
Trees_mature: 340 Nbseedsadded: 47280 effective: 48708 nbspeciesaffected: 45
576 Trees (1/ha): 4979.00 | 704.00 | 52.00 *** nbdead (%): 7.25 | 0.28 | 1.92 *** AGB (t/ha): 192.00 GPP (MgC/ha/yr) 36.72 NPP 14.03 litterfall (Mg/ha/yr) 6.15
577 Trees (1/ha): 5133.00 | 703.00 | 53.00 *** nbdead (%): 3.25 | 0.14 | 0.00 *** AGB (t/ha): 192.00 GPP (MgC/ha/yr) 34.98 NPP 12.90 litterfall (Mg/ha/yr) 6.14
578 Trees (1/ha): 5170.00 | 701.00 | 54.00 *** nbdead (%): 4.02 | 0.43 | 0.00 *** AGB (t/ha): 192.00 GPP (MgC/ha/yr) 36.13 NPP 13.86 litterfall (Mg/ha/yr) 6.12
579 Trees (1/ha): 5169.00 | 699.00 | 54.00 *** nbdead (%): 4.80 | 0.29 | 1.85 *** AGB (t/ha): 191.00 GPP (MgC/ha/yr) 36.86 NPP 14.20 litterfall (Mg/ha/yr) 6.08
580 Trees (1/ha): 5208.00 | 697.00 | 55.00 *** nbdead (%): 4.42 | 0.29 | 0.00 *** AGB (t/ha): 191.00 GPP (MgC/ha/yr) 36.08 NPP 13.57 litterfall (Mg/ha/yr) 6.05
581 Trees (1/ha): 5181.00 | 697.00 | 55.00 *** nbdead (%): 5.52 | 0.00 | 0.00 *** AGB (t/ha): 192.00 GPP (MgC/ha/yr) 37.49 NPP 14.77 litterfall (Mg/ha/yr) 6.05
582 Trees (1/ha): 5161.00 | 697.00 | 56.00 *** nbdead (%): 6.20 | 0.00 | 0.00 *** AGB (t/ha): 192.00 GPP (MgC/ha/yr) 39.34 NPP 15.87 litterfall (Mg/ha/yr) 6.04
583 Trees (1/ha): 5139.00 | 698.00 | 56.00 *** nbdead (%): 6.32 | 0.00 | 0.00 *** AGB (t/ha): 193.00 GPP (MgC/ha/yr) 42.54 NPP 17.63 litterfall (Mg/ha/yr) 6.05
584 Trees (1/ha): 5150.00 | 698.00 | 59.00 *** nbdead (%): 5.13 | 0.00 | 0.00 *** AGB (t/ha): 193.00 GPP (MgC/ha/yr) 45.22 NPP 18.83 litterfall (Mg/ha/yr) 6.07
585 Trees (1/ha): 5207.00 | 699.00 | 60.00 *** nbdead (%): 3.63 | 0.00 | 0.00 *** AGB (t/ha): 194.00 GPP (MgC/ha/yr) 45.65 NPP 18.59 litterfall (Mg/ha/yr) 6.09
586 Trees (1/ha): 5223.00 | 698.00 | 62.00 *** nbdead (%): 2.93 | 0.14 | 0.00 *** AGB (t/ha): 194.00 GPP (MgC/ha/yr) 43.55 NPP 17.45 litterfall (Mg/ha/yr) 6.12
587 Trees (1/ha): 5203.00 | 698.00 | 62.00 *** nbdead (%): 2.79 | 0.00 | 0.00 *** AGB (t/ha): 195.00 GPP (MgC/ha/yr) 36.94 NPP 13.67 litterfall (Mg/ha/yr) 6.14
10000 Seedrain: 50000.00
Trees_mature: 339 Nbseedsadded: 47237 effective: 48642 nbspeciesaffected: 45
588 Trees (1/ha): 4994.00 | 697.00 | 62.00 *** nbdead (%): 7.29 | 0.14 | 0.00 *** AGB (t/ha): 195.00 GPP (MgC/ha/yr) 36.80 NPP 14.08 litterfall (Mg/ha/yr) 6.15
589 Trees (1/ha): 5138.00 | 697.00 | 62.00 *** nbdead (%): 3.64 | 0.00 | 0.00 *** AGB (t/ha): 195.00 GPP (MgC/ha/yr) 35.04 NPP 12.92 litterfall (Mg/ha/yr) 6.15
590 Trees (1/ha): 5130.00 | 695.00 | 62.00 *** nbdead (%): 4.60 | 0.29 | 0.00 *** AGB (t/ha): 195.00 GPP (MgC/ha/yr) 36.16 NPP 13.87 litterfall (Mg/ha/yr) 6.13
591 Trees (1/ha): 5186.00 | 694.00 | 63.00 *** nbdead (%): 4.07 | 0.14 | 0.00 *** AGB (t/ha): 196.00 GPP (MgC/ha/yr) 37.04 NPP 14.27 litterfall (Mg/ha/yr) 6.11
592 Trees (1/ha): 5184.00 | 693.00 | 62.00 *** nbdead (%): 4.59 | 0.14 | 1.61 *** AGB (t/ha): 195.00 GPP (MgC/ha/yr) 36.16 NPP 13.58 litterfall (Mg/ha/yr) 6.07
593 Trees (1/ha): 5129.00 | 691.00 | 62.00 *** nbdead (%): 5.75 | 0.29 | 0.00 *** AGB (t/ha): 195.00 GPP (MgC/ha/yr) 37.59 NPP 14.80 litterfall (Mg/ha/yr) 6.06
594 Trees (1/ha): 5083.00 | 690.00 | 62.00 *** nbdead (%): 6.85 | 0.14 | 0.00 *** AGB (t/ha): 196.00 GPP (MgC/ha/yr) 39.41 NPP 15.88 litterfall (Mg/ha/yr) 6.05
595 Trees (1/ha): 5123.00 | 691.00 | 63.00 *** nbdead (%): 5.76 | 0.14 | 0.00 *** AGB (t/ha): 196.00 GPP (MgC/ha/yr) 42.58 NPP 17.63 litterfall (Mg/ha/yr) 6.06
ABC: Conservation of Traits
ABC: Ground data
ABC: CHM simulation
ABC: Transmittance simulation
ABC: Species outputs
596 Trees (1/ha): 5158.00 | 692.00 | 64.00 *** nbdead (%): 4.65 | 0.00 | 0.00 *** AGB (t/ha): 197.00 GPP (MgC/ha/yr) 45.26 NPP 18.82 litterfall (Mg/ha/yr) 6.07
597 Trees (1/ha): 5206.00 | 692.00 | 65.00 *** nbdead (%): 3.36 | 0.14 | 0.00 *** AGB (t/ha): 197.00 GPP (MgC/ha/yr) 45.67 NPP 18.58 litterfall (Mg/ha/yr) 6.09
598 Trees (1/ha): 5191.00 | 691.00 | 65.00 *** nbdead (%): 2.95 | 0.14 | 0.00 *** AGB (t/ha): 198.00 GPP (MgC/ha/yr) 43.50 NPP 17.40 litterfall (Mg/ha/yr) 6.11
599 Trees (1/ha): 5182.00 | 691.00 | 65.00 *** nbdead (%): 2.95 | 0.14 | 0.00 *** AGB (t/ha): 197.00 GPP (MgC/ha/yr) 36.84 NPP 13.62 litterfall (Mg/ha/yr) 6.12
10000 Seedrain: 50000.00
Trees_mature: 340 Nbseedsadded: 47341 effective: 48728 nbspeciesaffected: 45
600 Trees (1/ha): 4991.00 | 689.00 | 65.00 *** nbdead (%): 7.11 | 0.29 | 0.00 *** AGB (t/ha): 198.00 GPP (MgC/ha/yr) 36.75 NPP 14.07 litterfall (Mg/ha/yr) 6.12
601 Trees (1/ha): 5150.00 | 688.00 | 65.00 *** nbdead (%): 3.44 | 0.15 | 0.00 *** AGB (t/ha): 198.00 GPP (MgC/ha/yr) 35.00 NPP 12.91 litterfall (Mg/ha/yr) 6.12
602 Trees (1/ha): 5145.00 | 688.00 | 65.00 *** nbdead (%): 4.55 | 0.29 | 0.00 *** AGB (t/ha): 198.00 GPP (MgC/ha/yr) 36.12 NPP 13.85 litterfall (Mg/ha/yr) 6.10
603 Trees (1/ha): 5163.00 | 687.00 | 65.00 *** nbdead (%): 4.98 | 0.15 | 0.00 *** AGB (t/ha): 198.00 GPP (MgC/ha/yr) 37.00 NPP 14.25 litterfall (Mg/ha/yr) 6.09
604 Trees (1/ha): 5190.00 | 686.00 | 65.00 *** nbdead (%): 4.74 | 0.15 | 0.00 *** AGB (t/ha): 199.00 GPP (MgC/ha/yr) 36.28 NPP 13.63 litterfall (Mg/ha/yr) 6.07
605 Trees (1/ha): 5121.00 | 685.00 | 66.00 *** nbdead (%): 6.01 | 0.29 | 0.00 *** AGB (t/ha): 199.00 GPP (MgC/ha/yr) 37.64 NPP 14.81 litterfall (Mg/ha/yr) 6.06
606 Trees (1/ha): 5133.00 | 685.00 | 66.00 *** nbdead (%): 5.73 | 0.00 | 0.00 *** AGB (t/ha): 199.00 GPP (MgC/ha/yr) 39.48 NPP 15.90 litterfall (Mg/ha/yr) 6.06
607 Trees (1/ha): 5110.00 | 683.00 | 67.00 *** nbdead (%): 5.85 | 0.29 | 0.00 *** AGB (t/ha): 200.00 GPP (MgC/ha/yr) 42.65 NPP 17.65 litterfall (Mg/ha/yr) 6.06
608 Trees (1/ha): 5118.00 | 683.00 | 68.00 *** nbdead (%): 5.39 | 0.00 | 0.00 *** AGB (t/ha): 200.00 GPP (MgC/ha/yr) 45.34 NPP 18.85 litterfall (Mg/ha/yr) 6.07
609 Trees (1/ha): 5174.00 | 683.00 | 68.00 *** nbdead (%): 3.59 | 0.00 | 0.00 *** AGB (t/ha): 201.00 GPP (MgC/ha/yr) 45.79 NPP 18.62 litterfall (Mg/ha/yr) 6.10
610 Trees (1/ha): 5166.00 | 683.00 | 69.00 *** nbdead (%): 3.19 | 0.00 | 0.00 *** AGB (t/ha): 201.00 GPP (MgC/ha/yr) 43.68 NPP 17.47 litterfall (Mg/ha/yr) 6.13
611 Trees (1/ha): 5154.00 | 681.00 | 69.00 *** nbdead (%): 2.97 | 0.29 | 0.00 *** AGB (t/ha): 201.00 GPP (MgC/ha/yr) 37.06 NPP 13.70 litterfall (Mg/ha/yr) 6.15
10000 Seedrain: 50000.00
Trees_mature: 342 Nbseedsadded: 47390 effective: 48823 nbspeciesaffected: 45
612 Trees (1/ha): 4940.00 | 680.00 | 69.00 *** nbdead (%): 7.25 | 0.15 | 0.00 *** AGB (t/ha): 202.00 GPP (MgC/ha/yr) 36.92 NPP 14.11 litterfall (Mg/ha/yr) 6.16
613 Trees (1/ha): 5099.00 | 679.00 | 70.00 *** nbdead (%): 3.84 | 0.15 | 0.00 *** AGB (t/ha): 202.00 GPP (MgC/ha/yr) 35.14 NPP 12.94 litterfall (Mg/ha/yr) 6.15
614 Trees (1/ha): 5101.00 | 675.00 | 70.00 *** nbdead (%): 4.70 | 0.59 | 1.43 *** AGB (t/ha): 201.00 GPP (MgC/ha/yr) 36.13 NPP 13.83 litterfall (Mg/ha/yr) 6.11
615 Trees (1/ha): 5121.00 | 673.00 | 70.00 *** nbdead (%): 4.82 | 0.30 | 0.00 *** AGB (t/ha): 200.00 GPP (MgC/ha/yr) 36.90 NPP 14.21 litterfall (Mg/ha/yr) 6.07
616 Trees (1/ha): 5181.00 | 671.00 | 70.00 *** nbdead (%): 4.42 | 0.30 | 0.00 *** AGB (t/ha): 201.00 GPP (MgC/ha/yr) 36.21 NPP 13.61 litterfall (Mg/ha/yr) 6.05
617 Trees (1/ha): 5149.00 | 667.00 | 70.00 *** nbdead (%): 5.63 | 0.60 | 0.00 *** AGB (t/ha): 201.00 GPP (MgC/ha/yr) 37.60 NPP 14.80 litterfall (Mg/ha/yr) 6.04
618 Trees (1/ha): 5155.00 | 666.00 | 71.00 *** nbdead (%): 5.59 | 0.15 | 0.00 *** AGB (t/ha): 201.00 GPP (MgC/ha/yr) 39.46 NPP 15.90 litterfall (Mg/ha/yr) 6.04
619 Trees (1/ha): 5134.00 | 665.00 | 71.00 *** nbdead (%): 5.92 | 0.15 | 0.00 *** AGB (t/ha): 202.00 GPP (MgC/ha/yr) 42.65 NPP 17.65 litterfall (Mg/ha/yr) 6.05
620 Trees (1/ha): 5106.00 | 665.00 | 71.00 *** nbdead (%): 5.99 | 0.00 | 0.00 *** AGB (t/ha): 202.00 GPP (MgC/ha/yr) 45.31 NPP 18.84 litterfall (Mg/ha/yr) 6.06
621 Trees (1/ha): 5185.00 | 664.00 | 71.00 *** nbdead (%): 3.65 | 0.15 | 0.00 *** AGB (t/ha): 203.00 GPP (MgC/ha/yr) 45.72 NPP 18.58 litterfall (Mg/ha/yr) 6.09
622 Trees (1/ha): 5179.00 | 664.00 | 72.00 *** nbdead (%): 3.26 | 0.00 | 0.00 *** AGB (t/ha): 203.00 GPP (MgC/ha/yr) 43.60 NPP 17.43 litterfall (Mg/ha/yr) 6.11
623 Trees (1/ha): 5151.00 | 662.00 | 72.00 *** nbdead (%): 3.26 | 0.30 | 0.00 *** AGB (t/ha): 203.00 GPP (MgC/ha/yr) 36.89 NPP 13.62 litterfall (Mg/ha/yr) 6.13
10000 Seedrain: 50000.00
Trees_mature: 342 Nbseedsadded: 47273 effective: 48725 nbspeciesaffected: 45
624 Trees (1/ha): 4909.00 | 661.00 | 72.00 *** nbdead (%): 8.19 | 0.30 | 0.00 *** AGB (t/ha): 203.00 GPP (MgC/ha/yr) 36.78 NPP 14.06 litterfall (Mg/ha/yr) 6.13
625 Trees (1/ha): 5119.00 | 661.00 | 72.00 *** nbdead (%): 3.46 | 0.00 | 0.00 *** AGB (t/ha): 203.00 GPP (MgC/ha/yr) 35.04 NPP 12.91 litterfall (Mg/ha/yr) 6.13
626 Trees (1/ha): 5133.00 | 661.00 | 73.00 *** nbdead (%): 4.23 | 0.00 | 0.00 *** AGB (t/ha): 204.00 GPP (MgC/ha/yr) 36.18 NPP 13.86 litterfall (Mg/ha/yr) 6.11
627 Trees (1/ha): 5148.00 | 661.00 | 73.00 *** nbdead (%): 4.62 | 0.00 | 0.00 *** AGB (t/ha): 204.00 GPP (MgC/ha/yr) 37.06 NPP 14.26 litterfall (Mg/ha/yr) 6.09
628 Trees (1/ha): 5177.00 | 661.00 | 73.00 *** nbdead (%): 4.29 | 0.30 | 0.00 *** AGB (t/ha): 204.00 GPP (MgC/ha/yr) 36.30 NPP 13.62 litterfall (Mg/ha/yr) 6.07
629 Trees (1/ha): 5108.00 | 659.00 | 73.00 *** nbdead (%): 5.76 | 0.30 | 0.00 *** AGB (t/ha): 204.00 GPP (MgC/ha/yr) 37.69 NPP 14.81 litterfall (Mg/ha/yr) 6.06
630 Trees (1/ha): 5094.00 | 658.00 | 74.00 *** nbdead (%): 6.38 | 0.15 | 0.00 *** AGB (t/ha): 205.00 GPP (MgC/ha/yr) 39.52 NPP 15.89 litterfall (Mg/ha/yr) 6.06
631 Trees (1/ha): 5053.00 | 658.00 | 74.00 *** nbdead (%): 7.07 | 0.00 | 0.00 *** AGB (t/ha): 205.00 GPP (MgC/ha/yr) 42.73 NPP 17.66 litterfall (Mg/ha/yr) 6.07
632 Trees (1/ha): 5104.00 | 657.00 | 73.00 *** nbdead (%): 5.23 | 0.30 | 1.37 *** AGB (t/ha): 205.00 GPP (MgC/ha/yr) 45.24 NPP 18.78 litterfall (Mg/ha/yr) 6.06
633 Trees (1/ha): 5180.00 | 657.00 | 74.00 *** nbdead (%): 3.47 | 0.00 | 0.00 *** AGB (t/ha): 206.00 GPP (MgC/ha/yr) 45.75 NPP 18.60 litterfall (Mg/ha/yr) 6.08
634 Trees (1/ha): 5223.00 | 655.00 | 75.00 *** nbdead (%): 2.60 | 0.46 | 0.00 *** AGB (t/ha): 206.00 GPP (MgC/ha/yr) 43.50 NPP 17.39 litterfall (Mg/ha/yr) 6.09
635 Trees (1/ha): 5175.00 | 654.00 | 76.00 *** nbdead (%): 2.94 | 0.15 | 0.00 *** AGB (t/ha): 206.00 GPP (MgC/ha/yr) 36.95 NPP 13.66 litterfall (Mg/ha/yr) 6.11
10000 Seedrain: 50000.00
Trees_mature: 340 Nbseedsadded: 47386 effective: 48819 nbspeciesaffected: 45
636 Trees (1/ha): 4948.00 | 652.00 | 76.00 *** nbdead (%): 7.74 | 0.31 | 0.00 *** AGB (t/ha): 206.00 GPP (MgC/ha/yr) 36.81 NPP 14.07 litterfall (Mg/ha/yr) 6.12
637 Trees (1/ha): 5099.00 | 652.00 | 76.00 *** nbdead (%): 3.79 | 0.00 | 0.00 *** AGB (t/ha): 206.00 GPP (MgC/ha/yr) 35.07 NPP 12.93 litterfall (Mg/ha/yr) 6.11
638 Trees (1/ha): 5138.00 | 651.00 | 76.00 *** nbdead (%): 4.28 | 0.31 | 0.00 *** AGB (t/ha): 206.00 GPP (MgC/ha/yr) 36.21 NPP 13.87 litterfall (Mg/ha/yr) 6.09
639 Trees (1/ha): 5172.00 | 651.00 | 76.00 *** nbdead (%): 4.31 | 0.00 | 0.00 *** AGB (t/ha): 207.00 GPP (MgC/ha/yr) 37.08 NPP 14.27 litterfall (Mg/ha/yr) 6.08
640 Trees (1/ha): 5172.00 | 650.00 | 76.00 *** nbdead (%): 4.66 | 0.15 | 0.00 *** AGB (t/ha): 207.00 GPP (MgC/ha/yr) 36.35 NPP 13.64 litterfall (Mg/ha/yr) 6.07
641 Trees (1/ha): 5121.00 | 650.00 | 76.00 *** nbdead (%): 5.55 | 0.15 | 0.00 *** AGB (t/ha): 207.00 GPP (MgC/ha/yr) 37.75 NPP 14.83 litterfall (Mg/ha/yr) 6.06
642 Trees (1/ha): 5073.00 | 650.00 | 76.00 *** nbdead (%): 6.70 | 0.00 | 0.00 *** AGB (t/ha): 208.00 GPP (MgC/ha/yr) 39.61 NPP 15.93 litterfall (Mg/ha/yr) 6.05
643 Trees (1/ha): 5107.00 | 648.00 | 76.00 *** nbdead (%): 5.60 | 0.31 | 1.32 *** AGB (t/ha): 207.00 GPP (MgC/ha/yr) 42.50 NPP 17.55 litterfall (Mg/ha/yr) 6.02
644 Trees (1/ha): 5088.00 | 648.00 | 76.00 *** nbdead (%): 5.40 | 0.00 | 0.00 *** AGB (t/ha): 207.00 GPP (MgC/ha/yr) 45.27 NPP 18.82 litterfall (Mg/ha/yr) 6.03
645 Trees (1/ha): 5182.00 | 648.00 | 78.00 *** nbdead (%): 4.11 | 0.15 | 0.00 *** AGB (t/ha): 208.00 GPP (MgC/ha/yr) 45.75 NPP 18.61 litterfall (Mg/ha/yr) 6.07
646 Trees (1/ha): 5180.00 | 647.00 | 78.00 *** nbdead (%): 3.36 | 0.15 | 0.00 *** AGB (t/ha): 208.00 GPP (MgC/ha/yr) 43.51 NPP 17.40 litterfall (Mg/ha/yr) 6.08
647 Trees (1/ha): 5151.00 | 646.00 | 78.00 *** nbdead (%): 3.16 | 0.15 | 0.00 *** AGB (t/ha): 208.00 GPP (MgC/ha/yr) 36.92 NPP 13.64 litterfall (Mg/ha/yr) 6.10
10000 Seedrain: 50000.00
Trees_mature: 339 Nbseedsadded: 47363 effective: 48716 nbspeciesaffected: 45
648 Trees (1/ha): 4952.00 | 646.00 | 78.00 *** nbdead (%): 7.61 | 0.00 | 0.00 *** AGB (t/ha): 208.00 GPP (MgC/ha/yr) 36.79 NPP 14.06 litterfall (Mg/ha/yr) 6.11
649 Trees (1/ha): 5124.00 | 646.00 | 80.00 *** nbdead (%): 3.30 | 0.00 | 0.00 *** AGB (t/ha): 209.00 GPP (MgC/ha/yr) 35.04 NPP 12.91 litterfall (Mg/ha/yr) 6.11
650 Trees (1/ha): 5130.00 | 645.00 | 80.00 *** nbdead (%): 4.42 | 0.16 | 0.00 *** AGB (t/ha): 209.00 GPP (MgC/ha/yr) 36.14 NPP 13.84 litterfall (Mg/ha/yr) 6.09
651 Trees (1/ha): 5188.00 | 644.00 | 80.00 *** nbdead (%): 4.12 | 0.16 | 0.00 *** AGB (t/ha): 209.00 GPP (MgC/ha/yr) 36.95 NPP 14.22 litterfall (Mg/ha/yr) 6.06
652 Trees (1/ha): 5192.00 | 644.00 | 80.00 *** nbdead (%): 4.24 | 0.00 | 0.00 *** AGB (t/ha): 209.00 GPP (MgC/ha/yr) 36.23 NPP 13.60 litterfall (Mg/ha/yr) 6.04
653 Trees (1/ha): 5135.00 | 642.00 | 80.00 *** nbdead (%): 5.78 | 0.31 | 0.00 *** AGB (t/ha): 209.00 GPP (MgC/ha/yr) 37.61 NPP 14.78 litterfall (Mg/ha/yr) 6.03
654 Trees (1/ha): 5124.00 | 642.00 | 80.00 *** nbdead (%): 6.05 | 0.00 | 0.00 *** AGB (t/ha): 210.00 GPP (MgC/ha/yr) 39.45 NPP 15.86 litterfall (Mg/ha/yr) 6.03
655 Trees (1/ha): 5060.00 | 642.00 | 82.00 *** nbdead (%): 7.11 | 0.16 | 0.00 *** AGB (t/ha): 210.00 GPP (MgC/ha/yr) 42.63 NPP 17.62 litterfall (Mg/ha/yr) 6.03
656 Trees (1/ha): 5101.00 | 642.00 | 82.00 *** nbdead (%): 5.31 | 0.16 | 0.00 *** AGB (t/ha): 211.00 GPP (MgC/ha/yr) 45.31 NPP 18.81 litterfall (Mg/ha/yr) 6.05
657 Trees (1/ha): 5161.00 | 641.00 | 83.00 *** nbdead (%): 3.86 | 0.16 | 0.00 *** AGB (t/ha): 211.00 GPP (MgC/ha/yr) 45.76 NPP 18.58 litterfall (Mg/ha/yr) 6.07
658 Trees (1/ha): 5169.00 | 640.00 | 83.00 *** nbdead (%): 3.11 | 0.16 | 0.00 *** AGB (t/ha): 212.00 GPP (MgC/ha/yr) 43.62 NPP 17.42 litterfall (Mg/ha/yr) 6.10
659 Trees (1/ha): 5172.00 | 637.00 | 84.00 *** nbdead (%): 2.55 | 0.47 | 0.00 *** AGB (t/ha): 212.00 GPP (MgC/ha/yr) 37.00 NPP 13.65 litterfall (Mg/ha/yr) 6.12
10000 Seedrain: 50000.00
Trees_mature: 336 Nbseedsadded: 47339 effective: 48668 nbspeciesaffected: 45
660 Trees (1/ha): 4951.00 | 636.00 | 84.00 *** nbdead (%): 7.45 | 0.31 | 0.00 *** AGB (t/ha): 212.00 GPP (MgC/ha/yr) 36.86 NPP 14.07 litterfall (Mg/ha/yr) 6.13
661 Trees (1/ha): 5084.00 | 634.00 | 83.00 *** nbdead (%): 3.78 | 0.32 | 1.20 *** AGB (t/ha): 211.00 GPP (MgC/ha/yr) 34.91 NPP 12.84 litterfall (Mg/ha/yr) 6.10
662 Trees (1/ha): 5129.00 | 634.00 | 83.00 *** nbdead (%): 4.21 | 0.00 | 0.00 *** AGB (t/ha): 211.00 GPP (MgC/ha/yr) 36.07 NPP 13.81 litterfall (Mg/ha/yr) 6.08
663 Trees (1/ha): 5157.00 | 634.00 | 83.00 *** nbdead (%): 4.85 | 0.16 | 0.00 *** AGB (t/ha): 211.00 GPP (MgC/ha/yr) 36.94 NPP 14.21 litterfall (Mg/ha/yr) 6.06
664 Trees (1/ha): 5204.00 | 634.00 | 84.00 *** nbdead (%): 4.30 | 0.00 | 0.00 *** AGB (t/ha): 212.00 GPP (MgC/ha/yr) 36.22 NPP 13.58 litterfall (Mg/ha/yr) 6.05
665 Trees (1/ha): 5107.00 | 634.00 | 84.00 *** nbdead (%): 6.17 | 0.00 | 0.00 *** AGB (t/ha): 212.00 GPP (MgC/ha/yr) 37.61 NPP 14.77 litterfall (Mg/ha/yr) 6.04
666 Trees (1/ha): 5121.00 | 634.00 | 84.00 *** nbdead (%): 5.76 | 0.00 | 0.00 *** AGB (t/ha): 212.00 GPP (MgC/ha/yr) 39.45 NPP 15.86 litterfall (Mg/ha/yr) 6.04
667 Trees (1/ha): 5077.00 | 634.00 | 84.00 *** nbdead (%): 6.30 | 0.00 | 0.00 *** AGB (t/ha): 213.00 GPP (MgC/ha/yr) 42.65 NPP 17.61 litterfall (Mg/ha/yr) 6.04
668 Trees (1/ha): 5089.00 | 634.00 | 85.00 *** nbdead (%): 5.54 | 0.00 | 0.00 *** AGB (t/ha): 214.00 GPP (MgC/ha/yr) 45.31 NPP 18.80 litterfall (Mg/ha/yr) 6.06
669 Trees (1/ha): 5124.00 | 634.00 | 85.00 *** nbdead (%): 4.23 | 0.00 | 0.00 *** AGB (t/ha): 214.00 GPP (MgC/ha/yr) 45.75 NPP 18.56 litterfall (Mg/ha/yr) 6.08
670 Trees (1/ha): 5156.00 | 632.00 | 85.00 *** nbdead (%): 2.99 | 0.32 | 0.00 *** AGB (t/ha): 214.00 GPP (MgC/ha/yr) 43.60 NPP 17.41 litterfall (Mg/ha/yr) 6.10
671 Trees (1/ha): 5146.00 | 632.00 | 85.00 *** nbdead (%): 2.82 | 0.00 | 0.00 *** AGB (t/ha): 215.00 GPP (MgC/ha/yr) 36.99 NPP 13.64 litterfall (Mg/ha/yr) 6.13
10000 Seedrain: 50000.00
Trees_mature: 336 Nbseedsadded: 47397 effective: 48746 nbspeciesaffected: 45
672 Trees (1/ha): 4948.00 | 630.00 | 85.00 *** nbdead (%): 7.34 | 0.32 | 0.00 *** AGB (t/ha): 215.00 GPP (MgC/ha/yr) 36.86 NPP 14.06 litterfall (Mg/ha/yr) 6.13
673 Trees (1/ha): 5073.00 | 630.00 | 85.00 *** nbdead (%): 3.86 | 0.00 | 0.00 *** AGB (t/ha): 215.00 GPP (MgC/ha/yr) 35.11 NPP 12.91 litterfall (Mg/ha/yr) 6.13
674 Trees (1/ha): 5058.00 | 628.00 | 86.00 *** nbdead (%): 5.06 | 0.32 | 0.00 *** AGB (t/ha): 215.00 GPP (MgC/ha/yr) 36.22 NPP 13.84 litterfall (Mg/ha/yr) 6.11
675 Trees (1/ha): 5120.00 | 628.00 | 88.00 *** nbdead (%): 4.51 | 0.16 | 0.00 *** AGB (t/ha): 216.00 GPP (MgC/ha/yr) 37.09 NPP 14.24 litterfall (Mg/ha/yr) 6.09
676 Trees (1/ha): 5135.00 | 628.00 | 88.00 *** nbdead (%): 4.54 | 0.00 | 0.00 *** AGB (t/ha): 216.00 GPP (MgC/ha/yr) 36.34 NPP 13.60 litterfall (Mg/ha/yr) 6.07
677 Trees (1/ha): 5061.00 | 626.00 | 88.00 *** nbdead (%): 6.16 | 0.48 | 0.00 *** AGB (t/ha): 216.00 GPP (MgC/ha/yr) 37.65 NPP 14.76 litterfall (Mg/ha/yr) 6.05
678 Trees (1/ha): 5084.00 | 626.00 | 88.00 *** nbdead (%): 5.51 | 0.00 | 0.00 *** AGB (t/ha): 216.00 GPP (MgC/ha/yr) 39.52 NPP 15.86 litterfall (Mg/ha/yr) 6.05
679 Trees (1/ha): 5044.00 | 626.00 | 88.00 *** nbdead (%): 6.56 | 0.00 | 0.00 *** AGB (t/ha): 217.00 GPP (MgC/ha/yr) 42.71 NPP 17.62 litterfall (Mg/ha/yr) 6.05
680 Trees (1/ha): 5077.00 | 625.00 | 90.00 *** nbdead (%): 4.98 | 0.16 | 0.00 *** AGB (t/ha): 217.00 GPP (MgC/ha/yr) 45.28 NPP 18.76 litterfall (Mg/ha/yr) 6.05
681 Trees (1/ha): 5114.00 | 626.00 | 90.00 *** nbdead (%): 3.83 | 0.00 | 0.00 *** AGB (t/ha): 217.00 GPP (MgC/ha/yr) 45.74 NPP 18.54 litterfall (Mg/ha/yr) 6.08
682 Trees (1/ha): 5140.00 | 625.00 | 91.00 *** nbdead (%): 2.92 | 0.16 | 0.00 *** AGB (t/ha): 218.00 GPP (MgC/ha/yr) 43.59 NPP 17.37 litterfall (Mg/ha/yr) 6.10
683 Trees (1/ha): 5076.00 | 624.00 | 92.00 *** nbdead (%): 3.53 | 0.16 | 0.00 *** AGB (t/ha): 218.00 GPP (MgC/ha/yr) 36.97 NPP 13.61 litterfall (Mg/ha/yr) 6.12
10000 Seedrain: 50000.00
Trees_mature: 335 Nbseedsadded: 47438 effective: 48829 nbspeciesaffected: 45
684 Trees (1/ha): 4868.00 | 624.00 | 92.00 *** nbdead (%): 7.99 | 0.00 | 0.00 *** AGB (t/ha): 218.00 GPP (MgC/ha/yr) 36.83 NPP 14.02 litterfall (Mg/ha/yr) 6.12
685 Trees (1/ha): 5062.00 | 623.00 | 92.00 *** nbdead (%): 3.44 | 0.16 | 0.00 *** AGB (t/ha): 218.00 GPP (MgC/ha/yr) 35.06 NPP 12.86 litterfall (Mg/ha/yr) 6.12
686 Trees (1/ha): 5032.00 | 623.00 | 92.00 *** nbdead (%): 5.33 | 0.00 | 0.00 *** AGB (t/ha): 219.00 GPP (MgC/ha/yr) 36.19 NPP 13.81 litterfall (Mg/ha/yr) 6.10
687 Trees (1/ha): 5076.00 | 624.00 | 93.00 *** nbdead (%): 4.91 | 0.00 | 0.00 *** AGB (t/ha): 219.00 GPP (MgC/ha/yr) 37.08 NPP 14.22 litterfall (Mg/ha/yr) 6.08
688 Trees (1/ha): 5132.00 | 624.00 | 94.00 *** nbdead (%): 4.15 | 0.00 | 0.00 *** AGB (t/ha): 219.00 GPP (MgC/ha/yr) 36.35 NPP 13.59 litterfall (Mg/ha/yr) 6.07
689 Trees (1/ha): 5057.00 | 623.00 | 96.00 *** nbdead (%): 5.87 | 0.16 | 0.00 *** AGB (t/ha): 220.00 GPP (MgC/ha/yr) 37.73 NPP 14.77 litterfall (Mg/ha/yr) 6.06
690 Trees (1/ha): 5031.00 | 623.00 | 98.00 *** nbdead (%): 6.40 | 0.00 | 0.00 *** AGB (t/ha): 220.00 GPP (MgC/ha/yr) 39.57 NPP 15.86 litterfall (Mg/ha/yr) 6.05
691 Trees (1/ha): 4996.00 | 623.00 | 100.00 *** nbdead (%): 6.55 | 0.00 | 0.00 *** AGB (t/ha): 221.00 GPP (MgC/ha/yr) 42.77 NPP 17.61 litterfall (Mg/ha/yr) 6.06
692 Trees (1/ha): 5015.00 | 623.00 | 101.00 *** nbdead (%): 5.66 | 0.00 | 0.00 *** AGB (t/ha): 221.00 GPP (MgC/ha/yr) 45.44 NPP 18.80 litterfall (Mg/ha/yr) 6.07
693 Trees (1/ha): 5062.00 | 623.00 | 101.00 *** nbdead (%): 3.87 | 0.16 | 0.00 *** AGB (t/ha): 222.00 GPP (MgC/ha/yr) 45.81 NPP 18.54 litterfall (Mg/ha/yr) 6.09
694 Trees (1/ha): 5062.00 | 621.00 | 101.00 *** nbdead (%): 3.14 | 0.32 | 0.00 *** AGB (t/ha): 222.00 GPP (MgC/ha/yr) 43.68 NPP 17.39 litterfall (Mg/ha/yr) 6.11
695 Trees (1/ha): 5062.00 | 621.00 | 101.00 *** nbdead (%): 3.04 | 0.16 | 0.00 *** AGB (t/ha): 222.00 GPP (MgC/ha/yr) 37.05 NPP 13.61 litterfall (Mg/ha/yr) 6.14
10000 Seedrain: 50000.00
Trees_mature: 337 Nbseedsadded: 47307 effective: 48686 nbspeciesaffected: 45
696 Trees (1/ha): 4861.00 | 618.00 | 104.00 *** nbdead (%): 7.39 | 0.49 | 0.00 *** AGB (t/ha): 222.00 GPP (MgC/ha/yr) 36.91 NPP 14.03 litterfall (Mg/ha/yr) 6.14
697 Trees (1/ha): 5023.00 | 618.00 | 105.00 *** nbdead (%): 3.40 | 0.00 | 0.00 *** AGB (t/ha): 222.00 GPP (MgC/ha/yr) 35.16 NPP 12.88 litterfall (Mg/ha/yr) 6.13
698 Trees (1/ha): 4999.00 | 618.00 | 105.00 *** nbdead (%): 4.78 | 0.16 | 0.00 *** AGB (t/ha): 222.00 GPP (MgC/ha/yr) 36.28 NPP 13.82 litterfall (Mg/ha/yr) 6.11
699 Trees (1/ha): 5052.00 | 618.00 | 105.00 *** nbdead (%): 4.65 | 0.00 | 0.00 *** AGB (t/ha): 223.00 GPP (MgC/ha/yr) 37.18 NPP 14.23 litterfall (Mg/ha/yr) 6.10
700 Trees (1/ha): 5083.00 | 617.00 | 104.00 *** nbdead (%): 4.47 | 0.16 | 0.96 *** AGB (t/ha): 223.00 GPP (MgC/ha/yr) 36.30 NPP 13.54 litterfall (Mg/ha/yr) 6.06
701 Trees (1/ha): 5005.00 | 615.00 | 105.00 *** nbdead (%): 6.31 | 0.33 | 0.00 *** AGB (t/ha): 223.00 GPP (MgC/ha/yr) 37.70 NPP 14.74 litterfall (Mg/ha/yr) 6.04
702 Trees (1/ha): 5006.00 | 615.00 | 107.00 *** nbdead (%): 6.33 | 0.16 | 0.00 *** AGB (t/ha): 223.00 GPP (MgC/ha/yr) 39.54 NPP 15.83 litterfall (Mg/ha/yr) 6.04
703 Trees (1/ha): 5008.00 | 615.00 | 107.00 *** nbdead (%): 6.47 | 0.00 | 0.00 *** AGB (t/ha): 223.00 GPP (MgC/ha/yr) 42.74 NPP 17.59 litterfall (Mg/ha/yr) 6.05
704 Trees (1/ha): 5024.00 | 616.00 | 107.00 *** nbdead (%): 5.29 | 0.00 | 0.00 *** AGB (t/ha): 224.00 GPP (MgC/ha/yr) 45.41 NPP 18.78 litterfall (Mg/ha/yr) 6.06
705 Trees (1/ha): 5078.00 | 616.00 | 107.00 *** nbdead (%): 3.76 | 0.00 | 0.00 *** AGB (t/ha): 225.00 GPP (MgC/ha/yr) 45.82 NPP 18.53 litterfall (Mg/ha/yr) 6.08
706 Trees (1/ha): 5069.00 | 615.00 | 106.00 *** nbdead (%): 3.24 | 0.16 | 0.94 *** AGB (t/ha): 225.00 GPP (MgC/ha/yr) 43.53 NPP 17.31 litterfall (Mg/ha/yr) 6.09
707 Trees (1/ha): 5054.00 | 614.00 | 106.00 *** nbdead (%): 3.01 | 0.16 | 0.00 *** AGB (t/ha): 225.00 GPP (MgC/ha/yr) 36.95 NPP 13.57 litterfall (Mg/ha/yr) 6.11
10000 Seedrain: 50000.00
Trees_mature: 339 Nbseedsadded: 47282 effective: 48682 nbspeciesaffected: 45
708 Trees (1/ha): 4850.00 | 612.00 | 106.00 *** nbdead (%): 7.94 | 0.49 | 0.00 *** AGB (t/ha): 225.00 GPP (MgC/ha/yr) 36.82 NPP 14.00 litterfall (Mg/ha/yr) 6.12
709 Trees (1/ha): 5006.00 | 611.00 | 105.00 *** nbdead (%): 3.84 | 0.16 | 0.95 *** AGB (t/ha): 224.00 GPP (MgC/ha/yr) 34.93 NPP 12.79 litterfall (Mg/ha/yr) 6.09
710 Trees (1/ha): 5036.00 | 609.00 | 105.00 *** nbdead (%): 4.51 | 0.33 | 0.00 *** AGB (t/ha): 224.00 GPP (MgC/ha/yr) 36.08 NPP 13.76 litterfall (Mg/ha/yr) 6.07
711 Trees (1/ha): 5113.00 | 610.00 | 106.00 *** nbdead (%): 4.30 | 0.00 | 0.00 *** AGB (t/ha): 225.00 GPP (MgC/ha/yr) 36.98 NPP 14.16 litterfall (Mg/ha/yr) 6.05
712 Trees (1/ha): 5128.00 | 610.00 | 107.00 *** nbdead (%): 4.49 | 0.00 | 0.00 *** AGB (t/ha): 225.00 GPP (MgC/ha/yr) 36.27 NPP 13.55 litterfall (Mg/ha/yr) 6.04
713 Trees (1/ha): 5081.00 | 609.00 | 109.00 *** nbdead (%): 5.45 | 0.16 | 0.00 *** AGB (t/ha): 225.00 GPP (MgC/ha/yr) 37.63 NPP 14.72 litterfall (Mg/ha/yr) 6.03
714 Trees (1/ha): 5072.00 | 608.00 | 109.00 *** nbdead (%): 5.93 | 0.16 | 0.00 *** AGB (t/ha): 226.00 GPP (MgC/ha/yr) 39.48 NPP 15.81 litterfall (Mg/ha/yr) 6.03
715 Trees (1/ha): 5033.00 | 608.00 | 109.00 *** nbdead (%): 6.50 | 0.00 | 0.00 *** AGB (t/ha): 226.00 GPP (MgC/ha/yr) 42.68 NPP 17.58 litterfall (Mg/ha/yr) 6.03
ABC: Conservation of Traits
ABC: Ground data
ABC: CHM simulation
ABC: Transmittance simulation
ABC: Species outputs
716 Trees (1/ha): 5060.00 | 605.00 | 109.00 *** nbdead (%): 5.36 | 0.50 | 0.00 *** AGB (t/ha): 226.00 GPP (MgC/ha/yr) 45.31 NPP 18.75 litterfall (Mg/ha/yr) 6.04
717 Trees (1/ha): 5123.00 | 605.00 | 109.00 *** nbdead (%): 3.77 | 0.00 | 0.00 *** AGB (t/ha): 226.00 GPP (MgC/ha/yr) 45.75 NPP 18.51 litterfall (Mg/ha/yr) 6.06
718 Trees (1/ha): 5122.00 | 605.00 | 110.00 *** nbdead (%): 3.26 | 0.00 | 0.00 *** AGB (t/ha): 227.00 GPP (MgC/ha/yr) 43.63 NPP 17.37 litterfall (Mg/ha/yr) 6.09
719 Trees (1/ha): 5082.00 | 603.00 | 109.00 *** nbdead (%): 3.44 | 0.33 | 0.92 *** AGB (t/ha): 226.00 GPP (MgC/ha/yr) 36.86 NPP 13.54 litterfall (Mg/ha/yr) 6.09
10000 Seedrain: 50000.00
Trees_mature: 331 Nbseedsadded: 47311 effective: 48647 nbspeciesaffected: 45
720 Trees (1/ha): 4845.00 | 601.00 | 108.00 *** nbdead (%): 8.19 | 0.33 | 0.93 *** AGB (t/ha): 226.00 GPP (MgC/ha/yr) 36.65 NPP 13.94 litterfall (Mg/ha/yr) 6.08
721 Trees (1/ha): 5062.00 | 601.00 | 108.00 *** nbdead (%): 3.38 | 0.00 | 0.00 *** AGB (t/ha): 226.00 GPP (MgC/ha/yr) 34.94 NPP 12.81 litterfall (Mg/ha/yr) 6.07
722 Trees (1/ha): 5058.00 | 600.00 | 109.00 *** nbdead (%): 5.04 | 0.17 | 0.00 *** AGB (t/ha): 226.00 GPP (MgC/ha/yr) 36.06 NPP 13.75 litterfall (Mg/ha/yr) 6.06
723 Trees (1/ha): 5118.00 | 599.00 | 110.00 *** nbdead (%): 4.44 | 0.17 | 0.00 *** AGB (t/ha): 227.00 GPP (MgC/ha/yr) 36.94 NPP 14.15 litterfall (Mg/ha/yr) 6.04
724 Trees (1/ha): 5134.00 | 597.00 | 110.00 *** nbdead (%): 4.30 | 0.34 | 0.00 *** AGB (t/ha): 226.00 GPP (MgC/ha/yr) 36.10 NPP 13.48 litterfall (Mg/ha/yr) 6.01
725 Trees (1/ha): 5035.00 | 597.00 | 110.00 *** nbdead (%): 6.38 | 0.00 | 0.00 *** AGB (t/ha): 227.00 GPP (MgC/ha/yr) 37.52 NPP 14.69 litterfall (Mg/ha/yr) 6.00
726 Trees (1/ha): 5070.00 | 597.00 | 111.00 *** nbdead (%): 5.90 | 0.00 | 0.00 *** AGB (t/ha): 227.00 GPP (MgC/ha/yr) 39.38 NPP 15.78 litterfall (Mg/ha/yr) 6.00
727 Trees (1/ha): 5031.00 | 597.00 | 111.00 *** nbdead (%): 6.38 | 0.00 | 0.00 *** AGB (t/ha): 228.00 GPP (MgC/ha/yr) 42.59 NPP 17.55 litterfall (Mg/ha/yr) 6.01
728 Trees (1/ha): 5069.00 | 598.00 | 111.00 *** nbdead (%): 5.27 | 0.00 | 0.00 *** AGB (t/ha): 228.00 GPP (MgC/ha/yr) 45.27 NPP 18.74 litterfall (Mg/ha/yr) 6.02
729 Trees (1/ha): 5108.00 | 597.00 | 111.00 *** nbdead (%): 3.82 | 0.17 | 0.00 *** AGB (t/ha): 229.00 GPP (MgC/ha/yr) 45.70 NPP 18.51 litterfall (Mg/ha/yr) 6.04
730 Trees (1/ha): 5122.00 | 597.00 | 111.00 *** nbdead (%): 2.95 | 0.00 | 0.00 *** AGB (t/ha): 229.00 GPP (MgC/ha/yr) 43.57 NPP 17.35 litterfall (Mg/ha/yr) 6.07
731 Trees (1/ha): 5122.00 | 597.00 | 111.00 *** nbdead (%): 2.62 | 0.00 | 0.00 *** AGB (t/ha): 230.00 GPP (MgC/ha/yr) 36.96 NPP 13.59 litterfall (Mg/ha/yr) 6.09
10000 Seedrain: 50000.00
Trees_mature: 331 Nbseedsadded: 47370 effective: 48732 nbspeciesaffected: 45
732 Trees (1/ha): 4900.00 | 595.00 | 111.00 *** nbdead (%): 7.49 | 0.34 | 0.00 *** AGB (t/ha): 230.00 GPP (MgC/ha/yr) 36.83 NPP 14.01 litterfall (Mg/ha/yr) 6.09
733 Trees (1/ha): 5063.00 | 594.00 | 110.00 *** nbdead (%): 3.18 | 0.17 | 0.91 *** AGB (t/ha): 229.00 GPP (MgC/ha/yr) 34.89 NPP 12.79 litterfall (Mg/ha/yr) 6.06
734 Trees (1/ha): 5051.00 | 591.00 | 111.00 *** nbdead (%): 4.61 | 0.51 | 0.00 *** AGB (t/ha): 229.00 GPP (MgC/ha/yr) 36.07 NPP 13.77 litterfall (Mg/ha/yr) 6.04
735 Trees (1/ha): 5148.00 | 590.00 | 111.00 *** nbdead (%): 4.31 | 0.17 | 0.00 *** AGB (t/ha): 229.00 GPP (MgC/ha/yr) 36.94 NPP 14.17 litterfall (Mg/ha/yr) 6.02
736 Trees (1/ha): 5136.00 | 589.00 | 111.00 *** nbdead (%): 4.67 | 0.17 | 0.00 *** AGB (t/ha): 229.00 GPP (MgC/ha/yr) 36.21 NPP 13.54 litterfall (Mg/ha/yr) 6.01
737 Trees (1/ha): 5056.00 | 586.00 | 112.00 *** nbdead (%): 6.53 | 0.51 | 0.00 *** AGB (t/ha): 229.00 GPP (MgC/ha/yr) 37.50 NPP 14.68 litterfall (Mg/ha/yr) 5.98
738 Trees (1/ha): 5070.00 | 585.00 | 112.00 *** nbdead (%): 6.15 | 0.17 | 0.00 *** AGB (t/ha): 229.00 GPP (MgC/ha/yr) 39.36 NPP 15.78 litterfall (Mg/ha/yr) 5.98
739 Trees (1/ha): 5050.00 | 583.00 | 112.00 *** nbdead (%): 6.69 | 0.34 | 0.00 *** AGB (t/ha): 228.00 GPP (MgC/ha/yr) 42.43 NPP 17.48 litterfall (Mg/ha/yr) 5.97
740 Trees (1/ha): 5095.00 | 583.00 | 113.00 *** nbdead (%): 5.18 | 0.00 | 0.00 *** AGB (t/ha): 229.00 GPP (MgC/ha/yr) 45.15 NPP 18.71 litterfall (Mg/ha/yr) 5.99
741 Trees (1/ha): 5166.00 | 584.00 | 113.00 *** nbdead (%): 3.79 | 0.00 | 0.00 *** AGB (t/ha): 230.00 GPP (MgC/ha/yr) 45.58 NPP 18.46 litterfall (Mg/ha/yr) 6.01
742 Trees (1/ha): 5192.00 | 584.00 | 113.00 *** nbdead (%): 2.77 | 0.17 | 0.00 *** AGB (t/ha): 230.00 GPP (MgC/ha/yr) 43.50 NPP 17.35 litterfall (Mg/ha/yr) 6.04
743 Trees (1/ha): 5166.00 | 585.00 | 113.00 *** nbdead (%): 2.86 | 0.00 | 0.00 *** AGB (t/ha): 230.00 GPP (MgC/ha/yr) 36.90 NPP 13.58 litterfall (Mg/ha/yr) 6.06
10000 Seedrain: 50000.00
Trees_mature: 326 Nbseedsadded: 47422 effective: 48769 nbspeciesaffected: 45
744 Trees (1/ha): 4924.00 | 582.00 | 113.00 *** nbdead (%): 8.25 | 0.52 | 0.00 *** AGB (t/ha): 230.00 GPP (MgC/ha/yr) 36.78 NPP 14.01 litterfall (Mg/ha/yr) 6.07
745 Trees (1/ha): 5102.00 | 582.00 | 113.00 *** nbdead (%): 3.33 | 0.00 | 0.00 *** AGB (t/ha): 231.00 GPP (MgC/ha/yr) 35.04 NPP 12.86 litterfall (Mg/ha/yr) 6.06
746 Trees (1/ha): 5118.00 | 578.00 | 113.00 *** nbdead (%): 3.91 | 0.87 | 0.00 *** AGB (t/ha): 230.00 GPP (MgC/ha/yr) 36.15 NPP 13.80 litterfall (Mg/ha/yr) 6.05
747 Trees (1/ha): 5148.00 | 577.00 | 114.00 *** nbdead (%): 4.37 | 0.17 | 0.00 *** AGB (t/ha): 231.00 GPP (MgC/ha/yr) 37.03 NPP 14.20 litterfall (Mg/ha/yr) 6.03
748 Trees (1/ha): 5150.00 | 575.00 | 113.00 *** nbdead (%): 4.68 | 0.35 | 0.88 *** AGB (t/ha): 230.00 GPP (MgC/ha/yr) 36.15 NPP 13.52 litterfall (Mg/ha/yr) 5.99
749 Trees (1/ha): 5053.00 | 575.00 | 113.00 *** nbdead (%): 6.75 | 0.35 | 0.00 *** AGB (t/ha): 230.00 GPP (MgC/ha/yr) 37.57 NPP 14.72 litterfall (Mg/ha/yr) 5.98
750 Trees (1/ha): 5110.00 | 575.00 | 113.00 *** nbdead (%): 5.77 | 0.00 | 0.00 *** AGB (t/ha): 230.00 GPP (MgC/ha/yr) 39.42 NPP 15.81 litterfall (Mg/ha/yr) 5.98
751 Trees (1/ha): 5099.00 | 575.00 | 113.00 *** nbdead (%): 5.86 | 0.00 | 0.00 *** AGB (t/ha): 231.00 GPP (MgC/ha/yr) 42.61 NPP 17.56 litterfall (Mg/ha/yr) 5.99
752 Trees (1/ha): 5072.00 | 575.00 | 114.00 *** nbdead (%): 5.68 | 0.00 | 0.00 *** AGB (t/ha): 231.00 GPP (MgC/ha/yr) 45.27 NPP 18.74 litterfall (Mg/ha/yr) 6.00
753 Trees (1/ha): 5128.00 | 574.00 | 114.00 *** nbdead (%): 3.72 | 0.17 | 0.00 *** AGB (t/ha): 232.00 GPP (MgC/ha/yr) 45.68 NPP 18.50 litterfall (Mg/ha/yr) 6.02
754 Trees (1/ha): 5148.00 | 573.00 | 115.00 *** nbdead (%): 2.93 | 0.17 | 0.00 *** AGB (t/ha): 232.00 GPP (MgC/ha/yr) 43.56 NPP 17.36 litterfall (Mg/ha/yr) 6.05
755 Trees (1/ha): 5106.00 | 569.00 | 115.00 *** nbdead (%): 3.31 | 0.70 | 0.00 *** AGB (t/ha): 232.00 GPP (MgC/ha/yr) 36.92 NPP 13.59 litterfall (Mg/ha/yr) 6.06
10000 Seedrain: 50000.00
Trees_mature: 323 Nbseedsadded: 47286 effective: 48613 nbspeciesaffected: 45
756 Trees (1/ha): 4915.00 | 568.00 | 115.00 *** nbdead (%): 7.14 | 0.18 | 0.00 *** AGB (t/ha): 232.00 GPP (MgC/ha/yr) 36.82 NPP 14.02 litterfall (Mg/ha/yr) 6.07
757 Trees (1/ha): 5095.00 | 568.00 | 116.00 *** nbdead (%): 3.51 | 0.00 | 0.00 *** AGB (t/ha): 232.00 GPP (MgC/ha/yr) 35.06 NPP 12.86 litterfall (Mg/ha/yr) 6.07
758 Trees (1/ha): 5101.00 | 568.00 | 116.00 *** nbdead (%): 4.63 | 0.00 | 0.00 *** AGB (t/ha): 233.00 GPP (MgC/ha/yr) 36.19 NPP 13.81 litterfall (Mg/ha/yr) 6.05
759 Trees (1/ha): 5138.00 | 567.00 | 116.00 *** nbdead (%): 4.53 | 0.18 | 0.00 *** AGB (t/ha): 233.00 GPP (MgC/ha/yr) 37.01 NPP 14.19 litterfall (Mg/ha/yr) 6.03
760 Trees (1/ha): 5161.00 | 567.00 | 116.00 *** nbdead (%): 4.34 | 0.18 | 0.00 *** AGB (t/ha): 233.00 GPP (MgC/ha/yr) 36.27 NPP 13.56 litterfall (Mg/ha/yr) 6.01
761 Trees (1/ha): 5116.00 | 566.00 | 116.00 *** nbdead (%): 5.38 | 0.18 | 0.00 *** AGB (t/ha): 233.00 GPP (MgC/ha/yr) 37.65 NPP 14.74 litterfall (Mg/ha/yr) 6.00
762 Trees (1/ha): 5066.00 | 567.00 | 116.00 *** nbdead (%): 6.28 | 0.00 | 0.00 *** AGB (t/ha): 234.00 GPP (MgC/ha/yr) 39.49 NPP 15.82 litterfall (Mg/ha/yr) 6.00
763 Trees (1/ha): 5080.00 | 567.00 | 117.00 *** nbdead (%): 5.83 | 0.00 | 0.00 *** AGB (t/ha): 234.00 GPP (MgC/ha/yr) 42.69 NPP 17.58 litterfall (Mg/ha/yr) 6.00
764 Trees (1/ha): 5065.00 | 568.00 | 119.00 *** nbdead (%): 5.43 | 0.00 | 0.00 *** AGB (t/ha): 235.00 GPP (MgC/ha/yr) 45.36 NPP 18.77 litterfall (Mg/ha/yr) 6.02
765 Trees (1/ha): 5108.00 | 566.00 | 121.00 *** nbdead (%): 4.09 | 0.35 | 0.00 *** AGB (t/ha): 235.00 GPP (MgC/ha/yr) 45.70 NPP 18.49 litterfall (Mg/ha/yr) 6.03
766 Trees (1/ha): 5126.00 | 567.00 | 121.00 *** nbdead (%): 3.26 | 0.00 | 0.00 *** AGB (t/ha): 235.00 GPP (MgC/ha/yr) 43.58 NPP 17.34 litterfall (Mg/ha/yr) 6.06
767 Trees (1/ha): 5096.00 | 567.00 | 121.00 *** nbdead (%): 3.51 | 0.00 | 0.00 *** AGB (t/ha): 236.00 GPP (MgC/ha/yr) 36.97 NPP 13.59 litterfall (Mg/ha/yr) 6.08
10000 Seedrain: 50000.00
Trees_mature: 325 Nbseedsadded: 47243 effective: 48534 nbspeciesaffected: 45
768 Trees (1/ha): 4925.00 | 566.00 | 121.00 *** nbdead (%): 7.19 | 0.35 | 0.00 *** AGB (t/ha): 235.00 GPP (MgC/ha/yr) 36.84 NPP 14.01 litterfall (Mg/ha/yr) 6.08
769 Trees (1/ha): 5086.00 | 566.00 | 121.00 *** nbdead (%): 3.13 | 0.00 | 0.00 *** AGB (t/ha): 236.00 GPP (MgC/ha/yr) 35.09 NPP 12.86 litterfall (Mg/ha/yr) 6.08
770 Trees (1/ha): 5088.00 | 566.00 | 121.00 *** nbdead (%): 4.42 | 0.00 | 0.00 *** AGB (t/ha): 236.00 GPP (MgC/ha/yr) 36.22 NPP 13.80 litterfall (Mg/ha/yr) 6.06
771 Trees (1/ha): 5116.00 | 566.00 | 121.00 *** nbdead (%): 4.57 | 0.00 | 0.00 *** AGB (t/ha): 236.00 GPP (MgC/ha/yr) 37.11 NPP 14.20 litterfall (Mg/ha/yr) 6.04
772 Trees (1/ha): 5135.00 | 565.00 | 121.00 *** nbdead (%): 4.40 | 0.18 | 0.00 *** AGB (t/ha): 237.00 GPP (MgC/ha/yr) 36.37 NPP 13.58 litterfall (Mg/ha/yr) 6.03
773 Trees (1/ha): 5046.00 | 566.00 | 121.00 *** nbdead (%): 6.08 | 0.00 | 0.00 *** AGB (t/ha): 237.00 GPP (MgC/ha/yr) 37.75 NPP 14.76 litterfall (Mg/ha/yr) 6.02
774 Trees (1/ha): 5038.00 | 566.00 | 121.00 *** nbdead (%): 6.31 | 0.00 | 0.00 *** AGB (t/ha): 237.00 GPP (MgC/ha/yr) 39.60 NPP 15.84 litterfall (Mg/ha/yr) 6.02
775 Trees (1/ha): 4996.00 | 564.00 | 121.00 *** nbdead (%): 6.63 | 0.35 | 0.00 *** AGB (t/ha): 238.00 GPP (MgC/ha/yr) 42.77 NPP 17.59 litterfall (Mg/ha/yr) 6.02
776 Trees (1/ha): 5026.00 | 562.00 | 121.00 *** nbdead (%): 5.63 | 0.36 | 0.00 *** AGB (t/ha): 238.00 GPP (MgC/ha/yr) 45.43 NPP 18.77 litterfall (Mg/ha/yr) 6.04
777 Trees (1/ha): 5092.00 | 562.00 | 121.00 *** nbdead (%): 3.65 | 0.00 | 0.00 *** AGB (t/ha): 239.00 GPP (MgC/ha/yr) 45.86 NPP 18.53 litterfall (Mg/ha/yr) 6.06
778 Trees (1/ha): 5135.00 | 560.00 | 121.00 *** nbdead (%): 2.65 | 0.36 | 0.00 *** AGB (t/ha): 239.00 GPP (MgC/ha/yr) 43.73 NPP 17.39 litterfall (Mg/ha/yr) 6.08
779 Trees (1/ha): 5111.00 | 560.00 | 122.00 *** nbdead (%): 2.90 | 0.00 | 0.00 *** AGB (t/ha): 239.00 GPP (MgC/ha/yr) 37.11 NPP 13.62 litterfall (Mg/ha/yr) 6.11
10000 Seedrain: 50000.00
Trees_mature: 323 Nbseedsadded: 47337 effective: 48709 nbspeciesaffected: 45
780 Trees (1/ha): 4906.00 | 561.00 | 122.00 *** nbdead (%): 7.24 | 0.00 | 0.00 *** AGB (t/ha): 240.00 GPP (MgC/ha/yr) 36.95 NPP 14.03 litterfall (Mg/ha/yr) 6.10
781 Trees (1/ha): 5028.00 | 561.00 | 122.00 *** nbdead (%): 3.74 | 0.00 | 0.00 *** AGB (t/ha): 240.00 GPP (MgC/ha/yr) 35.20 NPP 12.87 litterfall (Mg/ha/yr) 6.10
782 Trees (1/ha): 5037.00 | 561.00 | 122.00 *** nbdead (%): 4.71 | 0.18 | 0.00 *** AGB (t/ha): 240.00 GPP (MgC/ha/yr) 36.33 NPP 13.82 litterfall (Mg/ha/yr) 6.08
783 Trees (1/ha): 5045.00 | 560.00 | 121.00 *** nbdead (%): 4.98 | 0.18 | 0.83 *** AGB (t/ha): 240.00 GPP (MgC/ha/yr) 37.10 NPP 14.18 litterfall (Mg/ha/yr) 6.05
784 Trees (1/ha): 5090.00 | 560.00 | 122.00 *** nbdead (%): 4.34 | 0.00 | 0.00 *** AGB (t/ha): 240.00 GPP (MgC/ha/yr) 36.39 NPP 13.56 litterfall (Mg/ha/yr) 6.04
785 Trees (1/ha): 5057.00 | 560.00 | 122.00 *** nbdead (%): 5.62 | 0.00 | 0.00 *** AGB (t/ha): 240.00 GPP (MgC/ha/yr) 37.79 NPP 14.75 litterfall (Mg/ha/yr) 6.03
786 Trees (1/ha): 5017.00 | 559.00 | 122.00 *** nbdead (%): 6.32 | 0.18 | 0.00 *** AGB (t/ha): 241.00 GPP (MgC/ha/yr) 39.62 NPP 15.83 litterfall (Mg/ha/yr) 6.03
787 Trees (1/ha): 5010.00 | 560.00 | 122.00 *** nbdead (%): 6.03 | 0.00 | 0.00 *** AGB (t/ha): 241.00 GPP (MgC/ha/yr) 42.83 NPP 17.59 litterfall (Mg/ha/yr) 6.03
788 Trees (1/ha): 5023.00 | 561.00 | 122.00 *** nbdead (%): 5.24 | 0.00 | 0.00 *** AGB (t/ha): 242.00 GPP (MgC/ha/yr) 45.51 NPP 18.79 litterfall (Mg/ha/yr) 6.05
789 Trees (1/ha): 5055.00 | 561.00 | 122.00 *** nbdead (%): 4.00 | 0.18 | 0.00 *** AGB (t/ha): 242.00 GPP (MgC/ha/yr) 45.90 NPP 18.52 litterfall (Mg/ha/yr) 6.07
790 Trees (1/ha): 5082.00 | 561.00 | 122.00 *** nbdead (%): 3.03 | 0.00 | 0.00 *** AGB (t/ha): 243.00 GPP (MgC/ha/yr) 43.74 NPP 17.36 litterfall (Mg/ha/yr) 6.09
791 Trees (1/ha): 5064.00 | 561.00 | 122.00 *** nbdead (%): 2.96 | 0.00 | 0.00 *** AGB (t/ha): 243.00 GPP (MgC/ha/yr) 37.11 NPP 13.59 litterfall (Mg/ha/yr) 6.11
10000 Seedrain: 50000.00
Trees_mature: 322 Nbseedsadded: 47240 effective: 48573 nbspeciesaffected: 45
792 Trees (1/ha): 4816.00 | 561.00 | 122.00 *** nbdead (%): 8.16 | 0.00 | 0.00 *** AGB (t/ha): 243.00 GPP (MgC/ha/yr) 36.97 NPP 14.02 litterfall (Mg/ha/yr) 6.11
793 Trees (1/ha): 5022.00 | 561.00 | 123.00 *** nbdead (%): 3.44 | 0.00 | 0.00 *** AGB (t/ha): 243.00 GPP (MgC/ha/yr) 35.22 NPP 12.87 litterfall (Mg/ha/yr) 6.11
794 Trees (1/ha): 5008.00 | 560.00 | 124.00 *** nbdead (%): 4.63 | 0.18 | 0.00 *** AGB (t/ha): 244.00 GPP (MgC/ha/yr) 36.34 NPP 13.81 litterfall (Mg/ha/yr) 6.09
795 Trees (1/ha): 5046.00 | 560.00 | 125.00 *** nbdead (%): 4.68 | 0.00 | 0.00 *** AGB (t/ha): 244.00 GPP (MgC/ha/yr) 37.23 NPP 14.21 litterfall (Mg/ha/yr) 6.08
796 Trees (1/ha): 5065.00 | 560.00 | 125.00 *** nbdead (%): 4.24 | 0.18 | 0.00 *** AGB (t/ha): 244.00 GPP (MgC/ha/yr) 36.48 NPP 13.57 litterfall (Mg/ha/yr) 6.06
797 Trees (1/ha): 4976.00 | 560.00 | 125.00 *** nbdead (%): 6.21 | 0.18 | 0.00 *** AGB (t/ha): 244.00 GPP (MgC/ha/yr) 37.87 NPP 14.76 litterfall (Mg/ha/yr) 6.05
798 Trees (1/ha): 4950.00 | 560.00 | 125.00 *** nbdead (%): 6.42 | 0.00 | 0.00 *** AGB (t/ha): 245.00 GPP (MgC/ha/yr) 39.71 NPP 15.84 litterfall (Mg/ha/yr) 6.05
799 Trees (1/ha): 4933.00 | 560.00 | 126.00 *** nbdead (%): 6.39 | 0.00 | 0.00 *** AGB (t/ha): 245.00 GPP (MgC/ha/yr) 42.94 NPP 17.62 litterfall (Mg/ha/yr) 6.05
800 Trees (1/ha): 4939.00 | 560.00 | 127.00 *** nbdead (%): 5.53 | 0.18 | 0.00 *** AGB (t/ha): 246.00 GPP (MgC/ha/yr) 45.62 NPP 18.81 litterfall (Mg/ha/yr) 6.07
801 Trees (1/ha): 5026.00 | 560.00 | 127.00 *** nbdead (%): 3.36 | 0.00 | 0.00 *** AGB (t/ha): 246.00 GPP (MgC/ha/yr) 46.04 NPP 18.57 litterfall (Mg/ha/yr) 6.09
802 Trees (1/ha): 5033.00 | 559.00 | 128.00 *** nbdead (%): 3.02 | 0.36 | 0.00 *** AGB (t/ha): 246.00 GPP (MgC/ha/yr) 43.84 NPP 17.39 litterfall (Mg/ha/yr) 6.11
803 Trees (1/ha): 4987.00 | 557.00 | 128.00 *** nbdead (%): 3.51 | 0.36 | 0.00 *** AGB (t/ha): 247.00 GPP (MgC/ha/yr) 37.16 NPP 13.60 litterfall (Mg/ha/yr) 6.12
10000 Seedrain: 50000.00
Trees_mature: 322 Nbseedsadded: 47338 effective: 48620 nbspeciesaffected: 45
804 Trees (1/ha): 4812.00 | 555.00 | 128.00 *** nbdead (%): 7.42 | 0.36 | 0.00 *** AGB (t/ha): 247.00 GPP (MgC/ha/yr) 37.03 NPP 14.03 litterfall (Mg/ha/yr) 6.13
805 Trees (1/ha): 4978.00 | 555.00 | 129.00 *** nbdead (%): 3.42 | 0.00 | 0.00 *** AGB (t/ha): 247.00 GPP (MgC/ha/yr) 35.27 NPP 12.87 litterfall (Mg/ha/yr) 6.12
806 Trees (1/ha): 4949.00 | 555.00 | 130.00 *** nbdead (%): 5.09 | 0.00 | 0.00 *** AGB (t/ha): 247.00 GPP (MgC/ha/yr) 36.40 NPP 13.82 litterfall (Mg/ha/yr) 6.10
807 Trees (1/ha): 4997.00 | 555.00 | 130.00 *** nbdead (%): 4.40 | 0.00 | 0.00 *** AGB (t/ha): 248.00 GPP (MgC/ha/yr) 37.28 NPP 14.21 litterfall (Mg/ha/yr) 6.08
808 Trees (1/ha): 5025.00 | 556.00 | 130.00 *** nbdead (%): 4.26 | 0.00 | 0.00 *** AGB (t/ha): 248.00 GPP (MgC/ha/yr) 36.54 NPP 13.57 litterfall (Mg/ha/yr) 6.07
809 Trees (1/ha): 4956.00 | 555.00 | 131.00 *** nbdead (%): 5.57 | 0.18 | 0.00 *** AGB (t/ha): 248.00 GPP (MgC/ha/yr) 37.93 NPP 14.77 litterfall (Mg/ha/yr) 6.06
810 Trees (1/ha): 4951.00 | 555.00 | 131.00 *** nbdead (%): 5.96 | 0.00 | 0.00 *** AGB (t/ha): 248.00 GPP (MgC/ha/yr) 39.78 NPP 15.86 litterfall (Mg/ha/yr) 6.06
811 Trees (1/ha): 4906.00 | 555.00 | 131.00 *** nbdead (%): 6.64 | 0.00 | 0.00 *** AGB (t/ha): 249.00 GPP (MgC/ha/yr) 43.00 NPP 17.62 litterfall (Mg/ha/yr) 6.06
812 Trees (1/ha): 4923.00 | 556.00 | 131.00 *** nbdead (%): 5.77 | 0.00 | 0.00 *** AGB (t/ha): 250.00 GPP (MgC/ha/yr) 45.67 NPP 18.81 litterfall (Mg/ha/yr) 6.08
813 Trees (1/ha): 5022.00 | 554.00 | 133.00 *** nbdead (%): 3.27 | 0.36 | 0.00 *** AGB (t/ha): 250.00 GPP (MgC/ha/yr) 46.07 NPP 18.56 litterfall (Mg/ha/yr) 6.09
814 Trees (1/ha): 5020.00 | 555.00 | 133.00 *** nbdead (%): 2.85 | 0.00 | 0.00 *** AGB (t/ha): 250.00 GPP (MgC/ha/yr) 43.90 NPP 17.39 litterfall (Mg/ha/yr) 6.12
815 Trees (1/ha): 4996.00 | 555.00 | 133.00 *** nbdead (%): 3.00 | 0.00 | 0.00 *** AGB (t/ha): 251.00 GPP (MgC/ha/yr) 37.23 NPP 13.60 litterfall (Mg/ha/yr) 6.14
10000 Seedrain: 50000.00
Trees_mature: 324 Nbseedsadded: 47331 effective: 48670 nbspeciesaffected: 45
816 Trees (1/ha): 4793.00 | 554.00 | 133.00 *** nbdead (%): 7.49 | 0.18 | 0.00 *** AGB (t/ha): 251.00 GPP (MgC/ha/yr) 37.09 NPP 14.03 litterfall (Mg/ha/yr) 6.14
817 Trees (1/ha): 4908.00 | 554.00 | 133.00 *** nbdead (%): 4.20 | 0.00 | 0.00 *** AGB (t/ha): 251.00 GPP (MgC/ha/yr) 35.32 NPP 12.86 litterfall (Mg/ha/yr) 6.13
818 Trees (1/ha): 4952.00 | 553.00 | 134.00 *** nbdead (%): 4.28 | 0.18 | 0.00 *** AGB (t/ha): 251.00 GPP (MgC/ha/yr) 36.45 NPP 13.81 litterfall (Mg/ha/yr) 6.12
819 Trees (1/ha): 4919.00 | 552.00 | 133.00 *** nbdead (%): 5.45 | 0.18 | 0.75 *** AGB (t/ha): 251.00 GPP (MgC/ha/yr) 37.24 NPP 14.17 litterfall (Mg/ha/yr) 6.08
820 Trees (1/ha): 4977.00 | 549.00 | 133.00 *** nbdead (%): 4.66 | 0.55 | 0.00 *** AGB (t/ha): 251.00 GPP (MgC/ha/yr) 36.51 NPP 13.56 litterfall (Mg/ha/yr) 6.06
821 Trees (1/ha): 4946.00 | 549.00 | 133.00 *** nbdead (%): 5.72 | 0.00 | 0.00 *** AGB (t/ha): 251.00 GPP (MgC/ha/yr) 37.92 NPP 14.76 litterfall (Mg/ha/yr) 6.05
822 Trees (1/ha): 4928.00 | 547.00 | 134.00 *** nbdead (%): 6.64 | 0.37 | 0.00 *** AGB (t/ha): 251.00 GPP (MgC/ha/yr) 39.75 NPP 15.84 litterfall (Mg/ha/yr) 6.05
823 Trees (1/ha): 4926.00 | 547.00 | 134.00 *** nbdead (%): 6.41 | 0.18 | 0.00 *** AGB (t/ha): 252.00 GPP (MgC/ha/yr) 42.97 NPP 17.60 litterfall (Mg/ha/yr) 6.05
824 Trees (1/ha): 4955.00 | 548.00 | 135.00 *** nbdead (%): 5.37 | 0.00 | 0.00 *** AGB (t/ha): 252.00 GPP (MgC/ha/yr) 45.63 NPP 18.79 litterfall (Mg/ha/yr) 6.07
825 Trees (1/ha): 5013.00 | 547.00 | 136.00 *** nbdead (%): 3.73 | 0.18 | 0.00 *** AGB (t/ha): 253.00 GPP (MgC/ha/yr) 46.04 NPP 18.53 litterfall (Mg/ha/yr) 6.09
826 Trees (1/ha): 5014.00 | 548.00 | 137.00 *** nbdead (%): 2.95 | 0.00 | 0.00 *** AGB (t/ha): 253.00 GPP (MgC/ha/yr) 43.87 NPP 17.37 litterfall (Mg/ha/yr) 6.11
827 Trees (1/ha): 4973.00 | 545.00 | 137.00 *** nbdead (%): 3.42 | 0.55 | 0.00 *** AGB (t/ha): 253.00 GPP (MgC/ha/yr) 37.14 NPP 13.56 litterfall (Mg/ha/yr) 6.12
10000 Seedrain: 50000.00
Trees_mature: 320 Nbseedsadded: 47292 effective: 48615 nbspeciesaffected: 45
828 Trees (1/ha): 4788.00 | 545.00 | 138.00 *** nbdead (%): 7.16 | 0.00 | 0.00 *** AGB (t/ha): 253.00 GPP (MgC/ha/yr) 37.00 NPP 13.98 litterfall (Mg/ha/yr) 6.12
829 Trees (1/ha): 4945.00 | 544.00 | 138.00 *** nbdead (%): 3.46 | 0.18 | 0.00 *** AGB (t/ha): 253.00 GPP (MgC/ha/yr) 35.22 NPP 12.82 litterfall (Mg/ha/yr) 6.11
830 Trees (1/ha): 4921.00 | 544.00 | 139.00 *** nbdead (%): 4.63 | 0.18 | 0.00 *** AGB (t/ha): 253.00 GPP (MgC/ha/yr) 36.38 NPP 13.78 litterfall (Mg/ha/yr) 6.10
831 Trees (1/ha): 4995.00 | 543.00 | 139.00 *** nbdead (%): 4.20 | 0.18 | 0.00 *** AGB (t/ha): 253.00 GPP (MgC/ha/yr) 37.24 NPP 14.16 litterfall (Mg/ha/yr) 6.07
832 Trees (1/ha): 4990.00 | 542.00 | 139.00 *** nbdead (%): 4.53 | 0.18 | 0.00 *** AGB (t/ha): 254.00 GPP (MgC/ha/yr) 36.50 NPP 13.53 litterfall (Mg/ha/yr) 6.06
833 Trees (1/ha): 4942.00 | 542.00 | 139.00 *** nbdead (%): 5.56 | 0.00 | 0.00 *** AGB (t/ha): 254.00 GPP (MgC/ha/yr) 37.88 NPP 14.72 litterfall (Mg/ha/yr) 6.05
834 Trees (1/ha): 4902.00 | 542.00 | 139.00 *** nbdead (%): 6.47 | 0.00 | 0.00 *** AGB (t/ha): 254.00 GPP (MgC/ha/yr) 39.74 NPP 15.81 litterfall (Mg/ha/yr) 6.05
835 Trees (1/ha): 4917.00 | 542.00 | 142.00 *** nbdead (%): 6.00 | 0.00 | 0.00 *** AGB (t/ha): 255.00 GPP (MgC/ha/yr) 42.94 NPP 17.57 litterfall (Mg/ha/yr) 6.05
ABC: Conservation of Traits
ABC: Ground data
ABC: CHM simulation
ABC: Transmittance simulation
ABC: Species outputs
836 Trees (1/ha): 4913.00 | 543.00 | 142.00 *** nbdead (%): 5.35 | 0.00 | 0.00 *** AGB (t/ha): 255.00 GPP (MgC/ha/yr) 45.62 NPP 18.76 litterfall (Mg/ha/yr) 6.07
837 Trees (1/ha): 4962.00 | 543.00 | 144.00 *** nbdead (%): 3.67 | 0.00 | 0.00 *** AGB (t/ha): 256.00 GPP (MgC/ha/yr) 46.02 NPP 18.50 litterfall (Mg/ha/yr) 6.09
838 Trees (1/ha): 4927.00 | 542.00 | 144.00 *** nbdead (%): 3.59 | 0.18 | 0.00 *** AGB (t/ha): 256.00 GPP (MgC/ha/yr) 43.85 NPP 17.35 litterfall (Mg/ha/yr) 6.11
839 Trees (1/ha): 4950.00 | 542.00 | 144.00 *** nbdead (%): 2.34 | 0.00 | 0.00 *** AGB (t/ha): 257.00 GPP (MgC/ha/yr) 37.17 NPP 13.56 litterfall (Mg/ha/yr) 6.13
10000 Seedrain: 50000.00
Trees_mature: 322 Nbseedsadded: 47264 effective: 48634 nbspeciesaffected: 45
840 Trees (1/ha): 4782.00 | 542.00 | 145.00 *** nbdead (%): 7.15 | 0.00 | 0.00 *** AGB (t/ha): 257.00 GPP (MgC/ha/yr) 37.06 NPP 14.00 litterfall (Mg/ha/yr) 6.13
841 Trees (1/ha): 4929.00 | 541.00 | 145.00 *** nbdead (%): 3.21 | 0.18 | 0.00 *** AGB (t/ha): 257.00 GPP (MgC/ha/yr) 35.30 NPP 12.84 litterfall (Mg/ha/yr) 6.12
842 Trees (1/ha): 4941.00 | 541.00 | 145.00 *** nbdead (%): 4.31 | 0.00 | 0.00 *** AGB (t/ha): 257.00 GPP (MgC/ha/yr) 36.44 NPP 13.79 litterfall (Mg/ha/yr) 6.11
843 Trees (1/ha): 4955.00 | 540.00 | 147.00 *** nbdead (%): 4.56 | 0.19 | 0.00 *** AGB (t/ha): 258.00 GPP (MgC/ha/yr) 37.30 NPP 14.18 litterfall (Mg/ha/yr) 6.08
844 Trees (1/ha): 5018.00 | 539.00 | 147.00 *** nbdead (%): 3.59 | 0.19 | 0.00 *** AGB (t/ha): 258.00 GPP (MgC/ha/yr) 36.55 NPP 13.53 litterfall (Mg/ha/yr) 6.07
845 Trees (1/ha): 4903.00 | 537.00 | 148.00 *** nbdead (%): 6.08 | 0.37 | 0.00 *** AGB (t/ha): 258.00 GPP (MgC/ha/yr) 37.94 NPP 14.72 litterfall (Mg/ha/yr) 6.06
846 Trees (1/ha): 4913.00 | 537.00 | 149.00 *** nbdead (%): 5.72 | 0.00 | 0.00 *** AGB (t/ha): 258.00 GPP (MgC/ha/yr) 39.79 NPP 15.81 litterfall (Mg/ha/yr) 6.06
847 Trees (1/ha): 4846.00 | 536.00 | 149.00 *** nbdead (%): 6.83 | 0.19 | 0.00 *** AGB (t/ha): 259.00 GPP (MgC/ha/yr) 42.99 NPP 17.57 litterfall (Mg/ha/yr) 6.06
848 Trees (1/ha): 4858.00 | 537.00 | 149.00 *** nbdead (%): 5.83 | 0.00 | 0.00 *** AGB (t/ha): 259.00 GPP (MgC/ha/yr) 45.67 NPP 18.76 litterfall (Mg/ha/yr) 6.08
849 Trees (1/ha): 4910.00 | 535.00 | 148.00 *** nbdead (%): 3.81 | 0.37 | 0.68 *** AGB (t/ha): 259.00 GPP (MgC/ha/yr) 45.92 NPP 18.44 litterfall (Mg/ha/yr) 6.07
850 Trees (1/ha): 4917.00 | 535.00 | 148.00 *** nbdead (%): 3.13 | 0.00 | 0.00 *** AGB (t/ha): 259.00 GPP (MgC/ha/yr) 43.79 NPP 17.31 litterfall (Mg/ha/yr) 6.09
851 Trees (1/ha): 4925.00 | 535.00 | 149.00 *** nbdead (%): 2.98 | 0.00 | 0.00 *** AGB (t/ha): 259.00 GPP (MgC/ha/yr) 37.14 NPP 13.53 litterfall (Mg/ha/yr) 6.11
10000 Seedrain: 50000.00
Trees_mature: 317 Nbseedsadded: 47323 effective: 48693 nbspeciesaffected: 45
852 Trees (1/ha): 4744.00 | 535.00 | 149.00 *** nbdead (%): 7.19 | 0.00 | 0.00 *** AGB (t/ha): 260.00 GPP (MgC/ha/yr) 37.00 NPP 13.96 litterfall (Mg/ha/yr) 6.12
853 Trees (1/ha): 4908.00 | 533.00 | 149.00 *** nbdead (%): 3.44 | 0.38 | 0.00 *** AGB (t/ha): 259.00 GPP (MgC/ha/yr) 35.23 NPP 12.79 litterfall (Mg/ha/yr) 6.11
854 Trees (1/ha): 4886.00 | 535.00 | 149.00 *** nbdead (%): 4.71 | 0.00 | 0.00 *** AGB (t/ha): 260.00 GPP (MgC/ha/yr) 36.39 NPP 13.75 litterfall (Mg/ha/yr) 6.09
855 Trees (1/ha): 4940.00 | 534.00 | 149.00 *** nbdead (%): 4.11 | 0.19 | 0.00 *** AGB (t/ha): 260.00 GPP (MgC/ha/yr) 37.29 NPP 14.15 litterfall (Mg/ha/yr) 6.08
856 Trees (1/ha): 4957.00 | 533.00 | 149.00 *** nbdead (%): 3.93 | 0.19 | 0.67 *** AGB (t/ha): 260.00 GPP (MgC/ha/yr) 36.42 NPP 13.47 litterfall (Mg/ha/yr) 6.04
857 Trees (1/ha): 4850.00 | 533.00 | 150.00 *** nbdead (%): 6.39 | 0.19 | 0.00 *** AGB (t/ha): 260.00 GPP (MgC/ha/yr) 37.86 NPP 14.69 litterfall (Mg/ha/yr) 6.03
858 Trees (1/ha): 4887.00 | 533.00 | 151.00 *** nbdead (%): 6.22 | 0.00 | 0.00 *** AGB (t/ha): 260.00 GPP (MgC/ha/yr) 39.72 NPP 15.78 litterfall (Mg/ha/yr) 6.04
859 Trees (1/ha): 4906.00 | 533.00 | 151.00 *** nbdead (%): 5.56 | 0.00 | 0.00 *** AGB (t/ha): 261.00 GPP (MgC/ha/yr) 42.94 NPP 17.55 litterfall (Mg/ha/yr) 6.04
860 Trees (1/ha): 4866.00 | 533.00 | 151.00 *** nbdead (%): 5.73 | 0.00 | 0.00 *** AGB (t/ha): 261.00 GPP (MgC/ha/yr) 45.62 NPP 18.74 litterfall (Mg/ha/yr) 6.05
861 Trees (1/ha): 4956.00 | 530.00 | 151.00 *** nbdead (%): 3.43 | 0.57 | 0.66 *** AGB (t/ha): 260.00 GPP (MgC/ha/yr) 45.84 NPP 18.42 litterfall (Mg/ha/yr) 6.05
862 Trees (1/ha): 4945.00 | 530.00 | 151.00 *** nbdead (%): 3.01 | 0.00 | 0.00 *** AGB (t/ha): 261.00 GPP (MgC/ha/yr) 43.72 NPP 17.29 litterfall (Mg/ha/yr) 6.07
863 Trees (1/ha): 4965.00 | 529.00 | 152.00 *** nbdead (%): 2.94 | 0.19 | 0.00 *** AGB (t/ha): 261.00 GPP (MgC/ha/yr) 37.09 NPP 13.53 litterfall (Mg/ha/yr) 6.09
10000 Seedrain: 50000.00
Trees_mature: 314 Nbseedsadded: 47334 effective: 48637 nbspeciesaffected: 45
864 Trees (1/ha): 4765.00 | 530.00 | 152.00 *** nbdead (%): 7.45 | 0.00 | 0.00 *** AGB (t/ha): 261.00 GPP (MgC/ha/yr) 36.97 NPP 13.96 litterfall (Mg/ha/yr) 6.10
865 Trees (1/ha): 4919.00 | 529.00 | 152.00 *** nbdead (%): 3.58 | 0.19 | 0.00 *** AGB (t/ha): 261.00 GPP (MgC/ha/yr) 35.20 NPP 12.80 litterfall (Mg/ha/yr) 6.09
866 Trees (1/ha): 4895.00 | 528.00 | 152.00 *** nbdead (%): 4.98 | 0.19 | 0.00 *** AGB (t/ha): 262.00 GPP (MgC/ha/yr) 36.33 NPP 13.74 litterfall (Mg/ha/yr) 6.07
867 Trees (1/ha): 4957.00 | 528.00 | 152.00 *** nbdead (%): 4.54 | 0.00 | 0.00 *** AGB (t/ha): 262.00 GPP (MgC/ha/yr) 37.21 NPP 14.14 litterfall (Mg/ha/yr) 6.05
868 Trees (1/ha): 4992.00 | 527.00 | 151.00 *** nbdead (%): 4.23 | 0.19 | 0.66 *** AGB (t/ha): 261.00 GPP (MgC/ha/yr) 36.30 NPP 13.44 litterfall (Mg/ha/yr) 6.01
869 Trees (1/ha): 4934.00 | 527.00 | 153.00 *** nbdead (%): 5.57 | 0.00 | 0.00 *** AGB (t/ha): 262.00 GPP (MgC/ha/yr) 37.75 NPP 14.67 litterfall (Mg/ha/yr) 6.00
870 Trees (1/ha): 4961.00 | 527.00 | 153.00 *** nbdead (%): 5.68 | 0.00 | 0.00 *** AGB (t/ha): 262.00 GPP (MgC/ha/yr) 39.62 NPP 15.76 litterfall (Mg/ha/yr) 6.01
871 Trees (1/ha): 4913.00 | 526.00 | 152.00 *** nbdead (%): 6.31 | 0.19 | 0.66 *** AGB (t/ha): 262.00 GPP (MgC/ha/yr) 42.67 NPP 17.46 litterfall (Mg/ha/yr) 5.99
872 Trees (1/ha): 4928.00 | 525.00 | 153.00 *** nbdead (%): 5.46 | 0.19 | 0.00 *** AGB (t/ha): 262.00 GPP (MgC/ha/yr) 45.39 NPP 18.67 litterfall (Mg/ha/yr) 6.00
873 Trees (1/ha): 5006.00 | 525.00 | 153.00 *** nbdead (%): 3.72 | 0.00 | 0.00 *** AGB (t/ha): 263.00 GPP (MgC/ha/yr) 45.81 NPP 18.42 litterfall (Mg/ha/yr) 6.03
874 Trees (1/ha): 4998.00 | 525.00 | 154.00 *** nbdead (%): 3.46 | 0.00 | 0.00 *** AGB (t/ha): 263.00 GPP (MgC/ha/yr) 43.68 NPP 17.28 litterfall (Mg/ha/yr) 6.05
875 Trees (1/ha): 4988.00 | 525.00 | 154.00 *** nbdead (%): 3.09 | 0.00 | 0.00 *** AGB (t/ha): 263.00 GPP (MgC/ha/yr) 37.05 NPP 13.52 litterfall (Mg/ha/yr) 6.07
10000 Seedrain: 50000.00
Trees_mature: 314 Nbseedsadded: 47260 effective: 48578 nbspeciesaffected: 45
876 Trees (1/ha): 4764.00 | 524.00 | 154.00 *** nbdead (%): 7.96 | 0.19 | 0.00 *** AGB (t/ha): 263.00 GPP (MgC/ha/yr) 36.93 NPP 13.95 litterfall (Mg/ha/yr) 6.08
877 Trees (1/ha): 4949.00 | 523.00 | 156.00 *** nbdead (%): 3.68 | 0.19 | 0.00 *** AGB (t/ha): 263.00 GPP (MgC/ha/yr) 35.17 NPP 12.80 litterfall (Mg/ha/yr) 6.07
878 Trees (1/ha): 4946.00 | 523.00 | 157.00 *** nbdead (%): 4.59 | 0.00 | 0.00 *** AGB (t/ha): 264.00 GPP (MgC/ha/yr) 36.32 NPP 13.75 litterfall (Mg/ha/yr) 6.06
879 Trees (1/ha): 5010.00 | 523.00 | 157.00 *** nbdead (%): 4.33 | 0.00 | 0.00 *** AGB (t/ha): 264.00 GPP (MgC/ha/yr) 37.22 NPP 14.16 litterfall (Mg/ha/yr) 6.04
880 Trees (1/ha): 5013.00 | 523.00 | 157.00 *** nbdead (%): 4.41 | 0.00 | 0.00 *** AGB (t/ha): 264.00 GPP (MgC/ha/yr) 36.48 NPP 13.52 litterfall (Mg/ha/yr) 6.03
881 Trees (1/ha): 4969.00 | 521.00 | 157.00 *** nbdead (%): 5.51 | 0.38 | 0.00 *** AGB (t/ha): 265.00 GPP (MgC/ha/yr) 37.86 NPP 14.70 litterfall (Mg/ha/yr) 6.02
882 Trees (1/ha): 4916.00 | 521.00 | 157.00 *** nbdead (%): 6.49 | 0.00 | 0.00 *** AGB (t/ha): 265.00 GPP (MgC/ha/yr) 39.70 NPP 15.79 litterfall (Mg/ha/yr) 6.02
883 Trees (1/ha): 4872.00 | 520.00 | 157.00 *** nbdead (%): 7.14 | 0.19 | 0.00 *** AGB (t/ha): 265.00 GPP (MgC/ha/yr) 42.92 NPP 17.55 litterfall (Mg/ha/yr) 6.02
884 Trees (1/ha): 4943.00 | 520.00 | 157.00 *** nbdead (%): 5.34 | 0.00 | 0.00 *** AGB (t/ha): 266.00 GPP (MgC/ha/yr) 45.61 NPP 18.74 litterfall (Mg/ha/yr) 6.04
885 Trees (1/ha): 5014.00 | 521.00 | 157.00 *** nbdead (%): 3.33 | 0.00 | 0.00 *** AGB (t/ha): 266.00 GPP (MgC/ha/yr) 46.02 NPP 18.48 litterfall (Mg/ha/yr) 6.06
886 Trees (1/ha): 5031.00 | 523.00 | 157.00 *** nbdead (%): 2.62 | 0.00 | 0.00 *** AGB (t/ha): 267.00 GPP (MgC/ha/yr) 43.85 NPP 17.32 litterfall (Mg/ha/yr) 6.09
887 Trees (1/ha): 5002.00 | 523.00 | 157.00 *** nbdead (%): 2.90 | 0.00 | 0.00 *** AGB (t/ha): 267.00 GPP (MgC/ha/yr) 37.20 NPP 13.54 litterfall (Mg/ha/yr) 6.11
10000 Seedrain: 50000.00
Trees_mature: 315 Nbseedsadded: 47415 effective: 48741 nbspeciesaffected: 45
888 Trees (1/ha): 4766.00 | 521.00 | 157.00 *** nbdead (%): 7.83 | 0.38 | 0.00 *** AGB (t/ha): 267.00 GPP (MgC/ha/yr) 37.06 NPP 13.97 litterfall (Mg/ha/yr) 6.11
889 Trees (1/ha): 4918.00 | 521.00 | 157.00 *** nbdead (%): 3.58 | 0.00 | 0.00 *** AGB (t/ha): 268.00 GPP (MgC/ha/yr) 35.29 NPP 12.81 litterfall (Mg/ha/yr) 6.10
890 Trees (1/ha): 4922.00 | 521.00 | 157.00 *** nbdead (%): 4.51 | 0.00 | 0.00 *** AGB (t/ha): 268.00 GPP (MgC/ha/yr) 36.44 NPP 13.77 litterfall (Mg/ha/yr) 6.09
891 Trees (1/ha): 4976.00 | 519.00 | 158.00 *** nbdead (%): 4.36 | 0.39 | 0.00 *** AGB (t/ha): 268.00 GPP (MgC/ha/yr) 37.29 NPP 14.15 litterfall (Mg/ha/yr) 6.06
892 Trees (1/ha): 4980.00 | 519.00 | 158.00 *** nbdead (%): 4.36 | 0.19 | 0.00 *** AGB (t/ha): 268.00 GPP (MgC/ha/yr) 36.54 NPP 13.51 litterfall (Mg/ha/yr) 6.05
893 Trees (1/ha): 4898.00 | 519.00 | 158.00 *** nbdead (%): 6.29 | 0.00 | 0.00 *** AGB (t/ha): 268.00 GPP (MgC/ha/yr) 37.94 NPP 14.70 litterfall (Mg/ha/yr) 6.04
894 Trees (1/ha): 4886.00 | 518.00 | 158.00 *** nbdead (%): 6.12 | 0.19 | 0.00 *** AGB (t/ha): 268.00 GPP (MgC/ha/yr) 39.79 NPP 15.79 litterfall (Mg/ha/yr) 6.04
895 Trees (1/ha): 4887.00 | 518.00 | 158.00 *** nbdead (%): 6.00 | 0.00 | 0.00 *** AGB (t/ha): 269.00 GPP (MgC/ha/yr) 43.01 NPP 17.56 litterfall (Mg/ha/yr) 6.04
896 Trees (1/ha): 4857.00 | 518.00 | 159.00 *** nbdead (%): 6.03 | 0.00 | 0.00 *** AGB (t/ha): 269.00 GPP (MgC/ha/yr) 45.69 NPP 18.74 litterfall (Mg/ha/yr) 6.06
897 Trees (1/ha): 4951.00 | 519.00 | 159.00 *** nbdead (%): 3.76 | 0.00 | 0.00 *** AGB (t/ha): 270.00 GPP (MgC/ha/yr) 46.08 NPP 18.48 litterfall (Mg/ha/yr) 6.08
898 Trees (1/ha): 4963.00 | 519.00 | 160.00 *** nbdead (%): 3.14 | 0.19 | 0.00 *** AGB (t/ha): 270.00 GPP (MgC/ha/yr) 43.92 NPP 17.33 litterfall (Mg/ha/yr) 6.10
899 Trees (1/ha): 4934.00 | 518.00 | 160.00 *** nbdead (%): 3.16 | 0.19 | 0.00 *** AGB (t/ha): 270.00 GPP (MgC/ha/yr) 37.23 NPP 13.53 litterfall (Mg/ha/yr) 6.12
10000 Seedrain: 50000.00
Trees_mature: 316 Nbseedsadded: 47315 effective: 48606 nbspeciesaffected: 45
900 Trees (1/ha): 4693.00 | 517.00 | 160.00 *** nbdead (%): 8.95 | 0.19 | 0.00 *** AGB (t/ha): 271.00 GPP (MgC/ha/yr) 37.09 NPP 13.96 litterfall (Mg/ha/yr) 6.12
901 Trees (1/ha): 4886.00 | 516.00 | 160.00 *** nbdead (%): 3.52 | 0.19 | 0.00 *** AGB (t/ha): 271.00 GPP (MgC/ha/yr) 35.31 NPP 12.80 litterfall (Mg/ha/yr) 6.11
902 Trees (1/ha): 4906.00 | 514.00 | 160.00 *** nbdead (%): 4.63 | 0.39 | 0.00 *** AGB (t/ha): 271.00 GPP (MgC/ha/yr) 36.44 NPP 13.75 litterfall (Mg/ha/yr) 6.09
903 Trees (1/ha): 4931.00 | 513.00 | 160.00 *** nbdead (%): 4.68 | 0.19 | 0.00 *** AGB (t/ha): 271.00 GPP (MgC/ha/yr) 37.32 NPP 14.14 litterfall (Mg/ha/yr) 6.07
904 Trees (1/ha): 4978.00 | 513.00 | 160.00 *** nbdead (%): 4.28 | 0.00 | 0.00 *** AGB (t/ha): 271.00 GPP (MgC/ha/yr) 36.58 NPP 13.50 litterfall (Mg/ha/yr) 6.06
905 Trees (1/ha): 4946.00 | 512.00 | 160.00 *** nbdead (%): 5.14 | 0.20 | 0.00 *** AGB (t/ha): 271.00 GPP (MgC/ha/yr) 37.96 NPP 14.69 litterfall (Mg/ha/yr) 6.05
906 Trees (1/ha): 4874.00 | 511.00 | 161.00 *** nbdead (%): 6.57 | 0.20 | 0.00 *** AGB (t/ha): 271.00 GPP (MgC/ha/yr) 39.79 NPP 15.78 litterfall (Mg/ha/yr) 6.04
907 Trees (1/ha): 4834.00 | 510.00 | 161.00 *** nbdead (%): 7.03 | 0.20 | 0.00 *** AGB (t/ha): 272.00 GPP (MgC/ha/yr) 43.01 NPP 17.54 litterfall (Mg/ha/yr) 6.04
908 Trees (1/ha): 4894.00 | 509.00 | 160.00 *** nbdead (%): 5.62 | 0.20 | 0.62 *** AGB (t/ha): 271.00 GPP (MgC/ha/yr) 45.43 NPP 18.61 litterfall (Mg/ha/yr) 6.02
909 Trees (1/ha): 4952.00 | 509.00 | 160.00 *** nbdead (%): 3.76 | 0.00 | 0.00 *** AGB (t/ha): 272.00 GPP (MgC/ha/yr) 45.89 NPP 18.40 litterfall (Mg/ha/yr) 6.04
910 Trees (1/ha): 5000.00 | 509.00 | 161.00 *** nbdead (%): 3.00 | 0.00 | 0.00 *** AGB (t/ha): 272.00 GPP (MgC/ha/yr) 43.77 NPP 17.27 litterfall (Mg/ha/yr) 6.07
911 Trees (1/ha): 4974.00 | 509.00 | 161.00 *** nbdead (%): 3.14 | 0.20 | 0.00 *** AGB (t/ha): 272.00 GPP (MgC/ha/yr) 37.12 NPP 13.49 litterfall (Mg/ha/yr) 6.09
10000 Seedrain: 50000.00
Trees_mature: 312 Nbseedsadded: 47329 effective: 48614 nbspeciesaffected: 45
912 Trees (1/ha): 4764.00 | 508.00 | 163.00 *** nbdead (%): 7.93 | 0.20 | 0.00 *** AGB (t/ha): 272.00 GPP (MgC/ha/yr) 36.98 NPP 13.93 litterfall (Mg/ha/yr) 6.09
913 Trees (1/ha): 4943.00 | 509.00 | 164.00 *** nbdead (%): 3.52 | 0.00 | 0.00 *** AGB (t/ha): 272.00 GPP (MgC/ha/yr) 35.21 NPP 12.76 litterfall (Mg/ha/yr) 6.08
914 Trees (1/ha): 4910.00 | 508.00 | 164.00 *** nbdead (%): 4.87 | 0.20 | 0.00 *** AGB (t/ha): 273.00 GPP (MgC/ha/yr) 36.33 NPP 13.71 litterfall (Mg/ha/yr) 6.07
915 Trees (1/ha): 4938.00 | 507.00 | 165.00 *** nbdead (%): 4.94 | 0.20 | 0.00 *** AGB (t/ha): 273.00 GPP (MgC/ha/yr) 37.23 NPP 14.11 litterfall (Mg/ha/yr) 6.05
916 Trees (1/ha): 5005.00 | 507.00 | 165.00 *** nbdead (%): 4.10 | 0.00 | 0.00 *** AGB (t/ha): 273.00 GPP (MgC/ha/yr) 36.48 NPP 13.47 litterfall (Mg/ha/yr) 6.03
917 Trees (1/ha): 4906.00 | 505.00 | 164.00 *** nbdead (%): 6.01 | 0.40 | 0.61 *** AGB (t/ha): 272.00 GPP (MgC/ha/yr) 37.74 NPP 14.61 litterfall (Mg/ha/yr) 6.00
918 Trees (1/ha): 4906.00 | 505.00 | 164.00 *** nbdead (%): 5.81 | 0.00 | 0.00 *** AGB (t/ha): 273.00 GPP (MgC/ha/yr) 39.66 NPP 15.74 litterfall (Mg/ha/yr) 6.00
919 Trees (1/ha): 4856.00 | 506.00 | 164.00 *** nbdead (%): 6.90 | 0.00 | 0.00 *** AGB (t/ha): 273.00 GPP (MgC/ha/yr) 42.85 NPP 17.48 litterfall (Mg/ha/yr) 6.01
920 Trees (1/ha): 4902.00 | 505.00 | 164.00 *** nbdead (%): 5.30 | 0.20 | 0.00 *** AGB (t/ha): 274.00 GPP (MgC/ha/yr) 45.53 NPP 18.66 litterfall (Mg/ha/yr) 6.02
921 Trees (1/ha): 4965.00 | 505.00 | 164.00 *** nbdead (%): 3.54 | 0.00 | 0.00 *** AGB (t/ha): 274.00 GPP (MgC/ha/yr) 45.95 NPP 18.42 litterfall (Mg/ha/yr) 6.04
922 Trees (1/ha): 4952.00 | 505.00 | 164.00 *** nbdead (%): 3.49 | 0.00 | 0.00 *** AGB (t/ha): 275.00 GPP (MgC/ha/yr) 43.79 NPP 17.27 litterfall (Mg/ha/yr) 6.07
923 Trees (1/ha): 4941.00 | 503.00 | 164.00 *** nbdead (%): 2.93 | 0.40 | 0.00 *** AGB (t/ha): 274.00 GPP (MgC/ha/yr) 37.13 NPP 13.49 litterfall (Mg/ha/yr) 6.08
10000 Seedrain: 50000.00
Trees_mature: 310 Nbseedsadded: 47253 effective: 48534 nbspeciesaffected: 45
924 Trees (1/ha): 4717.00 | 504.00 | 164.00 *** nbdead (%): 8.03 | 0.00 | 0.00 *** AGB (t/ha): 275.00 GPP (MgC/ha/yr) 36.98 NPP 13.92 litterfall (Mg/ha/yr) 6.09
925 Trees (1/ha): 4899.00 | 504.00 | 164.00 *** nbdead (%): 3.67 | 0.00 | 0.00 *** AGB (t/ha): 275.00 GPP (MgC/ha/yr) 35.22 NPP 12.76 litterfall (Mg/ha/yr) 6.08
926 Trees (1/ha): 4913.00 | 504.00 | 164.00 *** nbdead (%): 4.44 | 0.00 | 0.00 *** AGB (t/ha): 275.00 GPP (MgC/ha/yr) 36.36 NPP 13.71 litterfall (Mg/ha/yr) 6.06
927 Trees (1/ha): 4931.00 | 504.00 | 164.00 *** nbdead (%): 4.79 | 0.00 | 0.00 *** AGB (t/ha): 276.00 GPP (MgC/ha/yr) 37.26 NPP 14.11 litterfall (Mg/ha/yr) 6.05
928 Trees (1/ha): 4965.00 | 503.00 | 163.00 *** nbdead (%): 4.51 | 0.20 | 0.61 *** AGB (t/ha): 275.00 GPP (MgC/ha/yr) 36.31 NPP 13.40 litterfall (Mg/ha/yr) 6.00
929 Trees (1/ha): 4879.00 | 501.00 | 163.00 *** nbdead (%): 6.19 | 0.40 | 0.00 *** AGB (t/ha): 275.00 GPP (MgC/ha/yr) 37.76 NPP 14.63 litterfall (Mg/ha/yr) 5.99
930 Trees (1/ha): 4899.00 | 501.00 | 164.00 *** nbdead (%): 6.61 | 0.00 | 0.00 *** AGB (t/ha): 275.00 GPP (MgC/ha/yr) 39.64 NPP 15.74 litterfall (Mg/ha/yr) 5.99
931 Trees (1/ha): 4906.00 | 501.00 | 164.00 *** nbdead (%): 5.97 | 0.00 | 0.00 *** AGB (t/ha): 275.00 GPP (MgC/ha/yr) 42.86 NPP 17.50 litterfall (Mg/ha/yr) 6.00
932 Trees (1/ha): 4877.00 | 502.00 | 164.00 *** nbdead (%): 6.21 | 0.00 | 0.00 *** AGB (t/ha): 276.00 GPP (MgC/ha/yr) 45.55 NPP 18.69 litterfall (Mg/ha/yr) 6.01
933 Trees (1/ha): 4984.00 | 503.00 | 164.00 *** nbdead (%): 3.21 | 0.20 | 0.00 *** AGB (t/ha): 276.00 GPP (MgC/ha/yr) 45.96 NPP 18.43 litterfall (Mg/ha/yr) 6.03
934 Trees (1/ha): 4969.00 | 502.00 | 163.00 *** nbdead (%): 3.20 | 0.20 | 0.61 *** AGB (t/ha): 276.00 GPP (MgC/ha/yr) 43.65 NPP 17.23 litterfall (Mg/ha/yr) 6.04
935 Trees (1/ha): 4955.00 | 501.00 | 162.00 *** nbdead (%): 3.07 | 0.20 | 0.62 *** AGB (t/ha): 275.00 GPP (MgC/ha/yr) 36.96 NPP 13.45 litterfall (Mg/ha/yr) 6.04
10000 Seedrain: 50000.00
Trees_mature: 305 Nbseedsadded: 47264 effective: 48532 nbspeciesaffected: 45
936 Trees (1/ha): 4744.00 | 501.00 | 161.00 *** nbdead (%): 8.54 | 0.20 | 0.62 *** AGB (t/ha): 274.00 GPP (MgC/ha/yr) 36.69 NPP 13.84 litterfall (Mg/ha/yr) 6.02
937 Trees (1/ha): 4935.00 | 500.00 | 161.00 *** nbdead (%): 3.91 | 0.20 | 0.00 *** AGB (t/ha): 275.00 GPP (MgC/ha/yr) 35.02 NPP 12.75 litterfall (Mg/ha/yr) 6.01
938 Trees (1/ha): 4949.00 | 500.00 | 161.00 *** nbdead (%): 5.05 | 0.00 | 0.00 *** AGB (t/ha): 275.00 GPP (MgC/ha/yr) 36.15 NPP 13.69 litterfall (Mg/ha/yr) 6.00
939 Trees (1/ha): 5010.00 | 500.00 | 161.00 *** nbdead (%): 4.41 | 0.00 | 0.00 *** AGB (t/ha): 275.00 GPP (MgC/ha/yr) 37.04 NPP 14.08 litterfall (Mg/ha/yr) 5.98
940 Trees (1/ha): 5017.00 | 501.00 | 161.00 *** nbdead (%): 4.52 | 0.00 | 0.00 *** AGB (t/ha): 275.00 GPP (MgC/ha/yr) 36.31 NPP 13.45 litterfall (Mg/ha/yr) 5.97
941 Trees (1/ha): 4958.00 | 500.00 | 161.00 *** nbdead (%): 5.87 | 0.20 | 0.00 *** AGB (t/ha): 276.00 GPP (MgC/ha/yr) 37.67 NPP 14.62 litterfall (Mg/ha/yr) 5.95
942 Trees (1/ha): 4915.00 | 500.00 | 161.00 *** nbdead (%): 6.65 | 0.00 | 0.00 *** AGB (t/ha): 276.00 GPP (MgC/ha/yr) 39.53 NPP 15.72 litterfall (Mg/ha/yr) 5.95
943 Trees (1/ha): 4911.00 | 500.00 | 161.00 *** nbdead (%): 6.72 | 0.20 | 0.00 *** AGB (t/ha): 276.00 GPP (MgC/ha/yr) 42.74 NPP 17.48 litterfall (Mg/ha/yr) 5.96
944 Trees (1/ha): 4942.00 | 499.00 | 161.00 *** nbdead (%): 5.26 | 0.20 | 0.00 *** AGB (t/ha): 277.00 GPP (MgC/ha/yr) 45.41 NPP 18.66 litterfall (Mg/ha/yr) 5.97
945 Trees (1/ha): 5023.00 | 499.00 | 161.00 *** nbdead (%): 3.46 | 0.00 | 0.00 *** AGB (t/ha): 277.00 GPP (MgC/ha/yr) 45.84 NPP 18.41 litterfall (Mg/ha/yr) 6.00
946 Trees (1/ha): 5006.00 | 498.00 | 162.00 *** nbdead (%): 3.50 | 0.20 | 0.00 *** AGB (t/ha): 278.00 GPP (MgC/ha/yr) 43.69 NPP 17.26 litterfall (Mg/ha/yr) 6.02
947 Trees (1/ha): 4994.00 | 498.00 | 162.00 *** nbdead (%): 2.96 | 0.00 | 0.00 *** AGB (t/ha): 278.00 GPP (MgC/ha/yr) 37.08 NPP 13.51 litterfall (Mg/ha/yr) 6.04
10000 Seedrain: 50000.00
Trees_mature: 301 Nbseedsadded: 47369 effective: 48565 nbspeciesaffected: 45
948 Trees (1/ha): 4777.00 | 498.00 | 162.00 *** nbdead (%): 8.04 | 0.00 | 0.00 *** AGB (t/ha): 278.00 GPP (MgC/ha/yr) 36.95 NPP 13.94 litterfall (Mg/ha/yr) 6.05
949 Trees (1/ha): 4915.00 | 497.00 | 161.00 *** nbdead (%): 4.07 | 0.20 | 0.62 *** AGB (t/ha): 277.00 GPP (MgC/ha/yr) 34.99 NPP 12.70 litterfall (Mg/ha/yr) 6.01
950 Trees (1/ha): 4934.00 | 496.00 | 161.00 *** nbdead (%): 4.62 | 0.20 | 0.00 *** AGB (t/ha): 277.00 GPP (MgC/ha/yr) 36.17 NPP 13.68 litterfall (Mg/ha/yr) 5.99
951 Trees (1/ha): 5003.00 | 496.00 | 161.00 *** nbdead (%): 4.70 | 0.00 | 0.00 *** AGB (t/ha): 278.00 GPP (MgC/ha/yr) 37.08 NPP 14.09 litterfall (Mg/ha/yr) 5.98
952 Trees (1/ha): 5033.00 | 496.00 | 162.00 *** nbdead (%): 4.43 | 0.00 | 0.00 *** AGB (t/ha): 278.00 GPP (MgC/ha/yr) 36.36 NPP 13.46 litterfall (Mg/ha/yr) 5.96
953 Trees (1/ha): 4982.00 | 495.00 | 162.00 *** nbdead (%): 5.70 | 0.20 | 0.00 *** AGB (t/ha): 278.00 GPP (MgC/ha/yr) 37.73 NPP 14.64 litterfall (Mg/ha/yr) 5.96
954 Trees (1/ha): 4953.00 | 495.00 | 162.00 *** nbdead (%): 6.22 | 0.00 | 0.00 *** AGB (t/ha): 279.00 GPP (MgC/ha/yr) 39.58 NPP 15.72 litterfall (Mg/ha/yr) 5.96
955 Trees (1/ha): 4960.00 | 495.00 | 164.00 *** nbdead (%): 5.95 | 0.00 | 0.00 *** AGB (t/ha): 279.00 GPP (MgC/ha/yr) 42.81 NPP 17.49 litterfall (Mg/ha/yr) 5.96
ABC: Conservation of Traits
ABC: Ground data
ABC: CHM simulation
ABC: Transmittance simulation
ABC: Species outputs
956 Trees (1/ha): 4956.00 | 495.00 | 164.00 *** nbdead (%): 5.55 | 0.00 | 0.00 *** AGB (t/ha): 280.00 GPP (MgC/ha/yr) 45.47 NPP 18.66 litterfall (Mg/ha/yr) 5.98
957 Trees (1/ha): 5008.00 | 496.00 | 165.00 *** nbdead (%): 3.87 | 0.00 | 0.00 *** AGB (t/ha): 280.00 GPP (MgC/ha/yr) 45.90 NPP 18.42 litterfall (Mg/ha/yr) 6.00
958 Trees (1/ha): 4993.00 | 498.00 | 166.00 *** nbdead (%): 3.38 | 0.00 | 0.00 *** AGB (t/ha): 281.00 GPP (MgC/ha/yr) 43.77 NPP 17.28 litterfall (Mg/ha/yr) 6.03
959 Trees (1/ha): 4958.00 | 498.00 | 166.00 *** nbdead (%): 3.39 | 0.20 | 0.00 *** AGB (t/ha): 281.00 GPP (MgC/ha/yr) 37.12 NPP 13.50 litterfall (Mg/ha/yr) 6.05
10000 Seedrain: 50000.00
Trees_mature: 302 Nbseedsadded: 47363 effective: 48619 nbspeciesaffected: 45
960 Trees (1/ha): 4760.00 | 496.00 | 167.00 *** nbdead (%): 7.98 | 0.40 | 0.00 *** AGB (t/ha): 281.00 GPP (MgC/ha/yr) 36.97 NPP 13.92 litterfall (Mg/ha/yr) 6.05
961 Trees (1/ha): 4914.00 | 496.00 | 169.00 *** nbdead (%): 3.72 | 0.00 | 0.00 *** AGB (t/ha): 281.00 GPP (MgC/ha/yr) 35.20 NPP 12.77 litterfall (Mg/ha/yr) 6.04
962 Trees (1/ha): 4972.00 | 495.00 | 169.00 *** nbdead (%): 3.64 | 0.20 | 0.00 *** AGB (t/ha): 281.00 GPP (MgC/ha/yr) 36.32 NPP 13.72 litterfall (Mg/ha/yr) 6.03
963 Trees (1/ha): 4975.00 | 495.00 | 170.00 *** nbdead (%): 4.42 | 0.00 | 0.00 *** AGB (t/ha): 282.00 GPP (MgC/ha/yr) 37.21 NPP 14.11 litterfall (Mg/ha/yr) 6.01
964 Trees (1/ha): 5001.00 | 495.00 | 170.00 *** nbdead (%): 3.98 | 0.00 | 0.00 *** AGB (t/ha): 282.00 GPP (MgC/ha/yr) 36.47 NPP 13.48 litterfall (Mg/ha/yr) 6.00
965 Trees (1/ha): 4880.00 | 494.00 | 170.00 *** nbdead (%): 6.68 | 0.20 | 0.00 *** AGB (t/ha): 282.00 GPP (MgC/ha/yr) 37.87 NPP 14.67 litterfall (Mg/ha/yr) 5.99
966 Trees (1/ha): 4912.00 | 495.00 | 171.00 *** nbdead (%): 6.07 | 0.00 | 0.00 *** AGB (t/ha): 282.00 GPP (MgC/ha/yr) 39.71 NPP 15.75 litterfall (Mg/ha/yr) 5.99
967 Trees (1/ha): 4862.00 | 495.00 | 171.00 *** nbdead (%): 7.05 | 0.20 | 0.58 *** AGB (t/ha): 282.00 GPP (MgC/ha/yr) 42.81 NPP 17.47 litterfall (Mg/ha/yr) 5.98
968 Trees (1/ha): 4885.00 | 496.00 | 171.00 *** nbdead (%): 5.77 | 0.00 | 0.00 *** AGB (t/ha): 283.00 GPP (MgC/ha/yr) 45.53 NPP 18.68 litterfall (Mg/ha/yr) 5.99
969 Trees (1/ha): 4994.00 | 497.00 | 173.00 *** nbdead (%): 3.28 | 0.00 | 0.00 *** AGB (t/ha): 283.00 GPP (MgC/ha/yr) 45.97 NPP 18.44 litterfall (Mg/ha/yr) 6.02
970 Trees (1/ha): 4986.00 | 497.00 | 173.00 *** nbdead (%): 3.27 | 0.00 | 0.00 *** AGB (t/ha): 284.00 GPP (MgC/ha/yr) 43.82 NPP 17.28 litterfall (Mg/ha/yr) 6.04
971 Trees (1/ha): 4984.00 | 496.00 | 172.00 *** nbdead (%): 2.87 | 0.20 | 0.58 *** AGB (t/ha): 283.00 GPP (MgC/ha/yr) 37.06 NPP 13.46 litterfall (Mg/ha/yr) 6.04
10000 Seedrain: 50000.00
Trees_mature: 300 Nbseedsadded: 47312 effective: 48558 nbspeciesaffected: 45
972 Trees (1/ha): 4765.00 | 495.00 | 172.00 *** nbdead (%): 8.00 | 0.20 | 0.00 *** AGB (t/ha): 283.00 GPP (MgC/ha/yr) 36.95 NPP 13.92 litterfall (Mg/ha/yr) 6.05
973 Trees (1/ha): 4942.00 | 495.00 | 173.00 *** nbdead (%): 3.52 | 0.00 | 0.00 *** AGB (t/ha): 284.00 GPP (MgC/ha/yr) 35.20 NPP 12.76 litterfall (Mg/ha/yr) 6.04
974 Trees (1/ha): 4940.00 | 494.00 | 173.00 *** nbdead (%): 4.66 | 0.20 | 0.00 *** AGB (t/ha): 284.00 GPP (MgC/ha/yr) 36.32 NPP 13.71 litterfall (Mg/ha/yr) 6.02
975 Trees (1/ha): 5002.00 | 492.00 | 173.00 *** nbdead (%): 4.22 | 0.41 | 0.00 *** AGB (t/ha): 284.00 GPP (MgC/ha/yr) 37.19 NPP 14.10 litterfall (Mg/ha/yr) 6.00
976 Trees (1/ha): 4989.00 | 491.00 | 172.00 *** nbdead (%): 4.87 | 0.20 | 0.58 *** AGB (t/ha): 283.00 GPP (MgC/ha/yr) 36.35 NPP 13.42 litterfall (Mg/ha/yr) 5.97
977 Trees (1/ha): 4962.00 | 490.00 | 172.00 *** nbdead (%): 5.42 | 0.41 | 0.00 *** AGB (t/ha): 283.00 GPP (MgC/ha/yr) 37.77 NPP 14.64 litterfall (Mg/ha/yr) 5.95
978 Trees (1/ha): 4935.00 | 490.00 | 172.00 *** nbdead (%): 6.42 | 0.00 | 0.00 *** AGB (t/ha): 283.00 GPP (MgC/ha/yr) 39.62 NPP 15.73 litterfall (Mg/ha/yr) 5.95
979 Trees (1/ha): 4924.00 | 490.00 | 172.00 *** nbdead (%): 6.36 | 0.00 | 0.00 *** AGB (t/ha): 284.00 GPP (MgC/ha/yr) 42.84 NPP 17.49 litterfall (Mg/ha/yr) 5.96
980 Trees (1/ha): 4916.00 | 490.00 | 172.00 *** nbdead (%): 5.90 | 0.00 | 0.00 *** AGB (t/ha): 284.00 GPP (MgC/ha/yr) 45.50 NPP 18.65 litterfall (Mg/ha/yr) 5.97
981 Trees (1/ha): 4984.00 | 491.00 | 172.00 *** nbdead (%): 3.79 | 0.00 | 0.00 *** AGB (t/ha): 285.00 GPP (MgC/ha/yr) 45.92 NPP 18.40 litterfall (Mg/ha/yr) 5.99
982 Trees (1/ha): 4957.00 | 491.00 | 172.00 *** nbdead (%): 3.81 | 0.00 | 0.00 *** AGB (t/ha): 285.00 GPP (MgC/ha/yr) 43.76 NPP 17.25 litterfall (Mg/ha/yr) 6.02
983 Trees (1/ha): 4955.00 | 491.00 | 172.00 *** nbdead (%): 2.87 | 0.00 | 0.00 *** AGB (t/ha): 285.00 GPP (MgC/ha/yr) 37.13 NPP 13.49 litterfall (Mg/ha/yr) 6.04
10000 Seedrain: 50000.00
Trees_mature: 301 Nbseedsadded: 47305 effective: 48517 nbspeciesaffected: 45
984 Trees (1/ha): 4752.00 | 489.00 | 172.00 *** nbdead (%): 7.72 | 0.41 | 0.00 *** AGB (t/ha): 285.00 GPP (MgC/ha/yr) 36.98 NPP 13.92 litterfall (Mg/ha/yr) 6.04
985 Trees (1/ha): 4918.00 | 488.00 | 172.00 *** nbdead (%): 3.52 | 0.20 | 0.00 *** AGB (t/ha): 285.00 GPP (MgC/ha/yr) 35.22 NPP 12.76 litterfall (Mg/ha/yr) 6.03
986 Trees (1/ha): 4930.00 | 488.00 | 172.00 *** nbdead (%): 4.32 | 0.00 | 0.00 *** AGB (t/ha): 286.00 GPP (MgC/ha/yr) 36.35 NPP 13.71 litterfall (Mg/ha/yr) 6.02
987 Trees (1/ha): 4949.00 | 488.00 | 172.00 *** nbdead (%): 5.07 | 0.00 | 0.00 *** AGB (t/ha): 286.00 GPP (MgC/ha/yr) 37.23 NPP 14.10 litterfall (Mg/ha/yr) 6.00
988 Trees (1/ha): 5011.00 | 488.00 | 172.00 *** nbdead (%): 4.25 | 0.00 | 0.00 *** AGB (t/ha): 286.00 GPP (MgC/ha/yr) 36.49 NPP 13.47 litterfall (Mg/ha/yr) 5.99
989 Trees (1/ha): 4884.00 | 487.00 | 171.00 *** nbdead (%): 6.82 | 0.21 | 0.58 *** AGB (t/ha): 284.00 GPP (MgC/ha/yr) 37.64 NPP 14.57 litterfall (Mg/ha/yr) 5.95
990 Trees (1/ha): 4895.00 | 487.00 | 172.00 *** nbdead (%): 6.29 | 0.00 | 0.00 *** AGB (t/ha): 284.00 GPP (MgC/ha/yr) 39.58 NPP 15.72 litterfall (Mg/ha/yr) 5.95
991 Trees (1/ha): 4928.00 | 485.00 | 172.00 *** nbdead (%): 6.68 | 0.41 | 0.00 *** AGB (t/ha): 284.00 GPP (MgC/ha/yr) 42.73 NPP 17.46 litterfall (Mg/ha/yr) 5.95
992 Trees (1/ha): 4968.00 | 485.00 | 173.00 *** nbdead (%): 5.19 | 0.00 | 0.00 *** AGB (t/ha): 284.00 GPP (MgC/ha/yr) 45.42 NPP 18.65 litterfall (Mg/ha/yr) 5.96
993 Trees (1/ha): 5030.00 | 485.00 | 173.00 *** nbdead (%): 4.02 | 0.00 | 0.00 *** AGB (t/ha): 285.00 GPP (MgC/ha/yr) 45.85 NPP 18.40 litterfall (Mg/ha/yr) 5.99
994 Trees (1/ha): 5045.00 | 486.00 | 174.00 *** nbdead (%): 3.31 | 0.00 | 0.00 *** AGB (t/ha): 285.00 GPP (MgC/ha/yr) 43.73 NPP 17.27 litterfall (Mg/ha/yr) 6.01
995 Trees (1/ha): 5014.00 | 486.00 | 174.00 *** nbdead (%): 3.17 | 0.00 | 0.00 *** AGB (t/ha): 286.00 GPP (MgC/ha/yr) 37.09 NPP 13.49 litterfall (Mg/ha/yr) 6.04
10000 Seedrain: 50000.00
Trees_mature: 299 Nbseedsadded: 47338 effective: 48561 nbspeciesaffected: 45
996 Trees (1/ha): 4766.00 | 485.00 | 173.00 *** nbdead (%): 8.58 | 0.41 | 0.58 *** AGB (t/ha): 285.00 GPP (MgC/ha/yr) 36.79 NPP 13.86 litterfall (Mg/ha/yr) 6.01
997 Trees (1/ha): 4926.00 | 485.00 | 173.00 *** nbdead (%): 3.84 | 0.00 | 0.00 *** AGB (t/ha): 285.00 GPP (MgC/ha/yr) 35.09 NPP 12.74 litterfall (Mg/ha/yr) 6.01
998 Trees (1/ha): 4985.00 | 484.00 | 172.00 *** nbdead (%): 4.21 | 0.21 | 0.58 *** AGB (t/ha): 285.00 GPP (MgC/ha/yr) 36.08 NPP 13.63 litterfall (Mg/ha/yr) 5.98
999 Trees (1/ha): 5044.00 | 484.00 | 172.00 *** nbdead (%): 4.44 | 0.00 | 0.00 *** AGB (t/ha): 285.00 GPP (MgC/ha/yr) 37.01 NPP 14.05 litterfall (Mg/ha/yr) 5.96
1000 Trees (1/ha): 5100.00 | 484.00 | 172.00 *** nbdead (%): 4.22 | 0.00 | 0.00 *** AGB (t/ha): 285.00 GPP (MgC/ha/yr) 36.29 NPP 13.43 litterfall (Mg/ha/yr) 5.95
1001 Trees (1/ha): 4999.00 | 484.00 | 172.00 *** nbdead (%): 6.10 | 0.00 | 0.00 *** AGB (t/ha): 285.00 GPP (MgC/ha/yr) 37.68 NPP 14.62 litterfall (Mg/ha/yr) 5.95
1002 Trees (1/ha): 5002.00 | 484.00 | 172.00 *** nbdead (%): 6.36 | 0.00 | 0.00 *** AGB (t/ha): 286.00 GPP (MgC/ha/yr) 39.54 NPP 15.71 litterfall (Mg/ha/yr) 5.95
1003 Trees (1/ha): 4939.00 | 484.00 | 173.00 *** nbdead (%): 6.86 | 0.00 | 0.00 *** AGB (t/ha): 286.00 GPP (MgC/ha/yr) 42.76 NPP 17.48 litterfall (Mg/ha/yr) 5.95
1004 Trees (1/ha): 4941.00 | 483.00 | 172.00 *** nbdead (%): 5.95 | 0.21 | 0.58 *** AGB (t/ha): 286.00 GPP (MgC/ha/yr) 45.34 NPP 18.61 litterfall (Mg/ha/yr) 5.95
1005 Trees (1/ha): 5010.00 | 482.00 | 172.00 *** nbdead (%): 4.03 | 0.21 | 0.00 *** AGB (t/ha): 286.00 GPP (MgC/ha/yr) 45.80 NPP 18.38 litterfall (Mg/ha/yr) 5.98
1006 Trees (1/ha): 5013.00 | 481.00 | 172.00 *** nbdead (%): 3.51 | 0.21 | 0.00 *** AGB (t/ha): 286.00 GPP (MgC/ha/yr) 43.69 NPP 17.25 litterfall (Mg/ha/yr) 6.00
1007 Trees (1/ha): 4991.00 | 481.00 | 172.00 *** nbdead (%): 3.05 | 0.00 | 0.00 *** AGB (t/ha): 287.00 GPP (MgC/ha/yr) 37.08 NPP 13.50 litterfall (Mg/ha/yr) 6.03
10000 Seedrain: 50000.00
Trees_mature: 295 Nbseedsadded: 47387 effective: 48594 nbspeciesaffected: 45
1008 Trees (1/ha): 4756.00 | 481.00 | 172.00 *** nbdead (%): 8.45 | 0.00 | 0.00 *** AGB (t/ha): 287.00 GPP (MgC/ha/yr) 36.93 NPP 13.92 litterfall (Mg/ha/yr) 6.03
1009 Trees (1/ha): 4943.00 | 480.00 | 172.00 *** nbdead (%): 3.20 | 0.21 | 0.00 *** AGB (t/ha): 287.00 GPP (MgC/ha/yr) 35.18 NPP 12.77 litterfall (Mg/ha/yr) 6.03
1010 Trees (1/ha): 4927.00 | 480.00 | 172.00 *** nbdead (%): 4.61 | 0.00 | 0.00 *** AGB (t/ha): 287.00 GPP (MgC/ha/yr) 36.31 NPP 13.72 litterfall (Mg/ha/yr) 6.01
1011 Trees (1/ha): 4965.00 | 480.00 | 173.00 *** nbdead (%): 4.51 | 0.00 | 0.00 *** AGB (t/ha): 288.00 GPP (MgC/ha/yr) 37.20 NPP 14.11 litterfall (Mg/ha/yr) 5.99
1012 Trees (1/ha): 4970.00 | 480.00 | 173.00 *** nbdead (%): 4.73 | 0.00 | 0.00 *** AGB (t/ha): 288.00 GPP (MgC/ha/yr) 36.46 NPP 13.48 litterfall (Mg/ha/yr) 5.98
1013 Trees (1/ha): 4904.00 | 479.00 | 173.00 *** nbdead (%): 6.04 | 0.42 | 0.00 *** AGB (t/ha): 288.00 GPP (MgC/ha/yr) 37.81 NPP 14.65 litterfall (Mg/ha/yr) 5.97
1014 Trees (1/ha): 4922.00 | 479.00 | 173.00 *** nbdead (%): 5.65 | 0.00 | 0.00 *** AGB (t/ha): 288.00 GPP (MgC/ha/yr) 39.66 NPP 15.74 litterfall (Mg/ha/yr) 5.96
1015 Trees (1/ha): 4861.00 | 480.00 | 173.00 *** nbdead (%): 6.99 | 0.00 | 0.00 *** AGB (t/ha): 288.00 GPP (MgC/ha/yr) 42.88 NPP 17.51 litterfall (Mg/ha/yr) 5.97
1016 Trees (1/ha): 4900.00 | 481.00 | 174.00 *** nbdead (%): 5.53 | 0.00 | 0.00 *** AGB (t/ha): 289.00 GPP (MgC/ha/yr) 45.56 NPP 18.69 litterfall (Mg/ha/yr) 5.99
1017 Trees (1/ha): 4942.00 | 482.00 | 174.00 *** nbdead (%): 4.17 | 0.00 | 0.00 *** AGB (t/ha): 289.00 GPP (MgC/ha/yr) 45.98 NPP 18.44 litterfall (Mg/ha/yr) 6.01
1018 Trees (1/ha): 4946.00 | 483.00 | 174.00 *** nbdead (%): 3.38 | 0.00 | 0.00 *** AGB (t/ha): 290.00 GPP (MgC/ha/yr) 43.84 NPP 17.29 litterfall (Mg/ha/yr) 6.03
1019 Trees (1/ha): 4931.00 | 483.00 | 174.00 *** nbdead (%): 3.08 | 0.00 | 0.00 *** AGB (t/ha): 290.00 GPP (MgC/ha/yr) 37.19 NPP 13.51 litterfall (Mg/ha/yr) 6.06
10000 Seedrain: 50000.00
Trees_mature: 296 Nbseedsadded: 47261 effective: 48489 nbspeciesaffected: 45
1020 Trees (1/ha): 4721.00 | 483.00 | 175.00 *** nbdead (%): 8.11 | 0.00 | 0.00 *** AGB (t/ha): 290.00 GPP (MgC/ha/yr) 37.04 NPP 13.94 litterfall (Mg/ha/yr) 6.06
1021 Trees (1/ha): 4899.00 | 482.00 | 175.00 *** nbdead (%): 3.02 | 0.21 | 0.00 *** AGB (t/ha): 290.00 GPP (MgC/ha/yr) 35.23 NPP 12.76 litterfall (Mg/ha/yr) 6.05
1022 Trees (1/ha): 4877.00 | 482.00 | 175.00 *** nbdead (%): 4.55 | 0.00 | 0.00 *** AGB (t/ha): 291.00 GPP (MgC/ha/yr) 36.36 NPP 13.71 litterfall (Mg/ha/yr) 6.03
1023 Trees (1/ha): 4954.00 | 481.00 | 176.00 *** nbdead (%): 4.04 | 0.21 | 0.00 *** AGB (t/ha): 291.00 GPP (MgC/ha/yr) 37.24 NPP 14.10 litterfall (Mg/ha/yr) 6.01
1024 Trees (1/ha): 4947.00 | 481.00 | 176.00 *** nbdead (%): 4.71 | 0.00 | 0.00 *** AGB (t/ha): 291.00 GPP (MgC/ha/yr) 36.50 NPP 13.47 litterfall (Mg/ha/yr) 6.00
1025 Trees (1/ha): 4870.00 | 478.00 | 176.00 *** nbdead (%): 6.39 | 0.63 | 0.00 *** AGB (t/ha): 291.00 GPP (MgC/ha/yr) 37.88 NPP 14.66 litterfall (Mg/ha/yr) 5.99
1026 Trees (1/ha): 4865.00 | 478.00 | 176.00 *** nbdead (%): 6.39 | 0.00 | 0.00 *** AGB (t/ha): 291.00 GPP (MgC/ha/yr) 39.74 NPP 15.75 litterfall (Mg/ha/yr) 5.98
1027 Trees (1/ha): 4890.00 | 479.00 | 176.00 *** nbdead (%): 5.85 | 0.00 | 0.00 *** AGB (t/ha): 291.00 GPP (MgC/ha/yr) 42.96 NPP 17.52 litterfall (Mg/ha/yr) 5.99
1028 Trees (1/ha): 4875.00 | 479.00 | 176.00 *** nbdead (%): 5.48 | 0.00 | 0.00 *** AGB (t/ha): 292.00 GPP (MgC/ha/yr) 45.64 NPP 18.70 litterfall (Mg/ha/yr) 6.00
1029 Trees (1/ha): 4966.00 | 478.00 | 176.00 *** nbdead (%): 3.62 | 0.21 | 0.00 *** AGB (t/ha): 292.00 GPP (MgC/ha/yr) 46.05 NPP 18.44 litterfall (Mg/ha/yr) 6.02
1030 Trees (1/ha): 4940.00 | 478.00 | 177.00 *** nbdead (%): 3.58 | 0.00 | 0.00 *** AGB (t/ha): 293.00 GPP (MgC/ha/yr) 43.89 NPP 17.29 litterfall (Mg/ha/yr) 6.05
1031 Trees (1/ha): 4897.00 | 478.00 | 177.00 *** nbdead (%): 3.68 | 0.00 | 0.00 *** AGB (t/ha): 293.00 GPP (MgC/ha/yr) 37.23 NPP 13.51 litterfall (Mg/ha/yr) 6.07
10000 Seedrain: 50000.00
Trees_mature: 293 Nbseedsadded: 47356 effective: 48521 nbspeciesaffected: 45
1032 Trees (1/ha): 4673.00 | 478.00 | 177.00 *** nbdead (%): 8.41 | 0.00 | 0.00 *** AGB (t/ha): 293.00 GPP (MgC/ha/yr) 37.10 NPP 13.94 litterfall (Mg/ha/yr) 6.07
1033 Trees (1/ha): 4860.00 | 478.00 | 177.00 *** nbdead (%): 3.35 | 0.00 | 0.00 *** AGB (t/ha): 294.00 GPP (MgC/ha/yr) 35.32 NPP 12.78 litterfall (Mg/ha/yr) 6.07
1034 Trees (1/ha): 4865.00 | 477.00 | 177.00 *** nbdead (%): 4.77 | 0.21 | 0.00 *** AGB (t/ha): 294.00 GPP (MgC/ha/yr) 36.45 NPP 13.73 litterfall (Mg/ha/yr) 6.05
1035 Trees (1/ha): 4919.00 | 477.00 | 177.00 *** nbdead (%): 4.49 | 0.00 | 0.00 *** AGB (t/ha): 294.00 GPP (MgC/ha/yr) 37.33 NPP 14.12 litterfall (Mg/ha/yr) 6.03
1036 Trees (1/ha): 4897.00 | 478.00 | 177.00 *** nbdead (%): 5.02 | 0.00 | 0.00 *** AGB (t/ha): 294.00 GPP (MgC/ha/yr) 36.60 NPP 13.50 litterfall (Mg/ha/yr) 6.02
1037 Trees (1/ha): 4853.00 | 477.00 | 177.00 *** nbdead (%): 6.04 | 0.21 | 0.00 *** AGB (t/ha): 294.00 GPP (MgC/ha/yr) 37.99 NPP 14.69 litterfall (Mg/ha/yr) 6.01
1038 Trees (1/ha): 4806.00 | 477.00 | 177.00 *** nbdead (%): 6.93 | 0.00 | 0.00 *** AGB (t/ha): 294.00 GPP (MgC/ha/yr) 39.84 NPP 15.77 litterfall (Mg/ha/yr) 6.00
1039 Trees (1/ha): 4809.00 | 476.00 | 178.00 *** nbdead (%): 6.59 | 0.21 | 0.00 *** AGB (t/ha): 295.00 GPP (MgC/ha/yr) 43.07 NPP 17.54 litterfall (Mg/ha/yr) 6.01
1040 Trees (1/ha): 4803.00 | 475.00 | 178.00 *** nbdead (%): 6.18 | 0.21 | 0.00 *** AGB (t/ha): 295.00 GPP (MgC/ha/yr) 45.71 NPP 18.70 litterfall (Mg/ha/yr) 6.02
1041 Trees (1/ha): 4895.00 | 476.00 | 178.00 *** nbdead (%): 3.53 | 0.00 | 0.00 *** AGB (t/ha): 296.00 GPP (MgC/ha/yr) 46.14 NPP 18.46 litterfall (Mg/ha/yr) 6.04
1042 Trees (1/ha): 4927.00 | 476.00 | 179.00 *** nbdead (%): 2.60 | 0.00 | 0.00 *** AGB (t/ha): 296.00 GPP (MgC/ha/yr) 43.97 NPP 17.30 litterfall (Mg/ha/yr) 6.06
1043 Trees (1/ha): 4869.00 | 474.00 | 179.00 *** nbdead (%): 3.45 | 0.42 | 0.00 *** AGB (t/ha): 296.00 GPP (MgC/ha/yr) 37.28 NPP 13.51 litterfall (Mg/ha/yr) 6.08
10000 Seedrain: 50000.00
Trees_mature: 294 Nbseedsadded: 47258 effective: 48474 nbspeciesaffected: 45
1044 Trees (1/ha): 4666.00 | 472.00 | 179.00 *** nbdead (%): 8.29 | 0.42 | 0.00 *** AGB (t/ha): 296.00 GPP (MgC/ha/yr) 37.13 NPP 13.94 litterfall (Mg/ha/yr) 6.08
1045 Trees (1/ha): 4843.00 | 472.00 | 179.00 *** nbdead (%): 3.99 | 0.00 | 0.00 *** AGB (t/ha): 296.00 GPP (MgC/ha/yr) 35.35 NPP 12.77 litterfall (Mg/ha/yr) 6.07
1046 Trees (1/ha): 4856.00 | 472.00 | 179.00 *** nbdead (%): 4.92 | 0.00 | 0.00 *** AGB (t/ha): 296.00 GPP (MgC/ha/yr) 36.48 NPP 13.72 litterfall (Mg/ha/yr) 6.05
1047 Trees (1/ha): 4926.00 | 472.00 | 180.00 *** nbdead (%): 4.18 | 0.00 | 0.00 *** AGB (t/ha): 297.00 GPP (MgC/ha/yr) 37.37 NPP 14.12 litterfall (Mg/ha/yr) 6.04
1048 Trees (1/ha): 4927.00 | 471.00 | 180.00 *** nbdead (%): 4.49 | 0.21 | 0.00 *** AGB (t/ha): 297.00 GPP (MgC/ha/yr) 36.61 NPP 13.48 litterfall (Mg/ha/yr) 6.02
1049 Trees (1/ha): 4863.00 | 471.00 | 180.00 *** nbdead (%): 6.07 | 0.00 | 0.00 *** AGB (t/ha): 297.00 GPP (MgC/ha/yr) 38.00 NPP 14.67 litterfall (Mg/ha/yr) 6.01
1050 Trees (1/ha): 4850.00 | 470.00 | 180.00 *** nbdead (%): 6.45 | 0.21 | 0.00 *** AGB (t/ha): 297.00 GPP (MgC/ha/yr) 39.85 NPP 15.76 litterfall (Mg/ha/yr) 6.00
1051 Trees (1/ha): 4753.00 | 470.00 | 180.00 *** nbdead (%): 7.78 | 0.00 | 0.00 *** AGB (t/ha): 298.00 GPP (MgC/ha/yr) 43.08 NPP 17.53 litterfall (Mg/ha/yr) 6.01
1052 Trees (1/ha): 4780.00 | 470.00 | 180.00 *** nbdead (%): 6.21 | 0.00 | 0.00 *** AGB (t/ha): 298.00 GPP (MgC/ha/yr) 45.78 NPP 18.72 litterfall (Mg/ha/yr) 6.02
1053 Trees (1/ha): 4896.00 | 469.00 | 180.00 *** nbdead (%): 3.25 | 0.21 | 0.00 *** AGB (t/ha): 298.00 GPP (MgC/ha/yr) 46.06 NPP 18.40 litterfall (Mg/ha/yr) 6.03
1054 Trees (1/ha): 4883.00 | 468.00 | 181.00 *** nbdead (%): 3.62 | 0.21 | 0.00 *** AGB (t/ha): 298.00 GPP (MgC/ha/yr) 43.92 NPP 17.27 litterfall (Mg/ha/yr) 6.05
1055 Trees (1/ha): 4894.00 | 469.00 | 181.00 *** nbdead (%): 2.86 | 0.00 | 0.00 *** AGB (t/ha): 299.00 GPP (MgC/ha/yr) 37.25 NPP 13.48 litterfall (Mg/ha/yr) 6.07
10000 Seedrain: 50000.00
Trees_mature: 296 Nbseedsadded: 47293 effective: 48466 nbspeciesaffected: 45
1056 Trees (1/ha): 4722.00 | 468.00 | 181.00 *** nbdead (%): 7.39 | 0.21 | 0.00 *** AGB (t/ha): 299.00 GPP (MgC/ha/yr) 37.12 NPP 13.92 litterfall (Mg/ha/yr) 6.07
1057 Trees (1/ha): 4863.00 | 469.00 | 181.00 *** nbdead (%): 3.48 | 0.00 | 0.00 *** AGB (t/ha): 299.00 GPP (MgC/ha/yr) 35.33 NPP 12.74 litterfall (Mg/ha/yr) 6.07
1058 Trees (1/ha): 4840.00 | 469.00 | 181.00 *** nbdead (%): 5.12 | 0.00 | 0.00 *** AGB (t/ha): 299.00 GPP (MgC/ha/yr) 36.47 NPP 13.71 litterfall (Mg/ha/yr) 6.05
1059 Trees (1/ha): 4875.00 | 469.00 | 181.00 *** nbdead (%): 4.90 | 0.00 | 0.00 *** AGB (t/ha): 299.00 GPP (MgC/ha/yr) 37.36 NPP 14.11 litterfall (Mg/ha/yr) 6.03
1060 Trees (1/ha): 4904.00 | 469.00 | 180.00 *** nbdead (%): 4.61 | 0.21 | 0.56 *** AGB (t/ha): 299.00 GPP (MgC/ha/yr) 36.53 NPP 13.44 litterfall (Mg/ha/yr) 6.00
1061 Trees (1/ha): 4836.00 | 469.00 | 180.00 *** nbdead (%): 6.18 | 0.00 | 0.00 *** AGB (t/ha): 299.00 GPP (MgC/ha/yr) 37.93 NPP 14.64 litterfall (Mg/ha/yr) 5.99
1062 Trees (1/ha): 4835.00 | 468.00 | 179.00 *** nbdead (%): 6.39 | 0.21 | 0.56 *** AGB (t/ha): 299.00 GPP (MgC/ha/yr) 39.72 NPP 15.70 litterfall (Mg/ha/yr) 5.98
1063 Trees (1/ha): 4813.00 | 468.00 | 179.00 *** nbdead (%): 6.54 | 0.00 | 0.00 *** AGB (t/ha): 299.00 GPP (MgC/ha/yr) 42.98 NPP 17.48 litterfall (Mg/ha/yr) 5.98
1064 Trees (1/ha): 4839.00 | 467.00 | 180.00 *** nbdead (%): 5.62 | 0.21 | 0.56 *** AGB (t/ha): 299.00 GPP (MgC/ha/yr) 45.40 NPP 18.56 litterfall (Mg/ha/yr) 5.96
1065 Trees (1/ha): 4908.00 | 467.00 | 180.00 *** nbdead (%): 3.63 | 0.00 | 0.00 *** AGB (t/ha): 299.00 GPP (MgC/ha/yr) 45.90 NPP 18.36 litterfall (Mg/ha/yr) 5.98
1066 Trees (1/ha): 4915.00 | 467.00 | 181.00 *** nbdead (%): 3.78 | 0.21 | 0.00 *** AGB (t/ha): 299.00 GPP (MgC/ha/yr) 43.78 NPP 17.23 litterfall (Mg/ha/yr) 6.01
1067 Trees (1/ha): 4888.00 | 467.00 | 181.00 *** nbdead (%): 3.60 | 0.00 | 0.00 *** AGB (t/ha): 300.00 GPP (MgC/ha/yr) 37.13 NPP 13.46 litterfall (Mg/ha/yr) 6.03
10000 Seedrain: 50000.00
Trees_mature: 293 Nbseedsadded: 47292 effective: 48494 nbspeciesaffected: 45
1068 Trees (1/ha): 4698.00 | 466.00 | 181.00 *** nbdead (%): 8.17 | 0.21 | 0.00 *** AGB (t/ha): 300.00 GPP (MgC/ha/yr) 37.01 NPP 13.90 litterfall (Mg/ha/yr) 6.03
1069 Trees (1/ha): 4866.00 | 466.00 | 181.00 *** nbdead (%): 3.70 | 0.00 | 0.00 *** AGB (t/ha): 300.00 GPP (MgC/ha/yr) 35.25 NPP 12.74 litterfall (Mg/ha/yr) 6.03
1070 Trees (1/ha): 4876.00 | 467.00 | 182.00 *** nbdead (%): 4.70 | 0.00 | 0.00 *** AGB (t/ha): 300.00 GPP (MgC/ha/yr) 36.38 NPP 13.69 litterfall (Mg/ha/yr) 6.01
1071 Trees (1/ha): 4916.00 | 467.00 | 182.00 *** nbdead (%): 4.62 | 0.00 | 0.00 *** AGB (t/ha): 301.00 GPP (MgC/ha/yr) 37.28 NPP 14.09 litterfall (Mg/ha/yr) 6.00
1072 Trees (1/ha): 4912.00 | 466.00 | 182.00 *** nbdead (%): 5.13 | 0.21 | 0.00 *** AGB (t/ha): 301.00 GPP (MgC/ha/yr) 36.53 NPP 13.45 litterfall (Mg/ha/yr) 5.98
1073 Trees (1/ha): 4853.00 | 465.00 | 182.00 *** nbdead (%): 6.33 | 0.22 | 0.00 *** AGB (t/ha): 301.00 GPP (MgC/ha/yr) 37.91 NPP 14.64 litterfall (Mg/ha/yr) 5.97
1074 Trees (1/ha): 4858.00 | 465.00 | 182.00 *** nbdead (%): 6.18 | 0.00 | 0.00 *** AGB (t/ha): 301.00 GPP (MgC/ha/yr) 39.78 NPP 15.73 litterfall (Mg/ha/yr) 5.97
1075 Trees (1/ha): 4816.00 | 465.00 | 182.00 *** nbdead (%): 6.75 | 0.00 | 0.00 *** AGB (t/ha): 302.00 GPP (MgC/ha/yr) 43.00 NPP 17.50 litterfall (Mg/ha/yr) 5.97
ABC: Conservation of Traits
ABC: Ground data
ABC: CHM simulation
ABC: Transmittance simulation
ABC: Species outputs
1076 Trees (1/ha): 4852.00 | 465.00 | 181.00 *** nbdead (%): 5.42 | 0.22 | 0.55 *** AGB (t/ha): 301.00 GPP (MgC/ha/yr) 45.60 NPP 18.64 litterfall (Mg/ha/yr) 5.98
1077 Trees (1/ha): 4899.00 | 465.00 | 181.00 *** nbdead (%): 3.96 | 0.00 | 0.00 *** AGB (t/ha): 302.00 GPP (MgC/ha/yr) 46.04 NPP 18.40 litterfall (Mg/ha/yr) 6.00
1078 Trees (1/ha): 4945.00 | 465.00 | 181.00 *** nbdead (%): 2.87 | 0.00 | 0.00 *** AGB (t/ha): 302.00 GPP (MgC/ha/yr) 43.89 NPP 17.26 litterfall (Mg/ha/yr) 6.02
1079 Trees (1/ha): 4946.00 | 465.00 | 181.00 *** nbdead (%): 2.83 | 0.00 | 0.00 *** AGB (t/ha): 302.00 GPP (MgC/ha/yr) 37.23 NPP 13.47 litterfall (Mg/ha/yr) 6.04
10000 Seedrain: 50000.00
Trees_mature: 292 Nbseedsadded: 47302 effective: 48460 nbspeciesaffected: 45
1080 Trees (1/ha): 4685.00 | 464.00 | 181.00 *** nbdead (%): 8.71 | 0.22 | 0.00 *** AGB (t/ha): 302.00 GPP (MgC/ha/yr) 37.08 NPP 13.91 litterfall (Mg/ha/yr) 6.04
1081 Trees (1/ha): 4858.00 | 464.00 | 181.00 *** nbdead (%): 3.73 | 0.00 | 0.00 *** AGB (t/ha): 303.00 GPP (MgC/ha/yr) 35.32 NPP 12.75 litterfall (Mg/ha/yr) 6.04
1082 Trees (1/ha): 4842.00 | 464.00 | 181.00 *** nbdead (%): 5.00 | 0.00 | 0.00 *** AGB (t/ha): 303.00 GPP (MgC/ha/yr) 36.45 NPP 13.71 litterfall (Mg/ha/yr) 6.02
1083 Trees (1/ha): 4909.00 | 463.00 | 181.00 *** nbdead (%): 4.38 | 0.22 | 0.00 *** AGB (t/ha): 303.00 GPP (MgC/ha/yr) 37.34 NPP 14.10 litterfall (Mg/ha/yr) 6.00
1084 Trees (1/ha): 4900.00 | 463.00 | 181.00 *** nbdead (%): 5.14 | 0.00 | 0.00 *** AGB (t/ha): 303.00 GPP (MgC/ha/yr) 36.58 NPP 13.46 litterfall (Mg/ha/yr) 5.99
1085 Trees (1/ha): 4853.00 | 464.00 | 181.00 *** nbdead (%): 5.79 | 0.00 | 0.00 *** AGB (t/ha): 304.00 GPP (MgC/ha/yr) 37.96 NPP 14.64 litterfall (Mg/ha/yr) 5.98
1086 Trees (1/ha): 4829.00 | 464.00 | 181.00 *** nbdead (%): 6.50 | 0.00 | 0.00 *** AGB (t/ha): 304.00 GPP (MgC/ha/yr) 39.84 NPP 15.74 litterfall (Mg/ha/yr) 5.98
1087 Trees (1/ha): 4800.00 | 464.00 | 181.00 *** nbdead (%): 6.75 | 0.00 | 0.00 *** AGB (t/ha): 305.00 GPP (MgC/ha/yr) 43.06 NPP 17.51 litterfall (Mg/ha/yr) 5.98
1088 Trees (1/ha): 4803.00 | 464.00 | 182.00 *** nbdead (%): 6.00 | 0.00 | 0.00 *** AGB (t/ha): 305.00 GPP (MgC/ha/yr) 45.75 NPP 18.69 litterfall (Mg/ha/yr) 6.00
1089 Trees (1/ha): 4841.00 | 464.00 | 182.00 *** nbdead (%): 4.40 | 0.00 | 0.00 *** AGB (t/ha): 306.00 GPP (MgC/ha/yr) 46.17 NPP 18.44 litterfall (Mg/ha/yr) 6.02
1090 Trees (1/ha): 4878.00 | 461.00 | 181.00 *** nbdead (%): 3.12 | 0.65 | 0.55 *** AGB (t/ha): 304.00 GPP (MgC/ha/yr) 43.75 NPP 17.19 litterfall (Mg/ha/yr) 6.01
1091 Trees (1/ha): 4872.00 | 461.00 | 181.00 *** nbdead (%): 2.87 | 0.00 | 0.00 *** AGB (t/ha): 304.00 GPP (MgC/ha/yr) 37.14 NPP 13.45 litterfall (Mg/ha/yr) 6.02
10000 Seedrain: 50000.00
Trees_mature: 289 Nbseedsadded: 47317 effective: 48531 nbspeciesaffected: 45
1092 Trees (1/ha): 4694.00 | 461.00 | 181.00 *** nbdead (%): 7.69 | 0.22 | 0.00 *** AGB (t/ha): 304.00 GPP (MgC/ha/yr) 36.99 NPP 13.87 litterfall (Mg/ha/yr) 6.03
1093 Trees (1/ha): 4867.00 | 461.00 | 181.00 *** nbdead (%): 3.35 | 0.00 | 0.00 *** AGB (t/ha): 305.00 GPP (MgC/ha/yr) 35.22 NPP 12.71 litterfall (Mg/ha/yr) 6.02
1094 Trees (1/ha): 4873.00 | 461.00 | 181.00 *** nbdead (%): 4.41 | 0.00 | 0.00 *** AGB (t/ha): 305.00 GPP (MgC/ha/yr) 36.35 NPP 13.66 litterfall (Mg/ha/yr) 6.00
1095 Trees (1/ha): 4891.00 | 460.00 | 180.00 *** nbdead (%): 4.93 | 0.22 | 0.56 *** AGB (t/ha): 304.00 GPP (MgC/ha/yr) 37.10 NPP 14.01 litterfall (Mg/ha/yr) 5.97
1096 Trees (1/ha): 4917.00 | 459.00 | 180.00 *** nbdead (%): 4.64 | 0.22 | 0.00 *** AGB (t/ha): 304.00 GPP (MgC/ha/yr) 36.41 NPP 13.41 litterfall (Mg/ha/yr) 5.95
1097 Trees (1/ha): 4910.00 | 460.00 | 180.00 *** nbdead (%): 5.48 | 0.00 | 0.00 *** AGB (t/ha): 304.00 GPP (MgC/ha/yr) 37.80 NPP 14.60 litterfall (Mg/ha/yr) 5.95
1098 Trees (1/ha): 4853.00 | 457.00 | 180.00 *** nbdead (%): 6.88 | 0.66 | 0.00 *** AGB (t/ha): 304.00 GPP (MgC/ha/yr) 39.61 NPP 15.68 litterfall (Mg/ha/yr) 5.93
1099 Trees (1/ha): 4853.00 | 456.00 | 180.00 *** nbdead (%): 6.59 | 0.44 | 0.00 *** AGB (t/ha): 304.00 GPP (MgC/ha/yr) 42.84 NPP 17.45 litterfall (Mg/ha/yr) 5.94
1100 Trees (1/ha): 4850.00 | 457.00 | 180.00 *** nbdead (%): 6.16 | 0.00 | 0.00 *** AGB (t/ha): 305.00 GPP (MgC/ha/yr) 45.54 NPP 18.64 litterfall (Mg/ha/yr) 5.96
1101 Trees (1/ha): 4960.00 | 458.00 | 180.00 *** nbdead (%): 3.45 | 0.00 | 0.00 *** AGB (t/ha): 305.00 GPP (MgC/ha/yr) 45.96 NPP 18.39 litterfall (Mg/ha/yr) 5.98
1102 Trees (1/ha): 4953.00 | 456.00 | 179.00 *** nbdead (%): 3.49 | 0.44 | 0.56 *** AGB (t/ha): 304.00 GPP (MgC/ha/yr) 43.65 NPP 17.18 litterfall (Mg/ha/yr) 5.98
1103 Trees (1/ha): 4957.00 | 455.00 | 179.00 *** nbdead (%): 2.78 | 0.22 | 0.00 *** AGB (t/ha): 304.00 GPP (MgC/ha/yr) 37.09 NPP 13.47 litterfall (Mg/ha/yr) 6.00
10000 Seedrain: 50000.00
Trees_mature: 285 Nbseedsadded: 47329 effective: 48535 nbspeciesaffected: 45
1104 Trees (1/ha): 4709.00 | 455.00 | 179.00 *** nbdead (%): 9.05 | 0.00 | 0.00 *** AGB (t/ha): 305.00 GPP (MgC/ha/yr) 36.96 NPP 13.90 litterfall (Mg/ha/yr) 6.00
1105 Trees (1/ha): 4915.00 | 453.00 | 179.00 *** nbdead (%): 3.44 | 0.44 | 0.00 *** AGB (t/ha): 304.00 GPP (MgC/ha/yr) 35.19 NPP 12.74 litterfall (Mg/ha/yr) 6.00
1106 Trees (1/ha): 4918.00 | 452.00 | 179.00 *** nbdead (%): 4.74 | 0.22 | 0.00 *** AGB (t/ha): 305.00 GPP (MgC/ha/yr) 36.31 NPP 13.68 litterfall (Mg/ha/yr) 5.98
1107 Trees (1/ha): 4970.00 | 452.00 | 179.00 *** nbdead (%): 4.49 | 0.00 | 0.00 *** AGB (t/ha): 305.00 GPP (MgC/ha/yr) 37.20 NPP 14.08 litterfall (Mg/ha/yr) 5.96
1108 Trees (1/ha): 4989.00 | 452.00 | 179.00 *** nbdead (%): 4.33 | 0.00 | 0.00 *** AGB (t/ha): 305.00 GPP (MgC/ha/yr) 36.46 NPP 13.45 litterfall (Mg/ha/yr) 5.95
1109 Trees (1/ha): 4918.00 | 451.00 | 179.00 *** nbdead (%): 5.88 | 0.22 | 0.00 *** AGB (t/ha): 305.00 GPP (MgC/ha/yr) 37.85 NPP 14.64 litterfall (Mg/ha/yr) 5.94
1110 Trees (1/ha): 4899.00 | 452.00 | 179.00 *** nbdead (%): 6.23 | 0.00 | 0.00 *** AGB (t/ha): 305.00 GPP (MgC/ha/yr) 39.70 NPP 15.72 litterfall (Mg/ha/yr) 5.94
1111 Trees (1/ha): 4822.00 | 451.00 | 179.00 *** nbdead (%): 7.53 | 0.22 | 0.00 *** AGB (t/ha): 306.00 GPP (MgC/ha/yr) 42.92 NPP 17.48 litterfall (Mg/ha/yr) 5.94
1112 Trees (1/ha): 4885.00 | 451.00 | 178.00 *** nbdead (%): 5.61 | 0.22 | 0.56 *** AGB (t/ha): 305.00 GPP (MgC/ha/yr) 45.44 NPP 18.60 litterfall (Mg/ha/yr) 5.94
1113 Trees (1/ha): 4966.00 | 450.00 | 179.00 *** nbdead (%): 3.62 | 0.22 | 0.00 *** AGB (t/ha): 306.00 GPP (MgC/ha/yr) 45.93 NPP 18.39 litterfall (Mg/ha/yr) 5.96
1114 Trees (1/ha): 4999.00 | 450.00 | 179.00 *** nbdead (%): 2.90 | 0.00 | 0.00 *** AGB (t/ha): 306.00 GPP (MgC/ha/yr) 43.80 NPP 17.26 litterfall (Mg/ha/yr) 5.99
1115 Trees (1/ha): 4957.00 | 449.00 | 179.00 *** nbdead (%): 3.35 | 0.22 | 0.00 *** AGB (t/ha): 306.00 GPP (MgC/ha/yr) 37.07 NPP 13.46 litterfall (Mg/ha/yr) 5.99
10000 Seedrain: 50000.00
Trees_mature: 285 Nbseedsadded: 47395 effective: 48573 nbspeciesaffected: 45
1116 Trees (1/ha): 4752.00 | 449.00 | 180.00 *** nbdead (%): 8.23 | 0.00 | 0.00 *** AGB (t/ha): 306.00 GPP (MgC/ha/yr) 36.96 NPP 13.91 litterfall (Mg/ha/yr) 6.00
1117 Trees (1/ha): 4921.00 | 449.00 | 180.00 *** nbdead (%): 4.13 | 0.00 | 0.00 *** AGB (t/ha): 306.00 GPP (MgC/ha/yr) 35.19 NPP 12.75 litterfall (Mg/ha/yr) 5.99
1118 Trees (1/ha): 4947.00 | 449.00 | 180.00 *** nbdead (%): 4.51 | 0.00 | 0.00 *** AGB (t/ha): 307.00 GPP (MgC/ha/yr) 36.32 NPP 13.69 litterfall (Mg/ha/yr) 5.98
1119 Trees (1/ha): 4973.00 | 448.00 | 180.00 *** nbdead (%): 4.50 | 0.22 | 0.00 *** AGB (t/ha): 307.00 GPP (MgC/ha/yr) 37.20 NPP 14.08 litterfall (Mg/ha/yr) 5.96
1120 Trees (1/ha): 4997.00 | 448.00 | 180.00 *** nbdead (%): 4.02 | 0.00 | 0.00 *** AGB (t/ha): 307.00 GPP (MgC/ha/yr) 36.46 NPP 13.45 litterfall (Mg/ha/yr) 5.95
1121 Trees (1/ha): 4911.00 | 448.00 | 180.00 *** nbdead (%): 5.80 | 0.45 | 0.00 *** AGB (t/ha): 307.00 GPP (MgC/ha/yr) 37.83 NPP 14.63 litterfall (Mg/ha/yr) 5.93
1122 Trees (1/ha): 4879.00 | 448.00 | 180.00 *** nbdead (%): 6.54 | 0.00 | 0.00 *** AGB (t/ha): 307.00 GPP (MgC/ha/yr) 39.69 NPP 15.73 litterfall (Mg/ha/yr) 5.93
1123 Trees (1/ha): 4856.00 | 447.00 | 179.00 *** nbdead (%): 6.65 | 0.22 | 0.56 *** AGB (t/ha): 306.00 GPP (MgC/ha/yr) 42.75 NPP 17.42 litterfall (Mg/ha/yr) 5.91
1124 Trees (1/ha): 4841.00 | 447.00 | 179.00 *** nbdead (%): 6.24 | 0.00 | 0.00 *** AGB (t/ha): 307.00 GPP (MgC/ha/yr) 45.48 NPP 18.63 litterfall (Mg/ha/yr) 5.92
1125 Trees (1/ha): 4944.00 | 447.00 | 179.00 *** nbdead (%): 3.78 | 0.00 | 0.00 *** AGB (t/ha): 307.00 GPP (MgC/ha/yr) 45.91 NPP 18.39 litterfall (Mg/ha/yr) 5.95
1126 Trees (1/ha): 4971.00 | 446.00 | 179.00 *** nbdead (%): 2.90 | 0.22 | 0.00 *** AGB (t/ha): 308.00 GPP (MgC/ha/yr) 43.78 NPP 17.24 litterfall (Mg/ha/yr) 5.97
1127 Trees (1/ha): 4942.00 | 446.00 | 179.00 *** nbdead (%): 3.40 | 0.22 | 0.00 *** AGB (t/ha): 308.00 GPP (MgC/ha/yr) 37.14 NPP 13.48 litterfall (Mg/ha/yr) 5.99
10000 Seedrain: 50000.00
Trees_mature: 284 Nbseedsadded: 47412 effective: 48559 nbspeciesaffected: 45
1128 Trees (1/ha): 4748.00 | 446.00 | 180.00 *** nbdead (%): 7.98 | 0.00 | 0.00 *** AGB (t/ha): 308.00 GPP (MgC/ha/yr) 37.00 NPP 13.92 litterfall (Mg/ha/yr) 5.99
1129 Trees (1/ha): 4896.00 | 446.00 | 180.00 *** nbdead (%): 3.96 | 0.00 | 0.00 *** AGB (t/ha): 308.00 GPP (MgC/ha/yr) 35.23 NPP 12.75 litterfall (Mg/ha/yr) 5.99
1130 Trees (1/ha): 4883.00 | 446.00 | 181.00 *** nbdead (%): 5.04 | 0.22 | 0.00 *** AGB (t/ha): 308.00 GPP (MgC/ha/yr) 36.34 NPP 13.70 litterfall (Mg/ha/yr) 5.97
1131 Trees (1/ha): 4948.00 | 446.00 | 181.00 *** nbdead (%): 4.67 | 0.00 | 0.00 *** AGB (t/ha): 308.00 GPP (MgC/ha/yr) 37.22 NPP 14.08 litterfall (Mg/ha/yr) 5.96
1132 Trees (1/ha): 4953.00 | 444.00 | 181.00 *** nbdead (%): 5.09 | 0.45 | 0.00 *** AGB (t/ha): 308.00 GPP (MgC/ha/yr) 36.48 NPP 13.45 litterfall (Mg/ha/yr) 5.94
1133 Trees (1/ha): 4886.00 | 443.00 | 182.00 *** nbdead (%): 6.51 | 0.23 | 0.00 *** AGB (t/ha): 308.00 GPP (MgC/ha/yr) 37.81 NPP 14.61 litterfall (Mg/ha/yr) 5.92
1134 Trees (1/ha): 4870.00 | 443.00 | 182.00 *** nbdead (%): 6.71 | 0.00 | 0.00 *** AGB (t/ha): 308.00 GPP (MgC/ha/yr) 39.70 NPP 15.73 litterfall (Mg/ha/yr) 5.92
1135 Trees (1/ha): 4884.00 | 443.00 | 182.00 *** nbdead (%): 6.27 | 0.00 | 0.00 *** AGB (t/ha): 309.00 GPP (MgC/ha/yr) 42.91 NPP 17.48 litterfall (Mg/ha/yr) 5.93
1136 Trees (1/ha): 4903.00 | 443.00 | 182.00 *** nbdead (%): 5.65 | 0.23 | 0.00 *** AGB (t/ha): 309.00 GPP (MgC/ha/yr) 45.58 NPP 18.66 litterfall (Mg/ha/yr) 5.94
1137 Trees (1/ha): 4951.00 | 443.00 | 182.00 *** nbdead (%): 4.10 | 0.00 | 0.00 *** AGB (t/ha): 310.00 GPP (MgC/ha/yr) 46.03 NPP 18.42 litterfall (Mg/ha/yr) 5.96
1138 Trees (1/ha): 4954.00 | 443.00 | 182.00 *** nbdead (%): 3.55 | 0.00 | 0.00 *** AGB (t/ha): 310.00 GPP (MgC/ha/yr) 43.89 NPP 17.28 litterfall (Mg/ha/yr) 5.99
1139 Trees (1/ha): 4929.00 | 442.00 | 181.00 *** nbdead (%): 3.23 | 0.23 | 0.55 *** AGB (t/ha): 310.00 GPP (MgC/ha/yr) 37.17 NPP 13.47 litterfall (Mg/ha/yr) 6.00
10000 Seedrain: 50000.00
Trees_mature: 284 Nbseedsadded: 47390 effective: 48540 nbspeciesaffected: 45
1140 Trees (1/ha): 4703.00 | 440.00 | 180.00 *** nbdead (%): 8.04 | 0.45 | 0.56 *** AGB (t/ha): 309.00 GPP (MgC/ha/yr) 36.91 NPP 13.87 litterfall (Mg/ha/yr) 5.98
1141 Trees (1/ha): 4876.00 | 440.00 | 180.00 *** nbdead (%): 3.61 | 0.00 | 0.00 *** AGB (t/ha): 309.00 GPP (MgC/ha/yr) 35.20 NPP 12.75 litterfall (Mg/ha/yr) 5.97
1142 Trees (1/ha): 4893.00 | 440.00 | 180.00 *** nbdead (%): 4.95 | 0.00 | 0.00 *** AGB (t/ha): 309.00 GPP (MgC/ha/yr) 36.33 NPP 13.70 litterfall (Mg/ha/yr) 5.96
1143 Trees (1/ha): 4938.00 | 440.00 | 180.00 *** nbdead (%): 4.92 | 0.00 | 0.00 *** AGB (t/ha): 309.00 GPP (MgC/ha/yr) 37.21 NPP 14.09 litterfall (Mg/ha/yr) 5.94
1144 Trees (1/ha): 4996.00 | 439.00 | 180.00 *** nbdead (%): 4.28 | 0.23 | 0.00 *** AGB (t/ha): 309.00 GPP (MgC/ha/yr) 36.46 NPP 13.46 litterfall (Mg/ha/yr) 5.92
1145 Trees (1/ha): 4910.00 | 439.00 | 180.00 *** nbdead (%): 6.21 | 0.00 | 0.00 *** AGB (t/ha): 310.00 GPP (MgC/ha/yr) 37.83 NPP 14.64 litterfall (Mg/ha/yr) 5.91
1146 Trees (1/ha): 4905.00 | 439.00 | 180.00 *** nbdead (%): 6.61 | 0.00 | 0.00 *** AGB (t/ha): 310.00 GPP (MgC/ha/yr) 39.69 NPP 15.72 litterfall (Mg/ha/yr) 5.91
1147 Trees (1/ha): 4913.00 | 440.00 | 180.00 *** nbdead (%): 6.19 | 0.00 | 0.00 *** AGB (t/ha): 310.00 GPP (MgC/ha/yr) 42.93 NPP 17.50 litterfall (Mg/ha/yr) 5.92
1148 Trees (1/ha): 4940.00 | 440.00 | 180.00 *** nbdead (%): 5.06 | 0.00 | 0.00 *** AGB (t/ha): 311.00 GPP (MgC/ha/yr) 45.60 NPP 18.67 litterfall (Mg/ha/yr) 5.93
1149 Trees (1/ha): 4966.00 | 440.00 | 180.00 *** nbdead (%): 4.25 | 0.23 | 0.00 *** AGB (t/ha): 311.00 GPP (MgC/ha/yr) 46.04 NPP 18.43 litterfall (Mg/ha/yr) 5.95
1150 Trees (1/ha): 4967.00 | 440.00 | 180.00 *** nbdead (%): 3.48 | 0.00 | 0.00 *** AGB (t/ha): 311.00 GPP (MgC/ha/yr) 43.93 NPP 17.30 litterfall (Mg/ha/yr) 5.98
1151 Trees (1/ha): 4932.00 | 441.00 | 180.00 *** nbdead (%): 3.47 | 0.00 | 0.00 *** AGB (t/ha): 312.00 GPP (MgC/ha/yr) 37.28 NPP 13.52 litterfall (Mg/ha/yr) 6.00
10000 Seedrain: 50000.00
Trees_mature: 283 Nbseedsadded: 47298 effective: 48474 nbspeciesaffected: 45
1152 Trees (1/ha): 4733.00 | 441.00 | 180.00 *** nbdead (%): 7.80 | 0.00 | 0.00 *** AGB (t/ha): 312.00 GPP (MgC/ha/yr) 37.12 NPP 13.95 litterfall (Mg/ha/yr) 6.00
ABC: Conservation of Traits
ABC: Ground data
ABC: CHM simulation
ABC: Transmittance simulation
ABC: Species outputs
1153 Trees (1/ha): 4853.00 | 442.00 | 180.00 *** nbdead (%): 4.31 | 0.00 | 0.00 *** AGB (t/ha): 312.00 GPP (MgC/ha/yr) 35.33 NPP 12.78 litterfall (Mg/ha/yr) 6.00
1154 Trees (1/ha): 4868.00 | 442.00 | 180.00 *** nbdead (%): 5.24 | 0.00 | 0.00 *** AGB (t/ha): 312.00 GPP (MgC/ha/yr) 36.43 NPP 13.72 litterfall (Mg/ha/yr) 5.98
1155 Trees (1/ha): 4953.00 | 442.00 | 180.00 *** nbdead (%): 4.46 | 0.00 | 0.00 *** AGB (t/ha): 313.00 GPP (MgC/ha/yr) 37.33 NPP 14.11 litterfall (Mg/ha/yr) 5.96
1156 Trees (1/ha): 4982.00 | 442.00 | 180.00 *** nbdead (%): 4.34 | 0.00 | 0.00 *** AGB (t/ha): 313.00 GPP (MgC/ha/yr) 36.59 NPP 13.49 litterfall (Mg/ha/yr) 5.95
1157 Trees (1/ha): 4929.00 | 442.00 | 180.00 *** nbdead (%): 5.78 | 0.00 | 0.00 *** AGB (t/ha): 313.00 GPP (MgC/ha/yr) 37.97 NPP 14.67 litterfall (Mg/ha/yr) 5.94
1158 Trees (1/ha): 4926.00 | 442.00 | 180.00 *** nbdead (%): 5.81 | 0.00 | 0.00 *** AGB (t/ha): 314.00 GPP (MgC/ha/yr) 39.82 NPP 15.75 litterfall (Mg/ha/yr) 5.94
1159 Trees (1/ha): 4853.00 | 442.00 | 180.00 *** nbdead (%): 6.88 | 0.00 | 0.00 *** AGB (t/ha): 314.00 GPP (MgC/ha/yr) 43.04 NPP 17.52 litterfall (Mg/ha/yr) 5.94
1160 Trees (1/ha): 4859.00 | 443.00 | 180.00 *** nbdead (%): 5.87 | 0.00 | 0.00 *** AGB (t/ha): 314.00 GPP (MgC/ha/yr) 45.73 NPP 18.70 litterfall (Mg/ha/yr) 5.95
1161 Trees (1/ha): 4927.00 | 443.00 | 181.00 *** nbdead (%): 4.14 | 0.00 | 0.00 *** AGB (t/ha): 315.00 GPP (MgC/ha/yr) 46.17 NPP 18.46 litterfall (Mg/ha/yr) 5.97
1162 Trees (1/ha): 4930.00 | 442.00 | 181.00 *** nbdead (%): 3.23 | 0.45 | 0.55 *** AGB (t/ha): 314.00 GPP (MgC/ha/yr) 43.86 NPP 17.25 litterfall (Mg/ha/yr) 5.98
1163 Trees (1/ha): 4893.00 | 442.00 | 181.00 *** nbdead (%): 3.31 | 0.00 | 0.00 *** AGB (t/ha): 314.00 GPP (MgC/ha/yr) 37.25 NPP 13.51 litterfall (Mg/ha/yr) 6.00
10000 Seedrain: 50000.00
Trees_mature: 282 Nbseedsadded: 47305 effective: 48483 nbspeciesaffected: 45
1164 Trees (1/ha): 4731.00 | 440.00 | 181.00 *** nbdead (%): 7.95 | 0.45 | 0.00 *** AGB (t/ha): 314.00 GPP (MgC/ha/yr) 37.09 NPP 13.93 litterfall (Mg/ha/yr) 6.00
1165 Trees (1/ha): 4919.00 | 440.00 | 181.00 *** nbdead (%): 3.50 | 0.00 | 0.00 *** AGB (t/ha): 314.00 GPP (MgC/ha/yr) 35.31 NPP 12.77 litterfall (Mg/ha/yr) 5.99
1166 Trees (1/ha): 4887.00 | 439.00 | 181.00 *** nbdead (%): 5.26 | 0.23 | 0.00 *** AGB (t/ha): 314.00 GPP (MgC/ha/yr) 36.37 NPP 13.69 litterfall (Mg/ha/yr) 5.97
1167 Trees (1/ha): 4959.00 | 439.00 | 180.00 *** nbdead (%): 4.42 | 0.23 | 0.56 *** AGB (t/ha): 313.00 GPP (MgC/ha/yr) 37.09 NPP 14.02 litterfall (Mg/ha/yr) 5.93
1168 Trees (1/ha): 4966.00 | 438.00 | 180.00 *** nbdead (%): 4.89 | 0.23 | 0.00 *** AGB (t/ha): 313.00 GPP (MgC/ha/yr) 36.41 NPP 13.43 litterfall (Mg/ha/yr) 5.92
1169 Trees (1/ha): 4944.00 | 437.00 | 180.00 *** nbdead (%): 6.01 | 0.23 | 0.00 *** AGB (t/ha): 313.00 GPP (MgC/ha/yr) 37.82 NPP 14.62 litterfall (Mg/ha/yr) 5.91
1170 Trees (1/ha): 4952.00 | 437.00 | 180.00 *** nbdead (%): 5.92 | 0.00 | 0.00 *** AGB (t/ha): 313.00 GPP (MgC/ha/yr) 39.68 NPP 15.71 litterfall (Mg/ha/yr) 5.91
1171 Trees (1/ha): 4900.00 | 436.00 | 180.00 *** nbdead (%): 6.80 | 0.23 | 0.00 *** AGB (t/ha): 313.00 GPP (MgC/ha/yr) 42.90 NPP 17.48 litterfall (Mg/ha/yr) 5.91
1172 Trees (1/ha): 4926.00 | 436.00 | 180.00 *** nbdead (%): 5.64 | 0.00 | 0.00 *** AGB (t/ha): 314.00 GPP (MgC/ha/yr) 45.59 NPP 18.66 litterfall (Mg/ha/yr) 5.93
1173 Trees (1/ha): 4974.00 | 436.00 | 180.00 *** nbdead (%): 4.24 | 0.00 | 0.00 *** AGB (t/ha): 314.00 GPP (MgC/ha/yr) 46.00 NPP 18.41 litterfall (Mg/ha/yr) 5.95
1174 Trees (1/ha): 4984.00 | 435.00 | 179.00 *** nbdead (%): 3.47 | 0.23 | 0.56 *** AGB (t/ha): 313.00 GPP (MgC/ha/yr) 43.69 NPP 17.20 litterfall (Mg/ha/yr) 5.96
1175 Trees (1/ha): 4943.00 | 435.00 | 179.00 *** nbdead (%): 3.74 | 0.00 | 0.00 *** AGB (t/ha): 314.00 GPP (MgC/ha/yr) 37.07 NPP 13.44 litterfall (Mg/ha/yr) 5.98
10000 Seedrain: 50000.00
Trees_mature: 279 Nbseedsadded: 47342 effective: 48524 nbspeciesaffected: 45
1176 Trees (1/ha): 4754.00 | 435.00 | 179.00 *** nbdead (%): 8.16 | 0.00 | 0.00 *** AGB (t/ha): 314.00 GPP (MgC/ha/yr) 36.94 NPP 13.88 litterfall (Mg/ha/yr) 5.98
1177 Trees (1/ha): 4919.00 | 436.00 | 179.00 *** nbdead (%): 3.90 | 0.00 | 0.00 *** AGB (t/ha): 314.00 GPP (MgC/ha/yr) 35.17 NPP 12.72 litterfall (Mg/ha/yr) 5.98
1178 Trees (1/ha): 4924.00 | 434.00 | 179.00 *** nbdead (%): 4.91 | 0.46 | 0.00 *** AGB (t/ha): 314.00 GPP (MgC/ha/yr) 36.28 NPP 13.67 litterfall (Mg/ha/yr) 5.96
1179 Trees (1/ha): 4995.00 | 434.00 | 179.00 *** nbdead (%): 4.36 | 0.00 | 0.00 *** AGB (t/ha): 314.00 GPP (MgC/ha/yr) 37.17 NPP 14.06 litterfall (Mg/ha/yr) 5.94
1180 Trees (1/ha): 5019.00 | 432.00 | 179.00 *** nbdead (%): 4.34 | 0.46 | 0.00 *** AGB (t/ha): 314.00 GPP (MgC/ha/yr) 36.43 NPP 13.43 litterfall (Mg/ha/yr) 5.93
1181 Trees (1/ha): 4939.00 | 432.00 | 179.00 *** nbdead (%): 6.09 | 0.00 | 0.00 *** AGB (t/ha): 314.00 GPP (MgC/ha/yr) 37.81 NPP 14.61 litterfall (Mg/ha/yr) 5.92
1182 Trees (1/ha): 4934.00 | 432.00 | 179.00 *** nbdead (%): 6.28 | 0.00 | 0.00 *** AGB (t/ha): 315.00 GPP (MgC/ha/yr) 39.66 NPP 15.70 litterfall (Mg/ha/yr) 5.92
1183 Trees (1/ha): 4899.00 | 432.00 | 179.00 *** nbdead (%): 6.88 | 0.00 | 0.00 *** AGB (t/ha): 315.00 GPP (MgC/ha/yr) 42.88 NPP 17.46 litterfall (Mg/ha/yr) 5.92
1184 Trees (1/ha): 4918.00 | 432.00 | 179.00 *** nbdead (%): 5.86 | 0.00 | 0.00 *** AGB (t/ha): 316.00 GPP (MgC/ha/yr) 45.56 NPP 18.64 litterfall (Mg/ha/yr) 5.94
1185 Trees (1/ha): 4968.00 | 431.00 | 180.00 *** nbdead (%): 4.13 | 0.23 | 0.00 *** AGB (t/ha): 316.00 GPP (MgC/ha/yr) 45.91 NPP 18.36 litterfall (Mg/ha/yr) 5.95
1186 Trees (1/ha): 4975.00 | 432.00 | 180.00 *** nbdead (%): 3.18 | 0.00 | 0.00 *** AGB (t/ha): 316.00 GPP (MgC/ha/yr) 43.78 NPP 17.23 litterfall (Mg/ha/yr) 5.97
1187 Trees (1/ha): 4985.00 | 432.00 | 180.00 *** nbdead (%): 2.97 | 0.00 | 0.00 *** AGB (t/ha): 316.00 GPP (MgC/ha/yr) 37.14 NPP 13.46 litterfall (Mg/ha/yr) 5.99
10000 Seedrain: 50000.00
Trees_mature: 280 Nbseedsadded: 47324 effective: 48514 nbspeciesaffected: 45
1188 Trees (1/ha): 4781.00 | 431.00 | 180.00 *** nbdead (%): 7.82 | 0.23 | 0.00 *** AGB (t/ha): 316.00 GPP (MgC/ha/yr) 37.00 NPP 13.89 litterfall (Mg/ha/yr) 5.99
1189 Trees (1/ha): 4937.00 | 431.00 | 180.00 *** nbdead (%): 3.85 | 0.00 | 0.00 *** AGB (t/ha): 317.00 GPP (MgC/ha/yr) 35.23 NPP 12.73 litterfall (Mg/ha/yr) 5.99
1190 Trees (1/ha): 4925.00 | 430.00 | 180.00 *** nbdead (%): 4.83 | 0.23 | 0.00 *** AGB (t/ha): 317.00 GPP (MgC/ha/yr) 36.35 NPP 13.68 litterfall (Mg/ha/yr) 5.97
1191 Trees (1/ha): 4957.00 | 430.00 | 180.00 *** nbdead (%): 5.00 | 0.00 | 0.00 *** AGB (t/ha): 317.00 GPP (MgC/ha/yr) 37.26 NPP 14.08 litterfall (Mg/ha/yr) 5.96
1192 Trees (1/ha): 4993.00 | 430.00 | 180.00 *** nbdead (%): 4.53 | 0.00 | 0.00 *** AGB (t/ha): 317.00 GPP (MgC/ha/yr) 36.51 NPP 13.45 litterfall (Mg/ha/yr) 5.94
1193 Trees (1/ha): 4909.00 | 428.00 | 180.00 *** nbdead (%): 6.27 | 0.47 | 0.00 *** AGB (t/ha): 317.00 GPP (MgC/ha/yr) 37.85 NPP 14.62 litterfall (Mg/ha/yr) 5.92
1194 Trees (1/ha): 4880.00 | 428.00 | 180.00 *** nbdead (%): 6.66 | 0.00 | 0.00 *** AGB (t/ha): 317.00 GPP (MgC/ha/yr) 39.72 NPP 15.72 litterfall (Mg/ha/yr) 5.92
1195 Trees (1/ha): 4900.00 | 428.00 | 180.00 *** nbdead (%): 6.37 | 0.00 | 0.00 *** AGB (t/ha): 318.00 GPP (MgC/ha/yr) 42.93 NPP 17.47 litterfall (Mg/ha/yr) 5.93
ABC: Conservation of Traits
ABC: Ground data
ABC: CHM simulation
ABC: Transmittance simulation
ABC: Species outputs
1196 Trees (1/ha): 4900.00 | 428.00 | 180.00 *** nbdead (%): 5.78 | 0.00 | 0.00 *** AGB (t/ha): 318.00 GPP (MgC/ha/yr) 45.62 NPP 18.66 litterfall (Mg/ha/yr) 5.94
1197 Trees (1/ha): 4947.00 | 427.00 | 179.00 *** nbdead (%): 4.16 | 0.23 | 0.56 *** AGB (t/ha): 318.00 GPP (MgC/ha/yr) 45.89 NPP 18.33 litterfall (Mg/ha/yr) 5.94
1198 Trees (1/ha): 4978.00 | 426.00 | 179.00 *** nbdead (%): 3.21 | 0.23 | 0.00 *** AGB (t/ha): 318.00 GPP (MgC/ha/yr) 43.76 NPP 17.21 litterfall (Mg/ha/yr) 5.96
1199 Trees (1/ha): 4964.00 | 426.00 | 179.00 *** nbdead (%): 3.38 | 0.00 | 0.00 *** AGB (t/ha): 318.00 GPP (MgC/ha/yr) 37.13 NPP 13.45 litterfall (Mg/ha/yr) 5.98
Simulation ends with 4964 trees.
Writing snapshot of forest to file.
Number of processors : 1
Average computation time : 12.50 seconds.
End of simulation.
[1] "test1_0_death_snapshots.txt" "test1_0_death.txt"
[3] "test1_0_deathrate.txt" "test1_0_final_pattern.txt"
[5] "test1_0_initial_pattern.txt" "test1_0_sumstats_species.txt"
[7] "test1_0_sumstats.txt" "test1_input_climate.txt"
[9] "test1_input_daily.txt" "test1_input_global.txt"
[11] "test1_input_species.txt" "test1_log.txt"
# A tibble: 1,200 × 13
iter sum1 sum10 sum30 ba ba10 agb gpp npp rday rnight rstem
<dbl> <dbl> <dbl> <dbl> <dbl> <dbl> <dbl> <dbl> <dbl> <dbl> <dbl> <dbl>
1 0 9924 0 0 0.743 0 564. 0.962 0.522 0.0485 0.0959 0.000176
2 1 9927 0 0 0.944 0 806. 0.972 0.522 0.0498 0.0997 0.00124
3 2 9926 0 0 1.13 0 1058. 1.04 0.559 0.0527 0.104 0.00173
4 3 9924 0 0 1.32 0 1324. 1.10 0.596 0.0567 0.110 0.00236
5 4 9925 0 0 1.49 0 1592. 1.15 0.611 0.0593 0.119 0.00293
6 5 9925 0 0 1.67 0 1878. 1.22 0.655 0.0618 0.122 0.00352
7 6 9927 0 0 1.85 0 2188. 1.31 0.709 0.0667 0.130 0.00424
8 7 9927 0 0 2.05 0 2534. 1.46 0.791 0.0767 0.140 0.00507
9 8 9922 0 0 2.25 0 2912. 1.61 0.866 0.0865 0.155 0.00625
10 9 9926 0 0 2.46 0 3314. 1.73 0.920 0.0958 0.173 0.00748
# ℹ 1,190 more rows
# ℹ 1 more variable: litterfall <dbl>
Vamos dar uma olhada nas saídas da nossa simulação.




stackUm conjunto de simulações ao mesmo tempo para experimentos virtuais.
# A tibble: 126 × 4
param value description simulation
<chr> <dbl> <chr> <chr>
1 cols 100 /* nb of columns */ seed50000
2 cols 100 /* nb of columns */ seed500
3 rows 100 /* nb of rows */ seed50000
4 rows 100 /* nb of rows */ seed500
5 HEIGHT 70 /* vertical extent of simulation */ seed50000
6 HEIGHT 70 /* vertical extent of simulation */ seed500
7 length_dcell 25 /* linear size of a dcell */ seed50000
8 length_dcell 25 /* linear size of a dcell */ seed500
9 nbiter 12 /* total nb of timesteps */ seed50000
10 nbiter 12 /* total nb of timesteps */ seed500
# ℹ 116 more rows
|
| | 0%
|
|======================================================================| 100%
Object of class : trollstack
Name : teststack
Path :
In memory : TRUE
Number of simulations : 2
Extended : TRUE
From data : FALSE
Lidar simulation : FALSE
Random : FALSE
2D discrete network: horizontal step = 1 m, one tree per 1 m^2
Number of sites : 100 x 100
Number of iterations : 12
Duration of timestep : 30.41667 days
Number of Species : 45

Retomando a partir de uma floresta simulada anteriormente.
col row CrownDisplacement Pmass Nmass LMA wsg Rdark Vcmax
1 0 0 0 0.0004366 0.0206 102.520 0.766 0.93925 35.168
2 13 0 0 0.0005287 0.0193 91.020 0.522 0.91236 35.059
3 14 0 0 0.0005802 0.0193 68.090 0.659 0.82642 29.405
4 15 0 0 0.0003879 0.0150 170.570 0.563 1.10180 48.848
5 36 0 0 0.0005926 0.0184 74.580 0.639 0.85326 31.784
6 38 0 0 0.0005054 0.0255 95.600 0.798 0.96750 35.643
7 39 0 0 0.0004985 0.0189 130.090 0.685 1.05440 44.631
8 42 0 0 0.0004892 0.0155 107.740 0.626 0.93798 38.419
9 43 0 0 0.0003076 0.0130 129.870 0.811 0.91507 35.870
10 44 0 0 0.0011500 0.0207 104.600 0.657 1.13360 55.203
11 53 0 0 0.0004985 0.0189 130.090 0.685 1.05440 44.631
12 57 0 0 0.0007652 0.0360 74.270 0.451 0.98377 35.547
13 59 0 0 0.0006486 0.0174 95.810 0.577 0.95226 39.944
14 64 0 0 0.0004817 0.0150 122.800 0.784 0.98535 42.087
15 66 0 0 0.0003884 0.0163 127.690 0.785 0.97663 39.336
16 67 0 0 0.0011600 0.0232 123.980 0.628 1.25900 62.953
17 76 0 0 0.0006881 0.0188 85.790 0.619 0.92755 37.759
18 78 0 0 0.0008959 0.0278 80.340 0.696 0.99858 40.478
19 79 0 0 0.0010321 0.0328 50.810 0.527 0.86339 30.594
20 80 0 0 0.0005725 0.0289 53.030 0.757 0.79316 24.232
21 81 0 0 0.0005868 0.0276 85.980 0.695 0.95863 35.206
22 82 0 0 0.0008129 0.0217 84.250 0.612 0.96597 40.151
23 83 0 0 0.0010321 0.0328 50.810 0.527 0.86339 30.594
24 85 0 0 0.0003884 0.0163 127.690 0.785 0.97663 39.336
25 88 0 0 0.0006400 0.0258 77.403 0.618 0.91821 33.834
26 90 0 0 0.0013827 0.0276 69.530 0.388 1.01060 44.153
27 91 0 0 0.0005926 0.0184 74.580 0.639 0.85326 31.784
28 99 0 0 0.0006818 0.0163 90.920 0.562 0.93246 39.277
29 12 1 0 0.0005725 0.0289 53.030 0.757 0.79316 24.232
30 19 1 0 0.0008959 0.0278 80.340 0.696 0.99858 40.478
31 25 1 0 0.0005916 0.0253 134.370 0.443 1.16820 49.390
32 26 1 0 0.0005700 0.0232 110.380 0.576 1.03600 41.909
33 28 1 0 0.0006818 0.0163 90.920 0.562 0.93246 39.277
34 34 1 0 0.0008129 0.0217 84.250 0.612 0.96597 40.151
35 35 1 0 0.0006400 0.0258 77.403 0.618 0.91821 33.834
36 36 1 0 0.0005300 0.0184 105.960 0.548 0.96704 39.335
37 38 1 0 0.0008129 0.0217 84.250 0.612 0.96597 40.151
38 39 1 0 0.0004892 0.0155 107.740 0.626 0.93798 38.419
39 40 1 0 0.0004578 0.0151 121.810 0.743 0.97374 40.885
40 56 1 0 0.0006818 0.0163 90.920 0.562 0.93246 39.277
41 62 1 0 0.0013827 0.0276 69.530 0.388 1.01060 44.153
42 63 1 0 0.0004029 0.0131 118.470 0.606 0.92354 37.805
43 70 1 0 0.0006881 0.0188 85.790 0.619 0.92755 37.759
44 74 1 0 0.0005868 0.0276 85.980 0.695 0.95863 35.206
45 75 1 0 0.0005600 0.0204 110.670 0.698 1.01160 41.659
46 82 1 0 0.0005868 0.0276 85.980 0.695 0.95863 35.206
47 84 1 0 0.0006881 0.0188 85.790 0.619 0.92755 37.759
48 85 1 0 0.0006881 0.0188 85.790 0.619 0.92755 37.759
49 89 1 0 0.0005054 0.0255 95.600 0.798 0.96750 35.643
50 92 1 0 0.0005300 0.0184 105.960 0.548 0.96704 39.335
51 96 1 0 0.0004029 0.0131 118.470 0.606 0.92354 37.805
52 97 1 0 0.0006310 0.0240 95.150 0.476 0.99053 39.248
53 2 2 0 0.0003884 0.0163 127.690 0.785 0.97663 39.336
54 8 2 0 0.0013827 0.0276 69.530 0.388 1.01060 44.153
55 9 2 0 0.0013827 0.0276 69.530 0.388 1.01060 44.153
56 14 2 0 0.0006900 0.0243 91.256 0.610 0.98906 39.599
57 33 2 0 0.0005600 0.0204 110.670 0.698 1.01160 41.659
58 49 2 0 0.0013827 0.0276 69.530 0.388 1.01060 44.153
59 50 2 0 0.0016023 0.0260 72.000 0.662 1.04790 48.432
60 54 2 0 0.0010321 0.0328 50.810 0.527 0.86339 30.594
61 55 2 0 0.0003879 0.0150 170.570 0.563 1.10180 48.848
62 57 2 0 0.0006279 0.0221 80.910 0.686 0.91103 34.678
63 61 2 0 0.0005802 0.0193 68.090 0.659 0.82642 29.405
64 65 2 0 0.0006818 0.0163 90.920 0.562 0.93246 39.277
65 69 2 0 0.0005868 0.0276 85.980 0.695 0.95863 35.206
66 79 2 0 0.0010321 0.0328 50.810 0.527 0.86339 30.594
67 80 2 0 0.0005802 0.0193 68.090 0.659 0.82642 29.405
68 84 2 0 0.0013827 0.0276 69.530 0.388 1.01060 44.153
69 90 2 0 0.0005600 0.0204 110.670 0.698 1.01160 41.659
70 92 2 0 0.0003884 0.0163 127.690 0.785 0.97663 39.336
71 0 3 0 0.0006486 0.0174 95.810 0.577 0.95226 39.944
72 1 3 0 0.0005916 0.0253 134.370 0.443 1.16820 49.390
73 7 3 0 0.0006900 0.0243 91.256 0.610 0.98906 39.599
74 8 3 0 0.0005725 0.0289 53.030 0.757 0.79316 24.232
75 14 3 0 0.0006279 0.0221 80.910 0.686 0.91103 34.678
76 21 3 0 0.0006109 0.0211 67.850 0.564 0.84077 30.016
77 36 3 0 0.0011600 0.0232 123.980 0.628 1.25900 62.953
78 40 3 0 0.0011500 0.0207 104.600 0.657 1.13360 55.203
79 41 3 0 0.0007295 0.0235 86.660 0.537 0.97076 39.059
80 48 3 0 0.0003884 0.0163 127.690 0.785 0.97663 39.336
81 57 3 0 0.0005600 0.0204 110.670 0.698 1.01160 41.659
82 58 3 0 0.0007295 0.0235 86.660 0.537 0.97076 39.059
83 64 3 0 0.0005868 0.0276 85.980 0.695 0.95863 35.206
84 67 3 0 0.0003884 0.0163 127.690 0.785 0.97663 39.336
85 70 3 0 0.0006279 0.0221 80.910 0.686 0.91103 34.678
86 88 3 0 0.0005802 0.0193 68.090 0.659 0.82642 29.405
87 90 3 0 0.0006310 0.0240 95.150 0.476 0.99053 39.248
88 99 3 0 0.0005725 0.0289 53.030 0.757 0.79316 24.232
89 6 4 0 0.0005287 0.0193 91.020 0.522 0.91236 35.059
90 10 4 0 0.0006279 0.0221 80.910 0.686 0.91103 34.678
91 19 4 0 0.0013827 0.0276 69.530 0.388 1.01060 44.153
92 20 4 0 0.0004817 0.0150 122.800 0.784 0.98535 42.087
93 28 4 0 0.0007295 0.0235 86.660 0.537 0.97076 39.059
94 31 4 0 0.0006279 0.0221 80.910 0.686 0.91103 34.678
95 36 4 0 0.0006400 0.0258 77.403 0.618 0.91821 33.834
96 51 4 0 0.0005600 0.0204 110.670 0.698 1.01160 41.659
97 56 4 0 0.0005926 0.0184 74.580 0.639 0.85326 31.784
98 60 4 0 0.0008129 0.0217 84.250 0.612 0.96597 40.151
99 69 4 0 0.0018221 0.0232 61.400 0.692 0.96393 43.024
100 82 4 0 0.0005725 0.0289 53.030 0.757 0.79316 24.232
101 84 4 0 0.0007295 0.0235 86.660 0.537 0.97076 39.059
102 85 4 0 0.0005916 0.0253 134.370 0.443 1.16820 49.390
103 86 4 0 0.0006486 0.0174 95.810 0.577 0.95226 39.944
104 90 4 0 0.0006778 0.0171 98.670 0.752 0.96997 41.652
105 91 4 0 0.0005926 0.0184 74.580 0.639 0.85326 31.784
106 92 4 0 0.0005725 0.0289 53.030 0.757 0.79316 24.232
107 97 4 0 0.0006356 0.0177 130.130 0.550 1.09220 49.798
108 98 4 0 0.0005054 0.0255 95.600 0.798 0.96750 35.643
109 2 5 0 0.0003879 0.0150 170.570 0.563 1.10180 48.848
110 6 5 0 0.0005926 0.0184 74.580 0.639 0.85326 31.784
111 13 5 0 0.0011500 0.0207 104.600 0.657 1.13360 55.203
112 14 5 0 0.0003884 0.0163 127.690 0.785 0.97663 39.336
113 18 5 0 0.0010321 0.0328 50.810 0.527 0.86339 30.594
114 30 5 0 0.0005700 0.0232 110.380 0.576 1.03600 41.909
115 43 5 0 0.0006310 0.0240 95.150 0.476 0.99053 39.248
116 47 5 0 0.0007652 0.0360 74.270 0.451 0.98377 35.547
117 52 5 0 0.0005300 0.0184 105.960 0.548 0.96704 39.335
118 54 5 0 0.0013827 0.0276 69.530 0.388 1.01060 44.153
119 55 5 0 0.0006400 0.0258 77.403 0.618 0.91821 33.834
120 58 5 0 0.0006818 0.0163 90.920 0.562 0.93246 39.277
121 63 5 0 0.0006778 0.0171 98.670 0.752 0.96997 41.652
122 66 5 0 0.0005700 0.0232 110.380 0.576 1.03600 41.909
123 67 5 0 0.0005868 0.0276 85.980 0.695 0.95863 35.206
124 68 5 0 0.0006400 0.0258 77.403 0.618 0.91821 33.834
125 80 5 0 0.0013827 0.0276 69.530 0.388 1.01060 44.153
126 86 5 0 0.0005890 0.0188 84.330 0.553 0.89702 34.757
127 91 5 0 0.0006881 0.0188 85.790 0.619 0.92755 37.759
128 96 5 0 0.0004029 0.0131 118.470 0.606 0.92354 37.805
129 3 6 0 0.0007652 0.0360 74.270 0.451 0.98377 35.547
130 4 6 0 0.0005054 0.0255 95.600 0.798 0.96750 35.643
131 21 6 0 0.0006279 0.0221 80.910 0.686 0.91103 34.678
132 32 6 0 0.0007755 0.0204 112.520 0.699 1.08250 48.835
133 34 6 0 0.0006356 0.0177 130.130 0.550 1.09220 49.798
134 36 6 0 0.0005926 0.0184 74.580 0.639 0.85326 31.784
135 41 6 0 0.0013827 0.0276 69.530 0.388 1.01060 44.153
136 42 6 0 0.0003076 0.0130 129.870 0.811 0.91507 35.870
137 53 6 0 0.0005725 0.0289 53.030 0.757 0.79316 24.232
138 55 6 0 0.0004985 0.0189 130.090 0.685 1.05440 44.631
139 56 6 0 0.0003879 0.0150 170.570 0.563 1.10180 48.848
140 60 6 0 0.0018221 0.0232 61.400 0.692 0.96393 43.024
141 62 6 0 0.0006881 0.0188 85.790 0.619 0.92755 37.759
142 63 6 0 0.0006279 0.0221 80.910 0.686 0.91103 34.678
143 64 6 0 0.0004892 0.0155 107.740 0.626 0.93798 38.419
144 65 6 0 0.0006109 0.0211 67.850 0.564 0.84077 30.016
145 67 6 0 0.0005300 0.0184 105.960 0.548 0.96704 39.335
146 68 6 0 0.0004690 0.0154 151.410 0.566 1.08340 48.657
147 69 6 0 0.0005300 0.0184 105.960 0.548 0.96704 39.335
148 72 6 0 0.0007652 0.0360 74.270 0.451 0.98377 35.547
149 73 6 0 0.0003925 0.0141 138.360 0.755 0.99220 41.975
150 76 6 0 0.0011500 0.0207 104.600 0.657 1.13360 55.203
151 88 6 0 0.0004817 0.0150 122.800 0.784 0.98535 42.087
152 89 6 0 0.0006356 0.0177 130.130 0.550 1.09220 49.798
153 99 6 0 0.0003884 0.0163 127.690 0.785 0.97663 39.336
154 4 7 0 0.0006778 0.0171 98.670 0.752 0.96997 41.652
155 5 7 0 0.0006109 0.0211 67.850 0.564 0.84077 30.016
156 6 7 0 0.0006109 0.0211 67.850 0.564 0.84077 30.016
157 17 7 0 0.0005725 0.0289 53.030 0.757 0.79316 24.232
158 22 7 0 0.0004892 0.0155 107.740 0.626 0.93798 38.419
159 24 7 0 0.0005926 0.0184 74.580 0.639 0.85326 31.784
160 25 7 0 0.0006310 0.0240 95.150 0.476 0.99053 39.248
161 26 7 0 0.0005725 0.0289 53.030 0.757 0.79316 24.232
162 27 7 0 0.0018221 0.0232 61.400 0.692 0.96393 43.024
163 37 7 0 0.0003884 0.0163 127.690 0.785 0.97663 39.336
164 40 7 0 0.0008129 0.0217 84.250 0.612 0.96597 40.151
165 47 7 0 0.0004366 0.0206 102.520 0.766 0.93925 35.168
166 51 7 0 0.0006881 0.0188 85.790 0.619 0.92755 37.759
167 52 7 0 0.0007755 0.0204 112.520 0.699 1.08250 48.835
168 60 7 0 0.0008129 0.0217 84.250 0.612 0.96597 40.151
169 61 7 0 0.0007295 0.0235 86.660 0.537 0.97076 39.059
170 63 7 0 0.0004892 0.0155 107.740 0.626 0.93798 38.419
171 65 7 0 0.0007295 0.0235 86.660 0.537 0.97076 39.059
172 68 7 0 0.0005725 0.0289 53.030 0.757 0.79316 24.232
173 71 7 0 0.0006109 0.0211 67.850 0.564 0.84077 30.016
174 75 7 0 0.0006356 0.0177 130.130 0.550 1.09220 49.798
175 76 7 0 0.0006818 0.0163 90.920 0.562 0.93246 39.277
176 1 8 0 0.0005802 0.0193 68.090 0.659 0.82642 29.405
177 2 8 0 0.0006310 0.0240 95.150 0.476 0.99053 39.248
178 6 8 0 0.0006279 0.0221 80.910 0.686 0.91103 34.678
179 13 8 0 0.0011600 0.0232 123.980 0.628 1.25900 62.953
180 15 8 0 0.0003076 0.0130 129.870 0.811 0.91507 35.870
181 28 8 0 0.0004578 0.0151 121.810 0.743 0.97374 40.885
182 31 8 0 0.0016023 0.0260 72.000 0.662 1.04790 48.432
183 36 8 0 0.0004366 0.0206 102.520 0.766 0.93925 35.168
184 43 8 0 0.0004985 0.0189 130.090 0.685 1.05440 44.631
185 47 8 0 0.0007295 0.0235 86.660 0.537 0.97076 39.059
186 55 8 0 0.0006778 0.0171 98.670 0.752 0.96997 41.652
187 58 8 0 0.0005725 0.0289 53.030 0.757 0.79316 24.232
188 60 8 0 0.0004892 0.0155 107.740 0.626 0.93798 38.419
189 61 8 0 0.0008959 0.0278 80.340 0.696 0.99858 40.478
190 62 8 0 0.0005802 0.0193 68.090 0.659 0.82642 29.405
191 63 8 0 0.0005054 0.0255 95.600 0.798 0.96750 35.643
192 64 8 0 0.0004690 0.0154 151.410 0.566 1.08340 48.657
193 65 8 0 0.0004366 0.0206 102.520 0.766 0.93925 35.168
194 66 8 0 0.0007652 0.0360 74.270 0.451 0.98377 35.547
195 69 8 0 0.0011600 0.0232 123.980 0.628 1.25900 62.953
196 71 8 0 0.0006400 0.0258 77.403 0.618 0.91821 33.834
197 78 8 0 0.0005054 0.0255 95.600 0.798 0.96750 35.643
198 83 8 0 0.0004817 0.0150 122.800 0.784 0.98535 42.087
199 91 8 0 0.0004366 0.0206 102.520 0.766 0.93925 35.168
200 97 8 0 0.0003925 0.0141 138.360 0.755 0.99220 41.975
201 6 9 0 0.0004817 0.0150 122.800 0.784 0.98535 42.087
202 11 9 0 0.0005916 0.0253 134.370 0.443 1.16820 49.390
203 12 9 0 0.0005916 0.0253 134.370 0.443 1.16820 49.390
204 17 9 0 0.0006109 0.0211 67.850 0.564 0.84077 30.016
205 19 9 0 0.0005287 0.0193 91.020 0.522 0.91236 35.059
206 20 9 0 0.0006276 0.0152 134.800 0.677 1.08360 50.842
207 21 9 0 0.0005926 0.0184 74.580 0.639 0.85326 31.784
208 24 9 0 0.0003925 0.0141 138.360 0.755 0.99220 41.975
209 25 9 0 0.0007295 0.0235 86.660 0.537 0.97076 39.059
210 30 9 0 0.0008129 0.0217 84.250 0.612 0.96597 40.151
211 43 9 0 0.0005916 0.0253 134.370 0.443 1.16820 49.390
212 44 9 0 0.0005300 0.0184 105.960 0.548 0.96704 39.335
213 46 9 0 0.0010321 0.0328 50.810 0.527 0.86339 30.594
214 49 9 0 0.0006778 0.0171 98.670 0.752 0.96997 41.652
215 50 9 0 0.0005926 0.0184 74.580 0.639 0.85326 31.784
216 53 9 0 0.0004029 0.0131 118.470 0.606 0.92354 37.805
217 56 9 0 0.0007652 0.0360 74.270 0.451 0.98377 35.547
218 57 9 0 0.0003884 0.0163 127.690 0.785 0.97663 39.336
219 61 9 0 0.0005802 0.0193 68.090 0.659 0.82642 29.405
220 62 9 0 0.0006356 0.0177 130.130 0.550 1.09220 49.798
221 63 9 0 0.0007755 0.0204 112.520 0.699 1.08250 48.835
222 66 9 0 0.0006400 0.0258 77.403 0.618 0.91821 33.834
223 68 9 0 0.0005802 0.0193 68.090 0.659 0.82642 29.405
224 69 9 0 0.0018221 0.0232 61.400 0.692 0.96393 43.024
225 72 9 0 0.0005926 0.0184 74.580 0.639 0.85326 31.784
226 74 9 0 0.0003884 0.0163 127.690 0.785 0.97663 39.336
227 75 9 0 0.0004985 0.0189 130.090 0.685 1.05440 44.631
228 81 9 0 0.0005300 0.0184 105.960 0.548 0.96704 39.335
229 84 9 0 0.0018221 0.0232 61.400 0.692 0.96393 43.024
230 89 9 0 0.0006818 0.0163 90.920 0.562 0.93246 39.277
231 90 9 0 0.0006900 0.0243 91.256 0.610 0.98906 39.599
232 95 9 0 0.0005890 0.0188 84.330 0.553 0.89702 34.757
233 4 10 0 0.0005890 0.0188 84.330 0.553 0.89702 34.757
234 6 10 0 0.0005600 0.0204 110.670 0.698 1.01160 41.659
235 10 10 0 0.0006818 0.0163 90.920 0.562 0.93246 39.277
236 19 10 0 0.0006778 0.0171 98.670 0.752 0.96997 41.652
237 20 10 0 0.0006279 0.0221 80.910 0.686 0.91103 34.678
238 51 10 0 0.0003076 0.0130 129.870 0.811 0.91507 35.870
239 55 10 0 0.0003076 0.0130 129.870 0.811 0.91507 35.870
240 56 10 0 0.0003884 0.0163 127.690 0.785 0.97663 39.336
241 61 10 0 0.0003925 0.0141 138.360 0.755 0.99220 41.975
242 62 10 0 0.0004029 0.0131 118.470 0.606 0.92354 37.805
243 63 10 0 0.0004892 0.0155 107.740 0.626 0.93798 38.419
244 64 10 0 0.0003925 0.0141 138.360 0.755 0.99220 41.975
245 67 10 0 0.0005868 0.0276 85.980 0.695 0.95863 35.206
246 70 10 0 0.0005287 0.0193 91.020 0.522 0.91236 35.059
247 71 10 0 0.0004925 0.0150 194.290 0.750 1.23330 59.968
248 73 10 0 0.0005890 0.0188 84.330 0.553 0.89702 34.757
249 76 10 0 0.0005802 0.0193 68.090 0.659 0.82642 29.405
250 77 10 0 0.0006279 0.0221 80.910 0.686 0.91103 34.678
251 80 10 0 0.0006778 0.0171 98.670 0.752 0.96997 41.652
252 82 10 0 0.0003884 0.0163 127.690 0.785 0.97663 39.336
253 84 10 0 0.0005725 0.0289 53.030 0.757 0.79316 24.232
254 88 10 0 0.0006900 0.0243 91.256 0.610 0.98906 39.599
255 94 10 0 0.0005300 0.0184 105.960 0.548 0.96704 39.335
256 97 10 0 0.0008129 0.0217 84.250 0.612 0.96597 40.151
257 99 10 0 0.0006900 0.0243 91.256 0.610 0.98906 39.599
258 2 11 0 0.0006310 0.0240 95.150 0.476 0.99053 39.248
259 3 11 0 0.0006109 0.0211 67.850 0.564 0.84077 30.016
260 4 11 0 0.0005725 0.0289 53.030 0.757 0.79316 24.232
261 13 11 0 0.0005600 0.0204 110.670 0.698 1.01160 41.659
262 17 11 0 0.0007755 0.0204 112.520 0.699 1.08250 48.835
263 20 11 0 0.0010321 0.0328 50.810 0.527 0.86339 30.594
264 27 11 0 0.0007652 0.0360 74.270 0.451 0.98377 35.547
265 29 11 0 0.0013827 0.0276 69.530 0.388 1.01060 44.153
266 30 11 0 0.0005054 0.0255 95.600 0.798 0.96750 35.643
267 31 11 0 0.0006900 0.0243 91.256 0.610 0.98906 39.599
268 32 11 0 0.0004892 0.0155 107.740 0.626 0.93798 38.419
269 36 11 0 0.0007295 0.0235 86.660 0.537 0.97076 39.059
270 37 11 0 0.0006310 0.0240 95.150 0.476 0.99053 39.248
271 39 11 0 0.0005287 0.0193 91.020 0.522 0.91236 35.059
272 48 11 0 0.0005802 0.0193 68.090 0.659 0.82642 29.405
273 58 11 0 0.0006109 0.0211 67.850 0.564 0.84077 30.016
274 60 11 0 0.0016023 0.0260 72.000 0.662 1.04790 48.432
275 68 11 0 0.0004925 0.0150 194.290 0.750 1.23330 59.968
276 71 11 0 0.0006356 0.0177 130.130 0.550 1.09220 49.798
277 73 11 0 0.0007652 0.0360 74.270 0.451 0.98377 35.547
278 74 11 0 0.0004029 0.0131 118.470 0.606 0.92354 37.805
279 77 11 0 0.0005725 0.0289 53.030 0.757 0.79316 24.232
280 82 11 0 0.0006400 0.0258 77.403 0.618 0.91821 33.834
281 83 11 0 0.0005700 0.0232 110.380 0.576 1.03600 41.909
282 85 11 0 0.0006279 0.0221 80.910 0.686 0.91103 34.678
283 95 11 0 0.0006310 0.0240 95.150 0.476 0.99053 39.248
284 96 11 0 0.0004029 0.0131 118.470 0.606 0.92354 37.805
285 1 12 0 0.0005700 0.0232 110.380 0.576 1.03600 41.909
286 9 12 0 0.0004578 0.0151 121.810 0.743 0.97374 40.885
287 14 12 0 0.0006778 0.0171 98.670 0.752 0.96997 41.652
288 25 12 0 0.0007652 0.0360 74.270 0.451 0.98377 35.547
289 26 12 0 0.0006356 0.0177 130.130 0.550 1.09220 49.798
290 30 12 0 0.0006881 0.0188 85.790 0.619 0.92755 37.759
291 35 12 0 0.0005300 0.0184 105.960 0.548 0.96704 39.335
292 40 12 0 0.0004029 0.0131 118.470 0.606 0.92354 37.805
293 46 12 0 0.0004985 0.0189 130.090 0.685 1.05440 44.631
294 50 12 0 0.0005300 0.0184 105.960 0.548 0.96704 39.335
295 51 12 0 0.0007755 0.0204 112.520 0.699 1.08250 48.835
296 52 12 0 0.0004817 0.0150 122.800 0.784 0.98535 42.087
297 60 12 0 0.0008959 0.0278 80.340 0.696 0.99858 40.478
298 66 12 0 0.0006881 0.0188 85.790 0.619 0.92755 37.759
299 68 12 0 0.0007652 0.0360 74.270 0.451 0.98377 35.547
300 70 12 0 0.0004817 0.0150 122.800 0.784 0.98535 42.087
301 71 12 0 0.0006486 0.0174 95.810 0.577 0.95226 39.944
302 75 12 0 0.0006486 0.0174 95.810 0.577 0.95226 39.944
303 76 12 0 0.0005054 0.0255 95.600 0.798 0.96750 35.643
304 78 12 0 0.0006778 0.0171 98.670 0.752 0.96997 41.652
305 84 12 0 0.0007295 0.0235 86.660 0.537 0.97076 39.059
306 87 12 0 0.0004029 0.0131 118.470 0.606 0.92354 37.805
307 94 12 0 0.0003925 0.0141 138.360 0.755 0.99220 41.975
308 4 13 0 0.0006778 0.0171 98.670 0.752 0.96997 41.652
309 14 13 0 0.0007755 0.0204 112.520 0.699 1.08250 48.835
310 24 13 0 0.0005890 0.0188 84.330 0.553 0.89702 34.757
311 32 13 0 0.0004892 0.0155 107.740 0.626 0.93798 38.419
312 38 13 0 0.0005868 0.0276 85.980 0.695 0.95863 35.206
313 44 13 0 0.0006778 0.0171 98.670 0.752 0.96997 41.652
314 45 13 0 0.0005890 0.0188 84.330 0.553 0.89702 34.757
315 50 13 0 0.0005054 0.0255 95.600 0.798 0.96750 35.643
316 51 13 0 0.0007755 0.0204 112.520 0.699 1.08250 48.835
317 53 13 0 0.0005926 0.0184 74.580 0.639 0.85326 31.784
318 64 13 0 0.0003879 0.0150 170.570 0.563 1.10180 48.848
319 69 13 0 0.0010321 0.0328 50.810 0.527 0.86339 30.594
320 74 13 0 0.0005802 0.0193 68.090 0.659 0.82642 29.405
321 79 13 0 0.0010321 0.0328 50.810 0.527 0.86339 30.594
322 83 13 0 0.0005700 0.0232 110.380 0.576 1.03600 41.909
323 88 13 0 0.0006356 0.0177 130.130 0.550 1.09220 49.798
324 97 13 0 0.0004578 0.0151 121.810 0.743 0.97374 40.885
325 6 14 0 0.0010321 0.0328 50.810 0.527 0.86339 30.594
326 9 14 0 0.0006818 0.0163 90.920 0.562 0.93246 39.277
327 20 14 0 0.0004029 0.0131 118.470 0.606 0.92354 37.805
328 29 14 0 0.0008959 0.0278 80.340 0.696 0.99858 40.478
329 31 14 0 0.0006818 0.0163 90.920 0.562 0.93246 39.277
330 34 14 0 0.0006900 0.0243 91.256 0.610 0.98906 39.599
331 39 14 0 0.0004892 0.0155 107.740 0.626 0.93798 38.419
332 40 14 0 0.0006310 0.0240 95.150 0.476 0.99053 39.248
333 43 14 0 0.0013827 0.0276 69.530 0.388 1.01060 44.153
334 48 14 0 0.0006881 0.0188 85.790 0.619 0.92755 37.759
335 49 14 0 0.0004029 0.0131 118.470 0.606 0.92354 37.805
336 51 14 0 0.0005054 0.0255 95.600 0.798 0.96750 35.643
337 63 14 0 0.0007295 0.0235 86.660 0.537 0.97076 39.059
338 69 14 0 0.0008959 0.0278 80.340 0.696 0.99858 40.478
339 80 14 0 0.0018221 0.0232 61.400 0.692 0.96393 43.024
340 82 14 0 0.0007652 0.0360 74.270 0.451 0.98377 35.547
341 84 14 0 0.0008129 0.0217 84.250 0.612 0.96597 40.151
342 87 14 0 0.0006276 0.0152 134.800 0.677 1.08360 50.842
343 88 14 0 0.0006486 0.0174 95.810 0.577 0.95226 39.944
344 89 14 0 0.0018221 0.0232 61.400 0.692 0.96393 43.024
345 90 14 0 0.0004892 0.0155 107.740 0.626 0.93798 38.419
346 95 14 0 0.0007295 0.0235 86.660 0.537 0.97076 39.059
347 98 14 0 0.0005725 0.0289 53.030 0.757 0.79316 24.232
348 13 15 0 0.0005287 0.0193 91.020 0.522 0.91236 35.059
349 18 15 0 0.0005300 0.0184 105.960 0.548 0.96704 39.335
350 19 15 0 0.0003884 0.0163 127.690 0.785 0.97663 39.336
351 22 15 0 0.0004029 0.0131 118.470 0.606 0.92354 37.805
352 29 15 0 0.0005287 0.0193 91.020 0.522 0.91236 35.059
353 30 15 0 0.0005287 0.0193 91.020 0.522 0.91236 35.059
354 33 15 0 0.0006276 0.0152 134.800 0.677 1.08360 50.842
355 34 15 0 0.0005725 0.0289 53.030 0.757 0.79316 24.232
356 35 15 0 0.0006486 0.0174 95.810 0.577 0.95226 39.944
357 37 15 0 0.0007652 0.0360 74.270 0.451 0.98377 35.547
358 38 15 0 0.0005916 0.0253 134.370 0.443 1.16820 49.390
359 40 15 0 0.0005890 0.0188 84.330 0.553 0.89702 34.757
360 43 15 0 0.0006400 0.0258 77.403 0.618 0.91821 33.834
361 46 15 0 0.0005868 0.0276 85.980 0.695 0.95863 35.206
362 47 15 0 0.0008959 0.0278 80.340 0.696 0.99858 40.478
363 50 15 0 0.0005926 0.0184 74.580 0.639 0.85326 31.784
364 51 15 0 0.0005868 0.0276 85.980 0.695 0.95863 35.206
365 58 15 0 0.0008959 0.0278 80.340 0.696 0.99858 40.478
366 60 15 0 0.0013827 0.0276 69.530 0.388 1.01060 44.153
367 66 15 0 0.0004817 0.0150 122.800 0.784 0.98535 42.087
368 78 15 0 0.0005916 0.0253 134.370 0.443 1.16820 49.390
369 79 15 0 0.0006881 0.0188 85.790 0.619 0.92755 37.759
370 85 15 0 0.0006109 0.0211 67.850 0.564 0.84077 30.016
371 86 15 0 0.0003925 0.0141 138.360 0.755 0.99220 41.975
372 91 15 0 0.0006486 0.0174 95.810 0.577 0.95226 39.944
373 0 16 0 0.0006310 0.0240 95.150 0.476 0.99053 39.248
374 1 16 0 0.0003925 0.0141 138.360 0.755 0.99220 41.975
375 5 16 0 0.0006109 0.0211 67.850 0.564 0.84077 30.016
376 10 16 0 0.0013827 0.0276 69.530 0.388 1.01060 44.153
377 11 16 0 0.0005600 0.0204 110.670 0.698 1.01160 41.659
378 17 16 0 0.0003925 0.0141 138.360 0.755 0.99220 41.975
379 25 16 0 0.0006486 0.0174 95.810 0.577 0.95226 39.944
380 27 16 0 0.0004817 0.0150 122.800 0.784 0.98535 42.087
381 28 16 0 0.0006881 0.0188 85.790 0.619 0.92755 37.759
382 29 16 0 0.0010321 0.0328 50.810 0.527 0.86339 30.594
383 31 16 0 0.0005700 0.0232 110.380 0.576 1.03600 41.909
384 33 16 0 0.0005916 0.0253 134.370 0.443 1.16820 49.390
385 37 16 0 0.0005300 0.0184 105.960 0.548 0.96704 39.335
386 40 16 0 0.0005054 0.0255 95.600 0.798 0.96750 35.643
387 51 16 0 0.0003925 0.0141 138.360 0.755 0.99220 41.975
388 56 16 0 0.0013827 0.0276 69.530 0.388 1.01060 44.153
389 57 16 0 0.0008129 0.0217 84.250 0.612 0.96597 40.151
390 62 16 0 0.0005802 0.0193 68.090 0.659 0.82642 29.405
391 69 16 0 0.0004925 0.0150 194.290 0.750 1.23330 59.968
392 74 16 0 0.0016023 0.0260 72.000 0.662 1.04790 48.432
393 75 16 0 0.0006818 0.0163 90.920 0.562 0.93246 39.277
394 82 16 0 0.0005802 0.0193 68.090 0.659 0.82642 29.405
395 84 16 0 0.0005802 0.0193 68.090 0.659 0.82642 29.405
396 91 16 0 0.0007652 0.0360 74.270 0.451 0.98377 35.547
397 92 16 0 0.0006486 0.0174 95.810 0.577 0.95226 39.944
398 99 16 0 0.0004985 0.0189 130.090 0.685 1.05440 44.631
399 3 17 0 0.0006400 0.0258 77.403 0.618 0.91821 33.834
400 23 17 0 0.0003884 0.0163 127.690 0.785 0.97663 39.336
401 24 17 0 0.0005890 0.0188 84.330 0.553 0.89702 34.757
402 36 17 0 0.0005890 0.0188 84.330 0.553 0.89702 34.757
403 43 17 0 0.0013827 0.0276 69.530 0.388 1.01060 44.153
404 45 17 0 0.0005926 0.0184 74.580 0.639 0.85326 31.784
405 51 17 0 0.0005700 0.0232 110.380 0.576 1.03600 41.909
406 55 17 0 0.0006276 0.0152 134.800 0.677 1.08360 50.842
407 62 17 0 0.0003925 0.0141 138.360 0.755 0.99220 41.975
408 74 17 0 0.0006881 0.0188 85.790 0.619 0.92755 37.759
409 80 17 0 0.0004366 0.0206 102.520 0.766 0.93925 35.168
410 97 17 0 0.0006778 0.0171 98.670 0.752 0.96997 41.652
411 98 17 0 0.0006279 0.0221 80.910 0.686 0.91103 34.678
412 6 18 0 0.0003925 0.0141 138.360 0.755 0.99220 41.975
413 13 18 0 0.0004366 0.0206 102.520 0.766 0.93925 35.168
414 27 18 0 0.0004985 0.0189 130.090 0.685 1.05440 44.631
415 28 18 0 0.0004817 0.0150 122.800 0.784 0.98535 42.087
416 30 18 0 0.0005926 0.0184 74.580 0.639 0.85326 31.784
417 34 18 0 0.0003879 0.0150 170.570 0.563 1.10180 48.848
418 41 18 0 0.0006818 0.0163 90.920 0.562 0.93246 39.277
419 42 18 0 0.0006310 0.0240 95.150 0.476 0.99053 39.248
420 43 18 0 0.0007755 0.0204 112.520 0.699 1.08250 48.835
421 47 18 0 0.0006900 0.0243 91.256 0.610 0.98906 39.599
422 48 18 0 0.0005802 0.0193 68.090 0.659 0.82642 29.405
423 49 18 0 0.0005890 0.0188 84.330 0.553 0.89702 34.757
424 50 18 0 0.0004578 0.0151 121.810 0.743 0.97374 40.885
425 58 18 0 0.0005890 0.0188 84.330 0.553 0.89702 34.757
426 61 18 0 0.0008959 0.0278 80.340 0.696 0.99858 40.478
427 62 18 0 0.0005802 0.0193 68.090 0.659 0.82642 29.405
428 64 18 0 0.0010321 0.0328 50.810 0.527 0.86339 30.594
429 81 18 0 0.0008129 0.0217 84.250 0.612 0.96597 40.151
430 86 18 0 0.0006486 0.0174 95.810 0.577 0.95226 39.944
431 87 18 0 0.0008959 0.0278 80.340 0.696 0.99858 40.478
432 94 18 0 0.0013827 0.0276 69.530 0.388 1.01060 44.153
433 96 18 0 0.0005926 0.0184 74.580 0.639 0.85326 31.784
434 2 19 0 0.0006778 0.0171 98.670 0.752 0.96997 41.652
435 5 19 0 0.0004029 0.0131 118.470 0.606 0.92354 37.805
436 11 19 0 0.0008129 0.0217 84.250 0.612 0.96597 40.151
437 12 19 0 0.0004366 0.0206 102.520 0.766 0.93925 35.168
438 24 19 0 0.0005868 0.0276 85.980 0.695 0.95863 35.206
439 27 19 0 0.0006279 0.0221 80.910 0.686 0.91103 34.678
440 28 19 0 0.0005916 0.0253 134.370 0.443 1.16820 49.390
441 29 19 0 0.0006310 0.0240 95.150 0.476 0.99053 39.248
442 31 19 0 0.0006109 0.0211 67.850 0.564 0.84077 30.016
443 35 19 0 0.0008129 0.0217 84.250 0.612 0.96597 40.151
444 40 19 0 0.0005802 0.0193 68.090 0.659 0.82642 29.405
445 46 19 0 0.0005287 0.0193 91.020 0.522 0.91236 35.059
446 47 19 0 0.0016023 0.0260 72.000 0.662 1.04790 48.432
447 52 19 0 0.0006310 0.0240 95.150 0.476 0.99053 39.248
448 60 19 0 0.0013827 0.0276 69.530 0.388 1.01060 44.153
449 61 19 0 0.0005725 0.0289 53.030 0.757 0.79316 24.232
450 69 19 0 0.0005300 0.0184 105.960 0.548 0.96704 39.335
451 70 19 0 0.0005725 0.0289 53.030 0.757 0.79316 24.232
452 82 19 0 0.0005926 0.0184 74.580 0.639 0.85326 31.784
453 84 19 0 0.0005287 0.0193 91.020 0.522 0.91236 35.059
454 85 19 0 0.0006400 0.0258 77.403 0.618 0.91821 33.834
455 86 19 0 0.0004690 0.0154 151.410 0.566 1.08340 48.657
456 87 19 0 0.0004817 0.0150 122.800 0.784 0.98535 42.087
457 92 19 0 0.0013827 0.0276 69.530 0.388 1.01060 44.153
458 93 19 0 0.0006279 0.0221 80.910 0.686 0.91103 34.678
459 99 19 0 0.0006279 0.0221 80.910 0.686 0.91103 34.678
460 3 20 0 0.0008129 0.0217 84.250 0.612 0.96597 40.151
461 10 20 0 0.0006279 0.0221 80.910 0.686 0.91103 34.678
462 19 20 0 0.0005287 0.0193 91.020 0.522 0.91236 35.059
463 22 20 0 0.0004985 0.0189 130.090 0.685 1.05440 44.631
464 23 20 0 0.0005868 0.0276 85.980 0.695 0.95863 35.206
465 24 20 0 0.0007652 0.0360 74.270 0.451 0.98377 35.547
466 25 20 0 0.0005287 0.0193 91.020 0.522 0.91236 35.059
467 26 20 0 0.0006310 0.0240 95.150 0.476 0.99053 39.248
468 27 20 0 0.0005890 0.0188 84.330 0.553 0.89702 34.757
469 28 20 0 0.0018221 0.0232 61.400 0.692 0.96393 43.024
470 30 20 0 0.0006778 0.0171 98.670 0.752 0.96997 41.652
471 43 20 0 0.0003884 0.0163 127.690 0.785 0.97663 39.336
472 45 20 0 0.0011600 0.0232 123.980 0.628 1.25900 62.953
473 51 20 0 0.0005926 0.0184 74.580 0.639 0.85326 31.784
474 60 20 0 0.0006486 0.0174 95.810 0.577 0.95226 39.944
475 61 20 0 0.0006400 0.0258 77.403 0.618 0.91821 33.834
476 64 20 0 0.0003076 0.0130 129.870 0.811 0.91507 35.870
477 68 20 0 0.0004366 0.0206 102.520 0.766 0.93925 35.168
478 74 20 0 0.0008959 0.0278 80.340 0.696 0.99858 40.478
479 80 20 0 0.0013827 0.0276 69.530 0.388 1.01060 44.153
480 81 20 0 0.0003879 0.0150 170.570 0.563 1.10180 48.848
481 82 20 0 0.0005916 0.0253 134.370 0.443 1.16820 49.390
482 85 20 0 0.0006279 0.0221 80.910 0.686 0.91103 34.678
483 86 20 0 0.0005868 0.0276 85.980 0.695 0.95863 35.206
484 91 20 0 0.0005700 0.0232 110.380 0.576 1.03600 41.909
485 98 20 0 0.0005868 0.0276 85.980 0.695 0.95863 35.206
486 99 20 0 0.0005802 0.0193 68.090 0.659 0.82642 29.405
487 7 21 0 0.0008129 0.0217 84.250 0.612 0.96597 40.151
488 13 21 0 0.0004578 0.0151 121.810 0.743 0.97374 40.885
489 19 21 0 0.0006486 0.0174 95.810 0.577 0.95226 39.944
490 20 21 0 0.0005287 0.0193 91.020 0.522 0.91236 35.059
491 21 21 0 0.0005054 0.0255 95.600 0.798 0.96750 35.643
492 22 21 0 0.0005725 0.0289 53.030 0.757 0.79316 24.232
493 27 21 0 0.0003076 0.0130 129.870 0.811 0.91507 35.870
494 28 21 0 0.0005802 0.0193 68.090 0.659 0.82642 29.405
495 37 21 0 0.0005287 0.0193 91.020 0.522 0.91236 35.059
496 39 21 0 0.0006881 0.0188 85.790 0.619 0.92755 37.759
497 44 21 0 0.0003076 0.0130 129.870 0.811 0.91507 35.870
498 45 21 0 0.0005054 0.0255 95.600 0.798 0.96750 35.643
499 50 21 0 0.0004985 0.0189 130.090 0.685 1.05440 44.631
500 54 21 0 0.0004985 0.0189 130.090 0.685 1.05440 44.631
501 56 21 0 0.0003925 0.0141 138.360 0.755 0.99220 41.975
502 59 21 0 0.0006109 0.0211 67.850 0.564 0.84077 30.016
503 62 21 0 0.0016023 0.0260 72.000 0.662 1.04790 48.432
504 64 21 0 0.0018221 0.0232 61.400 0.692 0.96393 43.024
505 65 21 0 0.0004985 0.0189 130.090 0.685 1.05440 44.631
506 71 21 0 0.0005868 0.0276 85.980 0.695 0.95863 35.206
507 79 21 0 0.0003879 0.0150 170.570 0.563 1.10180 48.848
508 80 21 0 0.0004578 0.0151 121.810 0.743 0.97374 40.885
509 81 21 0 0.0008129 0.0217 84.250 0.612 0.96597 40.151
510 82 21 0 0.0007652 0.0360 74.270 0.451 0.98377 35.547
511 88 21 0 0.0004578 0.0151 121.810 0.743 0.97374 40.885
512 94 21 0 0.0016023 0.0260 72.000 0.662 1.04790 48.432
513 98 21 0 0.0006818 0.0163 90.920 0.562 0.93246 39.277
514 99 21 0 0.0004690 0.0154 151.410 0.566 1.08340 48.657
515 0 22 0 0.0003884 0.0163 127.690 0.785 0.97663 39.336
516 6 22 0 0.0016023 0.0260 72.000 0.662 1.04790 48.432
517 14 22 0 0.0010321 0.0328 50.810 0.527 0.86339 30.594
518 19 22 0 0.0003879 0.0150 170.570 0.563 1.10180 48.848
519 20 22 0 0.0004892 0.0155 107.740 0.626 0.93798 38.419
520 26 22 0 0.0004817 0.0150 122.800 0.784 0.98535 42.087
521 35 22 0 0.0006900 0.0243 91.256 0.610 0.98906 39.599
522 36 22 0 0.0003076 0.0130 129.870 0.811 0.91507 35.870
523 43 22 0 0.0006356 0.0177 130.130 0.550 1.09220 49.798
524 44 22 0 0.0013827 0.0276 69.530 0.388 1.01060 44.153
525 48 22 0 0.0005926 0.0184 74.580 0.639 0.85326 31.784
526 49 22 0 0.0005725 0.0289 53.030 0.757 0.79316 24.232
527 55 22 0 0.0006881 0.0188 85.790 0.619 0.92755 37.759
528 56 22 0 0.0013827 0.0276 69.530 0.388 1.01060 44.153
529 58 22 0 0.0005926 0.0184 74.580 0.639 0.85326 31.784
530 59 22 0 0.0005926 0.0184 74.580 0.639 0.85326 31.784
531 63 22 0 0.0006310 0.0240 95.150 0.476 0.99053 39.248
532 76 22 0 0.0003076 0.0130 129.870 0.811 0.91507 35.870
533 79 22 0 0.0005300 0.0184 105.960 0.548 0.96704 39.335
534 81 22 0 0.0006881 0.0188 85.790 0.619 0.92755 37.759
535 82 22 0 0.0004578 0.0151 121.810 0.743 0.97374 40.885
536 85 22 0 0.0003879 0.0150 170.570 0.563 1.10180 48.848
537 86 22 0 0.0010321 0.0328 50.810 0.527 0.86339 30.594
538 95 22 0 0.0004892 0.0155 107.740 0.626 0.93798 38.419
539 97 22 0 0.0006778 0.0171 98.670 0.752 0.96997 41.652
540 98 22 0 0.0006279 0.0221 80.910 0.686 0.91103 34.678
541 99 22 0 0.0007755 0.0204 112.520 0.699 1.08250 48.835
542 0 23 0 0.0006400 0.0258 77.403 0.618 0.91821 33.834
543 16 23 0 0.0005916 0.0253 134.370 0.443 1.16820 49.390
544 18 23 0 0.0006818 0.0163 90.920 0.562 0.93246 39.277
545 24 23 0 0.0007755 0.0204 112.520 0.699 1.08250 48.835
546 34 23 0 0.0003076 0.0130 129.870 0.811 0.91507 35.870
547 43 23 0 0.0005868 0.0276 85.980 0.695 0.95863 35.206
548 44 23 0 0.0003884 0.0163 127.690 0.785 0.97663 39.336
549 47 23 0 0.0006109 0.0211 67.850 0.564 0.84077 30.016
550 54 23 0 0.0007652 0.0360 74.270 0.451 0.98377 35.547
551 64 23 0 0.0018221 0.0232 61.400 0.692 0.96393 43.024
552 73 23 0 0.0005802 0.0193 68.090 0.659 0.82642 29.405
553 74 23 0 0.0005054 0.0255 95.600 0.798 0.96750 35.643
554 77 23 0 0.0004690 0.0154 151.410 0.566 1.08340 48.657
555 98 23 0 0.0004817 0.0150 122.800 0.784 0.98535 42.087
556 1 24 0 0.0006486 0.0174 95.810 0.577 0.95226 39.944
557 2 24 0 0.0006109 0.0211 67.850 0.564 0.84077 30.016
558 8 24 0 0.0005725 0.0289 53.030 0.757 0.79316 24.232
559 14 24 0 0.0005916 0.0253 134.370 0.443 1.16820 49.390
560 15 24 0 0.0006900 0.0243 91.256 0.610 0.98906 39.599
561 16 24 0 0.0005802 0.0193 68.090 0.659 0.82642 29.405
562 29 24 0 0.0011500 0.0207 104.600 0.657 1.13360 55.203
563 30 24 0 0.0004029 0.0131 118.470 0.606 0.92354 37.805
564 31 24 0 0.0005600 0.0204 110.670 0.698 1.01160 41.659
565 40 24 0 0.0005868 0.0276 85.980 0.695 0.95863 35.206
566 41 24 0 0.0005926 0.0184 74.580 0.639 0.85326 31.784
567 45 24 0 0.0010321 0.0328 50.810 0.527 0.86339 30.594
568 50 24 0 0.0005287 0.0193 91.020 0.522 0.91236 35.059
569 62 24 0 0.0004690 0.0154 151.410 0.566 1.08340 48.657
570 63 24 0 0.0006109 0.0211 67.850 0.564 0.84077 30.016
571 67 24 0 0.0003076 0.0130 129.870 0.811 0.91507 35.870
572 68 24 0 0.0006881 0.0188 85.790 0.619 0.92755 37.759
573 88 24 0 0.0006310 0.0240 95.150 0.476 0.99053 39.248
574 92 24 0 0.0003076 0.0130 129.870 0.811 0.91507 35.870
575 98 24 0 0.0006400 0.0258 77.403 0.618 0.91821 33.834
576 4 25 0 0.0005890 0.0188 84.330 0.553 0.89702 34.757
577 9 25 0 0.0005054 0.0255 95.600 0.798 0.96750 35.643
578 12 25 0 0.0006400 0.0258 77.403 0.618 0.91821 33.834
579 13 25 0 0.0007652 0.0360 74.270 0.451 0.98377 35.547
580 14 25 0 0.0006486 0.0174 95.810 0.577 0.95226 39.944
581 17 25 0 0.0005802 0.0193 68.090 0.659 0.82642 29.405
582 19 25 0 0.0005725 0.0289 53.030 0.757 0.79316 24.232
583 26 25 0 0.0008129 0.0217 84.250 0.612 0.96597 40.151
584 28 25 0 0.0005802 0.0193 68.090 0.659 0.82642 29.405
585 30 25 0 0.0006486 0.0174 95.810 0.577 0.95226 39.944
586 31 25 0 0.0005916 0.0253 134.370 0.443 1.16820 49.390
587 33 25 0 0.0007755 0.0204 112.520 0.699 1.08250 48.835
588 46 25 0 0.0006486 0.0174 95.810 0.577 0.95226 39.944
589 50 25 0 0.0005725 0.0289 53.030 0.757 0.79316 24.232
590 53 25 0 0.0006109 0.0211 67.850 0.564 0.84077 30.016
591 54 25 0 0.0004892 0.0155 107.740 0.626 0.93798 38.419
592 62 25 0 0.0004892 0.0155 107.740 0.626 0.93798 38.419
593 63 25 0 0.0007652 0.0360 74.270 0.451 0.98377 35.547
594 64 25 0 0.0005802 0.0193 68.090 0.659 0.82642 29.405
595 65 25 0 0.0003884 0.0163 127.690 0.785 0.97663 39.336
596 66 25 0 0.0004892 0.0155 107.740 0.626 0.93798 38.419
597 76 25 0 0.0005802 0.0193 68.090 0.659 0.82642 29.405
598 78 25 0 0.0013827 0.0276 69.530 0.388 1.01060 44.153
599 80 25 0 0.0005725 0.0289 53.030 0.757 0.79316 24.232
600 81 25 0 0.0005300 0.0184 105.960 0.548 0.96704 39.335
601 82 25 0 0.0006356 0.0177 130.130 0.550 1.09220 49.798
602 86 25 0 0.0005300 0.0184 105.960 0.548 0.96704 39.335
603 87 25 0 0.0006279 0.0221 80.910 0.686 0.91103 34.678
604 98 25 0 0.0016023 0.0260 72.000 0.662 1.04790 48.432
605 99 25 0 0.0005725 0.0289 53.030 0.757 0.79316 24.232
606 9 26 0 0.0007755 0.0204 112.520 0.699 1.08250 48.835
607 10 26 0 0.0008959 0.0278 80.340 0.696 0.99858 40.478
608 11 26 0 0.0004366 0.0206 102.520 0.766 0.93925 35.168
609 13 26 0 0.0007295 0.0235 86.660 0.537 0.97076 39.059
610 16 26 0 0.0005054 0.0255 95.600 0.798 0.96750 35.643
611 18 26 0 0.0006900 0.0243 91.256 0.610 0.98906 39.599
612 19 26 0 0.0005890 0.0188 84.330 0.553 0.89702 34.757
613 24 26 0 0.0013827 0.0276 69.530 0.388 1.01060 44.153
614 25 26 0 0.0003884 0.0163 127.690 0.785 0.97663 39.336
615 31 26 0 0.0005890 0.0188 84.330 0.553 0.89702 34.757
616 34 26 0 0.0003076 0.0130 129.870 0.811 0.91507 35.870
617 43 26 0 0.0008129 0.0217 84.250 0.612 0.96597 40.151
618 63 26 0 0.0005890 0.0188 84.330 0.553 0.89702 34.757
619 64 26 0 0.0011500 0.0207 104.600 0.657 1.13360 55.203
620 65 26 0 0.0006486 0.0174 95.810 0.577 0.95226 39.944
621 69 26 0 0.0016023 0.0260 72.000 0.662 1.04790 48.432
622 74 26 0 0.0013827 0.0276 69.530 0.388 1.01060 44.153
623 75 26 0 0.0005600 0.0204 110.670 0.698 1.01160 41.659
624 81 26 0 0.0004578 0.0151 121.810 0.743 0.97374 40.885
625 85 26 0 0.0003879 0.0150 170.570 0.563 1.10180 48.848
626 95 26 0 0.0008959 0.0278 80.340 0.696 0.99858 40.478
627 97 26 0 0.0008959 0.0278 80.340 0.696 0.99858 40.478
628 99 26 0 0.0011500 0.0207 104.600 0.657 1.13360 55.203
629 9 27 0 0.0018221 0.0232 61.400 0.692 0.96393 43.024
630 17 27 0 0.0005926 0.0184 74.580 0.639 0.85326 31.784
631 23 27 0 0.0006486 0.0174 95.810 0.577 0.95226 39.944
632 25 27 0 0.0004925 0.0150 194.290 0.750 1.23330 59.968
633 41 27 0 0.0005287 0.0193 91.020 0.522 0.91236 35.059
634 42 27 0 0.0008129 0.0217 84.250 0.612 0.96597 40.151
635 61 27 0 0.0008959 0.0278 80.340 0.696 0.99858 40.478
636 63 27 0 0.0005700 0.0232 110.380 0.576 1.03600 41.909
637 69 27 0 0.0005868 0.0276 85.980 0.695 0.95863 35.206
638 73 27 0 0.0007652 0.0360 74.270 0.451 0.98377 35.547
639 82 27 0 0.0005802 0.0193 68.090 0.659 0.82642 29.405
640 88 27 0 0.0005926 0.0184 74.580 0.639 0.85326 31.784
641 93 27 0 0.0013827 0.0276 69.530 0.388 1.01060 44.153
642 94 27 0 0.0005054 0.0255 95.600 0.798 0.96750 35.643
643 97 27 0 0.0005916 0.0253 134.370 0.443 1.16820 49.390
644 99 27 0 0.0016023 0.0260 72.000 0.662 1.04790 48.432
645 4 28 0 0.0010321 0.0328 50.810 0.527 0.86339 30.594
646 8 28 0 0.0006276 0.0152 134.800 0.677 1.08360 50.842
647 12 28 0 0.0005700 0.0232 110.380 0.576 1.03600 41.909
648 17 28 0 0.0005890 0.0188 84.330 0.553 0.89702 34.757
649 20 28 0 0.0005600 0.0204 110.670 0.698 1.01160 41.659
650 26 28 0 0.0004029 0.0131 118.470 0.606 0.92354 37.805
651 36 28 0 0.0004892 0.0155 107.740 0.626 0.93798 38.419
652 40 28 0 0.0010321 0.0328 50.810 0.527 0.86339 30.594
653 47 28 0 0.0006900 0.0243 91.256 0.610 0.98906 39.599
654 48 28 0 0.0003884 0.0163 127.690 0.785 0.97663 39.336
655 54 28 0 0.0005916 0.0253 134.370 0.443 1.16820 49.390
656 59 28 0 0.0005890 0.0188 84.330 0.553 0.89702 34.757
657 60 28 0 0.0018221 0.0232 61.400 0.692 0.96393 43.024
658 61 28 0 0.0005725 0.0289 53.030 0.757 0.79316 24.232
659 66 28 0 0.0005725 0.0289 53.030 0.757 0.79316 24.232
660 67 28 0 0.0006778 0.0171 98.670 0.752 0.96997 41.652
661 76 28 0 0.0008129 0.0217 84.250 0.612 0.96597 40.151
662 80 28 0 0.0016023 0.0260 72.000 0.662 1.04790 48.432
663 84 28 0 0.0006486 0.0174 95.810 0.577 0.95226 39.944
664 92 28 0 0.0003884 0.0163 127.690 0.785 0.97663 39.336
665 99 28 0 0.0005725 0.0289 53.030 0.757 0.79316 24.232
666 2 29 0 0.0005300 0.0184 105.960 0.548 0.96704 39.335
667 3 29 0 0.0003884 0.0163 127.690 0.785 0.97663 39.336
668 6 29 0 0.0006356 0.0177 130.130 0.550 1.09220 49.798
669 7 29 0 0.0003884 0.0163 127.690 0.785 0.97663 39.336
670 15 29 0 0.0006109 0.0211 67.850 0.564 0.84077 30.016
671 20 29 0 0.0016023 0.0260 72.000 0.662 1.04790 48.432
672 27 29 0 0.0007295 0.0235 86.660 0.537 0.97076 39.059
673 34 29 0 0.0004925 0.0150 194.290 0.750 1.23330 59.968
674 35 29 0 0.0005725 0.0289 53.030 0.757 0.79316 24.232
675 53 29 0 0.0004578 0.0151 121.810 0.743 0.97374 40.885
676 72 29 0 0.0007755 0.0204 112.520 0.699 1.08250 48.835
677 77 29 0 0.0008959 0.0278 80.340 0.696 0.99858 40.478
678 78 29 0 0.0013827 0.0276 69.530 0.388 1.01060 44.153
679 82 29 0 0.0006279 0.0221 80.910 0.686 0.91103 34.678
680 88 29 0 0.0007295 0.0235 86.660 0.537 0.97076 39.059
681 89 29 0 0.0006818 0.0163 90.920 0.562 0.93246 39.277
682 1 30 0 0.0005890 0.0188 84.330 0.553 0.89702 34.757
683 14 30 0 0.0004892 0.0155 107.740 0.626 0.93798 38.419
684 16 30 0 0.0004029 0.0131 118.470 0.606 0.92354 37.805
685 19 30 0 0.0003884 0.0163 127.690 0.785 0.97663 39.336
686 20 30 0 0.0006881 0.0188 85.790 0.619 0.92755 37.759
687 29 30 0 0.0004690 0.0154 151.410 0.566 1.08340 48.657
688 30 30 0 0.0018221 0.0232 61.400 0.692 0.96393 43.024
689 33 30 0 0.0004366 0.0206 102.520 0.766 0.93925 35.168
690 39 30 0 0.0006778 0.0171 98.670 0.752 0.96997 41.652
691 61 30 0 0.0008129 0.0217 84.250 0.612 0.96597 40.151
692 69 30 0 0.0005300 0.0184 105.960 0.548 0.96704 39.335
693 85 30 0 0.0007295 0.0235 86.660 0.537 0.97076 39.059
694 87 30 0 0.0005700 0.0232 110.380 0.576 1.03600 41.909
695 89 30 0 0.0018221 0.0232 61.400 0.692 0.96393 43.024
696 98 30 0 0.0003076 0.0130 129.870 0.811 0.91507 35.870
697 4 31 0 0.0003076 0.0130 129.870 0.811 0.91507 35.870
698 7 31 0 0.0005300 0.0184 105.960 0.548 0.96704 39.335
699 12 31 0 0.0008959 0.0278 80.340 0.696 0.99858 40.478
700 13 31 0 0.0005926 0.0184 74.580 0.639 0.85326 31.784
701 18 31 0 0.0005700 0.0232 110.380 0.576 1.03600 41.909
702 24 31 0 0.0005802 0.0193 68.090 0.659 0.82642 29.405
703 28 31 0 0.0018221 0.0232 61.400 0.692 0.96393 43.024
704 38 31 0 0.0003879 0.0150 170.570 0.563 1.10180 48.848
705 52 31 0 0.0003879 0.0150 170.570 0.563 1.10180 48.848
706 57 31 0 0.0005054 0.0255 95.600 0.798 0.96750 35.643
707 62 31 0 0.0003884 0.0163 127.690 0.785 0.97663 39.336
708 67 31 0 0.0005916 0.0253 134.370 0.443 1.16820 49.390
709 68 31 0 0.0016023 0.0260 72.000 0.662 1.04790 48.432
710 74 31 0 0.0008129 0.0217 84.250 0.612 0.96597 40.151
711 78 31 0 0.0006109 0.0211 67.850 0.564 0.84077 30.016
712 79 31 0 0.0005802 0.0193 68.090 0.659 0.82642 29.405
713 84 31 0 0.0005868 0.0276 85.980 0.695 0.95863 35.206
714 89 31 0 0.0004029 0.0131 118.470 0.606 0.92354 37.805
715 96 31 0 0.0005700 0.0232 110.380 0.576 1.03600 41.909
716 97 31 0 0.0005802 0.0193 68.090 0.659 0.82642 29.405
717 98 31 0 0.0005868 0.0276 85.980 0.695 0.95863 35.206
718 17 32 0 0.0010321 0.0328 50.810 0.527 0.86339 30.594
719 18 32 0 0.0005287 0.0193 91.020 0.522 0.91236 35.059
720 22 32 0 0.0005287 0.0193 91.020 0.522 0.91236 35.059
721 24 32 0 0.0005725 0.0289 53.030 0.757 0.79316 24.232
722 25 32 0 0.0018221 0.0232 61.400 0.692 0.96393 43.024
723 27 32 0 0.0008959 0.0278 80.340 0.696 0.99858 40.478
724 29 32 0 0.0005890 0.0188 84.330 0.553 0.89702 34.757
725 38 32 0 0.0006279 0.0221 80.910 0.686 0.91103 34.678
726 40 32 0 0.0005600 0.0204 110.670 0.698 1.01160 41.659
727 41 32 0 0.0006881 0.0188 85.790 0.619 0.92755 37.759
728 42 32 0 0.0005287 0.0193 91.020 0.522 0.91236 35.059
729 62 32 0 0.0005725 0.0289 53.030 0.757 0.79316 24.232
730 66 32 0 0.0003925 0.0141 138.360 0.755 0.99220 41.975
731 73 32 0 0.0006818 0.0163 90.920 0.562 0.93246 39.277
732 91 32 0 0.0006400 0.0258 77.403 0.618 0.91821 33.834
733 95 32 0 0.0006109 0.0211 67.850 0.564 0.84077 30.016
734 8 33 0 0.0006276 0.0152 134.800 0.677 1.08360 50.842
735 14 33 0 0.0005868 0.0276 85.980 0.695 0.95863 35.206
736 16 33 0 0.0006310 0.0240 95.150 0.476 0.99053 39.248
737 17 33 0 0.0005802 0.0193 68.090 0.659 0.82642 29.405
738 20 33 0 0.0005600 0.0204 110.670 0.698 1.01160 41.659
739 25 33 0 0.0013827 0.0276 69.530 0.388 1.01060 44.153
740 26 33 0 0.0006109 0.0211 67.850 0.564 0.84077 30.016
741 27 33 0 0.0006310 0.0240 95.150 0.476 0.99053 39.248
742 33 33 0 0.0008959 0.0278 80.340 0.696 0.99858 40.478
743 36 33 0 0.0004366 0.0206 102.520 0.766 0.93925 35.168
744 37 33 0 0.0004578 0.0151 121.810 0.743 0.97374 40.885
745 47 33 0 0.0005890 0.0188 84.330 0.553 0.89702 34.757
746 48 33 0 0.0006279 0.0221 80.910 0.686 0.91103 34.678
747 50 33 0 0.0005802 0.0193 68.090 0.659 0.82642 29.405
748 53 33 0 0.0008129 0.0217 84.250 0.612 0.96597 40.151
749 54 33 0 0.0005300 0.0184 105.960 0.548 0.96704 39.335
750 57 33 0 0.0003925 0.0141 138.360 0.755 0.99220 41.975
751 58 33 0 0.0011500 0.0207 104.600 0.657 1.13360 55.203
752 59 33 0 0.0004029 0.0131 118.470 0.606 0.92354 37.805
753 60 33 0 0.0005600 0.0204 110.670 0.698 1.01160 41.659
754 61 33 0 0.0004892 0.0155 107.740 0.626 0.93798 38.419
755 68 33 0 0.0005287 0.0193 91.020 0.522 0.91236 35.059
756 69 33 0 0.0005890 0.0188 84.330 0.553 0.89702 34.757
757 72 33 0 0.0007652 0.0360 74.270 0.451 0.98377 35.547
758 74 33 0 0.0005600 0.0204 110.670 0.698 1.01160 41.659
759 85 33 0 0.0006109 0.0211 67.850 0.564 0.84077 30.016
760 87 33 0 0.0005916 0.0253 134.370 0.443 1.16820 49.390
761 88 33 0 0.0010321 0.0328 50.810 0.527 0.86339 30.594
762 89 33 0 0.0008959 0.0278 80.340 0.696 0.99858 40.478
763 90 33 0 0.0005890 0.0188 84.330 0.553 0.89702 34.757
764 92 33 0 0.0007295 0.0235 86.660 0.537 0.97076 39.059
765 94 33 0 0.0006486 0.0174 95.810 0.577 0.95226 39.944
766 98 33 0 0.0018221 0.0232 61.400 0.692 0.96393 43.024
767 0 34 0 0.0003925 0.0141 138.360 0.755 0.99220 41.975
768 4 34 0 0.0006486 0.0174 95.810 0.577 0.95226 39.944
769 15 34 0 0.0006900 0.0243 91.256 0.610 0.98906 39.599
770 18 34 0 0.0004892 0.0155 107.740 0.626 0.93798 38.419
771 19 34 0 0.0016023 0.0260 72.000 0.662 1.04790 48.432
772 24 34 0 0.0005300 0.0184 105.960 0.548 0.96704 39.335
773 25 34 0 0.0005868 0.0276 85.980 0.695 0.95863 35.206
774 31 34 0 0.0006356 0.0177 130.130 0.550 1.09220 49.798
775 46 34 0 0.0004366 0.0206 102.520 0.766 0.93925 35.168
776 55 34 0 0.0006279 0.0221 80.910 0.686 0.91103 34.678
777 62 34 0 0.0006778 0.0171 98.670 0.752 0.96997 41.652
778 65 34 0 0.0006900 0.0243 91.256 0.610 0.98906 39.599
779 72 34 0 0.0006881 0.0188 85.790 0.619 0.92755 37.759
780 73 34 0 0.0003925 0.0141 138.360 0.755 0.99220 41.975
781 74 34 0 0.0005600 0.0204 110.670 0.698 1.01160 41.659
782 79 34 0 0.0013827 0.0276 69.530 0.388 1.01060 44.153
783 80 34 0 0.0006818 0.0163 90.920 0.562 0.93246 39.277
784 83 34 0 0.0013827 0.0276 69.530 0.388 1.01060 44.153
785 89 34 0 0.0005725 0.0289 53.030 0.757 0.79316 24.232
786 90 34 0 0.0005916 0.0253 134.370 0.443 1.16820 49.390
787 91 34 0 0.0010321 0.0328 50.810 0.527 0.86339 30.594
788 92 34 0 0.0003879 0.0150 170.570 0.563 1.10180 48.848
789 93 34 0 0.0006486 0.0174 95.810 0.577 0.95226 39.944
790 0 35 0 0.0006400 0.0258 77.403 0.618 0.91821 33.834
791 3 35 0 0.0005802 0.0193 68.090 0.659 0.82642 29.405
792 17 35 0 0.0007295 0.0235 86.660 0.537 0.97076 39.059
793 19 35 0 0.0005725 0.0289 53.030 0.757 0.79316 24.232
794 21 35 0 0.0006818 0.0163 90.920 0.562 0.93246 39.277
795 26 35 0 0.0006778 0.0171 98.670 0.752 0.96997 41.652
796 41 35 0 0.0008129 0.0217 84.250 0.612 0.96597 40.151
797 42 35 0 0.0005868 0.0276 85.980 0.695 0.95863 35.206
798 49 35 0 0.0005890 0.0188 84.330 0.553 0.89702 34.757
799 52 35 0 0.0005287 0.0193 91.020 0.522 0.91236 35.059
800 53 35 0 0.0006400 0.0258 77.403 0.618 0.91821 33.834
801 58 35 0 0.0005287 0.0193 91.020 0.522 0.91236 35.059
802 63 35 0 0.0003076 0.0130 129.870 0.811 0.91507 35.870
803 72 35 0 0.0004817 0.0150 122.800 0.784 0.98535 42.087
804 73 35 0 0.0007652 0.0360 74.270 0.451 0.98377 35.547
805 78 35 0 0.0004892 0.0155 107.740 0.626 0.93798 38.419
806 90 35 0 0.0006486 0.0174 95.810 0.577 0.95226 39.944
807 91 35 0 0.0006900 0.0243 91.256 0.610 0.98906 39.599
808 94 35 0 0.0006818 0.0163 90.920 0.562 0.93246 39.277
809 8 36 0 0.0006310 0.0240 95.150 0.476 0.99053 39.248
810 9 36 0 0.0007295 0.0235 86.660 0.537 0.97076 39.059
811 15 36 0 0.0003076 0.0130 129.870 0.811 0.91507 35.870
812 16 36 0 0.0006276 0.0152 134.800 0.677 1.08360 50.842
813 18 36 0 0.0004029 0.0131 118.470 0.606 0.92354 37.805
814 19 36 0 0.0007652 0.0360 74.270 0.451 0.98377 35.547
815 20 36 0 0.0011600 0.0232 123.980 0.628 1.25900 62.953
816 21 36 0 0.0005054 0.0255 95.600 0.798 0.96750 35.643
817 25 36 0 0.0004690 0.0154 151.410 0.566 1.08340 48.657
818 33 36 0 0.0004985 0.0189 130.090 0.685 1.05440 44.631
819 35 36 0 0.0006279 0.0221 80.910 0.686 0.91103 34.678
820 37 36 0 0.0005926 0.0184 74.580 0.639 0.85326 31.784
821 40 36 0 0.0005916 0.0253 134.370 0.443 1.16820 49.390
822 45 36 0 0.0006400 0.0258 77.403 0.618 0.91821 33.834
823 59 36 0 0.0018221 0.0232 61.400 0.692 0.96393 43.024
824 60 36 0 0.0004985 0.0189 130.090 0.685 1.05440 44.631
825 63 36 0 0.0004817 0.0150 122.800 0.784 0.98535 42.087
826 64 36 0 0.0008129 0.0217 84.250 0.612 0.96597 40.151
827 69 36 0 0.0004985 0.0189 130.090 0.685 1.05440 44.631
828 70 36 0 0.0005300 0.0184 105.960 0.548 0.96704 39.335
829 74 36 0 0.0011500 0.0207 104.600 0.657 1.13360 55.203
830 75 36 0 0.0005890 0.0188 84.330 0.553 0.89702 34.757
831 81 36 0 0.0003884 0.0163 127.690 0.785 0.97663 39.336
832 91 36 0 0.0006109 0.0211 67.850 0.564 0.84077 30.016
833 92 36 0 0.0008129 0.0217 84.250 0.612 0.96597 40.151
834 99 36 0 0.0005300 0.0184 105.960 0.548 0.96704 39.335
835 0 37 0 0.0007295 0.0235 86.660 0.537 0.97076 39.059
836 1 37 0 0.0006778 0.0171 98.670 0.752 0.96997 41.652
837 7 37 0 0.0006310 0.0240 95.150 0.476 0.99053 39.248
838 13 37 0 0.0006279 0.0221 80.910 0.686 0.91103 34.678
839 14 37 0 0.0006400 0.0258 77.403 0.618 0.91821 33.834
840 15 37 0 0.0005926 0.0184 74.580 0.639 0.85326 31.784
841 21 37 0 0.0006310 0.0240 95.150 0.476 0.99053 39.248
842 31 37 0 0.0013827 0.0276 69.530 0.388 1.01060 44.153
843 32 37 0 0.0004892 0.0155 107.740 0.626 0.93798 38.419
844 37 37 0 0.0005916 0.0253 134.370 0.443 1.16820 49.390
845 55 37 0 0.0005287 0.0193 91.020 0.522 0.91236 35.059
846 58 37 0 0.0004366 0.0206 102.520 0.766 0.93925 35.168
847 60 37 0 0.0005054 0.0255 95.600 0.798 0.96750 35.643
848 62 37 0 0.0005700 0.0232 110.380 0.576 1.03600 41.909
849 63 37 0 0.0004817 0.0150 122.800 0.784 0.98535 42.087
850 65 37 0 0.0006310 0.0240 95.150 0.476 0.99053 39.248
851 82 37 0 0.0006900 0.0243 91.256 0.610 0.98906 39.599
852 88 37 0 0.0005926 0.0184 74.580 0.639 0.85326 31.784
853 98 37 0 0.0007652 0.0360 74.270 0.451 0.98377 35.547
854 10 38 0 0.0005868 0.0276 85.980 0.695 0.95863 35.206
855 13 38 0 0.0013827 0.0276 69.530 0.388 1.01060 44.153
856 14 38 0 0.0005700 0.0232 110.380 0.576 1.03600 41.909
857 20 38 0 0.0007295 0.0235 86.660 0.537 0.97076 39.059
858 22 38 0 0.0007295 0.0235 86.660 0.537 0.97076 39.059
859 25 38 0 0.0005802 0.0193 68.090 0.659 0.82642 29.405
860 30 38 0 0.0006881 0.0188 85.790 0.619 0.92755 37.759
861 44 38 0 0.0003879 0.0150 170.570 0.563 1.10180 48.848
862 53 38 0 0.0005300 0.0184 105.960 0.548 0.96704 39.335
863 54 38 0 0.0006486 0.0174 95.810 0.577 0.95226 39.944
864 58 38 0 0.0005916 0.0253 134.370 0.443 1.16820 49.390
865 61 38 0 0.0011500 0.0207 104.600 0.657 1.13360 55.203
866 62 38 0 0.0004366 0.0206 102.520 0.766 0.93925 35.168
867 63 38 0 0.0007295 0.0235 86.660 0.537 0.97076 39.059
868 64 38 0 0.0006310 0.0240 95.150 0.476 0.99053 39.248
869 65 38 0 0.0016023 0.0260 72.000 0.662 1.04790 48.432
870 72 38 0 0.0004690 0.0154 151.410 0.566 1.08340 48.657
871 87 38 0 0.0005890 0.0188 84.330 0.553 0.89702 34.757
872 88 38 0 0.0005725 0.0289 53.030 0.757 0.79316 24.232
873 94 38 0 0.0004578 0.0151 121.810 0.743 0.97374 40.885
874 3 39 0 0.0003884 0.0163 127.690 0.785 0.97663 39.336
875 6 39 0 0.0006310 0.0240 95.150 0.476 0.99053 39.248
876 11 39 0 0.0004578 0.0151 121.810 0.743 0.97374 40.885
877 18 39 0 0.0003076 0.0130 129.870 0.811 0.91507 35.870
878 25 39 0 0.0006276 0.0152 134.800 0.677 1.08360 50.842
879 26 39 0 0.0007295 0.0235 86.660 0.537 0.97076 39.059
880 29 39 0 0.0005802 0.0193 68.090 0.659 0.82642 29.405
881 33 39 0 0.0010321 0.0328 50.810 0.527 0.86339 30.594
882 37 39 0 0.0006279 0.0221 80.910 0.686 0.91103 34.678
883 38 39 0 0.0006356 0.0177 130.130 0.550 1.09220 49.798
884 52 39 0 0.0006400 0.0258 77.403 0.618 0.91821 33.834
885 58 39 0 0.0006276 0.0152 134.800 0.677 1.08360 50.842
886 63 39 0 0.0005054 0.0255 95.600 0.798 0.96750 35.643
887 65 39 0 0.0007755 0.0204 112.520 0.699 1.08250 48.835
888 70 39 0 0.0011500 0.0207 104.600 0.657 1.13360 55.203
889 71 39 0 0.0005054 0.0255 95.600 0.798 0.96750 35.643
890 82 39 0 0.0010321 0.0328 50.810 0.527 0.86339 30.594
891 83 39 0 0.0005725 0.0289 53.030 0.757 0.79316 24.232
892 86 39 0 0.0006486 0.0174 95.810 0.577 0.95226 39.944
893 87 39 0 0.0006109 0.0211 67.850 0.564 0.84077 30.016
894 92 39 0 0.0006486 0.0174 95.810 0.577 0.95226 39.944
895 93 39 0 0.0006279 0.0221 80.910 0.686 0.91103 34.678
896 94 39 0 0.0007755 0.0204 112.520 0.699 1.08250 48.835
897 97 39 0 0.0011500 0.0207 104.600 0.657 1.13360 55.203
898 2 40 0 0.0004029 0.0131 118.470 0.606 0.92354 37.805
899 11 40 0 0.0005802 0.0193 68.090 0.659 0.82642 29.405
900 12 40 0 0.0005725 0.0289 53.030 0.757 0.79316 24.232
901 13 40 0 0.0006109 0.0211 67.850 0.564 0.84077 30.016
902 23 40 0 0.0006400 0.0258 77.403 0.618 0.91821 33.834
903 24 40 0 0.0004892 0.0155 107.740 0.626 0.93798 38.419
904 27 40 0 0.0006109 0.0211 67.850 0.564 0.84077 30.016
905 29 40 0 0.0008129 0.0217 84.250 0.612 0.96597 40.151
906 34 40 0 0.0006109 0.0211 67.850 0.564 0.84077 30.016
907 46 40 0 0.0008129 0.0217 84.250 0.612 0.96597 40.151
908 48 40 0 0.0005300 0.0184 105.960 0.548 0.96704 39.335
909 49 40 0 0.0004578 0.0151 121.810 0.743 0.97374 40.885
910 60 40 0 0.0007755 0.0204 112.520 0.699 1.08250 48.835
911 62 40 0 0.0013827 0.0276 69.530 0.388 1.01060 44.153
912 63 40 0 0.0006486 0.0174 95.810 0.577 0.95226 39.944
913 64 40 0 0.0016023 0.0260 72.000 0.662 1.04790 48.432
914 69 40 0 0.0005287 0.0193 91.020 0.522 0.91236 35.059
915 81 40 0 0.0006356 0.0177 130.130 0.550 1.09220 49.798
916 84 40 0 0.0010321 0.0328 50.810 0.527 0.86339 30.594
917 87 40 0 0.0006279 0.0221 80.910 0.686 0.91103 34.678
918 89 40 0 0.0005802 0.0193 68.090 0.659 0.82642 29.405
919 91 40 0 0.0006279 0.0221 80.910 0.686 0.91103 34.678
920 0 41 0 0.0006400 0.0258 77.403 0.618 0.91821 33.834
921 8 41 0 0.0005600 0.0204 110.670 0.698 1.01160 41.659
922 10 41 0 0.0005054 0.0255 95.600 0.798 0.96750 35.643
923 13 41 0 0.0006109 0.0211 67.850 0.564 0.84077 30.016
924 20 41 0 0.0004925 0.0150 194.290 0.750 1.23330 59.968
925 44 41 0 0.0006356 0.0177 130.130 0.550 1.09220 49.798
926 45 41 0 0.0004029 0.0131 118.470 0.606 0.92354 37.805
927 60 41 0 0.0003925 0.0141 138.360 0.755 0.99220 41.975
928 61 41 0 0.0006486 0.0174 95.810 0.577 0.95226 39.944
929 62 41 0 0.0004817 0.0150 122.800 0.784 0.98535 42.087
930 72 41 0 0.0004029 0.0131 118.470 0.606 0.92354 37.805
931 77 41 0 0.0011500 0.0207 104.600 0.657 1.13360 55.203
932 78 41 0 0.0010321 0.0328 50.810 0.527 0.86339 30.594
933 83 41 0 0.0005926 0.0184 74.580 0.639 0.85326 31.784
934 84 41 0 0.0006818 0.0163 90.920 0.562 0.93246 39.277
935 94 41 0 0.0004366 0.0206 102.520 0.766 0.93925 35.168
936 96 41 0 0.0006310 0.0240 95.150 0.476 0.99053 39.248
937 97 41 0 0.0003076 0.0130 129.870 0.811 0.91507 35.870
938 98 41 0 0.0006818 0.0163 90.920 0.562 0.93246 39.277
939 99 41 0 0.0007652 0.0360 74.270 0.451 0.98377 35.547
940 6 42 0 0.0008129 0.0217 84.250 0.612 0.96597 40.151
941 7 42 0 0.0003925 0.0141 138.360 0.755 0.99220 41.975
942 18 42 0 0.0013827 0.0276 69.530 0.388 1.01060 44.153
943 19 42 0 0.0005600 0.0204 110.670 0.698 1.01160 41.659
944 25 42 0 0.0003884 0.0163 127.690 0.785 0.97663 39.336
945 34 42 0 0.0005287 0.0193 91.020 0.522 0.91236 35.059
946 38 42 0 0.0005300 0.0184 105.960 0.548 0.96704 39.335
947 39 42 0 0.0003076 0.0130 129.870 0.811 0.91507 35.870
948 49 42 0 0.0008129 0.0217 84.250 0.612 0.96597 40.151
949 50 42 0 0.0006109 0.0211 67.850 0.564 0.84077 30.016
950 58 42 0 0.0011500 0.0207 104.600 0.657 1.13360 55.203
951 59 42 0 0.0004817 0.0150 122.800 0.784 0.98535 42.087
952 65 42 0 0.0008129 0.0217 84.250 0.612 0.96597 40.151
953 66 42 0 0.0008959 0.0278 80.340 0.696 0.99858 40.478
954 76 42 0 0.0011500 0.0207 104.600 0.657 1.13360 55.203
955 89 42 0 0.0006109 0.0211 67.850 0.564 0.84077 30.016
956 90 42 0 0.0010321 0.0328 50.810 0.527 0.86339 30.594
957 92 42 0 0.0011500 0.0207 104.600 0.657 1.13360 55.203
958 93 42 0 0.0008959 0.0278 80.340 0.696 0.99858 40.478
959 95 42 0 0.0004578 0.0151 121.810 0.743 0.97374 40.885
960 96 42 0 0.0005926 0.0184 74.580 0.639 0.85326 31.784
961 97 42 0 0.0005890 0.0188 84.330 0.553 0.89702 34.757
962 98 42 0 0.0005600 0.0204 110.670 0.698 1.01160 41.659
963 99 42 0 0.0003884 0.0163 127.690 0.785 0.97663 39.336
964 0 43 0 0.0006818 0.0163 90.920 0.562 0.93246 39.277
965 1 43 0 0.0006900 0.0243 91.256 0.610 0.98906 39.599
966 5 43 0 0.0011500 0.0207 104.600 0.657 1.13360 55.203
967 11 43 0 0.0006881 0.0188 85.790 0.619 0.92755 37.759
968 23 43 0 0.0005916 0.0253 134.370 0.443 1.16820 49.390
969 24 43 0 0.0004366 0.0206 102.520 0.766 0.93925 35.168
970 26 43 0 0.0005725 0.0289 53.030 0.757 0.79316 24.232
971 30 43 0 0.0006310 0.0240 95.150 0.476 0.99053 39.248
972 31 43 0 0.0007295 0.0235 86.660 0.537 0.97076 39.059
973 33 43 0 0.0005926 0.0184 74.580 0.639 0.85326 31.784
974 37 43 0 0.0013827 0.0276 69.530 0.388 1.01060 44.153
975 46 43 0 0.0011500 0.0207 104.600 0.657 1.13360 55.203
976 51 43 0 0.0005287 0.0193 91.020 0.522 0.91236 35.059
977 52 43 0 0.0003076 0.0130 129.870 0.811 0.91507 35.870
978 53 43 0 0.0005926 0.0184 74.580 0.639 0.85326 31.784
979 57 43 0 0.0006310 0.0240 95.150 0.476 0.99053 39.248
980 64 43 0 0.0011500 0.0207 104.600 0.657 1.13360 55.203
981 70 43 0 0.0005300 0.0184 105.960 0.548 0.96704 39.335
982 73 43 0 0.0003076 0.0130 129.870 0.811 0.91507 35.870
983 79 43 0 0.0004578 0.0151 121.810 0.743 0.97374 40.885
984 86 43 0 0.0006109 0.0211 67.850 0.564 0.84077 30.016
985 87 43 0 0.0005600 0.0204 110.670 0.698 1.01160 41.659
986 88 43 0 0.0004366 0.0206 102.520 0.766 0.93925 35.168
987 90 43 0 0.0006356 0.0177 130.130 0.550 1.09220 49.798
988 96 43 0 0.0006881 0.0188 85.790 0.619 0.92755 37.759
989 97 43 0 0.0006400 0.0258 77.403 0.618 0.91821 33.834
990 98 43 0 0.0004029 0.0131 118.470 0.606 0.92354 37.805
991 99 43 0 0.0006900 0.0243 91.256 0.610 0.98906 39.599
992 0 44 0 0.0005300 0.0184 105.960 0.548 0.96704 39.335
993 8 44 0 0.0006900 0.0243 91.256 0.610 0.98906 39.599
994 14 44 0 0.0011500 0.0207 104.600 0.657 1.13360 55.203
995 20 44 0 0.0006356 0.0177 130.130 0.550 1.09220 49.798
996 23 44 0 0.0005725 0.0289 53.030 0.757 0.79316 24.232
997 24 44 0 0.0006310 0.0240 95.150 0.476 0.99053 39.248
998 26 44 0 0.0006818 0.0163 90.920 0.562 0.93246 39.277
999 28 44 0 0.0006881 0.0188 85.790 0.619 0.92755 37.759
1000 29 44 0 0.0005890 0.0188 84.330 0.553 0.89702 34.757
1001 34 44 0 0.0005700 0.0232 110.380 0.576 1.03600 41.909
1002 40 44 0 0.0005054 0.0255 95.600 0.798 0.96750 35.643
1003 49 44 0 0.0005802 0.0193 68.090 0.659 0.82642 29.405
1004 51 44 0 0.0005916 0.0253 134.370 0.443 1.16820 49.390
1005 52 44 0 0.0007652 0.0360 74.270 0.451 0.98377 35.547
1006 53 44 0 0.0011500 0.0207 104.600 0.657 1.13360 55.203
1007 56 44 0 0.0005287 0.0193 91.020 0.522 0.91236 35.059
1008 70 44 0 0.0003925 0.0141 138.360 0.755 0.99220 41.975
1009 71 44 0 0.0006310 0.0240 95.150 0.476 0.99053 39.248
1010 84 44 0 0.0011500 0.0207 104.600 0.657 1.13360 55.203
1011 85 44 0 0.0006109 0.0211 67.850 0.564 0.84077 30.016
1012 91 44 0 0.0004892 0.0155 107.740 0.626 0.93798 38.419
1013 92 44 0 0.0005054 0.0255 95.600 0.798 0.96750 35.643
1014 94 44 0 0.0005725 0.0289 53.030 0.757 0.79316 24.232
1015 97 44 0 0.0004029 0.0131 118.470 0.606 0.92354 37.805
1016 99 44 0 0.0006109 0.0211 67.850 0.564 0.84077 30.016
1017 0 45 0 0.0003076 0.0130 129.870 0.811 0.91507 35.870
1018 4 45 0 0.0006486 0.0174 95.810 0.577 0.95226 39.944
1019 13 45 0 0.0004029 0.0131 118.470 0.606 0.92354 37.805
1020 16 45 0 0.0006881 0.0188 85.790 0.619 0.92755 37.759
1021 21 45 0 0.0004366 0.0206 102.520 0.766 0.93925 35.168
1022 23 45 0 0.0013827 0.0276 69.530 0.388 1.01060 44.153
1023 25 45 0 0.0005926 0.0184 74.580 0.639 0.85326 31.784
1024 29 45 0 0.0016023 0.0260 72.000 0.662 1.04790 48.432
1025 32 45 0 0.0005868 0.0276 85.980 0.695 0.95863 35.206
1026 33 45 0 0.0006778 0.0171 98.670 0.752 0.96997 41.652
1027 34 45 0 0.0006486 0.0174 95.810 0.577 0.95226 39.944
1028 36 45 0 0.0006310 0.0240 95.150 0.476 0.99053 39.248
1029 41 45 0 0.0005054 0.0255 95.600 0.798 0.96750 35.643
1030 49 45 0 0.0006818 0.0163 90.920 0.562 0.93246 39.277
1031 50 45 0 0.0005926 0.0184 74.580 0.639 0.85326 31.784
1032 51 45 0 0.0005926 0.0184 74.580 0.639 0.85326 31.784
1033 53 45 0 0.0011600 0.0232 123.980 0.628 1.25900 62.953
1034 56 45 0 0.0005300 0.0184 105.960 0.548 0.96704 39.335
1035 82 45 0 0.0004925 0.0150 194.290 0.750 1.23330 59.968
1036 84 45 0 0.0007652 0.0360 74.270 0.451 0.98377 35.547
1037 89 45 0 0.0011500 0.0207 104.600 0.657 1.13360 55.203
1038 92 45 0 0.0006778 0.0171 98.670 0.752 0.96997 41.652
1039 97 45 0 0.0004817 0.0150 122.800 0.784 0.98535 42.087
1040 98 45 0 0.0006400 0.0258 77.403 0.618 0.91821 33.834
1041 99 45 0 0.0006279 0.0221 80.910 0.686 0.91103 34.678
1042 0 46 0 0.0004817 0.0150 122.800 0.784 0.98535 42.087
1043 1 46 0 0.0003884 0.0163 127.690 0.785 0.97663 39.336
1044 2 46 0 0.0018221 0.0232 61.400 0.692 0.96393 43.024
1045 10 46 0 0.0004892 0.0155 107.740 0.626 0.93798 38.419
1046 14 46 0 0.0005868 0.0276 85.980 0.695 0.95863 35.206
1047 22 46 0 0.0008129 0.0217 84.250 0.612 0.96597 40.151
1048 26 46 0 0.0005802 0.0193 68.090 0.659 0.82642 29.405
1049 30 46 0 0.0005054 0.0255 95.600 0.798 0.96750 35.643
1050 31 46 0 0.0004985 0.0189 130.090 0.685 1.05440 44.631
1051 32 46 0 0.0008129 0.0217 84.250 0.612 0.96597 40.151
1052 33 46 0 0.0004029 0.0131 118.470 0.606 0.92354 37.805
1053 34 46 0 0.0004366 0.0206 102.520 0.766 0.93925 35.168
1054 35 46 0 0.0004366 0.0206 102.520 0.766 0.93925 35.168
1055 43 46 0 0.0005926 0.0184 74.580 0.639 0.85326 31.784
1056 46 46 0 0.0006486 0.0174 95.810 0.577 0.95226 39.944
1057 47 46 0 0.0005287 0.0193 91.020 0.522 0.91236 35.059
1058 49 46 0 0.0004366 0.0206 102.520 0.766 0.93925 35.168
1059 53 46 0 0.0006109 0.0211 67.850 0.564 0.84077 30.016
1060 54 46 0 0.0004925 0.0150 194.290 0.750 1.23330 59.968
1061 57 46 0 0.0006400 0.0258 77.403 0.618 0.91821 33.834
1062 64 46 0 0.0004578 0.0151 121.810 0.743 0.97374 40.885
1063 66 46 0 0.0006310 0.0240 95.150 0.476 0.99053 39.248
1064 73 46 0 0.0003925 0.0141 138.360 0.755 0.99220 41.975
1065 75 46 0 0.0006778 0.0171 98.670 0.752 0.96997 41.652
1066 80 46 0 0.0007652 0.0360 74.270 0.451 0.98377 35.547
1067 85 46 0 0.0013827 0.0276 69.530 0.388 1.01060 44.153
1068 93 46 0 0.0008959 0.0278 80.340 0.696 0.99858 40.478
1069 96 46 0 0.0006276 0.0152 134.800 0.677 1.08360 50.842
1070 97 46 0 0.0005802 0.0193 68.090 0.659 0.82642 29.405
1071 98 46 0 0.0004578 0.0151 121.810 0.743 0.97374 40.885
1072 99 46 0 0.0010321 0.0328 50.810 0.527 0.86339 30.594
1073 8 47 0 0.0005300 0.0184 105.960 0.548 0.96704 39.335
1074 18 47 0 0.0005802 0.0193 68.090 0.659 0.82642 29.405
1075 30 47 0 0.0007652 0.0360 74.270 0.451 0.98377 35.547
1076 31 47 0 0.0007755 0.0204 112.520 0.699 1.08250 48.835
1077 33 47 0 0.0003925 0.0141 138.360 0.755 0.99220 41.975
1078 37 47 0 0.0004578 0.0151 121.810 0.743 0.97374 40.885
1079 38 47 0 0.0003076 0.0130 129.870 0.811 0.91507 35.870
1080 49 47 0 0.0003076 0.0130 129.870 0.811 0.91507 35.870
1081 50 47 0 0.0004029 0.0131 118.470 0.606 0.92354 37.805
1082 52 47 0 0.0003925 0.0141 138.360 0.755 0.99220 41.975
1083 55 47 0 0.0005300 0.0184 105.960 0.548 0.96704 39.335
1084 57 47 0 0.0005600 0.0204 110.670 0.698 1.01160 41.659
1085 62 47 0 0.0013827 0.0276 69.530 0.388 1.01060 44.153
1086 63 47 0 0.0006279 0.0221 80.910 0.686 0.91103 34.678
1087 71 47 0 0.0013827 0.0276 69.530 0.388 1.01060 44.153
1088 72 47 0 0.0006881 0.0188 85.790 0.619 0.92755 37.759
1089 73 47 0 0.0005600 0.0204 110.670 0.698 1.01160 41.659
1090 79 47 0 0.0005725 0.0289 53.030 0.757 0.79316 24.232
1091 91 47 0 0.0006400 0.0258 77.403 0.618 0.91821 33.834
1092 93 47 0 0.0005054 0.0255 95.600 0.798 0.96750 35.643
1093 94 47 0 0.0007755 0.0204 112.520 0.699 1.08250 48.835
1094 95 47 0 0.0007652 0.0360 74.270 0.451 0.98377 35.547
1095 98 47 0 0.0005287 0.0193 91.020 0.522 0.91236 35.059
1096 99 47 0 0.0005926 0.0184 74.580 0.639 0.85326 31.784
1097 5 48 0 0.0004892 0.0155 107.740 0.626 0.93798 38.419
1098 16 48 0 0.0010321 0.0328 50.810 0.527 0.86339 30.594
1099 28 48 0 0.0006400 0.0258 77.403 0.618 0.91821 33.834
1100 56 48 0 0.0003925 0.0141 138.360 0.755 0.99220 41.975
1101 57 48 0 0.0006900 0.0243 91.256 0.610 0.98906 39.599
1102 61 48 0 0.0003879 0.0150 170.570 0.563 1.10180 48.848
1103 70 48 0 0.0018221 0.0232 61.400 0.692 0.96393 43.024
1104 89 48 0 0.0007652 0.0360 74.270 0.451 0.98377 35.547
1105 90 48 0 0.0005725 0.0289 53.030 0.757 0.79316 24.232
1106 94 48 0 0.0004366 0.0206 102.520 0.766 0.93925 35.168
1107 0 49 0 0.0006818 0.0163 90.920 0.562 0.93246 39.277
1108 1 49 0 0.0018221 0.0232 61.400 0.692 0.96393 43.024
1109 10 49 0 0.0005700 0.0232 110.380 0.576 1.03600 41.909
1110 11 49 0 0.0006881 0.0188 85.790 0.619 0.92755 37.759
1111 12 49 0 0.0006356 0.0177 130.130 0.550 1.09220 49.798
1112 14 49 0 0.0006486 0.0174 95.810 0.577 0.95226 39.944
1113 15 49 0 0.0006279 0.0221 80.910 0.686 0.91103 34.678
1114 17 49 0 0.0011500 0.0207 104.600 0.657 1.13360 55.203
1115 20 49 0 0.0003925 0.0141 138.360 0.755 0.99220 41.975
1116 21 49 0 0.0006818 0.0163 90.920 0.562 0.93246 39.277
1117 26 49 0 0.0005300 0.0184 105.960 0.548 0.96704 39.335
1118 27 49 0 0.0006356 0.0177 130.130 0.550 1.09220 49.798
1119 31 49 0 0.0005916 0.0253 134.370 0.443 1.16820 49.390
1120 32 49 0 0.0010321 0.0328 50.810 0.527 0.86339 30.594
1121 40 49 0 0.0013827 0.0276 69.530 0.388 1.01060 44.153
1122 42 49 0 0.0010321 0.0328 50.810 0.527 0.86339 30.594
1123 44 49 0 0.0010321 0.0328 50.810 0.527 0.86339 30.594
1124 45 49 0 0.0006276 0.0152 134.800 0.677 1.08360 50.842
1125 46 49 0 0.0006310 0.0240 95.150 0.476 0.99053 39.248
1126 47 49 0 0.0010321 0.0328 50.810 0.527 0.86339 30.594
1127 48 49 0 0.0007652 0.0360 74.270 0.451 0.98377 35.547
1128 51 49 0 0.0004892 0.0155 107.740 0.626 0.93798 38.419
1129 54 49 0 0.0018221 0.0232 61.400 0.692 0.96393 43.024
1130 56 49 0 0.0007652 0.0360 74.270 0.451 0.98377 35.547
1131 64 49 0 0.0013827 0.0276 69.530 0.388 1.01060 44.153
1132 67 49 0 0.0003076 0.0130 129.870 0.811 0.91507 35.870
1133 73 49 0 0.0004925 0.0150 194.290 0.750 1.23330 59.968
1134 85 49 0 0.0004985 0.0189 130.090 0.685 1.05440 44.631
1135 88 49 0 0.0007652 0.0360 74.270 0.451 0.98377 35.547
1136 94 49 0 0.0005287 0.0193 91.020 0.522 0.91236 35.059
1137 97 49 0 0.0004578 0.0151 121.810 0.743 0.97374 40.885
1138 98 49 0 0.0003925 0.0141 138.360 0.755 0.99220 41.975
1139 8 50 0 0.0013827 0.0276 69.530 0.388 1.01060 44.153
1140 9 50 0 0.0006276 0.0152 134.800 0.677 1.08360 50.842
1141 14 50 0 0.0004578 0.0151 121.810 0.743 0.97374 40.885
1142 16 50 0 0.0006900 0.0243 91.256 0.610 0.98906 39.599
1143 38 50 0 0.0006356 0.0177 130.130 0.550 1.09220 49.798
1144 39 50 0 0.0005890 0.0188 84.330 0.553 0.89702 34.757
1145 52 50 0 0.0007652 0.0360 74.270 0.451 0.98377 35.547
1146 53 50 0 0.0011500 0.0207 104.600 0.657 1.13360 55.203
1147 60 50 0 0.0003076 0.0130 129.870 0.811 0.91507 35.870
1148 65 50 0 0.0003884 0.0163 127.690 0.785 0.97663 39.336
1149 69 50 0 0.0007652 0.0360 74.270 0.451 0.98377 35.547
1150 74 50 0 0.0006818 0.0163 90.920 0.562 0.93246 39.277
1151 83 50 0 0.0011500 0.0207 104.600 0.657 1.13360 55.203
1152 85 50 0 0.0004817 0.0150 122.800 0.784 0.98535 42.087
1153 91 50 0 0.0005600 0.0204 110.670 0.698 1.01160 41.659
1154 2 51 0 0.0007755 0.0204 112.520 0.699 1.08250 48.835
1155 7 51 0 0.0006900 0.0243 91.256 0.610 0.98906 39.599
1156 28 51 0 0.0005725 0.0289 53.030 0.757 0.79316 24.232
1157 33 51 0 0.0018221 0.0232 61.400 0.692 0.96393 43.024
1158 34 51 0 0.0006276 0.0152 134.800 0.677 1.08360 50.842
1159 37 51 0 0.0004578 0.0151 121.810 0.743 0.97374 40.885
1160 46 51 0 0.0006279 0.0221 80.910 0.686 0.91103 34.678
1161 57 51 0 0.0005868 0.0276 85.980 0.695 0.95863 35.206
1162 58 51 0 0.0006109 0.0211 67.850 0.564 0.84077 30.016
1163 66 51 0 0.0006276 0.0152 134.800 0.677 1.08360 50.842
1164 67 51 0 0.0003925 0.0141 138.360 0.755 0.99220 41.975
1165 76 51 0 0.0003925 0.0141 138.360 0.755 0.99220 41.975
1166 79 51 0 0.0005725 0.0289 53.030 0.757 0.79316 24.232
1167 81 51 0 0.0007652 0.0360 74.270 0.451 0.98377 35.547
1168 82 51 0 0.0005926 0.0184 74.580 0.639 0.85326 31.784
1169 87 51 0 0.0011600 0.0232 123.980 0.628 1.25900 62.953
1170 93 51 0 0.0004892 0.0155 107.740 0.626 0.93798 38.419
1171 0 52 0 0.0005287 0.0193 91.020 0.522 0.91236 35.059
1172 2 52 0 0.0005890 0.0188 84.330 0.553 0.89702 34.757
1173 3 52 0 0.0003884 0.0163 127.690 0.785 0.97663 39.336
1174 10 52 0 0.0004366 0.0206 102.520 0.766 0.93925 35.168
1175 13 52 0 0.0003925 0.0141 138.360 0.755 0.99220 41.975
1176 14 52 0 0.0005725 0.0289 53.030 0.757 0.79316 24.232
1177 21 52 0 0.0013827 0.0276 69.530 0.388 1.01060 44.153
1178 22 52 0 0.0005054 0.0255 95.600 0.798 0.96750 35.643
1179 30 52 0 0.0008959 0.0278 80.340 0.696 0.99858 40.478
1180 40 52 0 0.0005868 0.0276 85.980 0.695 0.95863 35.206
1181 44 52 0 0.0005926 0.0184 74.580 0.639 0.85326 31.784
1182 46 52 0 0.0005802 0.0193 68.090 0.659 0.82642 29.405
1183 47 52 0 0.0011500 0.0207 104.600 0.657 1.13360 55.203
1184 48 52 0 0.0006881 0.0188 85.790 0.619 0.92755 37.759
1185 65 52 0 0.0005926 0.0184 74.580 0.639 0.85326 31.784
1186 66 52 0 0.0005890 0.0188 84.330 0.553 0.89702 34.757
1187 67 52 0 0.0005725 0.0289 53.030 0.757 0.79316 24.232
1188 69 52 0 0.0004817 0.0150 122.800 0.784 0.98535 42.087
1189 71 52 0 0.0005725 0.0289 53.030 0.757 0.79316 24.232
1190 73 52 0 0.0006279 0.0221 80.910 0.686 0.91103 34.678
1191 80 52 0 0.0004985 0.0189 130.090 0.685 1.05440 44.631
1192 87 52 0 0.0005890 0.0188 84.330 0.553 0.89702 34.757
1193 92 52 0 0.0005600 0.0204 110.670 0.698 1.01160 41.659
1194 94 52 0 0.0005802 0.0193 68.090 0.659 0.82642 29.405
1195 98 52 0 0.0006486 0.0174 95.810 0.577 0.95226 39.944
1196 99 52 0 0.0006818 0.0163 90.920 0.562 0.93246 39.277
1197 0 53 0 0.0003879 0.0150 170.570 0.563 1.10180 48.848
1198 3 53 0 0.0008129 0.0217 84.250 0.612 0.96597 40.151
1199 6 53 0 0.0007652 0.0360 74.270 0.451 0.98377 35.547
1200 20 53 0 0.0003076 0.0130 129.870 0.811 0.91507 35.870
1201 30 53 0 0.0008959 0.0278 80.340 0.696 0.99858 40.478
1202 36 53 0 0.0005890 0.0188 84.330 0.553 0.89702 34.757
1203 41 53 0 0.0005802 0.0193 68.090 0.659 0.82642 29.405
1204 50 53 0 0.0008129 0.0217 84.250 0.612 0.96597 40.151
1205 60 53 0 0.0004892 0.0155 107.740 0.626 0.93798 38.419
1206 62 53 0 0.0007295 0.0235 86.660 0.537 0.97076 39.059
1207 64 53 0 0.0007652 0.0360 74.270 0.451 0.98377 35.547
1208 70 53 0 0.0005890 0.0188 84.330 0.553 0.89702 34.757
1209 72 53 0 0.0006400 0.0258 77.403 0.618 0.91821 33.834
1210 85 53 0 0.0005054 0.0255 95.600 0.798 0.96750 35.643
1211 90 53 0 0.0005926 0.0184 74.580 0.639 0.85326 31.784
1212 91 53 0 0.0008129 0.0217 84.250 0.612 0.96597 40.151
1213 97 53 0 0.0003076 0.0130 129.870 0.811 0.91507 35.870
1214 16 54 0 0.0006310 0.0240 95.150 0.476 0.99053 39.248
1215 23 54 0 0.0006276 0.0152 134.800 0.677 1.08360 50.842
1216 26 54 0 0.0008129 0.0217 84.250 0.612 0.96597 40.151
1217 27 54 0 0.0004029 0.0131 118.470 0.606 0.92354 37.805
1218 31 54 0 0.0005868 0.0276 85.980 0.695 0.95863 35.206
1219 32 54 0 0.0007652 0.0360 74.270 0.451 0.98377 35.547
1220 49 54 0 0.0004985 0.0189 130.090 0.685 1.05440 44.631
1221 53 54 0 0.0006109 0.0211 67.850 0.564 0.84077 30.016
1222 58 54 0 0.0005916 0.0253 134.370 0.443 1.16820 49.390
1223 59 54 0 0.0005700 0.0232 110.380 0.576 1.03600 41.909
1224 61 54 0 0.0005802 0.0193 68.090 0.659 0.82642 29.405
1225 64 54 0 0.0006310 0.0240 95.150 0.476 0.99053 39.248
1226 65 54 0 0.0006400 0.0258 77.403 0.618 0.91821 33.834
1227 67 54 0 0.0004578 0.0151 121.810 0.743 0.97374 40.885
1228 68 54 0 0.0004029 0.0131 118.470 0.606 0.92354 37.805
1229 69 54 0 0.0006356 0.0177 130.130 0.550 1.09220 49.798
1230 73 54 0 0.0004366 0.0206 102.520 0.766 0.93925 35.168
1231 74 54 0 0.0018221 0.0232 61.400 0.692 0.96393 43.024
1232 79 54 0 0.0011500 0.0207 104.600 0.657 1.13360 55.203
1233 90 54 0 0.0004578 0.0151 121.810 0.743 0.97374 40.885
1234 2 55 0 0.0005802 0.0193 68.090 0.659 0.82642 29.405
1235 6 55 0 0.0005916 0.0253 134.370 0.443 1.16820 49.390
1236 8 55 0 0.0004578 0.0151 121.810 0.743 0.97374 40.885
1237 9 55 0 0.0005700 0.0232 110.380 0.576 1.03600 41.909
1238 14 55 0 0.0006356 0.0177 130.130 0.550 1.09220 49.798
1239 24 55 0 0.0003925 0.0141 138.360 0.755 0.99220 41.975
1240 26 55 0 0.0005054 0.0255 95.600 0.798 0.96750 35.643
1241 27 55 0 0.0004690 0.0154 151.410 0.566 1.08340 48.657
1242 33 55 0 0.0003925 0.0141 138.360 0.755 0.99220 41.975
1243 39 55 0 0.0006486 0.0174 95.810 0.577 0.95226 39.944
1244 44 55 0 0.0005054 0.0255 95.600 0.798 0.96750 35.643
1245 45 55 0 0.0005926 0.0184 74.580 0.639 0.85326 31.784
1246 50 55 0 0.0006900 0.0243 91.256 0.610 0.98906 39.599
1247 52 55 0 0.0006279 0.0221 80.910 0.686 0.91103 34.678
1248 53 55 0 0.0006400 0.0258 77.403 0.618 0.91821 33.834
1249 57 55 0 0.0016023 0.0260 72.000 0.662 1.04790 48.432
1250 64 55 0 0.0003879 0.0150 170.570 0.563 1.10180 48.848
1251 79 55 0 0.0006778 0.0171 98.670 0.752 0.96997 41.652
1252 87 55 0 0.0006486 0.0174 95.810 0.577 0.95226 39.944
1253 89 55 0 0.0006400 0.0258 77.403 0.618 0.91821 33.834
1254 93 55 0 0.0004578 0.0151 121.810 0.743 0.97374 40.885
1255 0 56 0 0.0005287 0.0193 91.020 0.522 0.91236 35.059
1256 4 56 0 0.0007652 0.0360 74.270 0.451 0.98377 35.547
1257 5 56 0 0.0007295 0.0235 86.660 0.537 0.97076 39.059
1258 13 56 0 0.0013827 0.0276 69.530 0.388 1.01060 44.153
1259 26 56 0 0.0005916 0.0253 134.370 0.443 1.16820 49.390
1260 32 56 0 0.0007652 0.0360 74.270 0.451 0.98377 35.547
1261 34 56 0 0.0005300 0.0184 105.960 0.548 0.96704 39.335
1262 36 56 0 0.0005054 0.0255 95.600 0.798 0.96750 35.643
1263 38 56 0 0.0008129 0.0217 84.250 0.612 0.96597 40.151
1264 39 56 0 0.0006881 0.0188 85.790 0.619 0.92755 37.759
1265 40 56 0 0.0010321 0.0328 50.810 0.527 0.86339 30.594
1266 54 56 0 0.0004925 0.0150 194.290 0.750 1.23330 59.968
1267 60 56 0 0.0010321 0.0328 50.810 0.527 0.86339 30.594
1268 64 56 0 0.0011600 0.0232 123.980 0.628 1.25900 62.953
1269 78 56 0 0.0006818 0.0163 90.920 0.562 0.93246 39.277
1270 80 56 0 0.0005725 0.0289 53.030 0.757 0.79316 24.232
1271 85 56 0 0.0013827 0.0276 69.530 0.388 1.01060 44.153
1272 86 56 0 0.0006356 0.0177 130.130 0.550 1.09220 49.798
1273 10 57 0 0.0005802 0.0193 68.090 0.659 0.82642 29.405
1274 24 57 0 0.0006400 0.0258 77.403 0.618 0.91821 33.834
1275 25 57 0 0.0005802 0.0193 68.090 0.659 0.82642 29.405
1276 32 57 0 0.0005916 0.0253 134.370 0.443 1.16820 49.390
1277 33 57 0 0.0006881 0.0188 85.790 0.619 0.92755 37.759
1278 35 57 0 0.0008129 0.0217 84.250 0.612 0.96597 40.151
1279 39 57 0 0.0005868 0.0276 85.980 0.695 0.95863 35.206
1280 47 57 0 0.0006818 0.0163 90.920 0.562 0.93246 39.277
1281 49 57 0 0.0006778 0.0171 98.670 0.752 0.96997 41.652
1282 51 57 0 0.0005300 0.0184 105.960 0.548 0.96704 39.335
1283 52 57 0 0.0006900 0.0243 91.256 0.610 0.98906 39.599
1284 56 57 0 0.0004985 0.0189 130.090 0.685 1.05440 44.631
1285 57 57 0 0.0006400 0.0258 77.403 0.618 0.91821 33.834
1286 61 57 0 0.0010321 0.0328 50.810 0.527 0.86339 30.594
1287 68 57 0 0.0007652 0.0360 74.270 0.451 0.98377 35.547
1288 69 57 0 0.0006276 0.0152 134.800 0.677 1.08360 50.842
1289 74 57 0 0.0013827 0.0276 69.530 0.388 1.01060 44.153
1290 75 57 0 0.0010321 0.0328 50.810 0.527 0.86339 30.594
1291 79 57 0 0.0016023 0.0260 72.000 0.662 1.04790 48.432
1292 80 57 0 0.0006400 0.0258 77.403 0.618 0.91821 33.834
1293 84 57 0 0.0018221 0.0232 61.400 0.692 0.96393 43.024
1294 96 57 0 0.0005054 0.0255 95.600 0.798 0.96750 35.643
1295 98 57 0 0.0006356 0.0177 130.130 0.550 1.09220 49.798
1296 8 58 0 0.0004892 0.0155 107.740 0.626 0.93798 38.419
1297 9 58 0 0.0004985 0.0189 130.090 0.685 1.05440 44.631
1298 12 58 0 0.0008129 0.0217 84.250 0.612 0.96597 40.151
1299 20 58 0 0.0018221 0.0232 61.400 0.692 0.96393 43.024
1300 22 58 0 0.0004892 0.0155 107.740 0.626 0.93798 38.419
1301 23 58 0 0.0003076 0.0130 129.870 0.811 0.91507 35.870
1302 31 58 0 0.0004817 0.0150 122.800 0.784 0.98535 42.087
1303 32 58 0 0.0006778 0.0171 98.670 0.752 0.96997 41.652
1304 34 58 0 0.0008129 0.0217 84.250 0.612 0.96597 40.151
1305 38 58 0 0.0004366 0.0206 102.520 0.766 0.93925 35.168
1306 39 58 0 0.0003925 0.0141 138.360 0.755 0.99220 41.975
1307 40 58 0 0.0008129 0.0217 84.250 0.612 0.96597 40.151
1308 45 58 0 0.0016023 0.0260 72.000 0.662 1.04790 48.432
1309 46 58 0 0.0006109 0.0211 67.850 0.564 0.84077 30.016
1310 67 58 0 0.0005725 0.0289 53.030 0.757 0.79316 24.232
1311 73 58 0 0.0006881 0.0188 85.790 0.619 0.92755 37.759
1312 81 58 0 0.0004029 0.0131 118.470 0.606 0.92354 37.805
1313 87 58 0 0.0004817 0.0150 122.800 0.784 0.98535 42.087
1314 94 58 0 0.0006310 0.0240 95.150 0.476 0.99053 39.248
1315 95 58 0 0.0016023 0.0260 72.000 0.662 1.04790 48.432
1316 2 59 0 0.0003076 0.0130 129.870 0.811 0.91507 35.870
1317 7 59 0 0.0004817 0.0150 122.800 0.784 0.98535 42.087
1318 12 59 0 0.0004029 0.0131 118.470 0.606 0.92354 37.805
1319 18 59 0 0.0006310 0.0240 95.150 0.476 0.99053 39.248
1320 19 59 0 0.0016023 0.0260 72.000 0.662 1.04790 48.432
1321 27 59 0 0.0006881 0.0188 85.790 0.619 0.92755 37.759
1322 28 59 0 0.0005802 0.0193 68.090 0.659 0.82642 29.405
1323 44 59 0 0.0008959 0.0278 80.340 0.696 0.99858 40.478
1324 54 59 0 0.0005868 0.0276 85.980 0.695 0.95863 35.206
1325 64 59 0 0.0004925 0.0150 194.290 0.750 1.23330 59.968
1326 66 59 0 0.0006279 0.0221 80.910 0.686 0.91103 34.678
1327 69 59 0 0.0004578 0.0151 121.810 0.743 0.97374 40.885
1328 70 59 0 0.0005054 0.0255 95.600 0.798 0.96750 35.643
1329 76 59 0 0.0003925 0.0141 138.360 0.755 0.99220 41.975
1330 79 59 0 0.0003879 0.0150 170.570 0.563 1.10180 48.848
1331 80 59 0 0.0006900 0.0243 91.256 0.610 0.98906 39.599
1332 81 59 0 0.0004029 0.0131 118.470 0.606 0.92354 37.805
1333 88 59 0 0.0006778 0.0171 98.670 0.752 0.96997 41.652
1334 0 60 0 0.0005300 0.0184 105.960 0.548 0.96704 39.335
1335 1 60 0 0.0005287 0.0193 91.020 0.522 0.91236 35.059
1336 6 60 0 0.0003076 0.0130 129.870 0.811 0.91507 35.870
1337 8 60 0 0.0004578 0.0151 121.810 0.743 0.97374 40.885
1338 17 60 0 0.0011600 0.0232 123.980 0.628 1.25900 62.953
1339 23 60 0 0.0006400 0.0258 77.403 0.618 0.91821 33.834
1340 26 60 0 0.0006109 0.0211 67.850 0.564 0.84077 30.016
1341 30 60 0 0.0003884 0.0163 127.690 0.785 0.97663 39.336
1342 31 60 0 0.0008959 0.0278 80.340 0.696 0.99858 40.478
1343 37 60 0 0.0007652 0.0360 74.270 0.451 0.98377 35.547
1344 39 60 0 0.0005802 0.0193 68.090 0.659 0.82642 29.405
1345 41 60 0 0.0005890 0.0188 84.330 0.553 0.89702 34.757
1346 47 60 0 0.0006900 0.0243 91.256 0.610 0.98906 39.599
1347 51 60 0 0.0005926 0.0184 74.580 0.639 0.85326 31.784
1348 52 60 0 0.0005300 0.0184 105.960 0.548 0.96704 39.335
1349 53 60 0 0.0005926 0.0184 74.580 0.639 0.85326 31.784
1350 57 60 0 0.0005926 0.0184 74.580 0.639 0.85326 31.784
1351 62 60 0 0.0003879 0.0150 170.570 0.563 1.10180 48.848
1352 63 60 0 0.0004578 0.0151 121.810 0.743 0.97374 40.885
1353 77 60 0 0.0005054 0.0255 95.600 0.798 0.96750 35.643
1354 81 60 0 0.0005890 0.0188 84.330 0.553 0.89702 34.757
1355 89 60 0 0.0006109 0.0211 67.850 0.564 0.84077 30.016
1356 90 60 0 0.0010321 0.0328 50.810 0.527 0.86339 30.594
1357 99 60 0 0.0006400 0.0258 77.403 0.618 0.91821 33.834
1358 5 61 0 0.0004578 0.0151 121.810 0.743 0.97374 40.885
1359 6 61 0 0.0005916 0.0253 134.370 0.443 1.16820 49.390
1360 14 61 0 0.0004892 0.0155 107.740 0.626 0.93798 38.419
1361 20 61 0 0.0018221 0.0232 61.400 0.692 0.96393 43.024
1362 23 61 0 0.0007295 0.0235 86.660 0.537 0.97076 39.059
1363 28 61 0 0.0006778 0.0171 98.670 0.752 0.96997 41.652
1364 35 61 0 0.0006881 0.0188 85.790 0.619 0.92755 37.759
1365 40 61 0 0.0008959 0.0278 80.340 0.696 0.99858 40.478
1366 43 61 0 0.0005300 0.0184 105.960 0.548 0.96704 39.335
1367 51 61 0 0.0004366 0.0206 102.520 0.766 0.93925 35.168
1368 55 61 0 0.0005287 0.0193 91.020 0.522 0.91236 35.059
1369 57 61 0 0.0003925 0.0141 138.360 0.755 0.99220 41.975
1370 61 61 0 0.0006881 0.0188 85.790 0.619 0.92755 37.759
1371 70 61 0 0.0006778 0.0171 98.670 0.752 0.96997 41.652
1372 78 61 0 0.0007652 0.0360 74.270 0.451 0.98377 35.547
1373 79 61 0 0.0008959 0.0278 80.340 0.696 0.99858 40.478
1374 85 61 0 0.0011500 0.0207 104.600 0.657 1.13360 55.203
1375 88 61 0 0.0004925 0.0150 194.290 0.750 1.23330 59.968
1376 89 61 0 0.0006310 0.0240 95.150 0.476 0.99053 39.248
1377 98 61 0 0.0005725 0.0289 53.030 0.757 0.79316 24.232
1378 99 61 0 0.0003884 0.0163 127.690 0.785 0.97663 39.336
1379 2 62 0 0.0005700 0.0232 110.380 0.576 1.03600 41.909
1380 5 62 0 0.0003884 0.0163 127.690 0.785 0.97663 39.336
1381 6 62 0 0.0003925 0.0141 138.360 0.755 0.99220 41.975
1382 7 62 0 0.0005890 0.0188 84.330 0.553 0.89702 34.757
1383 8 62 0 0.0005725 0.0289 53.030 0.757 0.79316 24.232
1384 12 62 0 0.0005926 0.0184 74.580 0.639 0.85326 31.784
1385 21 62 0 0.0005287 0.0193 91.020 0.522 0.91236 35.059
1386 25 62 0 0.0005725 0.0289 53.030 0.757 0.79316 24.232
1387 26 62 0 0.0005725 0.0289 53.030 0.757 0.79316 24.232
1388 49 62 0 0.0010321 0.0328 50.810 0.527 0.86339 30.594
1389 54 62 0 0.0005600 0.0204 110.670 0.698 1.01160 41.659
1390 64 62 0 0.0006109 0.0211 67.850 0.564 0.84077 30.016
1391 66 62 0 0.0004985 0.0189 130.090 0.685 1.05440 44.631
1392 69 62 0 0.0007295 0.0235 86.660 0.537 0.97076 39.059
1393 70 62 0 0.0004892 0.0155 107.740 0.626 0.93798 38.419
1394 74 62 0 0.0004578 0.0151 121.810 0.743 0.97374 40.885
1395 77 62 0 0.0006881 0.0188 85.790 0.619 0.92755 37.759
1396 82 62 0 0.0005890 0.0188 84.330 0.553 0.89702 34.757
1397 83 62 0 0.0005890 0.0188 84.330 0.553 0.89702 34.757
1398 89 62 0 0.0005287 0.0193 91.020 0.522 0.91236 35.059
1399 90 62 0 0.0005700 0.0232 110.380 0.576 1.03600 41.909
1400 98 62 0 0.0005725 0.0289 53.030 0.757 0.79316 24.232
1401 99 62 0 0.0013827 0.0276 69.530 0.388 1.01060 44.153
1402 4 63 0 0.0006881 0.0188 85.790 0.619 0.92755 37.759
1403 5 63 0 0.0005868 0.0276 85.980 0.695 0.95863 35.206
1404 6 63 0 0.0011600 0.0232 123.980 0.628 1.25900 62.953
1405 7 63 0 0.0008959 0.0278 80.340 0.696 0.99858 40.478
1406 8 63 0 0.0007652 0.0360 74.270 0.451 0.98377 35.547
1407 9 63 0 0.0004985 0.0189 130.090 0.685 1.05440 44.631
1408 37 63 0 0.0006310 0.0240 95.150 0.476 0.99053 39.248
1409 39 63 0 0.0018221 0.0232 61.400 0.692 0.96393 43.024
1410 50 63 0 0.0005300 0.0184 105.960 0.548 0.96704 39.335
1411 59 63 0 0.0006486 0.0174 95.810 0.577 0.95226 39.944
1412 60 63 0 0.0006486 0.0174 95.810 0.577 0.95226 39.944
1413 67 63 0 0.0005802 0.0193 68.090 0.659 0.82642 29.405
1414 68 63 0 0.0005890 0.0188 84.330 0.553 0.89702 34.757
1415 75 63 0 0.0013827 0.0276 69.530 0.388 1.01060 44.153
1416 76 63 0 0.0008959 0.0278 80.340 0.696 0.99858 40.478
1417 89 63 0 0.0006356 0.0177 130.130 0.550 1.09220 49.798
1418 94 63 0 0.0004029 0.0131 118.470 0.606 0.92354 37.805
1419 3 64 0 0.0006276 0.0152 134.800 0.677 1.08360 50.842
1420 4 64 0 0.0006356 0.0177 130.130 0.550 1.09220 49.798
1421 5 64 0 0.0004690 0.0154 151.410 0.566 1.08340 48.657
1422 6 64 0 0.0005802 0.0193 68.090 0.659 0.82642 29.405
1423 7 64 0 0.0005700 0.0232 110.380 0.576 1.03600 41.909
1424 8 64 0 0.0005926 0.0184 74.580 0.639 0.85326 31.784
1425 9 64 0 0.0006900 0.0243 91.256 0.610 0.98906 39.599
1426 14 64 0 0.0005916 0.0253 134.370 0.443 1.16820 49.390
1427 15 64 0 0.0004029 0.0131 118.470 0.606 0.92354 37.805
1428 18 64 0 0.0011600 0.0232 123.980 0.628 1.25900 62.953
1429 20 64 0 0.0006279 0.0221 80.910 0.686 0.91103 34.678
1430 21 64 0 0.0005300 0.0184 105.960 0.548 0.96704 39.335
1431 28 64 0 0.0003925 0.0141 138.360 0.755 0.99220 41.975
1432 30 64 0 0.0006400 0.0258 77.403 0.618 0.91821 33.834
1433 35 64 0 0.0006310 0.0240 95.150 0.476 0.99053 39.248
1434 36 64 0 0.0006400 0.0258 77.403 0.618 0.91821 33.834
1435 44 64 0 0.0004366 0.0206 102.520 0.766 0.93925 35.168
1436 48 64 0 0.0005802 0.0193 68.090 0.659 0.82642 29.405
1437 49 64 0 0.0004029 0.0131 118.470 0.606 0.92354 37.805
1438 54 64 0 0.0004578 0.0151 121.810 0.743 0.97374 40.885
1439 57 64 0 0.0013827 0.0276 69.530 0.388 1.01060 44.153
1440 58 64 0 0.0004985 0.0189 130.090 0.685 1.05440 44.631
1441 60 64 0 0.0005725 0.0289 53.030 0.757 0.79316 24.232
1442 64 64 0 0.0008959 0.0278 80.340 0.696 0.99858 40.478
1443 74 64 0 0.0005926 0.0184 74.580 0.639 0.85326 31.784
1444 76 64 0 0.0005926 0.0184 74.580 0.639 0.85326 31.784
1445 85 64 0 0.0005802 0.0193 68.090 0.659 0.82642 29.405
1446 87 64 0 0.0006109 0.0211 67.850 0.564 0.84077 30.016
1447 89 64 0 0.0008959 0.0278 80.340 0.696 0.99858 40.478
1448 93 64 0 0.0005700 0.0232 110.380 0.576 1.03600 41.909
1449 99 64 0 0.0005802 0.0193 68.090 0.659 0.82642 29.405
1450 2 65 0 0.0006310 0.0240 95.150 0.476 0.99053 39.248
1451 6 65 0 0.0011500 0.0207 104.600 0.657 1.13360 55.203
1452 7 65 0 0.0005868 0.0276 85.980 0.695 0.95863 35.206
1453 8 65 0 0.0006310 0.0240 95.150 0.476 0.99053 39.248
1454 9 65 0 0.0005700 0.0232 110.380 0.576 1.03600 41.909
1455 10 65 0 0.0003884 0.0163 127.690 0.785 0.97663 39.336
1456 13 65 0 0.0006818 0.0163 90.920 0.562 0.93246 39.277
1457 18 65 0 0.0004366 0.0206 102.520 0.766 0.93925 35.168
1458 26 65 0 0.0006310 0.0240 95.150 0.476 0.99053 39.248
1459 27 65 0 0.0005890 0.0188 84.330 0.553 0.89702 34.757
1460 34 65 0 0.0006356 0.0177 130.130 0.550 1.09220 49.798
1461 42 65 0 0.0003925 0.0141 138.360 0.755 0.99220 41.975
1462 43 65 0 0.0003879 0.0150 170.570 0.563 1.10180 48.848
1463 47 65 0 0.0005926 0.0184 74.580 0.639 0.85326 31.784
1464 52 65 0 0.0006310 0.0240 95.150 0.476 0.99053 39.248
1465 56 65 0 0.0004578 0.0151 121.810 0.743 0.97374 40.885
1466 57 65 0 0.0006486 0.0174 95.810 0.577 0.95226 39.944
1467 60 65 0 0.0007295 0.0235 86.660 0.537 0.97076 39.059
1468 61 65 0 0.0006400 0.0258 77.403 0.618 0.91821 33.834
1469 63 65 0 0.0005802 0.0193 68.090 0.659 0.82642 29.405
1470 70 65 0 0.0006881 0.0188 85.790 0.619 0.92755 37.759
1471 72 65 0 0.0006279 0.0221 80.910 0.686 0.91103 34.678
1472 73 65 0 0.0006778 0.0171 98.670 0.752 0.96997 41.652
1473 75 65 0 0.0005725 0.0289 53.030 0.757 0.79316 24.232
1474 83 65 0 0.0005916 0.0253 134.370 0.443 1.16820 49.390
1475 84 65 0 0.0006778 0.0171 98.670 0.752 0.96997 41.652
1476 97 65 0 0.0006109 0.0211 67.850 0.564 0.84077 30.016
1477 99 65 0 0.0005926 0.0184 74.580 0.639 0.85326 31.784
1478 0 66 0 0.0006356 0.0177 130.130 0.550 1.09220 49.798
1479 5 66 0 0.0003076 0.0130 129.870 0.811 0.91507 35.870
1480 6 66 0 0.0006310 0.0240 95.150 0.476 0.99053 39.248
1481 7 66 0 0.0006400 0.0258 77.403 0.618 0.91821 33.834
1482 8 66 0 0.0008959 0.0278 80.340 0.696 0.99858 40.478
1483 9 66 0 0.0011600 0.0232 123.980 0.628 1.25900 62.953
1484 10 66 0 0.0004578 0.0151 121.810 0.743 0.97374 40.885
1485 16 66 0 0.0003076 0.0130 129.870 0.811 0.91507 35.870
1486 25 66 0 0.0011600 0.0232 123.980 0.628 1.25900 62.953
1487 29 66 0 0.0005926 0.0184 74.580 0.639 0.85326 31.784
1488 31 66 0 0.0003925 0.0141 138.360 0.755 0.99220 41.975
1489 37 66 0 0.0003925 0.0141 138.360 0.755 0.99220 41.975
1490 41 66 0 0.0003879 0.0150 170.570 0.563 1.10180 48.848
1491 51 66 0 0.0006900 0.0243 91.256 0.610 0.98906 39.599
1492 52 66 0 0.0004892 0.0155 107.740 0.626 0.93798 38.419
1493 54 66 0 0.0007295 0.0235 86.660 0.537 0.97076 39.059
1494 55 66 0 0.0006881 0.0188 85.790 0.619 0.92755 37.759
1495 56 66 0 0.0006900 0.0243 91.256 0.610 0.98906 39.599
1496 58 66 0 0.0005926 0.0184 74.580 0.639 0.85326 31.784
1497 59 66 0 0.0005287 0.0193 91.020 0.522 0.91236 35.059
1498 63 66 0 0.0007295 0.0235 86.660 0.537 0.97076 39.059
1499 68 66 0 0.0004892 0.0155 107.740 0.626 0.93798 38.419
1500 69 66 0 0.0010321 0.0328 50.810 0.527 0.86339 30.594
1501 75 66 0 0.0010321 0.0328 50.810 0.527 0.86339 30.594
1502 78 66 0 0.0006486 0.0174 95.810 0.577 0.95226 39.944
1503 82 66 0 0.0016023 0.0260 72.000 0.662 1.04790 48.432
1504 90 66 0 0.0005868 0.0276 85.980 0.695 0.95863 35.206
1505 92 66 0 0.0005868 0.0276 85.980 0.695 0.95863 35.206
1506 98 66 0 0.0006778 0.0171 98.670 0.752 0.96997 41.652
1507 2 67 0 0.0006276 0.0152 134.800 0.677 1.08360 50.842
1508 6 67 0 0.0005725 0.0289 53.030 0.757 0.79316 24.232
1509 7 67 0 0.0013827 0.0276 69.530 0.388 1.01060 44.153
1510 21 67 0 0.0005700 0.0232 110.380 0.576 1.03600 41.909
1511 22 67 0 0.0006109 0.0211 67.850 0.564 0.84077 30.016
1512 28 67 0 0.0004578 0.0151 121.810 0.743 0.97374 40.885
1513 29 67 0 0.0006400 0.0258 77.403 0.618 0.91821 33.834
1514 38 67 0 0.0005287 0.0193 91.020 0.522 0.91236 35.059
1515 44 67 0 0.0005054 0.0255 95.600 0.798 0.96750 35.643
1516 46 67 0 0.0016023 0.0260 72.000 0.662 1.04790 48.432
1517 47 67 0 0.0004985 0.0189 130.090 0.685 1.05440 44.631
1518 48 67 0 0.0005287 0.0193 91.020 0.522 0.91236 35.059
1519 50 67 0 0.0007755 0.0204 112.520 0.699 1.08250 48.835
1520 51 67 0 0.0005287 0.0193 91.020 0.522 0.91236 35.059
1521 55 67 0 0.0005802 0.0193 68.090 0.659 0.82642 29.405
1522 57 67 0 0.0007652 0.0360 74.270 0.451 0.98377 35.547
1523 63 67 0 0.0004366 0.0206 102.520 0.766 0.93925 35.168
1524 67 67 0 0.0008129 0.0217 84.250 0.612 0.96597 40.151
1525 73 67 0 0.0004892 0.0155 107.740 0.626 0.93798 38.419
1526 78 67 0 0.0004690 0.0154 151.410 0.566 1.08340 48.657
1527 79 67 0 0.0004029 0.0131 118.470 0.606 0.92354 37.805
1528 85 67 0 0.0004817 0.0150 122.800 0.784 0.98535 42.087
1529 89 67 0 0.0006109 0.0211 67.850 0.564 0.84077 30.016
1530 90 67 0 0.0003879 0.0150 170.570 0.563 1.10180 48.848
1531 99 67 0 0.0005725 0.0289 53.030 0.757 0.79316 24.232
1532 2 68 0 0.0011500 0.0207 104.600 0.657 1.13360 55.203
1533 4 68 0 0.0007652 0.0360 74.270 0.451 0.98377 35.547
1534 5 68 0 0.0006276 0.0152 134.800 0.677 1.08360 50.842
1535 6 68 0 0.0006109 0.0211 67.850 0.564 0.84077 30.016
1536 7 68 0 0.0006109 0.0211 67.850 0.564 0.84077 30.016
1537 8 68 0 0.0004366 0.0206 102.520 0.766 0.93925 35.168
1538 15 68 0 0.0006400 0.0258 77.403 0.618 0.91821 33.834
1539 20 68 0 0.0004817 0.0150 122.800 0.784 0.98535 42.087
1540 40 68 0 0.0006276 0.0152 134.800 0.677 1.08360 50.842
1541 45 68 0 0.0005700 0.0232 110.380 0.576 1.03600 41.909
1542 47 68 0 0.0005054 0.0255 95.600 0.798 0.96750 35.643
1543 48 68 0 0.0008959 0.0278 80.340 0.696 0.99858 40.478
1544 49 68 0 0.0011500 0.0207 104.600 0.657 1.13360 55.203
1545 53 68 0 0.0005725 0.0289 53.030 0.757 0.79316 24.232
1546 55 68 0 0.0006881 0.0188 85.790 0.619 0.92755 37.759
1547 56 68 0 0.0005600 0.0204 110.670 0.698 1.01160 41.659
1548 61 68 0 0.0004366 0.0206 102.520 0.766 0.93925 35.168
1549 78 68 0 0.0005725 0.0289 53.030 0.757 0.79316 24.232
1550 81 68 0 0.0006109 0.0211 67.850 0.564 0.84077 30.016
1551 86 68 0 0.0006881 0.0188 85.790 0.619 0.92755 37.759
1552 93 68 0 0.0005725 0.0289 53.030 0.757 0.79316 24.232
1553 94 68 0 0.0006881 0.0188 85.790 0.619 0.92755 37.759
1554 0 69 0 0.0008959 0.0278 80.340 0.696 0.99858 40.478
1555 1 69 0 0.0003884 0.0163 127.690 0.785 0.97663 39.336
1556 6 69 0 0.0005802 0.0193 68.090 0.659 0.82642 29.405
1557 8 69 0 0.0011600 0.0232 123.980 0.628 1.25900 62.953
1558 10 69 0 0.0016023 0.0260 72.000 0.662 1.04790 48.432
1559 16 69 0 0.0006356 0.0177 130.130 0.550 1.09220 49.798
1560 23 69 0 0.0005926 0.0184 74.580 0.639 0.85326 31.784
1561 32 69 0 0.0005600 0.0204 110.670 0.698 1.01160 41.659
1562 33 69 0 0.0006400 0.0258 77.403 0.618 0.91821 33.834
1563 38 69 0 0.0004985 0.0189 130.090 0.685 1.05440 44.631
1564 42 69 0 0.0004892 0.0155 107.740 0.626 0.93798 38.419
1565 49 69 0 0.0004817 0.0150 122.800 0.784 0.98535 42.087
1566 53 69 0 0.0006310 0.0240 95.150 0.476 0.99053 39.248
1567 54 69 0 0.0011600 0.0232 123.980 0.628 1.25900 62.953
1568 66 69 0 0.0005802 0.0193 68.090 0.659 0.82642 29.405
1569 75 69 0 0.0005916 0.0253 134.370 0.443 1.16820 49.390
1570 77 69 0 0.0004029 0.0131 118.470 0.606 0.92354 37.805
1571 78 69 0 0.0004817 0.0150 122.800 0.784 0.98535 42.087
1572 88 69 0 0.0006400 0.0258 77.403 0.618 0.91821 33.834
1573 99 69 0 0.0004817 0.0150 122.800 0.784 0.98535 42.087
1574 5 70 0 0.0003076 0.0130 129.870 0.811 0.91507 35.870
1575 7 70 0 0.0005890 0.0188 84.330 0.553 0.89702 34.757
1576 8 70 0 0.0005916 0.0253 134.370 0.443 1.16820 49.390
1577 9 70 0 0.0006818 0.0163 90.920 0.562 0.93246 39.277
1578 14 70 0 0.0011500 0.0207 104.600 0.657 1.13360 55.203
1579 15 70 0 0.0003076 0.0130 129.870 0.811 0.91507 35.870
1580 19 70 0 0.0007755 0.0204 112.520 0.699 1.08250 48.835
1581 20 70 0 0.0006881 0.0188 85.790 0.619 0.92755 37.759
1582 24 70 0 0.0006276 0.0152 134.800 0.677 1.08360 50.842
1583 25 70 0 0.0006881 0.0188 85.790 0.619 0.92755 37.759
1584 26 70 0 0.0005725 0.0289 53.030 0.757 0.79316 24.232
1585 27 70 0 0.0006881 0.0188 85.790 0.619 0.92755 37.759
1586 28 70 0 0.0006900 0.0243 91.256 0.610 0.98906 39.599
1587 29 70 0 0.0005600 0.0204 110.670 0.698 1.01160 41.659
1588 30 70 0 0.0005725 0.0289 53.030 0.757 0.79316 24.232
1589 31 70 0 0.0006400 0.0258 77.403 0.618 0.91821 33.834
1590 32 70 0 0.0011600 0.0232 123.980 0.628 1.25900 62.953
1591 36 70 0 0.0006276 0.0152 134.800 0.677 1.08360 50.842
1592 46 70 0 0.0016023 0.0260 72.000 0.662 1.04790 48.432
1593 47 70 0 0.0008959 0.0278 80.340 0.696 0.99858 40.478
1594 54 70 0 0.0004029 0.0131 118.470 0.606 0.92354 37.805
1595 56 70 0 0.0006900 0.0243 91.256 0.610 0.98906 39.599
1596 63 70 0 0.0004366 0.0206 102.520 0.766 0.93925 35.168
1597 65 70 0 0.0013827 0.0276 69.530 0.388 1.01060 44.153
1598 73 70 0 0.0006486 0.0174 95.810 0.577 0.95226 39.944
1599 74 70 0 0.0004366 0.0206 102.520 0.766 0.93925 35.168
1600 78 70 0 0.0007755 0.0204 112.520 0.699 1.08250 48.835
1601 83 70 0 0.0006276 0.0152 134.800 0.677 1.08360 50.842
1602 86 70 0 0.0005926 0.0184 74.580 0.639 0.85326 31.784
1603 87 70 0 0.0006279 0.0221 80.910 0.686 0.91103 34.678
1604 96 70 0 0.0005054 0.0255 95.600 0.798 0.96750 35.643
1605 98 70 0 0.0005802 0.0193 68.090 0.659 0.82642 29.405
1606 2 71 0 0.0007295 0.0235 86.660 0.537 0.97076 39.059
1607 8 71 0 0.0018221 0.0232 61.400 0.692 0.96393 43.024
1608 13 71 0 0.0011600 0.0232 123.980 0.628 1.25900 62.953
1609 19 71 0 0.0003076 0.0130 129.870 0.811 0.91507 35.870
1610 24 71 0 0.0011500 0.0207 104.600 0.657 1.13360 55.203
1611 25 71 0 0.0008959 0.0278 80.340 0.696 0.99858 40.478
1612 27 71 0 0.0005287 0.0193 91.020 0.522 0.91236 35.059
1613 28 71 0 0.0007755 0.0204 112.520 0.699 1.08250 48.835
1614 29 71 0 0.0007755 0.0204 112.520 0.699 1.08250 48.835
1615 30 71 0 0.0004892 0.0155 107.740 0.626 0.93798 38.419
1616 31 71 0 0.0006356 0.0177 130.130 0.550 1.09220 49.798
1617 38 71 0 0.0005926 0.0184 74.580 0.639 0.85326 31.784
1618 41 71 0 0.0006818 0.0163 90.920 0.562 0.93246 39.277
1619 44 71 0 0.0008129 0.0217 84.250 0.612 0.96597 40.151
1620 45 71 0 0.0006881 0.0188 85.790 0.619 0.92755 37.759
1621 46 71 0 0.0005802 0.0193 68.090 0.659 0.82642 29.405
1622 50 71 0 0.0003076 0.0130 129.870 0.811 0.91507 35.870
1623 52 71 0 0.0005300 0.0184 105.960 0.548 0.96704 39.335
1624 53 71 0 0.0005725 0.0289 53.030 0.757 0.79316 24.232
1625 61 71 0 0.0013827 0.0276 69.530 0.388 1.01060 44.153
1626 62 71 0 0.0006778 0.0171 98.670 0.752 0.96997 41.652
1627 67 71 0 0.0006900 0.0243 91.256 0.610 0.98906 39.599
1628 68 71 0 0.0010321 0.0328 50.810 0.527 0.86339 30.594
1629 72 71 0 0.0005054 0.0255 95.600 0.798 0.96750 35.643
1630 82 71 0 0.0004366 0.0206 102.520 0.766 0.93925 35.168
1631 88 71 0 0.0005725 0.0289 53.030 0.757 0.79316 24.232
1632 89 71 0 0.0006356 0.0177 130.130 0.550 1.09220 49.798
1633 94 71 0 0.0013827 0.0276 69.530 0.388 1.01060 44.153
1634 95 71 0 0.0005725 0.0289 53.030 0.757 0.79316 24.232
1635 99 71 0 0.0006818 0.0163 90.920 0.562 0.93246 39.277
1636 7 72 0 0.0005802 0.0193 68.090 0.659 0.82642 29.405
1637 9 72 0 0.0004366 0.0206 102.520 0.766 0.93925 35.168
1638 10 72 0 0.0005287 0.0193 91.020 0.522 0.91236 35.059
1639 12 72 0 0.0005890 0.0188 84.330 0.553 0.89702 34.757
1640 16 72 0 0.0006486 0.0174 95.810 0.577 0.95226 39.944
1641 18 72 0 0.0006109 0.0211 67.850 0.564 0.84077 30.016
1642 23 72 0 0.0005926 0.0184 74.580 0.639 0.85326 31.784
1643 24 72 0 0.0005287 0.0193 91.020 0.522 0.91236 35.059
1644 27 72 0 0.0005700 0.0232 110.380 0.576 1.03600 41.909
1645 28 72 0 0.0006778 0.0171 98.670 0.752 0.96997 41.652
1646 29 72 0 0.0005054 0.0255 95.600 0.798 0.96750 35.643
1647 30 72 0 0.0006778 0.0171 98.670 0.752 0.96997 41.652
1648 36 72 0 0.0003884 0.0163 127.690 0.785 0.97663 39.336
1649 37 72 0 0.0007652 0.0360 74.270 0.451 0.98377 35.547
1650 42 72 0 0.0007652 0.0360 74.270 0.451 0.98377 35.547
1651 43 72 0 0.0007295 0.0235 86.660 0.537 0.97076 39.059
1652 50 72 0 0.0003884 0.0163 127.690 0.785 0.97663 39.336
1653 51 72 0 0.0004690 0.0154 151.410 0.566 1.08340 48.657
1654 52 72 0 0.0004029 0.0131 118.470 0.606 0.92354 37.805
1655 55 72 0 0.0006109 0.0211 67.850 0.564 0.84077 30.016
1656 56 72 0 0.0006900 0.0243 91.256 0.610 0.98906 39.599
1657 60 72 0 0.0006900 0.0243 91.256 0.610 0.98906 39.599
1658 67 72 0 0.0006356 0.0177 130.130 0.550 1.09220 49.798
1659 68 72 0 0.0005054 0.0255 95.600 0.798 0.96750 35.643
1660 69 72 0 0.0005287 0.0193 91.020 0.522 0.91236 35.059
1661 75 72 0 0.0007755 0.0204 112.520 0.699 1.08250 48.835
1662 80 72 0 0.0010321 0.0328 50.810 0.527 0.86339 30.594
1663 81 72 0 0.0005725 0.0289 53.030 0.757 0.79316 24.232
1664 84 72 0 0.0005802 0.0193 68.090 0.659 0.82642 29.405
1665 85 72 0 0.0007295 0.0235 86.660 0.537 0.97076 39.059
1666 89 72 0 0.0004578 0.0151 121.810 0.743 0.97374 40.885
1667 93 72 0 0.0006310 0.0240 95.150 0.476 0.99053 39.248
1668 5 73 0 0.0006818 0.0163 90.920 0.562 0.93246 39.277
1669 17 73 0 0.0008129 0.0217 84.250 0.612 0.96597 40.151
1670 20 73 0 0.0006109 0.0211 67.850 0.564 0.84077 30.016
1671 21 73 0 0.0003879 0.0150 170.570 0.563 1.10180 48.848
1672 32 73 0 0.0006279 0.0221 80.910 0.686 0.91103 34.678
1673 33 73 0 0.0005300 0.0184 105.960 0.548 0.96704 39.335
1674 35 73 0 0.0006400 0.0258 77.403 0.618 0.91821 33.834
1675 41 73 0 0.0003884 0.0163 127.690 0.785 0.97663 39.336
1676 47 73 0 0.0010321 0.0328 50.810 0.527 0.86339 30.594
1677 48 73 0 0.0004817 0.0150 122.800 0.784 0.98535 42.087
1678 55 73 0 0.0004029 0.0131 118.470 0.606 0.92354 37.805
1679 67 73 0 0.0006881 0.0188 85.790 0.619 0.92755 37.759
1680 71 73 0 0.0004690 0.0154 151.410 0.566 1.08340 48.657
1681 76 73 0 0.0003884 0.0163 127.690 0.785 0.97663 39.336
1682 77 73 0 0.0006881 0.0188 85.790 0.619 0.92755 37.759
1683 90 73 0 0.0006400 0.0258 77.403 0.618 0.91821 33.834
1684 96 73 0 0.0004366 0.0206 102.520 0.766 0.93925 35.168
1685 7 74 0 0.0006109 0.0211 67.850 0.564 0.84077 30.016
1686 15 74 0 0.0007295 0.0235 86.660 0.537 0.97076 39.059
1687 18 74 0 0.0004029 0.0131 118.470 0.606 0.92354 37.805
1688 19 74 0 0.0003884 0.0163 127.690 0.785 0.97663 39.336
1689 29 74 0 0.0008129 0.0217 84.250 0.612 0.96597 40.151
1690 30 74 0 0.0005725 0.0289 53.030 0.757 0.79316 24.232
1691 31 74 0 0.0004892 0.0155 107.740 0.626 0.93798 38.419
1692 38 74 0 0.0016023 0.0260 72.000 0.662 1.04790 48.432
1693 42 74 0 0.0006310 0.0240 95.150 0.476 0.99053 39.248
1694 44 74 0 0.0005926 0.0184 74.580 0.639 0.85326 31.784
1695 46 74 0 0.0005926 0.0184 74.580 0.639 0.85326 31.784
1696 54 74 0 0.0005890 0.0188 84.330 0.553 0.89702 34.757
1697 55 74 0 0.0005287 0.0193 91.020 0.522 0.91236 35.059
1698 59 74 0 0.0004817 0.0150 122.800 0.784 0.98535 42.087
1699 68 74 0 0.0006778 0.0171 98.670 0.752 0.96997 41.652
1700 69 74 0 0.0005287 0.0193 91.020 0.522 0.91236 35.059
1701 87 74 0 0.0005890 0.0188 84.330 0.553 0.89702 34.757
1702 89 74 0 0.0006900 0.0243 91.256 0.610 0.98906 39.599
1703 92 74 0 0.0005802 0.0193 68.090 0.659 0.82642 29.405
1704 97 74 0 0.0006400 0.0258 77.403 0.618 0.91821 33.834
1705 6 75 0 0.0005725 0.0289 53.030 0.757 0.79316 24.232
1706 10 75 0 0.0007295 0.0235 86.660 0.537 0.97076 39.059
1707 15 75 0 0.0005725 0.0289 53.030 0.757 0.79316 24.232
1708 17 75 0 0.0006881 0.0188 85.790 0.619 0.92755 37.759
1709 27 75 0 0.0005300 0.0184 105.960 0.548 0.96704 39.335
1710 36 75 0 0.0006818 0.0163 90.920 0.562 0.93246 39.277
1711 40 75 0 0.0006486 0.0174 95.810 0.577 0.95226 39.944
1712 53 75 0 0.0007652 0.0360 74.270 0.451 0.98377 35.547
1713 54 75 0 0.0003884 0.0163 127.690 0.785 0.97663 39.336
1714 55 75 0 0.0005725 0.0289 53.030 0.757 0.79316 24.232
1715 57 75 0 0.0005890 0.0188 84.330 0.553 0.89702 34.757
1716 70 75 0 0.0007755 0.0204 112.520 0.699 1.08250 48.835
1717 71 75 0 0.0005700 0.0232 110.380 0.576 1.03600 41.909
1718 72 75 0 0.0004985 0.0189 130.090 0.685 1.05440 44.631
1719 79 75 0 0.0005868 0.0276 85.980 0.695 0.95863 35.206
1720 85 75 0 0.0006818 0.0163 90.920 0.562 0.93246 39.277
1721 86 75 0 0.0005054 0.0255 95.600 0.798 0.96750 35.643
1722 98 75 0 0.0013827 0.0276 69.530 0.388 1.01060 44.153
1723 99 75 0 0.0005802 0.0193 68.090 0.659 0.82642 29.405
1724 2 76 0 0.0006486 0.0174 95.810 0.577 0.95226 39.944
1725 3 76 0 0.0006279 0.0221 80.910 0.686 0.91103 34.678
1726 13 76 0 0.0008129 0.0217 84.250 0.612 0.96597 40.151
1727 14 76 0 0.0005700 0.0232 110.380 0.576 1.03600 41.909
1728 19 76 0 0.0004892 0.0155 107.740 0.626 0.93798 38.419
1729 20 76 0 0.0006276 0.0152 134.800 0.677 1.08360 50.842
1730 25 76 0 0.0005300 0.0184 105.960 0.548 0.96704 39.335
1731 26 76 0 0.0018221 0.0232 61.400 0.692 0.96393 43.024
1732 31 76 0 0.0004578 0.0151 121.810 0.743 0.97374 40.885
1733 40 76 0 0.0005868 0.0276 85.980 0.695 0.95863 35.206
1734 48 76 0 0.0006486 0.0174 95.810 0.577 0.95226 39.944
1735 49 76 0 0.0007295 0.0235 86.660 0.537 0.97076 39.059
1736 70 76 0 0.0005916 0.0253 134.370 0.443 1.16820 49.390
1737 71 76 0 0.0004029 0.0131 118.470 0.606 0.92354 37.805
1738 72 76 0 0.0005868 0.0276 85.980 0.695 0.95863 35.206
1739 77 76 0 0.0007652 0.0360 74.270 0.451 0.98377 35.547
1740 78 76 0 0.0004892 0.0155 107.740 0.626 0.93798 38.419
1741 84 76 0 0.0008129 0.0217 84.250 0.612 0.96597 40.151
1742 91 76 0 0.0004029 0.0131 118.470 0.606 0.92354 37.805
1743 92 76 0 0.0005725 0.0289 53.030 0.757 0.79316 24.232
1744 94 76 0 0.0005725 0.0289 53.030 0.757 0.79316 24.232
1745 96 76 0 0.0004029 0.0131 118.470 0.606 0.92354 37.805
1746 98 76 0 0.0006109 0.0211 67.850 0.564 0.84077 30.016
1747 99 76 0 0.0005868 0.0276 85.980 0.695 0.95863 35.206
1748 1 77 0 0.0004817 0.0150 122.800 0.784 0.98535 42.087
1749 7 77 0 0.0006778 0.0171 98.670 0.752 0.96997 41.652
1750 19 77 0 0.0007295 0.0235 86.660 0.537 0.97076 39.059
1751 24 77 0 0.0016023 0.0260 72.000 0.662 1.04790 48.432
1752 29 77 0 0.0008129 0.0217 84.250 0.612 0.96597 40.151
1753 30 77 0 0.0006778 0.0171 98.670 0.752 0.96997 41.652
1754 40 77 0 0.0005300 0.0184 105.960 0.548 0.96704 39.335
1755 43 77 0 0.0011500 0.0207 104.600 0.657 1.13360 55.203
1756 57 77 0 0.0004892 0.0155 107.740 0.626 0.93798 38.419
1757 65 77 0 0.0005868 0.0276 85.980 0.695 0.95863 35.206
1758 67 77 0 0.0006881 0.0188 85.790 0.619 0.92755 37.759
1759 69 77 0 0.0006881 0.0188 85.790 0.619 0.92755 37.759
1760 76 77 0 0.0010321 0.0328 50.810 0.527 0.86339 30.594
1761 89 77 0 0.0006276 0.0152 134.800 0.677 1.08360 50.842
1762 92 77 0 0.0010321 0.0328 50.810 0.527 0.86339 30.594
1763 96 77 0 0.0005916 0.0253 134.370 0.443 1.16820 49.390
1764 97 77 0 0.0006276 0.0152 134.800 0.677 1.08360 50.842
1765 4 78 0 0.0005700 0.0232 110.380 0.576 1.03600 41.909
1766 7 78 0 0.0005890 0.0188 84.330 0.553 0.89702 34.757
1767 8 78 0 0.0005725 0.0289 53.030 0.757 0.79316 24.232
1768 15 78 0 0.0006486 0.0174 95.810 0.577 0.95226 39.944
1769 29 78 0 0.0003884 0.0163 127.690 0.785 0.97663 39.336
1770 30 78 0 0.0005868 0.0276 85.980 0.695 0.95863 35.206
1771 35 78 0 0.0005300 0.0184 105.960 0.548 0.96704 39.335
1772 36 78 0 0.0005802 0.0193 68.090 0.659 0.82642 29.405
1773 50 78 0 0.0006900 0.0243 91.256 0.610 0.98906 39.599
1774 55 78 0 0.0005926 0.0184 74.580 0.639 0.85326 31.784
1775 56 78 0 0.0006881 0.0188 85.790 0.619 0.92755 37.759
1776 59 78 0 0.0007652 0.0360 74.270 0.451 0.98377 35.547
1777 63 78 0 0.0005916 0.0253 134.370 0.443 1.16820 49.390
1778 64 78 0 0.0006109 0.0211 67.850 0.564 0.84077 30.016
1779 79 78 0 0.0004366 0.0206 102.520 0.766 0.93925 35.168
1780 81 78 0 0.0004029 0.0131 118.470 0.606 0.92354 37.805
1781 82 78 0 0.0004029 0.0131 118.470 0.606 0.92354 37.805
1782 83 78 0 0.0006400 0.0258 77.403 0.618 0.91821 33.834
1783 90 78 0 0.0006356 0.0177 130.130 0.550 1.09220 49.798
1784 95 78 0 0.0006356 0.0177 130.130 0.550 1.09220 49.798
1785 0 79 0 0.0005054 0.0255 95.600 0.798 0.96750 35.643
1786 5 79 0 0.0005890 0.0188 84.330 0.553 0.89702 34.757
1787 7 79 0 0.0006818 0.0163 90.920 0.562 0.93246 39.277
1788 8 79 0 0.0007652 0.0360 74.270 0.451 0.98377 35.547
1789 9 79 0 0.0005868 0.0276 85.980 0.695 0.95863 35.206
1790 21 79 0 0.0005926 0.0184 74.580 0.639 0.85326 31.784
1791 23 79 0 0.0004925 0.0150 194.290 0.750 1.23330 59.968
1792 28 79 0 0.0006900 0.0243 91.256 0.610 0.98906 39.599
1793 29 79 0 0.0006900 0.0243 91.256 0.610 0.98906 39.599
1794 34 79 0 0.0006900 0.0243 91.256 0.610 0.98906 39.599
1795 46 79 0 0.0006778 0.0171 98.670 0.752 0.96997 41.652
1796 58 79 0 0.0006778 0.0171 98.670 0.752 0.96997 41.652
1797 62 79 0 0.0006486 0.0174 95.810 0.577 0.95226 39.944
1798 72 79 0 0.0005054 0.0255 95.600 0.798 0.96750 35.643
1799 80 79 0 0.0008129 0.0217 84.250 0.612 0.96597 40.151
1800 81 79 0 0.0005868 0.0276 85.980 0.695 0.95863 35.206
1801 88 79 0 0.0007652 0.0360 74.270 0.451 0.98377 35.547
1802 89 79 0 0.0018221 0.0232 61.400 0.692 0.96393 43.024
1803 93 79 0 0.0006881 0.0188 85.790 0.619 0.92755 37.759
1804 98 79 0 0.0011600 0.0232 123.980 0.628 1.25900 62.953
1805 99 79 0 0.0007652 0.0360 74.270 0.451 0.98377 35.547
1806 0 80 0 0.0004366 0.0206 102.520 0.766 0.93925 35.168
1807 3 80 0 0.0008959 0.0278 80.340 0.696 0.99858 40.478
1808 6 80 0 0.0004892 0.0155 107.740 0.626 0.93798 38.419
1809 7 80 0 0.0006400 0.0258 77.403 0.618 0.91821 33.834
1810 8 80 0 0.0005916 0.0253 134.370 0.443 1.16820 49.390
1811 21 80 0 0.0006486 0.0174 95.810 0.577 0.95226 39.944
1812 22 80 0 0.0006310 0.0240 95.150 0.476 0.99053 39.248
1813 27 80 0 0.0004892 0.0155 107.740 0.626 0.93798 38.419
1814 37 80 0 0.0006279 0.0221 80.910 0.686 0.91103 34.678
1815 39 80 0 0.0005802 0.0193 68.090 0.659 0.82642 29.405
1816 44 80 0 0.0008129 0.0217 84.250 0.612 0.96597 40.151
1817 45 80 0 0.0005890 0.0188 84.330 0.553 0.89702 34.757
1818 53 80 0 0.0013827 0.0276 69.530 0.388 1.01060 44.153
1819 71 80 0 0.0004892 0.0155 107.740 0.626 0.93798 38.419
1820 79 80 0 0.0005868 0.0276 85.980 0.695 0.95863 35.206
1821 80 80 0 0.0010321 0.0328 50.810 0.527 0.86339 30.594
1822 87 80 0 0.0003076 0.0130 129.870 0.811 0.91507 35.870
1823 94 80 0 0.0005926 0.0184 74.580 0.639 0.85326 31.784
1824 96 80 0 0.0004817 0.0150 122.800 0.784 0.98535 42.087
1825 99 80 0 0.0004817 0.0150 122.800 0.784 0.98535 42.087
1826 6 81 0 0.0006279 0.0221 80.910 0.686 0.91103 34.678
1827 8 81 0 0.0005054 0.0255 95.600 0.798 0.96750 35.643
1828 10 81 0 0.0004985 0.0189 130.090 0.685 1.05440 44.631
1829 15 81 0 0.0006881 0.0188 85.790 0.619 0.92755 37.759
1830 16 81 0 0.0006486 0.0174 95.810 0.577 0.95226 39.944
1831 27 81 0 0.0003076 0.0130 129.870 0.811 0.91507 35.870
1832 31 81 0 0.0004925 0.0150 194.290 0.750 1.23330 59.968
1833 32 81 0 0.0006310 0.0240 95.150 0.476 0.99053 39.248
1834 33 81 0 0.0005725 0.0289 53.030 0.757 0.79316 24.232
1835 38 81 0 0.0004029 0.0131 118.470 0.606 0.92354 37.805
1836 43 81 0 0.0005802 0.0193 68.090 0.659 0.82642 29.405
1837 51 81 0 0.0005890 0.0188 84.330 0.553 0.89702 34.757
1838 52 81 0 0.0006356 0.0177 130.130 0.550 1.09220 49.798
1839 56 81 0 0.0006310 0.0240 95.150 0.476 0.99053 39.248
1840 58 81 0 0.0006310 0.0240 95.150 0.476 0.99053 39.248
1841 66 81 0 0.0005725 0.0289 53.030 0.757 0.79316 24.232
1842 76 81 0 0.0004985 0.0189 130.090 0.685 1.05440 44.631
1843 77 81 0 0.0010321 0.0328 50.810 0.527 0.86339 30.594
1844 78 81 0 0.0005890 0.0188 84.330 0.553 0.89702 34.757
1845 79 81 0 0.0007652 0.0360 74.270 0.451 0.98377 35.547
1846 82 81 0 0.0004985 0.0189 130.090 0.685 1.05440 44.631
1847 83 81 0 0.0006486 0.0174 95.810 0.577 0.95226 39.944
1848 90 81 0 0.0006486 0.0174 95.810 0.577 0.95226 39.944
1849 92 81 0 0.0004690 0.0154 151.410 0.566 1.08340 48.657
1850 94 81 0 0.0005287 0.0193 91.020 0.522 0.91236 35.059
1851 0 82 0 0.0007652 0.0360 74.270 0.451 0.98377 35.547
1852 2 82 0 0.0005725 0.0289 53.030 0.757 0.79316 24.232
1853 8 82 0 0.0018221 0.0232 61.400 0.692 0.96393 43.024
1854 9 82 0 0.0006881 0.0188 85.790 0.619 0.92755 37.759
1855 14 82 0 0.0005300 0.0184 105.960 0.548 0.96704 39.335
1856 22 82 0 0.0006356 0.0177 130.130 0.550 1.09220 49.798
1857 23 82 0 0.0005600 0.0204 110.670 0.698 1.01160 41.659
1858 25 82 0 0.0013827 0.0276 69.530 0.388 1.01060 44.153
1859 26 82 0 0.0010321 0.0328 50.810 0.527 0.86339 30.594
1860 27 82 0 0.0008129 0.0217 84.250 0.612 0.96597 40.151
1861 37 82 0 0.0006486 0.0174 95.810 0.577 0.95226 39.944
1862 38 82 0 0.0006400 0.0258 77.403 0.618 0.91821 33.834
1863 39 82 0 0.0003879 0.0150 170.570 0.563 1.10180 48.848
1864 40 82 0 0.0005890 0.0188 84.330 0.553 0.89702 34.757
1865 46 82 0 0.0004366 0.0206 102.520 0.766 0.93925 35.168
1866 50 82 0 0.0004892 0.0155 107.740 0.626 0.93798 38.419
1867 55 82 0 0.0007295 0.0235 86.660 0.537 0.97076 39.059
1868 74 82 0 0.0004366 0.0206 102.520 0.766 0.93925 35.168
1869 78 82 0 0.0010321 0.0328 50.810 0.527 0.86339 30.594
1870 91 82 0 0.0005600 0.0204 110.670 0.698 1.01160 41.659
1871 92 82 0 0.0006486 0.0174 95.810 0.577 0.95226 39.944
1872 93 82 0 0.0004690 0.0154 151.410 0.566 1.08340 48.657
1873 98 82 0 0.0003925 0.0141 138.360 0.755 0.99220 41.975
1874 1 83 0 0.0006279 0.0221 80.910 0.686 0.91103 34.678
1875 2 83 0 0.0007652 0.0360 74.270 0.451 0.98377 35.547
1876 7 83 0 0.0006486 0.0174 95.810 0.577 0.95226 39.944
1877 17 83 0 0.0005725 0.0289 53.030 0.757 0.79316 24.232
1878 20 83 0 0.0007295 0.0235 86.660 0.537 0.97076 39.059
1879 21 83 0 0.0003076 0.0130 129.870 0.811 0.91507 35.870
1880 24 83 0 0.0006486 0.0174 95.810 0.577 0.95226 39.944
1881 25 83 0 0.0005890 0.0188 84.330 0.553 0.89702 34.757
1882 27 83 0 0.0011600 0.0232 123.980 0.628 1.25900 62.953
1883 28 83 0 0.0006881 0.0188 85.790 0.619 0.92755 37.759
1884 32 83 0 0.0008959 0.0278 80.340 0.696 0.99858 40.478
1885 34 83 0 0.0005926 0.0184 74.580 0.639 0.85326 31.784
1886 36 83 0 0.0005890 0.0188 84.330 0.553 0.89702 34.757
Jmax leaflifespan lambda_young lambda_mature lambda_old dbhmature dbhmax
1 56.103 9.7812 1 0.30671 0.181130 0.145 0.29
2 56.289 14.0570 1 0.21342 0.119460 0.185 0.37
3 48.136 6.3697 1 0.47098 0.308030 0.140 0.28
4 75.289 12.5830 1 0.23841 0.135340 0.335 0.67
5 51.689 7.2817 1 0.41199 0.259440 0.140 0.28
6 57.057 6.5719 1 0.45649 0.295750 0.200 0.40
7 69.929 8.9098 1 0.33671 0.202440 0.160 0.32
8 61.009 16.0380 1 0.18705 0.103180 0.170 0.34
9 56.481 12.9840 1 0.23106 0.130620 0.160 0.32
10 87.094 9.0938 1 0.32990 0.197530 0.270 0.54
11 69.929 14.5920 1 0.20559 0.114570 0.160 0.32
12 57.679 5.8722 1 0.51088 0.343080 0.140 0.28
13 63.772 12.4660 1 0.24066 0.136790 0.205 0.41
14 66.233 9.7154 1 0.30879 0.182580 0.225 0.45
15 61.868 8.9565 1 0.33495 0.201170 0.280 0.56
16 98.139 9.1801 1 0.32680 0.195310 0.405 0.81
17 60.716 5.7713 1 0.51981 0.351180 0.260 0.52
18 65.215 7.7454 1 0.38733 0.240180 0.340 0.68
19 50.826 5.9042 1 0.50812 0.340590 0.070 0.14
20 40.373 9.4949 1 0.31596 0.187620 0.275 0.55
21 56.693 6.1740 1 0.48591 0.320920 0.305 0.61
22 64.536 7.7149 1 0.38886 0.241350 0.575 1.15
23 50.826 5.0029 1 0.59966 0.428220 0.070 0.14
24 61.868 14.2350 1 0.21075 0.117790 0.280 0.56
25 54.837 9.0062 1 0.33310 0.199830 0.130 0.26
26 71.548 5.5213 1 0.54335 0.373010 0.175 0.35
27 51.689 10.4140 1 0.28808 0.168280 0.140 0.28
28 62.907 10.6950 1 0.28051 0.163140 0.160 0.32
29 40.373 7.1915 1 0.41716 0.263550 0.275 0.55
30 65.215 9.3837 1 0.31970 0.190270 0.340 0.68
31 77.079 14.2910 1 0.20992 0.117270 0.235 0.47
32 66.336 11.5520 1 0.25969 0.149220 0.330 0.66
33 62.907 14.1090 1 0.21264 0.118970 0.160 0.32
34 64.536 10.2720 1 0.29207 0.171010 0.575 1.15
35 54.837 5.7589 1 0.52094 0.352210 0.130 0.26
36 62.485 11.8770 1 0.25258 0.144550 0.250 0.50
37 64.536 9.3624 1 0.32043 0.190780 0.575 1.15
38 61.009 8.2285 1 0.36459 0.222930 0.170 0.34
39 64.411 11.6680 1 0.25712 0.147530 0.175 0.35
40 62.907 6.5880 1 0.45538 0.294810 0.160 0.32
41 71.548 5.4236 1 0.55314 0.382300 0.175 0.35
42 59.750 9.6262 1 0.31165 0.184590 0.150 0.30
43 60.716 9.0608 1 0.33110 0.198390 0.260 0.52
44 56.693 10.0720 1 0.29785 0.174990 0.305 0.61
45 65.939 10.8270 1 0.27708 0.160820 0.180 0.36
46 56.693 7.8035 1 0.38444 0.237960 0.305 0.61
47 60.716 10.9050 1 0.27510 0.159490 0.260 0.52
48 60.716 8.0433 1 0.37298 0.229240 0.260 0.52
49 57.057 7.8161 1 0.38382 0.237490 0.200 0.40
50 62.485 11.1600 1 0.26882 0.155280 0.250 0.50
51 59.750 10.0220 1 0.29935 0.176020 0.150 0.30
52 62.709 8.0473 1 0.37280 0.229100 0.310 0.62
53 61.868 21.1860 1 0.14160 0.076195 0.280 0.56
54 71.548 5.4040 1 0.55514 0.384220 0.175 0.35
55 71.548 8.0214 1 0.37400 0.230010 0.175 0.35
56 63.398 7.3068 1 0.41058 0.258320 0.510 1.02
57 65.939 16.9300 1 0.17720 0.097211 0.180 0.36
58 71.548 8.4018 1 0.35706 0.217330 0.175 0.35
59 78.176 6.2421 1 0.48061 0.316310 0.405 0.81
60 50.826 6.9592 1 0.43108 0.274760 0.070 0.14
61 75.289 16.2330 1 0.18481 0.101810 0.335 0.67
62 56.042 9.5174 1 0.31521 0.187090 0.435 0.87
63 48.136 7.8495 1 0.38219 0.236240 0.140 0.28
64 62.907 9.4221 1 0.31840 0.189340 0.160 0.32
65 56.693 10.9000 1 0.27523 0.159570 0.305 0.61
66 50.826 5.8291 1 0.51466 0.346490 0.070 0.14
67 48.136 6.8847 1 0.43575 0.278570 0.140 0.28
68 71.548 5.1439 1 0.58321 0.411640 0.175 0.35
69 65.939 14.3620 1 0.20889 0.116620 0.180 0.36
70 61.868 14.2540 1 0.21047 0.117610 0.280 0.56
71 63.772 13.0470 1 0.22994 0.129910 0.205 0.41
72 77.079 12.9060 1 0.23245 0.131510 0.235 0.47
73 63.398 8.1817 1 0.36667 0.224490 0.510 1.02
74 40.373 9.6311 1 0.31149 0.184480 0.275 0.55
75 56.042 7.5082 1 0.39956 0.249660 0.435 0.87
76 49.123 9.8444 1 0.30474 0.179760 0.075 0.15
77 98.139 5.7581 1 0.52101 0.352270 0.405 0.81
78 87.094 4.3219 1 0.69415 0.531560 0.270 0.54
79 62.726 6.4826 1 0.46277 0.301040 0.115 0.23
80 61.868 8.5663 1 0.35021 0.212270 0.280 0.56
81 65.939 9.3536 1 0.32073 0.191000 0.180 0.36
82 62.726 7.3604 1 0.40759 0.255960 0.115 0.23
83 56.693 14.0420 1 0.21364 0.119600 0.305 0.61
84 61.868 8.8822 1 0.33776 0.203190 0.280 0.56
85 56.042 9.1720 1 0.32708 0.195520 0.435 0.87
86 48.136 5.3840 1 0.55720 0.386200 0.140 0.28
87 62.709 11.3930 1 0.26332 0.151620 0.310 0.62
88 40.373 9.1355 1 0.32839 0.196450 0.275 0.55
89 56.289 15.2690 1 0.19647 0.108940 0.185 0.37
90 56.042 7.2290 1 0.41499 0.261820 0.435 0.87
91 71.548 6.7881 1 0.44195 0.283660 0.175 0.35
92 66.233 12.5210 1 0.23960 0.136100 0.225 0.45
93 62.726 9.5956 1 0.31264 0.185290 0.115 0.23
94 56.042 6.8291 1 0.43929 0.281470 0.435 0.87
95 54.837 7.4255 1 0.40401 0.253140 0.130 0.26
96 65.939 9.0513 1 0.33144 0.198640 0.180 0.36
97 51.689 8.8574 1 0.33870 0.203880 0.140 0.28
98 64.536 5.3137 1 0.56458 0.393320 0.575 1.15
99 69.718 6.7167 1 0.44665 0.287540 0.100 0.20
100 40.373 7.9536 1 0.37719 0.232430 0.275 0.55
101 62.726 12.6890 1 0.23642 0.134060 0.115 0.23
102 77.079 10.9740 1 0.27337 0.158330 0.235 0.47
103 63.772 8.6403 1 0.34721 0.210080 0.205 0.41
104 66.333 14.5450 1 0.20625 0.114980 0.195 0.39
105 51.689 9.8817 1 0.30359 0.178960 0.140 0.28
106 40.373 7.3732 1 0.40688 0.255400 0.275 0.55
107 77.835 14.2900 1 0.20993 0.117280 0.245 0.49
108 57.057 13.7400 1 0.21833 0.122540 0.200 0.40
109 75.289 8.0069 1 0.37468 0.230520 0.335 0.67
110 51.689 11.9410 1 0.25124 0.143670 0.140 0.28
111 87.094 7.8895 1 0.38025 0.234760 0.270 0.54
112 61.868 10.8020 1 0.27774 0.161260 0.280 0.56
113 50.826 6.6893 1 0.44848 0.289050 0.070 0.14
114 66.336 15.3250 1 0.19576 0.108500 0.330 0.66
115 62.709 7.6058 1 0.39443 0.245670 0.310 0.62
116 57.679 6.3687 1 0.47105 0.308090 0.140 0.28
117 62.485 8.4545 1 0.35484 0.215690 0.250 0.50
118 71.548 3.9370 1 0.76201 0.615520 0.175 0.35
119 54.837 8.1259 1 0.36919 0.226390 0.130 0.26
120 62.907 8.8928 1 0.33735 0.202900 0.160 0.32
121 66.333 10.6920 1 0.28059 0.163190 0.195 0.39
122 66.336 13.4500 1 0.22306 0.125530 0.330 0.66
123 56.693 11.1180 1 0.26983 0.155960 0.305 0.61
124 54.837 7.9653 1 0.37663 0.232010 0.130 0.26
125 71.548 5.5087 1 0.54460 0.374190 0.175 0.35
126 56.043 9.7327 1 0.30824 0.182200 0.140 0.28
127 60.716 11.6750 1 0.25695 0.147410 0.260 0.52
128 59.750 10.7160 1 0.27996 0.162760 0.150 0.30
129 57.679 7.8372 1 0.38279 0.236700 0.140 0.28
130 57.057 9.9105 1 0.30271 0.178350 0.200 0.40
131 56.042 7.8529 1 0.38203 0.236110 0.435 0.87
132 76.958 13.0470 1 0.22994 0.129900 0.250 0.50
133 77.835 15.4610 1 0.19403 0.107440 0.245 0.49
134 51.689 9.1204 1 0.32893 0.196840 0.140 0.28
135 71.548 6.3926 1 0.46929 0.306590 0.175 0.35
136 56.481 11.9210 1 0.25166 0.143940 0.160 0.32
137 40.373 4.3661 1 0.68711 0.523360 0.275 0.55
138 69.929 9.1924 1 0.32636 0.195000 0.160 0.32
139 75.289 9.1029 1 0.32956 0.197290 0.335 0.67
140 69.718 4.6719 1 0.64213 0.472900 0.100 0.20
141 60.716 6.7181 1 0.44656 0.287460 0.260 0.52
142 56.042 8.0545 1 0.37246 0.228850 0.435 0.87
143 61.009 10.6680 1 0.28122 0.163620 0.170 0.34
144 49.123 9.1796 1 0.32681 0.195320 0.075 0.15
145 62.485 10.0160 1 0.29952 0.176140 0.250 0.50
146 75.478 7.6209 1 0.39365 0.245060 0.335 0.67
147 62.485 7.2325 1 0.41479 0.261660 0.250 0.50
148 57.679 11.1590 1 0.26883 0.155290 0.140 0.28
149 65.641 20.4880 1 0.14643 0.078998 0.210 0.42
150 87.094 9.6972 1 0.30937 0.182990 0.270 0.54
151 66.233 9.8631 1 0.30416 0.179360 0.225 0.45
152 77.835 7.5527 1 0.39721 0.247820 0.245 0.49
153 61.868 12.2740 1 0.24443 0.139230 0.280 0.56
154 66.333 7.7638 1 0.38641 0.239470 0.195 0.39
155 49.123 8.4381 1 0.35553 0.216200 0.075 0.15
156 49.123 7.9045 1 0.37953 0.234210 0.075 0.15
157 40.373 7.7337 1 0.38791 0.240630 0.275 0.55
158 61.009 9.2978 1 0.32266 0.192360 0.170 0.34
159 51.689 6.9399 1 0.43229 0.275740 0.140 0.28
160 62.709 9.6913 1 0.30956 0.183120 0.310 0.62
161 40.373 7.3434 1 0.40853 0.256700 0.275 0.55
162 69.718 5.2263 1 0.57402 0.402540 0.100 0.20
163 61.868 13.7490 1 0.21820 0.122460 0.280 0.56
164 64.536 6.5590 1 0.45739 0.296500 0.575 1.15
165 56.103 8.6312 1 0.34757 0.210340 0.145 0.29
166 60.716 8.7041 1 0.34466 0.208210 0.260 0.52
167 76.958 7.8373 1 0.38279 0.236690 0.250 0.50
168 64.536 6.0305 1 0.49747 0.331090 0.575 1.15
169 62.726 6.3039 1 0.47590 0.312250 0.115 0.23
170 61.009 10.8890 1 0.27551 0.159760 0.170 0.34
171 62.726 5.2277 1 0.57387 0.402390 0.115 0.23
172 40.373 7.3921 1 0.40584 0.254580 0.275 0.55
173 49.123 5.9557 1 0.50372 0.336650 0.075 0.15
174 77.835 10.3650 1 0.28943 0.169200 0.245 0.49
175 62.907 6.9565 1 0.43125 0.274900 0.160 0.32
176 48.136 4.1828 1 0.71722 0.559120 0.140 0.28
177 62.709 7.8732 1 0.38104 0.235360 0.310 0.62
178 56.042 10.5220 1 0.28512 0.166260 0.435 0.87
179 98.139 10.5380 1 0.28468 0.165970 0.405 0.81
180 56.481 15.5340 1 0.19312 0.106880 0.160 0.32
181 64.411 16.7980 1 0.17860 0.098054 0.175 0.35
182 78.176 13.6600 1 0.21963 0.123360 0.405 0.81
183 56.103 13.1360 1 0.22838 0.128910 0.145 0.29
184 69.929 9.7914 1 0.30639 0.180910 0.160 0.32
185 62.726 7.4045 1 0.40516 0.254040 0.115 0.23
186 66.333 10.5770 1 0.28363 0.165250 0.195 0.39
187 40.373 8.0772 1 0.37142 0.228060 0.275 0.55
188 61.009 12.2020 1 0.24587 0.140160 0.170 0.34
189 65.215 5.9020 1 0.50830 0.340750 0.340 0.68
190 48.136 7.9835 1 0.37578 0.231360 0.140 0.28
191 57.057 7.8381 1 0.38275 0.236660 0.200 0.40
192 75.478 13.8980 1 0.21585 0.120980 0.335 0.67
193 56.103 6.2041 1 0.48355 0.318870 0.145 0.29
194 57.679 5.9810 1 0.50159 0.334750 0.140 0.28
195 98.139 6.6190 1 0.45324 0.293030 0.405 0.81
196 54.837 6.5375 1 0.45889 0.297770 0.130 0.26
197 57.057 10.7800 1 0.27828 0.161630 0.200 0.40
198 66.233 8.2428 1 0.36396 0.222460 0.225 0.45
199 56.103 8.9334 1 0.33582 0.201790 0.145 0.29
200 65.641 19.3150 1 0.15532 0.084197 0.210 0.42
201 66.233 13.1400 1 0.22831 0.128860 0.225 0.45
202 77.079 14.5150 1 0.20668 0.115250 0.235 0.47
203 77.079 8.1545 1 0.36789 0.225410 0.235 0.47
204 49.123 9.8206 1 0.30548 0.180280 0.075 0.15
205 56.289 8.8104 1 0.34051 0.205190 0.185 0.37
206 79.281 9.2934 1 0.32281 0.192470 0.335 0.67
207 51.689 12.1450 1 0.24702 0.140910 0.140 0.28
208 65.641 9.6569 1 0.31066 0.183890 0.210 0.42
209 62.726 5.6999 1 0.52633 0.357150 0.115 0.23
210 64.536 6.6196 1 0.45320 0.292990 0.575 1.15
211 77.079 11.5260 1 0.26028 0.149610 0.235 0.47
212 62.485 7.1890 1 0.41731 0.263670 0.250 0.50
213 50.826 7.9551 1 0.37712 0.232380 0.070 0.14
214 66.333 13.4100 1 0.22372 0.125950 0.195 0.39
215 51.689 8.9988 1 0.33338 0.200030 0.140 0.28
216 59.750 14.7850 1 0.20290 0.112910 0.150 0.30
217 57.679 7.5587 1 0.39689 0.247580 0.140 0.28
218 61.868 16.8770 1 0.17776 0.097547 0.280 0.56
219 48.136 7.2908 1 0.41148 0.259030 0.140 0.28
220 77.835 13.9110 1 0.21565 0.120860 0.245 0.49
221 76.958 5.1069 1 0.58744 0.415870 0.250 0.50
222 54.837 7.7999 1 0.38462 0.238100 0.130 0.26
223 48.136 12.6740 1 0.23670 0.134240 0.140 0.28
224 69.718 6.3137 1 0.47516 0.311610 0.100 0.20
225 51.689 7.7219 1 0.38851 0.241090 0.140 0.28
226 61.868 10.7730 1 0.27847 0.161760 0.280 0.56
227 69.929 11.9240 1 0.25159 0.143890 0.160 0.32
228 62.485 11.0290 1 0.27201 0.157410 0.250 0.50
229 69.718 5.5178 1 0.54370 0.373340 0.100 0.20
230 62.907 14.4800 1 0.20718 0.115560 0.160 0.32
231 63.398 5.4275 1 0.55274 0.381920 0.510 1.02
232 56.043 10.2470 1 0.29277 0.171490 0.140 0.28
233 56.043 5.7076 1 0.52562 0.356500 0.140 0.28
234 65.939 9.7894 1 0.30645 0.180950 0.180 0.36
235 62.907 10.3710 1 0.28928 0.169100 0.160 0.32
236 66.333 9.0870 1 0.33014 0.197710 0.195 0.39
237 56.042 6.7935 1 0.44160 0.283370 0.435 0.87
238 56.481 19.8330 1 0.15126 0.081817 0.160 0.32
239 56.481 15.5170 1 0.19333 0.107010 0.160 0.32
240 61.868 14.0510 1 0.21351 0.119510 0.280 0.56
241 65.641 8.9348 1 0.33576 0.201750 0.210 0.42
242 59.750 19.6660 1 0.15255 0.082573 0.150 0.30
243 61.009 12.1900 1 0.24610 0.140320 0.170 0.34
244 65.641 11.6160 1 0.25827 0.148290 0.210 0.42
245 56.693 6.1195 1 0.49024 0.324710 0.305 0.61
246 56.289 7.2848 1 0.41182 0.259300 0.185 0.37
247 91.370 11.7410 1 0.25552 0.146470 0.440 0.88
248 56.043 8.4092 1 0.35675 0.217100 0.140 0.28
249 48.136 6.9329 1 0.43272 0.276090 0.140 0.28
250 56.042 9.5136 1 0.31534 0.187180 0.435 0.87
251 66.333 5.9611 1 0.50327 0.336240 0.195 0.39
252 61.868 18.1810 1 0.16501 0.089924 0.280 0.56
253 40.373 9.4243 1 0.31833 0.189290 0.275 0.55
254 63.398 8.4273 1 0.35599 0.216540 0.510 1.02
255 62.485 13.0050 1 0.23069 0.130380 0.250 0.50
256 64.536 6.7470 1 0.44464 0.285880 0.575 1.15
257 63.398 13.0570 1 0.22976 0.129790 0.510 1.02
258 62.709 11.7810 1 0.25466 0.145910 0.310 0.62
259 49.123 5.9980 1 0.50016 0.333480 0.075 0.15
260 40.373 6.4753 1 0.46330 0.301490 0.275 0.55
261 65.939 11.4670 1 0.26162 0.150500 0.180 0.36
262 76.958 12.5680 1 0.23871 0.135530 0.250 0.50
263 50.826 5.6420 1 0.53173 0.362150 0.070 0.14
264 57.679 8.8780 1 0.33791 0.203310 0.140 0.28
265 71.548 8.1568 1 0.36779 0.225330 0.175 0.35
266 57.057 10.8370 1 0.27682 0.160650 0.200 0.40
267 63.398 9.1039 1 0.32953 0.197270 0.510 1.02
268 61.009 9.9961 1 0.30012 0.176550 0.170 0.34
269 62.726 9.6556 1 0.31070 0.183920 0.115 0.23
270 62.709 7.4968 1 0.40017 0.250130 0.310 0.62
271 56.289 11.1870 1 0.26816 0.154840 0.185 0.37
272 48.136 12.0490 1 0.24899 0.142200 0.140 0.28
273 49.123 4.8449 1 0.61921 0.448450 0.075 0.15
274 78.176 5.4236 1 0.55314 0.382300 0.405 0.81
275 91.370 11.3730 1 0.26378 0.151930 0.440 0.88
276 77.835 9.5550 1 0.31397 0.186220 0.245 0.49
277 57.679 8.3140 1 0.36084 0.220140 0.140 0.28
278 59.750 10.0700 1 0.29791 0.175020 0.150 0.30
279 40.373 5.7571 1 0.52110 0.352350 0.275 0.55
280 54.837 7.2735 1 0.41246 0.259810 0.130 0.26
281 66.336 6.7762 1 0.44273 0.284300 0.330 0.66
282 56.042 5.1591 1 0.58149 0.409930 0.435 0.87
283 62.709 9.0909 1 0.33000 0.197610 0.310 0.62
284 59.750 10.1520 1 0.29552 0.173380 0.150 0.30
285 66.336 8.5628 1 0.35035 0.212380 0.330 0.66
286 64.411 13.4070 1 0.22377 0.125980 0.175 0.35
287 66.333 6.4186 1 0.46739 0.304970 0.195 0.39
288 57.679 8.3475 1 0.35939 0.219060 0.140 0.28
289 77.835 11.9540 1 0.25097 0.143490 0.245 0.49
290 60.716 6.1538 1 0.48750 0.322320 0.260 0.52
291 62.485 6.2614 1 0.47913 0.315030 0.250 0.50
292 59.750 18.0730 1 0.16600 0.090510 0.150 0.30
293 69.929 9.5989 1 0.31254 0.185210 0.160 0.32
294 62.485 7.7697 1 0.38612 0.239250 0.250 0.50
295 76.958 6.6818 1 0.44898 0.289480 0.250 0.50
296 66.233 8.5174 1 0.35222 0.213760 0.225 0.45
297 65.215 6.1371 1 0.48883 0.323480 0.340 0.68
298 60.716 8.0262 1 0.37378 0.229840 0.260 0.52
299 57.679 8.1371 1 0.36868 0.226000 0.140 0.28
300 66.233 12.3460 1 0.24299 0.138300 0.225 0.45
301 63.772 8.5360 1 0.35145 0.213190 0.205 0.41
302 63.772 12.9210 1 0.23217 0.131330 0.205 0.41
303 57.057 15.9770 1 0.18777 0.103620 0.200 0.40
304 66.333 11.0090 1 0.27250 0.157740 0.195 0.39
305 62.726 5.8643 1 0.51157 0.343690 0.115 0.23
306 59.750 11.2810 1 0.26594 0.153360 0.150 0.30
307 65.641 14.2900 1 0.20994 0.117280 0.210 0.42
308 66.333 9.7901 1 0.30643 0.180940 0.195 0.39
309 76.958 11.1460 1 0.26916 0.155510 0.250 0.50
310 56.043 9.4491 1 0.31749 0.188700 0.140 0.28
311 61.009 12.7180 1 0.23588 0.133710 0.170 0.34
312 56.693 7.0527 1 0.42537 0.270140 0.305 0.61
313 66.333 10.0190 1 0.29944 0.176080 0.195 0.39
314 56.043 6.4196 1 0.46732 0.304910 0.140 0.28
315 57.057 6.8711 1 0.43661 0.279270 0.200 0.40
316 76.958 8.1152 1 0.36968 0.226750 0.250 0.50
317 51.689 11.0450 1 0.27163 0.157160 0.140 0.28
318 75.289 21.0380 1 0.14260 0.076775 0.335 0.67
319 50.826 5.3871 1 0.55689 0.385890 0.070 0.14
320 48.136 11.3100 1 0.26525 0.152900 0.140 0.28
321 50.826 5.0078 1 0.59906 0.427610 0.070 0.14
322 66.336 19.5460 1 0.15349 0.083123 0.330 0.66
323 77.835 10.0780 1 0.29769 0.174880 0.245 0.49
324 64.411 18.2950 1 0.16398 0.089314 0.175 0.35
325 50.826 8.0906 1 0.37080 0.227600 0.070 0.14
326 62.907 9.6134 1 0.31206 0.184880 0.160 0.32
327 59.750 10.4660 1 0.28665 0.167300 0.150 0.30
328 65.215 5.7573 1 0.52108 0.352330 0.340 0.68
329 62.907 14.8120 1 0.20254 0.112680 0.160 0.32
330 63.398 7.6700 1 0.39114 0.243110 0.510 1.02
331 61.009 12.1110 1 0.24771 0.141360 0.170 0.34
332 62.709 8.5619 1 0.35039 0.212410 0.310 0.62
333 71.548 6.4692 1 0.46373 0.301860 0.175 0.35
334 60.716 12.9340 1 0.23195 0.131190 0.260 0.52
335 59.750 10.8970 1 0.27530 0.159620 0.150 0.30
336 57.057 10.9340 1 0.27437 0.159000 0.200 0.40
337 62.726 8.5107 1 0.35250 0.213960 0.115 0.23
338 65.215 5.8815 1 0.51007 0.342350 0.340 0.68
339 69.718 4.9620 1 0.60459 0.433280 0.100 0.20
340 57.679 7.4065 1 0.40505 0.253960 0.140 0.28
341 64.536 11.7710 1 0.25487 0.146050 0.575 1.15
342 79.281 9.6128 1 0.31208 0.184890 0.335 0.67
343 63.772 8.7439 1 0.34310 0.207070 0.205 0.41
344 69.718 4.7381 1 0.63317 0.463240 0.100 0.20
345 61.009 8.4119 1 0.35664 0.217020 0.170 0.34
346 62.726 11.6320 1 0.25792 0.148050 0.115 0.23
347 40.373 7.7316 1 0.38802 0.240710 0.275 0.55
348 56.289 17.1720 1 0.17470 0.095711 0.185 0.37
349 62.485 13.4520 1 0.22302 0.125500 0.250 0.50
350 61.868 12.8790 1 0.23294 0.131820 0.280 0.56
351 59.750 14.5590 1 0.20606 0.114870 0.150 0.30
352 56.289 10.4380 1 0.28742 0.167830 0.185 0.37
353 56.289 10.4750 1 0.28640 0.167130 0.185 0.37
354 79.281 11.1910 1 0.26807 0.154780 0.335 0.67
355 40.373 6.6572 1 0.45064 0.290860 0.275 0.55
356 63.772 9.4983 1 0.31584 0.187540 0.205 0.41
357 57.679 6.0346 1 0.49713 0.330790 0.140 0.28
358 77.079 11.6020 1 0.25859 0.148490 0.235 0.47
359 56.043 8.8482 1 0.33905 0.204130 0.140 0.28
360 54.837 9.8575 1 0.30434 0.179480 0.130 0.26
361 56.693 10.5790 1 0.28359 0.165220 0.305 0.61
362 65.215 9.0734 1 0.33064 0.198060 0.340 0.68
363 51.689 7.6828 1 0.39048 0.242610 0.140 0.28
364 56.693 7.9781 1 0.37603 0.231550 0.305 0.61
365 65.215 6.8745 1 0.43640 0.279100 0.340 0.68
366 71.548 6.0727 1 0.49401 0.328030 0.175 0.35
367 66.233 14.1910 1 0.21141 0.118200 0.225 0.45
368 77.079 14.0760 1 0.21313 0.119270 0.235 0.47
369 60.716 8.7260 1 0.34380 0.207580 0.260 0.52
370 49.123 8.8634 1 0.33847 0.203710 0.075 0.15
371 65.641 12.4160 1 0.24162 0.137410 0.210 0.42
372 63.772 9.8381 1 0.30494 0.179900 0.205 0.41
373 62.709 9.9028 1 0.30295 0.178510 0.310 0.62
374 65.641 15.6980 1 0.19111 0.105650 0.210 0.42
375 49.123 9.1715 1 0.32710 0.195530 0.075 0.15
376 71.548 5.6156 1 0.53423 0.364470 0.175 0.35
377 65.939 10.4200 1 0.28790 0.168160 0.180 0.36
378 65.641 6.8233 1 0.43967 0.281780 0.210 0.42
379 63.772 9.9690 1 0.30093 0.177120 0.205 0.41
380 66.233 12.2670 1 0.24455 0.139310 0.225 0.45
381 60.716 8.4895 1 0.35338 0.214610 0.260 0.52
382 50.826 6.6503 1 0.45111 0.291240 0.070 0.14
383 66.336 12.2940 1 0.24402 0.138960 0.330 0.66
384 77.079 8.8598 1 0.33861 0.203810 0.235 0.47
385 62.485 13.5430 1 0.22152 0.124550 0.250 0.50
386 57.057 10.5500 1 0.28435 0.165740 0.200 0.40
387 65.641 11.6800 1 0.25685 0.147350 0.210 0.42
388 71.548 6.6527 1 0.45094 0.291110 0.175 0.35
389 64.536 5.8577 1 0.51214 0.344220 0.575 1.15
390 48.136 10.5950 1 0.28314 0.164920 0.140 0.28
391 91.370 14.2230 1 0.21093 0.117900 0.440 0.88
392 78.176 8.7990 1 0.34095 0.205510 0.405 0.81
393 62.907 9.3779 1 0.31990 0.190410 0.160 0.32
394 48.136 6.4479 1 0.46527 0.303160 0.140 0.28
395 48.136 10.2950 1 0.29141 0.170550 0.140 0.28
396 57.679 5.1199 1 0.58595 0.414380 0.140 0.28
397 63.772 7.3155 1 0.41009 0.257930 0.205 0.41
398 69.929 9.2647 1 0.32381 0.193180 0.160 0.32
399 54.837 7.3590 1 0.40766 0.256020 0.130 0.26
400 61.868 13.2730 1 0.22602 0.127410 0.280 0.56
401 56.043 9.6474 1 0.31097 0.184110 0.140 0.28
402 56.043 10.5240 1 0.28507 0.166230 0.140 0.28
403 71.548 4.8245 1 0.62183 0.451200 0.175 0.35
404 51.689 9.9133 1 0.30262 0.178290 0.140 0.28
405 66.336 12.9580 1 0.23151 0.130910 0.330 0.66
406 79.281 11.2380 1 0.26696 0.154040 0.335 0.67
407 65.641 9.6869 1 0.30970 0.183220 0.210 0.42
408 60.716 11.1460 1 0.26915 0.155500 0.260 0.52
409 56.103 6.5595 1 0.45735 0.296470 0.145 0.29
410 66.333 10.3720 1 0.28924 0.169070 0.195 0.39
411 56.042 10.3400 1 0.29012 0.169670 0.435 0.87
412 65.641 16.1530 1 0.18573 0.102370 0.210 0.42
413 56.103 11.6470 1 0.25757 0.147820 0.145 0.29
414 69.929 13.4720 1 0.22268 0.125290 0.160 0.32
415 66.233 12.2400 1 0.24510 0.139670 0.225 0.45
416 51.689 6.2367 1 0.48102 0.316680 0.140 0.28
417 75.289 21.0990 1 0.14218 0.076533 0.335 0.67
418 62.907 8.0629 1 0.37207 0.228560 0.160 0.32
419 62.709 7.4345 1 0.40353 0.252760 0.310 0.62
420 76.958 10.5350 1 0.28476 0.166020 0.250 0.50
421 63.398 11.8310 1 0.25357 0.145190 0.510 1.02
422 48.136 7.2778 1 0.41221 0.259610 0.140 0.28
423 56.043 8.3544 1 0.35909 0.218840 0.140 0.28
424 64.411 11.7780 1 0.25472 0.145950 0.175 0.35
425 56.043 6.5716 1 0.45651 0.295760 0.140 0.28
426 65.215 13.0010 1 0.23075 0.130420 0.340 0.68
427 48.136 6.2594 1 0.47928 0.315170 0.140 0.28
428 50.826 5.7557 1 0.52122 0.352470 0.070 0.14
429 64.536 7.4154 1 0.40456 0.253580 0.575 1.15
430 63.772 10.6170 1 0.28256 0.164520 0.205 0.41
431 65.215 7.3036 1 0.41075 0.258460 0.340 0.68
432 71.548 6.1394 1 0.48865 0.323320 0.175 0.35
433 51.689 6.5473 1 0.45821 0.297190 0.140 0.28
434 66.333 10.9870 1 0.27304 0.158110 0.195 0.39
435 59.750 9.5048 1 0.31563 0.187390 0.150 0.30
436 64.536 18.2790 1 0.16412 0.089396 0.575 1.15
437 56.103 7.2432 1 0.41418 0.261180 0.145 0.29
438 56.693 6.0245 1 0.49797 0.331530 0.305 0.61
439 56.042 11.4220 1 0.26265 0.151180 0.435 0.87
440 77.079 9.9150 1 0.30257 0.178250 0.235 0.47
441 62.709 7.4019 1 0.40530 0.254150 0.310 0.62
442 49.123 14.0720 1 0.21318 0.119310 0.075 0.15
443 64.536 10.8500 1 0.27651 0.160430 0.575 1.15
444 48.136 10.1950 1 0.29425 0.172510 0.140 0.28
445 56.289 9.5065 1 0.31557 0.187350 0.185 0.37
446 78.176 9.7916 1 0.30638 0.180910 0.405 0.81
447 62.709 9.7872 1 0.30652 0.181000 0.310 0.62
448 71.548 5.1278 1 0.58504 0.413470 0.175 0.35
449 40.373 6.6960 1 0.44803 0.288690 0.275 0.55
450 62.485 16.7460 1 0.17915 0.098386 0.250 0.50
451 40.373 6.2039 1 0.48357 0.318890 0.275 0.55
452 51.689 5.7220 1 0.52429 0.355280 0.140 0.28
453 56.289 9.0689 1 0.33080 0.198180 0.185 0.37
454 54.837 10.0700 1 0.29790 0.175020 0.130 0.26
455 75.478 14.9030 1 0.20131 0.111920 0.335 0.67
456 66.233 8.1601 1 0.36764 0.225220 0.225 0.45
457 71.548 10.4050 1 0.28832 0.168440 0.175 0.35
458 56.042 5.6735 1 0.52877 0.359410 0.435 0.87
459 56.042 8.3703 1 0.35841 0.218330 0.435 0.87
460 64.536 9.8296 1 0.30520 0.180080 0.575 1.15
461 56.042 5.9314 1 0.50579 0.338500 0.435 0.87
462 56.289 12.3410 1 0.24310 0.138370 0.185 0.37
463 69.929 8.4220 1 0.35621 0.216700 0.160 0.32
464 56.693 10.8590 1 0.27627 0.160280 0.305 0.61
465 57.679 9.2916 1 0.32287 0.192520 0.140 0.28
466 56.289 8.2776 1 0.36242 0.221320 0.185 0.37
467 62.709 15.3340 1 0.19565 0.108430 0.310 0.62
468 56.043 6.5229 1 0.45992 0.298630 0.140 0.28
469 69.718 6.4715 1 0.46357 0.301720 0.100 0.20
470 66.333 7.9324 1 0.37820 0.233200 0.195 0.39
471 61.868 12.1960 1 0.24598 0.140240 0.280 0.56
472 98.139 5.2371 1 0.57283 0.401380 0.405 0.81
473 51.689 12.3330 1 0.24326 0.138470 0.140 0.28
474 63.772 8.6632 1 0.34629 0.209400 0.205 0.41
475 54.837 10.9370 1 0.27429 0.158940 0.130 0.26
476 56.481 21.0240 1 0.14269 0.076828 0.160 0.32
477 56.103 14.6170 1 0.20524 0.114350 0.145 0.29
478 65.215 11.3750 1 0.26374 0.151900 0.340 0.68
479 71.548 5.1271 1 0.58513 0.413560 0.175 0.35
480 75.289 12.6940 1 0.23632 0.134000 0.335 0.67
481 77.079 18.8570 1 0.15909 0.086421 0.235 0.47
482 56.042 8.6991 1 0.34486 0.208360 0.435 0.87
483 56.693 11.5310 1 0.26017 0.149540 0.305 0.61
484 66.336 7.5572 1 0.39697 0.247640 0.330 0.66
485 56.693 6.7779 1 0.44262 0.284210 0.305 0.61
486 48.136 7.4928 1 0.40039 0.250300 0.140 0.28
487 64.536 15.5250 1 0.19324 0.106950 0.575 1.15
488 64.411 5.7223 1 0.52427 0.355260 0.175 0.35
489 63.772 15.3950 1 0.19487 0.107950 0.205 0.41
490 56.289 11.3300 1 0.26479 0.152600 0.185 0.37
491 57.057 8.3673 1 0.35854 0.218430 0.200 0.40
492 40.373 8.2920 1 0.36180 0.220850 0.275 0.55
493 56.481 14.9520 1 0.20065 0.111510 0.160 0.32
494 48.136 9.5927 1 0.31274 0.185350 0.140 0.28
495 56.289 8.1698 1 0.36721 0.224890 0.185 0.37
496 60.716 9.5649 1 0.31365 0.185990 0.260 0.52
497 56.481 19.2640 1 0.15573 0.084441 0.160 0.32
498 57.057 11.6200 1 0.25818 0.148220 0.200 0.40
499 69.929 15.7320 1 0.19069 0.105400 0.160 0.32
500 69.929 8.8757 1 0.33800 0.203370 0.160 0.32
501 65.641 12.5570 1 0.23891 0.135660 0.210 0.42
502 49.123 7.6141 1 0.39401 0.245340 0.075 0.15
503 78.176 4.9656 1 0.60415 0.432820 0.405 0.81
504 69.718 6.5904 1 0.45521 0.294670 0.100 0.20
505 69.929 11.6890 1 0.25665 0.147210 0.160 0.32
506 56.693 11.6030 1 0.25854 0.148460 0.305 0.61
507 75.289 18.3510 1 0.16348 0.089015 0.335 0.67
508 64.411 10.9760 1 0.27334 0.158300 0.175 0.35
509 64.536 8.5245 1 0.35193 0.213540 0.575 1.15
510 57.679 9.2413 1 0.32463 0.193770 0.140 0.28
511 64.411 10.5650 1 0.28397 0.165480 0.175 0.35
512 78.176 7.1011 1 0.42247 0.267800 0.405 0.81
513 62.907 5.9916 1 0.50070 0.333960 0.160 0.32
514 75.478 13.8050 1 0.21732 0.121900 0.335 0.67
515 61.868 14.6720 1 0.20447 0.113880 0.280 0.56
516 78.176 6.8447 1 0.43830 0.280650 0.405 0.81
517 50.826 4.7244 1 0.63500 0.465200 0.070 0.14
518 75.289 10.1260 1 0.29628 0.173900 0.335 0.67
519 61.009 10.8100 1 0.27752 0.161120 0.170 0.34
520 66.233 7.2779 1 0.41221 0.259610 0.225 0.45
521 63.398 9.8728 1 0.30387 0.179150 0.510 1.02
522 56.481 8.9308 1 0.33592 0.201860 0.160 0.32
523 77.835 8.4535 1 0.35488 0.215720 0.245 0.49
524 71.548 5.3065 1 0.56534 0.394060 0.175 0.35
525 51.689 8.3973 1 0.35726 0.217480 0.140 0.28
526 40.373 5.6563 1 0.53038 0.360900 0.275 0.55
527 60.716 8.2525 1 0.36352 0.222140 0.260 0.52
528 71.548 5.3568 1 0.56004 0.388920 0.175 0.35
529 51.689 12.0660 1 0.24863 0.141960 0.140 0.28
530 51.689 7.1856 1 0.41750 0.263830 0.140 0.28
531 62.709 5.7680 1 0.52011 0.351450 0.310 0.62
532 56.481 14.8140 1 0.20251 0.112670 0.160 0.32
533 62.485 12.9840 1 0.23106 0.130620 0.250 0.50
534 60.716 7.9053 1 0.37949 0.234180 0.260 0.52
535 64.411 7.2606 1 0.41319 0.260390 0.175 0.35
536 75.289 11.1860 1 0.26819 0.154860 0.335 0.67
537 50.826 7.8981 1 0.37984 0.234440 0.070 0.14
538 61.009 10.2430 1 0.29288 0.171560 0.170 0.34
539 66.333 12.5120 1 0.23977 0.136210 0.195 0.39
540 56.042 11.1790 1 0.26835 0.154970 0.435 0.87
541 76.958 15.1690 1 0.19778 0.109740 0.250 0.50
542 54.837 6.8262 1 0.43948 0.281630 0.130 0.26
543 77.079 8.4272 1 0.35599 0.216540 0.235 0.47
544 62.907 11.9110 1 0.25186 0.144070 0.160 0.32
545 76.958 6.3933 1 0.46924 0.306540 0.250 0.50
546 56.481 11.9080 1 0.25192 0.144120 0.160 0.32
547 56.693 11.0690 1 0.27102 0.156750 0.305 0.61
548 61.868 14.1420 1 0.21213 0.118650 0.280 0.56
549 49.123 13.7110 1 0.21881 0.122840 0.075 0.15
550 57.679 7.8915 1 0.38016 0.234690 0.140 0.28
551 69.718 7.3019 1 0.41085 0.258530 0.100 0.20
552 48.136 5.5236 1 0.54312 0.372800 0.140 0.28
553 57.057 12.0280 1 0.24943 0.142480 0.200 0.40
554 75.478 14.0390 1 0.21369 0.119630 0.335 0.67
555 66.233 9.9203 1 0.30241 0.178140 0.225 0.45
556 63.772 9.9403 1 0.30180 0.177720 0.205 0.41
557 49.123 12.6170 1 0.23778 0.134930 0.075 0.15
558 40.373 5.4899 1 0.54645 0.375950 0.275 0.55
559 77.079 10.6330 1 0.28215 0.164250 0.235 0.47
560 63.398 10.6500 1 0.28168 0.163930 0.510 1.02
561 48.136 10.5980 1 0.28308 0.164880 0.140 0.28
562 87.094 8.2549 1 0.36342 0.222060 0.270 0.54
563 59.750 8.9718 1 0.33438 0.200760 0.150 0.30
564 65.939 11.3710 1 0.26383 0.151960 0.180 0.36
565 56.693 10.7030 1 0.28028 0.162980 0.305 0.61
566 51.689 8.2284 1 0.36459 0.222940 0.140 0.28
567 50.826 5.9722 1 0.50232 0.335400 0.070 0.14
568 56.289 6.5707 1 0.45657 0.295820 0.185 0.37
569 75.478 12.1000 1 0.24794 0.141510 0.335 0.67
570 49.123 4.6451 1 0.64585 0.476940 0.075 0.15
571 56.481 19.0390 1 0.15757 0.085524 0.160 0.32
572 60.716 7.0257 1 0.42700 0.271460 0.260 0.52
573 62.709 9.6091 1 0.31220 0.184980 0.310 0.62
574 56.481 8.5057 1 0.35270 0.214110 0.160 0.32
575 54.837 5.7128 1 0.52514 0.356060 0.130 0.26
576 56.043 11.9070 1 0.25195 0.144130 0.140 0.28
577 57.057 8.8442 1 0.33921 0.204240 0.200 0.40
578 54.837 8.8995 1 0.33710 0.202720 0.130 0.26
579 57.679 6.8723 1 0.43654 0.279210 0.140 0.28
580 63.772 15.3940 1 0.19489 0.107960 0.205 0.41
581 48.136 9.6053 1 0.31233 0.185070 0.140 0.28
582 40.373 6.4314 1 0.46646 0.304170 0.275 0.55
583 64.536 7.3617 1 0.40752 0.255900 0.575 1.15
584 48.136 9.5507 1 0.31411 0.186320 0.140 0.28
585 63.772 12.5750 1 0.23857 0.135440 0.205 0.41
586 77.079 9.5914 1 0.31278 0.185380 0.235 0.47
587 76.958 8.7535 1 0.34272 0.206800 0.250 0.50
588 63.772 5.9549 1 0.50379 0.336710 0.205 0.41
589 40.373 6.6997 1 0.44778 0.288480 0.275 0.55
590 49.123 6.9277 1 0.43304 0.276360 0.075 0.15
591 61.009 11.5420 1 0.25991 0.149370 0.170 0.34
592 61.009 8.9391 1 0.33560 0.201640 0.170 0.34
593 57.679 6.6055 1 0.45417 0.293800 0.140 0.28
594 48.136 9.9789 1 0.30063 0.176910 0.140 0.28
595 61.868 14.1540 1 0.21196 0.118540 0.280 0.56
596 61.009 7.9071 1 0.37940 0.234110 0.170 0.34
597 48.136 8.8398 1 0.33937 0.204370 0.140 0.28
598 71.548 6.1106 1 0.49095 0.325340 0.175 0.35
599 40.373 15.7080 1 0.19098 0.105570 0.275 0.55
600 62.485 16.0680 1 0.18671 0.102960 0.250 0.50
601 77.835 11.8150 1 0.25391 0.145410 0.245 0.49
602 62.485 12.9620 1 0.23145 0.130870 0.250 0.50
603 56.042 8.3539 1 0.35911 0.218850 0.435 0.87
604 78.176 6.7456 1 0.44473 0.285950 0.405 0.81
605 40.373 11.2620 1 0.26639 0.153660 0.275 0.55
606 76.958 7.6617 1 0.39156 0.243440 0.250 0.50
607 65.215 11.9550 1 0.25093 0.143470 0.340 0.68
608 56.103 10.4940 1 0.28588 0.166780 0.145 0.29
609 62.726 8.1718 1 0.36712 0.224830 0.115 0.23
610 57.057 6.9401 1 0.43227 0.275730 0.200 0.40
611 63.398 14.7120 1 0.20391 0.113530 0.510 1.02
612 56.043 7.1092 1 0.42199 0.267420 0.140 0.28
613 71.548 8.0472 1 0.37280 0.229100 0.175 0.35
614 61.868 8.2113 1 0.36535 0.223500 0.280 0.56
615 56.043 10.3960 1 0.28856 0.168610 0.140 0.28
616 56.481 21.1230 1 0.14203 0.076442 0.160 0.32
617 64.536 11.7770 1 0.25472 0.145950 0.575 1.15
618 56.043 6.5228 1 0.45993 0.298640 0.140 0.28
619 87.094 6.4121 1 0.46787 0.305370 0.270 0.54
620 63.772 7.9219 1 0.37870 0.233570 0.205 0.41
621 78.176 7.1913 1 0.41717 0.263560 0.405 0.81
622 71.548 9.7569 1 0.30748 0.181670 0.175 0.35
623 65.939 5.9647 1 0.50296 0.335970 0.180 0.36
624 64.411 12.2870 1 0.24416 0.139050 0.175 0.35
625 75.289 23.6570 1 0.12681 0.067698 0.335 0.67
626 65.215 8.9622 1 0.33474 0.201010 0.340 0.68
627 65.215 6.8407 1 0.43855 0.280860 0.340 0.68
628 87.094 7.4674 1 0.40175 0.251370 0.270 0.54
629 69.718 8.0152 1 0.37429 0.230230 0.100 0.20
630 51.689 8.9040 1 0.33693 0.202590 0.140 0.28
631 63.772 5.6790 1 0.52826 0.358940 0.205 0.41
632 91.370 19.8770 1 0.15093 0.081623 0.440 0.88
633 56.289 14.9710 1 0.20038 0.111350 0.185 0.37
634 64.536 8.4935 1 0.35321 0.214490 0.575 1.15
635 65.215 6.3087 1 0.47554 0.311940 0.340 0.68
636 66.336 17.2800 1 0.17361 0.095054 0.330 0.66
637 56.693 11.6790 1 0.25686 0.147360 0.305 0.61
638 57.679 9.9961 1 0.30012 0.176550 0.140 0.28
639 48.136 8.0162 1 0.37424 0.230200 0.140 0.28
640 51.689 9.3529 1 0.32076 0.191010 0.140 0.28
641 71.548 8.2750 1 0.36254 0.221400 0.175 0.35
642 57.057 13.3730 1 0.22434 0.126340 0.200 0.40
643 77.079 12.1950 1 0.24601 0.140260 0.235 0.47
644 78.176 5.5699 1 0.53861 0.368560 0.405 0.81
645 50.826 7.6010 1 0.39468 0.245860 0.070 0.14
646 79.281 13.3710 1 0.22436 0.126360 0.335 0.67
647 66.336 7.4365 1 0.40342 0.252680 0.330 0.66
648 56.043 10.2820 1 0.29176 0.170800 0.140 0.28
649 65.939 11.8660 1 0.25283 0.144710 0.180 0.36
650 59.750 19.0970 1 0.15709 0.085240 0.150 0.30
651 61.009 13.1240 1 0.22858 0.129040 0.170 0.34
652 50.826 4.9377 1 0.60757 0.436340 0.070 0.14
653 63.398 16.9990 1 0.17648 0.096778 0.510 1.02
654 61.868 14.5910 1 0.20561 0.114580 0.280 0.56
655 77.079 13.3970 1 0.22394 0.126090 0.235 0.47
656 56.043 12.1530 1 0.24685 0.140800 0.140 0.28
657 69.718 3.3378 1 0.89880 0.816210 0.100 0.20
658 40.373 9.3743 1 0.32002 0.190490 0.275 0.55
659 40.373 4.5080 1 0.66548 0.498670 0.275 0.55
660 66.333 6.3893 1 0.46953 0.306790 0.195 0.39
661 64.536 10.9710 1 0.27345 0.158380 0.575 1.15
662 78.176 6.6954 1 0.44807 0.288720 0.405 0.81
663 63.772 10.3950 1 0.28859 0.168630 0.205 0.41
664 61.868 15.7780 1 0.19014 0.105060 0.280 0.56
665 40.373 7.8207 1 0.38360 0.237310 0.275 0.55
666 62.485 12.5040 1 0.23992 0.136310 0.250 0.50
667 61.868 12.8510 1 0.23344 0.132140 0.280 0.56
668 77.835 12.1030 1 0.24786 0.141460 0.245 0.49
669 61.868 11.4950 1 0.26099 0.150080 0.280 0.56
670 49.123 7.9545 1 0.37715 0.232400 0.075 0.15
671 78.176 6.5587 1 0.45741 0.296520 0.405 0.81
672 62.726 7.6506 1 0.39212 0.243880 0.115 0.23
673 91.370 24.6120 1 0.12189 0.064902 0.440 0.88
674 40.373 8.4165 1 0.35644 0.216870 0.275 0.55
675 64.411 15.1450 1 0.19808 0.109930 0.175 0.35
676 76.958 9.4693 1 0.31681 0.188220 0.250 0.50
677 65.215 4.0087 1 0.74837 0.597920 0.340 0.68
678 71.548 5.5243 1 0.54306 0.372740 0.175 0.35
679 56.042 9.6159 1 0.31198 0.184820 0.435 0.87
680 62.726 12.0850 1 0.24824 0.141710 0.115 0.23
681 62.907 6.8757 1 0.43632 0.279040 0.160 0.32
682 56.043 6.1713 1 0.48612 0.321110 0.140 0.28
683 61.009 10.3400 1 0.29014 0.169690 0.170 0.34
684 59.750 6.6168 1 0.45339 0.293150 0.150 0.30
685 61.868 10.6080 1 0.28281 0.164690 0.280 0.56
686 60.716 11.7790 1 0.25470 0.145930 0.260 0.52
687 75.478 15.0170 1 0.19977 0.110970 0.335 0.67
688 69.718 6.0225 1 0.49814 0.331680 0.100 0.20
689 56.103 9.1761 1 0.32694 0.195410 0.145 0.29
690 66.333 10.4710 1 0.28651 0.167210 0.195 0.39
691 64.536 11.5630 1 0.25944 0.149060 0.575 1.15
692 62.485 12.3660 1 0.24261 0.138050 0.250 0.50
693 62.726 7.3752 1 0.40677 0.255310 0.115 0.23
694 66.336 9.1286 1 0.32864 0.196630 0.330 0.66
695 69.718 5.4968 1 0.54578 0.375300 0.100 0.20
696 56.481 17.1100 1 0.17533 0.096091 0.160 0.32
697 56.481 11.3120 1 0.26522 0.152880 0.160 0.32
698 62.485 20.7450 1 0.14461 0.077942 0.250 0.50
699 65.215 14.2180 1 0.21100 0.117940 0.340 0.68
700 51.689 6.6047 1 0.45422 0.293840 0.140 0.28
701 66.336 8.4737 1 0.35404 0.215090 0.330 0.66
702 48.136 6.4523 1 0.46495 0.302890 0.140 0.28
703 69.718 8.2183 1 0.36504 0.223270 0.100 0.20
704 75.289 10.7360 1 0.27943 0.162400 0.335 0.67
705 75.289 13.4810 1 0.22254 0.125200 0.335 0.67
706 57.057 8.0966 1 0.37052 0.227390 0.200 0.40
707 61.868 9.6540 1 0.31075 0.183960 0.280 0.56
708 77.079 13.4170 1 0.22359 0.125870 0.235 0.47
709 78.176 5.7902 1 0.51812 0.349630 0.405 0.81
710 64.536 6.4202 1 0.46728 0.304870 0.575 1.15
711 49.123 7.3280 1 0.40939 0.257380 0.075 0.15
712 48.136 7.3886 1 0.40603 0.254730 0.140 0.28
713 56.693 9.5272 1 0.31489 0.186860 0.305 0.61
714 59.750 8.8826 1 0.33774 0.203180 0.150 0.30
715 66.336 12.8220 1 0.23397 0.132480 0.330 0.66
716 48.136 8.5242 1 0.35194 0.213550 0.140 0.28
717 56.693 12.5800 1 0.23847 0.135380 0.305 0.61
718 50.826 5.6606 1 0.52998 0.360520 0.070 0.14
719 56.289 7.4952 1 0.40026 0.250200 0.185 0.37
720 56.289 11.4620 1 0.26173 0.150570 0.185 0.37
721 40.373 6.2841 1 0.47740 0.313540 0.275 0.55
722 69.718 5.8279 1 0.51476 0.346580 0.100 0.20
723 65.215 9.1166 1 0.32907 0.196940 0.340 0.68
724 56.043 8.7682 1 0.34215 0.206380 0.140 0.28
725 56.042 7.4023 1 0.40528 0.254140 0.435 0.87
726 65.939 6.2478 1 0.48017 0.315940 0.180 0.36
727 60.716 9.8951 1 0.30318 0.178680 0.260 0.52
728 56.289 15.8570 1 0.18919 0.104480 0.185 0.37
729 40.373 4.1725 1 0.71900 0.561280 0.275 0.55
730 65.641 9.0880 1 0.33011 0.197680 0.210 0.42
731 62.907 9.2522 1 0.32425 0.193490 0.160 0.32
732 54.837 9.1966 1 0.32621 0.194890 0.130 0.26
733 49.123 6.2397 1 0.48079 0.316480 0.075 0.15
734 79.281 13.7750 1 0.21779 0.122200 0.335 0.67
735 56.693 10.6340 1 0.28211 0.164220 0.305 0.61
736 62.709 8.7459 1 0.34302 0.207010 0.310 0.62
737 48.136 10.2330 1 0.29317 0.171760 0.140 0.28
738 65.939 10.0590 1 0.29825 0.175260 0.180 0.36
739 71.548 5.9074 1 0.50783 0.340330 0.175 0.35
740 49.123 8.2511 1 0.36359 0.222190 0.075 0.15
741 62.709 14.3390 1 0.20922 0.116830 0.310 0.62
742 65.215 6.5521 1 0.45787 0.296900 0.340 0.68
743 56.103 13.5130 1 0.22200 0.124860 0.145 0.29
744 64.411 6.8771 1 0.43623 0.278960 0.175 0.35
745 56.043 13.0700 1 0.22952 0.129640 0.140 0.28
746 56.042 5.9465 1 0.50450 0.337340 0.435 0.87
747 48.136 9.6880 1 0.30966 0.183200 0.140 0.28
748 64.536 8.6285 1 0.34768 0.210420 0.575 1.15
749 62.485 9.7346 1 0.30818 0.182160 0.250 0.50
750 65.641 12.0360 1 0.24925 0.142370 0.210 0.42
751 87.094 8.6908 1 0.34519 0.208600 0.270 0.54
752 59.750 14.3180 1 0.20952 0.117020 0.150 0.30
753 65.939 10.9500 1 0.27398 0.158740 0.180 0.36
754 61.009 13.9260 1 0.21543 0.120720 0.170 0.34
755 56.289 16.1060 1 0.18626 0.102690 0.185 0.37
756 56.043 8.1978 1 0.36595 0.223960 0.140 0.28
757 57.679 8.5071 1 0.35265 0.214070 0.140 0.28
758 65.939 8.3261 1 0.36031 0.219740 0.180 0.36
759 49.123 9.5757 1 0.31329 0.185740 0.075 0.15
760 77.079 13.6520 1 0.21974 0.123430 0.235 0.47
761 50.826 6.5415 1 0.45861 0.297530 0.070 0.14
762 65.215 8.4007 1 0.35711 0.217370 0.340 0.68
763 56.043 8.4283 1 0.35594 0.216500 0.140 0.28
764 62.726 6.1063 1 0.49130 0.325640 0.115 0.23
765 63.772 6.4658 1 0.46398 0.302070 0.205 0.41
766 69.718 4.0829 1 0.73476 0.580730 0.100 0.20
767 65.641 13.4800 1 0.22256 0.125210 0.210 0.42
768 63.772 11.0050 1 0.27261 0.157810 0.205 0.41
769 63.398 7.0702 1 0.42431 0.269290 0.510 1.02
770 61.009 10.5020 1 0.28567 0.166640 0.170 0.34
771 78.176 7.5303 1 0.39839 0.248740 0.405 0.81
772 62.485 12.1500 1 0.24691 0.140840 0.250 0.50
773 56.693 9.5074 1 0.31554 0.187330 0.305 0.61
774 77.835 8.8361 1 0.33952 0.204470 0.245 0.49
775 56.103 7.4902 1 0.40052 0.250410 0.145 0.29
776 56.042 5.4092 1 0.55461 0.383710 0.435 0.87
777 66.333 11.8260 1 0.25367 0.145260 0.195 0.39
778 63.398 7.9571 1 0.37702 0.232300 0.510 1.02
779 60.716 8.8603 1 0.33859 0.203800 0.260 0.52
780 65.641 10.6900 1 0.28063 0.163220 0.210 0.42
781 65.939 8.8519 1 0.33891 0.204030 0.180 0.36
782 71.548 7.4209 1 0.40426 0.253340 0.175 0.35
783 62.907 15.6020 1 0.19228 0.106370 0.160 0.32
784 71.548 6.6636 1 0.45021 0.290500 0.175 0.35
785 40.373 5.5358 1 0.54192 0.371670 0.275 0.55
786 77.079 10.2820 1 0.29179 0.170810 0.235 0.47
787 50.826 4.5010 1 0.66651 0.499830 0.070 0.14
788 75.289 14.9750 1 0.20034 0.111320 0.335 0.67
789 63.772 12.7510 1 0.23527 0.133320 0.205 0.41
790 54.837 8.8665 1 0.33835 0.203620 0.130 0.26
791 48.136 8.0831 1 0.37115 0.227860 0.140 0.28
792 62.726 9.3823 1 0.31975 0.190300 0.115 0.23
793 40.373 6.1244 1 0.48984 0.324370 0.275 0.55
794 62.907 6.5191 1 0.46018 0.298860 0.160 0.32
795 66.333 8.8582 1 0.33867 0.203850 0.195 0.39
796 64.536 9.7718 1 0.30701 0.181340 0.575 1.15
797 56.693 12.2920 1 0.24406 0.138990 0.305 0.61
798 56.043 8.3356 1 0.35990 0.219440 0.140 0.28
799 56.289 9.1207 1 0.32892 0.196830 0.185 0.37
800 54.837 10.2610 1 0.29238 0.171220 0.130 0.26
801 56.289 5.5748 1 0.53814 0.368120 0.185 0.37
802 56.481 11.5770 1 0.25914 0.148860 0.160 0.32
803 66.233 15.4490 1 0.19419 0.107530 0.225 0.45
804 57.679 8.0519 1 0.37259 0.228940 0.140 0.28
805 61.009 14.5500 1 0.20618 0.114940 0.170 0.34
806 63.772 11.6190 1 0.25821 0.148240 0.205 0.41
807 63.398 9.1821 1 0.32672 0.195260 0.510 1.02
808 62.907 7.3848 1 0.40624 0.254890 0.160 0.32
809 62.709 10.5110 1 0.28543 0.166470 0.310 0.62
810 62.726 7.2092 1 0.41613 0.262730 0.115 0.23
811 56.481 12.5870 1 0.23834 0.135300 0.160 0.32
812 79.281 11.6490 1 0.25752 0.147790 0.335 0.67
813 59.750 13.9460 1 0.21512 0.120520 0.150 0.30
814 57.679 6.2974 1 0.47638 0.312670 0.140 0.28
815 98.139 10.0720 1 0.29786 0.174990 0.405 0.81
816 57.057 10.7580 1 0.27887 0.162030 0.200 0.40
817 75.478 15.2480 1 0.19675 0.109110 0.335 0.67
818 69.929 9.2065 1 0.32586 0.194640 0.160 0.32
819 56.042 6.3090 1 0.47551 0.311920 0.435 0.87
820 51.689 7.4719 1 0.40150 0.251180 0.140 0.28
821 77.079 9.9933 1 0.30020 0.176610 0.235 0.47
822 54.837 3.6269 1 0.82716 0.705270 0.130 0.26
823 69.718 7.9891 1 0.37551 0.231160 0.100 0.20
824 69.929 12.8010 1 0.23436 0.132730 0.160 0.32
825 66.233 14.0320 1 0.21380 0.119690 0.225 0.45
826 64.536 9.0575 1 0.33122 0.198480 0.575 1.15
827 69.929 20.4970 1 0.14636 0.078961 0.160 0.32
828 62.485 13.5780 1 0.22095 0.124190 0.250 0.50
829 87.094 6.9032 1 0.43458 0.277610 0.270 0.54
830 56.043 6.5563 1 0.45757 0.296660 0.140 0.28
831 61.868 15.8460 1 0.18932 0.104560 0.280 0.56
832 49.123 8.9198 1 0.33633 0.202160 0.075 0.15
833 64.536 6.6124 1 0.45370 0.293410 0.575 1.15
834 62.485 15.4530 1 0.19414 0.107510 0.250 0.50
835 62.726 5.6094 1 0.53481 0.365010 0.115 0.23
836 66.333 7.7322 1 0.38799 0.240680 0.195 0.39
837 62.709 9.3601 1 0.32051 0.190840 0.310 0.62
838 56.042 6.6135 1 0.45361 0.293340 0.435 0.87
839 54.837 9.0735 1 0.33063 0.198060 0.130 0.26
840 51.689 7.9318 1 0.37823 0.233220 0.140 0.28
841 62.709 9.6500 1 0.31088 0.184050 0.310 0.62
842 71.548 7.8546 1 0.38194 0.236050 0.175 0.35
843 61.009 10.1540 1 0.29545 0.173330 0.170 0.34
844 77.079 12.3680 1 0.24255 0.138010 0.235 0.47
845 56.289 11.2360 1 0.26700 0.154070 0.185 0.37
846 56.103 10.9840 1 0.27313 0.158170 0.145 0.29
847 57.057 11.5180 1 0.26046 0.149730 0.200 0.40
848 66.336 6.3067 1 0.47569 0.312070 0.330 0.66
849 66.233 18.6760 1 0.16064 0.087333 0.225 0.45
850 62.709 9.9375 1 0.30189 0.177780 0.310 0.62
851 63.398 14.6660 1 0.20455 0.113930 0.510 1.02
852 51.689 9.3174 1 0.32198 0.191880 0.140 0.28
853 57.679 5.0619 1 0.59267 0.421130 0.140 0.28
854 56.693 6.4874 1 0.46243 0.300760 0.305 0.61
855 71.548 4.0060 1 0.74888 0.598560 0.175 0.35
856 66.336 12.1400 1 0.24712 0.140980 0.330 0.66
857 62.726 8.3920 1 0.35748 0.217640 0.115 0.23
858 62.726 9.9780 1 0.30066 0.176930 0.115 0.23
859 48.136 6.5109 1 0.46077 0.299350 0.140 0.28
860 60.716 6.7079 1 0.44723 0.288020 0.260 0.52
861 75.289 11.6580 1 0.25733 0.147660 0.335 0.67
862 62.485 14.0040 1 0.21422 0.119960 0.250 0.50
863 63.772 9.3110 1 0.32220 0.192040 0.205 0.41
864 77.079 13.1150 1 0.22875 0.129150 0.235 0.47
865 87.094 5.8784 1 0.51034 0.342590 0.270 0.54
866 56.103 10.5500 1 0.28436 0.165750 0.145 0.29
867 62.726 6.9958 1 0.42883 0.272940 0.115 0.23
868 62.709 14.8860 1 0.20153 0.112050 0.310 0.62
869 78.176 6.6107 1 0.45381 0.293500 0.405 0.81
870 75.478 6.8375 1 0.43876 0.281030 0.335 0.67
871 56.043 10.5070 1 0.28554 0.166540 0.140 0.28
872 40.373 8.9273 1 0.33605 0.201960 0.275 0.55
873 64.411 9.2939 1 0.32279 0.192460 0.175 0.35
874 61.868 16.6650 1 0.18002 0.098913 0.280 0.56
875 62.709 8.5007 1 0.35291 0.214260 0.310 0.62
876 64.411 10.3040 1 0.29114 0.170370 0.175 0.35
877 56.481 10.5950 1 0.28315 0.164920 0.160 0.32
878 79.281 16.7560 1 0.17904 0.098323 0.335 0.67
879 62.726 9.3566 1 0.32063 0.190920 0.115 0.23
880 48.136 9.6516 1 0.31083 0.184010 0.140 0.28
881 50.826 4.8202 1 0.62238 0.451780 0.070 0.14
882 56.042 8.3720 1 0.35834 0.218280 0.435 0.87
883 77.835 13.6680 1 0.21950 0.123280 0.245 0.49
884 54.837 9.2932 1 0.32282 0.192480 0.130 0.26
885 79.281 9.0566 1 0.33125 0.198500 0.335 0.67
886 57.057 14.9880 1 0.20016 0.111210 0.200 0.40
887 76.958 8.4164 1 0.35645 0.216870 0.250 0.50
888 87.094 11.0980 1 0.27032 0.156280 0.270 0.54
889 57.057 9.6993 1 0.30930 0.182940 0.200 0.40
890 50.826 6.7941 1 0.44156 0.283340 0.070 0.14
891 40.373 8.2359 1 0.36426 0.222690 0.275 0.55
892 63.772 8.4997 1 0.35295 0.214290 0.205 0.41
893 49.123 10.1430 1 0.29576 0.173550 0.075 0.15
894 63.772 9.2329 1 0.32492 0.193980 0.205 0.41
895 56.042 10.7400 1 0.27933 0.162340 0.435 0.87
896 76.958 13.6290 1 0.22012 0.123670 0.250 0.50
897 87.094 7.8372 1 0.38279 0.236700 0.270 0.54
898 59.750 14.1970 1 0.21131 0.118130 0.150 0.30
899 48.136 5.7793 1 0.51909 0.350520 0.140 0.28
900 40.373 6.9027 1 0.43461 0.277640 0.275 0.55
901 49.123 9.7081 1 0.30902 0.182750 0.075 0.15
902 54.837 8.5906 1 0.34922 0.211550 0.130 0.26
903 61.009 11.5000 1 0.26086 0.150000 0.170 0.34
904 49.123 10.5270 1 0.28498 0.166170 0.075 0.15
905 64.536 6.3326 1 0.47374 0.310390 0.575 1.15
906 49.123 7.3669 1 0.40723 0.255670 0.075 0.15
907 64.536 7.1457 1 0.41983 0.265690 0.575 1.15
908 62.485 13.0230 1 0.23036 0.130170 0.250 0.50
909 64.411 14.5660 1 0.20596 0.114800 0.175 0.35
910 76.958 19.7160 1 0.15216 0.082343 0.250 0.50
911 71.548 5.2545 1 0.57094 0.399520 0.175 0.35
912 63.772 6.7794 1 0.44252 0.284130 0.205 0.41
913 78.176 7.1561 1 0.41922 0.265200 0.405 0.81
914 56.289 7.9661 1 0.37660 0.231980 0.185 0.37
915 77.835 7.2086 1 0.41617 0.262760 0.245 0.49
916 50.826 6.1626 1 0.48681 0.321710 0.070 0.14
917 56.042 10.5100 1 0.28545 0.166490 0.435 0.87
918 48.136 8.4936 1 0.35321 0.214480 0.140 0.28
919 56.042 6.6550 1 0.45079 0.290980 0.435 0.87
920 54.837 7.1803 1 0.41781 0.264070 0.130 0.26
921 65.939 9.8807 1 0.30362 0.178980 0.180 0.36
922 57.057 7.6012 1 0.39468 0.245850 0.200 0.40
923 49.123 7.5338 1 0.39821 0.248600 0.075 0.15
924 91.370 12.9140 1 0.23231 0.131420 0.440 0.88
925 77.835 12.5090 1 0.23982 0.136250 0.245 0.49
926 59.750 10.5780 1 0.28359 0.165230 0.150 0.30
927 65.641 21.1340 1 0.14195 0.076397 0.210 0.42
928 63.772 12.1900 1 0.24611 0.140320 0.205 0.41
929 66.233 8.7591 1 0.34250 0.206640 0.225 0.45
930 59.750 8.2727 1 0.36264 0.221480 0.150 0.30
931 87.094 12.9250 1 0.23210 0.131290 0.270 0.54
932 50.826 5.9364 1 0.50535 0.338110 0.070 0.14
933 51.689 6.4162 1 0.46756 0.305110 0.140 0.28
934 62.907 9.4201 1 0.31847 0.189390 0.160 0.32
935 56.103 8.0865 1 0.37099 0.227740 0.145 0.29
936 62.709 7.1618 1 0.41889 0.264940 0.310 0.62
937 56.481 25.2670 1 0.11873 0.063112 0.160 0.32
938 62.907 6.6476 1 0.45129 0.291400 0.160 0.32
939 57.679 9.5669 1 0.31358 0.185940 0.140 0.28
940 64.536 11.6420 1 0.25770 0.147900 0.575 1.15
941 65.641 12.7110 1 0.23602 0.133800 0.210 0.42
942 71.548 5.8913 1 0.50923 0.341590 0.175 0.35
943 65.939 10.4010 1 0.28843 0.168520 0.180 0.36
944 61.868 15.0660 1 0.19912 0.110570 0.280 0.56
945 56.289 11.7020 1 0.25637 0.147030 0.185 0.37
946 62.485 13.3640 1 0.22448 0.126430 0.250 0.50
947 56.481 11.1950 1 0.26797 0.154720 0.160 0.32
948 64.536 11.6230 1 0.25811 0.148180 0.575 1.15
949 49.123 9.0673 1 0.33086 0.198220 0.075 0.15
950 87.094 14.5520 1 0.20616 0.114930 0.270 0.54
951 66.233 9.9025 1 0.30296 0.178520 0.225 0.45
952 64.536 8.5184 1 0.35218 0.213720 0.575 1.15
953 65.215 7.8543 1 0.38196 0.236060 0.340 0.68
954 87.094 7.9624 1 0.37677 0.232110 0.270 0.54
955 49.123 9.1744 1 0.32700 0.195450 0.075 0.15
956 50.826 6.9583 1 0.43114 0.274810 0.070 0.14
957 87.094 8.2621 1 0.36310 0.221820 0.270 0.54
958 65.215 7.2126 1 0.41594 0.262580 0.340 0.68
959 64.411 10.4110 1 0.28816 0.168330 0.175 0.35
960 51.689 6.6719 1 0.44965 0.290030 0.140 0.28
961 56.043 6.2678 1 0.47864 0.314610 0.140 0.28
962 65.939 8.7275 1 0.34374 0.207540 0.180 0.36
963 61.868 12.8410 1 0.23363 0.132270 0.280 0.56
964 62.907 11.3640 1 0.26399 0.152070 0.160 0.32
965 63.398 9.5828 1 0.31306 0.185580 0.510 1.02
966 87.094 8.1766 1 0.36690 0.224660 0.270 0.54
967 60.716 14.3250 1 0.20942 0.116960 0.260 0.52
968 77.079 12.7390 1 0.23549 0.133460 0.235 0.47
969 56.103 8.7846 1 0.34151 0.205910 0.145 0.29
970 40.373 6.3193 1 0.47474 0.311250 0.275 0.55
971 62.709 14.3060 1 0.20971 0.117140 0.310 0.62
972 62.726 5.9551 1 0.50377 0.336690 0.115 0.23
973 51.689 7.3174 1 0.40998 0.257850 0.140 0.28
974 71.548 7.0257 1 0.42701 0.271460 0.175 0.35
975 87.094 7.0192 1 0.42740 0.271780 0.270 0.54
976 56.289 8.7899 1 0.34130 0.205760 0.185 0.37
977 56.481 14.4010 1 0.20832 0.116270 0.160 0.32
978 51.689 5.1726 1 0.57998 0.408430 0.140 0.28
979 62.709 7.7658 1 0.38631 0.239390 0.310 0.62
980 87.094 7.3528 1 0.40801 0.256290 0.270 0.54
981 62.485 12.5410 1 0.23921 0.135850 0.250 0.50
982 56.481 19.6040 1 0.15303 0.082854 0.160 0.32
983 64.411 11.7780 1 0.25472 0.145950 0.175 0.35
984 49.123 7.3463 1 0.40837 0.256570 0.075 0.15
985 65.939 14.5070 1 0.20680 0.115330 0.180 0.36
986 56.103 9.5104 1 0.31545 0.187260 0.145 0.29
987 77.835 7.7346 1 0.38787 0.240590 0.245 0.49
988 60.716 7.8808 1 0.38067 0.235080 0.260 0.52
989 54.837 6.4356 1 0.46615 0.303910 0.130 0.26
990 59.750 16.6330 1 0.18036 0.099121 0.150 0.30
991 63.398 8.2561 1 0.36337 0.222020 0.510 1.02
992 62.485 15.9280 1 0.18835 0.103970 0.250 0.50
993 63.398 8.0836 1 0.37112 0.227840 0.510 1.02
994 87.094 9.8357 1 0.30501 0.179950 0.270 0.54
995 77.835 10.9640 1 0.27362 0.158490 0.245 0.49
996 40.373 8.3971 1 0.35727 0.217480 0.275 0.55
997 62.709 9.3055 1 0.32239 0.192170 0.310 0.62
998 62.907 13.4440 1 0.22314 0.125580 0.160 0.32
999 60.716 10.0810 1 0.29760 0.174810 0.260 0.52
1000 56.043 5.6810 1 0.52808 0.358770 0.140 0.28
1001 66.336 6.2825 1 0.47751 0.313640 0.330 0.66
1002 57.057 11.7070 1 0.25627 0.146960 0.200 0.40
1003 48.136 9.4002 1 0.31914 0.189870 0.140 0.28
1004 77.079 9.3600 1 0.32051 0.190840 0.235 0.47
1005 57.679 5.6579 1 0.53023 0.360760 0.140 0.28
1006 87.094 7.5307 1 0.39837 0.248730 0.270 0.54
1007 56.289 12.6650 1 0.23687 0.134350 0.185 0.37
1008 65.641 10.4970 1 0.28580 0.166730 0.210 0.42
1009 62.709 9.7463 1 0.30781 0.181900 0.310 0.62
1010 87.094 8.0983 1 0.37045 0.227330 0.270 0.54
1011 49.123 7.0400 1 0.42614 0.270760 0.075 0.15
1012 61.009 9.8743 1 0.30382 0.179120 0.170 0.34
1013 57.057 11.3190 1 0.26505 0.152770 0.200 0.40
1014 40.373 8.1206 1 0.36943 0.226560 0.275 0.55
1015 59.750 8.7479 1 0.34294 0.206960 0.150 0.30
1016 49.123 9.3150 1 0.32206 0.191940 0.075 0.15
1017 56.481 15.5570 1 0.19284 0.106710 0.160 0.32
1018 63.772 8.8876 1 0.33755 0.203040 0.205 0.41
1019 59.750 8.0617 1 0.37213 0.228600 0.150 0.30
1020 60.716 8.0850 1 0.37106 0.227790 0.260 0.52
1021 56.103 15.0990 1 0.19869 0.110300 0.145 0.29
1022 71.548 7.9620 1 0.37679 0.232120 0.175 0.35
1023 51.689 10.1480 1 0.29563 0.173450 0.140 0.28
1024 78.176 5.5909 1 0.53659 0.366670 0.405 0.81
1025 56.693 7.3835 1 0.40631 0.254950 0.305 0.61
1026 66.333 5.6568 1 0.53034 0.360860 0.195 0.39
1027 63.772 6.2120 1 0.48293 0.318330 0.205 0.41
1028 62.709 9.6927 1 0.30951 0.183090 0.310 0.62
1029 57.057 9.4994 1 0.31581 0.187510 0.200 0.40
1030 62.907 6.1061 1 0.49131 0.325650 0.160 0.32
1031 51.689 6.1282 1 0.48954 0.324100 0.140 0.28
1032 51.689 11.5120 1 0.26059 0.149820 0.140 0.28
1033 98.139 9.5913 1 0.31278 0.185390 0.405 0.81
1034 62.485 10.7930 1 0.27796 0.161420 0.250 0.50
1035 91.370 13.5250 1 0.22181 0.124740 0.440 0.88
1036 57.679 6.8179 1 0.44002 0.282070 0.140 0.28
1037 87.094 6.4006 1 0.46871 0.306080 0.270 0.54
1038 66.333 10.9070 1 0.27505 0.159450 0.195 0.39
1039 66.233 14.3950 1 0.20840 0.116320 0.225 0.45
1040 54.837 6.4701 1 0.46367 0.301800 0.130 0.26
1041 56.042 10.4380 1 0.28742 0.167830 0.435 0.87
1042 66.233 10.7230 1 0.27978 0.162640 0.225 0.45
1043 61.868 11.4490 1 0.26204 0.150780 0.280 0.56
1044 69.718 6.0458 1 0.49621 0.329970 0.100 0.20
1045 61.009 11.4450 1 0.26212 0.150830 0.170 0.34
1046 56.693 10.5990 1 0.28305 0.164850 0.305 0.61
1047 64.536 6.2768 1 0.47795 0.314020 0.575 1.15
1048 48.136 6.8718 1 0.43657 0.279240 0.140 0.28
1049 57.057 10.7620 1 0.27875 0.161950 0.200 0.40
1050 69.929 12.1400 1 0.24712 0.140980 0.160 0.32
1051 64.536 10.0810 1 0.29758 0.174800 0.575 1.15
1052 59.750 7.9214 1 0.37872 0.233600 0.150 0.30
1053 56.103 8.7815 1 0.34163 0.206000 0.145 0.29
1054 56.103 9.5697 1 0.31349 0.185880 0.145 0.29
1055 51.689 7.4636 1 0.40195 0.251520 0.140 0.28
1056 63.772 11.2220 1 0.26733 0.154290 0.205 0.41
1057 56.289 11.0410 1 0.27171 0.157210 0.185 0.37
1058 56.103 9.5743 1 0.31334 0.185780 0.145 0.29
1059 49.123 6.8844 1 0.43577 0.278580 0.075 0.15
1060 91.370 11.8890 1 0.25233 0.144380 0.440 0.88
1061 54.837 10.0530 1 0.29843 0.175380 0.130 0.26
1062 64.411 13.0450 1 0.22998 0.129930 0.175 0.35
1063 62.709 8.1524 1 0.36799 0.225480 0.310 0.62
1064 65.641 11.6900 1 0.25664 0.147210 0.210 0.42
1065 66.333 10.1450 1 0.29570 0.173500 0.195 0.39
1066 57.679 9.7564 1 0.30749 0.181680 0.140 0.28
1067 71.548 5.0052 1 0.59938 0.427940 0.175 0.35
1068 65.215 9.8837 1 0.30353 0.178920 0.340 0.68
1069 79.281 8.4668 1 0.35432 0.215310 0.335 0.67
1070 48.136 7.0758 1 0.42398 0.269020 0.140 0.28
1071 64.411 13.8770 1 0.21619 0.121200 0.175 0.35
1072 50.826 7.1871 1 0.41741 0.263750 0.070 0.14
1073 62.485 13.2060 1 0.22716 0.128140 0.250 0.50
1074 48.136 6.3753 1 0.47057 0.307680 0.140 0.28
1075 57.679 9.8539 1 0.30445 0.179560 0.140 0.28
1076 76.958 9.6367 1 0.31131 0.184350 0.250 0.50
1077 65.641 11.8080 1 0.25408 0.145520 0.210 0.42
1078 64.411 13.4650 1 0.22279 0.125360 0.175 0.35
1079 56.481 18.1890 1 0.16494 0.089880 0.160 0.32
1080 56.481 10.3880 1 0.28880 0.168770 0.160 0.32
1081 59.750 16.1550 1 0.18570 0.102350 0.150 0.30
1082 65.641 15.8130 1 0.18972 0.104800 0.210 0.42
1083 62.485 8.1618 1 0.36757 0.225160 0.250 0.50
1084 65.939 7.2359 1 0.41460 0.261510 0.180 0.36
1085 71.548 7.7983 1 0.38470 0.238160 0.175 0.35
1086 56.042 7.4347 1 0.40351 0.252750 0.435 0.87
1087 71.548 6.5565 1 0.45756 0.296650 0.175 0.35
1088 60.716 5.5798 1 0.53765 0.367660 0.260 0.52
1089 65.939 10.2770 1 0.29191 0.170900 0.180 0.36
1090 40.373 8.3725 1 0.35831 0.218260 0.275 0.55
1091 54.837 8.4924 1 0.35326 0.214520 0.130 0.26
1092 57.057 8.7561 1 0.34262 0.206720 0.200 0.40
1093 76.958 7.2942 1 0.41128 0.258880 0.250 0.50
1094 57.679 6.4779 1 0.46312 0.301330 0.140 0.28
1095 56.289 10.2860 1 0.29167 0.170730 0.185 0.37
1096 51.689 5.7765 1 0.51935 0.350750 0.140 0.28
1097 61.009 14.3100 1 0.20965 0.117100 0.170 0.34
1098 50.826 3.0000 1 1.00000 1.000000 0.070 0.14
1099 54.837 6.6079 1 0.45400 0.293660 0.130 0.26
1100 65.641 9.6632 1 0.31046 0.183750 0.210 0.42
1101 63.398 9.2380 1 0.32475 0.193850 0.510 1.02
1102 75.289 11.9530 1 0.25099 0.143500 0.335 0.67
1103 69.718 5.7562 1 0.52117 0.352420 0.100 0.20
1104 57.679 8.2355 1 0.36427 0.222700 0.140 0.28
1105 40.373 10.2510 1 0.29265 0.171410 0.275 0.55
1106 56.103 9.1221 1 0.32887 0.196800 0.145 0.29
1107 62.907 8.2355 1 0.36428 0.222700 0.160 0.32
1108 69.718 6.6488 1 0.45121 0.291330 0.100 0.20
1109 66.336 10.2920 1 0.29149 0.170610 0.330 0.66
1110 60.716 9.5544 1 0.31399 0.186230 0.260 0.52
1111 77.835 7.6933 1 0.38995 0.242200 0.245 0.49
1112 63.772 8.7787 1 0.34174 0.206080 0.205 0.41
1113 56.042 9.7980 1 0.30618 0.180770 0.435 0.87
1114 87.094 7.0454 1 0.42581 0.270490 0.270 0.54
1115 65.641 13.7700 1 0.21787 0.122250 0.210 0.42
1116 62.907 7.1472 1 0.41974 0.265620 0.160 0.32
1117 62.485 13.0300 1 0.23025 0.130100 0.250 0.50
1118 77.835 10.2870 1 0.29162 0.170700 0.245 0.49
1119 77.079 10.6250 1 0.28236 0.164390 0.235 0.47
1120 50.826 7.5952 1 0.39499 0.246100 0.070 0.14
1121 71.548 4.1225 1 0.72772 0.571980 0.175 0.35
1122 50.826 4.5057 1 0.66583 0.499050 0.070 0.14
1123 50.826 5.4557 1 0.54989 0.379200 0.070 0.14
1124 79.281 16.6220 1 0.18048 0.099193 0.335 0.67
1125 62.709 10.6850 1 0.28077 0.163310 0.310 0.62
1126 50.826 4.7185 1 0.63579 0.466050 0.070 0.14
1127 57.679 12.5410 1 0.23921 0.135850 0.140 0.28
1128 61.009 8.4060 1 0.35689 0.217200 0.170 0.34
1129 69.718 3.5192 1 0.85247 0.742880 0.100 0.20
1130 57.679 8.1742 1 0.36701 0.224750 0.140 0.28
1131 71.548 9.2517 1 0.32426 0.193510 0.175 0.35
1132 56.481 16.8130 1 0.17843 0.097955 0.160 0.32
1133 91.370 7.3337 1 0.40907 0.257130 0.440 0.88
1134 69.929 12.8970 1 0.23262 0.131620 0.160 0.32
1135 57.679 9.0139 1 0.33282 0.199630 0.140 0.28
1136 56.289 11.1400 1 0.26930 0.155600 0.185 0.37
1137 64.411 14.0810 1 0.21305 0.119230 0.175 0.35
1138 65.641 13.4130 1 0.22366 0.125910 0.210 0.42
1139 71.548 5.5847 1 0.53718 0.367220 0.175 0.35
1140 79.281 12.8240 1 0.23393 0.132460 0.335 0.67
1141 64.411 14.5680 1 0.20594 0.114790 0.175 0.35
1142 63.398 11.8180 1 0.25386 0.145380 0.510 1.02
1143 77.835 17.4740 1 0.17169 0.093904 0.245 0.49
1144 56.043 10.9430 1 0.27415 0.158850 0.140 0.28
1145 57.679 9.3406 1 0.32118 0.191310 0.140 0.28
1146 87.094 7.3931 1 0.40579 0.254540 0.270 0.54
1147 56.481 14.0930 1 0.21287 0.119110 0.160 0.32
1148 61.868 11.0310 1 0.27196 0.157380 0.280 0.56
1149 57.679 7.9521 1 0.37726 0.232480 0.140 0.28
1150 62.907 5.9482 1 0.50435 0.337220 0.160 0.32
1151 87.094 11.4740 1 0.26147 0.150400 0.270 0.54
1152 66.233 11.2490 1 0.26670 0.153870 0.225 0.45
1153 65.939 11.3170 1 0.26509 0.152790 0.180 0.36
1154 76.958 11.0140 1 0.27237 0.157660 0.250 0.50
1155 63.398 9.4206 1 0.31845 0.189380 0.510 1.02
1156 40.373 5.3011 1 0.56592 0.394620 0.275 0.55
1157 69.718 4.8819 1 0.61452 0.443540 0.100 0.20
1158 79.281 14.6030 1 0.20544 0.114480 0.335 0.67
1159 64.411 10.3960 1 0.28857 0.168610 0.175 0.35
1160 56.042 10.4690 1 0.28657 0.167250 0.435 0.87
1161 56.693 14.6290 1 0.20508 0.114250 0.305 0.61
1162 49.123 10.1810 1 0.29467 0.172790 0.075 0.15
1163 79.281 8.8635 1 0.33847 0.203710 0.335 0.67
1164 65.641 11.4900 1 0.26109 0.150150 0.210 0.42
1165 65.641 18.3330 1 0.16364 0.089111 0.210 0.42
1166 40.373 11.0750 1 0.27088 0.156660 0.275 0.55
1167 57.679 9.5162 1 0.31525 0.187120 0.140 0.28
1168 51.689 7.6800 1 0.39062 0.242720 0.140 0.28
1169 98.139 10.2410 1 0.29293 0.171600 0.405 0.81
1170 61.009 8.2015 1 0.36579 0.223830 0.170 0.34
1171 56.289 12.4180 1 0.24158 0.137380 0.185 0.37
1172 56.043 13.0950 1 0.22910 0.129370 0.140 0.28
1173 61.868 13.5450 1 0.22148 0.124530 0.280 0.56
1174 56.103 9.3740 1 0.32003 0.190500 0.145 0.29
1175 65.641 16.9510 1 0.17698 0.097084 0.210 0.42
1176 40.373 4.6098 1 0.65079 0.482350 0.275 0.55
1177 71.548 8.9250 1 0.33613 0.202020 0.175 0.35
1178 57.057 10.6920 1 0.28058 0.163180 0.200 0.40
1179 65.215 6.2942 1 0.47663 0.312880 0.340 0.68
1180 56.693 10.0400 1 0.29880 0.175640 0.305 0.61
1181 51.689 8.3001 1 0.36144 0.220590 0.140 0.28
1182 48.136 8.0006 1 0.37497 0.230750 0.140 0.28
1183 87.094 9.9743 1 0.30077 0.177010 0.270 0.54
1184 60.716 8.1408 1 0.36852 0.225880 0.260 0.52
1185 51.689 10.1250 1 0.29629 0.173910 0.140 0.28
1186 56.043 7.6294 1 0.39322 0.244720 0.140 0.28
1187 40.373 8.6051 1 0.34863 0.211120 0.275 0.55
1188 66.233 11.6790 1 0.25687 0.147360 0.225 0.45
1189 40.373 4.6171 1 0.64977 0.481220 0.275 0.55
1190 56.042 7.3531 1 0.40799 0.256270 0.435 0.87
1191 69.929 6.4680 1 0.46383 0.301940 0.160 0.32
1192 56.043 11.7900 1 0.25444 0.145770 0.140 0.28
1193 65.939 9.7134 1 0.30885 0.182630 0.180 0.36
1194 48.136 9.2932 1 0.32282 0.192480 0.140 0.28
1195 63.772 9.8809 1 0.30362 0.178980 0.205 0.41
1196 62.907 9.9129 1 0.30263 0.178300 0.160 0.32
1197 75.289 14.3380 1 0.20923 0.116840 0.335 0.67
1198 64.536 7.8562 1 0.38187 0.235990 0.575 1.15
1199 57.679 17.9980 1 0.16669 0.090921 0.140 0.28
1200 56.481 12.3100 1 0.24370 0.138760 0.160 0.32
1201 65.215 8.5577 1 0.35056 0.212530 0.340 0.68
1202 56.043 8.0230 1 0.37393 0.229960 0.140 0.28
1203 48.136 7.4670 1 0.40177 0.251380 0.140 0.28
1204 64.536 9.9147 1 0.30258 0.178260 0.575 1.15
1205 61.009 7.2608 1 0.41318 0.260380 0.170 0.34
1206 62.726 10.4650 1 0.28666 0.167310 0.115 0.23
1207 57.679 4.3764 1 0.68549 0.521480 0.140 0.28
1208 56.043 9.9204 1 0.30241 0.178140 0.140 0.28
1209 54.837 7.3964 1 0.40560 0.254390 0.130 0.26
1210 57.057 9.6482 1 0.31094 0.184090 0.200 0.40
1211 51.689 8.5520 1 0.35080 0.212710 0.140 0.28
1212 64.536 8.4467 1 0.35517 0.215930 0.575 1.15
1213 56.481 11.1660 1 0.26868 0.155190 0.160 0.32
1214 62.709 7.0254 1 0.42702 0.271470 0.310 0.62
1215 79.281 12.2790 1 0.24432 0.139160 0.335 0.67
1216 64.536 6.3599 1 0.47170 0.308650 0.575 1.15
1217 59.750 19.3400 1 0.15512 0.084081 0.150 0.30
1218 56.693 7.4481 1 0.40279 0.252180 0.305 0.61
1219 57.679 7.3900 1 0.40595 0.254670 0.140 0.28
1220 69.929 7.2327 1 0.41478 0.261660 0.160 0.32
1221 49.123 8.1144 1 0.36971 0.226780 0.075 0.15
1222 77.079 12.5490 1 0.23906 0.135760 0.235 0.47
1223 66.336 11.8190 1 0.25383 0.145370 0.330 0.66
1224 48.136 11.2930 1 0.26565 0.153170 0.140 0.28
1225 62.709 8.1341 1 0.36882 0.226100 0.310 0.62
1226 54.837 7.0343 1 0.42648 0.271040 0.130 0.26
1227 64.411 8.1930 1 0.36617 0.224110 0.175 0.35
1228 59.750 6.7828 1 0.44229 0.283940 0.150 0.30
1229 77.835 9.9483 1 0.30156 0.177550 0.245 0.49
1230 56.103 9.2717 1 0.32357 0.193010 0.145 0.29
1231 69.718 3.9374 1 0.76192 0.615400 0.100 0.20
1232 87.094 8.0365 1 0.37330 0.229480 0.270 0.54
1233 64.411 10.1040 1 0.29690 0.174330 0.175 0.35
1234 48.136 10.2210 1 0.29352 0.172000 0.140 0.28
1235 77.079 5.2634 1 0.56997 0.398570 0.235 0.47
1236 64.411 9.3243 1 0.32174 0.191710 0.175 0.35
1237 66.336 7.1388 1 0.42024 0.266010 0.330 0.66
1238 77.835 13.1600 1 0.22796 0.128640 0.245 0.49
1239 65.641 13.9460 1 0.21511 0.120520 0.210 0.42
1240 57.057 10.6900 1 0.28063 0.163220 0.200 0.40
1241 75.478 13.9830 1 0.21455 0.120170 0.335 0.67
1242 65.641 14.9310 1 0.20092 0.111680 0.210 0.42
1243 63.772 11.0230 1 0.27216 0.157510 0.205 0.41
1244 57.057 8.6855 1 0.34540 0.208750 0.200 0.40
1245 51.689 9.6992 1 0.30931 0.182950 0.140 0.28
1246 63.398 9.5625 1 0.31372 0.186050 0.510 1.02
1247 56.042 10.0880 1 0.29739 0.174670 0.435 0.87
1248 54.837 9.4830 1 0.31636 0.187900 0.130 0.26
1249 78.176 4.2494 1 0.70598 0.545570 0.405 0.81
1250 75.289 12.0700 1 0.24855 0.141910 0.335 0.67
1251 66.333 8.8397 1 0.33938 0.204370 0.195 0.39
1252 63.772 9.5467 1 0.31424 0.186410 0.205 0.41
1253 54.837 6.6955 1 0.44806 0.288710 0.130 0.26
1254 64.411 10.3790 1 0.28905 0.168940 0.175 0.35
1255 56.289 15.6870 1 0.19124 0.105730 0.185 0.37
1256 57.679 8.7399 1 0.34325 0.207190 0.140 0.28
1257 62.726 4.8051 1 0.62434 0.453850 0.115 0.23
1258 71.548 6.6082 1 0.45398 0.293640 0.175 0.35
1259 77.079 11.3490 1 0.26435 0.152300 0.235 0.47
1260 57.679 9.4494 1 0.31748 0.188690 0.140 0.28
1261 62.485 9.6503 1 0.31087 0.184040 0.250 0.50
1262 57.057 9.8215 1 0.30545 0.180260 0.200 0.40
1263 64.536 7.2277 1 0.41507 0.261880 0.575 1.15
1264 60.716 9.2107 1 0.32571 0.194530 0.260 0.52
1265 50.826 4.9892 1 0.60130 0.429900 0.070 0.14
1266 91.370 22.2970 1 0.13455 0.072125 0.440 0.88
1267 50.826 7.0585 1 0.42502 0.269860 0.070 0.14
1268 98.139 6.4353 1 0.46618 0.303930 0.405 0.81
1269 62.907 7.6823 1 0.39051 0.242630 0.160 0.32
1270 40.373 7.7639 1 0.38640 0.239470 0.275 0.55
1271 71.548 6.4476 1 0.46529 0.303180 0.175 0.35
1272 77.835 6.0222 1 0.49816 0.331700 0.245 0.49
1273 48.136 6.6393 1 0.45186 0.291870 0.140 0.28
1274 54.837 7.1512 1 0.41951 0.265430 0.130 0.26
1275 48.136 10.3480 1 0.28991 0.169530 0.140 0.28
1276 77.079 11.0670 1 0.27108 0.156790 0.235 0.47
1277 60.716 7.6402 1 0.39266 0.244290 0.260 0.52
1278 64.536 7.8765 1 0.38088 0.235240 0.575 1.15
1279 56.693 9.0228 1 0.33249 0.199390 0.305 0.61
1280 62.907 10.3760 1 0.28913 0.169000 0.160 0.32
1281 66.333 7.8485 1 0.38224 0.236280 0.195 0.39
1282 62.485 7.0302 1 0.42673 0.271240 0.250 0.50
1283 63.398 7.2918 1 0.41142 0.258980 0.510 1.02
1284 69.929 9.9116 1 0.30268 0.178330 0.160 0.32
1285 54.837 7.4219 1 0.40421 0.253300 0.130 0.26
1286 50.826 5.5703 1 0.53857 0.368520 0.070 0.14
1287 57.679 8.8164 1 0.34028 0.205020 0.140 0.28
1288 79.281 6.8329 1 0.43905 0.281270 0.335 0.67
1289 71.548 6.6664 1 0.45002 0.290340 0.175 0.35
1290 50.826 6.7939 1 0.44158 0.283350 0.070 0.14
1291 78.176 5.9668 1 0.50278 0.335810 0.405 0.81
1292 54.837 8.2052 1 0.36562 0.223710 0.130 0.26
1293 69.718 4.4161 1 0.67933 0.514380 0.100 0.20
1294 57.057 5.7571 1 0.52110 0.352350 0.200 0.40
1295 77.835 9.6716 1 0.31019 0.183560 0.245 0.49
1296 61.009 11.9330 1 0.25140 0.143770 0.170 0.34
1297 69.929 7.6990 1 0.38966 0.241970 0.160 0.32
1298 64.536 6.5006 1 0.46150 0.299960 0.575 1.15
1299 69.718 6.8154 1 0.44018 0.282200 0.100 0.20
1300 61.009 10.9810 1 0.27321 0.158220 0.170 0.34
1301 56.481 11.9290 1 0.25149 0.143830 0.160 0.32
1302 66.233 15.8790 1 0.18893 0.104320 0.225 0.45
1303 66.333 12.5640 1 0.23878 0.135580 0.195 0.39
1304 64.536 13.3330 1 0.22501 0.126760 0.575 1.15
1305 56.103 16.9160 1 0.17735 0.097302 0.145 0.29
1306 65.641 17.6560 1 0.16991 0.092844 0.210 0.42
1307 64.536 8.9216 1 0.33626 0.202110 0.575 1.15
1308 78.176 10.1760 1 0.29481 0.172890 0.405 0.81
1309 49.123 7.4754 1 0.40132 0.251030 0.075 0.15
1310 40.373 5.3354 1 0.56229 0.391100 0.275 0.55
1311 60.716 6.0935 1 0.49233 0.326550 0.260 0.52
1312 59.750 11.8380 1 0.25342 0.145090 0.150 0.30
1313 66.233 13.1210 1 0.22863 0.129070 0.225 0.45
1314 62.709 14.0290 1 0.21384 0.119720 0.310 0.62
1315 78.176 3.8079 1 0.78785 0.649960 0.405 0.81
1316 56.481 12.0470 1 0.24903 0.142220 0.160 0.32
1317 66.233 6.1417 1 0.48847 0.323160 0.225 0.45
1318 59.750 11.8220 1 0.25377 0.145330 0.150 0.30
1319 62.709 12.3840 1 0.24225 0.137820 0.310 0.62
1320 78.176 6.0024 1 0.49980 0.333150 0.405 0.81
1321 60.716 15.6700 1 0.19145 0.105860 0.260 0.52
1322 48.136 7.9780 1 0.37603 0.231550 0.140 0.28
1323 65.215 5.0889 1 0.58951 0.417950 0.340 0.68
1324 56.693 11.5120 1 0.26061 0.149830 0.305 0.61
1325 91.370 10.4810 1 0.28624 0.167030 0.440 0.88
1326 56.042 15.9820 1 0.18771 0.103580 0.435 0.87
1327 64.411 16.4150 1 0.18276 0.100570 0.175 0.35
1328 57.057 8.6697 1 0.34603 0.209210 0.200 0.40
1329 65.641 9.5412 1 0.31443 0.186540 0.210 0.42
1330 75.289 11.1980 1 0.26791 0.154670 0.335 0.67
1331 63.398 9.4193 1 0.31850 0.189410 0.510 1.02
1332 59.750 12.1040 1 0.24785 0.141450 0.150 0.30
1333 66.333 9.5765 1 0.31327 0.185720 0.195 0.39
1334 62.485 11.6820 1 0.25680 0.147320 0.250 0.50
1335 56.289 6.1191 1 0.49027 0.324740 0.185 0.37
1336 56.481 14.9340 1 0.20088 0.111660 0.160 0.32
1337 64.411 15.8670 1 0.18907 0.104410 0.175 0.35
1338 98.139 7.7960 1 0.38481 0.238250 0.405 0.81
1339 54.837 9.4657 1 0.31693 0.188310 0.130 0.26
1340 49.123 9.6700 1 0.31024 0.183600 0.075 0.15
1341 61.868 10.9080 1 0.27503 0.159440 0.280 0.56
1342 65.215 8.2902 1 0.36187 0.220910 0.340 0.68
1343 57.679 9.3689 1 0.32021 0.190620 0.140 0.28
1344 48.136 7.7229 1 0.38846 0.241050 0.140 0.28
1345 56.043 13.8050 1 0.21731 0.121900 0.140 0.28
1346 63.398 7.7760 1 0.38580 0.239010 0.510 1.02
1347 51.689 7.6752 1 0.39087 0.242910 0.140 0.28
1348 62.485 10.8670 1 0.27607 0.160140 0.250 0.50
1349 51.689 6.0015 1 0.49988 0.333220 0.140 0.28
1350 51.689 8.3337 1 0.35999 0.219500 0.140 0.28
1351 75.289 18.2950 1 0.16398 0.089310 0.335 0.67
1352 64.411 12.3490 1 0.24293 0.138260 0.175 0.35
1353 57.057 12.1350 1 0.24721 0.141040 0.200 0.40
1354 56.043 8.9620 1 0.33475 0.201020 0.140 0.28
1355 49.123 7.5731 1 0.39614 0.246990 0.075 0.15
1356 50.826 5.1360 1 0.58412 0.412550 0.070 0.14
1357 54.837 8.7694 1 0.34210 0.206340 0.130 0.26
1358 64.411 13.6030 1 0.22054 0.123940 0.175 0.35
1359 77.079 16.9930 1 0.17654 0.096815 0.235 0.47
1360 61.009 10.8840 1 0.27563 0.159840 0.170 0.34
1361 69.718 3.4268 1 0.87545 0.778490 0.100 0.20
1362 62.726 8.3316 1 0.36008 0.219570 0.115 0.23
1363 66.333 9.2851 1 0.32310 0.192680 0.195 0.39
1364 60.716 10.4380 1 0.28740 0.167810 0.260 0.52
1365 65.215 8.3514 1 0.35922 0.218930 0.340 0.68
1366 62.485 13.5310 1 0.22171 0.124680 0.250 0.50
1367 56.103 20.4100 1 0.14699 0.079323 0.145 0.29
1368 56.289 13.5490 1 0.22141 0.124490 0.185 0.37
1369 65.641 18.5810 1 0.16146 0.087819 0.210 0.42
1370 60.716 11.1490 1 0.26908 0.155460 0.260 0.52
1371 66.333 8.5121 1 0.35244 0.213910 0.195 0.39
1372 57.679 7.9720 1 0.37632 0.231770 0.140 0.28
1373 65.215 6.9883 1 0.42929 0.273310 0.340 0.68
1374 87.094 8.3080 1 0.36110 0.220330 0.270 0.54
1375 91.370 18.1670 1 0.16513 0.089996 0.440 0.88
1376 62.709 8.6728 1 0.34591 0.209120 0.310 0.62
1377 40.373 8.0425 1 0.37302 0.229270 0.275 0.55
1378 61.868 12.5580 1 0.23889 0.135640 0.280 0.56
1379 66.336 13.7690 1 0.21788 0.122260 0.330 0.66
1380 61.868 10.6290 1 0.28226 0.164320 0.280 0.56
1381 65.641 8.8213 1 0.34009 0.204880 0.210 0.42
1382 56.043 10.7750 1 0.27843 0.161730 0.140 0.28
1383 40.373 10.1120 1 0.29668 0.174180 0.275 0.55
1384 51.689 11.4420 1 0.26219 0.150880 0.140 0.28
1385 56.289 10.8990 1 0.27526 0.159590 0.185 0.37
1386 40.373 6.1210 1 0.49012 0.324610 0.275 0.55
1387 40.373 10.5770 1 0.28363 0.165250 0.275 0.55
1388 50.826 5.6337 1 0.53251 0.362870 0.070 0.14
1389 65.939 10.9340 1 0.27437 0.158990 0.180 0.36
1390 49.123 5.1585 1 0.58156 0.410000 0.075 0.15
1391 69.929 10.6230 1 0.28242 0.164430 0.160 0.32
1392 62.726 13.1760 1 0.22768 0.128470 0.115 0.23
1393 61.009 6.8213 1 0.43980 0.281890 0.170 0.34
1394 64.411 7.7986 1 0.38469 0.238150 0.175 0.35
1395 60.716 6.7695 1 0.44317 0.284660 0.260 0.52
1396 56.043 14.3780 1 0.20865 0.116480 0.140 0.28
1397 56.043 5.9996 1 0.50004 0.333370 0.140 0.28
1398 56.289 8.8896 1 0.33747 0.202990 0.185 0.37
1399 66.336 12.0480 1 0.24900 0.142200 0.330 0.66
1400 40.373 7.0362 1 0.42637 0.270950 0.275 0.55
1401 71.548 6.8682 1 0.43679 0.279420 0.175 0.35
1402 60.716 9.3905 1 0.31947 0.190100 0.260 0.52
1403 56.693 6.5628 1 0.45712 0.296280 0.305 0.61
1404 98.139 7.4896 1 0.40055 0.250430 0.405 0.81
1405 65.215 4.8081 1 0.62394 0.453430 0.340 0.68
1406 57.679 9.1198 1 0.32896 0.196860 0.140 0.28
1407 69.929 12.3700 1 0.24252 0.137990 0.160 0.32
1408 62.709 8.4642 1 0.35444 0.215390 0.310 0.62
1409 69.718 5.2274 1 0.57390 0.402430 0.100 0.20
1410 62.485 12.7910 1 0.23454 0.132850 0.250 0.50
1411 63.772 9.6756 1 0.31006 0.183470 0.205 0.41
1412 63.772 11.3080 1 0.26529 0.152930 0.205 0.41
1413 48.136 9.0601 1 0.33112 0.198410 0.140 0.28
1414 56.043 6.4265 1 0.46681 0.304470 0.140 0.28
1415 71.548 5.0324 1 0.59614 0.424640 0.175 0.35
1416 65.215 6.2983 1 0.47632 0.312610 0.340 0.68
1417 77.835 7.8781 1 0.38080 0.235180 0.245 0.49
1418 59.750 28.0000 1 0.10714 0.056604 0.150 0.30
1419 79.281 12.3100 1 0.24370 0.138760 0.335 0.67
1420 77.835 8.3895 1 0.35759 0.217720 0.245 0.49
1421 75.478 10.0480 1 0.29857 0.175480 0.335 0.67
1422 48.136 11.1500 1 0.26905 0.155430 0.140 0.28
1423 66.336 12.2200 1 0.24550 0.139930 0.330 0.66
1424 51.689 6.8901 1 0.43541 0.278290 0.140 0.28
1425 63.398 10.5500 1 0.28435 0.165740 0.510 1.02
1426 77.079 13.1290 1 0.22849 0.128980 0.235 0.47
1427 59.750 7.1372 1 0.42033 0.266090 0.150 0.30
1428 98.139 7.0212 1 0.42727 0.271680 0.405 0.81
1429 56.042 10.1380 1 0.29591 0.173650 0.435 0.87
1430 62.485 9.4541 1 0.31732 0.188580 0.250 0.50
1431 65.641 15.1370 1 0.19819 0.109990 0.210 0.42
1432 54.837 7.6621 1 0.39154 0.243420 0.130 0.26
1433 62.709 13.0570 1 0.22976 0.129790 0.310 0.62
1434 54.837 7.4351 1 0.40349 0.252730 0.130 0.26
1435 56.103 9.5608 1 0.31378 0.186090 0.145 0.29
1436 48.136 9.3252 1 0.32171 0.191690 0.140 0.28
1437 59.750 10.8190 1 0.27729 0.160960 0.150 0.30
1438 64.411 13.5820 1 0.22088 0.124150 0.175 0.35
1439 71.548 5.2705 1 0.56920 0.397820 0.175 0.35
1440 69.929 9.2867 1 0.32304 0.192640 0.160 0.32
1441 40.373 10.1000 1 0.29703 0.174420 0.275 0.55
1442 65.215 5.6524 1 0.53075 0.361230 0.340 0.68
1443 51.689 8.4111 1 0.35667 0.217040 0.140 0.28
1444 51.689 11.0230 1 0.27215 0.157510 0.140 0.28
1445 48.136 8.5138 1 0.35237 0.213860 0.140 0.28
1446 49.123 3.9706 1 0.75556 0.607140 0.075 0.15
1447 65.215 10.1540 1 0.29546 0.173330 0.340 0.68
1448 66.336 7.7609 1 0.38655 0.239580 0.330 0.66
1449 48.136 8.6031 1 0.34871 0.211180 0.140 0.28
1450 62.709 8.3707 1 0.35840 0.218320 0.310 0.62
1451 87.094 6.5113 1 0.46074 0.299330 0.270 0.54
1452 56.693 7.8824 1 0.38060 0.235020 0.305 0.61
1453 62.709 5.3401 1 0.56179 0.390610 0.310 0.62
1454 66.336 12.0390 1 0.24919 0.142330 0.330 0.66
1455 61.868 7.4921 1 0.40042 0.250330 0.280 0.56
1456 62.907 6.3399 1 0.47319 0.309920 0.160 0.32
1457 56.103 8.7569 1 0.34259 0.206700 0.145 0.29
1458 62.709 8.9084 1 0.33676 0.202470 0.310 0.62
1459 56.043 6.7237 1 0.44618 0.287150 0.140 0.28
1460 77.835 6.0505 1 0.49582 0.329630 0.245 0.49
1461 65.641 25.2260 1 0.11892 0.063221 0.210 0.42
1462 75.289 15.4950 1 0.19361 0.107180 0.335 0.67
1463 51.689 11.3250 1 0.26489 0.152670 0.140 0.28
1464 62.709 10.5010 1 0.28568 0.166640 0.310 0.62
1465 64.411 9.0820 1 0.33032 0.197840 0.175 0.35
1466 63.772 10.2970 1 0.29136 0.170520 0.205 0.41
1467 62.726 7.7604 1 0.38658 0.239600 0.115 0.23
1468 54.837 9.2908 1 0.32290 0.192530 0.130 0.26
1469 48.136 8.3372 1 0.35983 0.219390 0.140 0.28
1470 60.716 5.6343 1 0.53245 0.362820 0.260 0.52
1471 56.042 6.7746 1 0.44283 0.284380 0.435 0.87
1472 66.333 7.1865 1 0.41745 0.263780 0.195 0.39
1473 40.373 9.0598 1 0.33113 0.198420 0.275 0.55
1474 77.079 17.7760 1 0.16877 0.092161 0.235 0.47
1475 66.333 7.6582 1 0.39174 0.243580 0.195 0.39
1476 49.123 15.7950 1 0.18993 0.104930 0.075 0.15
1477 51.689 8.6340 1 0.34746 0.210260 0.140 0.28
1478 77.835 7.8615 1 0.38161 0.235790 0.245 0.49
1479 56.481 15.6930 1 0.19116 0.105680 0.160 0.32
1480 62.709 9.5831 1 0.31305 0.185570 0.310 0.62
1481 54.837 7.4985 1 0.40008 0.250060 0.130 0.26
1482 65.215 6.1664 1 0.48651 0.321450 0.340 0.68
1483 98.139 4.6609 1 0.64366 0.474550 0.405 0.81
1484 64.411 7.6257 1 0.39341 0.244870 0.175 0.35
1485 56.481 8.5592 1 0.35050 0.212490 0.160 0.32
1486 98.139 6.0215 1 0.49821 0.331750 0.405 0.81
1487 51.689 9.3126 1 0.32215 0.192000 0.140 0.28
1488 65.641 13.0540 1 0.22981 0.129820 0.210 0.42
1489 65.641 12.3120 1 0.24366 0.138730 0.210 0.42
1490 75.289 20.7050 1 0.14489 0.078105 0.335 0.67
1491 63.398 7.6879 1 0.39022 0.242410 0.510 1.02
1492 61.009 8.7354 1 0.34343 0.207310 0.170 0.34
1493 62.726 9.9346 1 0.30197 0.177840 0.115 0.23
1494 60.716 9.6566 1 0.31067 0.183900 0.260 0.52
1495 63.398 14.2820 1 0.21005 0.117350 0.510 1.02
1496 51.689 8.6922 1 0.34514 0.208560 0.140 0.28
1497 56.289 11.1540 1 0.26896 0.155380 0.185 0.37
1498 62.726 7.1634 1 0.41880 0.264860 0.115 0.23
1499 61.009 18.6430 1 0.16091 0.087497 0.170 0.34
1500 50.826 4.8600 1 0.61728 0.446430 0.070 0.14
1501 50.826 4.4558 1 0.67328 0.507480 0.070 0.14
1502 63.772 8.4855 1 0.35354 0.214730 0.205 0.41
1503 78.176 6.6286 1 0.45258 0.292480 0.405 0.81
1504 56.693 6.7785 1 0.44258 0.284170 0.305 0.61
1505 56.693 8.9793 1 0.33410 0.200550 0.305 0.61
1506 66.333 12.6340 1 0.23745 0.134720 0.195 0.39
1507 79.281 15.3660 1 0.19524 0.108180 0.335 0.67
1508 40.373 7.1164 1 0.42156 0.267070 0.275 0.55
1509 71.548 3.8362 1 0.78202 0.642060 0.175 0.35
1510 66.336 11.5520 1 0.25970 0.149230 0.330 0.66
1511 49.123 8.1813 1 0.36669 0.224510 0.075 0.15
1512 64.411 4.9832 1 0.60203 0.430640 0.175 0.35
1513 54.837 10.6620 1 0.28137 0.163720 0.130 0.26
1514 56.289 6.6276 1 0.45266 0.292540 0.185 0.37
1515 57.057 14.3540 1 0.20900 0.116700 0.200 0.40
1516 78.176 6.6657 1 0.45006 0.290370 0.405 0.81
1517 69.929 12.7380 1 0.23551 0.133470 0.160 0.32
1518 56.289 7.3434 1 0.40853 0.256700 0.185 0.37
1519 76.958 12.6300 1 0.23752 0.134770 0.250 0.50
1520 56.289 12.3730 1 0.24246 0.137960 0.185 0.37
1521 48.136 9.0403 1 0.33185 0.198930 0.140 0.28
1522 57.679 8.4359 1 0.35562 0.216260 0.140 0.28
1523 56.103 4.7723 1 0.62863 0.458390 0.145 0.29
1524 64.536 6.5923 1 0.45507 0.294560 0.575 1.15
1525 61.009 9.2031 1 0.32598 0.194730 0.170 0.34
1526 75.478 11.6850 1 0.25675 0.147280 0.335 0.67
1527 59.750 11.5080 1 0.26069 0.149880 0.150 0.30
1528 66.233 10.6920 1 0.28059 0.163190 0.225 0.45
1529 49.123 11.7330 1 0.25570 0.146590 0.075 0.15
1530 75.289 9.2425 1 0.32459 0.193740 0.335 0.67
1531 40.373 7.5833 1 0.39561 0.246580 0.275 0.55
1532 87.094 6.4465 1 0.46537 0.303240 0.270 0.54
1533 57.679 6.1655 1 0.48658 0.321510 0.140 0.28
1534 79.281 9.5671 1 0.31357 0.185940 0.335 0.67
1535 49.123 8.3445 1 0.35952 0.219150 0.075 0.15
1536 49.123 6.3430 1 0.47297 0.309730 0.075 0.15
1537 56.103 8.4420 1 0.35537 0.216080 0.145 0.29
1538 54.837 15.4690 1 0.19394 0.107380 0.130 0.26
1539 66.233 12.0080 1 0.24983 0.142750 0.225 0.45
1540 79.281 16.6040 1 0.18067 0.099309 0.335 0.67
1541 66.336 9.8925 1 0.30326 0.178730 0.330 0.66
1542 57.057 10.9720 1 0.27341 0.158350 0.200 0.40
1543 65.215 6.1575 1 0.48721 0.322060 0.340 0.68
1544 87.094 14.0970 1 0.21281 0.119080 0.270 0.54
1545 40.373 6.9513 1 0.43158 0.275170 0.275 0.55
1546 60.716 10.8130 1 0.27744 0.161060 0.260 0.52
1547 65.939 12.3280 1 0.24335 0.138530 0.180 0.36
1548 56.103 15.7680 1 0.19026 0.105130 0.145 0.29
1549 40.373 7.7591 1 0.38664 0.239650 0.275 0.55
1550 49.123 8.1732 1 0.36705 0.224780 0.075 0.15
1551 60.716 7.8035 1 0.38444 0.237960 0.260 0.52
1552 40.373 5.9695 1 0.50256 0.335610 0.275 0.55
1553 60.716 8.4389 1 0.35550 0.216170 0.260 0.52
1554 65.215 12.8500 1 0.23347 0.132160 0.340 0.68
1555 61.868 9.3002 1 0.32257 0.192300 0.280 0.56
1556 48.136 5.9749 1 0.50210 0.335200 0.140 0.28
1557 98.139 8.1702 1 0.36719 0.224880 0.405 0.81
1558 78.176 6.7865 1 0.44206 0.283740 0.405 0.81
1559 77.835 11.1020 1 0.27021 0.156210 0.245 0.49
1560 51.689 7.4572 1 0.40230 0.251800 0.140 0.28
1561 65.939 9.0924 1 0.32995 0.197570 0.180 0.36
1562 54.837 13.3900 1 0.22405 0.126160 0.130 0.26
1563 69.929 15.8740 1 0.18899 0.104360 0.160 0.32
1564 61.009 15.5900 1 0.19244 0.106460 0.170 0.34
1565 66.233 11.5900 1 0.25885 0.148660 0.225 0.45
1566 62.709 7.9302 1 0.37830 0.233280 0.310 0.62
1567 98.139 6.5601 1 0.45731 0.296440 0.405 0.81
1568 48.136 5.0088 1 0.59894 0.427490 0.140 0.28
1569 77.079 7.5539 1 0.39714 0.247770 0.235 0.47
1570 59.750 10.6320 1 0.28216 0.164260 0.150 0.30
1571 66.233 15.9980 1 0.18752 0.103460 0.225 0.45
1572 54.837 6.9008 1 0.43473 0.277740 0.130 0.26
1573 66.233 10.0680 1 0.29797 0.175070 0.225 0.45
1574 56.481 12.3030 1 0.24384 0.138850 0.160 0.32
1575 56.043 11.7000 1 0.25640 0.147050 0.140 0.28
1576 77.079 10.7160 1 0.27995 0.162760 0.235 0.47
1577 62.907 7.2176 1 0.41565 0.262350 0.160 0.32
1578 87.094 8.4098 1 0.35673 0.217080 0.270 0.54
1579 56.481 12.3430 1 0.24306 0.138340 0.160 0.32
1580 76.958 11.6930 1 0.25656 0.147160 0.250 0.50
1581 60.716 7.9333 1 0.37815 0.233160 0.260 0.52
1582 79.281 12.9910 1 0.23093 0.130540 0.335 0.67
1583 60.716 6.3137 1 0.47516 0.311610 0.260 0.52
1584 40.373 7.2052 1 0.41637 0.262920 0.275 0.55
1585 60.716 6.1363 1 0.48889 0.323530 0.260 0.52
1586 63.398 8.4826 1 0.35366 0.214820 0.510 1.02
1587 65.939 8.8029 1 0.34080 0.205400 0.180 0.36
1588 40.373 7.1803 1 0.41781 0.264070 0.275 0.55
1589 54.837 7.0054 1 0.42824 0.272460 0.130 0.26
1590 98.139 9.2837 1 0.32315 0.192710 0.405 0.81
1591 79.281 8.8185 1 0.34019 0.204960 0.335 0.67
1592 78.176 6.1961 1 0.48418 0.319420 0.405 0.81
1593 65.215 10.6410 1 0.28194 0.164100 0.340 0.68
1594 59.750 12.5620 1 0.23882 0.135600 0.150 0.30
1595 63.398 9.5587 1 0.31385 0.186130 0.510 1.02
1596 56.103 10.3150 1 0.29083 0.170160 0.145 0.29
1597 71.548 8.1623 1 0.36754 0.225150 0.175 0.35
1598 63.772 11.1240 1 0.26969 0.155870 0.205 0.41
1599 56.103 13.3000 1 0.22557 0.127120 0.145 0.29
1600 76.958 8.3760 1 0.35817 0.218150 0.250 0.50
1601 79.281 10.9580 1 0.27376 0.158590 0.335 0.67
1602 51.689 8.8439 1 0.33922 0.204250 0.140 0.28
1603 56.042 9.0812 1 0.33035 0.197860 0.435 0.87
1604 57.057 8.6334 1 0.34749 0.210280 0.200 0.40
1605 48.136 8.2029 1 0.36573 0.223780 0.140 0.28
1606 62.726 6.3943 1 0.46917 0.306480 0.115 0.23
1607 69.718 6.1719 1 0.48607 0.321070 0.100 0.20
1608 98.139 10.9420 1 0.27418 0.158870 0.405 0.81
1609 56.481 15.4000 1 0.19481 0.107920 0.160 0.32
1610 87.094 7.6994 1 0.38964 0.241960 0.270 0.54
1611 65.215 7.2699 1 0.41266 0.259970 0.340 0.68
1612 56.289 9.0408 1 0.33183 0.198920 0.185 0.37
1613 76.958 8.6800 1 0.34562 0.208910 0.250 0.50
1614 76.958 7.2741 1 0.41242 0.259780 0.250 0.50
1615 61.009 8.7755 1 0.34186 0.206170 0.170 0.34
1616 77.835 7.9114 1 0.37920 0.233960 0.245 0.49
1617 51.689 8.7928 1 0.34119 0.205680 0.140 0.28
1618 62.907 8.0866 1 0.37098 0.227740 0.160 0.32
1619 64.536 11.1780 1 0.26839 0.154990 0.575 1.15
1620 60.716 8.1780 1 0.36684 0.224620 0.260 0.52
1621 48.136 9.7558 1 0.30751 0.181690 0.140 0.28
1622 56.481 12.0840 1 0.24827 0.141730 0.160 0.32
1623 62.485 10.5930 1 0.28320 0.164960 0.250 0.50
1624 40.373 10.0460 1 0.29862 0.175520 0.275 0.55
1625 71.548 6.4211 1 0.46721 0.304810 0.175 0.35
1626 66.333 4.9032 1 0.61184 0.440760 0.195 0.39
1627 63.398 7.9046 1 0.37952 0.234210 0.510 1.02
1628 50.826 6.4515 1 0.46501 0.302940 0.070 0.14
1629 57.057 11.1620 1 0.26877 0.155250 0.200 0.40
1630 56.103 10.7300 1 0.27959 0.162510 0.145 0.29
1631 40.373 7.1726 1 0.41826 0.264430 0.275 0.55
1632 77.835 15.2050 1 0.19731 0.109450 0.245 0.49
1633 71.548 6.0566 1 0.49532 0.329190 0.175 0.35
1634 40.373 7.1643 1 0.41875 0.264820 0.275 0.55
1635 62.907 9.7047 1 0.30913 0.182820 0.160 0.32
1636 48.136 6.3579 1 0.47186 0.308780 0.140 0.28
1637 56.103 12.8570 1 0.23333 0.132080 0.145 0.29
1638 56.289 7.2979 1 0.41108 0.258710 0.185 0.37
1639 56.043 12.9960 1 0.23084 0.130480 0.140 0.28
1640 63.772 10.2360 1 0.29310 0.171710 0.205 0.41
1641 49.123 9.2109 1 0.32570 0.194530 0.075 0.15
1642 51.689 10.1760 1 0.29480 0.172880 0.140 0.28
1643 56.289 16.0340 1 0.18710 0.103200 0.185 0.37
1644 66.336 8.1769 1 0.36689 0.224650 0.330 0.66
1645 66.333 6.9477 1 0.43180 0.275350 0.195 0.39
1646 57.057 7.1213 1 0.42127 0.266840 0.200 0.40
1647 66.333 7.2273 1 0.41510 0.261910 0.195 0.39
1648 61.868 14.8700 1 0.20175 0.112190 0.280 0.56
1649 57.679 7.1615 1 0.41891 0.264950 0.140 0.28
1650 57.679 6.8453 1 0.43826 0.280620 0.140 0.28
1651 62.726 7.3890 1 0.40601 0.254710 0.115 0.23
1652 61.868 13.7590 1 0.21804 0.122360 0.280 0.56
1653 75.478 16.0170 1 0.18730 0.103320 0.335 0.67
1654 59.750 10.9420 1 0.27418 0.158870 0.150 0.30
1655 49.123 8.1985 1 0.36592 0.223930 0.075 0.15
1656 63.398 11.1140 1 0.26993 0.156020 0.510 1.02
1657 63.398 7.9577 1 0.37699 0.232280 0.510 1.02
1658 77.835 12.9220 1 0.23215 0.131320 0.245 0.49
1659 57.057 8.1737 1 0.36703 0.224760 0.200 0.40
1660 56.289 13.3560 1 0.22462 0.126520 0.185 0.37
1661 76.958 12.9740 1 0.23123 0.130730 0.250 0.50
1662 50.826 7.2709 1 0.41260 0.259930 0.070 0.14
1663 40.373 8.1253 1 0.36922 0.226400 0.275 0.55
1664 48.136 7.6989 1 0.38967 0.241980 0.140 0.28
1665 62.726 6.7161 1 0.44669 0.287570 0.115 0.23
1666 64.411 10.4260 1 0.28775 0.168050 0.175 0.35
1667 62.709 6.4844 1 0.46265 0.300940 0.310 0.62
1668 62.907 10.6240 1 0.28238 0.164400 0.160 0.32
1669 64.536 9.0298 1 0.33223 0.199210 0.575 1.15
1670 49.123 10.3850 1 0.28888 0.168830 0.075 0.15
1671 75.289 12.6230 1 0.23767 0.134860 0.335 0.67
1672 56.042 12.0350 1 0.24928 0.142390 0.435 0.87
1673 62.485 8.1614 1 0.36759 0.225180 0.250 0.50
1674 54.837 8.9024 1 0.33699 0.202640 0.130 0.26
1675 61.868 8.3469 1 0.35941 0.219080 0.280 0.56
1676 50.826 5.0194 1 0.59769 0.426210 0.070 0.14
1677 66.233 8.5267 1 0.35184 0.213470 0.225 0.45
1678 59.750 16.1070 1 0.18625 0.102690 0.150 0.30
1679 60.716 5.7396 1 0.52269 0.353810 0.260 0.52
1680 75.478 9.3148 1 0.32207 0.191940 0.335 0.67
1681 61.868 10.9460 1 0.27407 0.158790 0.280 0.56
1682 60.716 13.0310 1 0.23021 0.130080 0.260 0.52
1683 54.837 5.1441 1 0.58319 0.411620 0.130 0.26
1684 56.103 12.2060 1 0.24578 0.140100 0.145 0.29
1685 49.123 8.6521 1 0.34674 0.209730 0.075 0.15
1686 62.726 8.6968 1 0.34495 0.208430 0.115 0.23
1687 59.750 13.5960 1 0.22066 0.124010 0.150 0.30
1688 61.868 14.4710 1 0.20731 0.115640 0.280 0.56
1689 64.536 8.8612 1 0.33856 0.203770 0.575 1.15
1690 40.373 7.1319 1 0.42065 0.266340 0.275 0.55
1691 61.009 11.8530 1 0.25310 0.144890 0.170 0.34
1692 78.176 4.9130 1 0.61063 0.439500 0.405 0.81
1693 62.709 10.5260 1 0.28502 0.166200 0.310 0.62
1694 51.689 7.5578 1 0.39694 0.247610 0.140 0.28
1695 51.689 11.9950 1 0.25010 0.142920 0.140 0.28
1696 56.043 8.4382 1 0.35553 0.216190 0.140 0.28
1697 56.289 8.4686 1 0.35425 0.215250 0.185 0.37
1698 66.233 9.6388 1 0.31124 0.184300 0.225 0.45
1699 66.333 8.1903 1 0.36629 0.224200 0.195 0.39
1700 56.289 9.9968 1 0.30010 0.176540 0.185 0.37
1701 56.043 14.1620 1 0.21184 0.118470 0.140 0.28
1702 63.398 8.6989 1 0.34487 0.208360 0.510 1.02
1703 48.136 6.5877 1 0.45540 0.294830 0.140 0.28
1704 54.837 8.2121 1 0.36532 0.223480 0.130 0.26
1705 40.373 8.2163 1 0.36513 0.223340 0.275 0.55
1706 62.726 8.9056 1 0.33687 0.202550 0.115 0.23
1707 40.373 7.9827 1 0.37581 0.231380 0.275 0.55
1708 60.716 7.6207 1 0.39367 0.245070 0.260 0.52
1709 62.485 13.4610 1 0.22287 0.125410 0.250 0.50
1710 62.907 12.4930 1 0.24013 0.136450 0.160 0.32
1711 63.772 9.2817 1 0.32322 0.192760 0.205 0.41
1712 57.679 7.7739 1 0.38591 0.239090 0.140 0.28
1713 61.868 12.1690 1 0.24653 0.140590 0.280 0.56
1714 40.373 5.8510 1 0.51273 0.344750 0.275 0.55
1715 56.043 5.7043 1 0.52591 0.356770 0.140 0.28
1716 76.958 11.0430 1 0.27167 0.157190 0.250 0.50
1717 66.336 8.1397 1 0.36856 0.225910 0.330 0.66
1718 69.929 9.2618 1 0.32391 0.193250 0.160 0.32
1719 56.693 9.1640 1 0.32737 0.195720 0.305 0.61
1720 62.907 8.6458 1 0.34699 0.209910 0.160 0.32
1721 57.057 16.4820 1 0.18202 0.100120 0.200 0.40
1722 71.548 6.3994 1 0.46879 0.306160 0.175 0.35
1723 48.136 7.3870 1 0.40612 0.254800 0.140 0.28
1724 63.772 9.3150 1 0.32206 0.191940 0.205 0.41
1725 56.042 8.1921 1 0.36621 0.224150 0.435 0.87
1726 64.536 8.3656 1 0.35861 0.218480 0.575 1.15
1727 66.336 9.4208 1 0.31844 0.189380 0.330 0.66
1728 61.009 19.6180 1 0.15292 0.082789 0.170 0.34
1729 79.281 14.1100 1 0.21261 0.118950 0.335 0.67
1730 62.485 14.4770 1 0.20722 0.115590 0.250 0.50
1731 69.718 7.0446 1 0.42586 0.270530 0.100 0.20
1732 64.411 10.8100 1 0.27752 0.161110 0.175 0.35
1733 56.693 7.2728 1 0.41249 0.259840 0.305 0.61
1734 63.772 11.7270 1 0.25582 0.146670 0.205 0.41
1735 62.726 6.3479 1 0.47260 0.309410 0.115 0.23
1736 77.079 13.2720 1 0.22604 0.127420 0.235 0.47
1737 59.750 6.5433 1 0.45848 0.297420 0.150 0.30
1738 56.693 6.0289 1 0.49760 0.331210 0.305 0.61
1739 57.679 16.5830 1 0.18091 0.099452 0.140 0.28
1740 61.009 9.1753 1 0.32696 0.195430 0.170 0.34
1741 64.536 6.1846 1 0.48508 0.320200 0.575 1.15
1742 59.750 10.5920 1 0.28324 0.164990 0.150 0.30
1743 40.373 4.7431 1 0.63249 0.462520 0.275 0.55
1744 40.373 8.0970 1 0.37051 0.227380 0.275 0.55
1745 59.750 15.4120 1 0.19466 0.107820 0.150 0.30
1746 49.123 4.7490 1 0.63171 0.461680 0.075 0.15
1747 56.693 13.1000 1 0.22900 0.129310 0.305 0.61
1748 66.233 11.1520 1 0.26902 0.155420 0.225 0.45
1749 66.333 7.9972 1 0.37513 0.230870 0.195 0.39
1750 62.726 12.4900 1 0.24020 0.136490 0.115 0.23
1751 78.176 7.5912 1 0.39519 0.246260 0.405 0.81
1752 64.536 7.8566 1 0.38185 0.235980 0.575 1.15
1753 66.333 10.3000 1 0.29127 0.170460 0.195 0.39
1754 62.485 9.6004 1 0.31249 0.185180 0.250 0.50
1755 87.094 7.8029 1 0.38447 0.237980 0.270 0.54
1756 61.009 16.0600 1 0.18680 0.103020 0.170 0.34
1757 56.693 7.9031 1 0.37960 0.234260 0.305 0.61
1758 60.716 12.5820 1 0.23844 0.135360 0.260 0.52
1759 60.716 7.9166 1 0.37895 0.233770 0.260 0.52
1760 50.826 3.9980 1 0.75038 0.600480 0.070 0.14
1761 79.281 15.8940 1 0.18875 0.104210 0.335 0.67
1762 50.826 6.2444 1 0.48043 0.316160 0.070 0.14
1763 77.079 11.4530 1 0.26195 0.150710 0.235 0.47
1764 79.281 11.0010 1 0.27271 0.157890 0.335 0.67
1765 66.336 10.8500 1 0.27649 0.160420 0.330 0.66
1766 56.043 10.4020 1 0.28841 0.168500 0.140 0.28
1767 40.373 5.7404 1 0.52261 0.353740 0.275 0.55
1768 63.772 7.3763 1 0.40671 0.255260 0.205 0.41
1769 61.868 10.3570 1 0.28967 0.169360 0.280 0.56
1770 56.693 7.3971 1 0.40557 0.254360 0.305 0.61
1771 62.485 9.7740 1 0.30694 0.181290 0.250 0.50
1772 48.136 8.5111 1 0.35248 0.213950 0.140 0.28
1773 63.398 6.6650 1 0.45011 0.290420 0.510 1.02
1774 51.689 10.1990 1 0.29414 0.172430 0.140 0.28
1775 60.716 5.5351 1 0.54200 0.371740 0.260 0.52
1776 57.679 9.3762 1 0.31996 0.190450 0.140 0.28
1777 77.079 19.3780 1 0.15482 0.083902 0.235 0.47
1778 49.123 7.3249 1 0.40956 0.257510 0.075 0.15
1779 56.103 7.2932 1 0.41134 0.258920 0.145 0.29
1780 59.750 15.7630 1 0.19032 0.105170 0.150 0.30
1781 59.750 15.8250 1 0.18958 0.104710 0.150 0.30
1782 54.837 8.5465 1 0.35102 0.212870 0.130 0.26
1783 77.835 8.7240 1 0.34388 0.207640 0.245 0.49
1784 77.835 11.6400 1 0.25774 0.147930 0.245 0.49
1785 57.057 12.4940 1 0.24012 0.136440 0.200 0.40
1786 56.043 10.0260 1 0.29921 0.175920 0.140 0.28
1787 62.907 13.1800 1 0.22762 0.128430 0.160 0.32
1788 57.679 7.2487 1 0.41386 0.260930 0.140 0.28
1789 56.693 7.5000 1 0.40000 0.250000 0.305 0.61
1790 51.689 9.9981 1 0.30006 0.176510 0.140 0.28
1791 91.370 17.0940 1 0.17550 0.096192 0.440 0.88
1792 63.398 8.2523 1 0.36353 0.222150 0.510 1.02
1793 63.398 6.7667 1 0.44335 0.284810 0.510 1.02
1794 63.398 4.4399 1 0.67569 0.510220 0.510 1.02
1795 66.333 7.7072 1 0.38925 0.241660 0.195 0.39
1796 66.333 11.8930 1 0.25225 0.144330 0.195 0.39
1797 63.772 8.1253 1 0.36922 0.226410 0.205 0.41
1798 57.057 19.0800 1 0.15723 0.085322 0.200 0.40
1799 64.536 10.6720 1 0.28112 0.163550 0.575 1.15
1800 56.693 8.7756 1 0.34186 0.206170 0.305 0.61
1801 57.679 11.3860 1 0.26349 0.151740 0.140 0.28
1802 69.718 5.2250 1 0.57416 0.402680 0.100 0.20
1803 60.716 7.8494 1 0.38220 0.236240 0.260 0.52
1804 98.139 6.6297 1 0.45251 0.292410 0.405 0.81
1805 57.679 7.1293 1 0.42080 0.266460 0.140 0.28
1806 56.103 12.8430 1 0.23360 0.132240 0.145 0.29
1807 65.215 9.1411 1 0.32819 0.196310 0.340 0.68
1808 61.009 8.4244 1 0.35611 0.216630 0.170 0.34
1809 54.837 6.1323 1 0.48921 0.323810 0.130 0.26
1810 77.079 10.1030 1 0.29693 0.174350 0.235 0.47
1811 63.772 10.0720 1 0.29786 0.174990 0.205 0.41
1812 62.709 9.2399 1 0.32468 0.193800 0.310 0.62
1813 61.009 7.0650 1 0.42463 0.269540 0.170 0.34
1814 56.042 6.0155 1 0.49871 0.332190 0.435 0.87
1815 48.136 11.1850 1 0.26821 0.154880 0.140 0.28
1816 64.536 16.3970 1 0.18296 0.100690 0.575 1.15
1817 56.043 8.3481 1 0.35936 0.219040 0.140 0.28
1818 71.548 6.6140 1 0.45358 0.293310 0.175 0.35
1819 61.009 8.3735 1 0.35828 0.218230 0.170 0.34
1820 56.693 7.5328 1 0.39826 0.248640 0.305 0.61
1821 50.826 5.4548 1 0.54998 0.379290 0.070 0.14
1822 56.481 10.8790 1 0.27576 0.159930 0.160 0.32
1823 51.689 8.0982 1 0.37045 0.227340 0.140 0.28
1824 66.233 14.5520 1 0.20615 0.114920 0.225 0.45
1825 66.233 11.6390 1 0.25776 0.147950 0.225 0.45
1826 56.042 9.7033 1 0.30917 0.182850 0.435 0.87
1827 57.057 7.0699 1 0.42434 0.269310 0.200 0.40
1828 69.929 12.9490 1 0.23167 0.131010 0.160 0.32
1829 60.716 13.9610 1 0.21488 0.120380 0.260 0.52
1830 63.772 10.4270 1 0.28771 0.168030 0.205 0.41
1831 56.481 12.5700 1 0.23867 0.135510 0.160 0.32
1832 91.370 13.3360 1 0.22495 0.126730 0.440 0.88
1833 62.709 8.2746 1 0.36255 0.221410 0.310 0.62
1834 40.373 4.7677 1 0.62923 0.459030 0.275 0.55
1835 59.750 12.7990 1 0.23438 0.132750 0.150 0.30
1836 48.136 7.1074 1 0.42210 0.267500 0.140 0.28
1837 56.043 10.1610 1 0.29524 0.173180 0.140 0.28
1838 77.835 14.2810 1 0.21006 0.117360 0.245 0.49
1839 62.709 8.0423 1 0.37303 0.229280 0.310 0.62
1840 62.709 7.1416 1 0.42008 0.265880 0.310 0.62
1841 40.373 7.3559 1 0.40784 0.256150 0.275 0.55
1842 69.929 13.3510 1 0.22470 0.126570 0.160 0.32
1843 50.826 6.9479 1 0.43179 0.275340 0.070 0.14
1844 56.043 6.2116 1 0.48297 0.318360 0.140 0.28
1845 57.679 10.7220 1 0.27979 0.162650 0.140 0.28
1846 69.929 11.5190 1 0.26044 0.149720 0.160 0.32
1847 63.772 13.4450 1 0.22313 0.125580 0.205 0.41
1848 63.772 5.6042 1 0.53532 0.365480 0.205 0.41
1849 75.478 14.1550 1 0.21194 0.118530 0.335 0.67
1850 56.289 7.9654 1 0.37663 0.232010 0.185 0.37
1851 57.679 7.2584 1 0.41331 0.260490 0.140 0.28
1852 40.373 13.4100 1 0.22371 0.125940 0.275 0.55
1853 69.718 4.0076 1 0.74858 0.598180 0.100 0.20
1854 60.716 6.7607 1 0.44374 0.285130 0.260 0.52
1855 62.485 11.5520 1 0.25969 0.149220 0.250 0.50
1856 77.835 14.4310 1 0.20788 0.116000 0.245 0.49
1857 65.939 7.0739 1 0.42409 0.269110 0.180 0.36
1858 71.548 5.6857 1 0.52764 0.358360 0.175 0.35
1859 50.826 4.4942 1 0.66752 0.500960 0.070 0.14
1860 64.536 8.2439 1 0.36391 0.222420 0.575 1.15
1861 63.772 10.4830 1 0.28618 0.166980 0.205 0.41
1862 54.837 6.1195 1 0.49023 0.324710 0.130 0.26
1863 75.289 11.2390 1 0.26694 0.154030 0.335 0.67
1864 56.043 7.2505 1 0.41377 0.260850 0.140 0.28
1865 56.103 7.6923 1 0.39000 0.242240 0.145 0.29
1866 61.009 8.0188 1 0.37412 0.230100 0.170 0.34
1867 62.726 8.2487 1 0.36369 0.222260 0.115 0.23
1868 56.103 14.4260 1 0.20795 0.116040 0.145 0.29
1869 50.826 14.6920 1 0.20419 0.113700 0.070 0.14
1870 65.939 10.0720 1 0.29786 0.174990 0.180 0.36
1871 63.772 6.6548 1 0.45080 0.290990 0.205 0.41
1872 75.478 12.9940 1 0.23088 0.130500 0.335 0.67
1873 65.641 11.6950 1 0.25652 0.147130 0.210 0.42
1874 56.042 11.9570 1 0.25090 0.143440 0.435 0.87
1875 57.679 8.7845 1 0.34151 0.205920 0.140 0.28
1876 63.772 12.1880 1 0.24614 0.140340 0.205 0.41
1877 40.373 10.5260 1 0.28502 0.166190 0.275 0.55
1878 62.726 11.0900 1 0.27052 0.156420 0.115 0.23
1879 56.481 13.7700 1 0.21787 0.122250 0.160 0.32
1880 63.772 9.9560 1 0.30133 0.177390 0.205 0.41
1881 56.043 13.4170 1 0.22359 0.125870 0.140 0.28
1882 98.139 8.2514 1 0.36358 0.222180 0.405 0.81
1883 60.716 8.4586 1 0.35467 0.215560 0.260 0.52
1884 65.215 6.6218 1 0.45305 0.292870 0.340 0.68
1885 51.689 7.4879 1 0.40065 0.250510 0.140 0.28
1886 56.043 9.3257 1 0.32169 0.191680 0.140 0.28
hmax ah Ct LAImax fraction_filled mult_height mult_CR mult_CD
1 27.27 0.110 21.578 4.6533 0.85 1 1 1
2 44.27 0.264 29.446 4.7021 0.85 1 1 1
3 50.92 0.308 28.692 4.8486 0.85 1 1 1
4 50.92 0.308 38.573 4.3506 0.85 1 1 1
5 31.79 0.116 24.702 4.7998 0.85 1 1 1
6 47.91 0.251 33.239 4.6045 0.85 1 1 1
7 54.22 0.339 31.316 4.4482 0.85 1 1 1
8 50.92 0.308 30.740 4.6533 0.85 1 1 1
9 50.92 0.308 30.677 4.7021 0.85 1 1 1
10 41.86 0.220 32.612 4.3506 0.85 1 1 1
11 54.22 0.339 31.376 4.4482 0.85 1 1 1
12 50.92 0.308 29.014 4.5459 0.85 1 1 1
13 40.50 0.193 30.794 4.6533 0.85 1 1 1
14 50.92 0.308 34.616 4.5459 0.85 1 1 1
15 43.24 0.196 34.651 4.5459 0.85 1 1 1
16 54.04 0.342 41.962 4.1455 0.85 1 1 1
17 50.92 0.308 36.250 4.6533 0.85 1 1 1
18 50.92 0.308 38.923 4.5459 0.85 1 1 1
19 19.38 0.070 14.412 4.7998 0.85 1 1 1
20 50.92 0.308 36.623 4.8975 0.85 1 1 1
21 49.23 0.270 37.016 4.6045 0.85 1 1 1
22 48.60 0.275 41.147 4.6045 0.85 1 1 1
23 19.38 0.070 14.366 4.7998 0.85 1 1 1
24 43.24 0.196 34.572 4.5459 0.85 1 1 1
25 51.76 0.346 27.315 4.7021 0.85 1 1 1
26 50.92 0.308 31.965 4.5459 0.85 1 1 1
27 31.79 0.116 24.539 4.7998 0.85 1 1 1
28 38.50 0.184 27.773 4.6533 0.85 1 1 1
29 50.92 0.308 36.282 4.8975 0.85 1 1 1
30 50.92 0.308 38.846 4.5459 0.85 1 1 1
31 36.36 0.139 30.260 4.2529 0.85 1 1 1
32 50.92 0.308 38.627 4.4482 0.85 1 1 1
33 38.50 0.184 27.288 4.6533 0.85 1 1 1
34 48.60 0.275 41.670 4.6045 0.85 1 1 1
35 51.76 0.346 26.888 4.7021 0.85 1 1 1
36 58.07 0.299 41.317 4.6045 0.85 1 1 1
37 48.60 0.275 41.585 4.6045 0.85 1 1 1
38 50.92 0.308 31.428 4.6533 0.85 1 1 1
39 50.92 0.308 31.695 4.6045 0.85 1 1 1
40 38.50 0.184 27.694 4.6533 0.85 1 1 1
41 50.92 0.308 31.632 4.5459 0.85 1 1 1
42 55.62 0.366 30.326 4.7021 0.85 1 1 1
43 50.92 0.308 36.254 4.6533 0.85 1 1 1
44 49.23 0.270 37.367 4.6045 0.85 1 1 1
45 25.90 0.103 21.532 4.4971 0.85 1 1 1
46 49.23 0.270 37.610 4.6045 0.85 1 1 1
47 50.92 0.308 35.757 4.6533 0.85 1 1 1
48 50.92 0.308 36.060 4.6533 0.85 1 1 1
49 47.91 0.251 33.445 4.6045 0.85 1 1 1
50 58.07 0.299 40.871 4.6045 0.85 1 1 1
51 55.62 0.366 30.189 4.7021 0.85 1 1 1
52 46.18 0.229 36.160 4.5459 0.85 1 1 1
53 43.24 0.196 34.253 4.5459 0.85 1 1 1
54 50.92 0.308 31.435 4.5459 0.85 1 1 1
55 50.92 0.308 31.544 4.5459 0.85 1 1 1
56 57.87 0.362 46.517 4.5459 0.85 1 1 1
57 25.90 0.103 21.600 4.4971 0.85 1 1 1
58 50.92 0.308 31.764 4.5459 0.85 1 1 1
59 54.54 0.344 41.314 4.4482 0.85 1 1 1
60 19.38 0.070 14.473 4.7998 0.85 1 1 1
61 50.92 0.308 38.794 4.3506 0.85 1 1 1
62 50.92 0.308 40.513 4.7021 0.85 1 1 1
63 50.92 0.308 29.172 4.8486 0.85 1 1 1
64 38.50 0.184 27.434 4.6533 0.85 1 1 1
65 49.23 0.270 37.828 4.6045 0.85 1 1 1
66 19.38 0.070 14.429 4.7998 0.85 1 1 1
67 50.92 0.308 29.228 4.8486 0.85 1 1 1
68 50.92 0.308 31.789 4.5459 0.85 1 1 1
69 25.90 0.103 21.289 4.4971 0.85 1 1 1
70 43.24 0.196 34.400 4.5459 0.85 1 1 1
71 40.50 0.193 30.382 4.6533 0.85 1 1 1
72 36.36 0.139 30.236 4.2529 0.85 1 1 1
73 57.87 0.362 46.129 4.5459 0.85 1 1 1
74 50.92 0.308 36.487 4.8975 0.85 1 1 1
75 50.92 0.308 40.869 4.7021 0.85 1 1 1
76 17.64 0.025 15.654 4.8486 0.85 1 1 1
77 54.04 0.342 41.161 4.1455 0.85 1 1 1
78 41.86 0.220 31.930 4.3506 0.85 1 1 1
79 33.30 0.160 22.417 4.6045 0.85 1 1 1
80 43.24 0.196 34.714 4.5459 0.85 1 1 1
81 25.90 0.103 21.397 4.4971 0.85 1 1 1
82 33.30 0.160 22.337 4.6045 0.85 1 1 1
83 49.23 0.270 37.842 4.6045 0.85 1 1 1
84 43.24 0.196 34.799 4.5459 0.85 1 1 1
85 50.92 0.308 40.939 4.7021 0.85 1 1 1
86 50.92 0.308 28.972 4.8486 0.85 1 1 1
87 46.18 0.229 36.982 4.5459 0.85 1 1 1
88 50.92 0.308 36.552 4.8975 0.85 1 1 1
89 44.27 0.264 29.418 4.7021 0.85 1 1 1
90 50.92 0.308 40.864 4.7021 0.85 1 1 1
91 50.92 0.308 31.349 4.5459 0.85 1 1 1
92 50.92 0.308 34.669 4.5459 0.85 1 1 1
93 33.30 0.160 22.391 4.6045 0.85 1 1 1
94 50.92 0.308 40.333 4.7021 0.85 1 1 1
95 51.76 0.346 27.311 4.7021 0.85 1 1 1
96 25.90 0.103 21.214 4.4971 0.85 1 1 1
97 31.79 0.116 24.754 4.7998 0.85 1 1 1
98 48.60 0.275 41.400 4.6045 0.85 1 1 1
99 41.86 0.274 21.736 4.6045 0.85 1 1 1
100 50.92 0.308 36.350 4.8975 0.85 1 1 1
101 33.30 0.160 22.111 4.6045 0.85 1 1 1
102 36.36 0.139 30.066 4.2529 0.85 1 1 1
103 40.50 0.193 30.751 4.6533 0.85 1 1 1
104 50.92 0.308 32.737 4.6045 0.85 1 1 1
105 31.79 0.116 24.611 4.7998 0.85 1 1 1
106 50.92 0.308 36.778 4.8975 0.85 1 1 1
107 41.42 0.187 32.616 4.3994 0.85 1 1 1
108 47.91 0.251 33.163 4.6045 0.85 1 1 1
109 50.92 0.308 38.013 4.3506 0.85 1 1 1
110 31.79 0.116 24.578 4.7998 0.85 1 1 1
111 41.86 0.220 32.872 4.3506 0.85 1 1 1
112 43.24 0.196 34.522 4.5459 0.85 1 1 1
113 19.38 0.070 14.032 4.7998 0.85 1 1 1
114 50.92 0.308 38.197 4.4482 0.85 1 1 1
115 46.18 0.229 36.369 4.5459 0.85 1 1 1
116 50.92 0.308 29.034 4.5459 0.85 1 1 1
117 58.07 0.299 40.821 4.6045 0.85 1 1 1
118 50.92 0.308 31.847 4.5459 0.85 1 1 1
119 51.76 0.346 27.062 4.7021 0.85 1 1 1
120 38.50 0.184 27.111 4.6533 0.85 1 1 1
121 50.92 0.308 32.922 4.6045 0.85 1 1 1
122 50.92 0.308 38.570 4.4482 0.85 1 1 1
123 49.23 0.270 37.153 4.6045 0.85 1 1 1
124 51.76 0.346 26.938 4.7021 0.85 1 1 1
125 50.92 0.308 31.761 4.5459 0.85 1 1 1
126 41.38 0.211 27.217 4.7510 0.85 1 1 1
127 50.92 0.308 36.207 4.6533 0.85 1 1 1
128 55.62 0.366 30.168 4.7021 0.85 1 1 1
129 50.92 0.308 29.054 4.5459 0.85 1 1 1
130 47.91 0.251 33.521 4.6045 0.85 1 1 1
131 50.92 0.308 40.108 4.7021 0.85 1 1 1
132 50.92 0.308 35.632 4.3994 0.85 1 1 1
133 41.42 0.187 32.742 4.3994 0.85 1 1 1
134 31.79 0.116 24.471 4.7998 0.85 1 1 1
135 50.92 0.308 31.229 4.5459 0.85 1 1 1
136 50.92 0.308 30.581 4.7021 0.85 1 1 1
137 50.92 0.308 36.622 4.8975 0.85 1 1 1
138 54.22 0.339 31.352 4.4482 0.85 1 1 1
139 50.92 0.308 38.431 4.3506 0.85 1 1 1
140 41.86 0.274 21.656 4.6045 0.85 1 1 1
141 50.92 0.308 36.041 4.6533 0.85 1 1 1
142 50.92 0.308 41.013 4.7021 0.85 1 1 1
143 50.92 0.308 31.340 4.6533 0.85 1 1 1
144 17.64 0.025 15.815 4.8486 0.85 1 1 1
145 58.07 0.299 41.321 4.6045 0.85 1 1 1
146 50.92 0.308 38.421 4.3994 0.85 1 1 1
147 58.07 0.299 40.374 4.6045 0.85 1 1 1
148 50.92 0.308 29.004 4.5459 0.85 1 1 1
149 40.33 0.207 29.963 4.5459 0.85 1 1 1
150 41.86 0.220 32.735 4.3506 0.85 1 1 1
151 50.92 0.308 34.413 4.5459 0.85 1 1 1
152 41.42 0.187 32.462 4.3994 0.85 1 1 1
153 43.24 0.196 34.622 4.5459 0.85 1 1 1
154 50.92 0.308 33.113 4.6045 0.85 1 1 1
155 17.64 0.025 15.556 4.8486 0.85 1 1 1
156 17.64 0.025 15.597 4.8486 0.85 1 1 1
157 50.92 0.308 36.797 4.8975 0.85 1 1 1
158 50.92 0.308 31.375 4.6533 0.85 1 1 1
159 31.79 0.116 24.631 4.7998 0.85 1 1 1
160 46.18 0.229 36.852 4.5459 0.85 1 1 1
161 50.92 0.308 36.513 4.8975 0.85 1 1 1
162 41.86 0.274 21.637 4.6045 0.85 1 1 1
163 43.24 0.196 34.688 4.5459 0.85 1 1 1
164 48.60 0.275 41.221 4.6045 0.85 1 1 1
165 27.27 0.110 21.440 4.6533 0.85 1 1 1
166 50.92 0.308 35.316 4.6533 0.85 1 1 1
167 50.92 0.308 35.762 4.3994 0.85 1 1 1
168 48.60 0.275 41.274 4.6045 0.85 1 1 1
169 33.30 0.160 22.610 4.6045 0.85 1 1 1
170 50.92 0.308 31.187 4.6533 0.85 1 1 1
171 33.30 0.160 22.289 4.6045 0.85 1 1 1
172 50.92 0.308 36.314 4.8975 0.85 1 1 1
173 17.64 0.025 15.824 4.8486 0.85 1 1 1
174 41.42 0.187 32.749 4.3994 0.85 1 1 1
175 38.50 0.184 27.320 4.6533 0.85 1 1 1
176 50.92 0.308 28.863 4.8486 0.85 1 1 1
177 46.18 0.229 36.134 4.5459 0.85 1 1 1
178 50.92 0.308 40.479 4.7021 0.85 1 1 1
179 54.04 0.342 41.567 4.1455 0.85 1 1 1
180 50.92 0.308 30.529 4.7021 0.85 1 1 1
181 50.92 0.308 31.707 4.6045 0.85 1 1 1
182 54.54 0.344 42.080 4.4482 0.85 1 1 1
183 27.27 0.110 21.380 4.6533 0.85 1 1 1
184 54.22 0.339 31.252 4.4482 0.85 1 1 1
185 33.30 0.160 22.467 4.6045 0.85 1 1 1
186 50.92 0.308 33.192 4.6045 0.85 1 1 1
187 50.92 0.308 36.721 4.8975 0.85 1 1 1
188 50.92 0.308 31.396 4.6533 0.85 1 1 1
189 50.92 0.308 38.542 4.5459 0.85 1 1 1
190 50.92 0.308 29.080 4.8486 0.85 1 1 1
191 47.91 0.251 33.407 4.6045 0.85 1 1 1
192 50.92 0.308 38.312 4.3994 0.85 1 1 1
193 27.27 0.110 21.644 4.6533 0.85 1 1 1
194 50.92 0.308 28.764 4.5459 0.85 1 1 1
195 54.04 0.342 41.337 4.1455 0.85 1 1 1
196 51.76 0.346 26.949 4.7021 0.85 1 1 1
197 47.91 0.251 33.173 4.6045 0.85 1 1 1
198 50.92 0.308 34.601 4.5459 0.85 1 1 1
199 27.27 0.110 21.349 4.6533 0.85 1 1 1
200 40.33 0.207 29.853 4.5459 0.85 1 1 1
201 50.92 0.308 34.649 4.5459 0.85 1 1 1
202 36.36 0.139 30.110 4.2529 0.85 1 1 1
203 36.36 0.139 30.069 4.2529 0.85 1 1 1
204 17.64 0.025 15.637 4.8486 0.85 1 1 1
205 44.27 0.264 29.478 4.7021 0.85 1 1 1
206 44.77 0.218 36.737 4.3994 0.85 1 1 1
207 31.79 0.116 24.705 4.7998 0.85 1 1 1
208 40.33 0.207 29.889 4.5459 0.85 1 1 1
209 33.30 0.160 22.339 4.6045 0.85 1 1 1
210 48.60 0.275 41.817 4.6045 0.85 1 1 1
211 36.36 0.139 30.122 4.2529 0.85 1 1 1
212 58.07 0.299 41.419 4.6045 0.85 1 1 1
213 19.38 0.070 14.360 4.7998 0.85 1 1 1
214 50.92 0.308 32.957 4.6045 0.85 1 1 1
215 31.79 0.116 24.617 4.7998 0.85 1 1 1
216 55.62 0.366 30.515 4.7021 0.85 1 1 1
217 50.92 0.308 28.735 4.5459 0.85 1 1 1
218 43.24 0.196 34.584 4.5459 0.85 1 1 1
219 50.92 0.308 29.008 4.8486 0.85 1 1 1
220 41.42 0.187 32.656 4.3994 0.85 1 1 1
221 50.92 0.308 35.777 4.3994 0.85 1 1 1
222 51.76 0.346 27.284 4.7021 0.85 1 1 1
223 50.92 0.308 28.812 4.8486 0.85 1 1 1
224 41.86 0.274 21.813 4.6045 0.85 1 1 1
225 31.79 0.116 24.570 4.7998 0.85 1 1 1
226 43.24 0.196 34.947 4.5459 0.85 1 1 1
227 54.22 0.339 31.542 4.4482 0.85 1 1 1
228 58.07 0.299 40.937 4.6045 0.85 1 1 1
229 41.86 0.274 21.645 4.6045 0.85 1 1 1
230 38.50 0.184 27.443 4.6533 0.85 1 1 1
231 57.87 0.362 46.072 4.5459 0.85 1 1 1
232 41.38 0.211 27.216 4.7510 0.85 1 1 1
233 41.38 0.211 26.576 4.7510 0.85 1 1 1
234 25.90 0.103 21.619 4.4971 0.85 1 1 1
235 38.50 0.184 27.755 4.6533 0.85 1 1 1
236 50.92 0.308 33.036 4.6045 0.85 1 1 1
237 50.92 0.308 40.875 4.7021 0.85 1 1 1
238 50.92 0.308 30.486 4.7021 0.85 1 1 1
239 50.92 0.308 30.996 4.7021 0.85 1 1 1
240 43.24 0.196 34.679 4.5459 0.85 1 1 1
241 40.33 0.207 29.741 4.5459 0.85 1 1 1
242 55.62 0.366 30.339 4.7021 0.85 1 1 1
243 50.92 0.308 31.215 4.6533 0.85 1 1 1
244 40.33 0.207 29.922 4.5459 0.85 1 1 1
245 49.23 0.270 37.585 4.6045 0.85 1 1 1
246 44.27 0.264 29.349 4.7021 0.85 1 1 1
247 50.92 0.308 41.036 4.1455 0.85 1 1 1
248 41.38 0.211 27.199 4.7510 0.85 1 1 1
249 50.92 0.308 28.747 4.8486 0.85 1 1 1
250 50.92 0.308 41.104 4.7021 0.85 1 1 1
251 50.92 0.308 32.789 4.6045 0.85 1 1 1
252 43.24 0.196 34.677 4.5459 0.85 1 1 1
253 50.92 0.308 36.260 4.8975 0.85 1 1 1
254 57.87 0.362 45.660 4.5459 0.85 1 1 1
255 58.07 0.299 41.140 4.6045 0.85 1 1 1
256 48.60 0.275 41.493 4.6045 0.85 1 1 1
257 57.87 0.362 45.995 4.5459 0.85 1 1 1
258 46.18 0.229 36.425 4.5459 0.85 1 1 1
259 17.64 0.025 15.678 4.8486 0.85 1 1 1
260 50.92 0.308 36.539 4.8975 0.85 1 1 1
261 25.90 0.103 21.544 4.4971 0.85 1 1 1
262 50.92 0.308 35.325 4.3994 0.85 1 1 1
263 19.38 0.070 14.346 4.7998 0.85 1 1 1
264 50.92 0.308 28.896 4.5459 0.85 1 1 1
265 50.92 0.308 31.708 4.5459 0.85 1 1 1
266 47.91 0.251 33.672 4.6045 0.85 1 1 1
267 57.87 0.362 46.027 4.5459 0.85 1 1 1
268 50.92 0.308 31.027 4.6533 0.85 1 1 1
269 33.30 0.160 22.671 4.6045 0.85 1 1 1
270 46.18 0.229 36.773 4.5459 0.85 1 1 1
271 44.27 0.264 29.817 4.7021 0.85 1 1 1
272 50.92 0.308 28.875 4.8486 0.85 1 1 1
273 17.64 0.025 15.538 4.8486 0.85 1 1 1
274 54.54 0.344 41.810 4.4482 0.85 1 1 1
275 50.92 0.308 41.062 4.1455 0.85 1 1 1
276 41.42 0.187 32.357 4.3994 0.85 1 1 1
277 50.92 0.308 28.994 4.5459 0.85 1 1 1
278 55.62 0.366 30.251 4.7021 0.85 1 1 1
279 50.92 0.308 36.679 4.8975 0.85 1 1 1
280 51.76 0.346 27.032 4.7021 0.85 1 1 1
281 50.92 0.308 38.186 4.4482 0.85 1 1 1
282 50.92 0.308 40.905 4.7021 0.85 1 1 1
283 46.18 0.229 36.815 4.5459 0.85 1 1 1
284 55.62 0.366 30.274 4.7021 0.85 1 1 1
285 50.92 0.308 38.445 4.4482 0.85 1 1 1
286 50.92 0.308 31.762 4.6045 0.85 1 1 1
287 50.92 0.308 33.153 4.6045 0.85 1 1 1
288 50.92 0.308 29.092 4.5459 0.85 1 1 1
289 41.42 0.187 32.621 4.3994 0.85 1 1 1
290 50.92 0.308 36.209 4.6533 0.85 1 1 1
291 58.07 0.299 40.744 4.6045 0.85 1 1 1
292 55.62 0.366 30.095 4.7021 0.85 1 1 1
293 54.22 0.339 30.989 4.4482 0.85 1 1 1
294 58.07 0.299 40.906 4.6045 0.85 1 1 1
295 50.92 0.308 35.806 4.3994 0.85 1 1 1
296 50.92 0.308 34.611 4.5459 0.85 1 1 1
297 50.92 0.308 38.962 4.5459 0.85 1 1 1
298 50.92 0.308 36.261 4.6533 0.85 1 1 1
299 50.92 0.308 29.022 4.5459 0.85 1 1 1
300 50.92 0.308 34.120 4.5459 0.85 1 1 1
301 40.50 0.193 30.225 4.6533 0.85 1 1 1
302 40.50 0.193 30.164 4.6533 0.85 1 1 1
303 47.91 0.251 33.716 4.6045 0.85 1 1 1
304 50.92 0.308 33.258 4.6045 0.85 1 1 1
305 33.30 0.160 22.312 4.6045 0.85 1 1 1
306 55.62 0.366 30.220 4.7021 0.85 1 1 1
307 40.33 0.207 30.128 4.5459 0.85 1 1 1
308 50.92 0.308 33.108 4.6045 0.85 1 1 1
309 50.92 0.308 35.776 4.3994 0.85 1 1 1
310 41.38 0.211 27.238 4.7510 0.85 1 1 1
311 50.92 0.308 31.313 4.6533 0.85 1 1 1
312 49.23 0.270 37.838 4.6045 0.85 1 1 1
313 50.92 0.308 33.270 4.6045 0.85 1 1 1
314 41.38 0.211 27.312 4.7510 0.85 1 1 1
315 47.91 0.251 33.420 4.6045 0.85 1 1 1
316 50.92 0.308 35.939 4.3994 0.85 1 1 1
317 31.79 0.116 24.566 4.7998 0.85 1 1 1
318 50.92 0.308 38.579 4.3506 0.85 1 1 1
319 19.38 0.070 14.356 4.7998 0.85 1 1 1
320 50.92 0.308 29.272 4.8486 0.85 1 1 1
321 19.38 0.070 14.335 4.7998 0.85 1 1 1
322 50.92 0.308 38.295 4.4482 0.85 1 1 1
323 41.42 0.187 32.387 4.3994 0.85 1 1 1
324 50.92 0.308 32.016 4.6045 0.85 1 1 1
325 19.38 0.070 14.378 4.7998 0.85 1 1 1
326 38.50 0.184 27.738 4.6533 0.85 1 1 1
327 55.62 0.366 30.511 4.7021 0.85 1 1 1
328 50.92 0.308 38.768 4.5459 0.85 1 1 1
329 38.50 0.184 27.535 4.6533 0.85 1 1 1
330 57.87 0.362 46.698 4.5459 0.85 1 1 1
331 50.92 0.308 31.456 4.6533 0.85 1 1 1
332 46.18 0.229 36.754 4.5459 0.85 1 1 1
333 50.92 0.308 31.874 4.5459 0.85 1 1 1
334 50.92 0.308 35.972 4.6533 0.85 1 1 1
335 55.62 0.366 30.427 4.7021 0.85 1 1 1
336 47.91 0.251 33.451 4.6045 0.85 1 1 1
337 33.30 0.160 22.376 4.6045 0.85 1 1 1
338 50.92 0.308 38.737 4.5459 0.85 1 1 1
339 41.86 0.274 21.565 4.6045 0.85 1 1 1
340 50.92 0.308 29.083 4.5459 0.85 1 1 1
341 48.60 0.275 41.517 4.6045 0.85 1 1 1
342 44.77 0.218 35.789 4.3994 0.85 1 1 1
343 40.50 0.193 30.077 4.6533 0.85 1 1 1
344 41.86 0.274 21.580 4.6045 0.85 1 1 1
345 50.92 0.308 31.306 4.6533 0.85 1 1 1
346 33.30 0.160 22.195 4.6045 0.85 1 1 1
347 50.92 0.308 36.787 4.8975 0.85 1 1 1
348 44.27 0.264 29.401 4.7021 0.85 1 1 1
349 58.07 0.299 41.423 4.6045 0.85 1 1 1
350 43.24 0.196 34.999 4.5459 0.85 1 1 1
351 55.62 0.366 30.378 4.7021 0.85 1 1 1
352 44.27 0.264 29.262 4.7021 0.85 1 1 1
353 44.27 0.264 29.510 4.7021 0.85 1 1 1
354 44.77 0.218 36.382 4.3994 0.85 1 1 1
355 50.92 0.308 36.750 4.8975 0.85 1 1 1
356 40.50 0.193 30.402 4.6533 0.85 1 1 1
357 50.92 0.308 28.969 4.5459 0.85 1 1 1
358 36.36 0.139 29.686 4.2529 0.85 1 1 1
359 41.38 0.211 27.193 4.7510 0.85 1 1 1
360 51.76 0.346 27.344 4.7021 0.85 1 1 1
361 49.23 0.270 37.435 4.6045 0.85 1 1 1
362 50.92 0.308 39.065 4.5459 0.85 1 1 1
363 31.79 0.116 24.622 4.7998 0.85 1 1 1
364 49.23 0.270 37.961 4.6045 0.85 1 1 1
365 50.92 0.308 38.643 4.5459 0.85 1 1 1
366 50.92 0.308 31.893 4.5459 0.85 1 1 1
367 50.92 0.308 34.497 4.5459 0.85 1 1 1
368 36.36 0.139 29.602 4.2529 0.85 1 1 1
369 50.92 0.308 35.296 4.6533 0.85 1 1 1
370 17.64 0.025 15.751 4.8486 0.85 1 1 1
371 40.33 0.207 29.927 4.5459 0.85 1 1 1
372 40.50 0.193 30.630 4.6533 0.85 1 1 1
373 46.18 0.229 36.681 4.5459 0.85 1 1 1
374 40.33 0.207 30.134 4.5459 0.85 1 1 1
375 17.64 0.025 15.720 4.8486 0.85 1 1 1
376 50.92 0.308 31.573 4.5459 0.85 1 1 1
377 25.90 0.103 21.502 4.4971 0.85 1 1 1
378 40.33 0.207 29.838 4.5459 0.85 1 1 1
379 40.50 0.193 30.622 4.6533 0.85 1 1 1
380 50.92 0.308 34.151 4.5459 0.85 1 1 1
381 50.92 0.308 35.766 4.6533 0.85 1 1 1
382 19.38 0.070 14.302 4.7998 0.85 1 1 1
383 50.92 0.308 38.502 4.4482 0.85 1 1 1
384 36.36 0.139 30.127 4.2529 0.85 1 1 1
385 58.07 0.299 40.614 4.6045 0.85 1 1 1
386 47.91 0.251 33.265 4.6045 0.85 1 1 1
387 40.33 0.207 29.811 4.5459 0.85 1 1 1
388 50.92 0.308 31.669 4.5459 0.85 1 1 1
389 48.60 0.275 41.433 4.6045 0.85 1 1 1
390 50.92 0.308 29.069 4.8486 0.85 1 1 1
391 50.92 0.308 40.506 4.1455 0.85 1 1 1
392 54.54 0.344 42.265 4.4482 0.85 1 1 1
393 38.50 0.184 27.361 4.6533 0.85 1 1 1
394 50.92 0.308 29.122 4.8486 0.85 1 1 1
395 50.92 0.308 28.751 4.8486 0.85 1 1 1
396 50.92 0.308 28.973 4.5459 0.85 1 1 1
397 40.50 0.193 30.590 4.6533 0.85 1 1 1
398 54.22 0.339 31.257 4.4482 0.85 1 1 1
399 51.76 0.346 27.014 4.7021 0.85 1 1 1
400 43.24 0.196 34.639 4.5459 0.85 1 1 1
401 41.38 0.211 27.386 4.7510 0.85 1 1 1
402 41.38 0.211 27.297 4.7510 0.85 1 1 1
403 50.92 0.308 31.384 4.5459 0.85 1 1 1
404 31.79 0.116 24.439 4.7998 0.85 1 1 1
405 50.92 0.308 38.622 4.4482 0.85 1 1 1
406 44.77 0.218 36.370 4.3994 0.85 1 1 1
407 40.33 0.207 30.190 4.5459 0.85 1 1 1
408 50.92 0.308 36.012 4.6533 0.85 1 1 1
409 27.27 0.110 21.665 4.6533 0.85 1 1 1
410 50.92 0.308 32.905 4.6045 0.85 1 1 1
411 50.92 0.308 40.875 4.7021 0.85 1 1 1
412 40.33 0.207 29.996 4.5459 0.85 1 1 1
413 27.27 0.110 21.544 4.6533 0.85 1 1 1
414 54.22 0.339 31.358 4.4482 0.85 1 1 1
415 50.92 0.308 34.423 4.5459 0.85 1 1 1
416 31.79 0.116 24.641 4.7998 0.85 1 1 1
417 50.92 0.308 38.633 4.3506 0.85 1 1 1
418 38.50 0.184 27.645 4.6533 0.85 1 1 1
419 46.18 0.229 36.400 4.5459 0.85 1 1 1
420 50.92 0.308 35.285 4.3994 0.85 1 1 1
421 57.87 0.362 46.500 4.5459 0.85 1 1 1
422 50.92 0.308 28.398 4.8486 0.85 1 1 1
423 41.38 0.211 27.415 4.7510 0.85 1 1 1
424 50.92 0.308 31.808 4.6045 0.85 1 1 1
425 41.38 0.211 27.333 4.7510 0.85 1 1 1
426 50.92 0.308 38.822 4.5459 0.85 1 1 1
427 50.92 0.308 28.948 4.8486 0.85 1 1 1
428 19.38 0.070 14.380 4.7998 0.85 1 1 1
429 48.60 0.275 41.194 4.6045 0.85 1 1 1
430 40.50 0.193 30.437 4.6533 0.85 1 1 1
431 50.92 0.308 38.401 4.5459 0.85 1 1 1
432 50.92 0.308 31.411 4.5459 0.85 1 1 1
433 31.79 0.116 24.576 4.7998 0.85 1 1 1
434 50.92 0.308 32.852 4.6045 0.85 1 1 1
435 55.62 0.366 30.025 4.7021 0.85 1 1 1
436 48.60 0.275 41.662 4.6045 0.85 1 1 1
437 27.27 0.110 21.349 4.6533 0.85 1 1 1
438 49.23 0.270 37.111 4.6045 0.85 1 1 1
439 50.92 0.308 40.642 4.7021 0.85 1 1 1
440 36.36 0.139 30.182 4.2529 0.85 1 1 1
441 46.18 0.229 36.589 4.5459 0.85 1 1 1
442 17.64 0.025 15.760 4.8486 0.85 1 1 1
443 48.60 0.275 41.027 4.6045 0.85 1 1 1
444 50.92 0.308 28.930 4.8486 0.85 1 1 1
445 44.27 0.264 29.957 4.7021 0.85 1 1 1
446 54.54 0.344 42.192 4.4482 0.85 1 1 1
447 46.18 0.229 36.865 4.5459 0.85 1 1 1
448 50.92 0.308 31.722 4.5459 0.85 1 1 1
449 50.92 0.308 36.864 4.8975 0.85 1 1 1
450 58.07 0.299 41.175 4.6045 0.85 1 1 1
451 50.92 0.308 36.448 4.8975 0.85 1 1 1
452 31.79 0.116 24.749 4.7998 0.85 1 1 1
453 44.27 0.264 29.699 4.7021 0.85 1 1 1
454 51.76 0.346 27.083 4.7021 0.85 1 1 1
455 50.92 0.308 38.433 4.3994 0.85 1 1 1
456 50.92 0.308 34.634 4.5459 0.85 1 1 1
457 50.92 0.308 31.589 4.5459 0.85 1 1 1
458 50.92 0.308 40.660 4.7021 0.85 1 1 1
459 50.92 0.308 40.968 4.7021 0.85 1 1 1
460 48.60 0.275 41.170 4.6045 0.85 1 1 1
461 50.92 0.308 40.799 4.7021 0.85 1 1 1
462 44.27 0.264 29.612 4.7021 0.85 1 1 1
463 54.22 0.339 31.251 4.4482 0.85 1 1 1
464 49.23 0.270 37.386 4.6045 0.85 1 1 1
465 50.92 0.308 29.091 4.5459 0.85 1 1 1
466 44.27 0.264 29.728 4.7021 0.85 1 1 1
467 46.18 0.229 36.876 4.5459 0.85 1 1 1
468 41.38 0.211 27.267 4.7510 0.85 1 1 1
469 41.86 0.274 21.537 4.6045 0.85 1 1 1
470 50.92 0.308 33.098 4.6045 0.85 1 1 1
471 43.24 0.196 34.869 4.5459 0.85 1 1 1
472 54.04 0.342 41.637 4.1455 0.85 1 1 1
473 31.79 0.116 24.341 4.7998 0.85 1 1 1
474 40.50 0.193 30.504 4.6533 0.85 1 1 1
475 51.76 0.346 27.194 4.7021 0.85 1 1 1
476 50.92 0.308 30.610 4.7021 0.85 1 1 1
477 27.27 0.110 21.436 4.6533 0.85 1 1 1
478 50.92 0.308 38.213 4.5459 0.85 1 1 1
479 50.92 0.308 31.918 4.5459 0.85 1 1 1
480 50.92 0.308 38.822 4.3506 0.85 1 1 1
481 36.36 0.139 29.721 4.2529 0.85 1 1 1
482 50.92 0.308 40.654 4.7021 0.85 1 1 1
483 49.23 0.270 37.733 4.6045 0.85 1 1 1
484 50.92 0.308 38.254 4.4482 0.85 1 1 1
485 49.23 0.270 37.440 4.6045 0.85 1 1 1
486 50.92 0.308 29.078 4.8486 0.85 1 1 1
487 48.60 0.275 41.698 4.6045 0.85 1 1 1
488 50.92 0.308 31.457 4.6045 0.85 1 1 1
489 40.50 0.193 30.216 4.6533 0.85 1 1 1
490 44.27 0.264 29.609 4.7021 0.85 1 1 1
491 47.91 0.251 33.091 4.6045 0.85 1 1 1
492 50.92 0.308 36.697 4.8975 0.85 1 1 1
493 50.92 0.308 30.778 4.7021 0.85 1 1 1
494 50.92 0.308 29.097 4.8486 0.85 1 1 1
495 44.27 0.264 29.429 4.7021 0.85 1 1 1
496 50.92 0.308 36.141 4.6533 0.85 1 1 1
497 50.92 0.308 30.489 4.7021 0.85 1 1 1
498 47.91 0.251 33.260 4.6045 0.85 1 1 1
499 54.22 0.339 31.621 4.4482 0.85 1 1 1
500 54.22 0.339 31.497 4.4482 0.85 1 1 1
501 40.33 0.207 30.070 4.5459 0.85 1 1 1
502 17.64 0.025 15.756 4.8486 0.85 1 1 1
503 54.54 0.344 42.280 4.4482 0.85 1 1 1
504 41.86 0.274 21.524 4.6045 0.85 1 1 1
505 54.22 0.339 31.153 4.4482 0.85 1 1 1
506 49.23 0.270 37.360 4.6045 0.85 1 1 1
507 50.92 0.308 38.481 4.3506 0.85 1 1 1
508 50.92 0.308 31.994 4.6045 0.85 1 1 1
509 48.60 0.275 41.478 4.6045 0.85 1 1 1
510 50.92 0.308 28.790 4.5459 0.85 1 1 1
511 50.92 0.308 31.676 4.6045 0.85 1 1 1
512 54.54 0.344 41.424 4.4482 0.85 1 1 1
513 38.50 0.184 27.782 4.6533 0.85 1 1 1
514 50.92 0.308 38.564 4.3994 0.85 1 1 1
515 43.24 0.196 34.903 4.5459 0.85 1 1 1
516 54.54 0.344 41.992 4.4482 0.85 1 1 1
517 19.38 0.070 14.376 4.7998 0.85 1 1 1
518 50.92 0.308 38.801 4.3506 0.85 1 1 1
519 50.92 0.308 31.437 4.6533 0.85 1 1 1
520 50.92 0.308 34.496 4.5459 0.85 1 1 1
521 57.87 0.362 46.561 4.5459 0.85 1 1 1
522 50.92 0.308 30.468 4.7021 0.85 1 1 1
523 41.42 0.187 32.102 4.3994 0.85 1 1 1
524 50.92 0.308 31.923 4.5459 0.85 1 1 1
525 31.79 0.116 24.826 4.7998 0.85 1 1 1
526 50.92 0.308 36.917 4.8975 0.85 1 1 1
527 50.92 0.308 36.025 4.6533 0.85 1 1 1
528 50.92 0.308 31.888 4.5459 0.85 1 1 1
529 31.79 0.116 24.471 4.7998 0.85 1 1 1
530 31.79 0.116 24.357 4.7998 0.85 1 1 1
531 46.18 0.229 36.274 4.5459 0.85 1 1 1
532 50.92 0.308 30.393 4.7021 0.85 1 1 1
533 58.07 0.299 41.240 4.6045 0.85 1 1 1
534 50.92 0.308 36.160 4.6533 0.85 1 1 1
535 50.92 0.308 31.556 4.6045 0.85 1 1 1
536 50.92 0.308 38.129 4.3506 0.85 1 1 1
537 19.38 0.070 14.241 4.7998 0.85 1 1 1
538 50.92 0.308 31.583 4.6533 0.85 1 1 1
539 50.92 0.308 33.020 4.6045 0.85 1 1 1
540 50.92 0.308 40.887 4.7021 0.85 1 1 1
541 50.92 0.308 35.942 4.3994 0.85 1 1 1
542 51.76 0.346 27.077 4.7021 0.85 1 1 1
543 36.36 0.139 29.545 4.2529 0.85 1 1 1
544 38.50 0.184 27.297 4.6533 0.85 1 1 1
545 50.92 0.308 35.182 4.3994 0.85 1 1 1
546 50.92 0.308 30.804 4.7021 0.85 1 1 1
547 49.23 0.270 37.942 4.6045 0.85 1 1 1
548 43.24 0.196 34.433 4.5459 0.85 1 1 1
549 17.64 0.025 15.834 4.8486 0.85 1 1 1
550 50.92 0.308 29.139 4.5459 0.85 1 1 1
551 41.86 0.274 21.783 4.6045 0.85 1 1 1
552 50.92 0.308 29.347 4.8486 0.85 1 1 1
553 47.91 0.251 33.380 4.6045 0.85 1 1 1
554 50.92 0.308 38.616 4.3994 0.85 1 1 1
555 50.92 0.308 34.587 4.5459 0.85 1 1 1
556 40.50 0.193 30.525 4.6533 0.85 1 1 1
557 17.64 0.025 15.641 4.8486 0.85 1 1 1
558 50.92 0.308 36.682 4.8975 0.85 1 1 1
559 36.36 0.139 29.692 4.2529 0.85 1 1 1
560 57.87 0.362 46.346 4.5459 0.85 1 1 1
561 50.92 0.308 29.018 4.8486 0.85 1 1 1
562 41.86 0.220 32.312 4.3506 0.85 1 1 1
563 55.62 0.366 30.214 4.7021 0.85 1 1 1
564 25.90 0.103 21.240 4.4971 0.85 1 1 1
565 49.23 0.270 37.625 4.6045 0.85 1 1 1
566 31.79 0.116 24.218 4.7998 0.85 1 1 1
567 19.38 0.070 14.348 4.7998 0.85 1 1 1
568 44.27 0.264 29.687 4.7021 0.85 1 1 1
569 50.92 0.308 38.771 4.3994 0.85 1 1 1
570 17.64 0.025 15.627 4.8486 0.85 1 1 1
571 50.92 0.308 30.697 4.7021 0.85 1 1 1
572 50.92 0.308 35.993 4.6533 0.85 1 1 1
573 46.18 0.229 36.595 4.5459 0.85 1 1 1
574 50.92 0.308 30.332 4.7021 0.85 1 1 1
575 51.76 0.346 27.099 4.7021 0.85 1 1 1
576 41.38 0.211 26.836 4.7510 0.85 1 1 1
577 47.91 0.251 33.606 4.6045 0.85 1 1 1
578 51.76 0.346 27.164 4.7021 0.85 1 1 1
579 50.92 0.308 28.869 4.5459 0.85 1 1 1
580 40.50 0.193 30.577 4.6533 0.85 1 1 1
581 50.92 0.308 28.857 4.8486 0.85 1 1 1
582 50.92 0.308 36.590 4.8975 0.85 1 1 1
583 48.60 0.275 41.464 4.6045 0.85 1 1 1
584 50.92 0.308 29.117 4.8486 0.85 1 1 1
585 40.50 0.193 30.587 4.6533 0.85 1 1 1
586 36.36 0.139 29.858 4.2529 0.85 1 1 1
587 50.92 0.308 35.801 4.3994 0.85 1 1 1
588 40.50 0.193 30.483 4.6533 0.85 1 1 1
589 50.92 0.308 36.606 4.8975 0.85 1 1 1
590 17.64 0.025 15.717 4.8486 0.85 1 1 1
591 50.92 0.308 31.471 4.6533 0.85 1 1 1
592 50.92 0.308 31.107 4.6533 0.85 1 1 1
593 50.92 0.308 29.012 4.5459 0.85 1 1 1
594 50.92 0.308 29.199 4.8486 0.85 1 1 1
595 43.24 0.196 34.756 4.5459 0.85 1 1 1
596 50.92 0.308 31.510 4.6533 0.85 1 1 1
597 50.92 0.308 28.784 4.8486 0.85 1 1 1
598 50.92 0.308 31.483 4.5459 0.85 1 1 1
599 50.92 0.308 36.706 4.8975 0.85 1 1 1
600 58.07 0.299 40.786 4.6045 0.85 1 1 1
601 41.42 0.187 32.239 4.3994 0.85 1 1 1
602 58.07 0.299 40.798 4.6045 0.85 1 1 1
603 50.92 0.308 40.805 4.7021 0.85 1 1 1
604 54.54 0.344 41.620 4.4482 0.85 1 1 1
605 50.92 0.308 36.521 4.8975 0.85 1 1 1
606 50.92 0.308 35.716 4.3994 0.85 1 1 1
607 50.92 0.308 38.849 4.5459 0.85 1 1 1
608 27.27 0.110 21.279 4.6533 0.85 1 1 1
609 33.30 0.160 22.532 4.6045 0.85 1 1 1
610 47.91 0.251 33.403 4.6045 0.85 1 1 1
611 57.87 0.362 46.262 4.5459 0.85 1 1 1
612 41.38 0.211 27.433 4.7510 0.85 1 1 1
613 50.92 0.308 31.194 4.5459 0.85 1 1 1
614 43.24 0.196 34.849 4.5459 0.85 1 1 1
615 41.38 0.211 26.939 4.7510 0.85 1 1 1
616 50.92 0.308 30.781 4.7021 0.85 1 1 1
617 48.60 0.275 41.448 4.6045 0.85 1 1 1
618 41.38 0.211 27.147 4.7510 0.85 1 1 1
619 41.86 0.220 32.733 4.3506 0.85 1 1 1
620 40.50 0.193 29.876 4.6533 0.85 1 1 1
621 54.54 0.344 42.326 4.4482 0.85 1 1 1
622 50.92 0.308 31.936 4.5459 0.85 1 1 1
623 25.90 0.103 21.390 4.4971 0.85 1 1 1
624 50.92 0.308 30.977 4.6045 0.85 1 1 1
625 50.92 0.308 38.533 4.3506 0.85 1 1 1
626 50.92 0.308 38.690 4.5459 0.85 1 1 1
627 50.92 0.308 38.807 4.5459 0.85 1 1 1
628 41.86 0.220 32.658 4.3506 0.85 1 1 1
629 41.86 0.274 21.464 4.6045 0.85 1 1 1
630 31.79 0.116 24.656 4.7998 0.85 1 1 1
631 40.50 0.193 30.355 4.6533 0.85 1 1 1
632 50.92 0.308 40.714 4.1455 0.85 1 1 1
633 44.27 0.264 29.641 4.7021 0.85 1 1 1
634 48.60 0.275 41.497 4.6045 0.85 1 1 1
635 50.92 0.308 38.636 4.5459 0.85 1 1 1
636 50.92 0.308 38.680 4.4482 0.85 1 1 1
637 49.23 0.270 37.319 4.6045 0.85 1 1 1
638 50.92 0.308 28.905 4.5459 0.85 1 1 1
639 50.92 0.308 29.002 4.8486 0.85 1 1 1
640 31.79 0.116 24.420 4.7998 0.85 1 1 1
641 50.92 0.308 31.578 4.5459 0.85 1 1 1
642 47.91 0.251 33.268 4.6045 0.85 1 1 1
643 36.36 0.139 29.862 4.2529 0.85 1 1 1
644 54.54 0.344 41.852 4.4482 0.85 1 1 1
645 19.38 0.070 14.493 4.7998 0.85 1 1 1
646 44.77 0.218 36.567 4.3994 0.85 1 1 1
647 50.92 0.308 38.408 4.4482 0.85 1 1 1
648 41.38 0.211 26.747 4.7510 0.85 1 1 1
649 25.90 0.103 21.668 4.4971 0.85 1 1 1
650 55.62 0.366 29.729 4.7021 0.85 1 1 1
651 50.92 0.308 31.175 4.6533 0.85 1 1 1
652 19.38 0.070 14.412 4.7998 0.85 1 1 1
653 57.87 0.362 46.395 4.5459 0.85 1 1 1
654 43.24 0.196 34.743 4.5459 0.85 1 1 1
655 36.36 0.139 29.910 4.2529 0.85 1 1 1
656 41.38 0.211 27.204 4.7510 0.85 1 1 1
657 41.86 0.274 21.668 4.6045 0.85 1 1 1
658 50.92 0.308 36.082 4.8975 0.85 1 1 1
659 50.92 0.308 36.775 4.8975 0.85 1 1 1
660 50.92 0.308 32.712 4.6045 0.85 1 1 1
661 48.60 0.275 41.761 4.6045 0.85 1 1 1
662 54.54 0.344 41.749 4.4482 0.85 1 1 1
663 40.50 0.193 30.126 4.6533 0.85 1 1 1
664 43.24 0.196 34.680 4.5459 0.85 1 1 1
665 50.92 0.308 36.395 4.8975 0.85 1 1 1
666 58.07 0.299 41.269 4.6045 0.85 1 1 1
667 43.24 0.196 34.874 4.5459 0.85 1 1 1
668 41.42 0.187 32.887 4.3994 0.85 1 1 1
669 43.24 0.196 34.158 4.5459 0.85 1 1 1
670 17.64 0.025 15.704 4.8486 0.85 1 1 1
671 54.54 0.344 41.780 4.4482 0.85 1 1 1
672 33.30 0.160 22.439 4.6045 0.85 1 1 1
673 50.92 0.308 40.340 4.1455 0.85 1 1 1
674 50.92 0.308 36.644 4.8975 0.85 1 1 1
675 50.92 0.308 31.822 4.6045 0.85 1 1 1
676 50.92 0.308 35.936 4.3994 0.85 1 1 1
677 50.92 0.308 38.326 4.5459 0.85 1 1 1
678 50.92 0.308 31.832 4.5459 0.85 1 1 1
679 50.92 0.308 40.999 4.7021 0.85 1 1 1
680 33.30 0.160 22.390 4.6045 0.85 1 1 1
681 38.50 0.184 27.562 4.6533 0.85 1 1 1
682 41.38 0.211 27.185 4.7510 0.85 1 1 1
683 50.92 0.308 31.173 4.6533 0.85 1 1 1
684 55.62 0.366 30.444 4.7021 0.85 1 1 1
685 43.24 0.196 34.656 4.5459 0.85 1 1 1
686 50.92 0.308 36.249 4.6533 0.85 1 1 1
687 50.92 0.308 38.687 4.3994 0.85 1 1 1
688 41.86 0.274 21.431 4.6045 0.85 1 1 1
689 27.27 0.110 21.556 4.6533 0.85 1 1 1
690 50.92 0.308 32.976 4.6045 0.85 1 1 1
691 48.60 0.275 41.589 4.6045 0.85 1 1 1
692 58.07 0.299 41.132 4.6045 0.85 1 1 1
693 33.30 0.160 22.249 4.6045 0.85 1 1 1
694 50.92 0.308 38.576 4.4482 0.85 1 1 1
695 41.86 0.274 21.351 4.6045 0.85 1 1 1
696 50.92 0.308 30.922 4.7021 0.85 1 1 1
697 50.92 0.308 30.805 4.7021 0.85 1 1 1
698 58.07 0.299 40.641 4.6045 0.85 1 1 1
699 50.92 0.308 38.453 4.5459 0.85 1 1 1
700 31.79 0.116 24.500 4.7998 0.85 1 1 1
701 50.92 0.308 38.564 4.4482 0.85 1 1 1
702 50.92 0.308 28.839 4.8486 0.85 1 1 1
703 41.86 0.274 21.482 4.6045 0.85 1 1 1
704 50.92 0.308 37.911 4.3506 0.85 1 1 1
705 50.92 0.308 38.333 4.3506 0.85 1 1 1
706 47.91 0.251 33.450 4.6045 0.85 1 1 1
707 43.24 0.196 34.726 4.5459 0.85 1 1 1
708 36.36 0.139 29.992 4.2529 0.85 1 1 1
709 54.54 0.344 42.023 4.4482 0.85 1 1 1
710 48.60 0.275 41.112 4.6045 0.85 1 1 1
711 17.64 0.025 15.788 4.8486 0.85 1 1 1
712 50.92 0.308 28.897 4.8486 0.85 1 1 1
713 49.23 0.270 37.293 4.6045 0.85 1 1 1
714 55.62 0.366 30.665 4.7021 0.85 1 1 1
715 50.92 0.308 38.568 4.4482 0.85 1 1 1
716 50.92 0.308 28.897 4.8486 0.85 1 1 1
717 49.23 0.270 37.478 4.6045 0.85 1 1 1
718 19.38 0.070 14.273 4.7998 0.85 1 1 1
719 44.27 0.264 29.649 4.7021 0.85 1 1 1
720 44.27 0.264 29.298 4.7021 0.85 1 1 1
721 50.92 0.308 36.979 4.8975 0.85 1 1 1
722 41.86 0.274 21.689 4.6045 0.85 1 1 1
723 50.92 0.308 38.973 4.5459 0.85 1 1 1
724 41.38 0.211 27.230 4.7510 0.85 1 1 1
725 50.92 0.308 40.654 4.7021 0.85 1 1 1
726 25.90 0.103 21.678 4.4971 0.85 1 1 1
727 50.92 0.308 36.029 4.6533 0.85 1 1 1
728 44.27 0.264 29.654 4.7021 0.85 1 1 1
729 50.92 0.308 36.589 4.8975 0.85 1 1 1
730 40.33 0.207 30.174 4.5459 0.85 1 1 1
731 38.50 0.184 27.396 4.6533 0.85 1 1 1
732 51.76 0.346 26.951 4.7021 0.85 1 1 1
733 17.64 0.025 15.764 4.8486 0.85 1 1 1
734 44.77 0.218 36.716 4.3994 0.85 1 1 1
735 49.23 0.270 37.296 4.6045 0.85 1 1 1
736 46.18 0.229 36.518 4.5459 0.85 1 1 1
737 50.92 0.308 28.789 4.8486 0.85 1 1 1
738 25.90 0.103 21.500 4.4971 0.85 1 1 1
739 50.92 0.308 31.451 4.5459 0.85 1 1 1
740 17.64 0.025 15.553 4.8486 0.85 1 1 1
741 46.18 0.229 36.430 4.5459 0.85 1 1 1
742 50.92 0.308 38.286 4.5459 0.85 1 1 1
743 27.27 0.110 21.360 4.6533 0.85 1 1 1
744 50.92 0.308 31.367 4.6045 0.85 1 1 1
745 41.38 0.211 26.614 4.7510 0.85 1 1 1
746 50.92 0.308 40.743 4.7021 0.85 1 1 1
747 50.92 0.308 29.216 4.8486 0.85 1 1 1
748 48.60 0.275 41.304 4.6045 0.85 1 1 1
749 58.07 0.299 40.936 4.6045 0.85 1 1 1
750 40.33 0.207 30.013 4.5459 0.85 1 1 1
751 41.86 0.220 32.515 4.3506 0.85 1 1 1
752 55.62 0.366 30.410 4.7021 0.85 1 1 1
753 25.90 0.103 21.524 4.4971 0.85 1 1 1
754 50.92 0.308 31.474 4.6533 0.85 1 1 1
755 44.27 0.264 29.524 4.7021 0.85 1 1 1
756 41.38 0.211 27.383 4.7510 0.85 1 1 1
757 50.92 0.308 28.917 4.5459 0.85 1 1 1
758 25.90 0.103 21.341 4.4971 0.85 1 1 1
759 17.64 0.025 15.417 4.8486 0.85 1 1 1
760 36.36 0.139 30.227 4.2529 0.85 1 1 1
761 19.38 0.070 14.462 4.7998 0.85 1 1 1
762 50.92 0.308 38.492 4.5459 0.85 1 1 1
763 41.38 0.211 27.187 4.7510 0.85 1 1 1
764 33.30 0.160 22.607 4.6045 0.85 1 1 1
765 40.50 0.193 30.725 4.6533 0.85 1 1 1
766 41.86 0.274 21.680 4.6045 0.85 1 1 1
767 40.33 0.207 29.782 4.5459 0.85 1 1 1
768 40.50 0.193 30.709 4.6533 0.85 1 1 1
769 57.87 0.362 45.588 4.5459 0.85 1 1 1
770 50.92 0.308 31.142 4.6533 0.85 1 1 1
771 54.54 0.344 41.966 4.4482 0.85 1 1 1
772 58.07 0.299 40.612 4.6045 0.85 1 1 1
773 49.23 0.270 37.212 4.6045 0.85 1 1 1
774 41.42 0.187 32.632 4.3994 0.85 1 1 1
775 27.27 0.110 21.321 4.6533 0.85 1 1 1
776 50.92 0.308 40.935 4.7021 0.85 1 1 1
777 50.92 0.308 33.023 4.6045 0.85 1 1 1
778 57.87 0.362 46.267 4.5459 0.85 1 1 1
779 50.92 0.308 35.753 4.6533 0.85 1 1 1
780 40.33 0.207 30.090 4.5459 0.85 1 1 1
781 25.90 0.103 21.571 4.4971 0.85 1 1 1
782 50.92 0.308 31.951 4.5459 0.85 1 1 1
783 38.50 0.184 27.163 4.6533 0.85 1 1 1
784 50.92 0.308 31.364 4.5459 0.85 1 1 1
785 50.92 0.308 36.622 4.8975 0.85 1 1 1
786 36.36 0.139 29.832 4.2529 0.85 1 1 1
787 19.38 0.070 14.372 4.7998 0.85 1 1 1
788 50.92 0.308 38.486 4.3506 0.85 1 1 1
789 40.50 0.193 30.613 4.6533 0.85 1 1 1
790 51.76 0.346 27.225 4.7021 0.85 1 1 1
791 50.92 0.308 28.887 4.8486 0.85 1 1 1
792 33.30 0.160 22.330 4.6045 0.85 1 1 1
793 50.92 0.308 36.884 4.8975 0.85 1 1 1
794 38.50 0.184 27.502 4.6533 0.85 1 1 1
795 50.92 0.308 32.889 4.6045 0.85 1 1 1
796 48.60 0.275 41.552 4.6045 0.85 1 1 1
797 49.23 0.270 37.619 4.6045 0.85 1 1 1
798 41.38 0.211 27.218 4.7510 0.85 1 1 1
799 44.27 0.264 29.553 4.7021 0.85 1 1 1
800 51.76 0.346 27.139 4.7021 0.85 1 1 1
801 44.27 0.264 29.615 4.7021 0.85 1 1 1
802 50.92 0.308 30.447 4.7021 0.85 1 1 1
803 50.92 0.308 34.440 4.5459 0.85 1 1 1
804 50.92 0.308 29.136 4.5459 0.85 1 1 1
805 50.92 0.308 31.174 4.6533 0.85 1 1 1
806 40.50 0.193 30.170 4.6533 0.85 1 1 1
807 57.87 0.362 46.190 4.5459 0.85 1 1 1
808 38.50 0.184 27.286 4.6533 0.85 1 1 1
809 46.18 0.229 36.372 4.5459 0.85 1 1 1
810 33.30 0.160 22.323 4.6045 0.85 1 1 1
811 50.92 0.308 30.763 4.7021 0.85 1 1 1
812 44.77 0.218 36.234 4.3994 0.85 1 1 1
813 55.62 0.366 30.521 4.7021 0.85 1 1 1
814 50.92 0.308 29.045 4.5459 0.85 1 1 1
815 54.04 0.342 41.530 4.1455 0.85 1 1 1
816 47.91 0.251 33.280 4.6045 0.85 1 1 1
817 50.92 0.308 38.486 4.3994 0.85 1 1 1
818 54.22 0.339 31.315 4.4482 0.85 1 1 1
819 50.92 0.308 40.618 4.7021 0.85 1 1 1
820 31.79 0.116 24.736 4.7998 0.85 1 1 1
821 36.36 0.139 30.150 4.2529 0.85 1 1 1
822 51.76 0.346 26.815 4.7021 0.85 1 1 1
823 41.86 0.274 21.566 4.6045 0.85 1 1 1
824 54.22 0.339 31.525 4.4482 0.85 1 1 1
825 50.92 0.308 34.445 4.5459 0.85 1 1 1
826 48.60 0.275 41.798 4.6045 0.85 1 1 1
827 54.22 0.339 31.282 4.4482 0.85 1 1 1
828 58.07 0.299 40.233 4.6045 0.85 1 1 1
829 41.86 0.220 32.601 4.3506 0.85 1 1 1
830 41.38 0.211 27.085 4.7510 0.85 1 1 1
831 43.24 0.196 34.557 4.5459 0.85 1 1 1
832 17.64 0.025 15.740 4.8486 0.85 1 1 1
833 48.60 0.275 41.516 4.6045 0.85 1 1 1
834 58.07 0.299 41.298 4.6045 0.85 1 1 1
835 33.30 0.160 22.498 4.6045 0.85 1 1 1
836 50.92 0.308 33.077 4.6045 0.85 1 1 1
837 46.18 0.229 36.236 4.5459 0.85 1 1 1
838 50.92 0.308 40.826 4.7021 0.85 1 1 1
839 51.76 0.346 27.069 4.7021 0.85 1 1 1
840 31.79 0.116 24.851 4.7998 0.85 1 1 1
841 46.18 0.229 36.815 4.5459 0.85 1 1 1
842 50.92 0.308 31.402 4.5459 0.85 1 1 1
843 50.92 0.308 31.309 4.6533 0.85 1 1 1
844 36.36 0.139 29.747 4.2529 0.85 1 1 1
845 44.27 0.264 29.684 4.7021 0.85 1 1 1
846 27.27 0.110 21.448 4.6533 0.85 1 1 1
847 47.91 0.251 32.993 4.6045 0.85 1 1 1
848 50.92 0.308 38.528 4.4482 0.85 1 1 1
849 50.92 0.308 34.542 4.5459 0.85 1 1 1
850 46.18 0.229 36.677 4.5459 0.85 1 1 1
851 57.87 0.362 46.090 4.5459 0.85 1 1 1
852 31.79 0.116 24.725 4.7998 0.85 1 1 1
853 50.92 0.308 29.164 4.5459 0.85 1 1 1
854 49.23 0.270 37.697 4.6045 0.85 1 1 1
855 50.92 0.308 31.581 4.5459 0.85 1 1 1
856 50.92 0.308 38.427 4.4482 0.85 1 1 1
857 33.30 0.160 22.626 4.6045 0.85 1 1 1
858 33.30 0.160 22.190 4.6045 0.85 1 1 1
859 50.92 0.308 28.723 4.8486 0.85 1 1 1
860 50.92 0.308 36.354 4.6533 0.85 1 1 1
861 50.92 0.308 38.517 4.3506 0.85 1 1 1
862 58.07 0.299 41.052 4.6045 0.85 1 1 1
863 40.50 0.193 30.354 4.6533 0.85 1 1 1
864 36.36 0.139 30.178 4.2529 0.85 1 1 1
865 41.86 0.220 32.570 4.3506 0.85 1 1 1
866 27.27 0.110 21.689 4.6533 0.85 1 1 1
867 33.30 0.160 22.546 4.6045 0.85 1 1 1
868 46.18 0.229 36.565 4.5459 0.85 1 1 1
869 54.54 0.344 42.245 4.4482 0.85 1 1 1
870 50.92 0.308 38.515 4.3994 0.85 1 1 1
871 41.38 0.211 27.184 4.7510 0.85 1 1 1
872 50.92 0.308 36.303 4.8975 0.85 1 1 1
873 50.92 0.308 31.896 4.6045 0.85 1 1 1
874 43.24 0.196 34.693 4.5459 0.85 1 1 1
875 46.18 0.229 36.685 4.5459 0.85 1 1 1
876 50.92 0.308 31.787 4.6045 0.85 1 1 1
877 50.92 0.308 30.432 4.7021 0.85 1 1 1
878 44.77 0.218 36.636 4.3994 0.85 1 1 1
879 33.30 0.160 22.422 4.6045 0.85 1 1 1
880 50.92 0.308 28.988 4.8486 0.85 1 1 1
881 19.38 0.070 14.214 4.7998 0.85 1 1 1
882 50.92 0.308 40.997 4.7021 0.85 1 1 1
883 41.42 0.187 32.694 4.3994 0.85 1 1 1
884 51.76 0.346 26.944 4.7021 0.85 1 1 1
885 44.77 0.218 36.241 4.3994 0.85 1 1 1
886 47.91 0.251 33.587 4.6045 0.85 1 1 1
887 50.92 0.308 35.596 4.3994 0.85 1 1 1
888 41.86 0.220 32.153 4.3506 0.85 1 1 1
889 47.91 0.251 33.196 4.6045 0.85 1 1 1
890 19.38 0.070 14.347 4.7998 0.85 1 1 1
891 50.92 0.308 36.263 4.8975 0.85 1 1 1
892 40.50 0.193 30.422 4.6533 0.85 1 1 1
893 17.64 0.025 15.743 4.8486 0.85 1 1 1
894 40.50 0.193 30.551 4.6533 0.85 1 1 1
895 50.92 0.308 40.616 4.7021 0.85 1 1 1
896 50.92 0.308 35.378 4.3994 0.85 1 1 1
897 41.86 0.220 32.781 4.3506 0.85 1 1 1
898 55.62 0.366 30.379 4.7021 0.85 1 1 1
899 50.92 0.308 28.745 4.8486 0.85 1 1 1
900 50.92 0.308 36.398 4.8975 0.85 1 1 1
901 17.64 0.025 15.655 4.8486 0.85 1 1 1
902 51.76 0.346 26.773 4.7021 0.85 1 1 1
903 50.92 0.308 30.823 4.6533 0.85 1 1 1
904 17.64 0.025 15.840 4.8486 0.85 1 1 1
905 48.60 0.275 41.532 4.6045 0.85 1 1 1
906 17.64 0.025 15.845 4.8486 0.85 1 1 1
907 48.60 0.275 41.008 4.6045 0.85 1 1 1
908 58.07 0.299 40.976 4.6045 0.85 1 1 1
909 50.92 0.308 31.725 4.6045 0.85 1 1 1
910 50.92 0.308 35.784 4.3994 0.85 1 1 1
911 50.92 0.308 31.560 4.5459 0.85 1 1 1
912 40.50 0.193 30.289 4.6533 0.85 1 1 1
913 54.54 0.344 41.787 4.4482 0.85 1 1 1
914 44.27 0.264 29.652 4.7021 0.85 1 1 1
915 41.42 0.187 32.485 4.3994 0.85 1 1 1
916 19.38 0.070 14.368 4.7998 0.85 1 1 1
917 50.92 0.308 40.035 4.7021 0.85 1 1 1
918 50.92 0.308 28.578 4.8486 0.85 1 1 1
919 50.92 0.308 40.237 4.7021 0.85 1 1 1
920 51.76 0.346 26.963 4.7021 0.85 1 1 1
921 25.90 0.103 21.663 4.4971 0.85 1 1 1
922 47.91 0.251 33.519 4.6045 0.85 1 1 1
923 17.64 0.025 15.495 4.8486 0.85 1 1 1
924 50.92 0.308 40.975 4.1455 0.85 1 1 1
925 41.42 0.187 32.788 4.3994 0.85 1 1 1
926 55.62 0.366 30.251 4.7021 0.85 1 1 1
927 40.33 0.207 29.952 4.5459 0.85 1 1 1
928 40.50 0.193 30.559 4.6533 0.85 1 1 1
929 50.92 0.308 34.372 4.5459 0.85 1 1 1
930 55.62 0.366 30.313 4.7021 0.85 1 1 1
931 41.86 0.220 32.226 4.3506 0.85 1 1 1
932 19.38 0.070 14.311 4.7998 0.85 1 1 1
933 31.79 0.116 24.557 4.7998 0.85 1 1 1
934 38.50 0.184 27.280 4.6533 0.85 1 1 1
935 27.27 0.110 21.446 4.6533 0.85 1 1 1
936 46.18 0.229 36.806 4.5459 0.85 1 1 1
937 50.92 0.308 30.638 4.7021 0.85 1 1 1
938 38.50 0.184 27.678 4.6533 0.85 1 1 1
939 50.92 0.308 28.842 4.5459 0.85 1 1 1
940 48.60 0.275 41.766 4.6045 0.85 1 1 1
941 40.33 0.207 29.476 4.5459 0.85 1 1 1
942 50.92 0.308 31.635 4.5459 0.85 1 1 1
943 25.90 0.103 21.448 4.4971 0.85 1 1 1
944 43.24 0.196 34.638 4.5459 0.85 1 1 1
945 44.27 0.264 29.363 4.7021 0.85 1 1 1
946 58.07 0.299 40.722 4.6045 0.85 1 1 1
947 50.92 0.308 30.909 4.7021 0.85 1 1 1
948 48.60 0.275 41.419 4.6045 0.85 1 1 1
949 17.64 0.025 15.752 4.8486 0.85 1 1 1
950 41.86 0.220 32.215 4.3506 0.85 1 1 1
951 50.92 0.308 34.504 4.5459 0.85 1 1 1
952 48.60 0.275 41.135 4.6045 0.85 1 1 1
953 50.92 0.308 38.673 4.5459 0.85 1 1 1
954 41.86 0.220 32.640 4.3506 0.85 1 1 1
955 17.64 0.025 15.816 4.8486 0.85 1 1 1
956 19.38 0.070 14.302 4.7998 0.85 1 1 1
957 41.86 0.220 32.289 4.3506 0.85 1 1 1
958 50.92 0.308 38.806 4.5459 0.85 1 1 1
959 50.92 0.308 31.745 4.6045 0.85 1 1 1
960 31.79 0.116 24.645 4.7998 0.85 1 1 1
961 41.38 0.211 27.247 4.7510 0.85 1 1 1
962 25.90 0.103 21.591 4.4971 0.85 1 1 1
963 43.24 0.196 34.593 4.5459 0.85 1 1 1
964 38.50 0.184 27.403 4.6533 0.85 1 1 1
965 57.87 0.362 46.527 4.5459 0.85 1 1 1
966 41.86 0.220 32.632 4.3506 0.85 1 1 1
967 50.92 0.308 35.908 4.6533 0.85 1 1 1
968 36.36 0.139 29.198 4.2529 0.85 1 1 1
969 27.27 0.110 21.545 4.6533 0.85 1 1 1
970 50.92 0.308 36.744 4.8975 0.85 1 1 1
971 46.18 0.229 36.383 4.5459 0.85 1 1 1
972 33.30 0.160 22.601 4.6045 0.85 1 1 1
973 31.79 0.116 24.662 4.7998 0.85 1 1 1
974 50.92 0.308 31.554 4.5459 0.85 1 1 1
975 41.86 0.220 32.190 4.3506 0.85 1 1 1
976 44.27 0.264 29.672 4.7021 0.85 1 1 1
977 50.92 0.308 30.743 4.7021 0.85 1 1 1
978 31.79 0.116 24.693 4.7998 0.85 1 1 1
979 46.18 0.229 36.872 4.5459 0.85 1 1 1
980 41.86 0.220 32.492 4.3506 0.85 1 1 1
981 58.07 0.299 40.590 4.6045 0.85 1 1 1
982 50.92 0.308 30.544 4.7021 0.85 1 1 1
983 50.92 0.308 31.698 4.6045 0.85 1 1 1
984 17.64 0.025 15.692 4.8486 0.85 1 1 1
985 25.90 0.103 21.613 4.4971 0.85 1 1 1
986 27.27 0.110 21.307 4.6533 0.85 1 1 1
987 41.42 0.187 32.388 4.3994 0.85 1 1 1
988 50.92 0.308 36.129 4.6533 0.85 1 1 1
989 51.76 0.346 26.997 4.7021 0.85 1 1 1
990 55.62 0.366 30.502 4.7021 0.85 1 1 1
991 57.87 0.362 46.512 4.5459 0.85 1 1 1
992 58.07 0.299 41.074 4.6045 0.85 1 1 1
993 57.87 0.362 46.708 4.5459 0.85 1 1 1
994 41.86 0.220 32.554 4.3506 0.85 1 1 1
995 41.42 0.187 32.465 4.3994 0.85 1 1 1
996 50.92 0.308 36.683 4.8975 0.85 1 1 1
997 46.18 0.229 36.637 4.5459 0.85 1 1 1
998 38.50 0.184 27.626 4.6533 0.85 1 1 1
999 50.92 0.308 36.281 4.6533 0.85 1 1 1
1000 41.38 0.211 27.117 4.7510 0.85 1 1 1
1001 50.92 0.308 37.946 4.4482 0.85 1 1 1
1002 47.91 0.251 33.161 4.6045 0.85 1 1 1
1003 50.92 0.308 29.013 4.8486 0.85 1 1 1
1004 36.36 0.139 30.109 4.2529 0.85 1 1 1
1005 50.92 0.308 28.783 4.5459 0.85 1 1 1
1006 41.86 0.220 32.876 4.3506 0.85 1 1 1
1007 44.27 0.264 29.413 4.7021 0.85 1 1 1
1008 40.33 0.207 30.257 4.5459 0.85 1 1 1
1009 46.18 0.229 36.771 4.5459 0.85 1 1 1
1010 41.86 0.220 32.317 4.3506 0.85 1 1 1
1011 17.64 0.025 15.672 4.8486 0.85 1 1 1
1012 50.92 0.308 31.406 4.6533 0.85 1 1 1
1013 47.91 0.251 33.529 4.6045 0.85 1 1 1
1014 50.92 0.308 36.448 4.8975 0.85 1 1 1
1015 55.62 0.366 30.476 4.7021 0.85 1 1 1
1016 17.64 0.025 15.484 4.8486 0.85 1 1 1
1017 50.92 0.308 30.926 4.7021 0.85 1 1 1
1018 40.50 0.193 30.326 4.6533 0.85 1 1 1
1019 55.62 0.366 30.433 4.7021 0.85 1 1 1
1020 50.92 0.308 35.578 4.6533 0.85 1 1 1
1021 27.27 0.110 21.537 4.6533 0.85 1 1 1
1022 50.92 0.308 31.632 4.5459 0.85 1 1 1
1023 31.79 0.116 24.820 4.7998 0.85 1 1 1
1024 54.54 0.344 41.713 4.4482 0.85 1 1 1
1025 49.23 0.270 37.429 4.6045 0.85 1 1 1
1026 50.92 0.308 32.960 4.6045 0.85 1 1 1
1027 40.50 0.193 30.266 4.6533 0.85 1 1 1
1028 46.18 0.229 36.565 4.5459 0.85 1 1 1
1029 47.91 0.251 33.139 4.6045 0.85 1 1 1
1030 38.50 0.184 27.313 4.6533 0.85 1 1 1
1031 31.79 0.116 24.425 4.7998 0.85 1 1 1
1032 31.79 0.116 24.483 4.7998 0.85 1 1 1
1033 54.04 0.342 41.460 4.1455 0.85 1 1 1
1034 58.07 0.299 41.240 4.6045 0.85 1 1 1
1035 50.92 0.308 40.454 4.1455 0.85 1 1 1
1036 50.92 0.308 28.813 4.5459 0.85 1 1 1
1037 41.86 0.220 32.802 4.3506 0.85 1 1 1
1038 50.92 0.308 33.124 4.6045 0.85 1 1 1
1039 50.92 0.308 34.212 4.5459 0.85 1 1 1
1040 51.76 0.346 26.869 4.7021 0.85 1 1 1
1041 50.92 0.308 40.572 4.7021 0.85 1 1 1
1042 50.92 0.308 34.597 4.5459 0.85 1 1 1
1043 43.24 0.196 34.321 4.5459 0.85 1 1 1
1044 41.86 0.274 21.486 4.6045 0.85 1 1 1
1045 50.92 0.308 31.020 4.6533 0.85 1 1 1
1046 49.23 0.270 37.025 4.6045 0.85 1 1 1
1047 48.60 0.275 41.495 4.6045 0.85 1 1 1
1048 50.92 0.308 29.114 4.8486 0.85 1 1 1
1049 47.91 0.251 33.537 4.6045 0.85 1 1 1
1050 54.22 0.339 31.384 4.4482 0.85 1 1 1
1051 48.60 0.275 41.667 4.6045 0.85 1 1 1
1052 55.62 0.366 30.583 4.7021 0.85 1 1 1
1053 27.27 0.110 21.291 4.6533 0.85 1 1 1
1054 27.27 0.110 21.553 4.6533 0.85 1 1 1
1055 31.79 0.116 24.528 4.7998 0.85 1 1 1
1056 40.50 0.193 30.779 4.6533 0.85 1 1 1
1057 44.27 0.264 29.832 4.7021 0.85 1 1 1
1058 27.27 0.110 21.236 4.6533 0.85 1 1 1
1059 17.64 0.025 15.759 4.8486 0.85 1 1 1
1060 50.92 0.308 40.989 4.1455 0.85 1 1 1
1061 51.76 0.346 27.083 4.7021 0.85 1 1 1
1062 50.92 0.308 31.747 4.6045 0.85 1 1 1
1063 46.18 0.229 36.711 4.5459 0.85 1 1 1
1064 40.33 0.207 30.152 4.5459 0.85 1 1 1
1065 50.92 0.308 32.970 4.6045 0.85 1 1 1
1066 50.92 0.308 29.012 4.5459 0.85 1 1 1
1067 50.92 0.308 31.944 4.5459 0.85 1 1 1
1068 50.92 0.308 38.088 4.5459 0.85 1 1 1
1069 44.77 0.218 36.125 4.3994 0.85 1 1 1
1070 50.92 0.308 28.983 4.8486 0.85 1 1 1
1071 50.92 0.308 31.798 4.6045 0.85 1 1 1
1072 19.38 0.070 14.205 4.7998 0.85 1 1 1
1073 58.07 0.299 40.675 4.6045 0.85 1 1 1
1074 50.92 0.308 28.753 4.8486 0.85 1 1 1
1075 50.92 0.308 29.211 4.5459 0.85 1 1 1
1076 50.92 0.308 35.731 4.3994 0.85 1 1 1
1077 40.33 0.207 29.946 4.5459 0.85 1 1 1
1078 50.92 0.308 31.924 4.6045 0.85 1 1 1
1079 50.92 0.308 30.798 4.7021 0.85 1 1 1
1080 50.92 0.308 30.611 4.7021 0.85 1 1 1
1081 55.62 0.366 30.463 4.7021 0.85 1 1 1
1082 40.33 0.207 30.028 4.5459 0.85 1 1 1
1083 58.07 0.299 40.994 4.6045 0.85 1 1 1
1084 25.90 0.103 21.656 4.4971 0.85 1 1 1
1085 50.92 0.308 31.821 4.5459 0.85 1 1 1
1086 50.92 0.308 40.613 4.7021 0.85 1 1 1
1087 50.92 0.308 31.526 4.5459 0.85 1 1 1
1088 50.92 0.308 36.159 4.6533 0.85 1 1 1
1089 25.90 0.103 21.600 4.4971 0.85 1 1 1
1090 50.92 0.308 36.174 4.8975 0.85 1 1 1
1091 51.76 0.346 27.114 4.7021 0.85 1 1 1
1092 47.91 0.251 33.018 4.6045 0.85 1 1 1
1093 50.92 0.308 35.657 4.3994 0.85 1 1 1
1094 50.92 0.308 28.841 4.5459 0.85 1 1 1
1095 44.27 0.264 29.162 4.7021 0.85 1 1 1
1096 31.79 0.116 24.583 4.7998 0.85 1 1 1
1097 50.92 0.308 31.560 4.6533 0.85 1 1 1
1098 19.38 0.070 14.488 4.7998 0.85 1 1 1
1099 51.76 0.346 27.217 4.7021 0.85 1 1 1
1100 40.33 0.207 30.075 4.5459 0.85 1 1 1
1101 57.87 0.362 46.611 4.5459 0.85 1 1 1
1102 50.92 0.308 38.354 4.3506 0.85 1 1 1
1103 41.86 0.274 21.605 4.6045 0.85 1 1 1
1104 50.92 0.308 28.835 4.5459 0.85 1 1 1
1105 50.92 0.308 35.914 4.8975 0.85 1 1 1
1106 27.27 0.110 21.477 4.6533 0.85 1 1 1
1107 38.50 0.184 27.717 4.6533 0.85 1 1 1
1108 41.86 0.274 21.589 4.6045 0.85 1 1 1
1109 50.92 0.308 38.280 4.4482 0.85 1 1 1
1110 50.92 0.308 36.143 4.6533 0.85 1 1 1
1111 41.42 0.187 32.578 4.3994 0.85 1 1 1
1112 40.50 0.193 30.772 4.6533 0.85 1 1 1
1113 50.92 0.308 40.397 4.7021 0.85 1 1 1
1114 41.86 0.220 32.508 4.3506 0.85 1 1 1
1115 40.33 0.207 30.066 4.5459 0.85 1 1 1
1116 38.50 0.184 27.430 4.6533 0.85 1 1 1
1117 58.07 0.299 41.339 4.6045 0.85 1 1 1
1118 41.42 0.187 32.683 4.3994 0.85 1 1 1
1119 36.36 0.139 30.107 4.2529 0.85 1 1 1
1120 19.38 0.070 14.390 4.7998 0.85 1 1 1
1121 50.92 0.308 31.843 4.5459 0.85 1 1 1
1122 19.38 0.070 14.405 4.7998 0.85 1 1 1
1123 19.38 0.070 14.120 4.7998 0.85 1 1 1
1124 44.77 0.218 36.596 4.3994 0.85 1 1 1
1125 46.18 0.229 36.323 4.5459 0.85 1 1 1
1126 19.38 0.070 14.449 4.7998 0.85 1 1 1
1127 50.92 0.308 29.081 4.5459 0.85 1 1 1
1128 50.92 0.308 31.175 4.6533 0.85 1 1 1
1129 41.86 0.274 21.376 4.6045 0.85 1 1 1
1130 50.92 0.308 29.151 4.5459 0.85 1 1 1
1131 50.92 0.308 31.792 4.5459 0.85 1 1 1
1132 50.92 0.308 30.256 4.7021 0.85 1 1 1
1133 50.92 0.308 40.979 4.1455 0.85 1 1 1
1134 54.22 0.339 31.682 4.4482 0.85 1 1 1
1135 50.92 0.308 28.988 4.5459 0.85 1 1 1
1136 44.27 0.264 29.623 4.7021 0.85 1 1 1
1137 50.92 0.308 31.349 4.6045 0.85 1 1 1
1138 40.33 0.207 30.200 4.5459 0.85 1 1 1
1139 50.92 0.308 31.791 4.5459 0.85 1 1 1
1140 44.77 0.218 36.309 4.3994 0.85 1 1 1
1141 50.92 0.308 31.911 4.6045 0.85 1 1 1
1142 57.87 0.362 45.997 4.5459 0.85 1 1 1
1143 41.42 0.187 31.909 4.3994 0.85 1 1 1
1144 41.38 0.211 27.128 4.7510 0.85 1 1 1
1145 50.92 0.308 28.841 4.5459 0.85 1 1 1
1146 41.86 0.220 32.355 4.3506 0.85 1 1 1
1147 50.92 0.308 30.763 4.7021 0.85 1 1 1
1148 43.24 0.196 34.463 4.5459 0.85 1 1 1
1149 50.92 0.308 29.314 4.5459 0.85 1 1 1
1150 38.50 0.184 27.226 4.6533 0.85 1 1 1
1151 41.86 0.220 32.544 4.3506 0.85 1 1 1
1152 50.92 0.308 34.593 4.5459 0.85 1 1 1
1153 25.90 0.103 21.681 4.4971 0.85 1 1 1
1154 50.92 0.308 35.678 4.3994 0.85 1 1 1
1155 57.87 0.362 45.968 4.5459 0.85 1 1 1
1156 50.92 0.308 36.817 4.8975 0.85 1 1 1
1157 41.86 0.274 21.799 4.6045 0.85 1 1 1
1158 44.77 0.218 36.324 4.3994 0.85 1 1 1
1159 50.92 0.308 31.386 4.6045 0.85 1 1 1
1160 50.92 0.308 40.298 4.7021 0.85 1 1 1
1161 49.23 0.270 37.504 4.6045 0.85 1 1 1
1162 17.64 0.025 15.843 4.8486 0.85 1 1 1
1163 44.77 0.218 36.205 4.3994 0.85 1 1 1
1164 40.33 0.207 30.107 4.5459 0.85 1 1 1
1165 40.33 0.207 30.012 4.5459 0.85 1 1 1
1166 50.92 0.308 36.836 4.8975 0.85 1 1 1
1167 50.92 0.308 28.899 4.5459 0.85 1 1 1
1168 31.79 0.116 24.633 4.7998 0.85 1 1 1
1169 54.04 0.342 41.523 4.1455 0.85 1 1 1
1170 50.92 0.308 31.228 4.6533 0.85 1 1 1
1171 44.27 0.264 29.507 4.7021 0.85 1 1 1
1172 41.38 0.211 27.496 4.7510 0.85 1 1 1
1173 43.24 0.196 34.584 4.5459 0.85 1 1 1
1174 27.27 0.110 21.506 4.6533 0.85 1 1 1
1175 40.33 0.207 30.268 4.5459 0.85 1 1 1
1176 50.92 0.308 36.638 4.8975 0.85 1 1 1
1177 50.92 0.308 31.847 4.5459 0.85 1 1 1
1178 47.91 0.251 33.046 4.6045 0.85 1 1 1
1179 50.92 0.308 39.097 4.5459 0.85 1 1 1
1180 49.23 0.270 37.775 4.6045 0.85 1 1 1
1181 31.79 0.116 24.795 4.7998 0.85 1 1 1
1182 50.92 0.308 29.105 4.8486 0.85 1 1 1
1183 41.86 0.220 32.700 4.3506 0.85 1 1 1
1184 50.92 0.308 36.436 4.6533 0.85 1 1 1
1185 31.79 0.116 24.473 4.7998 0.85 1 1 1
1186 41.38 0.211 27.343 4.7510 0.85 1 1 1
1187 50.92 0.308 36.307 4.8975 0.85 1 1 1
1188 50.92 0.308 34.320 4.5459 0.85 1 1 1
1189 50.92 0.308 36.647 4.8975 0.85 1 1 1
1190 50.92 0.308 40.707 4.7021 0.85 1 1 1
1191 54.22 0.339 31.198 4.4482 0.85 1 1 1
1192 41.38 0.211 26.959 4.7510 0.85 1 1 1
1193 25.90 0.103 21.472 4.4971 0.85 1 1 1
1194 50.92 0.308 29.061 4.8486 0.85 1 1 1
1195 40.50 0.193 30.590 4.6533 0.85 1 1 1
1196 38.50 0.184 27.492 4.6533 0.85 1 1 1
1197 50.92 0.308 38.719 4.3506 0.85 1 1 1
1198 48.60 0.275 41.753 4.6045 0.85 1 1 1
1199 50.92 0.308 29.287 4.5459 0.85 1 1 1
1200 50.92 0.308 30.664 4.7021 0.85 1 1 1
1201 50.92 0.308 38.820 4.5459 0.85 1 1 1
1202 41.38 0.211 27.344 4.7510 0.85 1 1 1
1203 50.92 0.308 28.959 4.8486 0.85 1 1 1
1204 48.60 0.275 41.092 4.6045 0.85 1 1 1
1205 50.92 0.308 31.321 4.6533 0.85 1 1 1
1206 33.30 0.160 22.371 4.6045 0.85 1 1 1
1207 50.92 0.308 29.075 4.5459 0.85 1 1 1
1208 41.38 0.211 27.270 4.7510 0.85 1 1 1
1209 51.76 0.346 26.936 4.7021 0.85 1 1 1
1210 47.91 0.251 33.323 4.6045 0.85 1 1 1
1211 31.79 0.116 24.619 4.7998 0.85 1 1 1
1212 48.60 0.275 41.727 4.6045 0.85 1 1 1
1213 50.92 0.308 30.933 4.7021 0.85 1 1 1
1214 46.18 0.229 36.718 4.5459 0.85 1 1 1
1215 44.77 0.218 36.158 4.3994 0.85 1 1 1
1216 48.60 0.275 40.748 4.6045 0.85 1 1 1
1217 55.62 0.366 30.263 4.7021 0.85 1 1 1
1218 49.23 0.270 37.829 4.6045 0.85 1 1 1
1219 50.92 0.308 28.685 4.5459 0.85 1 1 1
1220 54.22 0.339 31.468 4.4482 0.85 1 1 1
1221 17.64 0.025 15.822 4.8486 0.85 1 1 1
1222 36.36 0.139 29.833 4.2529 0.85 1 1 1
1223 50.92 0.308 38.449 4.4482 0.85 1 1 1
1224 50.92 0.308 29.147 4.8486 0.85 1 1 1
1225 46.18 0.229 36.748 4.5459 0.85 1 1 1
1226 51.76 0.346 26.884 4.7021 0.85 1 1 1
1227 50.92 0.308 31.630 4.6045 0.85 1 1 1
1228 55.62 0.366 30.249 4.7021 0.85 1 1 1
1229 41.42 0.187 32.740 4.3994 0.85 1 1 1
1230 27.27 0.110 21.478 4.6533 0.85 1 1 1
1231 41.86 0.274 21.532 4.6045 0.85 1 1 1
1232 41.86 0.220 32.603 4.3506 0.85 1 1 1
1233 50.92 0.308 31.803 4.6045 0.85 1 1 1
1234 50.92 0.308 28.701 4.8486 0.85 1 1 1
1235 36.36 0.139 29.972 4.2529 0.85 1 1 1
1236 50.92 0.308 31.918 4.6045 0.85 1 1 1
1237 50.92 0.308 38.174 4.4482 0.85 1 1 1
1238 41.42 0.187 32.741 4.3994 0.85 1 1 1
1239 40.33 0.207 29.670 4.5459 0.85 1 1 1
1240 47.91 0.251 33.593 4.6045 0.85 1 1 1
1241 50.92 0.308 38.338 4.3994 0.85 1 1 1
1242 40.33 0.207 30.180 4.5459 0.85 1 1 1
1243 40.50 0.193 30.422 4.6533 0.85 1 1 1
1244 47.91 0.251 33.447 4.6045 0.85 1 1 1
1245 31.79 0.116 24.707 4.7998 0.85 1 1 1
1246 57.87 0.362 45.758 4.5459 0.85 1 1 1
1247 50.92 0.308 40.725 4.7021 0.85 1 1 1
1248 51.76 0.346 27.128 4.7021 0.85 1 1 1
1249 54.54 0.344 42.000 4.4482 0.85 1 1 1
1250 50.92 0.308 38.543 4.3506 0.85 1 1 1
1251 50.92 0.308 33.234 4.6045 0.85 1 1 1
1252 40.50 0.193 30.438 4.6533 0.85 1 1 1
1253 51.76 0.346 27.061 4.7021 0.85 1 1 1
1254 50.92 0.308 31.831 4.6045 0.85 1 1 1
1255 44.27 0.264 29.728 4.7021 0.85 1 1 1
1256 50.92 0.308 29.207 4.5459 0.85 1 1 1
1257 33.30 0.160 22.524 4.6045 0.85 1 1 1
1258 50.92 0.308 31.782 4.5459 0.85 1 1 1
1259 36.36 0.139 29.583 4.2529 0.85 1 1 1
1260 50.92 0.308 28.963 4.5459 0.85 1 1 1
1261 58.07 0.299 40.763 4.6045 0.85 1 1 1
1262 47.91 0.251 33.390 4.6045 0.85 1 1 1
1263 48.60 0.275 41.558 4.6045 0.85 1 1 1
1264 50.92 0.308 36.324 4.6533 0.85 1 1 1
1265 19.38 0.070 14.303 4.7998 0.85 1 1 1
1266 50.92 0.308 40.924 4.1455 0.85 1 1 1
1267 19.38 0.070 14.374 4.7998 0.85 1 1 1
1268 54.04 0.342 41.674 4.1455 0.85 1 1 1
1269 38.50 0.184 27.533 4.6533 0.85 1 1 1
1270 50.92 0.308 36.538 4.8975 0.85 1 1 1
1271 50.92 0.308 31.540 4.5459 0.85 1 1 1
1272 41.42 0.187 32.292 4.3994 0.85 1 1 1
1273 50.92 0.308 28.978 4.8486 0.85 1 1 1
1274 51.76 0.346 27.034 4.7021 0.85 1 1 1
1275 50.92 0.308 28.899 4.8486 0.85 1 1 1
1276 36.36 0.139 29.806 4.2529 0.85 1 1 1
1277 50.92 0.308 36.062 4.6533 0.85 1 1 1
1278 48.60 0.275 41.258 4.6045 0.85 1 1 1
1279 49.23 0.270 37.029 4.6045 0.85 1 1 1
1280 38.50 0.184 27.440 4.6533 0.85 1 1 1
1281 50.92 0.308 33.194 4.6045 0.85 1 1 1
1282 58.07 0.299 40.943 4.6045 0.85 1 1 1
1283 57.87 0.362 45.661 4.5459 0.85 1 1 1
1284 54.22 0.339 31.027 4.4482 0.85 1 1 1
1285 51.76 0.346 26.841 4.7021 0.85 1 1 1
1286 19.38 0.070 14.281 4.7998 0.85 1 1 1
1287 50.92 0.308 28.956 4.5459 0.85 1 1 1
1288 44.77 0.218 36.001 4.3994 0.85 1 1 1
1289 50.92 0.308 31.367 4.5459 0.85 1 1 1
1290 19.38 0.070 14.280 4.7998 0.85 1 1 1
1291 54.54 0.344 41.862 4.4482 0.85 1 1 1
1292 51.76 0.346 26.994 4.7021 0.85 1 1 1
1293 41.86 0.274 21.650 4.6045 0.85 1 1 1
1294 47.91 0.251 33.569 4.6045 0.85 1 1 1
1295 41.42 0.187 32.645 4.3994 0.85 1 1 1
1296 50.92 0.308 31.196 4.6533 0.85 1 1 1
1297 54.22 0.339 31.593 4.4482 0.85 1 1 1
1298 48.60 0.275 41.033 4.6045 0.85 1 1 1
1299 41.86 0.274 21.487 4.6045 0.85 1 1 1
1300 50.92 0.308 31.502 4.6533 0.85 1 1 1
1301 50.92 0.308 30.056 4.7021 0.85 1 1 1
1302 50.92 0.308 34.731 4.5459 0.85 1 1 1
1303 50.92 0.308 32.806 4.6045 0.85 1 1 1
1304 48.60 0.275 41.303 4.6045 0.85 1 1 1
1305 27.27 0.110 21.711 4.6533 0.85 1 1 1
1306 40.33 0.207 30.094 4.5459 0.85 1 1 1
1307 48.60 0.275 41.037 4.6045 0.85 1 1 1
1308 54.54 0.344 41.593 4.4482 0.85 1 1 1
1309 17.64 0.025 15.738 4.8486 0.85 1 1 1
1310 50.92 0.308 36.683 4.8975 0.85 1 1 1
1311 50.92 0.308 36.303 4.6533 0.85 1 1 1
1312 55.62 0.366 30.168 4.7021 0.85 1 1 1
1313 50.92 0.308 34.496 4.5459 0.85 1 1 1
1314 46.18 0.229 36.709 4.5459 0.85 1 1 1
1315 54.54 0.344 41.419 4.4482 0.85 1 1 1
1316 50.92 0.308 30.496 4.7021 0.85 1 1 1
1317 50.92 0.308 34.868 4.5459 0.85 1 1 1
1318 55.62 0.366 30.172 4.7021 0.85 1 1 1
1319 46.18 0.229 36.297 4.5459 0.85 1 1 1
1320 54.54 0.344 41.985 4.4482 0.85 1 1 1
1321 50.92 0.308 35.779 4.6533 0.85 1 1 1
1322 50.92 0.308 29.290 4.8486 0.85 1 1 1
1323 50.92 0.308 38.418 4.5459 0.85 1 1 1
1324 49.23 0.270 37.594 4.6045 0.85 1 1 1
1325 50.92 0.308 41.197 4.1455 0.85 1 1 1
1326 50.92 0.308 40.353 4.7021 0.85 1 1 1
1327 50.92 0.308 31.911 4.6045 0.85 1 1 1
1328 47.91 0.251 33.511 4.6045 0.85 1 1 1
1329 40.33 0.207 30.000 4.5459 0.85 1 1 1
1330 50.92 0.308 38.477 4.3506 0.85 1 1 1
1331 57.87 0.362 46.189 4.5459 0.85 1 1 1
1332 55.62 0.366 30.162 4.7021 0.85 1 1 1
1333 50.92 0.308 33.170 4.6045 0.85 1 1 1
1334 58.07 0.299 41.264 4.6045 0.85 1 1 1
1335 44.27 0.264 29.576 4.7021 0.85 1 1 1
1336 50.92 0.308 30.705 4.7021 0.85 1 1 1
1337 50.92 0.308 31.758 4.6045 0.85 1 1 1
1338 54.04 0.342 41.513 4.1455 0.85 1 1 1
1339 51.76 0.346 27.332 4.7021 0.85 1 1 1
1340 17.64 0.025 15.814 4.8486 0.85 1 1 1
1341 43.24 0.196 34.096 4.5459 0.85 1 1 1
1342 50.92 0.308 37.857 4.5459 0.85 1 1 1
1343 50.92 0.308 29.169 4.5459 0.85 1 1 1
1344 50.92 0.308 29.122 4.8486 0.85 1 1 1
1345 41.38 0.211 26.954 4.7510 0.85 1 1 1
1346 57.87 0.362 46.133 4.5459 0.85 1 1 1
1347 31.79 0.116 24.329 4.7998 0.85 1 1 1
1348 58.07 0.299 40.889 4.6045 0.85 1 1 1
1349 31.79 0.116 24.609 4.7998 0.85 1 1 1
1350 31.79 0.116 24.853 4.7998 0.85 1 1 1
1351 50.92 0.308 38.799 4.3506 0.85 1 1 1
1352 50.92 0.308 31.761 4.6045 0.85 1 1 1
1353 47.91 0.251 32.849 4.6045 0.85 1 1 1
1354 41.38 0.211 26.980 4.7510 0.85 1 1 1
1355 17.64 0.025 15.676 4.8486 0.85 1 1 1
1356 19.38 0.070 14.310 4.7998 0.85 1 1 1
1357 51.76 0.346 27.239 4.7021 0.85 1 1 1
1358 50.92 0.308 31.946 4.6045 0.85 1 1 1
1359 36.36 0.139 30.108 4.2529 0.85 1 1 1
1360 50.92 0.308 31.495 4.6533 0.85 1 1 1
1361 41.86 0.274 21.617 4.6045 0.85 1 1 1
1362 33.30 0.160 22.399 4.6045 0.85 1 1 1
1363 50.92 0.308 32.949 4.6045 0.85 1 1 1
1364 50.92 0.308 36.146 4.6533 0.85 1 1 1
1365 50.92 0.308 38.729 4.5459 0.85 1 1 1
1366 58.07 0.299 41.227 4.6045 0.85 1 1 1
1367 27.27 0.110 21.231 4.6533 0.85 1 1 1
1368 44.27 0.264 29.609 4.7021 0.85 1 1 1
1369 40.33 0.207 29.990 4.5459 0.85 1 1 1
1370 50.92 0.308 36.048 4.6533 0.85 1 1 1
1371 50.92 0.308 33.112 4.6045 0.85 1 1 1
1372 50.92 0.308 29.126 4.5459 0.85 1 1 1
1373 50.92 0.308 38.851 4.5459 0.85 1 1 1
1374 41.86 0.220 32.497 4.3506 0.85 1 1 1
1375 50.92 0.308 40.781 4.1455 0.85 1 1 1
1376 46.18 0.229 36.726 4.5459 0.85 1 1 1
1377 50.92 0.308 36.537 4.8975 0.85 1 1 1
1378 43.24 0.196 34.731 4.5459 0.85 1 1 1
1379 50.92 0.308 38.446 4.4482 0.85 1 1 1
1380 43.24 0.196 34.869 4.5459 0.85 1 1 1
1381 40.33 0.207 29.928 4.5459 0.85 1 1 1
1382 41.38 0.211 26.876 4.7510 0.85 1 1 1
1383 50.92 0.308 36.284 4.8975 0.85 1 1 1
1384 31.79 0.116 24.343 4.7998 0.85 1 1 1
1385 44.27 0.264 29.884 4.7021 0.85 1 1 1
1386 50.92 0.308 36.312 4.8975 0.85 1 1 1
1387 50.92 0.308 36.999 4.8975 0.85 1 1 1
1388 19.38 0.070 14.431 4.7998 0.85 1 1 1
1389 25.90 0.103 21.614 4.4971 0.85 1 1 1
1390 17.64 0.025 15.737 4.8486 0.85 1 1 1
1391 54.22 0.339 31.025 4.4482 0.85 1 1 1
1392 33.30 0.160 22.501 4.6045 0.85 1 1 1
1393 50.92 0.308 30.982 4.6533 0.85 1 1 1
1394 50.92 0.308 31.829 4.6045 0.85 1 1 1
1395 50.92 0.308 35.767 4.6533 0.85 1 1 1
1396 41.38 0.211 27.186 4.7510 0.85 1 1 1
1397 41.38 0.211 27.203 4.7510 0.85 1 1 1
1398 44.27 0.264 29.502 4.7021 0.85 1 1 1
1399 50.92 0.308 38.267 4.4482 0.85 1 1 1
1400 50.92 0.308 36.577 4.8975 0.85 1 1 1
1401 50.92 0.308 31.713 4.5459 0.85 1 1 1
1402 50.92 0.308 36.183 4.6533 0.85 1 1 1
1403 49.23 0.270 37.138 4.6045 0.85 1 1 1
1404 54.04 0.342 41.603 4.1455 0.85 1 1 1
1405 50.92 0.308 38.153 4.5459 0.85 1 1 1
1406 50.92 0.308 28.730 4.5459 0.85 1 1 1
1407 54.22 0.339 31.366 4.4482 0.85 1 1 1
1408 46.18 0.229 36.003 4.5459 0.85 1 1 1
1409 41.86 0.274 21.664 4.6045 0.85 1 1 1
1410 58.07 0.299 41.271 4.6045 0.85 1 1 1
1411 40.50 0.193 30.366 4.6533 0.85 1 1 1
1412 40.50 0.193 30.616 4.6533 0.85 1 1 1
1413 50.92 0.308 28.816 4.8486 0.85 1 1 1
1414 41.38 0.211 27.184 4.7510 0.85 1 1 1
1415 50.92 0.308 31.814 4.5459 0.85 1 1 1
1416 50.92 0.308 38.920 4.5459 0.85 1 1 1
1417 41.42 0.187 32.934 4.3994 0.85 1 1 1
1418 55.62 0.366 30.515 4.7021 0.85 1 1 1
1419 44.77 0.218 36.703 4.3994 0.85 1 1 1
1420 41.42 0.187 32.830 4.3994 0.85 1 1 1
1421 50.92 0.308 37.998 4.3994 0.85 1 1 1
1422 50.92 0.308 29.313 4.8486 0.85 1 1 1
1423 50.92 0.308 38.497 4.4482 0.85 1 1 1
1424 31.79 0.116 24.817 4.7998 0.85 1 1 1
1425 57.87 0.362 46.355 4.5459 0.85 1 1 1
1426 36.36 0.139 29.784 4.2529 0.85 1 1 1
1427 55.62 0.366 30.160 4.7021 0.85 1 1 1
1428 54.04 0.342 41.474 4.1455 0.85 1 1 1
1429 50.92 0.308 40.935 4.7021 0.85 1 1 1
1430 58.07 0.299 40.101 4.6045 0.85 1 1 1
1431 40.33 0.207 29.898 4.5459 0.85 1 1 1
1432 51.76 0.346 27.291 4.7021 0.85 1 1 1
1433 46.18 0.229 36.762 4.5459 0.85 1 1 1
1434 51.76 0.346 27.098 4.7021 0.85 1 1 1
1435 27.27 0.110 21.613 4.6533 0.85 1 1 1
1436 50.92 0.308 29.163 4.8486 0.85 1 1 1
1437 55.62 0.366 30.612 4.7021 0.85 1 1 1
1438 50.92 0.308 31.605 4.6045 0.85 1 1 1
1439 50.92 0.308 31.556 4.5459 0.85 1 1 1
1440 54.22 0.339 31.552 4.4482 0.85 1 1 1
1441 50.92 0.308 36.353 4.8975 0.85 1 1 1
1442 50.92 0.308 39.073 4.5459 0.85 1 1 1
1443 31.79 0.116 24.678 4.7998 0.85 1 1 1
1444 31.79 0.116 24.378 4.7998 0.85 1 1 1
1445 50.92 0.308 29.106 4.8486 0.85 1 1 1
1446 17.64 0.025 15.772 4.8486 0.85 1 1 1
1447 50.92 0.308 38.653 4.5459 0.85 1 1 1
1448 50.92 0.308 38.654 4.4482 0.85 1 1 1
1449 50.92 0.308 28.754 4.8486 0.85 1 1 1
1450 46.18 0.229 36.830 4.5459 0.85 1 1 1
1451 41.86 0.220 32.282 4.3506 0.85 1 1 1
1452 49.23 0.270 37.821 4.6045 0.85 1 1 1
1453 46.18 0.229 36.838 4.5459 0.85 1 1 1
1454 50.92 0.308 38.290 4.4482 0.85 1 1 1
1455 43.24 0.196 34.555 4.5459 0.85 1 1 1
1456 38.50 0.184 27.542 4.6533 0.85 1 1 1
1457 27.27 0.110 21.550 4.6533 0.85 1 1 1
1458 46.18 0.229 36.296 4.5459 0.85 1 1 1
1459 41.38 0.211 26.860 4.7510 0.85 1 1 1
1460 41.42 0.187 32.541 4.3994 0.85 1 1 1
1461 40.33 0.207 29.812 4.5459 0.85 1 1 1
1462 50.92 0.308 38.428 4.3506 0.85 1 1 1
1463 31.79 0.116 24.694 4.7998 0.85 1 1 1
1464 46.18 0.229 36.533 4.5459 0.85 1 1 1
1465 50.92 0.308 31.705 4.6045 0.85 1 1 1
1466 40.50 0.193 30.403 4.6533 0.85 1 1 1
1467 33.30 0.160 22.271 4.6045 0.85 1 1 1
1468 51.76 0.346 27.328 4.7021 0.85 1 1 1
1469 50.92 0.308 29.229 4.8486 0.85 1 1 1
1470 50.92 0.308 35.949 4.6533 0.85 1 1 1
1471 50.92 0.308 40.925 4.7021 0.85 1 1 1
1472 50.92 0.308 32.632 4.6045 0.85 1 1 1
1473 50.92 0.308 36.623 4.8975 0.85 1 1 1
1474 36.36 0.139 29.833 4.2529 0.85 1 1 1
1475 50.92 0.308 32.513 4.6045 0.85 1 1 1
1476 17.64 0.025 15.784 4.8486 0.85 1 1 1
1477 31.79 0.116 24.552 4.7998 0.85 1 1 1
1478 41.42 0.187 32.270 4.3994 0.85 1 1 1
1479 50.92 0.308 30.709 4.7021 0.85 1 1 1
1480 46.18 0.229 36.422 4.5459 0.85 1 1 1
1481 51.76 0.346 27.301 4.7021 0.85 1 1 1
1482 50.92 0.308 38.643 4.5459 0.85 1 1 1
1483 54.04 0.342 41.580 4.1455 0.85 1 1 1
1484 50.92 0.308 32.001 4.6045 0.85 1 1 1
1485 50.92 0.308 30.824 4.7021 0.85 1 1 1
1486 54.04 0.342 41.380 4.1455 0.85 1 1 1
1487 31.79 0.116 24.447 4.7998 0.85 1 1 1
1488 40.33 0.207 30.276 4.5459 0.85 1 1 1
1489 40.33 0.207 30.001 4.5459 0.85 1 1 1
1490 50.92 0.308 38.815 4.3506 0.85 1 1 1
1491 57.87 0.362 46.131 4.5459 0.85 1 1 1
1492 50.92 0.308 31.235 4.6533 0.85 1 1 1
1493 33.30 0.160 22.344 4.6045 0.85 1 1 1
1494 50.92 0.308 36.200 4.6533 0.85 1 1 1
1495 57.87 0.362 46.420 4.5459 0.85 1 1 1
1496 31.79 0.116 24.564 4.7998 0.85 1 1 1
1497 44.27 0.264 29.841 4.7021 0.85 1 1 1
1498 33.30 0.160 22.526 4.6045 0.85 1 1 1
1499 50.92 0.308 31.312 4.6533 0.85 1 1 1
1500 19.38 0.070 14.393 4.7998 0.85 1 1 1
1501 19.38 0.070 14.264 4.7998 0.85 1 1 1
1502 40.50 0.193 30.530 4.6533 0.85 1 1 1
1503 54.54 0.344 41.278 4.4482 0.85 1 1 1
1504 49.23 0.270 37.246 4.6045 0.85 1 1 1
1505 49.23 0.270 37.649 4.6045 0.85 1 1 1
1506 50.92 0.308 32.808 4.6045 0.85 1 1 1
1507 44.77 0.218 35.827 4.3994 0.85 1 1 1
1508 50.92 0.308 36.894 4.8975 0.85 1 1 1
1509 50.92 0.308 31.623 4.5459 0.85 1 1 1
1510 50.92 0.308 37.936 4.4482 0.85 1 1 1
1511 17.64 0.025 15.546 4.8486 0.85 1 1 1
1512 50.92 0.308 31.812 4.6045 0.85 1 1 1
1513 51.76 0.346 27.339 4.7021 0.85 1 1 1
1514 44.27 0.264 29.509 4.7021 0.85 1 1 1
1515 47.91 0.251 33.586 4.6045 0.85 1 1 1
1516 54.54 0.344 42.329 4.4482 0.85 1 1 1
1517 54.22 0.339 31.133 4.4482 0.85 1 1 1
1518 44.27 0.264 29.712 4.7021 0.85 1 1 1
1519 50.92 0.308 35.401 4.3994 0.85 1 1 1
1520 44.27 0.264 29.900 4.7021 0.85 1 1 1
1521 50.92 0.308 29.208 4.8486 0.85 1 1 1
1522 50.92 0.308 29.009 4.5459 0.85 1 1 1
1523 27.27 0.110 21.443 4.6533 0.85 1 1 1
1524 48.60 0.275 40.905 4.6045 0.85 1 1 1
1525 50.92 0.308 31.732 4.6533 0.85 1 1 1
1526 50.92 0.308 38.026 4.3994 0.85 1 1 1
1527 55.62 0.366 30.287 4.7021 0.85 1 1 1
1528 50.92 0.308 34.742 4.5459 0.85 1 1 1
1529 17.64 0.025 15.748 4.8486 0.85 1 1 1
1530 50.92 0.308 38.773 4.3506 0.85 1 1 1
1531 50.92 0.308 36.478 4.8975 0.85 1 1 1
1532 41.86 0.220 32.598 4.3506 0.85 1 1 1
1533 50.92 0.308 28.912 4.5459 0.85 1 1 1
1534 44.77 0.218 36.581 4.3994 0.85 1 1 1
1535 17.64 0.025 15.532 4.8486 0.85 1 1 1
1536 17.64 0.025 15.701 4.8486 0.85 1 1 1
1537 27.27 0.110 21.533 4.6533 0.85 1 1 1
1538 51.76 0.346 27.044 4.7021 0.85 1 1 1
1539 50.92 0.308 34.924 4.5459 0.85 1 1 1
1540 44.77 0.218 36.296 4.3994 0.85 1 1 1
1541 50.92 0.308 38.397 4.4482 0.85 1 1 1
1542 47.91 0.251 33.200 4.6045 0.85 1 1 1
1543 50.92 0.308 38.840 4.5459 0.85 1 1 1
1544 41.86 0.220 32.697 4.3506 0.85 1 1 1
1545 50.92 0.308 36.414 4.8975 0.85 1 1 1
1546 50.92 0.308 36.400 4.6533 0.85 1 1 1
1547 25.90 0.103 21.413 4.4971 0.85 1 1 1
1548 27.27 0.110 21.506 4.6533 0.85 1 1 1
1549 50.92 0.308 36.853 4.8975 0.85 1 1 1
1550 17.64 0.025 15.722 4.8486 0.85 1 1 1
1551 50.92 0.308 36.334 4.6533 0.85 1 1 1
1552 50.92 0.308 36.881 4.8975 0.85 1 1 1
1553 50.92 0.308 36.052 4.6533 0.85 1 1 1
1554 50.92 0.308 38.872 4.5459 0.85 1 1 1
1555 43.24 0.196 34.772 4.5459 0.85 1 1 1
1556 50.92 0.308 29.160 4.8486 0.85 1 1 1
1557 54.04 0.342 41.901 4.1455 0.85 1 1 1
1558 54.54 0.344 42.131 4.4482 0.85 1 1 1
1559 41.42 0.187 32.785 4.3994 0.85 1 1 1
1560 31.79 0.116 24.579 4.7998 0.85 1 1 1
1561 25.90 0.103 21.380 4.4971 0.85 1 1 1
1562 51.76 0.346 26.973 4.7021 0.85 1 1 1
1563 54.22 0.339 31.304 4.4482 0.85 1 1 1
1564 50.92 0.308 31.239 4.6533 0.85 1 1 1
1565 50.92 0.308 34.641 4.5459 0.85 1 1 1
1566 46.18 0.229 36.927 4.5459 0.85 1 1 1
1567 54.04 0.342 41.433 4.1455 0.85 1 1 1
1568 50.92 0.308 29.230 4.8486 0.85 1 1 1
1569 36.36 0.139 29.710 4.2529 0.85 1 1 1
1570 55.62 0.366 30.399 4.7021 0.85 1 1 1
1571 50.92 0.308 34.141 4.5459 0.85 1 1 1
1572 51.76 0.346 27.012 4.7021 0.85 1 1 1
1573 50.92 0.308 34.547 4.5459 0.85 1 1 1
1574 50.92 0.308 30.474 4.7021 0.85 1 1 1
1575 41.38 0.211 27.066 4.7510 0.85 1 1 1
1576 36.36 0.139 29.767 4.2529 0.85 1 1 1
1577 38.50 0.184 27.596 4.6533 0.85 1 1 1
1578 41.86 0.220 32.671 4.3506 0.85 1 1 1
1579 50.92 0.308 30.823 4.7021 0.85 1 1 1
1580 50.92 0.308 35.314 4.3994 0.85 1 1 1
1581 50.92 0.308 36.086 4.6533 0.85 1 1 1
1582 44.77 0.218 36.185 4.3994 0.85 1 1 1
1583 50.92 0.308 36.433 4.6533 0.85 1 1 1
1584 50.92 0.308 36.829 4.8975 0.85 1 1 1
1585 50.92 0.308 35.844 4.6533 0.85 1 1 1
1586 57.87 0.362 45.774 4.5459 0.85 1 1 1
1587 25.90 0.103 21.638 4.4971 0.85 1 1 1
1588 50.92 0.308 36.926 4.8975 0.85 1 1 1
1589 51.76 0.346 27.287 4.7021 0.85 1 1 1
1590 54.04 0.342 41.798 4.1455 0.85 1 1 1
1591 44.77 0.218 36.370 4.3994 0.85 1 1 1
1592 54.54 0.344 41.985 4.4482 0.85 1 1 1
1593 50.92 0.308 38.697 4.5459 0.85 1 1 1
1594 55.62 0.366 30.391 4.7021 0.85 1 1 1
1595 57.87 0.362 46.264 4.5459 0.85 1 1 1
1596 27.27 0.110 21.482 4.6533 0.85 1 1 1
1597 50.92 0.308 31.807 4.5459 0.85 1 1 1
1598 40.50 0.193 30.315 4.6533 0.85 1 1 1
1599 27.27 0.110 21.340 4.6533 0.85 1 1 1
1600 50.92 0.308 36.010 4.3994 0.85 1 1 1
1601 44.77 0.218 36.240 4.3994 0.85 1 1 1
1602 31.79 0.116 24.231 4.7998 0.85 1 1 1
1603 50.92 0.308 41.020 4.7021 0.85 1 1 1
1604 47.91 0.251 33.382 4.6045 0.85 1 1 1
1605 50.92 0.308 28.796 4.8486 0.85 1 1 1
1606 33.30 0.160 22.625 4.6045 0.85 1 1 1
1607 41.86 0.274 21.334 4.6045 0.85 1 1 1
1608 54.04 0.342 41.820 4.1455 0.85 1 1 1
1609 50.92 0.308 30.461 4.7021 0.85 1 1 1
1610 41.86 0.220 32.578 4.3506 0.85 1 1 1
1611 50.92 0.308 38.485 4.5459 0.85 1 1 1
1612 44.27 0.264 29.467 4.7021 0.85 1 1 1
1613 50.92 0.308 35.950 4.3994 0.85 1 1 1
1614 50.92 0.308 35.442 4.3994 0.85 1 1 1
1615 50.92 0.308 31.469 4.6533 0.85 1 1 1
1616 41.42 0.187 32.400 4.3994 0.85 1 1 1
1617 31.79 0.116 24.809 4.7998 0.85 1 1 1
1618 38.50 0.184 27.055 4.6533 0.85 1 1 1
1619 48.60 0.275 41.155 4.6045 0.85 1 1 1
1620 50.92 0.308 36.112 4.6533 0.85 1 1 1
1621 50.92 0.308 29.216 4.8486 0.85 1 1 1
1622 50.92 0.308 30.691 4.7021 0.85 1 1 1
1623 58.07 0.299 41.324 4.6045 0.85 1 1 1
1624 50.92 0.308 36.374 4.8975 0.85 1 1 1
1625 50.92 0.308 31.737 4.5459 0.85 1 1 1
1626 50.92 0.308 33.068 4.6045 0.85 1 1 1
1627 57.87 0.362 46.122 4.5459 0.85 1 1 1
1628 19.38 0.070 14.179 4.7998 0.85 1 1 1
1629 47.91 0.251 33.349 4.6045 0.85 1 1 1
1630 27.27 0.110 21.498 4.6533 0.85 1 1 1
1631 50.92 0.308 36.442 4.8975 0.85 1 1 1
1632 41.42 0.187 32.612 4.3994 0.85 1 1 1
1633 50.92 0.308 31.967 4.5459 0.85 1 1 1
1634 50.92 0.308 36.677 4.8975 0.85 1 1 1
1635 38.50 0.184 27.668 4.6533 0.85 1 1 1
1636 50.92 0.308 28.943 4.8486 0.85 1 1 1
1637 27.27 0.110 21.635 4.6533 0.85 1 1 1
1638 44.27 0.264 29.460 4.7021 0.85 1 1 1
1639 41.38 0.211 27.279 4.7510 0.85 1 1 1
1640 40.50 0.193 30.030 4.6533 0.85 1 1 1
1641 17.64 0.025 15.708 4.8486 0.85 1 1 1
1642 31.79 0.116 24.674 4.7998 0.85 1 1 1
1643 44.27 0.264 29.790 4.7021 0.85 1 1 1
1644 50.92 0.308 38.419 4.4482 0.85 1 1 1
1645 50.92 0.308 32.952 4.6045 0.85 1 1 1
1646 47.91 0.251 33.139 4.6045 0.85 1 1 1
1647 50.92 0.308 32.559 4.6045 0.85 1 1 1
1648 43.24 0.196 34.324 4.5459 0.85 1 1 1
1649 50.92 0.308 29.231 4.5459 0.85 1 1 1
1650 50.92 0.308 29.114 4.5459 0.85 1 1 1
1651 33.30 0.160 22.552 4.6045 0.85 1 1 1
1652 43.24 0.196 34.590 4.5459 0.85 1 1 1
1653 50.92 0.308 38.080 4.3994 0.85 1 1 1
1654 55.62 0.366 30.461 4.7021 0.85 1 1 1
1655 17.64 0.025 15.770 4.8486 0.85 1 1 1
1656 57.87 0.362 46.357 4.5459 0.85 1 1 1
1657 57.87 0.362 46.137 4.5459 0.85 1 1 1
1658 41.42 0.187 32.922 4.3994 0.85 1 1 1
1659 47.91 0.251 33.528 4.6045 0.85 1 1 1
1660 44.27 0.264 29.427 4.7021 0.85 1 1 1
1661 50.92 0.308 35.717 4.3994 0.85 1 1 1
1662 19.38 0.070 14.315 4.7998 0.85 1 1 1
1663 50.92 0.308 36.561 4.8975 0.85 1 1 1
1664 50.92 0.308 28.666 4.8486 0.85 1 1 1
1665 33.30 0.160 22.435 4.6045 0.85 1 1 1
1666 50.92 0.308 31.861 4.6045 0.85 1 1 1
1667 46.18 0.229 36.805 4.5459 0.85 1 1 1
1668 38.50 0.184 27.242 4.6533 0.85 1 1 1
1669 48.60 0.275 41.362 4.6045 0.85 1 1 1
1670 17.64 0.025 15.555 4.8486 0.85 1 1 1
1671 50.92 0.308 38.687 4.3506 0.85 1 1 1
1672 50.92 0.308 40.527 4.7021 0.85 1 1 1
1673 58.07 0.299 40.665 4.6045 0.85 1 1 1
1674 51.76 0.346 27.143 4.7021 0.85 1 1 1
1675 43.24 0.196 34.960 4.5459 0.85 1 1 1
1676 19.38 0.070 14.461 4.7998 0.85 1 1 1
1677 50.92 0.308 34.624 4.5459 0.85 1 1 1
1678 55.62 0.366 30.229 4.7021 0.85 1 1 1
1679 50.92 0.308 36.373 4.6533 0.85 1 1 1
1680 50.92 0.308 38.447 4.3994 0.85 1 1 1
1681 43.24 0.196 34.710 4.5459 0.85 1 1 1
1682 50.92 0.308 35.710 4.6533 0.85 1 1 1
1683 51.76 0.346 26.988 4.7021 0.85 1 1 1
1684 27.27 0.110 21.655 4.6533 0.85 1 1 1
1685 17.64 0.025 15.744 4.8486 0.85 1 1 1
1686 33.30 0.160 22.395 4.6045 0.85 1 1 1
1687 55.62 0.366 30.298 4.7021 0.85 1 1 1
1688 43.24 0.196 34.450 4.5459 0.85 1 1 1
1689 48.60 0.275 41.564 4.6045 0.85 1 1 1
1690 50.92 0.308 36.579 4.8975 0.85 1 1 1
1691 50.92 0.308 30.612 4.6533 0.85 1 1 1
1692 54.54 0.344 41.876 4.4482 0.85 1 1 1
1693 46.18 0.229 36.673 4.5459 0.85 1 1 1
1694 31.79 0.116 24.760 4.7998 0.85 1 1 1
1695 31.79 0.116 24.510 4.7998 0.85 1 1 1
1696 41.38 0.211 27.044 4.7510 0.85 1 1 1
1697 44.27 0.264 29.927 4.7021 0.85 1 1 1
1698 50.92 0.308 34.458 4.5459 0.85 1 1 1
1699 50.92 0.308 33.159 4.6045 0.85 1 1 1
1700 44.27 0.264 29.702 4.7021 0.85 1 1 1
1701 41.38 0.211 27.000 4.7510 0.85 1 1 1
1702 57.87 0.362 45.884 4.5459 0.85 1 1 1
1703 50.92 0.308 28.648 4.8486 0.85 1 1 1
1704 51.76 0.346 27.089 4.7021 0.85 1 1 1
1705 50.92 0.308 36.795 4.8975 0.85 1 1 1
1706 33.30 0.160 22.495 4.6045 0.85 1 1 1
1707 50.92 0.308 36.376 4.8975 0.85 1 1 1
1708 50.92 0.308 35.769 4.6533 0.85 1 1 1
1709 58.07 0.299 41.080 4.6045 0.85 1 1 1
1710 38.50 0.184 27.248 4.6533 0.85 1 1 1
1711 40.50 0.193 30.732 4.6533 0.85 1 1 1
1712 50.92 0.308 29.192 4.5459 0.85 1 1 1
1713 43.24 0.196 34.644 4.5459 0.85 1 1 1
1714 50.92 0.308 36.100 4.8975 0.85 1 1 1
1715 41.38 0.211 27.345 4.7510 0.85 1 1 1
1716 50.92 0.308 34.859 4.3994 0.85 1 1 1
1717 50.92 0.308 38.271 4.4482 0.85 1 1 1
1718 54.22 0.339 31.427 4.4482 0.85 1 1 1
1719 49.23 0.270 37.634 4.6045 0.85 1 1 1
1720 38.50 0.184 27.392 4.6533 0.85 1 1 1
1721 47.91 0.251 33.421 4.6045 0.85 1 1 1
1722 50.92 0.308 32.057 4.5459 0.85 1 1 1
1723 50.92 0.308 28.863 4.8486 0.85 1 1 1
1724 40.50 0.193 30.388 4.6533 0.85 1 1 1
1725 50.92 0.308 41.075 4.7021 0.85 1 1 1
1726 48.60 0.275 41.707 4.6045 0.85 1 1 1
1727 50.92 0.308 38.433 4.4482 0.85 1 1 1
1728 50.92 0.308 31.590 4.6533 0.85 1 1 1
1729 44.77 0.218 36.611 4.3994 0.85 1 1 1
1730 58.07 0.299 41.377 4.6045 0.85 1 1 1
1731 41.86 0.274 21.703 4.6045 0.85 1 1 1
1732 50.92 0.308 32.013 4.6045 0.85 1 1 1
1733 49.23 0.270 37.622 4.6045 0.85 1 1 1
1734 40.50 0.193 30.391 4.6533 0.85 1 1 1
1735 33.30 0.160 22.468 4.6045 0.85 1 1 1
1736 36.36 0.139 30.137 4.2529 0.85 1 1 1
1737 55.62 0.366 30.273 4.7021 0.85 1 1 1
1738 49.23 0.270 37.496 4.6045 0.85 1 1 1
1739 50.92 0.308 28.990 4.5459 0.85 1 1 1
1740 50.92 0.308 31.553 4.6533 0.85 1 1 1
1741 48.60 0.275 41.326 4.6045 0.85 1 1 1
1742 55.62 0.366 30.191 4.7021 0.85 1 1 1
1743 50.92 0.308 36.903 4.8975 0.85 1 1 1
1744 50.92 0.308 36.918 4.8975 0.85 1 1 1
1745 55.62 0.366 30.159 4.7021 0.85 1 1 1
1746 17.64 0.025 15.543 4.8486 0.85 1 1 1
1747 49.23 0.270 37.451 4.6045 0.85 1 1 1
1748 50.92 0.308 34.215 4.5459 0.85 1 1 1
1749 50.92 0.308 33.132 4.6045 0.85 1 1 1
1750 33.30 0.160 22.473 4.6045 0.85 1 1 1
1751 54.54 0.344 41.773 4.4482 0.85 1 1 1
1752 48.60 0.275 41.454 4.6045 0.85 1 1 1
1753 50.92 0.308 32.883 4.6045 0.85 1 1 1
1754 58.07 0.299 41.085 4.6045 0.85 1 1 1
1755 41.86 0.220 32.844 4.3506 0.85 1 1 1
1756 50.92 0.308 31.561 4.6533 0.85 1 1 1
1757 49.23 0.270 37.674 4.6045 0.85 1 1 1
1758 50.92 0.308 36.151 4.6533 0.85 1 1 1
1759 50.92 0.308 36.024 4.6533 0.85 1 1 1
1760 19.38 0.070 14.173 4.7998 0.85 1 1 1
1761 44.77 0.218 36.422 4.3994 0.85 1 1 1
1762 19.38 0.070 14.394 4.7998 0.85 1 1 1
1763 36.36 0.139 30.010 4.2529 0.85 1 1 1
1764 44.77 0.218 36.282 4.3994 0.85 1 1 1
1765 50.92 0.308 38.152 4.4482 0.85 1 1 1
1766 41.38 0.211 27.466 4.7510 0.85 1 1 1
1767 50.92 0.308 36.538 4.8975 0.85 1 1 1
1768 40.50 0.193 30.038 4.6533 0.85 1 1 1
1769 43.24 0.196 34.858 4.5459 0.85 1 1 1
1770 49.23 0.270 37.726 4.6045 0.85 1 1 1
1771 58.07 0.299 41.293 4.6045 0.85 1 1 1
1772 50.92 0.308 29.028 4.8486 0.85 1 1 1
1773 57.87 0.362 46.583 4.5459 0.85 1 1 1
1774 31.79 0.116 24.741 4.7998 0.85 1 1 1
1775 50.92 0.308 36.390 4.6533 0.85 1 1 1
1776 50.92 0.308 29.077 4.5459 0.85 1 1 1
1777 36.36 0.139 29.653 4.2529 0.85 1 1 1
1778 17.64 0.025 15.441 4.8486 0.85 1 1 1
1779 27.27 0.110 21.405 4.6533 0.85 1 1 1
1780 55.62 0.366 30.588 4.7021 0.85 1 1 1
1781 55.62 0.366 30.044 4.7021 0.85 1 1 1
1782 51.76 0.346 27.116 4.7021 0.85 1 1 1
1783 41.42 0.187 32.945 4.3994 0.85 1 1 1
1784 41.42 0.187 32.724 4.3994 0.85 1 1 1
1785 47.91 0.251 33.467 4.6045 0.85 1 1 1
1786 41.38 0.211 27.355 4.7510 0.85 1 1 1
1787 38.50 0.184 27.472 4.6533 0.85 1 1 1
1788 50.92 0.308 29.157 4.5459 0.85 1 1 1
1789 49.23 0.270 37.735 4.6045 0.85 1 1 1
1790 31.79 0.116 24.678 4.7998 0.85 1 1 1
1791 50.92 0.308 41.124 4.1455 0.85 1 1 1
1792 57.87 0.362 46.178 4.5459 0.85 1 1 1
1793 57.87 0.362 45.428 4.5459 0.85 1 1 1
1794 57.87 0.362 46.330 4.5459 0.85 1 1 1
1795 50.92 0.308 32.644 4.6045 0.85 1 1 1
1796 50.92 0.308 33.343 4.6045 0.85 1 1 1
1797 40.50 0.193 30.370 4.6533 0.85 1 1 1
1798 47.91 0.251 33.177 4.6045 0.85 1 1 1
1799 48.60 0.275 41.318 4.6045 0.85 1 1 1
1800 49.23 0.270 37.608 4.6045 0.85 1 1 1
1801 50.92 0.308 29.206 4.5459 0.85 1 1 1
1802 41.86 0.274 21.704 4.6045 0.85 1 1 1
1803 50.92 0.308 36.019 4.6533 0.85 1 1 1
1804 54.04 0.342 42.097 4.1455 0.85 1 1 1
1805 50.92 0.308 28.965 4.5459 0.85 1 1 1
1806 27.27 0.110 21.385 4.6533 0.85 1 1 1
1807 50.92 0.308 38.572 4.5459 0.85 1 1 1
1808 50.92 0.308 31.285 4.6533 0.85 1 1 1
1809 51.76 0.346 27.271 4.7021 0.85 1 1 1
1810 36.36 0.139 30.204 4.2529 0.85 1 1 1
1811 40.50 0.193 30.127 4.6533 0.85 1 1 1
1812 46.18 0.229 36.781 4.5459 0.85 1 1 1
1813 50.92 0.308 31.382 4.6533 0.85 1 1 1
1814 50.92 0.308 40.871 4.7021 0.85 1 1 1
1815 50.92 0.308 28.589 4.8486 0.85 1 1 1
1816 48.60 0.275 41.252 4.6045 0.85 1 1 1
1817 41.38 0.211 27.258 4.7510 0.85 1 1 1
1818 50.92 0.308 31.464 4.5459 0.85 1 1 1
1819 50.92 0.308 31.704 4.6533 0.85 1 1 1
1820 49.23 0.270 37.583 4.6045 0.85 1 1 1
1821 19.38 0.070 14.208 4.7998 0.85 1 1 1
1822 50.92 0.308 30.457 4.7021 0.85 1 1 1
1823 31.79 0.116 24.615 4.7998 0.85 1 1 1
1824 50.92 0.308 34.650 4.5459 0.85 1 1 1
1825 50.92 0.308 34.832 4.5459 0.85 1 1 1
1826 50.92 0.308 40.449 4.7021 0.85 1 1 1
1827 47.91 0.251 33.241 4.6045 0.85 1 1 1
1828 54.22 0.339 31.164 4.4482 0.85 1 1 1
1829 50.92 0.308 36.182 4.6533 0.85 1 1 1
1830 40.50 0.193 30.172 4.6533 0.85 1 1 1
1831 50.92 0.308 30.844 4.7021 0.85 1 1 1
1832 50.92 0.308 40.994 4.1455 0.85 1 1 1
1833 46.18 0.229 36.539 4.5459 0.85 1 1 1
1834 50.92 0.308 36.468 4.8975 0.85 1 1 1
1835 55.62 0.366 30.027 4.7021 0.85 1 1 1
1836 50.92 0.308 29.290 4.8486 0.85 1 1 1
1837 41.38 0.211 27.446 4.7510 0.85 1 1 1
1838 41.42 0.187 32.803 4.3994 0.85 1 1 1
1839 46.18 0.229 36.616 4.5459 0.85 1 1 1
1840 46.18 0.229 36.670 4.5459 0.85 1 1 1
1841 50.92 0.308 36.603 4.8975 0.85 1 1 1
1842 54.22 0.339 31.555 4.4482 0.85 1 1 1
1843 19.38 0.070 14.387 4.7998 0.85 1 1 1
1844 41.38 0.211 27.335 4.7510 0.85 1 1 1
1845 50.92 0.308 28.876 4.5459 0.85 1 1 1
1846 54.22 0.339 31.598 4.4482 0.85 1 1 1
1847 40.50 0.193 30.387 4.6533 0.85 1 1 1
1848 40.50 0.193 30.486 4.6533 0.85 1 1 1
1849 50.92 0.308 37.838 4.3994 0.85 1 1 1
1850 44.27 0.264 29.606 4.7021 0.85 1 1 1
1851 50.92 0.308 29.091 4.5459 0.85 1 1 1
1852 50.92 0.308 36.925 4.8975 0.85 1 1 1
1853 41.86 0.274 21.576 4.6045 0.85 1 1 1
1854 50.92 0.308 35.985 4.6533 0.85 1 1 1
1855 58.07 0.299 41.310 4.6045 0.85 1 1 1
1856 41.42 0.187 32.057 4.3994 0.85 1 1 1
1857 25.90 0.103 21.555 4.4971 0.85 1 1 1
1858 50.92 0.308 31.449 4.5459 0.85 1 1 1
1859 19.38 0.070 14.329 4.7998 0.85 1 1 1
1860 48.60 0.275 41.843 4.6045 0.85 1 1 1
1861 40.50 0.193 30.250 4.6533 0.85 1 1 1
1862 51.76 0.346 26.996 4.7021 0.85 1 1 1
1863 50.92 0.308 38.419 4.3506 0.85 1 1 1
1864 41.38 0.211 27.331 4.7510 0.85 1 1 1
1865 27.27 0.110 21.409 4.6533 0.85 1 1 1
1866 50.92 0.308 31.416 4.6533 0.85 1 1 1
1867 33.30 0.160 22.148 4.6045 0.85 1 1 1
1868 27.27 0.110 21.441 4.6533 0.85 1 1 1
1869 19.38 0.070 14.486 4.7998 0.85 1 1 1
1870 25.90 0.103 21.720 4.4971 0.85 1 1 1
1871 40.50 0.193 30.463 4.6533 0.85 1 1 1
1872 50.92 0.308 38.559 4.3994 0.85 1 1 1
1873 40.33 0.207 29.768 4.5459 0.85 1 1 1
1874 50.92 0.308 40.663 4.7021 0.85 1 1 1
1875 50.92 0.308 28.884 4.5459 0.85 1 1 1
1876 40.50 0.193 30.473 4.6533 0.85 1 1 1
1877 50.92 0.308 36.539 4.8975 0.85 1 1 1
1878 33.30 0.160 22.418 4.6045 0.85 1 1 1
1879 50.92 0.308 30.674 4.7021 0.85 1 1 1
1880 40.50 0.193 30.388 4.6533 0.85 1 1 1
1881 41.38 0.211 27.282 4.7510 0.85 1 1 1
1882 54.04 0.342 41.410 4.1455 0.85 1 1 1
1883 50.92 0.308 35.910 4.6533 0.85 1 1 1
1884 50.92 0.308 38.805 4.5459 0.85 1 1 1
1885 31.79 0.116 24.647 4.7998 0.85 1 1 1
1886 41.38 0.211 26.920 4.7510 0.85 1 1 1
mult_P mult_N mult_LMA mult_dbhmax dev_wsg age dbh sapwood_area
1 1 1 1 1 0 101.0000 0.104160 1.5577e-03
2 1 1 1 1 0 101.0000 0.347690 2.2436e-02
3 1 1 1 1 0 27.8330 0.070151 1.0540e-03
4 1 1 1 1 0 9.1667 0.012484 1.1755e-04
5 1 1 1 1 0 13.7500 0.022847 2.8034e-04
6 1 1 1 1 0 78.3330 0.064398 9.3303e-04
7 1 1 1 1 0 11.3330 0.035808 5.1925e-04
8 1 1 1 1 0 101.0000 0.160770 8.7476e-03
9 1 1 1 1 0 55.5830 0.044206 6.1585e-04
10 1 1 1 1 0 101.0000 0.236890 5.3986e-03
11 1 1 1 1 0 101.0000 0.214500 8.4630e-03
12 1 1 1 1 0 17.9170 0.068451 2.3457e-03
13 1 1 1 1 0 16.4170 0.010286 8.3029e-05
14 1 1 1 1 0 58.5830 0.027260 3.4965e-04
15 1 1 1 1 0 4.5833 0.010163 8.1102e-05
16 1 1 1 1 0 3.3333 0.013267 1.2985e-04
17 1 1 1 1 0 16.5000 0.032155 4.2655e-04
18 1 1 1 1 0 15.3330 0.047703 6.7077e-04
19 1 1 1 1 0 32.8330 0.059494 2.5959e-03
20 1 1 1 1 0 9.3333 0.014170 1.4404e-04
21 1 1 1 1 0 43.5830 0.043345 6.0233e-04
22 1 1 1 1 0 10.6670 0.039415 9.8142e-04
23 1 1 1 1 0 9.9167 0.033263 7.0054e-04
24 1 1 1 1 0 101.0000 0.115160 2.0689e-03
25 1 1 1 1 0 12.2500 0.012144 1.1223e-04
26 1 1 1 1 0 101.0000 0.475720 4.5722e-02
27 1 1 1 1 0 89.4170 0.069266 1.4410e-03
28 1 1 1 1 0 101.0000 0.264350 1.2435e-02
29 1 1 1 1 0 101.0000 0.079955 1.1774e-03
30 1 1 1 1 0 36.5830 0.075572 2.2933e-03
31 1 1 1 1 0 101.0000 0.513030 5.2733e-02
32 1 1 1 1 0 19.5000 0.012721 1.2128e-04
33 1 1 1 1 0 101.0000 0.335930 2.3620e-02
34 1 1 1 1 0 101.0000 0.244720 1.7865e-02
35 1 1 1 1 0 9.3333 0.035362 4.7692e-04
36 1 1 1 1 0 51.7500 0.059213 1.8214e-03
37 1 1 1 1 0 9.4167 0.052843 2.1868e-03
38 1 1 1 1 0 9.6667 0.047752 9.6140e-04
39 1 1 1 1 0 13.6670 0.042677 1.0943e-03
40 1 1 1 1 0 12.3330 0.021977 2.6667e-04
41 1 1 1 1 0 101.0000 0.454470 4.6688e-02
42 1 1 1 1 0 3.7500 0.014047 1.4211e-04
43 1 1 1 1 0 101.0000 0.189440 1.2158e-02
44 1 1 1 1 0 101.0000 0.248920 1.8826e-02
45 1 1 1 1 0 44.3330 0.083926 1.4883e-03
46 1 1 1 1 0 9.9167 0.025008 3.1429e-04
47 1 1 1 1 0 65.2500 0.052828 7.5128e-04
48 1 1 1 1 0 32.2500 0.029447 3.8401e-04
49 1 1 1 1 0 23.7500 0.054124 7.7164e-04
50 1 1 1 1 0 101.0000 0.164930 2.5814e-03
51 1 1 1 1 0 8.6667 0.020894 2.4966e-04
52 1 1 1 1 0 24.4170 0.027076 3.4676e-04
53 1 1 1 1 0 39.2500 0.052518 1.2588e-03
54 1 1 1 1 0 101.0000 0.475530 4.9037e-02
55 1 1 1 1 0 7.3333 0.054408 2.3250e-03
56 1 1 1 1 0 7.5000 0.012958 1.2501e-04
57 1 1 1 1 0 91.9170 0.084954 1.5829e-03
58 1 1 1 1 0 101.0000 0.499970 6.3686e-02
59 1 1 1 1 0 42.8330 0.069413 1.2130e-03
60 1 1 1 1 0 101.0000 0.170540 8.4659e-03
61 1 1 1 1 0 19.2500 0.057662 1.3854e-03
62 1 1 1 1 0 19.5830 0.044239 1.1489e-03
63 1 1 1 1 0 41.2500 0.070150 1.3257e-03
64 1 1 1 1 0 101.0000 0.272730 1.3682e-02
65 1 1 1 1 0 18.3330 0.045376 6.3423e-04
66 1 1 1 1 0 40.2500 0.052327 1.6761e-03
67 1 1 1 1 0 57.3330 0.046466 9.3904e-04
68 1 1 1 1 0 101.0000 0.233900 6.3333e-03
69 1 1 1 1 0 12.3330 0.011027 9.4673e-05
70 1 1 1 1 0 47.0000 0.053036 7.6140e-04
71 1 1 1 1 0 101.0000 0.421490 4.0720e-02
72 1 1 1 1 0 39.5000 0.047780 7.6472e-04
73 1 1 1 1 0 40.6670 0.048822 6.8835e-04
74 1 1 1 1 0 14.5830 0.012821 1.2285e-04
75 1 1 1 1 0 7.8333 0.013919 1.4010e-04
76 1 1 1 1 0 40.6670 0.064904 1.7488e-03
77 1 1 1 1 0 10.4170 0.032153 4.2651e-04
78 1 1 1 1 0 11.1670 0.036040 4.8758e-04
79 1 1 1 1 0 10.5000 0.042250 8.6747e-04
80 1 1 1 1 0 89.9170 0.047352 6.6527e-04
81 1 1 1 1 0 39.0830 0.085550 1.7616e-03
82 1 1 1 1 0 12.5000 0.028984 3.7673e-04
83 1 1 1 1 0 18.5830 0.033087 4.4119e-04
84 1 1 1 1 0 18.4170 0.019949 2.3481e-04
85 1 1 1 1 0 47.7500 0.073307 1.9823e-03
86 1 1 1 1 0 49.7500 0.026638 3.3989e-04
87 1 1 1 1 0 10.5830 0.010643 8.8636e-05
88 1 1 1 1 0 21.5000 0.034902 5.1763e-04
89 1 1 1 1 0 22.4170 0.016076 1.7398e-04
90 1 1 1 1 0 73.3330 0.058902 8.4668e-04
91 1 1 1 1 0 101.0000 0.470840 5.9544e-02
92 1 1 1 1 0 72.9170 0.078417 1.1532e-03
93 1 1 1 1 0 8.5000 0.011909 1.0853e-04
94 1 1 1 1 0 20.3330 0.052509 7.4627e-04
95 1 1 1 1 0 12.5000 0.050724 1.8413e-03
96 1 1 1 1 0 9.8333 0.037915 9.5391e-04
97 1 1 1 1 0 39.7500 0.055674 1.4763e-03
98 1 1 1 1 0 12.7500 0.042014 5.8141e-04
99 1 1 1 1 0 18.5000 0.082760 2.9370e-03
100 1 1 1 1 0 23.8330 0.018833 2.1728e-04
101 1 1 1 1 0 15.5000 0.021709 2.6246e-04
102 1 1 1 1 0 101.0000 0.348290 1.6115e-02
103 1 1 1 1 0 90.1670 0.086101 1.2739e-03
104 1 1 1 1 0 19.5830 0.013137 1.2782e-04
105 1 1 1 1 0 8.4167 0.011045 9.4947e-05
106 1 1 1 1 0 24.7500 0.012949 1.2487e-04
107 1 1 1 1 0 101.0000 0.496160 4.9156e-02
108 1 1 1 1 0 16.1670 0.053335 1.3125e-03
109 1 1 1 1 0 19.2500 0.026458 3.3706e-04
110 1 1 1 1 0 24.6670 0.030355 6.9139e-04
111 1 1 1 1 0 22.0000 0.024606 3.0797e-04
112 1 1 1 1 0 53.5830 0.093006 2.2580e-03
113 1 1 1 1 0 30.2500 0.068194 1.9948e-03
114 1 1 1 1 0 20.3330 0.070270 2.6771e-03
115 1 1 1 1 0 41.5830 0.063289 9.3167e-04
116 1 1 1 1 0 8.7500 0.046861 1.2148e-03
117 1 1 1 1 0 8.8333 0.043731 9.6089e-04
118 1 1 1 1 0 3.6667 0.012720 1.2707e-04
119 1 1 1 1 0 30.3330 0.073650 2.6199e-03
120 1 1 1 1 0 87.0000 0.119780 3.8605e-03
121 1 1 1 1 0 101.0000 0.198180 8.0912e-03
122 1 1 1 1 0 63.7500 0.119820 7.2471e-03
123 1 1 1 1 0 12.5830 0.026681 3.4056e-04
124 1 1 1 1 0 4.3333 0.010711 9.0106e-05
125 1 1 1 1 0 101.0000 0.463430 4.4112e-02
126 1 1 1 1 0 14.5000 0.021651 2.6155e-04
127 1 1 1 1 0 7.2500 0.012678 1.2061e-04
128 1 1 1 1 0 74.1670 0.068157 9.9206e-04
129 1 1 1 1 0 101.0000 0.248480 9.1733e-03
130 1 1 1 1 0 60.4160 0.079169 1.1650e-03
131 1 1 1 1 0 63.4160 0.058372 8.3836e-04
132 1 1 1 1 0 48.8330 0.127240 6.8337e-03
133 1 1 1 1 0 20.2500 0.112050 7.4968e-03
134 1 1 1 1 0 20.2500 0.053238 1.4334e-03
135 1 1 1 1 0 101.0000 0.468640 5.8247e-02
136 1 1 1 1 0 58.7500 0.064243 9.3058e-04
137 1 1 1 1 0 4.4167 0.019392 2.2607e-04
138 1 1 1 1 0 25.9170 0.025040 3.1478e-04
139 1 1 1 1 0 17.4170 0.040638 5.5981e-04
140 1 1 1 1 0 15.4170 0.049450 6.9821e-04
141 1 1 1 1 0 40.1670 0.062869 9.0901e-04
142 1 1 1 1 0 39.7500 0.032350 4.2961e-04
143 1 1 1 1 0 12.1670 0.024478 3.0595e-04
144 1 1 1 1 0 3.3333 0.010976 9.4619e-05
145 1 1 1 1 0 16.9170 0.023798 2.9528e-04
146 1 1 1 1 0 11.7500 0.038447 5.2538e-04
147 1 1 1 1 0 12.2500 0.043831 6.9472e-04
148 1 1 1 1 0 76.7500 0.172260 1.6057e-02
149 1 1 1 1 0 18.4170 0.033233 4.4348e-04
150 1 1 1 1 0 101.0000 0.262780 1.2057e-02
151 1 1 1 1 0 30.5000 0.028354 3.6684e-04
152 1 1 1 1 0 38.7500 0.043986 6.1239e-04
153 1 1 1 1 0 4.1667 0.027892 6.1100e-04
154 1 1 1 1 0 12.8330 0.015803 1.6969e-04
155 1 1 1 1 0 26.0000 0.032860 4.3763e-04
156 1 1 1 1 0 27.2500 0.030981 5.3545e-04
157 1 1 1 1 0 28.7500 0.062403 1.4124e-03
158 1 1 1 1 0 9.5833 0.015560 1.6587e-04
159 1 1 1 1 0 19.5000 0.018088 2.0559e-04
160 1 1 1 1 0 101.0000 0.314610 1.9067e-02
161 1 1 1 1 0 52.5000 0.084058 2.0370e-03
162 1 1 1 1 0 15.5830 0.016066 1.7382e-04
163 1 1 1 1 0 101.0000 0.156310 2.3768e-03
164 1 1 1 1 0 34.5000 0.037960 5.1774e-04
165 1 1 1 1 0 9.5000 0.030211 3.9602e-04
166 1 1 1 1 0 11.3330 0.034847 6.4581e-04
167 1 1 1 1 0 18.1670 0.035606 4.8076e-04
168 1 1 1 1 0 40.1670 0.079230 1.1660e-03
169 1 1 1 1 0 29.8330 0.025949 3.2906e-04
170 1 1 1 1 0 12.1670 0.024789 3.1084e-04
171 1 1 1 1 0 12.1670 0.040772 5.6190e-04
172 1 1 1 1 0 12.5830 0.033893 6.1261e-04
173 1 1 1 1 0 12.0830 0.022707 2.7814e-04
174 1 1 1 1 0 18.0830 0.060377 1.3443e-03
175 1 1 1 1 0 18.4170 0.026798 3.4240e-04
176 1 1 1 1 0 7.1667 0.019329 2.2508e-04
177 1 1 1 1 0 22.5000 0.031820 4.2128e-04
178 1 1 1 1 0 13.2500 0.017729 1.9994e-04
179 1 1 1 1 0 29.3330 0.063500 1.2439e-03
180 1 1 1 1 0 6.4167 0.040120 1.1956e-03
181 1 1 1 1 0 34.2500 0.027493 3.5331e-04
182 1 1 1 1 0 56.5000 0.196900 1.5071e-02
183 1 1 1 1 0 48.3330 0.093242 2.4632e-03
184 1 1 1 1 0 52.5830 0.033240 4.4359e-04
185 1 1 1 1 0 9.5833 0.064749 3.1062e-03
186 1 1 1 1 0 9.5833 0.010325 8.3648e-05
187 1 1 1 1 0 11.0000 0.019544 2.2845e-04
188 1 1 1 1 0 8.5000 0.015937 1.7180e-04
189 1 1 1 1 0 39.7500 0.025711 3.2532e-04
190 1 1 1 1 0 59.5830 0.028018 3.6157e-04
191 1 1 1 1 0 12.1670 0.020190 2.3860e-04
192 1 1 1 1 0 12.2500 0.050265 8.9427e-04
193 1 1 1 1 0 12.0000 0.025456 3.2132e-04
194 1 1 1 1 0 11.6670 0.070235 2.6635e-03
195 1 1 1 1 0 18.3330 0.078962 1.5840e-03
196 1 1 1 1 0 18.2500 0.065938 1.5033e-03
197 1 1 1 1 0 33.5000 0.017326 1.9361e-04
198 1 1 1 1 0 10.5830 0.041717 5.7675e-04
199 1 1 1 1 0 14.5000 0.044845 7.8772e-04
200 1 1 1 1 0 101.0000 0.121000 1.8221e-03
201 1 1 1 1 0 38.0000 0.092546 2.0184e-03
202 1 1 1 1 0 101.0000 0.412760 4.4154e-02
203 1 1 1 1 0 28.5000 0.052750 7.5006e-04
204 1 1 1 1 0 19.5830 0.013300 1.3037e-04
205 1 1 1 1 0 19.3330 0.012302 1.1470e-04
206 1 1 1 1 0 43.0000 0.055375 7.9129e-04
207 1 1 1 1 0 35.7500 0.067097 2.0514e-03
208 1 1 1 1 0 15.2500 0.013581 1.3480e-04
209 1 1 1 1 0 22.7500 0.010073 7.9687e-05
210 1 1 1 1 0 2.1667 0.019555 3.0035e-04
211 1 1 1 1 0 101.0000 0.300050 4.6347e-03
212 1 1 1 1 0 58.8330 0.063216 9.1446e-04
213 1 1 1 1 0 9.2500 0.034733 6.5071e-04
214 1 1 1 1 0 56.7500 0.107380 6.1322e-03
215 1 1 1 1 0 10.8330 0.041572 1.3573e-03
216 1 1 1 1 0 101.0000 0.178680 5.7896e-03
217 1 1 1 1 0 101.0000 0.357940 3.2088e-02
218 1 1 1 1 0 34.0830 0.082199 2.6275e-03
219 1 1 1 1 0 35.7500 0.028097 3.6281e-04
220 1 1 1 1 0 45.4170 0.031217 4.1181e-04
221 1 1 1 1 0 11.5830 0.036856 5.0039e-04
222 1 1 1 1 0 12.4170 0.034447 4.7733e-04
223 1 1 1 1 0 20.7500 0.088113 5.0168e-03
224 1 1 1 1 0 12.1670 0.041482 5.8871e-04
225 1 1 1 1 0 12.5830 0.043262 1.2887e-03
226 1 1 1 1 0 45.7500 0.061506 8.8759e-04
227 1 1 1 1 0 18.5000 0.033235 4.4351e-04
228 1 1 1 1 0 101.0000 0.311310 1.9400e-02
229 1 1 1 1 0 21.2500 0.018402 2.1052e-04
230 1 1 1 1 0 101.0000 0.434860 4.2230e-02
231 1 1 1 1 0 41.5000 0.035775 4.8341e-04
232 1 1 1 1 0 18.0000 0.011038 9.4852e-05
233 1 1 1 1 0 9.1667 0.030878 4.0649e-04
234 1 1 1 1 0 9.5000 0.017801 2.0108e-04
235 1 1 1 1 0 13.4170 0.017833 2.0159e-04
236 1 1 1 1 0 82.6670 0.145820 5.6432e-03
237 1 1 1 1 0 1.1667 0.010190 8.1554e-05
238 1 1 1 1 0 9.5833 0.035188 6.5712e-04
239 1 1 1 1 0 4.0833 0.019371 2.3046e-04
240 1 1 1 1 0 22.8330 0.013067 1.2671e-04
241 1 1 1 1 0 1.5000 0.011814 1.0962e-04
242 1 1 1 1 0 16.3330 0.015760 1.6901e-04
243 1 1 1 1 0 12.1670 0.026926 3.4441e-04
244 1 1 1 1 0 12.1670 0.022116 2.6885e-04
245 1 1 1 1 0 12.1670 0.019390 2.2604e-04
246 1 1 1 1 0 12.1670 0.024555 3.0717e-04
247 1 1 1 1 0 12.1670 0.019695 2.3083e-04
248 1 1 1 1 0 5.2500 0.011293 1.0016e-04
249 1 1 1 1 0 4.7500 0.010480 8.6254e-05
250 1 1 1 1 0 11.5830 0.014931 1.5600e-04
251 1 1 1 1 0 63.3330 0.057143 8.1906e-04
252 1 1 1 1 0 22.7500 0.013897 1.3976e-04
253 1 1 1 1 0 15.3330 0.022125 2.6901e-04
254 1 1 1 1 0 71.1660 0.067356 9.7949e-04
255 1 1 1 1 0 10.0830 0.010171 8.1231e-05
256 1 1 1 1 0 23.8330 0.043439 6.0380e-04
257 1 1 1 1 0 36.1670 0.062095 1.3522e-03
258 1 1 1 1 0 101.0000 0.387830 4.2981e-02
259 1 1 1 1 0 14.0830 0.031285 4.2884e-04
260 1 1 1 1 0 101.0000 0.096567 1.4383e-03
261 1 1 1 1 0 28.5000 0.058405 1.0436e-03
262 1 1 1 1 0 67.7500 0.134190 6.0698e-03
263 1 1 1 1 0 11.6670 0.011393 1.0042e-04
264 1 1 1 1 0 24.0000 0.063737 1.2987e-03
265 1 1 1 1 0 16.4170 0.043213 8.0241e-04
266 1 1 1 1 0 14.2500 0.028862 3.7483e-04
267 1 1 1 1 0 13.1670 0.050207 8.5745e-04
268 1 1 1 1 0 41.0000 0.057451 1.5433e-03
269 1 1 1 1 0 101.0000 0.283500 2.8379e-02
270 1 1 1 1 0 20.5830 0.019945 2.3476e-04
271 1 1 1 1 0 74.4170 0.172450 4.1293e-03
272 1 1 1 1 0 57.3330 0.123160 6.4484e-03
273 1 1 1 1 0 16.9170 0.014208 1.4463e-04
274 1 1 1 1 0 39.1670 0.036273 4.9123e-04
275 1 1 1 1 0 12.1670 0.019628 2.2978e-04
276 1 1 1 1 0 12.1670 0.024709 3.0959e-04
277 1 1 1 1 0 18.4170 0.017703 1.9954e-04
278 1 1 1 1 0 6.5833 0.010300 8.3252e-05
279 1 1 1 1 0 23.5830 0.012999 1.2565e-04
280 1 1 1 1 0 8.6667 0.012578 1.1904e-04
281 1 1 1 1 0 19.6670 0.049819 7.0402e-04
282 1 1 1 1 0 2.6667 0.019855 2.3334e-04
283 1 1 1 1 0 101.0000 0.433510 3.6585e-02
284 1 1 1 1 0 64.5830 0.085339 1.2620e-03
285 1 1 1 1 0 52.5000 0.063558 9.1983e-04
286 1 1 1 1 0 10.8330 0.014910 1.5567e-04
287 1 1 1 1 0 18.3330 0.022392 2.7319e-04
288 1 1 1 1 0 101.0000 0.361690 3.4807e-02
289 1 1 1 1 0 75.5830 0.067343 9.7929e-04
290 1 1 1 1 0 46.3330 0.084795 2.0420e-03
291 1 1 1 1 0 3.0833 0.021751 2.6438e-04
292 1 1 1 1 0 18.0000 0.040673 9.8273e-04
293 1 1 1 1 0 50.9160 0.058753 8.4435e-04
294 1 1 1 1 0 9.5000 0.035698 4.8828e-04
295 1 1 1 1 0 9.5833 0.015797 1.6961e-04
296 1 1 1 1 0 9.5833 0.017593 1.9782e-04
297 1 1 1 1 0 38.2500 0.027193 3.4860e-04
298 1 1 1 1 0 4.8333 0.014174 1.4410e-04
299 1 1 1 1 0 12.1670 0.032937 5.2174e-04
300 1 1 1 1 0 85.0000 0.093442 2.6638e-03
301 1 1 1 1 0 7.6667 0.013039 1.2628e-04
302 1 1 1 1 0 101.0000 0.286800 1.8314e-02
303 1 1 1 1 0 17.5830 0.017994 2.0411e-04
304 1 1 1 1 0 20.8330 0.016955 1.8779e-04
305 1 1 1 1 0 18.0830 0.051526 7.3083e-04
306 1 1 1 1 0 22.0830 0.042918 5.9562e-04
307 1 1 1 1 0 64.5830 0.072731 1.1336e-03
308 1 1 1 1 0 10.0830 0.016615 1.8245e-04
309 1 1 1 1 0 70.0000 0.091164 1.3535e-03
310 1 1 1 1 0 44.2500 0.050826 7.1983e-04
311 1 1 1 1 0 14.2500 0.078377 4.0693e-03
312 1 1 1 1 0 13.5830 0.017887 2.0243e-04
313 1 1 1 1 0 101.0000 0.315420 2.4352e-02
314 1 1 1 1 0 52.5830 0.058148 8.3484e-04
315 1 1 1 1 0 22.6670 0.041788 5.7787e-04
316 1 1 1 1 0 19.2500 0.026760 3.4181e-04
317 1 1 1 1 0 101.0000 0.191640 8.1900e-03
318 1 1 1 1 0 101.0000 0.336740 2.7899e-02
319 1 1 1 1 0 12.1670 0.025396 3.8553e-04
320 1 1 1 1 0 18.9170 0.015410 1.6352e-04
321 1 1 1 1 0 18.4170 0.013162 1.2820e-04
322 1 1 1 1 0 18.2500 0.019699 2.3088e-04
323 1 1 1 1 0 101.0000 0.164900 3.3316e-03
324 1 1 1 1 0 57.3330 0.060530 8.7226e-04
325 1 1 1 1 0 101.0000 0.192680 6.1001e-03
326 1 1 1 1 0 101.0000 0.350090 2.2820e-02
327 1 1 1 1 0 22.3330 0.033988 4.5535e-04
328 1 1 1 1 0 25.4170 0.047217 6.6315e-04
329 1 1 1 1 0 29.5830 0.087234 5.9426e-03
330 1 1 1 1 0 3.5000 0.017064 1.8949e-04
331 1 1 1 1 0 33.4170 0.063325 1.6233e-03
332 1 1 1 1 0 18.0830 0.036817 5.1326e-04
333 1 1 1 1 0 4.0000 0.035474 9.8837e-04
334 1 1 1 1 0 82.3330 0.144910 7.8850e-03
335 1 1 1 1 0 55.0830 0.077250 1.1349e-03
336 1 1 1 1 0 20.0830 0.029749 3.8875e-04
337 1 1 1 1 0 3.0000 0.016151 2.0487e-04
338 1 1 1 1 0 7.5833 0.014168 1.4401e-04
339 1 1 1 1 0 17.5000 0.043927 6.1146e-04
340 1 1 1 1 0 19.6670 0.061890 1.6331e-03
341 1 1 1 1 0 14.5830 0.012109 1.1167e-04
342 1 1 1 1 0 52.9160 0.061864 8.9322e-04
343 1 1 1 1 0 27.7500 0.043615 6.0657e-04
344 1 1 1 1 0 12.2500 0.026159 3.3236e-04
345 1 1 1 1 0 26.6670 0.026943 3.4467e-04
346 1 1 1 1 0 9.8333 0.010514 8.6611e-05
347 1 1 1 1 0 69.4160 0.089091 1.7924e-03
348 1 1 1 1 0 19.0000 0.024124 3.0040e-04
349 1 1 1 1 0 101.0000 0.418060 4.0856e-02
350 1 1 1 1 0 101.0000 0.078829 1.1597e-03
351 1 1 1 1 0 101.0000 0.202140 3.1533e-03
352 1 1 1 1 0 8.5000 0.013654 1.3594e-04
353 1 1 1 1 0 24.8330 0.040730 6.5998e-04
354 1 1 1 1 0 7.5000 0.012526 1.1822e-04
355 1 1 1 1 0 72.0830 0.107710 3.0430e-03
356 1 1 1 1 0 5.0833 0.010260 8.2630e-05
357 1 1 1 1 0 20.0000 0.019886 2.3382e-04
358 1 1 1 1 0 15.4170 0.018883 2.1807e-04
359 1 1 1 1 0 19.5830 0.038737 6.1273e-04
360 1 1 1 1 0 76.5000 0.072510 1.0604e-03
361 1 1 1 1 0 19.5830 0.024006 2.9855e-04
362 1 1 1 1 0 101.0000 0.166060 6.7519e-03
363 1 1 1 1 0 17.3330 0.015950 1.7200e-04
364 1 1 1 1 0 20.0000 0.025892 3.2818e-04
365 1 1 1 1 0 12.6670 0.025294 3.1877e-04
366 1 1 1 1 0 101.0000 0.386700 1.9796e-02
367 1 1 1 1 0 52.4160 0.066885 1.0541e-03
368 1 1 1 1 0 100.0000 0.459030 3.6857e-02
369 1 1 1 1 0 78.5830 0.094771 1.5943e-03
370 1 1 1 1 0 101.0000 0.207430 1.3792e-02
371 1 1 1 1 0 22.5000 0.023683 2.9348e-04
372 1 1 1 1 0 101.0000 0.222290 4.2347e-03
373 1 1 1 1 0 89.7500 0.185900 1.3769e-02
374 1 1 1 1 0 26.3330 0.061971 1.2567e-03
375 1 1 1 1 0 14.9170 0.013758 1.4479e-04
376 1 1 1 1 0 4.5833 0.011427 1.0255e-04
377 1 1 1 1 0 5.4167 0.035363 9.8219e-04
378 1 1 1 1 0 29.3330 0.037250 5.0658e-04
379 1 1 1 1 0 101.0000 0.236420 8.2740e-03
380 1 1 1 1 0 39.0000 0.031198 4.1152e-04
381 1 1 1 1 0 29.5830 0.031887 4.2234e-04
382 1 1 1 1 0 30.3330 0.026821 3.4277e-04
383 1 1 1 1 0 40.3330 0.095573 2.3189e-03
384 1 1 1 1 0 90.8340 0.113700 2.1862e-03
385 1 1 1 1 0 41.5000 0.130020 6.0512e-03
386 1 1 1 1 0 101.0000 0.115640 2.1139e-03
387 1 1 1 1 0 19.3330 0.026954 3.4485e-04
388 1 1 1 1 0 101.0000 0.482580 6.0606e-02
389 1 1 1 1 0 56.5830 0.025847 3.2747e-04
390 1 1 1 1 0 10.6670 0.015651 1.6731e-04
391 1 1 1 1 0 4.7500 0.011063 9.5233e-05
392 1 1 1 1 0 101.0000 0.339770 2.1619e-02
393 1 1 1 1 0 19.2500 0.016526 1.8105e-04
394 1 1 1 1 0 18.2500 0.013002 1.2570e-04
395 1 1 1 1 0 18.2500 0.028933 3.7594e-04
396 1 1 1 1 0 13.5830 0.033318 4.4481e-04
397 1 1 1 1 0 48.2500 0.034581 4.6466e-04
398 1 1 1 1 0 101.0000 0.205460 6.9267e-03
399 1 1 1 1 0 72.0000 0.099544 2.3851e-03
400 1 1 1 1 0 8.5833 0.012557 1.1871e-04
401 1 1 1 1 0 17.5830 0.019474 2.2736e-04
402 1 1 1 1 0 41.7500 0.070137 1.8701e-03
403 1 1 1 1 0 10.7500 0.033122 4.4174e-04
404 1 1 1 1 0 71.5830 0.064489 1.3730e-03
405 1 1 1 1 0 20.0830 0.026032 3.3037e-04
406 1 1 1 1 0 34.7500 0.020939 2.5037e-04
407 1 1 1 1 0 42.7500 0.035698 4.8220e-04
408 1 1 1 1 0 10.7500 0.011057 9.5151e-05
409 1 1 1 1 0 24.7500 0.039389 5.4018e-04
410 1 1 1 1 0 101.0000 0.156200 2.3751e-03
411 1 1 1 1 0 65.0830 0.080685 1.5514e-03
412 1 1 1 1 0 57.4160 0.077287 1.2427e-03
413 1 1 1 1 0 65.6660 0.067793 9.8635e-04
414 1 1 1 1 0 25.2500 0.023814 2.9553e-04
415 1 1 1 1 0 2.4167 0.011304 1.0036e-04
416 1 1 1 1 0 29.7500 0.025611 3.2376e-04
417 1 1 1 1 0 87.7500 0.232910 1.4014e-02
418 1 1 1 1 0 101.0000 0.339470 2.5769e-02
419 1 1 1 1 0 36.8330 0.033751 4.5162e-04
420 1 1 1 1 0 101.0000 0.156470 3.3575e-03
421 1 1 1 1 0 42.5830 0.057128 8.1882e-04
422 1 1 1 1 0 36.2500 0.031539 4.1687e-04
423 1 1 1 1 0 101.0000 0.219030 8.9874e-03
424 1 1 1 1 0 42.5000 0.026797 3.4238e-04
425 1 1 1 1 0 13.5830 0.031494 4.1616e-04
426 1 1 1 1 0 24.4170 0.018394 2.1039e-04
427 1 1 1 1 0 45.3330 0.026969 3.4508e-04
428 1 1 1 1 0 66.4160 0.091500 2.4171e-03
429 1 1 1 1 0 21.5830 0.019015 2.2015e-04
430 1 1 1 1 0 11.5000 0.014371 1.4720e-04
431 1 1 1 1 0 101.0000 0.082274 1.2138e-03
432 1 1 1 1 0 10.0830 0.054335 1.9786e-03
433 1 1 1 1 0 65.0830 0.057711 8.2798e-04
434 1 1 1 1 0 17.4170 0.017035 1.8905e-04
435 1 1 1 1 0 50.3330 0.045668 6.3882e-04
436 1 1 1 1 0 101.0000 0.549300 5.4382e-02
437 1 1 1 1 0 10.3330 0.034773 4.6767e-04
438 1 1 1 1 0 13.4170 0.011841 1.0747e-04
439 1 1 1 1 0 19.5000 0.018323 2.0928e-04
440 1 1 1 1 0 101.0000 0.478780 3.2631e-02
441 1 1 1 1 0 5.0833 0.016938 1.8751e-04
442 1 1 1 1 0 101.0000 0.198810 8.3931e-03
443 1 1 1 1 0 17.6670 0.017240 1.9227e-04
444 1 1 1 1 0 40.9170 0.061005 1.6500e-03
445 1 1 1 1 0 43.6670 0.116660 3.0770e-03
446 1 1 1 1 0 21.4170 0.033035 4.4037e-04
447 1 1 1 1 0 101.0000 0.323400 1.9371e-02
448 1 1 1 1 0 101.0000 0.345480 1.2580e-02
449 1 1 1 1 0 15.5000 0.013076 1.2686e-04
450 1 1 1 1 0 101.0000 0.422830 4.1048e-02
451 1 1 1 1 0 15.0000 0.048075 9.6767e-04
452 1 1 1 1 0 18.9170 0.012548 1.1857e-04
453 1 1 1 1 0 28.5000 0.025137 3.1631e-04
454 1 1 1 1 0 29.6670 0.023508 2.9073e-04
455 1 1 1 1 0 101.0000 0.326410 1.7947e-02
456 1 1 1 1 0 20.8330 0.042145 5.8347e-04
457 1 1 1 1 0 101.0000 0.506320 6.3646e-02
458 1 1 1 1 0 26.4170 0.049653 7.0141e-04
459 1 1 1 1 0 86.5840 0.135570 4.7659e-03
460 1 1 1 1 0 101.0000 0.257840 1.5383e-02
461 1 1 1 1 0 45.0000 0.053941 7.6877e-04
462 1 1 1 1 0 6.5000 0.014072 1.4251e-04
463 1 1 1 1 0 41.5000 0.035568 4.8015e-04
464 1 1 1 1 0 21.2500 0.015261 1.6117e-04
465 1 1 1 1 0 11.5830 0.023093 2.8421e-04
466 1 1 1 1 0 10.8330 0.018925 2.1874e-04
467 1 1 1 1 0 12.0830 0.017141 1.9072e-04
468 1 1 1 1 0 84.0000 0.069491 1.0130e-03
469 1 1 1 1 0 55.2500 0.031996 4.2405e-04
470 1 1 1 1 0 18.1670 0.018884 2.1810e-04
471 1 1 1 1 0 11.5000 0.026238 3.3360e-04
472 1 1 1 1 0 8.7500 0.014600 1.5079e-04
473 1 1 1 1 0 6.5000 0.035877 1.0109e-03
474 1 1 1 1 0 5.0000 0.012509 1.1795e-04
475 1 1 1 1 0 70.0000 0.075797 1.6278e-03
476 1 1 1 1 0 17.0830 0.012702 1.2098e-04
477 1 1 1 1 0 26.0000 0.060673 1.3661e-03
478 1 1 1 1 0 17.4170 0.011931 1.0887e-04
479 1 1 1 1 0 101.0000 0.461340 3.4607e-02
480 1 1 1 1 0 90.3340 0.051263 7.2669e-04
481 1 1 1 1 0 14.5830 0.021429 2.5806e-04
482 1 1 1 1 0 25.7500 0.022099 2.6859e-04
483 1 1 1 1 0 39.2500 0.027942 3.6038e-04
484 1 1 1 1 0 16.9170 0.049646 7.0130e-04
485 1 1 1 1 0 101.0000 0.060940 8.7871e-04
486 1 1 1 1 0 46.6670 0.047083 6.6103e-04
487 1 1 1 1 0 9.2500 0.014939 1.5613e-04
488 1 1 1 1 0 29.1670 0.040940 5.6455e-04
489 1 1 1 1 0 10.2500 0.012859 1.2345e-04
490 1 1 1 1 0 101.0000 0.365200 2.6946e-02
491 1 1 1 1 0 74.5830 0.077388 1.1371e-03
492 1 1 1 1 0 14.5000 0.013026 1.2606e-04
493 1 1 1 1 0 23.3330 0.015608 1.6663e-04
494 1 1 1 1 0 62.3330 0.033826 4.5280e-04
495 1 1 1 1 0 72.5830 0.064623 9.3656e-04
496 1 1 1 1 0 43.6670 0.050097 1.3011e-03
497 1 1 1 1 0 13.5000 0.024734 3.3903e-04
498 1 1 1 1 0 56.1660 0.089185 2.1256e-03
499 1 1 1 1 0 85.0000 0.086886 1.2863e-03
500 1 1 1 1 0 13.8330 0.015097 1.5861e-04
501 1 1 1 1 0 21.7500 0.015217 1.6049e-04
502 1 1 1 1 0 4.6667 0.010974 9.4592e-05
503 1 1 1 1 0 16.3330 0.027058 3.4648e-04
504 1 1 1 1 0 101.0000 0.222700 7.7337e-03
505 1 1 1 1 0 46.6670 0.059121 8.5012e-04
506 1 1 1 1 0 58.3330 0.059623 1.1655e-03
507 1 1 1 1 0 66.7500 0.071907 1.0510e-03
508 1 1 1 1 0 13.4170 0.017777 2.0071e-04
509 1 1 1 1 0 15.2500 0.014753 1.5320e-04
510 1 1 1 1 0 16.5000 0.019980 2.3531e-04
511 1 1 1 1 0 67.4160 0.063181 9.1391e-04
512 1 1 1 1 0 11.0000 0.041229 7.8507e-04
513 1 1 1 1 0 3.2500 0.023125 3.3657e-04
514 1 1 1 1 0 3.6667 0.013812 1.3842e-04
515 1 1 1 1 0 8.3333 0.013314 1.3059e-04
516 1 1 1 1 0 101.0000 0.335070 2.0729e-02
517 1 1 1 1 0 28.0830 0.024710 3.0960e-04
518 1 1 1 1 0 1.5000 0.016990 2.2673e-04
519 1 1 1 1 0 13.7500 0.011912 1.0857e-04
520 1 1 1 1 0 37.6670 0.049328 6.9630e-04
521 1 1 1 1 0 101.0000 0.372570 3.3687e-02
522 1 1 1 1 0 75.9170 0.054790 7.8210e-04
523 1 1 1 1 0 5.8333 0.017458 1.9569e-04
524 1 1 1 1 0 10.2500 0.032111 4.2586e-04
525 1 1 1 1 0 101.0000 0.246710 1.4117e-02
526 1 1 1 1 0 74.2500 0.064278 9.3114e-04
527 1 1 1 1 0 3.5833 0.011355 1.0052e-04
528 1 1 1 1 0 46.2500 0.059318 8.5322e-04
529 1 1 1 1 0 61.1660 0.062410 1.4764e-03
530 1 1 1 1 0 97.0010 0.115980 2.1012e-03
531 1 1 1 1 0 28.9170 0.021414 2.5783e-04
532 1 1 1 1 0 8.5833 0.035203 7.3354e-04
533 1 1 1 1 0 10.9170 0.010957 9.3575e-05
534 1 1 1 1 0 13.5000 0.019075 2.2108e-04
535 1 1 1 1 0 48.8330 0.042535 5.8959e-04
536 1 1 1 1 0 22.3330 0.013007 1.2578e-04
537 1 1 1 1 0 21.4170 0.031188 4.2396e-04
538 1 1 1 1 0 49.5000 0.082266 1.2137e-03
539 1 1 1 1 0 17.2500 0.034244 8.4868e-04
540 1 1 1 1 0 19.7500 0.033222 7.8385e-04
541 1 1 1 1 0 15.5000 0.035600 9.3769e-04
542 1 1 1 1 0 13.3330 0.013132 1.2773e-04
543 1 1 1 1 0 14.0830 0.016789 1.8518e-04
544 1 1 1 1 0 12.8330 0.015208 1.6035e-04
545 1 1 1 1 0 16.4170 0.045148 6.3064e-04
546 1 1 1 1 0 62.1660 0.061036 8.8021e-04
547 1 1 1 1 0 13.2500 0.030204 4.3996e-04
548 1 1 1 1 0 14.0000 0.020571 2.4459e-04
549 1 1 1 1 0 92.0840 0.087089 2.2563e-03
550 1 1 1 1 0 101.0000 0.331550 2.1024e-02
551 1 1 1 1 0 7.4167 0.026540 4.1861e-04
552 1 1 1 1 0 48.4170 0.039954 5.4906e-04
553 1 1 1 1 0 2.5000 0.017280 2.3452e-04
554 1 1 1 1 0 101.0000 0.212260 3.9476e-03
555 1 1 1 1 0 3.6667 0.020607 2.4623e-04
556 1 1 1 1 0 101.0000 0.351240 2.2177e-02
557 1 1 1 1 0 93.4170 0.097204 2.6055e-03
558 1 1 1 1 0 16.8330 0.045885 6.4221e-04
559 1 1 1 1 0 101.0000 0.450610 2.6637e-02
560 1 1 1 1 0 30.9170 0.095100 3.4123e-03
561 1 1 1 1 0 5.6667 0.021987 3.3499e-04
562 1 1 1 1 0 101.0000 0.266000 4.0998e-03
563 1 1 1 1 0 24.3330 0.032561 4.3292e-04
564 1 1 1 1 0 9.0833 0.012693 1.2084e-04
565 1 1 1 1 0 19.0830 0.057802 1.3933e-03
566 1 1 1 1 0 53.9160 0.047580 1.3277e-03
567 1 1 1 1 0 101.0000 0.196900 8.4065e-03
568 1 1 1 1 0 20.3330 0.033643 4.4992e-04
569 1 1 1 1 0 101.0000 0.299820 1.6441e-02
570 1 1 1 1 0 8.0000 0.017164 1.9107e-04
571 1 1 1 1 0 101.0000 0.156520 6.7313e-03
572 1 1 1 1 0 12.7500 0.042248 9.8712e-04
573 1 1 1 1 0 28.4170 0.063035 1.5955e-03
574 1 1 1 1 0 11.1670 0.035335 4.7651e-04
575 1 1 1 1 0 6.1667 0.021657 2.6165e-04
576 1 1 1 1 0 15.7500 0.011405 1.0061e-04
577 1 1 1 1 0 6.4167 0.014449 1.4842e-04
578 1 1 1 1 0 28.9170 0.021073 2.5248e-04
579 1 1 1 1 0 73.0830 0.084261 1.2450e-03
580 1 1 1 1 0 43.2500 0.046287 7.4241e-04
581 1 1 1 1 0 13.0000 0.015941 1.7187e-04
582 1 1 1 1 0 48.8330 0.070478 1.5932e-03
583 1 1 1 1 0 47.5000 0.039096 5.3558e-04
584 1 1 1 1 0 34.0000 0.065193 1.4957e-03
585 1 1 1 1 0 8.7500 0.017715 1.9973e-04
586 1 1 1 1 0 3.5833 0.011207 9.8635e-05
587 1 1 1 1 0 29.1670 0.025510 3.2217e-04
588 1 1 1 1 0 26.3330 0.026552 3.3853e-04
589 1 1 1 1 0 54.6660 0.058366 8.5996e-04
590 1 1 1 1 0 26.7500 0.016769 1.8486e-04
591 1 1 1 1 0 20.5000 0.025408 3.2056e-04
592 1 1 1 1 0 3.3333 0.012716 1.2700e-04
593 1 1 1 1 0 6.5000 0.019178 2.2270e-04
594 1 1 1 1 0 8.4167 0.016778 1.8501e-04
595 1 1 1 1 0 5.6667 0.015289 1.6162e-04
596 1 1 1 1 0 21.6670 0.037062 6.2778e-04
597 1 1 1 1 0 47.4170 0.054346 7.8062e-04
598 1 1 1 1 0 3.9167 0.018663 2.1461e-04
599 1 1 1 1 0 30.0000 0.036865 7.1580e-04
600 1 1 1 1 0 22.8330 0.027091 3.4700e-04
601 1 1 1 1 0 101.0000 0.242470 7.0896e-03
602 1 1 1 1 0 101.0000 0.395680 3.7851e-02
603 1 1 1 1 0 7.8333 0.043955 1.2892e-03
604 1 1 1 1 0 3.4167 0.020782 2.8887e-04
605 1 1 1 1 0 5.2500 0.015257 1.8283e-04
606 1 1 1 1 0 11.7500 0.012986 1.2545e-04
607 1 1 1 1 0 62.9160 0.137220 5.4913e-03
608 1 1 1 1 0 34.4170 0.025070 3.1526e-04
609 1 1 1 1 0 11.7500 0.017647 1.9866e-04
610 1 1 1 1 0 48.9170 0.052814 7.5106e-04
611 1 1 1 1 0 52.3330 0.094831 1.4111e-03
612 1 1 1 1 0 10.3330 0.026584 3.3905e-04
613 1 1 1 1 0 101.0000 0.495160 6.2707e-02
614 1 1 1 1 0 29.2500 0.038704 5.2942e-04
615 1 1 1 1 0 101.0000 0.182060 6.6692e-03
616 1 1 1 1 0 73.5000 0.093929 2.2602e-03
617 1 1 1 1 0 2.2500 0.012380 1.2038e-04
618 1 1 1 1 0 4.7500 0.013336 1.3968e-04
619 1 1 1 1 0 16.4170 0.038225 8.2152e-04
620 1 1 1 1 0 5.1667 0.015055 1.6659e-04
621 1 1 1 1 0 34.1670 0.055251 2.2524e-03
622 1 1 1 1 0 101.0000 0.502960 6.3066e-02
623 1 1 1 1 0 22.2500 0.039285 5.3855e-04
624 1 1 1 1 0 75.4170 0.096724 1.6152e-03
625 1 1 1 1 0 58.2500 0.035716 4.8249e-04
626 1 1 1 1 0 7.0833 0.028207 4.2728e-04
627 1 1 1 1 0 56.8330 0.031415 4.1493e-04
628 1 1 1 1 0 9.0833 0.022116 2.9336e-04
629 1 1 1 1 0 12.6670 0.016598 1.8218e-04
630 1 1 1 1 0 17.7500 0.014260 1.4546e-04
631 1 1 1 1 0 33.4170 0.048795 6.8792e-04
632 1 1 1 1 0 101.0000 0.076907 1.1295e-03
633 1 1 1 1 0 101.0000 0.414720 4.1721e-02
634 1 1 1 1 0 57.8330 0.070405 1.0274e-03
635 1 1 1 1 0 27.3330 0.025836 3.2729e-04
636 1 1 1 1 0 8.2500 0.017344 1.9389e-04
637 1 1 1 1 0 43.9170 0.034592 4.6484e-04
638 1 1 1 1 0 53.5830 0.074558 1.2824e-03
639 1 1 1 1 0 21.9170 0.019279 2.2429e-04
640 1 1 1 1 0 44.8330 0.041336 5.7077e-04
641 1 1 1 1 0 101.0000 0.489960 5.8105e-02
642 1 1 1 1 0 23.7500 0.036352 4.9248e-04
643 1 1 1 1 0 101.0000 0.324600 1.4277e-02
644 1 1 1 1 0 6.5833 0.024523 3.0667e-04
645 1 1 1 1 0 6.7500 0.017274 2.2017e-04
646 1 1 1 1 0 77.3330 0.066441 1.0800e-03
647 1 1 1 1 0 24.9170 0.018742 2.1587e-04
648 1 1 1 1 0 49.5830 0.120250 4.3149e-03
649 1 1 1 1 0 17.5830 0.015573 1.6609e-04
650 1 1 1 1 0 34.0000 0.032970 4.3936e-04
651 1 1 1 1 0 15.3330 0.044964 1.5822e-03
652 1 1 1 1 0 22.5830 0.058138 1.3421e-03
653 1 1 1 1 0 101.0000 0.401310 3.6856e-02
654 1 1 1 1 0 64.0000 0.060984 8.7939e-04
655 1 1 1 1 0 101.0000 0.545130 6.2560e-02
656 1 1 1 1 0 101.0000 0.339280 2.8261e-02
657 1 1 1 1 0 16.4170 0.045263 6.3245e-04
658 1 1 1 1 0 27.2500 0.012355 1.1554e-04
659 1 1 1 1 0 16.8330 0.021417 2.5788e-04
660 1 1 1 1 0 17.6670 0.034307 4.8686e-04
661 1 1 1 1 0 23.3330 0.043994 7.0590e-04
662 1 1 1 1 0 52.4160 0.088709 2.1262e-03
663 1 1 1 1 0 48.9170 0.093279 1.3867e-03
664 1 1 1 1 0 100.7500 0.079793 1.1748e-03
665 1 1 1 1 0 59.8330 0.031261 4.1450e-04
666 1 1 1 1 0 101.0000 0.392440 3.7636e-02
667 1 1 1 1 0 8.7500 0.013164 1.2824e-04
668 1 1 1 1 0 101.0000 0.341600 1.7106e-02
669 1 1 1 1 0 87.4170 0.088286 1.3082e-03
670 1 1 1 1 0 101.0000 0.154810 2.3533e-03
671 1 1 1 1 0 101.0000 0.222150 1.0723e-02
672 1 1 1 1 0 19.4170 0.021881 2.6517e-04
673 1 1 1 1 0 101.0000 0.308640 1.9628e-02
674 1 1 1 1 0 14.2500 0.041675 1.3641e-03
675 1 1 1 1 0 80.7500 0.085183 1.2595e-03
676 1 1 1 1 0 31.0830 0.058036 8.3308e-04
677 1 1 1 1 0 1.5833 0.011059 9.6054e-05
678 1 1 1 1 0 101.0000 0.312030 1.0052e-02
679 1 1 1 1 0 32.5000 0.034464 4.6282e-04
680 1 1 1 1 0 101.0000 0.267840 8.4683e-03
681 1 1 1 1 0 3.4167 0.024665 4.7779e-04
682 1 1 1 1 0 5.1667 0.031712 6.0511e-04
683 1 1 1 1 0 51.4160 0.062746 9.0707e-04
684 1 1 1 1 0 20.0000 0.014700 1.5236e-04
685 1 1 1 1 0 35.0830 0.036261 4.9105e-04
686 1 1 1 1 0 7.8333 0.019017 2.2018e-04
687 1 1 1 1 0 101.0000 0.336440 1.7986e-02
688 1 1 1 1 0 1.4167 0.015789 1.9579e-04
689 1 1 1 1 0 9.3333 0.015240 1.6086e-04
690 1 1 1 1 0 9.9167 0.042900 1.3117e-03
691 1 1 1 1 0 8.9167 0.051744 1.9558e-03
692 1 1 1 1 0 36.6670 0.045661 1.4615e-03
693 1 1 1 1 0 32.4170 0.035729 4.8270e-04
694 1 1 1 1 0 8.9167 0.018319 2.0921e-04
695 1 1 1 1 0 101.0000 0.097212 1.4485e-03
696 1 1 1 1 0 17.8330 0.015722 1.6843e-04
697 1 1 1 1 0 16.6670 0.013488 1.3333e-04
698 1 1 1 1 0 13.4170 0.025282 3.7571e-04
699 1 1 1 1 0 101.0000 0.416300 3.5398e-02
700 1 1 1 1 0 44.3330 0.036202 4.9012e-04
701 1 1 1 1 0 48.4170 0.128610 2.9604e-03
702 1 1 1 1 0 9.5833 0.014335 1.4664e-04
703 1 1 1 1 0 49.2500 0.028819 3.7416e-04
704 1 1 1 1 0 8.1667 0.031254 4.1240e-04
705 1 1 1 1 0 6.8333 0.018494 2.1197e-04
706 1 1 1 1 0 42.9170 0.057842 8.3004e-04
707 1 1 1 1 0 66.4160 0.054408 7.7610e-04
708 1 1 1 1 0 101.0000 0.477690 5.3737e-02
709 1 1 1 1 0 16.4170 0.045765 6.9197e-04
710 1 1 1 1 0 35.9170 0.056332 8.0632e-04
711 1 1 1 1 0 52.5830 0.038057 5.1925e-04
712 1 1 1 1 0 35.8330 0.040568 5.5871e-04
713 1 1 1 1 0 28.5000 0.017689 1.9932e-04
714 1 1 1 1 0 32.3330 0.030287 3.9721e-04
715 1 1 1 1 0 101.0000 0.273680 9.1223e-03
716 1 1 1 1 0 8.8333 0.014432 1.4815e-04
717 1 1 1 1 0 101.0000 0.167420 3.8058e-03
718 1 1 1 1 0 2.1667 0.016781 2.2117e-04
719 1 1 1 1 0 26.0830 0.038001 5.1839e-04
720 1 1 1 1 0 32.8330 0.024034 2.9899e-04
721 1 1 1 1 0 21.6670 0.018087 2.0557e-04
722 1 1 1 1 0 6.3333 0.014572 1.5036e-04
723 1 1 1 1 0 38.8330 0.023739 2.9434e-04
724 1 1 1 1 0 24.5000 0.024397 3.0469e-04
725 1 1 1 1 0 38.5000 0.065133 1.1338e-03
726 1 1 1 1 0 4.2500 0.019097 2.2144e-04
727 1 1 1 1 0 12.4170 0.045042 1.5930e-03
728 1 1 1 1 0 13.9170 0.012659 1.2031e-04
729 1 1 1 1 0 9.0000 0.024580 3.0756e-04
730 1 1 1 1 0 33.6670 0.034176 4.5829e-04
731 1 1 1 1 0 21.5830 0.023023 2.8311e-04
732 1 1 1 1 0 3.6667 0.016224 1.7631e-04
733 1 1 1 1 0 47.9170 0.059411 8.5469e-04
734 1 1 1 1 0 25.4170 0.057080 1.2573e-03
735 1 1 1 1 0 40.5000 0.050490 8.6485e-04
736 1 1 1 1 0 30.4170 0.079841 1.5183e-03
737 1 1 1 1 0 20.5000 0.028604 3.7078e-04
738 1 1 1 1 0 38.9170 0.079084 1.8004e-03
739 1 1 1 1 0 101.0000 0.459150 3.7009e-02
740 1 1 1 1 0 17.5830 0.051930 1.6588e-03
741 1 1 1 1 0 39.0830 0.025040 3.1479e-04
742 1 1 1 1 0 9.0833 0.038445 9.6059e-04
743 1 1 1 1 0 101.0000 0.108420 4.5154e-03
744 1 1 1 1 0 8.3333 0.013405 1.3203e-04
745 1 1 1 1 0 101.0000 0.375070 3.2972e-02
746 1 1 1 1 0 56.4160 0.033054 4.4068e-04
747 1 1 1 1 0 101.0000 0.153090 3.1821e-03
748 1 1 1 1 0 101.0000 0.248310 3.8219e-03
749 1 1 1 1 0 67.6660 0.053320 7.5900e-04
750 1 1 1 1 0 64.5830 0.055421 7.9201e-04
751 1 1 1 1 0 9.3333 0.043737 1.2670e-03
752 1 1 1 1 0 10.4170 0.046593 1.6707e-03
753 1 1 1 1 0 9.2500 0.043262 1.4197e-03
754 1 1 1 1 0 10.3330 0.048542 1.8486e-03
755 1 1 1 1 0 101.0000 0.203390 3.1163e-03
756 1 1 1 1 0 16.0000 0.020686 2.4639e-04
757 1 1 1 1 0 10.5830 0.013028 1.2610e-04
758 1 1 1 1 0 73.5830 0.049200 6.9430e-04
759 1 1 1 1 0 56.4160 0.074759 2.2524e-03
760 1 1 1 1 0 23.6670 0.023018 2.8302e-04
761 1 1 1 1 0 53.5000 0.029479 3.8452e-04
762 1 1 1 1 0 43.8330 0.026600 3.3929e-04
763 1 1 1 1 0 10.9170 0.013203 1.2885e-04
764 1 1 1 1 0 60.3330 0.043376 6.0280e-04
765 1 1 1 1 0 3.6667 0.013486 1.3329e-04
766 1 1 1 1 0 17.6670 0.032639 4.3415e-04
767 1 1 1 1 0 90.3340 0.113930 4.6726e-03
768 1 1 1 1 0 101.0000 0.289790 1.1978e-02
769 1 1 1 1 0 11.6670 0.016022 1.7314e-04
770 1 1 1 1 0 6.3333 0.015611 1.6668e-04
771 1 1 1 1 0 6.4167 0.014737 1.5294e-04
772 1 1 1 1 0 85.3340 0.095755 1.4256e-03
773 1 1 1 1 0 5.1667 0.012693 1.2084e-04
774 1 1 1 1 0 6.6667 0.039850 8.7009e-04
775 1 1 1 1 0 65.7500 0.049985 7.0662e-04
776 1 1 1 1 0 19.4170 0.032086 4.2547e-04
777 1 1 1 1 0 9.0000 0.067032 3.5290e-03
778 1 1 1 1 0 9.0000 0.014517 1.4950e-04
779 1 1 1 1 0 101.0000 0.247810 1.1948e-02
780 1 1 1 1 0 70.5830 0.070210 1.0243e-03
781 1 1 1 1 0 7.8333 0.010947 9.3410e-05
782 1 1 1 1 0 101.0000 0.472920 5.8232e-02
783 1 1 1 1 0 48.9170 0.027210 3.4887e-04
784 1 1 1 1 0 101.0000 0.442890 3.8503e-02
785 1 1 1 1 0 31.3330 0.024573 3.0745e-04
786 1 1 1 1 0 101.0000 0.467770 2.8721e-02
787 1 1 1 1 0 34.9170 0.070983 1.0365e-03
788 1 1 1 1 0 101.0000 0.100440 1.4991e-03
789 1 1 1 1 0 3.5833 0.015974 2.0042e-04
790 1 1 1 1 0 49.2500 0.077648 1.5451e-03
791 1 1 1 1 0 37.4170 0.068476 1.2651e-03
792 1 1 1 1 0 33.4170 0.024484 3.0606e-04
793 1 1 1 1 0 3.9167 0.011241 9.8030e-05
794 1 1 1 1 0 19.4170 0.015141 1.5929e-04
795 1 1 1 1 0 23.7500 0.016151 1.7516e-04
796 1 1 1 1 0 101.0000 0.303070 2.4457e-02
797 1 1 1 1 0 101.0000 0.110450 1.6565e-03
798 1 1 1 1 0 3.4167 0.022285 3.9005e-04
799 1 1 1 1 0 37.3330 0.040539 5.5825e-04
800 1 1 1 1 0 47.2500 0.046602 6.8729e-04
801 1 1 1 1 0 9.0000 0.021463 2.5860e-04
802 1 1 1 1 0 6.5833 0.010984 9.3996e-05
803 1 1 1 1 0 9.7500 0.020003 2.3567e-04
804 1 1 1 1 0 7.0000 0.011479 1.0254e-04
805 1 1 1 1 0 71.0830 0.077177 1.1524e-03
806 1 1 1 1 0 26.5000 0.031923 4.2291e-04
807 1 1 1 1 0 3.5000 0.010357 8.4250e-05
808 1 1 1 1 0 3.6667 0.012720 1.2127e-04
809 1 1 1 1 0 101.0000 0.443950 4.6539e-02
810 1 1 1 1 0 10.6670 0.048770 1.1488e-03
811 1 1 1 1 0 86.8340 0.079776 1.1746e-03
812 1 1 1 1 0 26.5830 0.016285 1.7726e-04
813 1 1 1 1 0 6.1667 0.012600 1.1939e-04
814 1 1 1 1 0 3.7500 0.011360 1.0135e-04
815 1 1 1 1 0 101.0000 0.366990 1.9945e-02
816 1 1 1 1 0 11.5000 0.014638 1.5140e-04
817 1 1 1 1 0 35.2500 0.019986 2.3540e-04
818 1 1 1 1 0 26.9170 0.053467 7.6132e-04
819 1 1 1 1 0 26.5000 0.033679 4.5049e-04
820 1 1 1 1 0 8.1667 0.031703 6.3260e-04
821 1 1 1 1 0 29.9170 0.036440 4.9386e-04
822 1 1 1 1 0 27.9170 0.037680 5.1333e-04
823 1 1 1 1 0 101.0000 0.191600 5.8688e-03
824 1 1 1 1 0 2.2500 0.011044 9.5788e-05
825 1 1 1 1 0 9.0000 0.018509 2.4214e-04
826 1 1 1 1 0 8.4167 0.016479 2.0987e-04
827 1 1 1 1 0 6.7500 0.018186 2.3930e-04
828 1 1 1 1 0 25.1670 0.027911 3.5989e-04
829 1 1 1 1 0 1.8333 0.016075 2.0296e-04
830 1 1 1 1 0 3.0000 0.013990 1.5372e-04
831 1 1 1 1 0 17.3330 0.013966 1.4084e-04
832 1 1 1 1 0 25.1670 0.020522 2.4382e-04
833 1 1 1 1 0 14.3330 0.047572 8.9726e-04
834 1 1 1 1 0 101.0000 0.452120 4.4179e-02
835 1 1 1 1 0 19.6670 0.026066 3.3090e-04
836 1 1 1 1 0 83.2500 0.086038 1.2729e-03
837 1 1 1 1 0 73.4170 0.063190 9.1404e-04
838 1 1 1 1 0 4.4167 0.012535 1.2283e-04
839 1 1 1 1 0 101.0000 0.238680 1.1409e-02
840 1 1 1 1 0 29.3330 0.044709 6.3679e-04
841 1 1 1 1 0 20.0830 0.020383 2.4164e-04
842 1 1 1 1 0 101.0000 0.491580 6.1507e-02
843 1 1 1 1 0 101.0000 0.065462 9.4974e-04
844 1 1 1 1 0 101.0000 0.330100 8.0435e-03
845 1 1 1 1 0 21.5830 0.029289 3.8153e-04
846 1 1 1 1 0 30.4170 0.022209 2.7032e-04
847 1 1 1 1 0 5.7500 0.018362 2.0989e-04
848 1 1 1 1 0 9.2500 0.017022 1.8885e-04
849 1 1 1 1 0 8.0000 0.018068 2.3443e-04
850 1 1 1 1 0 11.1670 0.060884 2.5413e-03
851 1 1 1 1 0 17.5000 0.018869 2.1786e-04
852 1 1 1 1 0 13.2500 0.014585 1.5056e-04
853 1 1 1 1 0 3.8333 0.028075 4.3078e-04
854 1 1 1 1 0 12.8330 0.042464 5.8848e-04
855 1 1 1 1 0 15.9170 0.012867 1.2357e-04
856 1 1 1 1 0 20.5830 0.020002 2.3565e-04
857 1 1 1 1 0 13.6670 0.018257 2.0824e-04
858 1 1 1 1 0 35.8330 0.021936 2.6603e-04
859 1 1 1 1 0 13.0830 0.017187 1.9144e-04
860 1 1 1 1 0 38.5000 0.049589 7.0040e-04
861 1 1 1 1 0 4.0000 0.032207 6.8366e-04
862 1 1 1 1 0 101.0000 0.425430 4.1393e-02
863 1 1 1 1 0 38.8330 0.024665 3.0890e-04
864 1 1 1 1 0 101.0000 0.389250 2.6182e-02
865 1 1 1 1 0 9.0000 0.010478 8.6047e-05
866 1 1 1 1 0 9.0000 0.015295 1.6171e-04
867 1 1 1 1 0 2.2500 0.010578 8.7621e-05
868 1 1 1 1 0 37.1670 0.049099 1.5217e-03
869 1 1 1 1 0 2.0833 0.011456 1.0308e-04
870 1 1 1 1 0 5.0000 0.028633 3.7123e-04
871 1 1 1 1 0 101.0000 0.323480 2.2392e-02
872 1 1 1 1 0 27.1670 0.033491 4.4753e-04
873 1 1 1 1 0 30.5830 0.040959 5.6484e-04
874 1 1 1 1 0 101.0000 0.249870 1.2256e-02
875 1 1 1 1 0 20.4170 0.010537 8.6978e-05
876 1 1 1 1 0 13.7500 0.042388 7.8022e-04
877 1 1 1 1 0 64.5000 0.051811 7.3531e-04
878 1 1 1 1 0 101.0000 0.293260 1.4460e-02
879 1 1 1 1 0 65.1660 0.052054 7.3912e-04
880 1 1 1 1 0 101.0000 0.096926 1.4440e-03
881 1 1 1 1 0 49.0830 0.065898 9.8469e-04
882 1 1 1 1 0 28.1670 0.042700 5.9219e-04
883 1 1 1 1 0 50.6660 0.043550 7.4098e-04
884 1 1 1 1 0 17.5000 0.058248 1.5266e-03
885 1 1 1 1 0 29.2500 0.016142 1.7502e-04
886 1 1 1 1 0 18.9170 0.034520 5.5882e-04
887 1 1 1 1 0 5.7500 0.011336 9.9532e-05
888 1 1 1 1 0 101.0000 0.377170 2.9672e-02
889 1 1 1 1 0 13.6670 0.047637 1.0346e-03
890 1 1 1 1 0 52.3330 0.075702 1.9700e-03
891 1 1 1 1 0 45.5830 0.066821 1.4470e-03
892 1 1 1 1 0 51.8330 0.058036 8.3309e-04
893 1 1 1 1 0 18.5000 0.013252 1.2963e-04
894 1 1 1 1 0 101.0000 0.337890 2.0019e-02
895 1 1 1 1 0 15.2500 0.019649 2.3011e-04
896 1 1 1 1 0 101.0000 0.163020 2.4822e-03
897 1 1 1 1 0 3.3333 0.018314 2.5929e-04
898 1 1 1 1 0 28.4170 0.057899 8.3094e-04
899 1 1 1 1 0 42.4170 0.049895 7.0520e-04
900 1 1 1 1 0 9.8333 0.017967 2.0368e-04
901 1 1 1 1 0 62.1660 0.122560 5.6624e-03
902 1 1 1 1 0 35.5000 0.022740 2.7867e-04
903 1 1 1 1 0 40.7500 0.023861 2.9627e-04
904 1 1 1 1 0 101.0000 0.172720 3.5050e-03
905 1 1 1 1 0 18.5000 0.025744 3.2585e-04
906 1 1 1 1 0 19.7500 0.040068 9.5014e-04
907 1 1 1 1 0 9.7500 0.012342 1.1533e-04
908 1 1 1 1 0 101.0000 0.230450 8.9907e-03
909 1 1 1 1 0 15.9170 0.020233 2.3929e-04
910 1 1 1 1 0 10.4170 0.015552 1.6576e-04
911 1 1 1 1 0 41.7500 0.082982 1.4148e-03
912 1 1 1 1 0 41.0000 0.106220 2.4231e-03
913 1 1 1 1 0 11.9170 0.013553 1.3435e-04
914 1 1 1 1 0 41.0830 0.065072 9.5489e-04
915 1 1 1 1 0 27.5830 0.041371 5.7132e-04
916 1 1 1 1 0 101.0000 0.148840 2.2595e-03
917 1 1 1 1 0 28.4170 0.016881 1.8663e-04
918 1 1 1 1 0 33.4170 0.022608 2.7659e-04
919 1 1 1 1 0 61.6660 0.030479 4.0022e-04
920 1 1 1 1 0 36.5000 0.054553 8.3581e-04
921 1 1 1 1 0 40.6670 0.056173 9.4804e-04
922 1 1 1 1 0 25.7500 0.050110 7.0859e-04
923 1 1 1 1 0 27.8330 0.017057 1.8939e-04
924 1 1 1 1 0 14.6670 0.013081 1.2693e-04
925 1 1 1 1 0 101.0000 0.415560 3.6990e-02
926 1 1 1 1 0 89.4170 0.067242 9.7770e-04
927 1 1 1 1 0 40.4170 0.033249 4.4373e-04
928 1 1 1 1 0 12.4170 0.014976 1.5670e-04
929 1 1 1 1 0 41.2500 0.046635 6.5401e-04
930 1 1 1 1 0 13.8330 0.017656 1.9880e-04
931 1 1 1 1 0 101.0000 0.475380 3.8909e-02
932 1 1 1 1 0 58.3330 0.073647 2.2608e-03
933 1 1 1 1 0 28.6670 0.019636 2.2990e-04
934 1 1 1 1 0 84.0840 0.103170 2.7249e-03
935 1 1 1 1 0 33.0000 0.034111 4.5728e-04
936 1 1 1 1 0 3.3333 0.015283 1.7010e-04
937 1 1 1 1 0 7.2500 0.015225 1.7894e-04
938 1 1 1 1 0 2.2500 0.021023 3.4711e-04
939 1 1 1 1 0 3.5000 0.021400 3.5967e-04
940 1 1 1 1 0 101.0000 0.416400 3.7779e-02
941 1 1 1 1 0 51.3330 0.048028 6.7589e-04
942 1 1 1 1 0 101.0000 0.477290 5.4208e-02
943 1 1 1 1 0 17.4170 0.019619 2.2964e-04
944 1 1 1 1 0 28.7500 0.018702 2.1523e-04
945 1 1 1 1 0 101.0000 0.199880 3.0611e-03
946 1 1 1 1 0 101.0000 0.402690 3.8853e-02
947 1 1 1 1 0 78.7500 0.065281 9.4689e-04
948 1 1 1 1 0 101.0000 0.192860 9.7377e-03
949 1 1 1 1 0 23.4170 0.057703 1.7965e-03
950 1 1 1 1 0 101.0000 0.387730 2.4801e-02
951 1 1 1 1 0 31.5000 0.019985 2.3538e-04
952 1 1 1 1 0 70.0830 0.182860 9.6760e-03
953 1 1 1 1 0 41.6670 0.076284 1.2102e-03
954 1 1 1 1 0 30.6670 0.062481 1.0682e-03
955 1 1 1 1 0 40.0000 0.033439 4.4671e-04
956 1 1 1 1 0 4.9167 0.019868 3.1001e-04
957 1 1 1 1 0 101.0000 0.273830 1.1210e-02
958 1 1 1 1 0 24.0000 0.010881 9.2381e-05
959 1 1 1 1 0 3.0000 0.013344 1.3107e-04
960 1 1 1 1 0 3.4167 0.012677 1.2622e-04
961 1 1 1 1 0 3.0000 0.012326 1.1507e-04
962 1 1 1 1 0 3.0000 0.011204 9.7457e-05
963 1 1 1 1 0 3.0000 0.011783 1.0905e-04
964 1 1 1 1 0 29.0830 0.073488 3.2072e-03
965 1 1 1 1 0 29.0830 0.108510 5.6567e-03
966 1 1 1 1 0 4.3333 0.035501 9.8984e-04
967 1 1 1 1 0 20.5000 0.020437 2.4249e-04
968 1 1 1 1 0 101.0000 0.417620 2.7541e-02
969 1 1 1 1 0 101.0000 0.062977 9.1070e-04
970 1 1 1 1 0 12.5830 0.019000 2.1991e-04
971 1 1 1 1 0 81.7500 0.154430 1.3415e-02
972 1 1 1 1 0 17.2500 0.049399 6.9741e-04
973 1 1 1 1 0 33.2500 0.055141 1.4453e-03
974 1 1 1 1 0 5.3333 0.028124 5.0757e-04
975 1 1 1 1 0 22.3330 0.051838 8.0576e-04
976 1 1 1 1 0 22.8330 0.022949 2.8195e-04
977 1 1 1 1 0 21.6670 0.025290 3.1872e-04
978 1 1 1 1 0 63.6660 0.040896 5.6385e-04
979 1 1 1 1 0 20.7500 0.042200 1.0554e-03
980 1 1 1 1 0 41.2500 0.058977 8.4786e-04
981 1 1 1 1 0 101.0000 0.235890 1.0708e-02
982 1 1 1 1 0 39.3330 0.031253 4.1238e-04
983 1 1 1 1 0 47.5830 0.055883 9.6661e-04
984 1 1 1 1 0 47.9170 0.039404 5.5308e-04
985 1 1 1 1 0 101.0000 0.177450 4.1370e-03
986 1 1 1 1 0 9.3333 0.033249 8.1374e-04
987 1 1 1 1 0 5.4167 0.015089 1.6472e-04
988 1 1 1 1 0 3.3333 0.018982 2.8299e-04
989 1 1 1 1 0 3.0000 0.013237 1.2938e-04
990 1 1 1 1 0 61.7500 0.089097 2.7944e-03
991 1 1 1 1 0 3.5000 0.014538 1.5596e-04
992 1 1 1 1 0 15.2500 0.035347 5.8742e-04
993 1 1 1 1 0 52.3330 0.046191 6.4702e-04
994 1 1 1 1 0 101.0000 0.368400 2.2631e-02
995 1 1 1 1 0 15.9170 0.018274 2.0851e-04
996 1 1 1 1 0 46.3330 0.029073 3.7813e-04
997 1 1 1 1 0 14.3330 0.016852 1.8616e-04
998 1 1 1 1 0 7.1667 0.021861 2.8537e-04
999 1 1 1 1 0 30.1670 0.087801 3.6478e-03
1000 1 1 1 1 0 19.5830 0.032314 4.2905e-04
1001 1 1 1 1 0 16.0830 0.023215 2.8611e-04
1002 1 1 1 1 0 15.3330 0.042254 1.1064e-03
1003 1 1 1 1 0 47.4170 0.068075 1.3529e-03
1004 1 1 1 1 0 7.3333 0.015916 1.9895e-04
1005 1 1 1 1 0 5.5833 0.015557 1.7839e-04
1006 1 1 1 1 0 7.0833 0.013211 1.2897e-04
1007 1 1 1 1 0 10.2500 0.016075 1.7396e-04
1008 1 1 1 1 0 14.4170 0.017808 2.0119e-04
1009 1 1 1 1 0 43.7500 0.028563 3.7013e-04
1010 1 1 1 1 0 101.0000 0.355220 1.7599e-02
1011 1 1 1 1 0 87.6670 0.047744 6.7142e-04
1012 1 1 1 1 0 12.0000 0.023456 2.8991e-04
1013 1 1 1 1 0 2.7500 0.012853 1.2359e-04
1014 1 1 1 1 0 43.3330 0.087866 2.5386e-03
1015 1 1 1 1 0 3.0000 0.016750 1.8456e-04
1016 1 1 1 1 0 3.0000 0.010439 8.5581e-05
1017 1 1 1 1 0 18.9170 0.019642 2.3000e-04
1018 1 1 1 1 0 22.5830 0.056850 1.3800e-03
1019 1 1 1 1 0 5.6667 0.033238 4.9410e-04
1020 1 1 1 1 0 12.2500 0.011876 1.0801e-04
1021 1 1 1 1 0 45.6670 0.024437 3.0532e-04
1022 1 1 1 1 0 28.4170 0.032658 4.3446e-04
1023 1 1 1 1 0 30.0000 0.051448 9.2566e-04
1024 1 1 1 1 0 30.3330 0.065623 1.1867e-03
1025 1 1 1 1 0 50.1660 0.065212 1.4486e-03
1026 1 1 1 1 0 34.4170 0.033384 4.4585e-04
1027 1 1 1 1 0 11.5830 0.019633 2.2985e-04
1028 1 1 1 1 0 101.0000 0.267970 7.6019e-03
1029 1 1 1 1 0 4.5000 0.014400 1.4765e-04
1030 1 1 1 1 0 22.8330 0.025804 3.2678e-04
1031 1 1 1 1 0 22.2500 0.056578 8.1018e-04
1032 1 1 1 1 0 22.8330 0.034190 5.8731e-04
1033 1 1 1 1 0 5.4167 0.015945 1.7192e-04
1034 1 1 1 1 0 32.1670 0.040332 5.5500e-04
1035 1 1 1 1 0 8.1667 0.013018 1.2594e-04
1036 1 1 1 1 0 22.2500 0.023051 2.8355e-04
1037 1 1 1 1 0 5.5833 0.036903 8.1004e-04
1038 1 1 1 1 0 6.1667 0.018180 2.0703e-04
1039 1 1 1 1 0 4.3333 0.013738 1.3725e-04
1040 1 1 1 1 0 3.2500 0.015210 1.6038e-04
1041 1 1 1 1 0 3.5000 0.019843 3.0925e-04
1042 1 1 1 1 0 12.0000 0.017252 1.9245e-04
1043 1 1 1 1 0 69.3330 0.121130 4.0865e-03
1044 1 1 1 1 0 29.2500 0.067655 1.0479e-03
1045 1 1 1 1 0 36.0830 0.055556 7.9413e-04
1046 1 1 1 1 0 14.5830 0.011943 1.0906e-04
1047 1 1 1 1 0 15.0000 0.017763 2.0048e-04
1048 1 1 1 1 0 51.3330 0.059509 1.0145e-03
1049 1 1 1 1 0 17.4170 0.016659 1.8314e-04
1050 1 1 1 1 0 7.4167 0.014869 1.5502e-04
1051 1 1 1 1 0 11.1670 0.035107 7.2020e-04
1052 1 1 1 1 0 1.5833 0.011947 1.1211e-04
1053 1 1 1 1 0 20.5000 0.023697 2.9368e-04
1054 1 1 1 1 0 67.8330 0.077762 1.1429e-03
1055 1 1 1 1 0 101.0000 0.169300 6.6947e-03
1056 1 1 1 1 0 76.0000 0.145600 1.0495e-02
1057 1 1 1 1 0 22.7500 0.071015 2.2223e-03
1058 1 1 1 1 0 22.8330 0.036298 4.9163e-04
1059 1 1 1 1 0 101.0000 0.205680 1.0738e-02
1060 1 1 1 1 0 23.8330 0.039998 5.4975e-04
1061 1 1 1 1 0 101.0000 0.138380 3.7574e-03
1062 1 1 1 1 0 67.7500 0.069516 1.0134e-03
1063 1 1 1 1 0 44.7500 0.064617 9.3646e-04
1064 1 1 1 1 0 9.2500 0.032418 4.3067e-04
1065 1 1 1 1 0 58.4160 0.055096 7.8690e-04
1066 1 1 1 1 0 101.0000 0.359180 3.3266e-02
1067 1 1 1 1 0 15.5830 0.019534 2.2831e-04
1068 1 1 1 1 0 43.2500 0.051235 7.2626e-04
1069 1 1 1 1 0 60.7500 0.152230 4.4393e-03
1070 1 1 1 1 0 32.3330 0.063041 1.1475e-03
1071 1 1 1 1 0 3.0000 0.010054 7.9383e-05
1072 1 1 1 1 0 3.0000 0.015289 1.8360e-04
1073 1 1 1 1 0 84.5000 0.102920 2.5017e-03
1074 1 1 1 1 0 32.5000 0.041433 5.7229e-04
1075 1 1 1 1 0 69.5000 0.146680 9.4916e-03
1076 1 1 1 1 0 12.9170 0.037755 5.1452e-04
1077 1 1 1 1 0 6.5833 0.014602 1.5083e-04
1078 1 1 1 1 0 31.3330 0.028294 3.6590e-04
1079 1 1 1 1 0 89.1670 0.086685 1.2831e-03
1080 1 1 1 1 0 43.2500 0.085715 1.6921e-03
1081 1 1 1 1 0 22.8330 0.026169 3.3253e-04
1082 1 1 1 1 0 70.5830 0.109520 2.7235e-03
1083 1 1 1 1 0 65.5000 0.098303 1.4656e-03
1084 1 1 1 1 0 23.3330 0.018443 2.1116e-04
1085 1 1 1 1 0 101.0000 0.490900 6.2093e-02
1086 1 1 1 1 0 62.5830 0.071567 1.0456e-03
1087 1 1 1 1 0 101.0000 0.479490 6.0185e-02
1088 1 1 1 1 0 16.0000 0.033205 4.4305e-04
1089 1 1 1 1 0 101.0000 0.133620 2.4370e-03
1090 1 1 1 1 0 91.5000 0.076313 1.1202e-03
1091 1 1 1 1 0 2.9167 0.014295 1.4601e-04
1092 1 1 1 1 0 19.5830 0.011354 9.9807e-05
1093 1 1 1 1 0 62.2500 0.161480 4.8854e-03
1094 1 1 1 1 0 40.5830 0.085727 1.8305e-03
1095 1 1 1 1 0 31.8330 0.085161 2.4012e-03
1096 1 1 1 1 0 32.0000 0.048319 6.8045e-04
1097 1 1 1 1 0 101.0000 0.207710 5.0223e-03
1098 1 1 1 1 0 33.3330 0.033611 4.4942e-04
1099 1 1 1 1 0 14.4170 0.050267 8.9032e-04
1100 1 1 1 1 0 11.3330 0.015950 1.7200e-04
1101 1 1 1 1 0 9.7500 0.020224 2.3914e-04
1102 1 1 1 1 0 73.9170 0.057030 8.1729e-04
1103 1 1 1 1 0 33.1670 0.066711 1.1411e-03
1104 1 1 1 1 0 101.0000 0.348810 3.7930e-02
1105 1 1 1 1 0 63.0830 0.090193 2.6997e-03
1106 1 1 1 1 0 15.4170 0.018620 2.1395e-04
1107 1 1 1 1 0 101.0000 0.256280 2.1876e-02
1108 1 1 1 1 0 13.8330 0.058138 1.4533e-03
1109 1 1 1 1 0 50.9160 0.049892 7.0516e-04
1110 1 1 1 1 0 101.0000 0.210430 3.2269e-03
1111 1 1 1 1 0 13.0000 0.021395 2.5753e-04
1112 1 1 1 1 0 101.0000 0.216630 8.2587e-03
1113 1 1 1 1 0 35.4170 0.053685 7.6474e-04
1114 1 1 1 1 0 101.0000 0.185630 2.8405e-03
1115 1 1 1 1 0 13.0000 0.027967 3.6077e-04
1116 1 1 1 1 0 23.5830 0.063167 9.7044e-04
1117 1 1 1 1 0 101.0000 0.369870 3.4713e-02
1118 1 1 1 1 0 29.5830 0.059404 1.0401e-03
1119 1 1 1 1 0 57.5830 0.152510 4.5201e-03
1120 1 1 1 1 0 48.2500 0.037852 5.1604e-04
1121 1 1 1 1 0 8.1667 0.030893 4.0673e-04
1122 1 1 1 1 0 5.8333 0.022086 2.6838e-04
1123 1 1 1 1 0 50.8330 0.136290 3.9756e-03
1124 1 1 1 1 0 15.5830 0.010743 9.0210e-05
1125 1 1 1 1 0 12.4170 0.019403 2.2624e-04
1126 1 1 1 1 0 23.4170 0.062372 1.2259e-03
1127 1 1 1 1 0 13.3330 0.014937 1.5610e-04
1128 1 1 1 1 0 15.5000 0.016460 1.8001e-04
1129 1 1 1 1 0 17.8330 0.033075 4.4100e-04
1130 1 1 1 1 0 12.0830 0.046738 1.5650e-03
1131 1 1 1 1 0 2.7500 0.037673 1.1147e-03
1132 1 1 1 1 0 36.9170 0.061149 8.8199e-04
1133 1 1 1 1 0 22.8330 0.029587 3.8622e-04
1134 1 1 1 1 0 27.3330 0.068536 9.9802e-04
1135 1 1 1 1 0 36.3330 0.066424 1.9803e-03
1136 1 1 1 1 0 43.3330 0.063740 9.2268e-04
1137 1 1 1 1 0 32.5830 0.041608 5.7504e-04
1138 1 1 1 1 0 31.9170 0.079049 1.5846e-03
1139 1 1 1 1 0 101.0000 0.477880 4.9605e-02
1140 1 1 1 1 0 43.6670 0.048046 6.7616e-04
1141 1 1 1 1 0 26.3330 0.018727 2.1562e-04
1142 1 1 1 1 0 37.5830 0.053529 7.6229e-04
1143 1 1 1 1 0 101.0000 0.551080 5.5515e-02
1144 1 1 1 1 0 59.6660 0.104210 2.7356e-03
1145 1 1 1 1 0 101.0000 0.313810 2.4823e-02
1146 1 1 1 1 0 23.5000 0.041128 8.8700e-04
1147 1 1 1 1 0 76.3330 0.061099 8.8120e-04
1148 1 1 1 1 0 44.7500 0.033813 4.5260e-04
1149 1 1 1 1 0 38.4170 0.050515 1.2346e-03
1150 1 1 1 1 0 31.8330 0.045246 6.3218e-04
1151 1 1 1 1 0 37.0830 0.069764 1.5062e-03
1152 1 1 1 1 0 13.7500 0.033707 5.4926e-04
1153 1 1 1 1 0 22.1670 0.020981 2.5103e-04
1154 1 1 1 1 0 7.7500 0.017261 1.9259e-04
1155 1 1 1 1 0 73.8330 0.079437 1.1692e-03
1156 1 1 1 1 0 39.2500 0.023425 2.8942e-04
1157 1 1 1 1 0 25.5830 0.025091 3.1558e-04
1158 1 1 1 1 0 101.0000 0.267940 1.0609e-02
1159 1 1 1 1 0 37.3330 0.024392 3.0460e-04
1160 1 1 1 1 0 28.4170 0.018979 2.1959e-04
1161 1 1 1 1 0 21.6670 0.045684 1.5586e-03
1162 1 1 1 1 0 59.5830 0.044365 1.0945e-03
1163 1 1 1 1 0 77.0000 0.135650 2.9284e-03
1164 1 1 1 1 0 11.6670 0.019365 2.2564e-04
1165 1 1 1 1 0 81.6670 0.116250 5.8841e-03
1166 1 1 1 1 0 7.2500 0.011216 9.7634e-05
1167 1 1 1 1 0 101.0000 0.364860 3.4252e-02
1168 1 1 1 1 0 77.0830 0.064015 9.2701e-04
1169 1 1 1 1 0 22.4170 0.043075 5.9809e-04
1170 1 1 1 1 0 11.5000 0.013387 1.3175e-04
1171 1 1 1 1 0 78.3330 0.112720 3.2104e-03
1172 1 1 1 1 0 8.8333 0.014419 1.4795e-04
1173 1 1 1 1 0 101.0000 0.124340 3.2836e-03
1174 1 1 1 1 0 42.8330 0.062104 8.9698e-04
1175 1 1 1 1 0 43.5830 0.065832 1.0824e-03
1176 1 1 1 1 0 14.7500 0.012914 1.2431e-04
1177 1 1 1 1 0 101.0000 0.496590 6.0970e-02
1178 1 1 1 1 0 17.5000 0.052831 1.1492e-03
1179 1 1 1 1 0 27.2500 0.023128 2.8475e-04
1180 1 1 1 1 0 26.3330 0.018105 2.0586e-04
1181 1 1 1 1 0 9.0833 0.011663 1.0467e-04
1182 1 1 1 1 0 20.6670 0.015555 1.6579e-04
1183 1 1 1 1 0 101.0000 0.337570 1.9935e-02
1184 1 1 1 1 0 26.5000 0.013067 1.2671e-04
1185 1 1 1 1 0 28.3330 0.081526 4.4710e-03
1186 1 1 1 1 0 5.5833 0.010450 8.5762e-05
1187 1 1 1 1 0 52.4160 0.080482 1.8313e-03
1188 1 1 1 1 0 8.0000 0.025682 3.2487e-04
1189 1 1 1 1 0 20.0830 0.019466 2.2723e-04
1190 1 1 1 1 0 37.0830 0.047599 6.6915e-04
1191 1 1 1 1 0 3.1667 0.022692 2.7791e-04
1192 1 1 1 1 0 54.5000 0.100610 1.5861e-03
1193 1 1 1 1 0 30.3330 0.013995 1.4129e-04
1194 1 1 1 1 0 101.0000 0.216360 1.0968e-02
1195 1 1 1 1 0 101.0000 0.422850 3.6159e-02
1196 1 1 1 1 0 78.7500 0.095561 1.4225e-03
1197 1 1 1 1 0 51.0830 0.035119 4.7311e-04
1198 1 1 1 1 0 6.5000 0.019290 2.2447e-04
1199 1 1 1 1 0 25.1670 0.023368 2.8852e-04
1200 1 1 1 1 0 72.3330 0.062094 8.9683e-04
1201 1 1 1 1 0 101.0000 0.236290 7.6943e-03
1202 1 1 1 1 0 12.5830 0.015027 1.5751e-04
1203 1 1 1 1 0 15.9170 0.015755 1.6894e-04
1204 1 1 1 1 0 101.0000 0.293930 1.7025e-02
1205 1 1 1 1 0 13.1670 0.041758 5.7740e-04
1206 1 1 1 1 0 22.3330 0.066115 1.8995e-03
1207 1 1 1 1 0 9.5000 0.030185 3.9561e-04
1208 1 1 1 1 0 26.8330 0.038592 5.2766e-04
1209 1 1 1 1 0 101.0000 0.100430 1.4990e-03
1210 1 1 1 1 0 54.2500 0.064134 9.4155e-04
1211 1 1 1 1 0 101.0000 0.236540 9.4415e-03
1212 1 1 1 1 0 9.7500 0.048006 1.4598e-03
1213 1 1 1 1 0 11.5000 0.014124 1.4331e-04
1214 1 1 1 1 0 22.9170 0.041851 5.7885e-04
1215 1 1 1 1 0 39.5830 0.027199 3.4871e-04
1216 1 1 1 1 0 27.8330 0.025158 3.1665e-04
1217 1 1 1 1 0 34.2500 0.044015 6.1284e-04
1218 1 1 1 1 0 23.8330 0.021485 2.5895e-04
1219 1 1 1 1 0 11.3330 0.013202 1.2883e-04
1220 1 1 1 1 0 36.5000 0.040472 5.5720e-04
1221 1 1 1 1 0 6.5000 0.010084 7.9862e-05
1222 1 1 1 1 0 101.0000 0.514790 5.2746e-02
1223 1 1 1 1 0 23.0000 0.069903 1.9583e-03
1224 1 1 1 1 0 10.8330 0.012277 1.1431e-04
1225 1 1 1 1 0 9.4167 0.042898 1.0311e-03
1226 1 1 1 1 0 10.0000 0.035972 5.2495e-04
1227 1 1 1 1 0 10.5000 0.015254 1.6106e-04
1228 1 1 1 1 0 20.9170 0.027459 3.5278e-04
1229 1 1 1 1 0 101.0000 0.210850 7.0103e-03
1230 1 1 1 1 0 37.0830 0.044043 6.1328e-04
1231 1 1 1 1 0 29.8330 0.053738 7.6558e-04
1232 1 1 1 1 0 69.0000 0.065367 9.4824e-04
1233 1 1 1 1 0 3.8333 0.014393 1.4754e-04
1234 1 1 1 1 0 6.4167 0.012612 1.1957e-04
1235 1 1 1 1 0 18.5000 0.023727 2.9416e-04
1236 1 1 1 1 0 56.5000 0.057187 8.1975e-04
1237 1 1 1 1 0 44.5830 0.056658 8.1144e-04
1238 1 1 1 1 0 101.0000 0.421220 3.1991e-02
1239 1 1 1 1 0 31.1670 0.028880 3.7511e-04
1240 1 1 1 1 0 4.4167 0.015532 1.6543e-04
1241 1 1 1 1 0 4.2500 0.011481 1.0353e-04
1242 1 1 1 1 0 101.0000 0.142530 2.1603e-03
1243 1 1 1 1 0 101.0000 0.332440 2.0514e-02
1244 1 1 1 1 0 23.4170 0.041319 8.2608e-04
1245 1 1 1 1 0 8.4167 0.042496 1.4184e-03
1246 1 1 1 1 0 101.0000 0.105440 1.5777e-03
1247 1 1 1 1 0 80.8330 0.051423 7.2921e-04
1248 1 1 1 1 0 6.6667 0.013275 1.2998e-04
1249 1 1 1 1 0 30.6670 0.042233 5.8485e-04
1250 1 1 1 1 0 101.0000 0.115690 2.1484e-03
1251 1 1 1 1 0 17.2500 0.020868 2.4925e-04
1252 1 1 1 1 0 76.5830 0.073067 1.0692e-03
1253 1 1 1 1 0 15.4170 0.020342 2.4099e-04
1254 1 1 1 1 0 5.6667 0.037205 9.1458e-04
1255 1 1 1 1 0 101.0000 0.293570 1.5150e-02
1256 1 1 1 1 0 101.0000 0.344860 2.9380e-02
1257 1 1 1 1 0 12.0830 0.032627 4.3396e-04
1258 1 1 1 1 0 87.1670 0.073916 1.0825e-03
1259 1 1 1 1 0 101.0000 0.423370 2.4148e-02
1260 1 1 1 1 0 12.4170 0.018780 2.1646e-04
1261 1 1 1 1 0 72.8330 0.055828 7.9841e-04
1262 1 1 1 1 0 10.8330 0.011818 1.0709e-04
1263 1 1 1 1 0 16.5000 0.050006 1.1494e-03
1264 1 1 1 1 0 5.4167 0.013838 1.3883e-04
1265 1 1 1 1 0 9.4167 0.013074 1.2892e-04
1266 1 1 1 1 0 21.7500 0.057730 1.0395e-03
1267 1 1 1 1 0 29.6670 0.065394 2.0424e-03
1268 1 1 1 1 0 13.5830 0.033849 4.5316e-04
1269 1 1 1 1 0 7.5833 0.020433 2.4243e-04
1270 1 1 1 1 0 18.5830 0.019708 2.3103e-04
1271 1 1 1 1 0 101.0000 0.479230 5.7290e-02
1272 1 1 1 1 0 54.1660 0.045402 6.3463e-04
1273 1 1 1 1 0 39.0000 0.066505 9.7747e-04
1274 1 1 1 1 0 43.0830 0.028136 3.6343e-04
1275 1 1 1 1 0 10.9170 0.017288 1.9301e-04
1276 1 1 1 1 0 101.0000 0.507070 4.0885e-02
1277 1 1 1 1 0 27.1670 0.049580 7.0027e-04
1278 1 1 1 1 0 12.4170 0.013974 1.4096e-04
1279 1 1 1 1 0 11.3330 0.014906 1.5561e-04
1280 1 1 1 1 0 59.2500 0.055676 7.9602e-04
1281 1 1 1 1 0 35.3330 0.046590 6.5329e-04
1282 1 1 1 1 0 10.4170 0.036084 4.8827e-04
1283 1 1 1 1 0 14.2500 0.053894 1.0012e-03
1284 1 1 1 1 0 18.4170 0.039478 5.4157e-04
1285 1 1 1 1 0 101.0000 0.124990 1.8848e-03
1286 1 1 1 1 0 24.0830 0.062004 1.5894e-03
1287 1 1 1 1 0 101.0000 0.339250 3.1273e-02
1288 1 1 1 1 0 12.2500 0.032807 4.3679e-04
1289 1 1 1 1 0 101.0000 0.472840 5.7969e-02
1290 1 1 1 1 0 52.3330 0.080523 2.0080e-03
1291 1 1 1 1 0 101.0000 0.253070 8.5001e-03
1292 1 1 1 1 0 101.0000 0.101990 1.5236e-03
1293 1 1 1 1 0 73.4170 0.064931 9.4140e-04
1294 1 1 1 1 0 56.6660 0.035803 4.8386e-04
1295 1 1 1 1 0 21.0000 0.041011 8.4284e-04
1296 1 1 1 1 0 101.0000 0.252130 1.5565e-02
1297 1 1 1 1 0 13.0830 0.043200 6.0004e-04
1298 1 1 1 1 0 38.6670 0.072059 1.0534e-03
1299 1 1 1 1 0 15.5000 0.054061 1.2279e-03
1300 1 1 1 1 0 33.3330 0.045680 6.3900e-04
1301 1 1 1 1 0 7.5833 0.015855 1.7050e-04
1302 1 1 1 1 0 74.8330 0.089985 1.3349e-03
1303 1 1 1 1 0 5.7500 0.013363 1.3137e-04
1304 1 1 1 1 0 8.7500 0.013895 1.3972e-04
1305 1 1 1 1 0 15.6670 0.018379 2.1015e-04
1306 1 1 1 1 0 3.5833 0.010899 9.2662e-05
1307 1 1 1 1 0 18.3330 0.018329 2.0937e-04
1308 1 1 1 1 0 101.0000 0.520820 4.6253e-02
1309 1 1 1 1 0 57.1660 0.065606 9.9118e-04
1310 1 1 1 1 0 79.6670 0.061422 8.8627e-04
1311 1 1 1 1 0 56.0830 0.041306 5.7029e-04
1312 1 1 1 1 0 13.8330 0.016101 1.7438e-04
1313 1 1 1 1 0 5.5000 0.025697 3.5642e-04
1314 1 1 1 1 0 101.0000 0.513250 5.8446e-02
1315 1 1 1 1 0 10.5830 0.041596 5.7484e-04
1316 1 1 1 1 0 29.2500 0.021263 2.5545e-04
1317 1 1 1 1 0 38.5000 0.038379 5.2432e-04
1318 1 1 1 1 0 40.7500 0.058846 8.4581e-04
1319 1 1 1 1 0 101.0000 0.444980 4.8626e-02
1320 1 1 1 1 0 7.5833 0.045434 1.3188e-03
1321 1 1 1 1 0 101.0000 0.276790 1.3832e-02
1322 1 1 1 1 0 48.4170 0.032586 4.3332e-04
1323 1 1 1 1 0 21.8330 0.049233 6.9481e-04
1324 1 1 1 1 0 59.5830 0.037679 5.1333e-04
1325 1 1 1 1 0 22.0000 0.041770 5.7758e-04
1326 1 1 1 1 0 39.5000 0.022905 2.8124e-04
1327 1 1 1 1 0 16.4170 0.011006 9.4341e-05
1328 1 1 1 1 0 9.2500 0.021025 2.5173e-04
1329 1 1 1 1 0 36.4170 0.020109 2.3733e-04
1330 1 1 1 1 0 24.5830 0.024515 3.0653e-04
1331 1 1 1 1 0 11.5000 0.016206 1.7602e-04
1332 1 1 1 1 0 73.7500 0.060896 8.7802e-04
1333 1 1 1 1 0 41.5000 0.079744 1.5484e-03
1334 1 1 1 1 0 101.0000 0.399260 3.8216e-02
1335 1 1 1 1 0 3.0000 0.023514 3.3090e-04
1336 1 1 1 1 0 15.4170 0.012728 1.2140e-04
1337 1 1 1 1 0 22.6670 0.013197 1.2875e-04
1338 1 1 1 1 0 23.5000 0.055137 7.8756e-04
1339 1 1 1 1 0 43.1670 0.090077 2.0336e-03
1340 1 1 1 1 0 37.9170 0.032295 4.6165e-04
1341 1 1 1 1 0 23.6670 0.017669 1.9901e-04
1342 1 1 1 1 0 21.6670 0.013098 1.2721e-04
1343 1 1 1 1 0 4.8333 0.014447 1.4840e-04
1344 1 1 1 1 0 21.6670 0.016860 1.8630e-04
1345 1 1 1 1 0 13.2500 0.022014 2.6726e-04
1346 1 1 1 1 0 33.5000 0.039997 5.4974e-04
1347 1 1 1 1 0 101.0000 0.068742 1.0013e-03
1348 1 1 1 1 0 101.0000 0.346480 2.5957e-02
1349 1 1 1 1 0 4.1667 0.015736 1.7009e-04
1350 1 1 1 1 0 12.5830 0.015187 1.6002e-04
1351 1 1 1 1 0 101.0000 0.341290 2.7589e-02
1352 1 1 1 1 0 4.1667 0.033723 8.9321e-04
1353 1 1 1 1 0 21.6670 0.027120 3.4747e-04
1354 1 1 1 1 0 26.4170 0.041276 6.6665e-04
1355 1 1 1 1 0 50.6660 0.022002 2.6706e-04
1356 1 1 1 1 0 36.3330 0.033045 4.4053e-04
1357 1 1 1 1 0 101.0000 0.133840 3.1508e-03
1358 1 1 1 1 0 3.2500 0.026847 5.6607e-04
1359 1 1 1 1 0 3.3333 0.028766 6.4989e-04
1360 1 1 1 1 0 24.3330 0.059264 1.2150e-03
1361 1 1 1 1 0 23.5000 0.047806 6.7240e-04
1362 1 1 1 1 0 10.0830 0.028209 4.0827e-04
1363 1 1 1 1 0 19.0830 0.021641 2.6139e-04
1364 1 1 1 1 0 25.5830 0.021732 2.6283e-04
1365 1 1 1 1 0 101.0000 0.261120 1.1060e-02
1366 1 1 1 1 0 29.5000 0.017678 1.9915e-04
1367 1 1 1 1 0 85.5840 0.064117 1.1974e-03
1368 1 1 1 1 0 101.0000 0.228350 8.1225e-03
1369 1 1 1 1 0 25.5000 0.039486 5.4170e-04
1370 1 1 1 1 0 15.7500 0.020063 2.3662e-04
1371 1 1 1 1 0 27.7500 0.021777 2.6353e-04
1372 1 1 1 1 0 49.0830 0.030688 4.0350e-04
1373 1 1 1 1 0 28.0830 0.023204 2.8595e-04
1374 1 1 1 1 0 2.4167 0.025330 5.0392e-04
1375 1 1 1 1 0 29.6670 0.033239 4.4358e-04
1376 1 1 1 1 0 24.4170 0.033316 4.4479e-04
1377 1 1 1 1 0 68.1660 0.092495 1.9691e-03
1378 1 1 1 1 0 34.9170 0.033574 4.4883e-04
1379 1 1 1 1 0 46.5000 0.067892 1.4334e-03
1380 1 1 1 1 0 71.3330 0.059468 8.5558e-04
1381 1 1 1 1 0 13.0830 0.044717 6.8497e-04
1382 1 1 1 1 0 3.2500 0.031327 7.7077e-04
1383 1 1 1 1 0 3.3333 0.028097 6.2001e-04
1384 1 1 1 1 0 101.0000 0.202360 1.2005e-02
1385 1 1 1 1 0 23.5000 0.034064 6.8569e-04
1386 1 1 1 1 0 80.6670 0.064014 9.2698e-04
1387 1 1 1 1 0 34.5830 0.036139 5.0572e-04
1388 1 1 1 1 0 101.0000 0.183370 2.8234e-03
1389 1 1 1 1 0 8.4167 0.012939 1.2470e-04
1390 1 1 1 1 0 16.5830 0.022830 2.8008e-04
1391 1 1 1 1 0 6.6667 0.020292 2.4021e-04
1392 1 1 1 1 0 101.0000 0.298360 1.3054e-02
1393 1 1 1 1 0 56.2500 0.034635 4.6550e-04
1394 1 1 1 1 0 13.9170 0.013154 1.2809e-04
1395 1 1 1 1 0 6.0833 0.038161 7.3703e-04
1396 1 1 1 1 0 49.6660 0.058775 1.2493e-03
1397 1 1 1 1 0 9.4167 0.028476 3.6876e-04
1398 1 1 1 1 0 21.5000 0.026812 3.4262e-04
1399 1 1 1 1 0 101.0000 0.249410 8.6956e-03
1400 1 1 1 1 0 47.7500 0.027798 3.5812e-04
1401 1 1 1 1 0 57.4160 0.072969 1.3988e-03
1402 1 1 1 1 0 3.2500 0.031910 7.9974e-04
1403 1 1 1 1 0 3.1667 0.021433 2.9420e-04
1404 1 1 1 1 0 3.5833 0.022027 2.6746e-04
1405 1 1 1 1 0 3.5833 0.017248 1.9239e-04
1406 1 1 1 1 0 3.5833 0.024951 4.8896e-04
1407 1 1 1 1 0 3.5833 0.021293 3.1401e-04
1408 1 1 1 1 0 7.4167 0.039401 1.0102e-03
1409 1 1 1 1 0 21.3330 0.013438 1.3254e-04
1410 1 1 1 1 0 17.6670 0.048032 1.1812e-03
1411 1 1 1 1 0 13.5000 0.053347 1.5721e-03
1412 1 1 1 1 0 28.3330 0.022179 2.6985e-04
1413 1 1 1 1 0 15.5830 0.017530 1.9683e-04
1414 1 1 1 1 0 32.0000 0.056730 8.1257e-04
1415 1 1 1 1 0 101.0000 0.453230 2.9294e-02
1416 1 1 1 1 0 19.8330 0.018913 2.1855e-04
1417 1 1 1 1 0 10.6670 0.048635 7.9204e-04
1418 1 1 1 1 0 101.0000 0.401840 3.4265e-02
1419 1 1 1 1 0 3.5833 0.031283 7.6863e-04
1420 1 1 1 1 0 1.4167 0.012404 1.2084e-04
1421 1 1 1 1 0 3.2500 0.028955 5.7598e-04
1422 1 1 1 1 0 3.7500 0.024916 4.8757e-04
1423 1 1 1 1 0 3.5833 0.022923 4.1270e-04
1424 1 1 1 1 0 51.6660 0.037688 5.1346e-04
1425 1 1 1 1 0 3.5833 0.022942 4.1338e-04
1426 1 1 1 1 0 101.0000 0.293850 2.5288e-02
1427 1 1 1 1 0 22.7500 0.044852 6.2600e-04
1428 1 1 1 1 0 23.5000 0.033419 4.4640e-04
1429 1 1 1 1 0 23.5000 0.046213 6.6178e-04
1430 1 1 1 1 0 101.0000 0.191240 4.0152e-03
1431 1 1 1 1 0 25.0830 0.024831 3.1150e-04
1432 1 1 1 1 0 21.5000 0.022308 2.7188e-04
1433 1 1 1 1 0 101.0000 0.509120 5.7895e-02
1434 1 1 1 1 0 91.1670 0.079435 1.1692e-03
1435 1 1 1 1 0 21.5000 0.017028 1.8893e-04
1436 1 1 1 1 0 101.0000 0.171320 1.1942e-02
1437 1 1 1 1 0 40.0000 0.051402 7.2889e-04
1438 1 1 1 1 0 32.6670 0.018675 2.1480e-04
1439 1 1 1 1 0 101.0000 0.466290 3.7816e-02
1440 1 1 1 1 0 11.5830 0.042245 6.0170e-04
1441 1 1 1 1 0 8.1667 0.012222 1.1344e-04
1442 1 1 1 1 0 7.0000 0.035258 4.7529e-04
1443 1 1 1 1 0 66.2500 0.092676 1.3855e-03
1444 1 1 1 1 0 101.0000 0.130320 5.1702e-03
1445 1 1 1 1 0 64.9160 0.081573 1.4304e-03
1446 1 1 1 1 0 64.3330 0.028045 3.6199e-04
1447 1 1 1 1 0 24.7500 0.030560 4.0149e-04
1448 1 1 1 1 0 8.5000 0.023611 2.9234e-04
1449 1 1 1 1 0 25.5000 0.021616 2.6101e-04
1450 1 1 1 1 0 3.5833 0.023463 4.2123e-04
1451 1 1 1 1 0 3.5833 0.019226 2.2346e-04
1452 1 1 1 1 0 63.7500 0.037541 5.1116e-04
1453 1 1 1 1 0 3.5833 0.013925 1.4020e-04
1454 1 1 1 1 0 101.0000 0.215910 4.9286e-03
1455 1 1 1 1 0 3.2500 0.019808 2.3261e-04
1456 1 1 1 1 0 23.4170 0.050690 7.1769e-04
1457 1 1 1 1 0 39.8330 0.081005 1.5101e-03
1458 1 1 1 1 0 101.0000 0.427710 4.0705e-02
1459 1 1 1 1 0 24.1670 0.025003 3.1420e-04
1460 1 1 1 1 0 16.0000 0.038758 5.3027e-04
1461 1 1 1 1 0 101.0000 0.277120 1.7437e-02
1462 1 1 1 1 0 14.0000 0.022305 2.7183e-04
1463 1 1 1 1 0 17.6670 0.032420 5.4480e-04
1464 1 1 1 1 0 17.5830 0.090352 5.1558e-03
1465 1 1 1 1 0 67.0830 0.061241 8.8343e-04
1466 1 1 1 1 0 3.6667 0.011111 9.6957e-05
1467 1 1 1 1 0 4.5000 0.011024 9.5442e-05
1468 1 1 1 1 0 5.6667 0.013818 1.3851e-04
1469 1 1 1 1 0 45.9170 0.068124 2.5706e-03
1470 1 1 1 1 0 13.4170 0.022759 2.7895e-04
1471 1 1 1 1 0 28.2500 0.025723 3.2552e-04
1472 1 1 1 1 0 12.8330 0.017778 2.0072e-04
1473 1 1 1 1 0 30.5830 0.020996 2.5126e-04
1474 1 1 1 1 0 101.0000 0.607220 7.1030e-02
1475 1 1 1 1 0 23.0830 0.054067 8.1436e-04
1476 1 1 1 1 0 101.0000 0.212320 3.9645e-03
1477 1 1 1 1 0 101.0000 0.228780 1.2905e-02
1478 1 1 1 1 0 35.7500 0.051405 7.2893e-04
1479 1 1 1 1 0 12.4170 0.058141 2.1349e-03
1480 1 1 1 1 0 3.1667 0.031107 7.5999e-04
1481 1 1 1 1 0 3.5833 0.019122 2.5801e-04
1482 1 1 1 1 0 3.4167 0.028711 6.4743e-04
1483 1 1 1 1 0 3.5833 0.016174 1.7552e-04
1484 1 1 1 1 0 3.0833 0.014624 1.5667e-04
1485 1 1 1 1 0 14.5830 0.021112 2.5309e-04
1486 1 1 1 1 0 7.5000 0.040504 5.5770e-04
1487 1 1 1 1 0 101.0000 0.224020 9.7464e-03
1488 1 1 1 1 0 18.3330 0.024534 3.0684e-04
1489 1 1 1 1 0 51.5000 0.064888 9.4072e-04
1490 1 1 1 1 0 55.8330 0.081980 1.2092e-03
1491 1 1 1 1 0 44.1670 0.075838 1.7249e-03
1492 1 1 1 1 0 5.3333 0.011311 1.0049e-04
1493 1 1 1 1 0 20.8330 0.018968 2.1940e-04
1494 1 1 1 1 0 10.2500 0.017817 2.0133e-04
1495 1 1 1 1 0 11.7500 0.012967 1.2515e-04
1496 1 1 1 1 0 3.6667 0.010271 8.2847e-05
1497 1 1 1 1 0 6.2500 0.045631 1.6353e-03
1498 1 1 1 1 0 6.3333 0.019038 2.2051e-04
1499 1 1 1 1 0 101.0000 0.382130 3.4419e-02
1500 1 1 1 1 0 11.0000 0.021313 2.5625e-04
1501 1 1 1 1 0 3.0000 0.011129 9.7274e-05
1502 1 1 1 1 0 11.0830 0.021785 2.6366e-04
1503 1 1 1 1 0 82.2500 0.076929 1.1299e-03
1504 1 1 1 1 0 10.6670 0.018913 2.1854e-04
1505 1 1 1 1 0 7.5000 0.020120 2.3751e-04
1506 1 1 1 1 0 29.0000 0.028291 3.6585e-04
1507 1 1 1 1 0 101.0000 0.154470 3.1618e-03
1508 1 1 1 1 0 4.2500 0.014080 1.5570e-04
1509 1 1 1 1 0 3.5833 0.021304 3.0121e-04
1510 1 1 1 1 0 101.0000 0.272110 1.8847e-02
1511 1 1 1 1 0 77.4170 0.081959 1.4102e-03
1512 1 1 1 1 0 11.0830 0.019389 2.2602e-04
1513 1 1 1 1 0 101.0000 0.141600 2.1457e-03
1514 1 1 1 1 0 51.5000 0.060650 8.7415e-04
1515 1 1 1 1 0 8.1667 0.022371 2.7286e-04
1516 1 1 1 1 0 17.6670 0.030882 4.0656e-04
1517 1 1 1 1 0 10.9170 0.016837 1.8594e-04
1518 1 1 1 1 0 17.6670 0.023065 2.8377e-04
1519 1 1 1 1 0 59.8330 0.122100 7.5154e-03
1520 1 1 1 1 0 17.6670 0.041782 7.9447e-04
1521 1 1 1 1 0 19.1670 0.033075 4.4100e-04
1522 1 1 1 1 0 30.1670 0.022136 2.6918e-04
1523 1 1 1 1 0 15.5000 0.021222 2.5482e-04
1524 1 1 1 1 0 49.5000 0.062082 8.9664e-04
1525 1 1 1 1 0 24.0830 0.023295 2.8738e-04
1526 1 1 1 1 0 56.4160 0.085584 1.6127e-03
1527 1 1 1 1 0 30.8330 0.068198 1.1382e-03
1528 1 1 1 1 0 79.2500 0.067568 9.8281e-04
1529 1 1 1 1 0 101.0000 0.221020 1.0482e-02
1530 1 1 1 1 0 12.5830 0.040494 5.5754e-04
1531 1 1 1 1 0 101.0000 0.083516 1.4757e-03
1532 1 1 1 1 0 66.6660 0.034552 4.6421e-04
1533 1 1 1 1 0 8.0000 0.033454 4.6061e-04
1534 1 1 1 1 0 3.2500 0.026944 5.7017e-04
1535 1 1 1 1 0 3.5000 0.022565 3.9992e-04
1536 1 1 1 1 0 3.5833 0.011118 9.7081e-05
1537 1 1 1 1 0 3.5833 0.012449 1.2172e-04
1538 1 1 1 1 0 101.0000 0.167700 5.7636e-03
1539 1 1 1 1 0 37.0830 0.067059 1.0014e-03
1540 1 1 1 1 0 66.1660 0.121000 3.9724e-03
1541 1 1 1 1 0 17.6670 0.053282 1.1964e-03
1542 1 1 1 1 0 17.6670 0.018176 2.0696e-04
1543 1 1 1 1 0 48.6670 0.107360 3.8841e-03
1544 1 1 1 1 0 9.0000 0.034331 7.6067e-04
1545 1 1 1 1 0 17.6670 0.033903 4.5401e-04
1546 1 1 1 1 0 61.7500 0.089721 3.1354e-03
1547 1 1 1 1 0 6.5000 0.011853 1.0764e-04
1548 1 1 1 1 0 62.0830 0.083523 1.5307e-03
1549 1 1 1 1 0 20.4170 0.049998 1.0763e-03
1550 1 1 1 1 0 83.0000 0.075049 1.3344e-03
1551 1 1 1 1 0 17.6670 0.017196 1.9157e-04
1552 1 1 1 1 0 15.0000 0.031381 4.1439e-04
1553 1 1 1 1 0 58.2500 0.074333 1.6861e-03
1554 1 1 1 1 0 101.0000 0.436210 3.7761e-02
1555 1 1 1 1 0 57.2500 0.036873 5.0065e-04
1556 1 1 1 1 0 3.4167 0.025110 4.8780e-04
1557 1 1 1 1 0 3.5833 0.011061 9.6082e-05
1558 1 1 1 1 0 101.0000 0.241810 9.0737e-03
1559 1 1 1 1 0 23.5000 0.032942 4.3891e-04
1560 1 1 1 1 0 18.4170 0.026401 3.3616e-04
1561 1 1 1 1 0 58.1660 0.134750 4.1200e-03
1562 1 1 1 1 0 50.2500 0.139700 9.9325e-03
1563 1 1 1 1 0 29.3330 0.068061 1.2689e-03
1564 1 1 1 1 0 70.3330 0.128910 2.4615e-03
1565 1 1 1 1 0 17.5830 0.060408 1.1730e-03
1566 1 1 1 1 0 89.5000 0.132530 5.1914e-03
1567 1 1 1 1 0 13.5830 0.051542 7.3108e-04
1568 1 1 1 1 0 39.5000 0.040784 5.6210e-04
1569 1 1 1 1 0 31.4170 0.029371 3.8282e-04
1570 1 1 1 1 0 23.0000 0.030180 3.9553e-04
1571 1 1 1 1 0 3.1667 0.010673 8.9118e-05
1572 1 1 1 1 0 10.5830 0.013996 1.4130e-04
1573 1 1 1 1 0 26.6670 0.028748 3.7304e-04
1574 1 1 1 1 0 37.8330 0.042013 6.0817e-04
1575 1 1 1 1 0 2.3333 0.013934 1.5250e-04
1576 1 1 1 1 0 6.0000 0.015934 1.7175e-04
1577 1 1 1 1 0 82.6670 0.066470 9.6557e-04
1578 1 1 1 1 0 101.0000 0.404090 3.3128e-02
1579 1 1 1 1 0 20.4170 0.027668 3.5607e-04
1580 1 1 1 1 0 62.5830 0.079092 2.2547e-03
1581 1 1 1 1 0 79.5000 0.096207 2.4679e-03
1582 1 1 1 1 0 34.2500 0.040491 5.5750e-04
1583 1 1 1 1 0 7.9167 0.021414 2.5784e-04
1584 1 1 1 1 0 8.3333 0.041202 1.3333e-03
1585 1 1 1 1 0 7.9167 0.021122 2.5324e-04
1586 1 1 1 1 0 9.5833 0.046456 1.6857e-03
1587 1 1 1 1 0 7.9167 0.016252 1.7675e-04
1588 1 1 1 1 0 7.9167 0.019860 2.4438e-04
1589 1 1 1 1 0 8.5000 0.018718 2.1548e-04
1590 1 1 1 1 0 14.0000 0.023640 2.9280e-04
1591 1 1 1 1 0 29.5000 0.049977 7.0792e-04
1592 1 1 1 1 0 48.5830 0.129910 7.0984e-03
1593 1 1 1 1 0 65.7500 0.071817 1.9105e-03
1594 1 1 1 1 0 33.6670 0.030693 4.0359e-04
1595 1 1 1 1 0 13.5000 0.011913 1.0859e-04
1596 1 1 1 1 0 55.7500 0.068953 1.0388e-03
1597 1 1 1 1 0 16.3330 0.040325 9.6405e-04
1598 1 1 1 1 0 101.0000 0.425870 4.1003e-02
1599 1 1 1 1 0 50.5000 0.059200 9.1057e-04
1600 1 1 1 1 0 35.5830 0.088450 1.6615e-03
1601 1 1 1 1 0 7.6667 0.010635 8.8514e-05
1602 1 1 1 1 0 101.0000 0.257040 1.3814e-02
1603 1 1 1 1 0 92.6670 0.079277 1.1667e-03
1604 1 1 1 1 0 33.7500 0.037118 5.0451e-04
1605 1 1 1 1 0 29.4170 0.040413 5.5627e-04
1606 1 1 1 1 0 35.0830 0.035782 4.8353e-04
1607 1 1 1 1 0 28.5830 0.033016 4.4008e-04
1608 1 1 1 1 0 9.6667 0.035409 6.4786e-04
1609 1 1 1 1 0 22.8330 0.037609 5.1222e-04
1610 1 1 1 1 0 101.0000 0.276330 9.8151e-03
1611 1 1 1 1 0 8.9167 0.038117 1.1335e-03
1612 1 1 1 1 0 7.9167 0.025489 3.2183e-04
1613 1 1 1 1 0 8.6667 0.029317 3.8197e-04
1614 1 1 1 1 0 7.3333 0.015190 1.6006e-04
1615 1 1 1 1 0 29.4170 0.087616 4.0588e-03
1616 1 1 1 1 0 7.5000 0.039045 6.9520e-04
1617 1 1 1 1 0 76.4170 0.112200 4.3867e-03
1618 1 1 1 1 0 19.9170 0.013728 1.3709e-04
1619 1 1 1 1 0 10.5000 0.054186 1.8838e-03
1620 1 1 1 1 0 10.4170 0.012711 1.2113e-04
1621 1 1 1 1 0 6.9167 0.010254 8.2522e-05
1622 1 1 1 1 0 17.6670 0.014035 1.4192e-04
1623 1 1 1 1 0 86.0840 0.085713 1.7965e-03
1624 1 1 1 1 0 14.6670 0.037377 6.9465e-04
1625 1 1 1 1 0 101.0000 0.477630 5.4997e-02
1626 1 1 1 1 0 30.0830 0.041250 5.6942e-04
1627 1 1 1 1 0 4.5000 0.023196 2.8581e-04
1628 1 1 1 1 0 8.7500 0.013643 1.3576e-04
1629 1 1 1 1 0 10.5000 0.045507 1.1837e-03
1630 1 1 1 1 0 6.7500 0.014801 1.5395e-04
1631 1 1 1 1 0 14.8330 0.017037 1.8908e-04
1632 1 1 1 1 0 9.4167 0.017195 1.9156e-04
1633 1 1 1 1 0 101.0000 0.480220 5.4756e-02
1634 1 1 1 1 0 101.0000 0.094932 1.7229e-03
1635 1 1 1 1 0 101.0000 0.214980 4.4563e-03
1636 1 1 1 1 0 30.7500 0.031300 4.1312e-04
1637 1 1 1 1 0 47.2500 0.055995 8.0103e-04
1638 1 1 1 1 0 25.5830 0.023956 2.9777e-04
1639 1 1 1 1 0 83.8340 0.093997 1.8791e-03
1640 1 1 1 1 0 10.5000 0.014543 1.4990e-04
1641 1 1 1 1 0 44.5000 0.058706 1.4619e-03
1642 1 1 1 1 0 35.5830 0.067504 2.6893e-03
1643 1 1 1 1 0 22.2500 0.053853 1.5093e-03
1644 1 1 1 1 0 7.9167 0.021699 2.6230e-04
1645 1 1 1 1 0 5.2500 0.012481 1.1751e-04
1646 1 1 1 1 0 9.5000 0.036893 5.0902e-04
1647 1 1 1 1 0 7.9167 0.017432 1.9529e-04
1648 1 1 1 1 0 45.6670 0.095492 4.1166e-03
1649 1 1 1 1 0 4.8333 0.010417 8.5225e-05
1650 1 1 1 1 0 101.0000 0.360930 2.9345e-02
1651 1 1 1 1 0 29.0830 0.051969 9.9586e-04
1652 1 1 1 1 0 26.4170 0.017412 1.9497e-04
1653 1 1 1 1 0 101.0000 0.232550 1.4892e-02
1654 1 1 1 1 0 49.8330 0.041825 5.7844e-04
1655 1 1 1 1 0 10.3330 0.010387 8.4737e-05
1656 1 1 1 1 0 101.0000 0.175160 9.9282e-03
1657 1 1 1 1 0 46.1670 0.065758 1.0358e-03
1658 1 1 1 1 0 101.0000 0.320280 9.6703e-03
1659 1 1 1 1 0 19.6670 0.055965 9.8569e-04
1660 1 1 1 1 0 19.8330 0.045123 1.4885e-03
1661 1 1 1 1 0 51.0000 0.059879 9.8071e-04
1662 1 1 1 1 0 52.9160 0.181640 1.3013e-02
1663 1 1 1 1 0 36.4170 0.076522 2.6924e-03
1664 1 1 1 1 0 20.1670 0.020375 2.4152e-04
1665 1 1 1 1 0 8.7500 0.011995 1.0987e-04
1666 1 1 1 1 0 31.8330 0.032303 4.2888e-04
1667 1 1 1 1 0 15.4170 0.046711 6.5519e-04
1668 1 1 1 1 0 101.0000 0.246940 1.3937e-02
1669 1 1 1 1 0 27.8330 0.079683 2.7168e-03
1670 1 1 1 1 0 50.2500 0.093566 6.3824e-03
1671 1 1 1 1 0 3.9167 0.016654 1.8306e-04
1672 1 1 1 1 0 48.3330 0.140330 9.7363e-03
1673 1 1 1 1 0 30.3330 0.057301 8.5600e-04
1674 1 1 1 1 0 14.5000 0.015559 1.6586e-04
1675 1 1 1 1 0 6.1667 0.010886 9.3078e-05
1676 1 1 1 1 0 47.2500 0.031455 4.1556e-04
1677 1 1 1 1 0 31.0830 0.057233 8.2047e-04
1678 1 1 1 1 0 22.9170 0.020517 2.4375e-04
1679 1 1 1 1 0 4.2500 0.013293 1.3027e-04
1680 1 1 1 1 0 4.1667 0.012903 1.2415e-04
1681 1 1 1 1 0 28.5830 0.019416 2.2645e-04
1682 1 1 1 1 0 56.8330 0.132750 3.7566e-03
1683 1 1 1 1 0 13.9170 0.022169 2.6969e-04
1684 1 1 1 1 0 19.4170 0.016527 1.8106e-04
1685 1 1 1 1 0 101.0000 0.183310 4.6191e-03
1686 1 1 1 1 0 101.0000 0.223970 3.4395e-03
1687 1 1 1 1 0 30.0000 0.051004 7.2263e-04
1688 1 1 1 1 0 9.3333 0.011718 1.0552e-04
1689 1 1 1 1 0 9.5833 0.043034 7.5976e-04
1690 1 1 1 1 0 22.3330 0.021530 2.5966e-04
1691 1 1 1 1 0 13.2500 0.042640 1.4216e-03
1692 1 1 1 1 0 19.9170 0.019477 2.2741e-04
1693 1 1 1 1 0 5.5000 0.010894 9.3211e-05
1694 1 1 1 1 0 23.4170 0.035713 4.9416e-04
1695 1 1 1 1 0 101.0000 0.171440 2.6144e-03
1696 1 1 1 1 0 40.5000 0.063095 1.0827e-03
1697 1 1 1 1 0 5.4167 0.010890 9.3141e-05
1698 1 1 1 1 0 74.8330 0.058861 8.4605e-04
1699 1 1 1 1 0 18.4170 0.024426 3.0514e-04
1700 1 1 1 1 0 37.4170 0.036145 8.3144e-04
1701 1 1 1 1 0 9.1667 0.022999 2.8417e-04
1702 1 1 1 1 0 35.8330 0.088679 2.5512e-03
1703 1 1 1 1 0 9.4167 0.014820 1.5426e-04
1704 1 1 1 1 0 12.8330 0.016953 1.8777e-04
1705 1 1 1 1 0 43.3330 0.023670 2.9327e-04
1706 1 1 1 1 0 101.0000 0.238090 1.0286e-02
1707 1 1 1 1 0 39.5000 0.053750 1.0596e-03
1708 1 1 1 1 0 20.4170 0.052140 7.6283e-04
1709 1 1 1 1 0 101.0000 0.247190 1.2590e-02
1710 1 1 1 1 0 101.0000 0.277020 1.7970e-02
1711 1 1 1 1 0 101.0000 0.296340 1.4538e-02
1712 1 1 1 1 0 101.0000 0.267490 2.0222e-02
1713 1 1 1 1 0 24.2500 0.041818 5.7833e-04
1714 1 1 1 1 0 9.2500 0.011692 1.0512e-04
1715 1 1 1 1 0 30.4170 0.043632 6.0683e-04
1716 1 1 1 1 0 3.6667 0.019463 2.4445e-04
1717 1 1 1 1 0 4.6667 0.012037 1.1053e-04
1718 1 1 1 1 0 5.8333 0.016113 1.7456e-04
1719 1 1 1 1 0 50.8330 0.062215 8.9873e-04
1720 1 1 1 1 0 101.0000 0.388990 3.4208e-02
1721 1 1 1 1 0 55.6660 0.077970 2.7032e-03
1722 1 1 1 1 0 10.5830 0.016962 1.8790e-04
1723 1 1 1 1 0 12.7500 0.016596 1.8215e-04
1724 1 1 1 1 0 101.0000 0.406580 3.7015e-02
1725 1 1 1 1 0 30.4170 0.060597 1.1949e-03
1726 1 1 1 1 0 101.0000 0.358990 2.3246e-02
1727 1 1 1 1 0 34.1670 0.049411 6.9761e-04
1728 1 1 1 1 0 24.2500 0.025917 3.2856e-04
1729 1 1 1 1 0 101.0000 0.186550 9.5117e-03
1730 1 1 1 1 0 101.0000 0.369240 3.5546e-02
1731 1 1 1 1 0 60.3330 0.066248 9.6209e-04
1732 1 1 1 1 0 1.9167 0.013370 1.4039e-04
1733 1 1 1 1 0 28.5000 0.021540 2.5981e-04
1734 1 1 1 1 0 101.0000 0.389410 3.5331e-02
1735 1 1 1 1 0 15.5000 0.050648 8.5896e-04
1736 1 1 1 1 0 69.5000 0.086545 2.6010e-03
1737 1 1 1 1 0 5.4167 0.012995 1.2558e-04
1738 1 1 1 1 0 23.8330 0.031072 4.0954e-04
1739 1 1 1 1 0 85.1670 0.356310 4.0459e-02
1740 1 1 1 1 0 58.0830 0.069373 1.0112e-03
1741 1 1 1 1 0 76.5830 0.064616 9.3645e-04
1742 1 1 1 1 0 36.0830 0.060576 8.7298e-04
1743 1 1 1 1 0 12.4170 0.011256 9.8272e-05
1744 1 1 1 1 0 44.8330 0.021448 2.5836e-04
1745 1 1 1 1 0 36.4170 0.025472 3.2157e-04
1746 1 1 1 1 0 45.5000 0.031849 4.2174e-04
1747 1 1 1 1 0 3.5833 0.012065 1.1097e-04
1748 1 1 1 1 0 66.2500 0.070905 1.0352e-03
1749 1 1 1 1 0 46.5830 0.026799 3.4242e-04
1750 1 1 1 1 0 13.4170 0.018506 2.1215e-04
1751 1 1 1 1 0 4.2500 0.011908 1.0851e-04
1752 1 1 1 1 0 101.0000 0.169130 3.7684e-03
1753 1 1 1 1 0 101.0000 0.145120 3.1163e-03
1754 1 1 1 1 0 24.4170 0.025320 3.1918e-04
1755 1 1 1 1 0 17.3330 0.020930 2.5023e-04
1756 1 1 1 1 0 28.5000 0.068634 1.6646e-03
1757 1 1 1 1 0 16.5000 0.026869 5.2546e-04
1758 1 1 1 1 0 36.8330 0.040286 1.0357e-03
1759 1 1 1 1 0 86.0000 0.082611 1.2191e-03
1760 1 1 1 1 0 40.8330 0.054319 7.7470e-04
1761 1 1 1 1 0 101.0000 0.122320 2.6493e-03
1762 1 1 1 1 0 19.3330 0.013338 1.3097e-04
1763 1 1 1 1 0 101.0000 0.489600 3.7950e-02
1764 1 1 1 1 0 44.9170 0.041495 5.7326e-04
1765 1 1 1 1 0 10.5830 0.042439 1.0016e-03
1766 1 1 1 1 0 32.5000 0.037116 5.0447e-04
1767 1 1 1 1 0 24.3330 0.022834 2.8014e-04
1768 1 1 1 1 0 44.5830 0.058545 8.4108e-04
1769 1 1 1 1 0 16.5000 0.017538 1.9694e-04
1770 1 1 1 1 0 4.3333 0.012247 1.1780e-04
1771 1 1 1 1 0 101.0000 0.344930 2.6361e-02
1772 1 1 1 1 0 11.3330 0.016015 1.7302e-04
1773 1 1 1 1 0 48.1670 0.041516 5.7359e-04
1774 1 1 1 1 0 34.2500 0.094735 5.0988e-03
1775 1 1 1 1 0 4.2500 0.018566 2.1309e-04
1776 1 1 1 1 0 101.0000 0.214690 8.4103e-03
1777 1 1 1 1 0 101.0000 0.586570 6.7290e-02
1778 1 1 1 1 0 3.5000 0.021818 3.7388e-04
1779 1 1 1 1 0 40.4170 0.037851 5.1603e-04
1780 1 1 1 1 0 20.2500 0.020526 2.4389e-04
1781 1 1 1 1 0 44.5000 0.111570 1.6741e-03
1782 1 1 1 1 0 41.3330 0.069996 1.0210e-03
1783 1 1 1 1 0 28.2500 0.029478 3.8450e-04
1784 1 1 1 1 0 90.6670 0.084940 1.2557e-03
1785 1 1 1 1 0 14.7500 0.020837 2.4876e-04
1786 1 1 1 1 0 24.9170 0.030203 3.9588e-04
1787 1 1 1 1 0 3.4167 0.010439 8.5586e-05
1788 1 1 1 1 0 101.0000 0.320850 1.9638e-02
1789 1 1 1 1 0 15.0000 0.053006 9.6867e-04
1790 1 1 1 1 0 15.6670 0.015074 1.5825e-04
1791 1 1 1 1 0 53.0000 0.063464 9.1835e-04
1792 1 1 1 1 0 101.0000 0.175210 2.6736e-03
1793 1 1 1 1 0 18.5830 0.024306 3.0326e-04
1794 1 1 1 1 0 10.9170 0.034211 4.5885e-04
1795 1 1 1 1 0 2.4167 0.017828 2.2664e-04
1796 1 1 1 1 0 22.9170 0.067886 2.1921e-03
1797 1 1 1 1 0 8.0000 0.025691 3.2502e-04
1798 1 1 1 1 0 101.0000 0.239560 1.4064e-02
1799 1 1 1 1 0 3.0833 0.014271 1.5142e-04
1800 1 1 1 1 0 40.5000 0.068222 1.6803e-03
1801 1 1 1 1 0 101.0000 0.314610 3.0875e-02
1802 1 1 1 1 0 11.0830 0.035566 4.8013e-04
1803 1 1 1 1 0 10.0830 0.013791 1.3809e-04
1804 1 1 1 1 0 17.0000 0.033004 4.3988e-04
1805 1 1 1 1 0 101.0000 0.227870 7.7108e-03
1806 1 1 1 1 0 51.6660 0.067077 1.5444e-03
1807 1 1 1 1 0 101.0000 0.135470 2.0494e-03
1808 1 1 1 1 0 20.2500 0.017048 1.8924e-04
1809 1 1 1 1 0 70.8330 0.064984 9.4223e-04
1810 1 1 1 1 0 32.5000 0.022639 2.7707e-04
1811 1 1 1 1 0 101.0000 0.355600 2.2829e-02
1812 1 1 1 1 0 10.4170 0.029312 3.8188e-04
1813 1 1 1 1 0 1.7500 0.015090 1.7884e-04
1814 1 1 1 1 0 24.6670 0.025415 3.2068e-04
1815 1 1 1 1 0 57.0830 0.087789 2.9353e-03
1816 1 1 1 1 0 101.0000 0.432880 4.1594e-02
1817 1 1 1 1 0 49.9160 0.066812 1.2416e-03
1818 1 1 1 1 0 27.4170 0.063248 2.0454e-03
1819 1 1 1 1 0 58.0830 0.058416 8.3905e-04
1820 1 1 1 1 0 11.1670 0.017797 2.0102e-04
1821 1 1 1 1 0 42.3330 0.058562 8.4134e-04
1822 1 1 1 1 0 22.9170 0.050382 7.1286e-04
1823 1 1 1 1 0 32.6670 0.021164 2.5390e-04
1824 1 1 1 1 0 18.9170 0.016996 1.8843e-04
1825 1 1 1 1 0 35.3330 0.038390 5.2448e-04
1826 1 1 1 1 0 6.7500 0.018740 2.1583e-04
1827 1 1 1 1 0 11.1670 0.014984 1.5683e-04
1828 1 1 1 1 0 17.5000 0.067383 1.6414e-03
1829 1 1 1 1 0 101.0000 0.443610 4.2729e-02
1830 1 1 1 1 0 59.5830 0.075327 1.5063e-03
1831 1 1 1 1 0 101.0000 0.095059 1.4146e-03
1832 1 1 1 1 0 11.5830 0.042247 7.2461e-04
1833 1 1 1 1 0 7.8333 0.044970 1.3706e-03
1834 1 1 1 1 0 12.4170 0.010478 8.6053e-05
1835 1 1 1 1 0 26.2500 0.060469 1.1238e-03
1836 1 1 1 1 0 75.5830 0.052500 7.4613e-04
1837 1 1 1 1 0 101.0000 0.288950 2.5513e-02
1838 1 1 1 1 0 48.1670 0.059516 1.6558e-03
1839 1 1 1 1 0 25.7500 0.098096 3.8829e-03
1840 1 1 1 1 0 1.7500 0.011510 1.0405e-04
1841 1 1 1 1 0 17.7500 0.028587 5.6602e-04
1842 1 1 1 1 0 15.6670 0.026445 3.3686e-04
1843 1 1 1 1 0 35.9170 0.048352 7.7477e-04
1844 1 1 1 1 0 25.2500 0.028223 3.6478e-04
1845 1 1 1 1 0 43.2500 0.108150 4.3446e-03
1846 1 1 1 1 0 18.0830 0.019090 2.2132e-04
1847 1 1 1 1 0 49.3330 0.087365 3.4003e-03
1848 1 1 1 1 0 25.3330 0.045141 6.3054e-04
1849 1 1 1 1 0 13.7500 0.021871 2.6502e-04
1850 1 1 1 1 0 7.8333 0.012969 1.2517e-04
1851 1 1 1 1 0 10.4170 0.015827 1.7006e-04
1852 1 1 1 1 0 4.2500 0.013620 1.4569e-04
1853 1 1 1 1 0 12.2500 0.017877 2.0228e-04
1854 1 1 1 1 0 2.9167 0.011509 1.0402e-04
1855 1 1 1 1 0 14.9170 0.051818 1.6437e-03
1856 1 1 1 1 0 9.5833 0.013240 1.2943e-04
1857 1 1 1 1 0 7.2500 0.017051 1.8930e-04
1858 1 1 1 1 0 17.2500 0.030853 4.0610e-04
1859 1 1 1 1 0 26.8330 0.024097 2.9998e-04
1860 1 1 1 1 0 13.5000 0.016184 1.7568e-04
1861 1 1 1 1 0 24.2500 0.033510 4.4784e-04
1862 1 1 1 1 0 9.5000 0.019751 2.3171e-04
1863 1 1 1 1 0 11.5830 0.012956 1.2497e-04
1864 1 1 1 1 0 71.9170 0.110830 2.5513e-03
1865 1 1 1 1 0 7.5000 0.020110 2.3735e-04
1866 1 1 1 1 0 22.5830 0.053943 7.6880e-04
1867 1 1 1 1 0 20.0830 0.061340 2.1957e-03
1868 1 1 1 1 0 87.4170 0.050585 7.1604e-04
1869 1 1 1 1 0 19.2500 0.021518 3.1242e-04
1870 1 1 1 1 0 28.2500 0.029205 3.8021e-04
1871 1 1 1 1 0 6.7500 0.013651 1.3588e-04
1872 1 1 1 1 0 31.5830 0.019761 2.3186e-04
1873 1 1 1 1 0 24.0000 0.025507 3.2212e-04
1874 1 1 1 1 0 17.4170 0.020679 2.4628e-04
1875 1 1 1 1 0 101.0000 0.269410 1.8874e-02
1876 1 1 1 1 0 56.7500 0.061024 2.2371e-03
1877 1 1 1 1 0 46.6670 0.041324 5.7058e-04
1878 1 1 1 1 0 101.0000 0.278270 1.1975e-02
1879 1 1 1 1 0 19.4170 0.014839 1.5455e-04
1880 1 1 1 1 0 32.5830 0.029560 3.8579e-04
1881 1 1 1 1 0 25.1670 0.039043 5.3475e-04
1882 1 1 1 1 0 101.0000 0.337930 1.4893e-02
1883 1 1 1 1 0 12.0830 0.014883 1.5524e-04
1884 1 1 1 1 0 10.5830 0.011857 1.0771e-04
1885 1 1 1 1 0 33.3330 0.034806 4.6819e-04
1886 1 1 1 1 0 101.0000 0.250480 7.5821e-03
height CD CR GPP NPP Rday Rnight
1 13.2630 2.65270 2.02400 411.2800 1.4911e+02 35.09900 76.56400
2 25.1630 5.03270 4.32510 5322.1000 1.4641e+03 498.37000 1094.80000
3 9.4462 1.88920 1.57780 327.9800 1.4997e+02 21.28200 44.66100
4 1.9834 0.39669 0.53179 20.4180 7.4475e+00 2.01340 4.27410
5 5.2310 1.04620 0.77823 57.9520 2.3299e+01 4.80850 10.18100
6 9.7823 1.95650 1.49500 160.2600 7.3575e+01 9.08550 18.62000
7 5.1800 1.03600 1.03290 192.9900 8.9776e+01 13.22300 27.26400
8 17.4640 3.49280 2.66050 2394.2000 8.1066e+02 210.66000 461.76000
9 6.3911 1.27820 1.17950 157.0000 6.8004e+01 11.60700 24.38700
10 21.7040 4.34080 3.39640 2040.7000 7.3675e+02 170.40000 372.07000
11 21.0120 4.20240 3.19040 3010.5000 1.0688e+03 255.23000 557.32000
12 9.2589 1.85180 1.55360 627.6100 2.8867e+02 39.56200 82.35700
13 2.0492 0.40984 0.47071 1.9667 3.0859e-01 0.26793 0.58039
14 4.1403 0.82805 0.86981 10.9510 2.8927e+00 1.00640 2.10240
15 2.1316 0.42631 0.46717 23.5860 1.0027e+01 1.93560 4.06710
16 2.0180 0.40360 0.55257 30.1510 1.1176e+01 2.96520 6.23130
17 4.8135 0.96269 0.96519 53.9510 2.5739e+01 3.10390 6.31140
18 6.8288 1.36580 1.23750 115.7600 2.7612e+01 14.61800 31.71200
19 8.9038 1.78080 1.42220 895.8500 3.9901e+02 62.16100 132.11000
20 2.2396 0.44792 0.57598 16.5320 5.3430e+00 1.77520 3.83690
21 6.8100 1.36200 1.16500 64.3520 2.8345e+01 3.83500 7.99900
22 6.0924 1.21850 1.09730 338.4100 1.5976e+02 22.04600 45.47800
23 6.2427 1.24850 0.98602 128.2100 4.8959e+01 10.72100 23.78000
24 16.0030 3.20060 2.15610 592.6700 1.7656e+02 61.09900 132.98000
25 1.7552 0.35103 0.52264 12.1780 3.8521e+00 1.34780 2.90660
26 30.9080 6.18170 5.26960 16732.0000 6.7806e+03 1073.80000 2220.30000
27 11.8850 2.37710 1.56520 341.5400 1.2357e+02 29.33800 63.66600
28 22.7000 4.54000 3.63930 3478.6000 1.1740e+03 288.73000 632.05000
29 10.4940 2.09890 1.71330 189.5900 5.6849e+01 18.32800 41.65600
30 10.0320 2.00650 1.65350 651.2700 2.4133e+02 56.59900 124.90000
31 28.6090 5.72180 5.52630 17368.0000 5.7961e+03 1454.40000 3106.20000
32 2.0196 0.40393 0.53813 7.0928 1.9658e+00 0.83086 1.78230
33 24.8750 4.97500 4.23240 6669.4000 2.1187e+03 578.58000 1266.50000
34 22.8840 4.57680 3.46660 7540.2000 2.9942e+03 568.43000 1200.90000
35 4.7995 0.95989 1.02480 43.3440 1.3813e+01 4.26540 9.20220
36 9.5990 1.91980 1.41800 601.2600 2.4941e+02 46.05200 99.89500
37 7.8335 1.56670 1.31990 571.0400 2.3064e+02 45.52800 98.49900
38 6.8349 1.36700 1.23830 359.4900 1.7858e+02 20.50800 42.55900
39 6.1969 1.23940 1.15360 345.5900 1.4489e+02 27.13300 58.54000
40 4.1078 0.82156 0.75943 40.8510 1.6919e+01 3.23040 6.80220
41 30.3510 6.07020 5.12010 17253.0000 7.0930e+03 1092.90000 2246.90000
42 2.0558 0.41116 0.57283 28.6450 1.2375e+01 2.26390 4.75740
43 19.3920 3.87830 2.95020 3820.7000 1.4546e+03 294.65000 633.04000
44 23.6150 4.72300 3.50400 7184.1000 2.7336e+03 560.44000 1184.10000
45 11.6290 2.32570 1.76650 481.6700 1.9038e+02 38.47200 84.14900
46 4.1733 0.83466 0.82384 46.9820 1.4300e+01 5.20280 11.19700
47 7.4551 1.49100 1.31960 132.7100 4.0047e+01 13.85700 30.91800
48 4.4435 0.88870 0.91315 33.3360 1.3391e+01 2.51400 5.26310
49 8.4985 1.69970 1.33990 245.5300 1.0335e+02 18.79300 39.95900
50 20.6440 4.12890 2.70360 635.4700 1.9192e+02 58.54100 129.42000
51 3.0037 0.60074 0.73563 30.7300 1.3093e+01 2.34870 4.92310
52 4.8827 0.97655 0.86611 28.8420 1.0398e+01 2.47360 5.17040
53 9.1376 1.82750 1.31470 368.9000 1.2990e+02 34.52300 76.27400
54 30.9040 6.18070 5.26830 18219.0000 7.4581e+03 1157.50000 2381.20000
55 7.6446 1.52890 1.34440 390.4800 1.3727e+02 34.88000 77.05400
56 2.0000 0.39999 0.54445 21.4170 8.1669e+00 2.00150 4.24990
57 11.7070 2.34130 1.78000 342.8800 8.4966e+01 39.71800 89.55000
58 31.5090 6.30180 5.43730 21660.0000 8.1103e+03 1532.20000 3191.10000
59 9.1574 1.83150 1.56730 325.6000 1.1663e+02 29.82300 65.13500
60 13.7400 2.74800 2.76120 1743.9000 5.9173e+02 150.54000 333.02000
61 8.0297 1.60590 1.39450 302.1100 1.0010e+02 29.43300 65.59700
62 6.3952 1.27900 1.18010 350.1800 1.5129e+02 26.53200 55.54200
63 9.4461 1.88920 1.57780 284.7800 1.0074e+02 25.33400 56.14500
64 22.9900 4.59800 3.71160 4392.2000 1.6719e+03 324.83000 698.69000
65 7.0832 1.41660 1.19910 45.4120 1.0831e+01 4.83310 10.66600
66 8.2901 1.65800 1.31170 330.5900 1.2727e+02 26.78300 58.60200
67 6.6750 1.33500 1.21710 260.3000 1.1683e+02 17.95300 38.09700
68 21.9790 4.39570 3.36930 1553.2000 5.3926e+02 121.38000 262.31000
69 2.5047 0.50094 0.49181 13.0180 3.8096e+00 1.52530 3.28950
70 9.2087 1.84170 1.32290 202.4600 6.5849e+01 20.35300 44.94600
71 27.7800 5.55600 4.88280 14244.0000 5.1882e+03 1096.20000 2335.80000
72 9.3012 1.86020 1.23870 185.4100 7.4106e+01 14.40200 31.56400
73 6.8772 1.37540 1.25570 199.9800 9.0935e+01 13.49500 28.52300
74 2.0349 0.40697 0.54079 8.4676 2.1756e+00 1.04870 2.27610
75 2.2016 0.44032 0.56953 19.6370 7.6978e+00 1.74710 3.70680
76 12.7350 2.54700 1.50240 282.2700 7.0582e+01 30.07300 68.77700
77 4.6439 0.92878 0.96515 67.9890 2.4864e+01 6.34470 13.33500
78 5.8922 1.17840 1.03710 103.1000 5.0150e+01 5.86060 12.26200
79 6.9563 1.39130 1.14630 206.0600 8.6329e+01 15.32500 33.84000
80 8.4138 1.68280 1.23170 63.5380 2.2429e+01 4.92260 10.51800
81 11.7520 2.35030 1.78790 630.9700 2.6591e+02 46.95000 99.89300
82 5.1071 1.02140 0.90407 54.1860 2.4079e+01 3.67860 7.60330
83 5.3742 1.07480 0.98272 20.0870 2.6372e+00 2.62020 5.90520
84 3.9944 0.79888 0.71449 34.2620 1.3532e+01 2.90210 6.12030
85 9.7895 1.95790 1.62210 565.3800 2.2745e+02 44.19300 96.84200
86 4.0533 0.81067 0.85726 22.0080 9.0265e+00 1.53780 3.16940
87 2.0509 0.41018 0.48094 6.5515 1.5525e+00 0.85886 1.84970
88 5.1828 1.03660 1.01630 95.9770 2.9705e+01 10.38000 22.65100
89 2.5410 0.50820 0.62364 8.2565 2.0205e+00 0.99060 2.15050
90 8.1746 1.63490 1.41330 98.9240 3.3646e+01 8.49040 18.54300
91 30.7830 6.15660 5.23550 19426.0000 7.1829e+03 1389.10000 2901.00000
92 10.3330 2.06670 1.69250 313.2100 1.2024e+02 25.88300 56.57700
93 2.3069 0.46138 0.51624 13.1890 4.2167e+00 1.43750 3.09060
94 7.4166 1.48330 1.31460 48.4420 1.0573e+01 5.27820 11.45200
95 6.6179 1.32360 1.28630 525.8900 2.3461e+02 36.89100 78.16400
96 6.9687 1.39370 1.07080 329.1100 1.4596e+02 23.45200 50.34600
97 10.3100 2.06190 1.36400 376.9000 1.5001e+02 29.69600 63.59600
98 6.4410 1.28820 1.14230 147.2700 6.6223e+01 9.93410 21.45500
99 9.7105 1.94210 1.75100 820.6600 3.1148e+02 69.52300 152.62000
100 2.9341 0.58682 0.68904 13.8380 5.0150e+00 1.22190 2.59450
101 3.9784 0.79567 0.75358 26.9870 9.2531e+00 2.60070 5.54130
102 25.9880 5.19760 4.32980 4452.5000 1.2860e+03 419.42000 908.30000
103 12.4940 2.49880 1.79520 279.6100 9.9857e+01 23.69200 51.80900
104 2.0830 0.41661 0.54916 4.0694 7.2000e-01 0.55946 1.20340
105 2.7636 0.55273 0.49230 15.3880 5.0674e+00 1.63730 3.53490
106 2.0545 0.41089 0.54421 4.7034 1.1807e+00 0.55732 1.19900
107 30.0820 6.01640 5.41110 19318.0000 6.9723e+03 1529.70000 3240.30000
108 8.3963 1.67930 1.32760 356.9700 1.2100e+02 34.56100 77.23900
109 4.0281 0.80563 0.85361 50.6940 2.2787e+01 3.51770 7.22900
110 6.5934 1.31870 0.93079 214.9400 8.7091e+01 17.89700 37.92500
111 4.2108 0.84217 0.81546 33.6040 1.4551e+01 2.36500 4.89240
112 13.9150 2.78300 1.88460 724.6700 2.5762e+02 65.06100 141.51000
113 9.5634 1.91270 1.54990 324.3200 9.8295e+01 32.16600 71.49100
114 9.4593 1.89190 1.57950 662.7500 2.4072e+02 58.47000 128.96000
115 9.9993 1.99990 1.47870 186.5100 6.7044e+01 16.12300 35.12000
116 6.7242 1.34480 1.22370 241.6000 9.8970e+01 18.55000 40.14600
117 7.4095 1.48190 1.17150 237.5600 9.9920e+01 17.71200 38.43300
118 2.0195 0.40390 0.53811 27.9970 1.1725e+01 2.33850 4.90450
119 9.0840 1.81680 1.62690 731.5900 3.0887e+02 54.44200 115.50000
120 15.1810 3.03610 2.21020 1138.2000 4.6592e+02 81.86100 175.05000
121 19.9360 3.98720 3.03520 3139.5000 1.2245e+03 241.02000 525.62000
122 14.2610 2.85220 2.21060 2035.0000 7.4949e+02 170.12000 370.15000
123 4.4273 0.88546 0.85813 64.3500 2.4221e+01 5.87870 12.45700
124 1.5542 0.31084 0.48288 19.4770 6.3550e+00 2.15200 4.64120
125 30.5900 6.11800 5.18350 15885.0000 6.3939e+03 1029.90000 2130.80000
126 3.8509 0.77017 0.75231 24.7830 9.5944e+00 2.05170 4.33270
127 2.0132 0.40264 0.53700 15.7000 4.5343e+00 1.86670 4.04080
128 8.7316 1.74630 1.54940 144.2000 5.0981e+01 12.24300 26.73900
129 22.7370 4.54730 3.50010 2220.9000 6.9919e+02 190.00000 417.59000
130 11.4880 2.29760 1.70270 270.0800 8.4320e+01 27.08700 59.37000
131 8.1128 1.62260 1.40530 148.3200 5.1373e+01 13.39500 29.80400
132 14.8860 2.97720 2.29590 2221.3000 7.8461e+02 199.00000 433.59000
133 15.5200 3.10390 2.11930 2233.2000 8.2716e+02 186.01000 399.52000
134 10.0000 2.00010 1.32610 363.8000 1.4469e+02 28.48900 62.01800
135 30.7260 6.14520 5.22010 19428.0000 7.3482e+03 1355.50000 2821.10000
136 8.7879 1.75760 1.49270 266.1700 1.1243e+02 19.66500 42.58100
137 3.0161 0.60323 0.70187 53.8940 2.6677e+01 3.30270 6.54280
138 3.7294 0.74588 0.82448 13.2220 4.6124e+00 1.05500 2.20110
139 5.9354 1.18710 1.11860 107.3800 5.1677e+01 6.22340 12.85000
140 6.3996 1.27990 1.26580 170.4100 6.1966e+01 15.63900 34.51400
141 8.6319 1.72640 1.47250 206.8900 8.0685e+01 16.72000 36.57700
142 4.8399 0.96798 0.96888 24.1200 7.2679e+00 2.28130 4.81280
143 3.7488 0.74977 0.81278 36.0630 1.3568e+01 3.19620 6.78510
144 5.3818 1.07640 0.49037 35.9970 1.4359e+01 3.14050 6.67670
145 4.2812 0.85624 0.79849 12.3250 2.8784e+00 1.34010 2.88020
146 5.6508 1.13020 1.08020 56.6850 2.1707e+01 4.56490 9.60440
147 7.4243 1.48490 1.17320 220.3400 1.0539e+02 13.58000 27.82500
148 18.2640 3.65280 2.77870 4061.0000 1.4513e+03 330.48000 703.47000
149 5.5791 1.11580 0.98545 47.1760 9.8691e+00 6.06140 13.53400
150 22.7850 4.55690 3.62570 4701.7000 1.7114e+03 389.23000 842.64000
151 4.2924 0.85849 0.89165 33.5480 1.4683e+01 2.22550 4.59240
152 7.8875 1.57750 1.17580 78.9760 3.2420e+01 5.32060 11.65800
153 5.3867 1.07730 0.88246 336.3800 1.6323e+02 21.47700 44.05700
154 2.4851 0.49702 0.61696 21.0730 8.5568e+00 1.76420 3.71650
155 10.0180 2.00360 0.97848 34.6340 7.0511e+00 3.73870 8.28250
156 9.7623 1.95250 0.94283 140.1800 6.0525e+01 9.93360 20.69000
157 8.5787 1.71570 1.46560 318.3600 1.1135e+02 29.34900 64.81500
158 2.4487 0.48973 0.61095 16.5610 6.3765e+00 1.46910 3.09580
159 4.2884 0.85767 0.67174 24.8970 9.8432e+00 2.03860 4.30950
160 26.7260 5.34520 4.06110 5485.9000 1.8213e+03 448.03000 968.70000
161 10.9170 2.18350 1.76820 471.6900 1.5972e+02 43.79400 96.47000
162 2.3185 0.46369 0.62340 12.3930 5.0533e+00 0.98221 2.06710
163 19.1840 3.83690 2.61370 707.9000 2.6848e+02 53.74100 117.23000
164 5.8949 1.17900 1.07160 63.8040 2.9037e+01 3.81600 8.03550
165 5.8759 1.17520 0.92801 83.2010 2.9621e+01 7.96650 16.98000
166 5.1755 1.03510 1.01530 115.0200 3.6185e+01 12.01300 26.88500
167 5.2766 1.05530 1.02920 54.2530 1.8498e+01 5.06940 10.96400
168 10.8700 2.17410 1.70350 418.0600 1.9896e+02 24.74100 51.89400
169 4.6470 0.92939 0.84322 26.1050 9.3296e+00 2.24850 4.75130
170 3.7929 0.75859 0.81927 36.9830 1.3924e+01 3.27380 6.94960
171 6.7624 1.35250 1.12090 110.4100 4.8218e+01 7.77810 16.13000
172 5.0478 1.00960 0.99773 121.7600 4.1222e+01 12.09000 26.75500
173 8.3961 1.67920 0.77522 67.8200 3.2627e+01 3.91540 7.90610
174 10.1090 2.02190 1.43550 343.4300 1.2827e+02 29.20300 64.09300
175 4.8943 0.97887 0.86050 50.6090 1.9853e+01 4.22860 8.93900
176 3.0069 0.60138 0.70043 50.5350 2.3856e+01 3.36030 6.93790
177 5.6339 1.12680 0.95884 53.7090 2.4016e+01 3.46690 7.11020
178 2.7715 0.55430 0.66331 18.9710 6.4517e+00 1.89430 4.05820
179 8.4625 1.69250 1.48180 345.4000 1.1524e+02 34.64200 75.42000
180 5.8684 1.17370 1.10960 416.9300 1.8261e+02 30.82400 66.24300
181 4.1728 0.83455 0.87449 38.3320 1.4382e+01 3.33830 7.05540
182 19.8540 3.97070 3.02280 6066.7000 2.4454e+03 455.60000 962.87000
183 12.5110 2.50210 1.88760 461.1800 7.5015e+01 62.87000 142.54000
184 4.8416 0.96833 0.98558 33.2780 1.3144e+01 2.42130 5.11360
185 9.5936 1.91870 1.50010 904.1200 4.0074e+02 61.40900 130.09000
186 1.6516 0.33033 0.47185 8.3374 2.4466e+00 0.97691 2.11410
187 3.0382 0.60765 0.70531 26.6660 9.8441e+00 2.47290 5.23970
188 2.5051 0.50103 0.62024 53.0700 2.7260e+01 2.97410 6.01640
189 3.9231 0.78462 0.83834 40.1440 1.9698e+01 2.23390 4.50150
190 4.2459 0.84918 0.88499 39.8250 1.9809e+01 2.07510 4.08490
191 3.5668 0.71336 0.71991 56.4500 2.7175e+01 3.58990 7.31730
192 7.1441 1.42880 1.27890 348.2600 1.6888e+02 21.13000 43.85700
193 5.1247 1.02490 0.83309 25.1540 9.0573e+00 2.09550 4.41310
194 9.4554 1.89110 1.57900 710.8000 3.2488e+02 45.46500 93.99000
195 10.1370 2.02730 1.69990 676.3800 3.0400e+02 46.78300 98.67200
196 8.2852 1.65700 1.51740 386.1400 1.5712e+02 30.17100 65.25000
197 3.0935 0.61871 0.65377 6.5888 1.4376e+00 0.77575 1.65290
198 6.0742 1.21480 1.13720 184.3300 7.9571e+01 13.47500 30.14900
199 7.8978 1.57960 1.19020 246.1100 1.0043e+02 19.35300 42.90300
200 14.8780 2.97550 2.22430 181.7200 2.0264e+01 22.87900 52.05200
201 11.7650 2.35300 1.87870 523.6400 1.5258e+02 56.19900 124.00000
202 27.2000 5.44000 4.81880 15334.0000 5.5014e+03 1221.40000 2569.10000
203 10.0030 2.00050 1.31840 152.6600 5.7729e+01 12.49300 26.85200
204 6.1255 1.22510 0.55343 12.4770 3.5678e+00 1.32170 2.80570
205 1.9711 0.39422 0.52691 5.7683 2.0596e+00 0.53062 1.12890
206 9.0687 1.81370 1.35940 149.7200 5.8451e+01 11.51800 25.50000
207 11.6500 2.32990 1.53420 385.0900 1.0835e+02 39.65800 90.14800
208 2.4832 0.49663 0.56080 21.0880 8.3695e+00 1.85040 3.90500
209 1.9723 0.39446 0.46456 4.3607 1.7548e+00 0.34856 0.73129
210 3.2265 0.64531 0.70558 168.3500 8.7937e+01 9.13140 18.39200
211 24.8490 4.96970 3.94170 600.8800 9.4434e+01 61.86700 134.44000
212 10.1350 2.02690 1.47760 33.5840 3.8076e+00 3.01070 6.55080
213 6.4271 1.28540 1.01330 276.0200 1.1510e+02 21.96200 48.28600
214 13.1630 2.63270 2.06310 2523.9000 1.0269e+03 198.77000 425.64000
215 8.3871 1.67740 1.13470 343.7800 1.2935e+02 29.57200 65.12800
216 18.2460 3.64920 2.84350 1655.8000 6.0219e+02 134.65000 290.82000
217 27.3690 5.47380 4.40500 10431.0000 3.9387e+03 753.28000 1577.30000
218 12.7760 2.55520 1.74350 833.0000 2.9838e+02 75.02900 162.81000
219 4.2569 0.85137 0.88656 52.1270 2.6402e+01 2.71840 5.35520
220 5.9253 1.18510 0.94735 159.1700 8.4614e+01 7.75050 15.35700
221 5.4419 1.08840 1.05180 120.9400 6.3976e+01 5.71880 11.27600
222 4.6865 0.93730 1.00800 95.9870 3.4894e+01 9.06810 19.47000
223 11.3270 2.26540 1.82150 1853.3000 8.2347e+02 128.35000 266.55000
224 5.5040 1.10080 1.13320 130.6100 4.4213e+01 13.05000 28.70000
225 8.6354 1.72710 1.16360 329.8100 1.3622e+02 25.09800 53.99400
226 10.3280 2.06560 1.45230 279.7200 1.1495e+02 21.54600 46.35200
227 4.8410 0.96819 0.98548 95.4250 3.0731e+01 10.25400 21.96400
228 29.6210 5.92410 4.03420 7332.1000 2.8148e+03 527.76000 1109.00000
229 2.6344 0.52688 0.67906 18.5460 6.4614e+00 1.80390 3.85570
230 27.0530 5.41060 4.97970 15008.0000 5.4647e+03 1169.30000 2497.40000
231 5.2047 1.04090 1.03230 36.8980 1.4684e+01 2.62790 5.48800
232 2.0572 0.41144 0.49213 2.7762 6.0142e-01 0.34376 0.74052
233 5.2826 1.05650 0.94087 79.8130 3.9695e+01 4.40160 8.87020
234 3.8166 0.76331 0.66501 41.5750 1.9331e+01 2.79220 5.75240
235 3.4018 0.68035 0.66577 21.1810 7.4205e+00 2.03210 4.34080
236 16.3610 3.27230 2.50180 1922.8000 7.1727e+02 158.74000 348.37000
237 1.6307 0.32614 0.46795 80.0970 4.1660e+01 4.50230 9.08740
238 5.2210 1.04420 1.02160 158.4800 5.2768e+01 16.38700 35.60300
239 3.0130 0.60260 0.70138 77.4730 3.4237e+01 5.93410 12.41800
240 2.7025 0.54050 0.54730 5.0560 1.2176e+00 0.59230 1.27880
241 2.1775 0.43549 0.51364 75.6930 4.0966e+01 3.76040 7.44950
242 2.2961 0.45922 0.61589 9.1349 1.9673e+00 1.20300 2.62790
243 4.0936 0.81873 0.86309 126.5100 6.5432e+01 6.84400 13.78200
244 3.8929 0.77858 0.76244 89.0210 4.7244e+01 4.46210 8.85170
245 3.2985 0.65971 0.70181 39.8980 2.0596e+01 2.10020 4.14270
246 3.7672 0.75344 0.81439 66.1600 3.4566e+01 3.36960 6.66860
247 3.0604 0.61207 0.70875 24.9280 1.2675e+01 1.29770 2.54760
248 2.1022 0.42043 0.49924 22.5080 8.1895e+00 2.22630 4.77030
249 1.6755 0.33511 0.47628 16.3560 6.2319e+00 1.53640 3.28870
250 2.3544 0.47088 0.59529 15.8330 5.5827e+00 1.55220 3.32150
251 7.9687 1.59370 1.38650 49.4290 1.5031e+01 3.77740 8.37970
252 2.8629 0.57259 0.56898 8.8552 2.9400e+00 0.86441 1.84180
253 3.4127 0.68254 0.76266 28.8080 9.5137e+00 2.92960 6.30360
254 9.0785 1.81570 1.53790 149.1400 4.7180e+01 14.27800 31.38700
255 1.9104 0.38209 0.46741 9.1656 2.8128e+00 1.03830 2.23920
256 6.6297 1.32590 1.16660 95.3270 3.7321e+01 7.67650 16.35700
257 8.4732 1.69460 1.46110 321.5200 1.1572e+02 28.98900 63.77100
258 29.0360 5.80710 4.63330 14627.0000 5.3947e+03 1092.90000 2281.50000
259 9.8048 1.96100 0.94865 134.9100 6.4804e+01 7.93910 16.10600
260 12.1540 2.43090 1.92970 291.3900 1.0711e+02 23.48700 51.41000
261 9.3721 1.87440 1.40580 270.0800 9.1949e+01 25.67300 57.10200
262 15.4520 3.09050 2.37420 1683.0000 4.9013e+02 174.52000 387.53000
263 2.7128 0.54255 0.50204 11.0080 4.6317e+00 0.85734 1.79970
264 8.7306 1.74610 1.48530 180.1000 4.5920e+01 20.13200 44.94600
265 6.2651 1.25300 1.16270 101.4800 3.0385e+01 10.57300 23.15000
266 4.9410 0.98820 0.90169 53.8170 1.8637e+01 5.21870 11.07100
267 7.0486 1.40970 1.27800 166.8100 5.1071e+01 17.80800 38.76000
268 8.0049 1.60100 1.39120 395.3200 1.5787e+02 31.95100 68.96900
269 21.2870 4.25730 3.80330 9192.9000 3.5434e+03 693.18000 1461.00000
270 3.6999 0.73998 0.71441 22.9040 1.0646e+01 1.41150 2.85610
271 17.4920 3.49830 2.78060 806.2100 2.1719e+02 80.32000 178.59000
272 14.5450 2.90900 2.24930 2161.6000 8.0192e+02 183.69000 400.50000
273 6.3922 1.27840 0.57695 29.9750 1.3415e+01 2.04750 4.24200
274 5.2024 1.04050 1.04130 77.0100 3.8895e+01 3.89830 7.86160
275 3.0506 0.61012 0.70723 29.9160 1.5425e+01 1.53730 3.02040
276 4.8343 0.96685 0.81762 55.7160 2.1927e+01 4.76320 10.01200
277 2.7677 0.55354 0.66271 14.8630 4.6818e+00 1.56190 3.33930
278 1.5224 0.30448 0.47112 14.9970 5.5363e+00 1.46580 3.13390
279 2.0621 0.41242 0.54553 3.0347 8.0261e-01 0.32040 0.68108
280 1.8157 0.36313 0.53433 8.9189 2.5666e+00 1.03840 2.24850
281 7.0896 1.41790 1.27180 122.1600 5.0648e+01 9.10020 19.14800
282 3.0837 0.61675 0.71237 95.0150 5.0084e+01 4.99240 9.93770
283 30.2180 6.04350 4.97000 13373.0000 5.1662e+03 937.40000 1960.40000
284 10.5170 2.10330 1.78510 252.0600 1.0379e+02 17.93000 38.09200
285 8.7103 1.74210 1.48270 153.1700 5.4131e+01 13.39600 29.20800
286 2.3512 0.47023 0.59475 16.4860 5.9126e+00 1.59560 3.40040
287 3.4510 0.69020 0.76843 46.5490 2.3468e+01 2.56210 5.18370
288 27.5010 5.50030 4.43410 10258.0000 3.5316e+03 811.02000 1713.70000
289 10.9670 2.19340 1.53770 279.7400 1.1918e+02 19.70500 42.62300
290 10.9920 2.19850 1.77800 755.2700 3.5995e+02 44.66700 93.75100
291 3.9379 0.78757 0.75450 97.4120 5.1486e+01 4.97380 9.89990
292 5.5628 1.11260 1.11920 210.8800 7.9764e+01 18.52300 40.67000
293 8.0090 1.60180 1.41100 93.2350 3.0941e+01 8.08420 17.89100
294 6.1936 1.23870 1.03090 97.3310 3.5675e+01 8.82700 19.08100
295 2.4843 0.49686 0.61682 28.4350 1.1329e+01 2.49770 5.25160
296 2.7515 0.55029 0.66011 33.6970 1.3908e+01 2.79370 5.88460
297 4.1309 0.82619 0.86847 80.7340 4.1853e+01 4.19010 8.34270
298 2.2402 0.44803 0.57608 51.0000 2.7663e+01 2.46620 4.86710
299 4.9192 0.98384 0.97991 138.2400 6.5187e+01 8.90420 18.62600
300 11.8520 2.37050 1.89010 1526.2000 7.6138e+02 86.03700 174.95000
301 2.5630 0.51261 0.54658 38.1300 2.0724e+01 1.80540 3.55590
302 24.2090 4.84180 3.83110 5426.0000 1.8210e+03 451.87000 991.01000
303 3.2049 0.64098 0.66954 20.3510 6.6510e+00 2.09810 4.48560
304 2.6568 0.53136 0.64492 15.4420 5.1977e+00 1.54530 3.30400
305 8.1116 1.62230 1.29900 162.9600 6.7921e+01 12.24300 25.82300
306 5.8376 1.16750 1.15770 96.3540 3.2894e+01 9.08160 20.37500
307 10.4860 2.09720 1.61410 307.4800 1.0148e+02 29.92600 66.60900
308 2.6063 0.52125 0.63674 20.8850 7.9847e+00 1.87240 3.97470
309 11.6290 2.32590 1.86100 297.5700 7.6272e+01 34.14600 75.97000
310 8.0327 1.60650 1.28790 124.2600 4.2468e+01 11.49400 25.15700
311 10.3290 2.06580 1.69190 1105.9000 4.3986e+02 86.88400 189.72000
312 3.0588 0.61176 0.66704 11.9220 3.9624e+00 1.14480 2.41460
313 25.7630 5.15260 4.06770 10942.0000 4.3893e+03 803.11000 1688.50000
314 8.9399 1.78800 1.40190 84.4990 2.9000e+01 6.63740 14.66600
315 6.8380 1.36760 1.13840 120.5100 4.6071e+01 10.36400 22.17500
316 4.0705 0.81410 0.85974 36.4500 1.2812e+01 3.45460 7.26140
317 19.8030 3.96070 2.97180 2112.0000 6.9233e+02 182.61000 405.03000
318 26.5950 5.31890 4.23880 10189.0000 3.6134e+03 836.04000 1778.60000
319 5.1592 1.03180 0.83185 128.9500 6.5931e+01 7.06780 14.13300
320 2.4263 0.48526 0.60725 8.5250 2.7570e+00 0.85139 1.81230
321 3.0672 0.61344 0.54981 10.5520 3.3771e+00 1.09480 2.33300
322 3.0609 0.61218 0.70883 6.1730 7.6532e-01 0.84935 1.83540
323 19.4100 3.88190 2.70340 955.5600 3.1707e+02 85.22900 185.64000
324 8.3634 1.67270 1.43780 98.8140 2.5528e+01 10.74300 23.57700
325 14.2160 2.84310 2.98190 1398.0000 3.7215e+02 151.50000 339.99000
326 25.2360 5.04730 4.34390 6143.3000 1.8649e+03 545.02000 1202.60000
327 4.7262 0.94525 0.99951 46.0200 1.7382e+01 3.78480 8.20420
328 6.7685 1.35370 1.22950 33.5940 8.5993e+00 3.11820 6.63130
329 12.3820 2.47650 1.81000 1847.3000 7.4017e+02 144.83000 308.71000
330 2.6050 0.52100 0.64752 42.3430 1.8996e+01 3.13010 6.51690
331 8.6838 1.73680 1.47920 410.6000 1.6032e+02 33.37200 73.68000
332 6.3962 1.27920 1.05110 126.7500 5.7197e+01 8.72680 18.04300
333 5.2591 1.05180 1.02680 212.8900 8.1533e+01 18.35500 40.75800
334 16.2920 3.25830 2.49190 1858.6000 5.6999e+02 176.08000 392.62000
335 9.6935 1.93870 1.67660 300.8900 1.2799e+02 20.94200 46.83200
336 5.0767 1.01530 0.91904 57.8760 2.2005e+01 5.03860 10.62900
337 3.0532 0.61064 0.62547 50.2770 2.2725e+01 3.65280 7.60130
338 2.2393 0.44785 0.57593 55.7570 3.0056e+01 2.76600 5.46030
339 5.7837 1.15670 1.17480 152.1400 6.1224e+01 12.51600 27.08900
340 8.5199 1.70400 1.45800 291.2700 1.0346e+02 25.56600 56.26500
341 2.0497 0.40994 0.52168 7.2839 1.6301e+00 0.97251 2.10370
342 9.8965 1.97930 1.45770 64.5400 1.6352e+01 5.73190 12.94500
343 7.4654 1.49310 1.16960 87.2120 2.9259e+01 8.04510 17.73400
344 3.6481 0.72961 0.84751 46.5590 2.0902e+01 3.22240 6.70600
345 4.0960 0.81920 0.86342 25.9800 1.0117e+01 2.04470 4.23860
346 2.0533 0.41065 0.47726 7.2688 1.6861e+00 0.97007 2.09340
347 11.4240 2.28490 1.83420 446.3600 1.6027e+02 39.14900 85.45700
348 3.7066 0.74133 0.80536 30.6840 9.6329e+00 3.23610 6.93990
349 33.8560 6.77120 4.85760 16376.0000 6.1387e+03 1196.50000 2501.20000
350 12.4030 2.48050 1.69810 214.3600 6.7640e+01 20.16100 44.04500
351 19.7890 3.95790 3.07330 720.0800 1.9390e+02 71.94200 161.50000
352 2.1771 0.43542 0.56269 15.7110 6.2235e+00 1.36390 2.88920
353 5.9170 1.18340 1.12020 136.7200 5.5975e+01 10.85900 23.10000
354 2.4327 0.48653 0.53293 19.0200 6.3621e+00 2.02960 4.30570
355 13.1930 2.63860 2.06710 784.5600 2.7972e+02 68.32100 148.46000
356 2.0444 0.40888 0.46998 12.7050 4.3390e+00 1.33310 2.83700
357 3.0882 0.61764 0.71306 14.5460 4.7359e+00 1.44190 3.02780
358 4.3487 0.86973 0.69019 25.3800 9.0554e+00 2.36850 4.98600
359 6.4185 1.28370 1.08530 110.7900 3.8929e+01 10.36900 22.51100
360 8.9678 1.79360 1.61100 150.3600 4.2935e+01 15.11600 34.78900
361 4.0197 0.80395 0.80288 28.6420 1.0424e+01 2.56400 5.41170
362 17.8370 3.56740 2.71530 1847.7000 5.4374e+02 185.51000 408.88000
363 3.8428 0.76855 0.62057 20.6070 7.4181e+00 1.91770 4.09900
364 4.3079 0.86159 0.84207 31.0770 1.1868e+01 2.58280 5.42870
365 3.8643 0.77287 0.82975 41.8690 1.8412e+01 2.97870 6.17510
366 28.3440 5.66890 4.62480 6053.0000 2.2338e+03 430.10000 920.66000
367 9.0848 1.81700 1.53110 298.0600 1.0313e+02 28.39300 62.58900
368 27.9090 5.58180 5.15240 11780.0000 3.8619e+03 1010.10000 2143.80000
369 11.9810 2.39630 1.90700 455.6500 1.8489e+02 34.32500 74.39700
370 15.7430 3.14850 3.12370 3679.6000 1.3286e+03 305.90000 666.21000
371 4.1405 0.82810 0.79606 50.0820 1.7494e+01 4.95220 10.56800
372 21.6780 4.33570 3.26300 1081.8000 3.2491e+02 99.54200 221.07000
373 20.6910 4.13820 2.91530 3932.1000 1.4768e+03 297.03000 635.06000
374 9.2921 1.85840 1.45920 351.8500 1.2359e+02 32.60700 72.66100
375 6.2617 1.25230 0.56538 39.9080 1.7709e+01 2.86580 5.97420
376 1.8215 0.36431 0.50297 17.7850 6.4414e+00 1.76600 3.77030
377 6.6196 1.32390 1.02480 326.6700 1.3364e+02 26.15000 57.89100
378 6.1506 1.23010 1.05890 56.8060 2.3683e+01 3.94820 8.27310
379 22.2970 4.45950 3.39210 2034.9000 5.6636e+02 198.47000 435.59000
380 4.6834 0.93669 0.94700 56.3140 2.5328e+01 3.75570 7.75160
381 4.7771 0.95542 0.96011 52.6920 2.3776e+01 3.42230 7.05860
382 5.3686 1.07370 0.86097 29.5450 1.0843e+01 2.42510 5.11760
383 12.0590 2.41170 1.91720 447.3000 1.1217e+02 50.50000 113.11000
384 16.3600 3.27200 2.13890 634.3600 2.4701e+02 48.38700 103.76000
385 17.5990 3.51990 2.32750 1400.7000 4.2722e+02 131.91000 289.26000
386 15.1110 3.02210 2.16170 608.9000 1.8639e+02 61.55400 135.15000
387 4.6465 0.92929 0.86366 44.5080 1.9091e+01 3.21610 6.68280
388 31.0820 6.21640 5.31740 19997.0000 7.4272e+03 1422.10000 2965.40000
389 4.1755 0.83510 0.84115 4.4338 5.1498e-01 0.36223 0.74558
390 2.4624 0.49249 0.61322 13.4840 4.5180e+00 1.36090 2.91660
391 1.7655 0.35311 0.49281 47.0200 2.5742e+01 2.24390 4.41960
392 27.1010 5.42030 4.26280 7027.3000 2.0448e+03 673.26000 1482.50000
393 3.1729 0.63459 0.63459 19.2370 6.8034e+00 1.84140 3.93340
394 2.0625 0.41250 0.54560 7.3689 2.3611e+00 0.76937 1.63710
395 4.3726 0.87452 0.90308 56.3990 2.1788e+01 4.86810 10.34900
396 4.9705 0.99411 0.98703 42.0250 1.6484e+01 3.21650 6.90550
397 6.1540 1.23080 1.01050 18.9250 5.1422e+00 1.55510 3.32530
398 20.4610 4.09210 3.10500 3226.2000 1.4104e+03 214.71000 452.07000
399 11.5640 2.31290 1.96700 628.4800 2.4282e+02 51.13000 109.21000
400 2.6035 0.52069 0.53376 19.2470 7.8147e+00 1.63470 3.44740
401 3.4965 0.69929 0.70373 16.9860 6.6161e+00 1.36340 2.87030
402 10.3230 2.06470 1.57760 330.2800 9.9193e+01 32.65800 73.89000
403 4.9442 0.98883 0.98338 49.1670 1.8957e+01 4.00010 8.55480
404 11.3590 2.27170 1.49630 248.5000 6.7238e+01 26.10600 60.04000
405 3.9683 0.79366 0.84492 28.7570 1.0576e+01 2.51010 5.28720
406 3.9234 0.78467 0.73663 17.7720 6.4862e+00 1.51350 3.18160
407 5.9320 1.18640 1.03090 40.3390 1.7177e+01 2.52370 5.17000
408 1.7647 0.35294 0.49266 8.2543 2.6761e+00 0.88431 1.90320
409 7.1902 1.43800 1.09680 88.3970 4.0425e+01 5.29940 11.27600
410 17.1350 3.42690 2.61260 440.8700 1.1618e+02 44.70700 98.15500
411 10.5700 2.11400 1.72320 408.5400 1.5155e+02 35.11100 76.63100
412 10.9640 2.19290 1.67710 287.7500 7.5515e+01 33.12400 73.26200
413 10.3980 2.07960 1.54420 186.6900 6.2622e+01 17.08900 37.54900
414 3.5588 0.71176 0.79882 26.2230 9.5321e+00 2.36480 4.99510
415 1.8027 0.36053 0.49956 29.8970 1.2251e+01 2.59690 5.48740
416 5.7494 1.14990 0.83630 29.4410 1.2146e+01 2.01930 4.19210
417 21.9250 4.38510 3.36030 4179.4000 1.3260e+03 382.22000 836.12000
418 24.9670 4.99350 4.26050 9708.5000 4.0270e+03 645.07000 1353.30000
419 5.9320 1.18640 0.99511 34.2290 1.3019e+01 2.50590 5.25480
420 17.1540 3.43080 2.61540 1015.8000 3.1616e+02 99.67900 219.25000
421 7.8878 1.57760 1.38630 73.4020 1.9092e+01 7.71750 16.62200
422 4.7298 0.94596 0.95350 37.5790 1.5973e+01 2.56460 5.31780
423 21.0760 4.21530 3.23270 2860.6000 1.1508e+03 199.23000 423.78000
424 4.0756 0.81511 0.86047 22.0680 7.4174e+00 2.01670 4.24590
425 5.3742 1.07480 0.95264 61.7770 2.8973e+01 3.73670 7.63390
426 2.8696 0.57392 0.67888 15.1780 4.7120e+00 1.60140 3.43050
427 4.0996 0.81993 0.86395 17.1300 6.6798e+00 1.18710 2.46670
428 10.9800 2.19600 1.86530 415.3800 1.2814e+02 39.55900 88.97400
429 3.1432 0.62863 0.69323 18.7030 7.0805e+00 1.61750 3.42080
430 2.8067 0.56134 0.58112 16.7220 5.7563e+00 1.67350 3.58200
431 10.7350 2.14690 1.74450 154.1800 4.7531e+01 13.75800 30.82700
432 7.6359 1.52720 1.34320 316.0100 1.1487e+02 27.03000 59.24500
433 10.5610 2.11230 1.39520 193.1500 7.1678e+01 16.13200 35.68500
434 2.6687 0.53374 0.64683 19.0650 6.5385e+00 1.90630 4.07570
435 6.1702 1.23400 1.20390 59.3440 2.1987e+01 4.64860 10.06100
436 32.3860 6.47720 5.76940 22576.0000 8.5397e+03 1665.20000 3503.60000
437 6.5499 1.31000 1.01400 148.0900 6.9155e+01 9.37740 20.44400
438 2.0684 0.41368 0.51439 8.6521 2.9629e+00 0.87856 1.84700
439 2.8592 0.57184 0.67724 15.4810 5.2096e+00 1.51850 3.24660
440 28.1790 5.63580 5.29090 13189.0000 5.3136e+03 913.17000 1906.00000
441 3.1804 0.63608 0.64450 28.1370 1.2433e+01 2.05510 4.26970
442 15.6700 3.13390 3.04130 1534.9000 4.0802e+02 156.39000 347.68000
443 2.8671 0.57342 0.65174 13.9450 4.8119e+00 1.33100 2.83590
444 8.4182 1.68360 1.44490 375.7500 1.4255e+02 31.78900 69.16500
445 13.5680 2.71350 2.17380 608.7000 1.9184e+02 57.26400 124.38000
446 4.7786 0.95573 0.98175 55.4390 1.2786e+01 7.03520 15.65800
447 27.0360 5.40720 4.13220 6259.0000 2.3114e+03 461.59000 989.72000
448 26.9200 5.38400 4.30780 4155.1000 1.6765e+03 266.43000 570.72000
449 2.0738 0.41475 0.54755 13.2160 4.6277e+00 1.31560 2.82650
450 34.0160 6.80320 4.89250 16223.0000 6.0294e+03 1193.60000 2493.30000
451 6.8748 1.37500 1.24350 251.6800 1.0307e+02 19.65000 43.36900
452 3.1031 0.62063 0.53352 2.6716 6.8309e-01 0.24675 0.51846
453 3.8487 0.76975 0.82650 22.9750 8.4976e+00 1.93300 4.08210
454 3.2930 0.65860 0.79235 17.3950 6.3620e+00 1.47510 3.11210
455 26.1990 5.23980 4.15640 5915.6000 1.9360e+03 513.61000 1119.50000
456 6.1289 1.22580 1.14450 95.5290 3.8074e+01 7.50040 16.37400
457 31.6610 6.33210 5.48070 20487.0000 7.2902e+03 1517.80000 3196.60000
458 7.0692 1.41380 1.26910 118.4200 4.6781e+01 9.26220 20.21100
459 15.5630 3.11260 2.38960 1637.5000 6.7830e+02 119.27000 252.74000
460 23.5180 4.70350 3.58260 4868.0000 1.6901e+03 401.45000 875.11000
461 7.5888 1.51780 1.33710 120.2000 4.6807e+01 9.17150 20.58900
462 2.2404 0.44808 0.57348 16.1910 5.5344e+00 1.65500 3.55130
463 5.1485 1.02970 1.02850 35.9100 1.3563e+01 2.78830 5.78070
464 2.6337 0.52673 0.60353 13.9740 4.4063e+00 1.49360 3.20440
465 3.5516 0.71032 0.78351 26.6660 9.7594e+00 2.40290 5.07780
466 2.9613 0.59226 0.69117 22.9000 9.1180e+00 1.90920 4.03070
467 3.2160 0.64320 0.64937 15.7350 5.0593e+00 1.61370 3.44880
468 10.2520 2.05040 1.56840 162.3500 6.4935e+01 11.55800 24.52200
469 4.3770 0.87540 0.96218 32.8170 1.2468e+01 2.62740 5.53320
470 2.9417 0.58834 0.69023 26.9660 1.0744e+01 2.28410 4.82350
471 5.1050 1.02100 0.84912 107.4400 5.0200e+01 7.22390 14.90300
472 2.2125 0.44250 0.58693 27.7850 1.2450e+01 2.06610 4.26890
473 7.5096 1.50190 1.03420 297.0600 1.1539e+02 24.99500 55.61100
474 2.4652 0.49303 0.53247 21.1620 8.2169e+00 1.92350 4.06980
475 9.3013 1.86030 1.65660 360.0300 1.2596e+02 33.04300 71.98000
476 2.0167 0.40335 0.53763 6.9586 1.6102e+00 0.90179 1.96150
477 9.6943 1.93890 1.43990 336.8000 1.0619e+02 34.02000 76.23200
478 1.8989 0.37978 0.51683 7.7374 2.2911e+00 0.87910 1.89190
479 30.5350 6.10690 5.16870 12983.0000 5.3888e+03 803.64000 1670.10000
480 7.2657 1.45310 1.29490 86.6070 3.2042e+01 7.02410 14.95600
481 4.8566 0.97133 0.74744 27.9500 8.6925e+00 2.91780 6.19280
482 3.4089 0.68178 0.76208 19.6430 7.1801e+00 1.71500 3.63280
483 4.6170 0.92340 0.88347 30.7190 1.0911e+01 2.70940 5.72630
484 7.0684 1.41370 1.26900 151.7600 5.6958e+01 13.09000 28.92000
485 9.0653 1.81310 1.44390 131.5800 5.5493e+01 8.60930 18.34800
486 6.7518 1.35040 1.22730 79.1080 2.9640e+01 6.42510 13.65400
487 2.5042 0.50083 0.59549 17.1010 5.3373e+00 1.88110 4.04840
488 5.9743 1.19490 1.12380 85.1330 4.0050e+01 4.82830 10.43500
489 2.5298 0.50596 0.54180 15.5710 5.2668e+00 1.60700 3.44770
490 25.6950 5.13910 4.46110 6670.4000 1.9244e+03 601.59000 1325.10000
491 11.2900 2.25810 1.67850 329.1600 1.4192e+02 22.82700 48.70700
492 2.0661 0.41321 0.54622 10.3990 3.3398e+00 1.10550 2.38790
493 2.4559 0.49118 0.61214 14.3720 4.6188e+00 1.52150 3.25450
494 5.0389 1.00780 0.99649 25.3770 8.1189e+00 2.21720 4.70330
495 8.7056 1.74110 1.49830 115.8600 3.8021e+01 10.24500 22.69200
496 7.1236 1.42470 1.27620 287.9000 1.0668e+02 25.10500 56.02900
497 3.7852 0.75705 0.81814 105.0000 4.3573e+01 8.74090 18.48600
498 12.5600 2.51210 1.83540 665.4300 2.3657e+02 60.07100 131.74000
499 11.0620 2.21230 1.80540 90.4950 1.2535e+01 10.47600 23.79000
500 2.3117 0.46234 0.59945 19.6520 7.6957e+00 1.74060 3.66770
501 2.7617 0.55235 0.60244 14.6220 5.2705e+00 1.37250 2.91580
502 5.3813 1.07630 0.49033 25.6130 1.0738e+01 2.04150 4.30140
503 3.9771 0.79542 0.86575 41.4370 1.8347e+01 2.85880 5.92480
504 18.7680 3.75370 3.26670 2319.3000 7.7349e+02 210.06000 455.35000
505 8.0516 1.61030 1.41660 139.9600 5.0294e+01 12.12400 26.48500
506 8.9048 1.78100 1.42410 273.8700 9.0042e+01 26.74300 59.77500
507 9.6379 1.92760 1.60260 222.4600 8.0603e+01 19.72700 41.75800
508 2.7787 0.55573 0.66445 25.7450 9.7872e+00 2.33400 4.95460
509 2.4745 0.49490 0.59080 16.1460 5.4594e+00 1.65370 3.53460
510 3.1020 0.62040 0.71520 18.7750 5.9883e+00 1.94190 4.14710
511 8.6675 1.73350 1.47710 217.9300 7.9114e+01 19.05700 43.01600
512 5.8371 1.16740 1.12880 176.2000 5.7716e+01 17.94000 40.01100
513 4.2985 0.85970 0.78420 115.5000 5.9571e+01 6.23760 12.59400
514 2.1855 0.43710 0.56678 25.1900 9.5427e+00 2.37510 5.02960
515 2.7504 0.55007 0.55381 22.3350 7.8088e+00 2.26190 4.83460
516 26.9120 5.38230 4.22560 8270.1000 3.0298e+03 655.81000 1418.20000
517 5.0562 1.01120 0.81763 24.6510 9.2152e+00 1.97230 4.13140
518 2.6621 0.53242 0.64577 125.6400 6.6831e+01 6.51900 12.99400
519 1.8959 0.37919 0.51630 9.2291 3.2098e+00 0.92070 1.97070
520 7.0293 1.40590 1.26390 55.1340 1.8935e+01 4.22560 9.63720
521 29.3510 5.87030 4.51760 13682.0000 5.2212e+03 1025.00000 2142.00000
522 7.6901 1.53800 1.35030 87.7870 3.4121e+01 6.33610 13.72100
523 3.5367 0.70734 0.65691 35.1440 1.5590e+01 2.56780 5.32680
524 4.8075 0.96150 0.96436 56.9770 2.5064e+01 3.93170 8.14920
525 21.6230 4.32460 3.48440 4640.7000 1.8275e+03 334.24000 715.97000
526 8.7919 1.75840 1.49320 141.8000 5.0435e+01 11.98400 26.38800
527 1.8105 0.36210 0.50097 20.0620 7.7790e+00 1.84910 3.93640
528 8.2230 1.64460 1.41960 77.7220 2.5655e+01 6.41710 13.99800
529 11.1210 2.22410 1.46570 331.4300 1.1577e+02 29.75200 64.63900
530 15.8930 3.17870 2.16570 499.5800 1.6451e+02 44.86100 98.36100
531 3.9490 0.78980 0.74711 7.3528 2.0442e+00 0.62583 1.31830
532 5.2230 1.04460 1.02190 194.2900 7.1555e+01 17.82600 39.75200
533 2.0528 0.41056 0.48984 7.3573 1.8131e+00 0.94726 2.04010
534 2.9696 0.59392 0.69460 24.0010 9.2017e+00 2.10870 4.47650
535 6.1787 1.23570 1.15120 52.4790 2.0220e+01 3.92280 8.18850
536 2.0633 0.41266 0.54574 3.5966 1.0427e+00 0.36985 0.77712
537 5.9733 1.19470 0.94681 74.6360 2.7512e+01 6.72430 14.31600
538 10.7340 2.14670 1.74440 229.2200 7.0595e+01 22.55000 50.09400
539 5.0949 1.01900 1.00420 489.1600 2.2187e+02 35.51300 75.00100
540 4.9576 0.99153 0.98525 478.3200 2.0972e+02 36.80700 78.48100
541 5.2758 1.05520 1.02910 702.2500 3.3207e+02 47.86700 99.13200
542 1.8926 0.37852 0.54902 14.9780 5.5127e+00 1.43540 3.06010
543 3.9184 0.78367 0.64093 25.8640 1.0541e+01 2.10350 4.37960
544 2.9392 0.58784 0.60222 13.5530 4.5045e+00 1.36060 2.91650
545 6.5098 1.30200 1.19530 162.2900 7.0316e+01 11.61000 25.54100
546 8.4218 1.68440 1.44530 192.9200 7.3994e+01 15.94400 34.84000
547 4.9530 0.99061 0.92786 124.7300 5.1381e+01 10.33100 21.72700
548 4.1072 0.82143 0.72845 53.8000 2.3391e+01 4.08040 8.51190
549 13.7060 2.74110 1.80810 392.5200 1.0537e+02 40.40400 90.21800
550 26.3970 5.27950 4.19750 5179.9000 1.4902e+03 466.06000 1017.00000
551 3.6966 0.73931 0.85528 118.5300 4.9963e+01 9.60510 20.29400
552 5.8469 1.16940 1.10670 88.9270 4.2040e+01 5.18500 10.87400
553 3.0859 0.61718 0.65268 141.2000 6.5546e+01 10.08500 20.90700
554 20.7750 4.15490 3.16940 1106.6000 3.4148e+02 103.16000 227.90000
555 3.1932 0.63863 0.72925 10.5010 -1.3558e+01 5.64340 13.48900
556 26.1380 5.22750 4.35290 7063.5000 2.4519e+03 566.20000 1232.20000
557 14.0310 2.80630 1.93770 419.6500 9.7238e+01 46.15100 104.71000
558 6.6023 1.32050 1.20750 174.5900 7.5662e+01 12.61300 27.51400
559 27.7880 5.55760 5.09260 9280.4000 3.3437e+03 721.85000 1545.70000
560 12.0400 2.40800 1.91120 870.4400 3.1002e+02 76.65500 167.59000
561 3.3928 0.67856 0.75965 69.6600 2.7502e+01 6.10900 13.01000
562 22.9110 4.58220 3.65360 913.1200 2.5101e+02 86.21300 190.22000
563 4.5439 0.90878 0.97285 40.4450 1.7772e+01 2.63940 5.44500
564 2.8415 0.56831 0.53739 17.0910 7.1811e+00 1.36130 2.85270
565 8.6808 1.73620 1.39660 311.1000 9.6783e+01 31.99600 71.22200
566 9.2467 1.84930 1.23550 339.3500 1.3861e+02 25.85200 56.18100
567 14.2970 2.85950 3.02290 1801.2000 6.2133e+02 152.47000 337.25000
568 5.0039 1.00080 0.99310 32.5020 1.2336e+01 2.39660 5.28680
569 25.1170 5.02340 3.93970 7275.8000 3.0850e+03 487.56000 1014.90000
570 7.1809 1.43620 0.64992 40.6700 2.0397e+01 2.12860 4.19690
571 17.1580 3.43150 2.61600 2074.3000 6.7952e+02 193.16000 427.85000
572 6.1421 1.22840 1.14630 264.6800 1.1500e+02 19.11900 41.79200
573 9.9678 1.99360 1.47500 281.2700 8.8906e+01 26.94700 60.10400
574 5.2406 1.04810 1.02430 109.2400 5.2791e+01 6.47610 13.59100
575 3.0490 0.60979 0.75245 48.7580 2.2123e+01 3.46230 7.18180
576 2.1220 0.42439 0.50236 3.5949 8.3550e-01 0.44471 0.94421
577 2.6079 0.52157 0.58310 30.6400 1.2327e+01 2.66950 5.63240
578 2.9715 0.59429 0.73960 13.3610 4.8686e+00 1.13320 2.39230
579 10.9380 2.18760 1.77090 148.6100 4.6325e+01 13.10600 28.33100
580 7.8342 1.56680 1.21420 137.5400 4.2537e+01 14.34600 31.05800
581 2.5058 0.50116 0.62035 13.8210 4.9824e+00 1.28790 2.75360
582 9.4820 1.89640 1.58240 349.1400 1.1619e+02 33.08300 74.02000
583 6.0493 1.20990 1.09170 104.8800 4.6512e+01 7.14090 15.26800
584 8.8952 1.77900 1.50660 267.9800 7.8863e+01 27.53100 62.80600
585 3.4049 0.68098 0.66299 33.5370 1.4050e+01 2.67530 5.62620
586 2.7127 0.54255 0.49684 25.8320 1.0328e+01 2.29890 4.82040
587 3.8949 0.77897 0.83421 29.2770 1.2751e+01 2.00110 4.12730
588 4.8979 0.97958 0.85551 32.6400 1.3362e+01 2.40510 4.98300
589 8.1121 1.62240 1.40520 198.5900 7.2395e+01 17.30700 39.21300
590 7.0819 1.41640 0.64045 17.3560 5.9038e+00 1.49420 3.15410
591 3.8804 0.77608 0.83210 26.3610 9.9780e+00 2.19730 4.63880
592 2.0189 0.40379 0.53801 30.5080 1.1699e+01 2.86400 6.07840
593 2.9847 0.59694 0.69696 30.1280 1.0968e+01 2.87500 6.10460
594 2.6305 0.52610 0.64067 27.5710 1.1136e+01 2.33480 4.95640
595 3.1289 0.62578 0.60424 29.9890 1.1460e+01 2.74810 5.82810
596 5.4692 1.09380 1.05550 198.3100 9.4130e+01 12.28000 26.86800
597 7.6371 1.52740 1.34340 149.4200 4.9437e+01 14.47500 32.13700
598 2.9091 0.58183 0.68511 33.9400 1.4967e+01 2.51190 5.24010
599 5.4432 1.08860 1.05200 126.2700 3.4256e+01 14.96900 32.71600
600 4.8243 0.96487 0.86642 55.4290 2.0488e+01 5.05480 10.72400
601 23.3850 4.67700 3.44660 2085.3000 6.4633e+02 190.63000 419.38000
602 33.0760 6.61520 4.69220 14684.0000 5.4090e+03 1096.40000 2298.50000
603 6.3593 1.27190 1.17530 323.9100 1.2736e+02 26.82400 59.67400
604 3.1071 0.62143 0.73314 89.6430 3.9747e+01 6.80020 14.21600
605 2.4033 0.48067 0.60344 89.7400 3.8461e+01 7.32250 15.43900
606 2.0601 0.41201 0.54518 11.5580 4.1132e+00 1.13990 2.39120
607 15.6940 3.13880 2.40780 1509.2000 4.7286e+02 146.73000 323.52000
608 5.0616 1.01230 0.82512 27.1770 9.9001e+00 2.29560 4.80960
609 3.3079 0.66158 0.66138 21.3800 8.1133e+00 1.88460 3.98930
610 8.3285 1.66570 1.31940 136.2300 5.3960e+01 10.51300 22.70600
611 12.0130 2.40260 1.90780 270.7800 6.6705e+01 31.31100 68.85200
612 4.6302 0.92604 0.85617 51.1730 2.2849e+01 3.51180 7.28420
613 31.3930 6.27860 5.40430 20863.0000 7.6550e+03 1509.00000 3154.60000
614 7.1305 1.42610 1.08480 74.6450 3.2239e+01 4.93460 10.37700
615 19.1670 3.83330 2.87730 1590.9000 5.1486e+02 137.98000 305.37000
616 11.9000 2.38000 1.89630 541.4500 1.4811e+02 59.78300 133.42000
617 2.0937 0.41873 0.52901 35.3360 1.3916e+01 3.21910 6.83430
618 2.4598 0.49197 0.55438 25.6440 9.8304e+00 2.36820 5.02410
619 6.1965 1.23930 1.07630 304.1000 1.3850e+02 20.59800 45.17700
620 2.9307 0.58614 0.59840 33.0080 1.2802e+01 2.98530 6.34250
621 7.5476 1.50950 1.35740 741.5300 3.0705e+02 57.60300 127.44000
622 31.5810 6.31610 5.45770 20278.0000 7.2144e+03 1503.00000 3167.20000
623 7.1511 1.43020 1.09500 80.6520 3.5131e+01 5.27180 11.21400
624 12.1690 2.43380 1.93170 582.0800 2.4182e+02 44.03400 94.20400
625 5.2912 1.05820 1.03120 32.9520 1.1314e+01 2.75600 5.90220
626 4.2721 0.85441 0.88873 130.5700 5.6001e+01 10.30800 21.59500
627 4.7130 0.94260 0.95114 34.9550 1.5051e+01 2.29800 4.72900
628 3.8237 0.76474 0.76245 176.1400 9.4005e+01 8.91280 17.87400
629 2.3909 0.47817 0.63632 0.0000 -1.1820e+00 0.22028 0.47303
630 3.4802 0.69604 0.57829 12.6000 5.0487e+00 0.99472 2.09470
631 8.1730 1.63460 1.25520 97.8690 3.8867e+01 7.09160 15.55500
632 10.1740 2.03480 1.67190 39.1590 1.2185e+00 4.21480 9.32070
633 27.0510 5.41010 4.83320 12621.0000 4.3510e+03 999.25000 2150.10000
634 9.9063 1.98130 1.58140 207.6200 7.8664e+01 16.93200 36.45600
635 3.9407 0.78814 0.84090 26.9410 9.6397e+00 2.40770 5.09210
636 2.7145 0.54290 0.65419 31.7260 1.1622e+01 3.06060 6.49860
637 5.5910 1.11820 1.01070 70.1620 1.4697e+01 9.46930 20.72800
638 9.9239 1.98480 1.63950 211.4400 6.5046e+01 20.78400 45.58800
639 2.9995 0.59990 0.69927 13.0280 5.1048e+00 1.01690 2.13890
640 8.3521 1.67040 1.13070 83.6570 2.3274e+01 8.84150 20.03000
641 31.2660 6.25310 5.36840 18597.0000 6.4891e+03 1412.90000 3001.50000
642 6.0609 1.21220 1.04270 106.9300 3.1155e+01 11.92800 26.72700
643 25.4580 5.09160 4.14190 4921.9000 1.8335e+03 374.12000 800.13000
644 3.6293 0.72587 0.81373 66.9840 3.0667e+01 4.66570 9.67870
645 3.8359 0.76717 0.65254 44.4320 1.8276e+01 3.65640 7.72140
646 10.4580 2.09150 1.52470 319.0300 1.1547e+02 29.02000 62.47800
647 2.9208 0.58417 0.68695 14.2960 5.7601e+00 1.10830 2.31080
648 15.0220 3.00440 2.21570 900.6300 2.7937e+02 85.12100 184.88000
649 3.4017 0.68034 0.61129 15.8150 5.9053e+00 1.40030 2.95780
650 4.5964 0.91927 0.98054 11.5560 1.2534e+00 1.38590 3.11960
651 6.4867 1.29730 1.19220 418.2600 1.6465e+02 35.24200 76.59700
652 8.7930 1.75860 1.40170 255.7200 9.4154e+01 21.69900 47.39200
653 30.4250 6.08500 4.73410 14731.0000 5.4870e+03 1122.50000 2358.80000
654 10.2610 2.05220 1.44450 242.1000 8.5124e+01 22.13500 49.23600
655 28.9720 5.79450 5.74170 22293.0000 7.9602e+03 1768.90000 3712.30000
656 25.5130 5.10260 4.25890 7332.3000 2.2067e+03 649.35000 1421.30000
657 5.9346 1.18690 1.19720 132.9700 6.2449e+01 8.17480 17.27000
658 1.9639 0.39277 0.52834 6.1348 1.6755e+00 0.71453 1.55440
659 3.3106 0.66211 0.74718 33.2300 1.6255e+01 1.95950 3.86460
660 5.1034 1.02070 1.00540 201.2500 9.8283e+01 12.25300 25.84300
661 6.7026 1.34050 1.17590 135.5000 4.2627e+01 13.95900 31.07700
662 11.1810 2.23620 1.82920 614.6400 2.2510e+02 54.03800 117.73000
663 13.1960 2.63920 1.88800 77.0710 4.6947e-01 10.14600 22.61900
664 12.5100 2.50210 1.71110 203.0300 5.6355e+01 20.75200 46.33500
665 4.6920 0.93839 0.94819 115.3200 5.0243e+01 8.77560 18.32200
666 32.9590 6.59180 4.66790 15034.0000 5.7025e+03 1089.70000 2270.30000
667 2.7214 0.54428 0.54988 20.3210 8.6171e+00 1.61310 3.38130
668 26.7670 5.35340 4.27720 4928.9000 1.3541e+03 480.42000 1061.30000
669 13.4280 2.68570 1.82370 405.4000 1.6841e+02 29.11700 63.32000
670 15.1870 3.03750 2.59790 409.5400 1.1654e+02 39.46500 87.08300
671 21.4010 4.28020 3.26160 4028.6000 1.5318e+03 314.43000 684.64000
672 4.0061 0.80123 0.75734 27.4570 1.0244e+01 2.40740 5.08660
673 25.4860 5.09730 4.01240 9649.2000 3.5402e+03 819.29000 1745.30000
674 6.0687 1.21370 1.13650 361.0200 1.3594e+02 32.27000 70.72900
675 11.0320 2.20640 1.78310 284.3500 8.7625e+01 28.72300 63.59600
676 8.0735 1.61470 1.40020 161.5500 4.9216e+01 16.49900 37.65400
677 1.7649 0.35299 0.49270 61.2810 3.0667e+01 3.77220 7.70670
678 25.6250 5.12510 4.04010 2476.8000 7.8478e+02 202.33000 445.70000
679 5.1244 1.02490 1.00830 30.7390 1.0149e+01 2.64110 5.83150
680 20.8470 4.16940 3.66960 1562.6000 2.7089e+02 187.68000 420.76000
681 4.5508 0.91016 0.81668 172.0800 8.7893e+01 9.53270 19.32400
682 5.4065 1.08130 0.95679 209.2000 1.0839e+02 11.00900 21.98300
683 8.6178 1.72360 1.47070 165.6600 5.8596e+01 14.63400 32.24000
684 2.1476 0.42953 0.58946 5.5724 2.1765e+00 0.43971 0.87741
685 6.7507 1.35010 1.04110 70.7960 3.0235e+01 4.91170 10.19800
686 2.9612 0.59224 0.69329 30.7750 1.1924e+01 2.72570 5.78760
687 26.5840 5.31670 4.23640 6093.3000 2.0401e+03 516.64000 1127.90000
688 2.2807 0.45614 0.61661 186.8200 9.9292e+01 9.78730 19.75500
689 3.3185 0.66370 0.60303 31.3730 1.2331e+01 2.77340 5.86810
690 6.2253 1.24510 1.15740 366.4900 1.4031e+02 31.82600 70.76100
691 7.6964 1.53930 1.30250 423.5800 1.4676e+02 39.93200 87.73600
692 7.6931 1.53860 1.20380 369.5900 1.4245e+02 31.21900 68.35000
693 6.0788 1.21580 1.03150 32.4340 9.5759e+00 3.06430 6.52500
694 2.8586 0.57171 0.67714 23.8180 9.7513e+00 1.93760 4.06040
695 10.9620 2.19240 1.93780 94.6160 2.0831e+01 8.58290 18.89100
696 2.4731 0.49461 0.61497 12.7050 4.1986e+00 1.29320 2.76480
697 2.1364 0.42728 0.55837 16.6020 7.2024e+00 1.26900 2.65640
698 4.5274 0.90547 0.82951 81.5420 2.9970e+01 7.70950 16.42100
699 29.2670 5.85340 4.84480 15126.0000 5.6633e+03 1175.90000 2486.10000
700 7.5614 1.51230 1.04000 59.1880 2.6703e+01 3.34670 7.00120
701 14.9990 2.99980 2.31140 917.3200 3.6201e+02 70.99900 151.69000
702 2.2645 0.45291 0.58020 20.4980 8.0119e+00 1.82260 3.88280
703 3.9838 0.79677 0.90084 26.6090 9.1554e+00 2.41180 5.12800
704 4.6911 0.93822 0.94807 87.5300 4.2101e+01 5.38060 10.95500
705 2.8844 0.57687 0.68121 30.0600 1.3511e+01 2.14110 4.42490
706 8.9729 1.79460 1.39720 235.8600 8.4795e+01 21.53800 47.54700
707 9.3951 1.87900 1.34440 256.2000 1.2204e+02 15.34100 31.99000
708 28.1650 5.63290 5.28340 19555.0000 7.2000e+03 1514.40000 3162.80000
709 6.4039 1.28080 1.20550 199.0500 8.0102e+01 16.43700 35.57400
710 8.2628 1.65260 1.37410 164.7800 7.0006e+01 11.52500 25.03800
711 10.6460 2.12930 1.07330 102.4900 3.9373e+01 7.99330 17.34600
712 5.9264 1.18530 1.11740 105.4200 4.2566e+01 8.22500 18.22600
713 3.0269 0.60539 0.66236 14.2530 4.1881e+00 1.56420 3.34990
714 4.2509 0.85018 0.92948 41.6760 1.8957e+01 2.63580 5.41810
715 23.9580 4.79160 3.71970 2064.5000 4.1065e+02 237.24000 531.02000
716 2.2791 0.45583 0.58266 15.7020 5.7668e+00 1.47710 3.16340
717 18.8430 3.76850 2.72930 911.8300 2.2297e+02 100.46000 223.88000
718 3.7476 0.74951 0.64074 125.1200 6.0046e+01 8.27820 17.12500
719 5.5706 1.11410 1.07230 52.4330 2.1387e+01 3.76960 7.95000
720 3.6940 0.73880 0.80347 15.3600 4.7588e+00 1.47550 3.13600
721 2.8243 0.56487 0.67171 16.6890 6.1311e+00 1.50610 3.20420
722 2.1138 0.42277 0.58623 25.4880 9.6021e+00 2.40410 5.12750
723 3.6437 0.72875 0.79723 15.5850 4.9650e+00 1.48060 3.11620
724 4.2887 0.85774 0.81109 24.3260 9.1355e+00 1.99960 4.21980
725 8.8885 1.77770 1.50570 358.5100 1.5672e+02 25.19300 54.55100
726 4.0510 0.81020 0.69511 65.5280 3.3984e+01 3.50290 6.92590
727 6.4965 1.29930 1.19350 386.0400 1.5270e+02 31.94300 69.71300
728 2.0257 0.40513 0.53649 1.6169 8.7447e-02 0.23596 0.51672
729 3.7633 0.75267 0.81492 60.1290 2.8782e+01 3.80830 7.71710
730 5.7150 1.14300 1.00300 47.3030 2.0561e+01 3.00550 6.34760
731 4.2816 0.85632 0.78201 23.8990 9.1705e+00 1.92940 4.06570
732 2.3184 0.46367 0.62727 35.3760 1.4979e+01 2.87240 6.03990
733 12.4160 2.48310 1.42100 113.7300 3.4601e+01 9.83900 22.49400
734 9.2899 1.85800 1.38560 283.9700 7.8634e+01 31.34600 71.48200
735 7.7557 1.55110 1.28250 236.1500 9.1384e+01 20.01800 43.72000
736 11.9380 2.38770 1.71180 279.8400 8.5916e+01 27.19800 59.54100
737 4.3272 0.86543 0.89660 28.9330 1.0529e+01 2.45670 5.21130
738 11.2490 2.24980 1.70150 472.4300 1.5549e+02 45.55400 101.21000
739 30.4760 6.09530 5.15320 12757.0000 4.9885e+03 848.90000 1784.80000
740 11.9080 2.38150 1.30550 344.7900 1.2243e+02 29.32700 64.32000
741 4.5518 0.91037 0.82449 17.6670 5.3089e+00 1.69440 3.60510
742 5.6505 1.13010 1.08020 326.7100 1.4770e+02 22.83400 48.91500
743 13.5370 2.70730 2.07580 2065.7000 8.1907e+02 169.98000 366.37000
744 2.1238 0.42476 0.55620 7.7723 3.2677e+00 0.59503 1.19600
745 26.4820 5.29640 4.53670 9245.4000 2.9506e+03 781.39000 1705.20000
746 4.9351 0.98701 0.98211 29.9870 1.1479e+01 2.22100 4.67920
747 16.9070 3.38130 2.57970 676.7400 1.9004e+02 66.46400 150.29000
748 23.0610 4.61210 3.49860 781.2600 1.9524e+02 76.98500 170.41000
749 8.7883 1.75770 1.32740 119.0000 4.6407e+01 8.96480 19.55100
750 8.5173 1.70350 1.36010 174.6700 6.9590e+01 13.63900 29.83300
751 6.9418 1.38840 1.17160 343.0300 1.2385e+02 31.45900 70.53900
752 6.2810 1.25620 1.21920 392.3400 1.5781e+02 31.46900 69.37600
753 7.6608 1.53220 1.16360 415.7600 1.6321e+02 35.20700 75.72700
754 6.9325 1.38650 1.25110 425.6500 1.5717e+02 37.48000 83.87400
755 19.2650 3.85290 3.08530 441.7600 8.0528e+01 49.17900 109.03000
756 3.6946 0.73892 0.73101 21.9050 8.2950e+00 1.86640 3.93320
757 2.0664 0.41327 0.54627 6.5071 1.4840e+00 0.84796 1.81810
758 8.3724 1.67450 1.26180 50.4520 1.5799e+01 4.15040 8.66570
759 13.2190 2.64390 1.64230 432.3200 1.3541e+02 40.38300 89.30800
760 5.1656 1.03310 0.78189 22.2290 7.7918e+00 1.92240 4.02470
761 5.7430 1.14860 0.91378 35.0640 1.3662e+01 2.64240 5.52960
762 4.0480 0.80960 0.85648 21.5110 7.9093e+00 1.76270 3.68170
763 2.4367 0.48735 0.55089 11.8510 3.9221e+00 1.23000 2.62370
764 7.1022 1.42040 1.16550 42.3210 1.4642e+01 3.17330 6.84550
765 2.6451 0.52901 0.55830 31.0350 1.4990e+01 1.98270 4.08150
766 4.4556 0.89113 0.97432 57.6890 2.7825e+01 3.30250 6.73660
767 14.3170 2.86350 2.14160 1774.1000 7.2657e+02 135.25000 289.06000
768 24.3100 4.86200 3.85620 2987.1000 8.0029e+02 291.22000 648.89000
769 2.4528 0.49056 0.62234 20.7050 7.8643e+00 1.89620 3.99570
770 2.4564 0.49128 0.61222 25.9780 9.3869e+00 2.54900 5.42350
771 2.2405 0.44809 0.59039 21.0580 7.9462e+00 1.96410 4.16650
772 14.0860 2.81720 1.91950 312.5900 1.0012e+02 29.31200 63.79600
773 2.2104 0.44208 0.53739 22.7860 8.2292e+00 2.26220 4.82580
774 7.2761 1.45520 1.10490 285.1400 1.3217e+02 18.54600 39.38300
775 8.5201 1.70400 1.27440 77.9280 2.7714e+01 6.24710 13.33300
776 4.8041 0.96083 0.96389 62.0410 3.0767e+01 3.34220 6.68710
777 9.1013 1.82030 1.53320 1544.5000 6.8169e+02 112.29000 236.28000
778 2.2313 0.44625 0.58483 58.8130 3.1606e+01 2.95080 5.82570
779 22.7030 4.54060 3.49410 3859.0000 1.4201e+03 299.67000 651.15000
780 10.2150 2.04290 1.57860 303.9200 1.4169e+02 18.67700 38.60200
781 2.4882 0.49763 0.48955 18.6830 7.0442e+00 1.76760 3.74840
782 30.8370 6.16740 5.25000 17529.0000 6.0294e+03 1335.90000 2824.80000
783 4.9599 0.99198 0.86881 24.9910 7.3178e+00 2.53860 5.43500
784 30.0340 6.00670 5.03750 12070.0000 4.3954e+03 869.17000 1843.40000
785 3.7623 0.75247 0.81477 29.5550 1.1818e+01 2.35550 4.94450
786 28.0310 5.60610 5.21390 11191.0000 4.3988e+03 798.58000 1673.60000
787 9.7575 1.95150 1.58950 263.7400 1.2055e+02 16.62400 34.35000
788 12.5210 2.50430 1.97810 126.4700 3.5133e+01 10.34300 21.87100
789 3.0959 0.61917 0.62116 47.7790 1.9931e+01 3.94210 8.31230
790 9.4868 1.89740 1.68200 316.7500 1.0115e+02 31.85600 68.42200
791 9.2617 1.85230 1.55400 314.1600 1.2583e+02 24.54700 53.42400
792 4.4195 0.88390 0.81292 22.0870 7.4304e+00 2.01990 4.28510
793 1.7929 0.35859 0.49779 19.5390 7.8395e+00 1.72420 3.66100
794 2.9272 0.58544 0.60054 16.7080 6.4620e+00 1.44900 3.07230
795 2.5371 0.50742 0.62548 11.7700 4.2770e+00 1.06680 2.26530
796 25.4800 5.09600 3.96660 8575.6000 3.1460e+03 671.20000 1431.00000
797 14.2930 2.85850 2.10020 322.4700 7.4418e+01 37.40900 83.19400
798 3.9529 0.79059 0.76612 110.6500 5.2179e+01 7.34050 15.20000
799 5.8931 1.17860 1.11690 83.1400 3.6767e+01 5.47000 11.67400
800 6.1439 1.22880 1.21940 157.7500 6.1783e+01 13.19300 28.93800
801 3.3285 0.66570 0.74819 27.7220 1.0450e+01 2.45880 5.21600
802 1.7534 0.35068 0.49060 33.9070 1.8292e+01 1.69060 3.32980
803 3.1054 0.62107 0.71572 34.3330 1.3542e+01 2.97600 6.28880
804 1.8295 0.36591 0.50441 12.6620 4.0515e+00 1.39710 2.99910
805 10.2030 2.04060 1.67560 250.1100 8.1804e+01 23.77500 53.38200
806 5.7481 1.14960 0.96080 67.6930 2.7418e+01 5.35180 11.25100
807 1.6097 0.32193 0.47277 18.6340 6.6393e+00 1.90120 4.06370
808 2.4894 0.49789 0.53812 22.3860 9.8299e+00 1.69990 3.56260
809 30.4650 6.09300 5.04500 15703.0000 5.6355e+03 1190.60000 2503.50000
810 7.7791 1.55580 1.25480 288.8100 1.2282e+02 21.15600 45.53700
811 10.4760 2.09510 1.71090 282.5200 9.7182e+01 25.91400 57.66000
812 3.1119 0.62239 0.62874 3.9924 7.9688e-01 0.43556 0.91944
813 1.8511 0.37023 0.53492 10.3570 4.1395e+00 0.88054 1.86220
814 1.8112 0.36224 0.50110 19.9990 7.5939e+00 1.89510 4.02310
815 27.9720 5.59450 4.47480 9304.8000 3.4657e+03 751.37000 1597.20000
816 2.6402 0.52803 0.58791 16.7960 6.0398e+00 1.61480 3.43340
817 3.1029 0.62058 0.71533 6.9995 1.4672e+00 0.81491 1.72880
818 7.3866 1.47730 1.32970 151.0200 5.0963e+01 14.56300 31.99700
819 5.0192 1.00380 0.99377 52.3770 2.1560e+01 3.85160 8.28810
820 6.8234 1.36470 0.95662 201.7400 9.5147e+01 12.93800 26.65100
821 7.5522 1.51040 1.04430 92.9740 3.6070e+01 7.61330 16.31400
822 5.0831 1.01660 1.06660 64.6390 2.9207e+01 4.12460 8.56090
823 17.2260 3.44520 2.97140 2618.0000 9.4659e+02 233.95000 509.52000
824 1.7106 0.34212 0.49227 31.1810 1.2046e+01 2.93590 6.21580
825 2.8865 0.57730 0.68154 159.5400 8.4658e+01 8.32990 16.71000
826 2.7477 0.54954 0.63346 34.8780 9.2628e+00 4.36760 9.49030
827 2.7605 0.55211 0.67403 158.7700 8.3761e+01 8.46260 16.95300
828 4.9580 0.99159 0.88285 35.4760 1.2933e+01 3.07490 6.48630
829 2.8504 0.57008 0.62363 146.1300 7.9066e+01 7.19460 14.35200
830 2.5731 0.51461 0.57137 32.2380 1.3368e+01 2.68820 5.68010
831 2.8761 0.57523 0.57075 14.9100 4.9817e+00 1.52750 3.26580
832 7.9525 1.59050 0.72736 37.1600 1.4466e+01 2.92190 6.14950
833 7.1674 1.43350 1.23530 235.1600 9.7020e+01 18.17100 39.81700
834 34.9540 6.99080 5.10340 18007.0000 6.7658e+03 1306.40000 2721.30000
835 4.6650 0.93300 0.84562 31.1180 1.4737e+01 1.71850 3.45940
836 11.1180 2.22370 1.79430 316.0800 1.1214e+02 28.53600 61.33800
837 9.9870 1.99740 1.47720 119.6200 3.8450e+01 10.49100 23.57100
838 1.9913 0.39827 0.53318 29.8710 1.2456e+01 2.50910 5.29870
839 21.1300 4.22600 3.41250 2764.7000 7.6765e+02 270.96000 601.71000
840 8.8439 1.76880 1.18790 146.4800 5.5735e+01 12.20200 26.77500
841 3.7745 0.75490 0.72425 18.4830 6.4034e+00 1.70440 3.61390
842 31.3050 6.26110 5.37960 19913.0000 7.1438e+03 1469.40000 3090.50000
843 8.9255 1.78510 1.51050 154.6200 6.6243e+01 10.04000 21.53100
844 25.5860 5.11720 4.18590 2453.4000 8.1142e+02 208.10000 450.37000
845 4.4209 0.88419 0.91006 32.1770 1.1933e+01 2.70440 5.70790
846 4.5809 0.91618 0.76447 22.3940 7.9612e+00 1.96420 4.15380
847 3.2660 0.65320 0.67814 41.8890 1.4866e+01 4.17750 8.90980
848 2.6668 0.53337 0.64653 8.8907 3.1399e+00 0.78379 1.65290
849 2.8215 0.56430 0.67127 166.7100 8.8420e+01 8.73730 17.53700
850 9.6992 1.93980 1.44310 1248.3000 5.9231e+02 79.88600 163.70000
851 2.8671 0.57341 0.68988 17.6160 5.6338e+00 1.83370 3.92490
852 3.5506 0.71012 0.58655 20.3840 7.0363e+00 2.01950 4.33800
853 4.2537 0.85074 0.88610 123.9500 6.3593e+01 6.78370 13.46400
854 6.6903 1.33810 1.15000 173.9400 7.4040e+01 12.98300 28.55200
855 2.0419 0.40838 0.54202 5.6564 2.0948e+00 0.49277 1.03260
856 3.1052 0.62104 0.71569 17.1000 6.4257e+00 1.46800 3.08590
857 3.4106 0.68211 0.67569 20.3010 7.3868e+00 1.85610 3.93750
858 4.0150 0.80299 0.75853 14.5290 4.8372e+00 1.29100 2.72780
859 2.6913 0.53826 0.65047 20.5370 8.1773e+00 1.72790 3.66370
860 7.0613 1.41230 1.26810 60.6840 1.9398e+01 5.34720 11.72400
861 4.8206 0.96412 0.96618 292.0200 1.5165e+02 15.65400 31.33000
862 34.1020 6.82040 4.91140 16626.0000 6.2329e+03 1214.60000 2531.90000
863 4.5893 0.91786 0.81669 19.7030 6.9800e+00 1.63380 3.44640
864 26.7920 5.35850 4.64400 8534.8000 2.9411e+03 695.93000 1496.40000
865 1.9030 0.38061 0.47623 14.3140 5.6613e+00 1.28280 2.70530
866 3.3288 0.66577 0.60438 23.8270 9.2354e+00 2.10350 4.45140
867 2.0650 0.41301 0.47910 19.2560 9.0238e+00 1.34130 2.72240
868 8.1532 1.63060 1.26020 677.1100 2.8594e+02 53.45400 113.31000
869 1.7578 0.35155 0.50378 23.8190 6.9885e+00 2.86290 6.18100
870 4.3312 0.86623 0.89717 106.6500 5.6678e+01 5.21390 10.31100
871 25.0440 5.00880 4.13290 5806.1000 1.7647e+03 514.56000 1118.70000
872 4.9939 0.99877 0.99026 63.0700 1.7714e+01 7.12150 15.83600
873 5.9767 1.19530 1.12420 84.1090 3.7685e+01 5.45150 11.37900
874 24.2320 4.84650 3.51250 4555.9000 1.5550e+03 394.46000 866.96000
875 2.0315 0.40629 0.47793 3.7449 1.1068e+00 0.40457 0.86246
876 6.1600 1.23200 1.14870 202.7300 7.3487e+01 18.68000 41.71100
877 7.3322 1.46640 1.30360 84.7630 3.2563e+01 6.37730 13.76500
878 25.6800 5.13600 3.88520 4678.6000 1.3226e+03 465.46000 1025.30000
879 8.1743 1.63490 1.30740 40.1940 -3.8936e-01 6.59480 14.57400
880 12.1890 2.43770 1.93420 224.4200 6.7326e+01 20.85300 47.16300
881 9.3975 1.87950 1.51680 178.3200 6.1528e+01 15.91000 35.18200
882 6.1998 1.24000 1.15400 114.6500 3.9999e+01 10.79000 23.90600
883 7.8241 1.56480 1.16850 147.4300 4.5575e+01 15.25800 33.86500
884 7.4581 1.49160 1.40340 293.9200 9.4609e+01 29.18500 65.35100
885 3.0865 0.61730 0.62526 7.3258 2.1995e+00 0.72628 1.52650
886 5.7924 1.15850 1.00930 131.5800 4.0055e+01 14.62000 31.73900
887 1.8077 0.36153 0.50046 41.8860 2.2992e+01 1.96950 3.87910
888 26.4390 5.28770 4.55270 12681.0000 4.6852e+03 1022.60000 2190.50000
889 7.6423 1.52850 1.23640 331.5400 1.3189e+02 27.33900 60.22400
890 10.0690 2.01380 1.65530 275.7700 6.4597e+01 31.32000 71.30700
891 9.0778 1.81560 1.53020 318.1400 1.0762e+02 29.69500 66.85800
892 9.3631 1.87260 1.40020 143.2800 5.4469e+01 11.21400 24.68600
893 6.1113 1.22230 0.55220 11.8720 2.8505e+00 1.40420 3.00930
894 25.7770 5.15530 4.24790 7412.4000 2.9368e+03 524.49000 1107.80000
895 3.0537 0.61073 0.70770 18.5210 5.6734e+00 1.99130 4.25480
896 17.6240 3.52470 2.68390 573.6900 1.5022e+02 60.95800 135.00000
897 3.2168 0.64336 0.67701 175.5300 9.3872e+01 8.92030 17.86700
898 7.5970 1.51940 1.39810 60.6610 1.0304e+01 7.59320 16.76700
899 7.0988 1.41980 1.27300 118.5400 4.5397e+01 9.66080 21.15700
900 2.8066 0.56133 0.66891 23.0530 9.3913e+00 1.88550 3.97150
901 14.6510 2.93030 2.24240 1120.6000 3.4867e+02 102.73000 229.90000
902 3.1921 0.63841 0.77594 15.6180 5.5519e+00 1.36150 2.87960
903 3.6612 0.73223 0.79982 15.0960 5.1201e+00 1.32490 2.78550
904 15.4100 3.08190 2.78330 577.6000 1.2863e+02 64.59200 144.34000
905 4.1602 0.83205 0.83902 28.8970 1.2895e+01 1.84480 3.79340
906 10.8620 2.17250 1.10870 209.9800 8.1083e+01 16.33500 36.17900
907 2.0875 0.41749 0.52798 9.7442 3.4686e+00 0.95459 1.99910
908 25.2760 5.05510 3.33790 2149.2000 5.3138e+02 218.69000 482.41000
909 3.1389 0.62778 0.72089 20.6170 7.6046e+00 1.84500 3.91180
910 2.4476 0.48952 0.61077 16.5210 4.1704e+00 2.10620 4.53320
911 10.8070 2.16150 1.75390 253.6700 9.1451e+01 20.88000 45.95700
912 14.3770 2.87540 2.04910 737.7700 3.0633e+02 52.35800 113.16000
913 2.0673 0.41346 0.56005 9.3550 2.9542e+00 1.01010 2.13730
914 8.7542 1.75080 1.50480 189.6100 7.0019e+01 16.14400 35.28100
915 7.5036 1.50070 1.13130 102.1600 4.4079e+01 6.95000 14.92300
916 13.1810 2.63620 2.53430 207.1500 4.6117e+01 20.13900 44.47100
917 2.6459 0.52918 0.64315 11.4770 3.8076e+00 1.12640 2.40820
918 3.4821 0.69642 0.77310 18.3380 6.6187e+00 1.58820 3.37740
919 4.5852 0.91703 0.93318 25.0760 9.7356e+00 1.82370 3.79950
920 7.0494 1.40990 1.34660 232.5300 1.0183e+02 16.60000 35.58600
921 9.1402 1.82800 1.37170 273.1700 1.0342e+02 23.31400 51.69800
922 7.9731 1.59460 1.27640 195.8700 7.5209e+01 16.60500 36.74000
923 7.1543 1.43090 0.64736 17.0720 5.6390e+00 1.50380 3.16160
924 2.0745 0.41490 0.54768 10.2920 3.1430e+00 1.16310 2.44310
925 28.5660 5.71310 4.83940 14753.0000 5.5747e+03 1113.90000 2362.90000
926 8.6326 1.72650 1.53630 121.6600 4.5027e+01 9.47070 20.37300
927 5.5814 1.11630 0.98575 31.7880 6.1810e+00 3.99950 8.84710
928 2.9163 0.58325 0.59640 18.0370 5.7349e+00 1.93800 4.17090
929 6.6961 1.33920 1.21990 88.4530 3.2183e+01 7.34010 16.63000
930 2.5597 0.51193 0.66159 26.8770 1.1641e+01 2.04310 4.28290
931 28.6170 5.72330 5.26730 17271.0000 6.3248e+03 1395.00000 2989.70000
932 9.9360 1.98720 1.62690 496.9800 1.9874e+02 37.93900 81.79900
933 4.6022 0.92045 0.70741 14.9440 6.5421e+00 0.88326 1.79840
934 13.8320 2.76640 2.01180 674.3500 2.4802e+02 55.26400 120.67000
935 6.4548 1.29100 1.00180 64.6530 2.7298e+01 4.52570 9.64820
936 2.8892 0.57783 0.60409 56.9160 3.0316e+01 2.88310 5.70070
937 2.3985 0.47970 0.60264 119.4900 6.3335e+01 6.31280 12.60100
938 3.9477 0.78954 0.73848 174.1800 9.1335e+01 9.19860 18.57200
939 3.3081 0.66161 0.74680 196.5600 9.7332e+01 12.26300 24.89900
940 29.2700 5.85390 4.84550 13993.0000 5.0104e+03 1102.80000 2356.10000
941 7.5952 1.51900 1.24280 150.9100 6.6343e+01 10.22800 22.09800
942 30.9490 6.18970 5.28060 18917.0000 7.3911e+03 1272.30000 2634.30000
943 4.1440 0.82881 0.70703 27.9230 1.0560e+01 2.44790 5.16520
944 3.7664 0.75329 0.68601 2.7659 -2.0107e-02 0.33432 0.72391
945 19.0750 3.81500 3.05160 644.7600 1.9877e+02 56.93100 125.63000
946 33.3250 6.66510 4.74440 15290.0000 5.6822e+03 1131.10000 2364.90000
947 8.9051 1.78100 1.50790 153.3500 5.2474e+01 13.66700 30.22000
948 20.0340 4.00680 2.98370 2595.6000 8.0922e+02 237.91000 528.14000
949 12.3080 2.46150 1.39510 331.6500 1.0271e+02 31.18500 70.14000
950 26.7060 5.34130 4.63250 8824.1000 2.6701e+03 838.16000 1844.00000
951 3.1027 0.62053 0.71530 11.2940 3.4024e+00 1.14650 2.41710
952 19.4100 3.88190 2.88520 2969.1000 1.0859e+03 238.78000 519.95000
953 10.1080 2.02160 1.66330 383.4800 1.5399e+02 30.96500 65.89100
954 9.2588 1.85180 1.46680 317.4100 1.1719e+02 28.48500 61.69300
955 10.0940 2.01870 0.98929 75.5970 2.3630e+01 7.44560 15.97100
956 4.2845 0.85689 0.71265 65.8020 2.6195e+01 5.64030 11.96100
957 23.2110 4.64230 3.72100 5084.1000 2.0675e+03 372.09000 789.91000
958 1.7375 0.34751 0.48770 3.2593 1.1694e+00 0.28905 0.61076
959 2.1145 0.42290 0.55460 34.0360 1.4949e+01 2.64330 5.53500
960 3.1319 0.62638 0.53697 58.0140 3.0898e+01 2.97400 5.88230
961 2.2838 0.45676 0.52754 5.5436 3.6880e-01 0.95566 2.12790
962 2.5410 0.50820 0.49678 7.0218 -6.8797e-03 1.37490 3.06700
963 2.4521 0.49042 0.51280 10.6860 -5.4712e-01 2.27910 5.10030
964 10.9880 2.19760 1.62470 756.3300 2.8364e+02 63.27900 135.82000
965 13.3460 2.66930 2.07680 1713.9000 6.8344e+02 132.65000 284.10000
966 5.8163 1.16330 1.02730 378.5100 1.6147e+02 29.38600 63.45800
967 3.1685 0.63370 0.72546 18.1420 5.7851e+00 1.85030 3.97210
968 27.2800 5.45600 4.85450 8536.1000 2.7578e+03 733.04000 1585.20000
969 9.9284 1.98570 1.47410 101.1600 3.4114e+01 8.10950 17.86200
970 2.9586 0.59173 0.69288 23.2570 9.2675e+00 1.93900 4.09360
971 18.6000 3.71990 2.59390 3574.1000 1.2856e+03 289.21000 621.39000
972 7.8557 1.57110 1.26500 160.3400 6.5249e+01 12.38200 26.93000
973 10.2430 2.04850 1.35570 448.0100 2.0163e+02 29.58100 62.36600
974 4.2605 0.85210 0.88708 89.1290 3.8352e+01 6.71590 14.03100
975 7.9825 1.59650 1.30400 233.1800 8.7139e+01 20.46300 45.61600
976 3.5406 0.70812 0.78043 20.6220 7.3394e+00 1.84620 3.92080
977 3.8638 0.77277 0.82967 68.4160 2.1869e+01 7.45830 16.10200
978 8.2862 1.65720 1.12310 43.1390 1.6302e+01 2.83580 5.75940
979 7.1858 1.43720 1.14550 221.0200 8.9579e+01 17.05600 37.44800
980 8.8493 1.76990 1.41440 0.0000 -1.4902e+01 2.03780 4.70480
981 25.6090 5.12190 3.38730 2600.1000 6.5530e+02 259.91000 577.15000
982 4.6909 0.93817 0.94804 77.8880 3.1696e+01 6.37940 13.43900
983 7.8200 1.56400 1.36720 258.1700 9.3095e+01 23.03800 52.91200
984 10.7930 2.15850 1.09710 139.2400 5.8545e+01 10.07400 21.06900
985 16.3880 3.27760 2.83120 1097.3000 3.1608e+02 113.60000 249.60000
986 6.3295 1.26590 0.98575 292.5800 1.2059e+02 23.37400 51.71400
987 3.0926 0.61852 0.59924 39.8240 1.6714e+01 3.27140 6.85410
988 2.9560 0.59120 0.69247 145.2900 7.6863e+01 7.59170 15.23800
989 1.9072 0.38144 0.55178 6.2592 3.2331e-01 1.12140 2.49850
990 10.8890 2.17780 1.83430 2200.6000 9.9037e+02 159.52000 334.16000
991 2.2344 0.44688 0.58537 69.1700 3.7138e+01 3.49130 6.90620
992 6.1392 1.22780 1.02450 112.2000 3.9192e+01 10.81700 23.07500
993 6.5485 1.30970 1.21260 92.4350 3.9435e+01 6.22490 13.63500
994 26.2090 5.24170 4.48570 9271.3000 3.3350e+03 764.67000 1651.10000
995 3.6874 0.73747 0.67609 19.4040 6.9320e+00 1.79520 3.77540
996 4.3919 0.87838 0.90582 37.3670 1.4254e+01 3.11570 6.57150
997 3.1654 0.63307 0.64244 21.7620 7.6642e+00 2.11760 4.50630
998 4.0885 0.81769 0.75691 55.6300 2.1180e+01 5.03730 10.72000
999 11.2960 2.25910 1.81740 849.2000 2.9471e+02 76.29400 168.26000
1000 5.4956 1.09910 0.96820 62.6730 2.9786e+01 3.65310 7.42010
1001 3.5689 0.71379 0.78610 37.4170 1.6109e+01 2.79210 5.79750
1002 6.9032 1.38060 1.14640 311.6300 1.1327e+02 28.51200 63.78200
1003 9.2172 1.84340 1.54820 238.8200 6.7459e+01 25.49600 57.09100
1004 3.7355 0.74711 0.61972 34.9690 1.2244e+01 3.50550 7.40820
1005 2.4483 0.48966 0.61089 26.0500 9.5750e+00 2.51150 5.30270
1006 2.3713 0.47425 0.55110 23.0990 8.3232e+00 2.29510 4.87360
1007 2.5408 0.50817 0.62361 17.9550 5.8138e+00 1.90170 4.09270
1008 3.1947 0.63894 0.66517 32.4810 1.3502e+01 2.63100 5.52550
1009 5.1212 1.02420 0.89579 21.9120 6.9979e+00 1.96020 4.10140
1010 25.8500 5.17010 4.38390 7933.3000 3.1089e+03 597.92000 1278.40000
1011 11.5780 2.31550 1.23810 69.5970 2.1915e+01 5.67600 12.13300
1012 3.6035 0.72070 0.79125 29.6860 1.2494e+01 2.21860 4.63530
1013 2.3339 0.46678 0.54166 39.3350 1.6726e+01 3.23160 6.77590
1014 11.3020 2.26040 1.81820 624.3900 2.2160e+02 55.88700 120.83000
1015 2.4340 0.48680 0.63998 46.1960 2.1715e+01 3.14680 6.52380
1016 5.1960 1.03920 0.47511 15.4460 5.8000e-01 2.86600 6.43770
1017 3.0527 0.61054 0.70755 3.6576 2.7659e-01 0.46683 1.01100
1018 9.2152 1.84300 1.38210 286.5500 9.7305e+01 26.65400 59.08200
1019 4.6306 0.92612 0.98555 163.0300 8.0459e+01 9.68390 20.10100
1020 1.8905 0.37810 0.51534 13.2780 4.7592e+00 1.31080 2.80570
1021 4.9570 0.99140 0.81193 34.3270 1.2307e+01 3.10260 6.55810
1022 4.8816 0.97632 0.97468 33.2570 1.1261e+01 3.01030 6.33090
1023 9.7675 1.95350 1.29780 182.4200 5.7612e+01 18.26700 39.50000
1024 8.7375 1.74750 1.51280 308.3400 1.0878e+02 28.34800 63.31500
1025 9.5772 1.91540 1.50690 452.4600 1.8718e+02 34.57400 75.02600
1026 4.9795 0.99589 0.98827 45.9810 2.1380e+01 2.66700 5.42110
1027 3.7395 0.74789 0.70734 30.6780 1.3436e+01 2.20690 4.59530
1028 24.9010 4.98010 3.67060 2058.0000 6.7050e+02 170.17000 375.35000
1029 2.5994 0.51988 0.58185 31.3010 1.3263e+01 2.53690 5.31790
1030 4.7351 0.94701 0.84024 16.1470 5.9516e+00 1.15370 2.40610
1031 10.4220 2.08440 1.37790 279.1500 1.3356e+02 16.45400 34.06500
1032 7.2368 1.44740 1.00320 94.3570 2.4814e+01 10.99700 24.05500
1033 2.4072 0.48145 0.62044 30.8990 1.1258e+01 3.04300 6.42420
1034 6.9021 1.38040 1.11330 92.7270 3.2632e+01 8.35350 18.58300
1035 2.0649 0.41298 0.54602 25.9500 9.6605e+00 2.52200 5.31920
1036 3.5456 0.70912 0.78261 26.0700 9.5167e+00 2.35060 4.96750
1037 6.0130 1.20260 1.05270 306.3400 1.4082e+02 20.87100 44.41000
1038 2.8381 0.56762 0.67389 5.8018 -6.9670e+00 2.94360 6.97610
1039 2.1742 0.43484 0.56485 26.2970 9.5886e+00 2.58510 5.51770
1040 2.1795 0.43591 0.60227 55.9660 2.9665e+01 2.92750 5.78420
1041 3.0820 0.61640 0.71210 215.1100 1.0890e+02 12.75200 25.99200
1042 2.7008 0.54017 0.65200 22.6620 9.1824e+00 1.88230 3.96490
1043 16.5160 3.30310 2.22580 1665.4000 6.8812e+02 123.61000 264.29000
1044 8.2892 1.65780 1.54220 232.1800 7.2796e+01 23.49000 53.34100
1045 7.7812 1.55620 1.36220 168.1400 6.5052e+01 13.47300 30.52800
1046 2.0853 0.41707 0.51716 4.3360 9.6629e-01 0.55630 1.18830
1047 2.9487 0.58975 0.66412 23.1760 9.3999e+00 1.90290 4.00830
1048 8.2453 1.64910 1.42240 218.1000 8.0045e+01 18.69000 42.17000
1049 2.9819 0.59638 0.63780 16.8490 6.1989e+00 1.53580 3.25060
1050 2.2783 0.45565 0.59373 24.1180 8.9488e+00 2.30920 4.89610
1051 5.5020 1.10040 1.02010 153.3900 5.5512e+01 14.41600 31.04100
1052 1.7582 0.35164 0.51728 49.5250 2.4164e+01 3.20350 6.60360
1053 4.8334 0.96667 0.79634 35.2070 1.4594e+01 2.64620 5.51660
1054 11.2940 2.25880 1.68360 249.5400 9.2588e+01 20.58500 44.77700
1055 18.8640 3.77290 2.74850 1814.5000 6.3845e+02 149.43000 326.80000
1056 17.4150 3.48310 2.49940 2905.7000 1.0539e+03 237.86000 514.15000
1057 9.3841 1.87680 1.59000 494.4000 1.9668e+02 37.96500 83.61600
1058 6.7660 1.35320 1.04180 114.9200 5.1804e+01 7.83310 16.14400
1059 15.7280 3.14570 3.10720 3230.2000 1.3719e+03 218.54000 460.70000
1060 5.8527 1.17050 1.10750 101.0500 4.0873e+01 7.88730 17.35600
1061 14.7870 2.95740 2.42060 982.9000 3.5378e+02 82.00500 181.16000
1062 9.3764 1.87530 1.56880 177.1800 4.9945e+01 19.03000 42.08700
1063 10.1630 2.03260 1.49820 97.6600 2.7014e+01 9.39600 20.53400
1064 5.4608 1.09220 0.97015 167.8500 8.1160e+01 10.57900 21.69300
1065 7.7265 1.54530 1.35500 174.2500 6.8757e+01 13.76600 30.88300
1066 27.4130 5.48260 4.41460 8543.2000 2.5173e+03 757.17000 1635.50000
1067 3.0369 0.60738 0.70510 20.7730 7.7536e+00 1.85840 3.91770
1068 7.2624 1.45250 1.29440 164.3400 5.4125e+01 16.59900 36.17700
1069 18.4090 3.68170 2.57050 2513.8000 1.2195e+03 142.27000 291.05000
1070 8.6515 1.73030 1.47510 250.8700 9.1320e+01 22.42100 48.00100
1071 1.6096 0.32191 0.46399 16.9690 5.5150e+00 1.88230 4.05090
1072 3.4741 0.69483 0.60424 53.4590 2.1605e+01 4.62160 9.80820
1073 14.8700 2.97400 2.00870 505.8800 1.4220e+02 50.52700 114.37000
1074 6.0377 1.20750 1.13230 64.3950 2.4499e+01 5.11520 11.05200
1075 16.4270 3.28530 2.51100 1693.4000 4.3431e+02 175.06000 385.46000
1076 5.5603 1.11210 1.06790 141.5900 5.6659e+01 12.01300 25.57600
1077 2.6574 0.53149 0.58698 23.2920 9.5146e+00 1.95370 4.11520
1078 4.2841 0.85683 0.89046 41.0970 1.6710e+01 3.20790 6.71990
1079 11.1840 2.23670 1.80280 304.9600 9.4824e+01 30.26700 68.48600
1080 11.0860 2.21710 1.79010 587.0500 2.3918e+02 46.06400 98.88800
1081 3.7115 0.74230 0.84773 19.6360 4.6406e+00 2.35180 5.09380
1082 13.9550 2.79100 2.08900 715.6000 2.0613e+02 75.56400 167.45000
1083 14.3680 2.87360 1.95150 419.8200 1.7319e+02 29.97300 64.05600
1084 3.9333 0.78666 0.68001 30.8270 1.2743e+01 2.45190 5.13830
1085 31.2890 6.25780 5.37500 20458.0000 7.4577e+03 1490.40000 3117.00000
1086 9.6009 1.92020 1.59780 286.8300 1.2174e+02 20.66000 44.65400
1087 31.0040 6.20090 5.29590 19940.0000 7.4620e+03 1405.50000 2928.30000
1088 4.9554 0.99108 0.98493 46.6030 1.9209e+01 3.39200 7.20240
1089 14.6260 2.92520 2.36780 730.1000 2.5454e+02 65.32300 143.60000
1090 10.1110 2.02220 1.66370 228.8000 7.9517e+01 20.32800 45.22700
1091 2.0536 0.41073 0.57918 30.1140 1.2627e+01 2.49510 5.25770
1092 2.0734 0.41468 0.50094 0.0000 -9.5460e-01 0.22595 0.47773
1093 17.5140 3.50280 2.66780 2071.0000 8.6458e+02 151.74000 320.53000
1094 11.0870 2.21740 1.79020 354.4800 1.2434e+02 31.02900 66.72600
1095 10.7980 2.15950 1.78280 681.3500 2.9232e+02 48.02900 102.06000
1096 9.3480 1.86960 1.24750 173.0900 8.0676e+01 10.29800 21.94900
1097 20.5090 4.10170 3.12640 1079.9000 2.3665e+02 122.22000 270.07000
1098 6.2868 1.25740 0.99250 52.7230 2.2781e+01 3.45180 7.19550
1099 6.5658 1.31320 1.27900 200.0900 7.6935e+01 16.78300 37.53500
1100 2.8852 0.57704 0.62056 1.3951 -2.1959e-01 0.20266 0.44382
1101 3.0620 0.61241 0.72069 72.2610 3.3763e+01 4.98490 10.30600
1102 7.9555 1.59110 1.38480 90.3810 3.1032e+01 7.63830 16.60600
1103 8.1961 1.63920 1.52860 275.8500 9.4958e+01 26.19800 57.98300
1104 27.0420 5.40840 4.33390 11683.0000 4.2267e+03 889.53000 1855.60000
1105 11.5340 2.30670 1.84840 701.8800 2.3853e+02 65.39300 144.43000
1106 3.9479 0.78957 0.68413 31.9800 1.3529e+01 2.45930 5.13750
1107 22.4100 4.48210 3.56900 8305.1000 3.5528e+03 542.86000 1123.50000
1108 7.3272 1.46540 1.40170 351.3000 1.2376e+02 32.87300 72.88300
1109 7.0985 1.41970 1.27290 106.5000 3.5908e+01 10.06600 21.76400
1110 20.6690 4.13370 3.15220 562.6300 1.3990e+02 54.94100 120.69000
1111 4.2524 0.85047 0.74669 37.3040 1.6142e+01 2.73400 5.67490
1112 21.4180 4.28360 3.21030 2493.4000 9.0167e+02 198.41000 429.50000
1113 7.5580 1.51160 1.33310 200.0500 7.9158e+01 16.55700 35.68300
1114 19.1570 3.83130 2.91270 985.7400 3.4352e+02 86.68600 189.29000
1115 4.8003 0.96007 0.88397 86.3700 3.8828e+01 6.13880 12.74300
1116 9.8392 1.96780 1.47690 278.2400 1.2301e+02 18.74800 40.11400
1117 32.1120 6.42230 4.49700 12968.0000 4.6845e+03 989.65000 2087.40000
1118 9.9856 1.99710 1.42090 241.9100 8.2874e+01 22.55000 49.48200
1119 19.0230 3.80450 2.57350 1445.1000 5.7334e+02 106.29000 225.67000
1120 6.8016 1.36030 1.06970 86.7140 3.0603e+01 8.02030 17.15800
1121 4.6418 0.92837 0.94116 66.5060 3.1879e+01 3.97630 8.12520
1122 4.6481 0.92962 0.76180 60.4540 2.8362e+01 3.94040 8.11180
1123 12.8040 2.56080 2.39750 914.0900 3.5399e+02 70.44700 151.28000
1124 2.1026 0.42053 0.48379 5.2934 1.1005e+00 0.73172 1.56090
1125 3.6072 0.72143 0.70211 21.9900 8.7926e+00 1.76770 3.70820
1126 9.1316 1.82630 1.46520 283.5300 1.1979e+02 20.24900 43.56900
1127 2.3553 0.47106 0.59544 10.5200 3.4269e+00 1.07990 2.30500
1128 2.5832 0.51664 0.63299 6.6040 1.7467e+00 0.72193 1.55560
1129 4.5087 0.90175 0.98250 169.2600 8.5044e+01 9.68770 20.18400
1130 6.7089 1.34180 1.22160 350.5500 1.4335e+02 27.32900 59.42000
1131 5.5495 1.10990 1.06650 435.8200 1.8190e+02 34.88900 76.27800
1132 8.4348 1.68700 1.44700 17.5310 -7.4316e+00 3.49920 7.87950
1133 4.4628 0.89256 0.91589 62.8660 3.0094e+01 3.81190 7.72610
1134 9.1183 1.82370 1.55480 205.3100 6.3261e+01 20.88400 46.70900
1135 9.0334 1.80670 1.52440 291.7000 8.0449e+01 31.06000 69.02500
1136 8.6097 1.72190 1.48530 49.2140 9.0453e+00 5.09530 11.21200
1137 6.0602 1.21200 1.13530 69.4800 1.9825e+01 7.45680 16.52200
1138 11.1450 2.22900 1.70110 535.4000 2.1254e+02 43.05600 93.92200
1139 30.9640 6.19270 5.28470 17993.0000 7.2368e+03 1167.50000 2411.00000
1140 8.0851 1.61700 1.24310 151.1300 5.6116e+01 13.20800 28.67400
1141 2.9185 0.58370 0.68659 18.0410 7.1854e+00 1.46970 3.08950
1142 7.4549 1.49100 1.33060 124.3400 3.7582e+01 13.10700 28.35300
1143 30.9260 6.18520 5.78120 23953.0000 9.0252e+03 1826.00000 3842.90000
1144 13.6810 2.73610 2.02460 559.6900 1.7840e+02 51.45600 114.61000
1145 25.6980 5.13960 4.05460 7598.2000 2.6583e+03 607.71000 1292.70000
1146 6.5930 1.31860 1.12710 338.3800 1.5536e+02 22.56600 49.25800
1147 8.4291 1.68580 1.44630 133.8400 4.4507e+01 11.90800 27.55900
1148 6.3620 1.27240 0.99626 46.2940 1.6285e+01 3.88450 8.61000
1149 7.1747 1.43490 1.28290 223.7700 8.4238e+01 18.92200 41.23600
1150 7.5987 1.51970 1.19690 133.5400 5.9638e+01 8.68190 18.77900
1151 10.0780 2.01570 1.57230 369.9600 1.0883e+02 39.81800 88.09900
1152 5.0229 1.00460 0.99428 160.0300 6.1948e+01 13.95900 30.99200
1153 4.3830 0.87660 0.73756 33.2210 1.3751e+01 2.57670 5.38270
1154 2.7022 0.54044 0.65222 36.7710 1.6548e+01 2.67950 5.55820
1155 10.4140 2.08270 1.70630 221.5700 7.6505e+01 19.83100 42.93300
1156 3.5990 0.71980 0.79058 26.9670 1.1424e+01 1.97140 4.09200
1157 3.5116 0.70233 0.82554 26.8750 1.1302e+01 1.95890 4.09340
1158 24.6860 4.93710 3.67040 3263.9000 8.7974e+02 334.86000 743.21000
1159 3.7366 0.74732 0.81098 24.5540 9.8517e+00 1.89550 3.96120
1160 2.9556 0.59112 0.69241 15.5240 5.1732e+00 1.52270 3.25570
1161 7.1243 1.42490 1.20420 456.3600 1.6842e+02 41.73500 91.08200
1162 11.2820 2.25650 1.18220 360.1400 1.3307e+02 31.35000 69.75200
1163 17.1720 3.43450 2.39040 1312.2000 5.7834e+02 87.79600 186.27000
1164 3.4501 0.69003 0.70124 31.1670 1.4222e+01 2.10800 4.35230
1165 14.5040 2.90080 2.16900 2030.8000 7.6879e+02 169.53000 367.40000
1166 1.7891 0.35781 0.49709 12.6980 3.5296e+00 1.54800 3.38210
1167 27.6120 5.52230 4.45850 9257.4000 2.8949e+03 786.39000 1689.20000
1168 11.3050 2.26100 1.48940 145.5100 5.2578e+01 11.32000 25.20700
1169 6.0450 1.20900 1.16040 163.2600 5.7840e+01 15.93500 34.23100
1170 2.1211 0.42421 0.55573 18.1010 7.0529e+00 1.62440 3.44860
1171 13.2460 2.64920 2.12720 562.3900 1.5260e+02 58.34600 129.02000
1172 2.6468 0.52937 0.58233 2.0713 -3.5867e+00 1.29210 3.11600
1173 16.7840 3.35670 2.26280 844.2900 2.0971e+02 95.35600 213.06000
1174 9.8404 1.96810 1.46120 253.6600 9.3624e+01 22.20000 48.97700
1175 9.7313 1.94630 1.51590 259.2200 7.5377e+01 27.63000 62.94100
1176 2.0490 0.40980 0.54326 14.6700 6.1485e+00 1.19620 2.47540
1177 31.4280 6.28560 5.41410 18842.0000 6.4439e+03 1446.10000 3075.90000
1178 8.3307 1.66610 1.31970 335.1800 1.2148e+02 30.74300 67.50500
1179 3.5565 0.71130 0.78424 29.9130 1.3009e+01 2.13000 4.41710
1180 3.0937 0.61875 0.67215 17.3330 5.8421e+00 1.71070 3.64840
1181 2.9043 0.58087 0.50950 15.6540 5.7445e+00 1.48480 3.17820
1182 2.4479 0.48959 0.61083 10.2380 3.3697e+00 1.02420 2.18910
1183 25.3430 5.06870 4.24540 7740.5000 2.6853e+03 662.29000 1439.00000
1184 2.0723 0.41446 0.54731 2.6636 6.4971e-01 0.28706 0.60921
1185 13.1210 2.62420 1.73450 1189.2000 4.5947e+02 93.82400 203.14000
1186 1.9526 0.39052 0.47542 17.6810 6.6337e+00 1.69020 3.61270
1187 10.5490 2.10980 1.72040 441.3700 1.5676e+02 39.37700 86.38800
1188 3.9191 0.78382 0.83775 83.6550 3.8220e+01 5.88530 12.22100
1189 3.0269 0.60538 0.70355 25.5080 1.0258e+01 2.11560 4.43710
1190 6.8160 1.36320 1.23580 143.7900 5.7524e+01 11.51200 25.03600
1191 3.4017 0.68034 0.77491 105.9100 5.5856e+01 5.50990 10.96500
1192 13.3610 2.67210 1.98020 277.5900 7.2025e+01 29.35000 66.07300
1193 3.0981 0.61962 0.57148 5.0740 1.3137e+00 0.54486 1.15200
1194 21.0110 4.20210 3.20780 2552.5000 7.1374e+02 245.63000 547.47000
1195 27.8080 5.56150 4.89260 12946.0000 4.8479e+03 960.74000 2054.70000
1196 13.1600 2.63210 1.91700 308.8500 1.0675e+02 27.09100 58.55200
1197 5.2118 1.04240 1.02030 35.9890 1.3595e+01 2.77290 5.82440
1198 3.1856 0.63712 0.69953 36.5100 1.6443e+01 2.58830 5.38130
1199 3.5908 0.71817 0.78936 21.1910 4.9764e+00 2.63920 5.71980
1200 8.5433 1.70870 1.46110 154.2100 5.8986e+01 12.29500 26.73000
1201 22.1060 4.42120 3.39100 2223.2000 6.2908e+02 222.22000 491.89000
1202 2.7512 0.55023 0.59770 18.5200 6.9046e+00 1.70590 3.63470
1203 2.4779 0.49559 0.61577 12.9610 4.7638e+00 1.17900 2.50890
1204 25.1080 5.02170 3.89080 4921.9000 1.4882e+03 450.53000 989.04000
1205 6.0794 1.21590 1.13790 25.5770 5.4834e+00 2.66390 5.68010
1206 9.7367 1.94730 1.52000 338.0600 9.8622e+01 34.91800 78.16800
1207 4.5450 0.90899 0.92751 46.3480 1.7866e+01 3.90100 8.19740
1208 6.3982 1.27960 1.08280 85.9350 2.9642e+01 7.95470 17.75300
1209 11.6440 2.32880 1.97800 301.6900 1.1394e+02 23.63300 51.64600
1210 9.7504 1.95010 1.49110 266.1600 9.1210e+01 25.12700 56.33400
1211 21.3300 4.26590 3.39320 2309.0000 6.8025e+02 214.92000 476.61000
1212 7.2231 1.44460 1.24240 358.9900 1.4169e+02 29.07800 64.83800
1213 2.2326 0.44652 0.57479 21.1030 8.0985e+00 1.93080 4.10750
1214 7.1355 1.42710 1.13950 87.6230 3.5579e+01 6.44350 13.98600
1215 4.9662 0.99324 0.86860 27.0700 1.0283e+01 2.11800 4.41630
1216 4.0735 0.81470 0.82694 24.8730 9.4310e+00 2.04670 4.27280
1217 5.9707 1.19410 1.17630 64.9550 1.4877e+01 7.89370 17.60800
1218 3.6287 0.72575 0.74868 25.2320 1.0789e+01 1.82700 3.78620
1219 2.0929 0.41857 0.55087 13.9660 5.2142e+00 1.30670 2.77040
1220 5.7828 1.15660 1.11570 63.5990 2.7118e+01 4.19440 9.17940
1221 5.0701 1.01400 0.46487 16.4720 5.7702e+00 1.62230 3.46150
1222 28.6300 5.72590 5.53830 18805.0000 6.7775e+03 1475.20000 3107.70000
1223 9.4190 1.88380 1.57430 541.3400 2.1799e+02 42.82700 92.14400
1224 1.9520 0.39039 0.52624 9.0095 2.5534e+00 1.05510 2.29790
1225 7.2860 1.45720 1.15740 291.6500 1.3705e+02 18.53000 37.92200
1226 4.8744 0.97489 1.03590 133.3700 5.7488e+01 10.14100 21.48300
1227 2.4028 0.48056 0.60335 11.6350 4.9604e+00 0.86826 1.78010
1228 3.8816 0.77632 0.87380 41.4010 1.9043e+01 2.64990 5.45510
1229 21.9520 4.39030 3.15610 2440.7000 9.2433e+02 188.05000 406.00000
1230 7.7969 1.55940 1.17680 158.4300 6.0675e+01 13.61100 29.47400
1231 6.8636 1.37270 1.33390 189.3000 8.7695e+01 11.99000 25.47800
1232 9.5885 1.91770 1.50910 173.6700 6.6224e+01 13.82100 29.86200
1233 2.2733 0.45465 0.58167 32.4020 1.4412e+01 2.44170 5.10040
1234 2.0030 0.40061 0.53523 15.8050 5.2148e+00 1.68680 3.64580
1235 5.3016 1.06030 0.79699 31.6840 1.5596e+01 1.59200 3.12910
1236 7.9738 1.59480 1.38720 96.1040 3.1601e+01 8.43880 19.04400
1237 7.9116 1.58230 1.37910 96.4300 3.5291e+01 7.64880 16.65300
1238 28.6850 5.73710 4.88080 11302.0000 3.8240e+03 942.97000 2038.90000
1239 4.9379 0.98757 0.90204 36.4310 1.4234e+01 2.88080 6.01160
1240 2.7919 0.55838 0.61026 39.7470 1.6715e+01 3.26690 6.85410
1241 1.8299 0.36598 0.50447 20.9270 7.6572e+00 2.07080 4.39960
1242 16.4450 3.28910 2.46600 572.2600 1.7460e+02 55.99500 123.95000
1243 25.6240 5.12480 4.20460 5494.0000 1.5723e+03 511.46000 1131.90000
1244 6.7720 1.35440 1.13040 256.5100 1.0116e+02 21.46400 47.65300
1245 8.5236 1.70470 1.15060 335.8000 1.2097e+02 29.81200 66.84300
1246 13.0540 2.61080 2.03960 293.6300 1.1085e+02 21.72000 48.00800
1247 7.2852 1.45700 1.29740 72.8980 2.3718e+01 6.46180 14.27400
1248 1.9125 0.38250 0.55279 4.3584 5.7910e-01 0.65769 1.44960
1249 5.9637 1.19270 1.14610 37.2360 1.1263e+01 3.39720 7.23750
1250 13.9040 2.78080 2.16230 807.9400 3.5997e+02 53.27300 112.87000
1251 3.2311 0.64621 0.73505 29.7920 1.2313e+01 2.36480 4.97020
1252 11.1220 2.22440 1.61880 152.3500 4.2964e+01 15.13200 33.70800
1253 2.8741 0.57482 0.72333 24.0950 1.0340e+01 1.79200 3.73620
1254 5.4880 1.09760 1.05810 322.9900 1.4629e+02 22.56100 48.45500
1255 23.3090 4.66170 3.88780 2744.8000 4.6131e+02 320.94000 718.95000
1256 26.8970 5.37950 4.30290 8467.0000 2.8957e+03 668.92000 1433.30000
1257 5.6403 1.12810 0.97409 64.6710 3.2909e+01 3.14960 6.19300
1258 9.8551 1.97100 1.63060 110.9200 3.7794e+01 8.75800 18.60400
1259 27.3730 5.47460 4.89640 8235.9000 2.9303e+03 651.60000 1392.00000
1260 2.9264 0.58528 0.68782 19.1820 6.2636e+00 1.97460 4.21930
1261 9.1366 1.82730 1.36640 108.7400 3.6632e+01 9.69880 20.66400
1262 2.1543 0.43085 0.51374 12.7590 4.6518e+00 1.23020 2.61630
1263 7.4776 1.49550 1.27480 304.5100 1.2545e+02 23.72200 51.28100
1264 2.1894 0.43789 0.56745 22.7350 8.4411e+00 2.17390 4.64180
1265 3.0500 0.61000 0.54750 18.5360 6.3240e+00 1.89590 4.04820
1266 8.0377 1.60750 1.39550 306.1400 9.4492e+01 32.76900 73.03700
1267 9.3603 1.87210 1.50950 306.9200 8.3929e+01 32.78600 72.91600
1268 4.8668 0.97336 0.99692 50.2390 1.7276e+01 4.63300 10.21700
1269 3.8481 0.76963 0.72538 35.9010 1.6341e+01 2.42270 5.02240
1270 3.0623 0.61246 0.70904 17.0970 6.0031e+00 1.60070 3.37790
1271 30.9980 6.19960 5.29410 18823.0000 7.0012e+03 1332.00000 2786.00000
1272 8.0918 1.61840 1.19950 24.7490 3.5378e+00 2.56470 5.46700
1273 9.0424 1.80850 1.52560 223.0300 8.4087e+01 18.69100 41.13900
1274 3.8925 0.77851 0.88733 21.8460 8.5906e+00 1.61460 3.36350
1275 2.7062 0.54124 0.65286 28.2760 1.1657e+01 2.32120 4.90900
1276 28.5370 5.70750 5.48580 15215.0000 5.7184e+03 1138.30000 2400.70000
1277 7.0603 1.41210 1.26790 123.7800 4.1705e+01 11.92400 25.96700
1278 2.3502 0.47004 0.57095 16.2740 5.9114e+00 1.56190 3.32870
1279 2.5757 0.51514 0.59466 23.1800 8.1202e+00 2.33420 4.98780
1280 8.9435 1.78870 1.36400 116.0500 3.5931e+01 11.16500 24.91100
1281 6.6904 1.33810 1.21920 93.8500 4.0069e+01 6.17000 13.89600
1282 6.2534 1.25070 1.03790 104.5800 4.1077e+01 8.81680 18.75300
1283 7.4991 1.49980 1.33630 323.5200 1.4828e+02 21.34100 45.66100
1284 5.6555 1.13110 1.09840 118.8500 5.1004e+01 8.77380 18.84500
1285 13.7360 2.74720 2.27030 415.5100 1.3842e+02 37.30600 82.17100
1286 9.1031 1.82060 1.45970 344.9300 1.4020e+02 25.61300 56.45500
1287 26.6890 5.33790 4.25870 8947.7000 3.0474e+03 713.35000 1520.80000
1288 5.8562 1.17120 0.97748 71.0990 2.6855e+01 6.17550 13.10800
1289 30.8350 6.16700 5.24950 18644.0000 6.8220e+03 1345.10000 2812.70000
1290 10.3670 2.07350 1.72100 356.0200 1.1626e+02 32.88800 73.06500
1291 23.1170 4.62340 3.54070 2757.5000 8.7852e+02 251.66000 554.89000
1292 11.7840 2.35680 1.99730 337.0300 1.2513e+02 27.59100 60.10000
1293 8.0194 1.60390 1.50280 99.6080 3.4906e+01 8.10040 17.56500
1294 5.9809 1.19620 1.03280 32.5180 1.2112e+01 2.35420 4.91590
1295 7.4500 1.49000 1.12510 278.5800 1.2890e+02 18.17800 38.54900
1296 22.9210 4.58410 3.53240 5349.0000 2.0323e+03 406.77000 869.55000
1297 6.1284 1.22570 1.16250 146.5400 6.6446e+01 9.88760 20.87500
1298 10.0910 2.01810 1.60470 68.8820 1.8081e+01 5.69860 12.45000
1299 6.8981 1.37960 1.33900 313.1500 1.1748e+02 27.29600 61.17400
1300 6.5767 1.31530 1.20410 124.5800 5.4139e+01 8.47620 18.84300
1301 2.4928 0.49857 0.61822 25.9610 1.1361e+01 1.96330 4.10160
1302 11.5130 2.30260 1.84580 393.9400 1.3591e+02 36.88500 81.04300
1303 2.1174 0.42348 0.55510 18.2360 6.6634e+00 1.76620 3.76880
1304 2.3375 0.46750 0.56891 15.0300 5.4927e+00 1.42640 3.03830
1305 3.9039 0.78079 0.67852 25.4250 8.5768e+00 2.53930 5.42760
1306 2.0173 0.40345 0.48821 17.6820 6.1349e+00 1.83780 3.92210
1307 3.0368 0.60736 0.67737 17.3550 5.5720e+00 1.79710 3.83470
1308 32.8460 6.56910 5.57900 23258.0000 9.4353e+03 1625.50000 3385.50000
1309 12.7730 2.55460 1.51260 267.9800 1.1410e+02 18.23300 39.18600
1310 8.4662 1.69320 1.45110 125.2800 4.7770e+01 9.68390 20.89400
1311 6.0213 1.20430 1.13010 31.8140 1.0731e+01 2.39170 5.18900
1312 2.3437 0.46875 0.62426 15.6720 6.1095e+00 1.35460 2.86900
1313 3.9213 0.78425 0.83807 130.4700 5.8659e+01 9.62350 20.10400
1314 31.9330 6.38650 5.52780 20398.0000 7.3097e+03 1546.10000 3238.10000
1315 5.8834 1.17670 1.13510 148.2500 6.5599e+01 10.30700 22.69500
1316 3.2882 0.65764 0.74378 19.1830 7.8221e+00 1.45700 3.04820
1317 5.6420 1.12840 1.07900 56.5970 2.6697e+01 3.07150 6.29750
1318 7.7040 1.54080 1.41240 150.3400 5.9544e+01 11.70000 25.34500
1319 30.4890 6.09780 5.05240 15888.0000 5.4773e+03 1251.90000 2651.70000
1320 6.3630 1.27260 1.20000 364.6900 1.4326e+02 30.60600 67.74900
1321 24.1010 4.82020 3.74630 3465.3000 9.0318e+02 350.20000 768.86000
1322 4.8718 0.97436 0.97332 30.5040 1.1332e+01 2.41470 5.03340
1323 7.0177 1.40350 1.26230 140.9000 5.5902e+01 11.19800 24.65400
1324 6.0289 1.20580 1.06660 47.2530 1.4664e+01 4.48550 9.97780
1325 6.0809 1.21620 1.13810 81.1470 2.9799e+01 6.99300 15.23800
1326 3.5246 0.70492 0.77947 16.1870 3.3333e+00 2.08430 4.54810
1327 1.7568 0.35136 0.49122 7.2895 1.8627e+00 0.92083 2.00030
1328 3.7031 0.74061 0.73855 40.8020 1.7063e+01 3.25160 6.77390
1329 3.5709 0.71419 0.71809 21.1830 8.4878e+00 1.67790 3.51890
1330 3.7541 0.75081 0.81355 29.5770 1.2661e+01 2.12390 4.39320
1331 2.4797 0.49594 0.62682 18.8770 6.8347e+00 1.80640 3.83540
1332 7.9341 1.58680 1.44320 76.0640 2.9689e+01 5.01180 10.50600
1333 10.4720 2.09450 1.71050 555.8400 2.3558e+02 41.14400 88.95900
1334 33.2040 6.64080 4.71890 15365.0000 5.8231e+03 1114.90000 2323.00000
1335 3.6205 0.72411 0.79247 104.6500 5.4608e+01 5.53040 11.04100
1336 2.0208 0.40416 0.53834 10.3070 3.2917e+00 1.11070 2.38220
1337 2.0921 0.41842 0.55073 2.5021 4.0000e-01 0.32500 0.69465
1338 7.5027 1.50050 1.35570 227.5900 8.3575e+01 20.63400 45.62900
1339 10.6920 2.13830 1.84690 515.1800 1.9748e+02 41.76800 92.02000
1340 9.9430 1.98860 0.96783 100.9200 3.8810e+01 8.28600 17.47600
1341 3.5757 0.71514 0.66190 18.5880 7.1341e+00 1.57470 3.31630
1342 2.0771 0.41542 0.54814 5.3610 1.4317e+00 0.62355 1.32460
1343 2.2815 0.45630 0.58306 21.1050 8.6614e+00 1.76900 3.71600
1344 2.6428 0.52856 0.64265 15.0360 6.3328e+00 1.13150 2.37260
1345 3.9094 0.78188 0.76023 43.0850 1.7357e+01 3.58330 7.57160
1346 5.7579 1.15160 1.10750 69.2630 2.9950e+01 4.63700 9.87180
1347 11.8290 2.36580 1.55780 150.0000 4.9426e+01 12.77500 28.39500
1348 31.1710 6.23410 4.31560 9950.8000 3.7807e+03 717.41000 1512.50000
1349 3.7973 0.75945 0.61529 48.4400 2.2999e+01 3.17890 6.56980
1350 3.6803 0.73605 0.60170 18.2660 6.4418e+00 1.74440 3.71340
1351 26.7650 5.35300 4.27480 9919.9000 3.4574e+03 826.36000 1760.90000
1352 5.0251 1.00500 0.99459 384.0400 1.6667e+02 29.38900 63.44600
1353 4.6718 0.93437 0.86701 51.6680 1.9955e+01 4.45190 9.37670
1354 6.7703 1.35410 1.12960 169.7600 7.2006e+01 12.59500 27.52400
1355 8.2574 1.65150 0.75997 17.5130 4.3366e+00 1.70310 3.65250
1356 6.2149 1.24300 0.98194 36.3420 1.1684e+01 3.24630 7.13580
1357 14.4380 2.88750 2.37030 799.0300 2.8226e+02 67.84900 150.85000
1358 4.0826 0.81651 0.86148 288.9500 1.3679e+02 19.52200 40.54200
1359 6.2344 1.24690 0.89979 261.6900 1.0845e+02 21.72400 45.43000
1360 8.2168 1.64340 1.41870 280.5800 1.0307e+02 24.49300 54.49000
1361 6.2185 1.24370 1.23910 137.4900 6.2261e+01 8.92110 19.29000
1362 4.9910 0.99820 0.88877 118.5000 5.5489e+01 7.88050 16.24700
1363 3.3428 0.66857 0.75208 22.4360 8.6425e+00 1.88420 3.97470
1364 3.3561 0.67121 0.75409 29.1310 9.8923e+00 2.90430 6.21910
1365 23.3630 4.67250 3.61120 3009.5000 7.4625e+02 321.60000 717.47000
1366 3.2417 0.64834 0.66212 15.1900 6.0848e+00 1.19250 2.49820
1367 10.0420 2.00840 1.49090 266.4800 7.1835e+01 30.07000 67.23100
1368 20.5320 4.10650 3.31870 1419.6000 2.6023e+02 163.83000 369.18000
1369 6.4606 1.29210 1.09850 140.7000 5.0044e+01 13.50000 29.16200
1370 3.1141 0.62282 0.71707 18.5480 6.6302e+00 1.70050 3.61880
1371 3.3625 0.67250 0.75507 21.8700 9.6228e+00 1.47730 3.05840
1372 4.6138 0.92275 0.93721 19.7360 6.7398e+00 1.58270 3.30760
1373 3.5674 0.71348 0.78587 19.5740 7.6048e+00 1.54880 3.24530
1374 4.3220 0.86440 0.83050 327.8000 1.6009e+02 20.90500 42.99600
1375 4.9600 0.99199 0.98557 60.3700 1.7054e+01 6.83050 14.99000
1376 5.8652 1.17300 0.98701 49.7580 1.9835e+01 3.78430 7.90730
1377 11.7600 2.35200 1.87800 397.5200 1.1175e+02 41.29500 94.30100
1378 6.3236 1.26470 0.99180 45.8250 1.5486e+01 4.15160 8.83140
1379 9.1970 1.83940 1.54560 287.8100 8.6145e+01 30.11200 66.63000
1380 10.0650 2.01310 1.42180 195.2900 9.1550e+01 11.21700 23.23300
1381 7.1646 1.43290 1.18810 373.4100 1.9498e+02 19.46200 38.90700
1382 5.3494 1.06990 0.94946 467.4400 2.2089e+02 31.59600 65.56900
1383 4.2567 0.85135 0.88654 320.0500 1.4355e+02 23.99200 50.03900
1384 20.2070 4.04140 3.07540 3120.6000 1.0181e+03 272.48000 597.43000
1385 5.0594 1.01190 1.00090 151.3800 5.8721e+01 13.02100 28.52800
1386 8.7620 1.75240 1.48940 146.4100 5.3485e+01 11.98800 26.61600
1387 5.3473 1.06950 1.03890 91.3210 2.7116e+01 10.18900 22.18200
1388 14.0260 2.80520 2.89030 526.1500 1.6016e+02 49.10600 109.81000
1389 2.8904 0.57809 0.54392 22.4260 8.0781e+00 2.20510 4.69430
1390 8.4199 1.68400 0.77788 54.8540 2.6895e+01 2.89280 5.72100
1391 3.0623 0.61245 0.72222 38.0270 1.6609e+01 2.85820 5.94470
1392 21.6760 4.33520 3.92760 2672.7000 5.7707e+02 294.35000 656.91000
1393 5.1472 1.02940 1.01140 14.5580 4.6233e+00 0.92942 1.99370
1394 2.0857 0.41713 0.54962 5.5633 1.9293e+00 0.52050 1.08570
1395 5.6134 1.12270 1.07510 114.5500 2.9359e+01 13.86000 30.43800
1396 9.0153 1.80310 1.41140 305.1300 1.1134e+02 27.01300 59.19200
1397 4.9205 0.98409 0.89406 113.9300 5.9750e+01 5.78120 11.46600
1398 4.0816 0.81631 0.86079 22.9720 6.9695e+00 2.31840 4.96990
1399 22.7840 4.55680 3.50830 2352.8000 6.7800e+02 225.06000 501.07000
1400 4.2153 0.84306 0.88060 22.2850 8.3494e+00 1.74670 3.65920
1401 9.7530 1.95060 1.61740 223.2700 7.4502e+01 20.08900 44.25600
1402 4.7803 0.95606 0.96056 485.4000 2.3787e+02 30.42100 62.84500
1403 3.6206 0.72412 0.74754 113.5500 5.6430e+01 6.90320 13.99600
1404 3.2700 0.65399 0.76052 79.7980 3.7180e+01 5.53800 11.38300
1405 2.7003 0.54005 0.65191 39.0790 1.3729e+01 3.97180 8.48940
1406 3.8159 0.76318 0.82265 72.9460 1.9592e+01 8.88010 19.23900
1407 3.2044 0.64088 0.74446 60.2640 1.6622e+01 7.38400 15.96300
1408 6.7792 1.35580 1.09700 221.1900 9.2988e+01 16.58700 35.51600
1409 1.9569 0.39139 0.55704 9.7546 4.2179e+00 0.72032 1.50820
1410 8.0373 1.60750 1.24280 222.5800 7.3195e+01 21.43100 47.81700
1411 8.7703 1.75410 1.32780 383.0000 1.5146e+02 30.63700 66.76200
1412 4.1744 0.83488 0.76382 22.7010 7.5718e+00 2.17170 4.63260
1413 2.7421 0.54842 0.65862 17.9910 7.3105e+00 1.44510 3.05090
1414 8.7681 1.75360 1.38020 175.6600 7.5376e+01 11.98400 26.26200
1415 30.3170 6.06350 5.11130 11045.0000 4.6133e+03 679.23000 1408.60000
1416 2.9459 0.58919 0.69089 17.0010 6.8672e+00 1.34200 2.81240
1417 8.5491 1.70980 1.25260 304.6600 1.4866e+02 18.01000 36.79300
1418 29.1080 5.82160 4.73810 11232.0000 3.5045e+03 991.07000 2168.70000
1419 5.6183 1.12370 0.94863 491.0300 2.4023e+02 30.87500 63.39600
1420 2.5765 0.51531 0.52965 86.0730 4.6847e+01 4.17910 8.27690
1421 4.3756 0.87512 0.90351 242.8000 1.2678e+02 12.86500 25.75900
1422 3.8109 0.76218 0.82191 285.5100 1.3885e+02 18.24700 38.01000
1423 3.5272 0.70545 0.77987 66.8380 1.7123e+01 8.46080 18.34500
1424 7.7956 1.55910 1.06670 60.7810 2.0920e+01 5.31680 11.30600
1425 3.4489 0.68979 0.78027 70.5130 1.8056e+01 8.94160 19.45600
1426 24.6840 4.93680 3.89010 8106.9000 2.8691e+03 655.54000 1396.90000
1427 6.0720 1.21440 1.19030 70.2280 2.7353e+01 5.36130 11.63300
1428 4.8105 0.96210 0.98892 14.7040 3.0601e+00 1.51680 3.23950
1429 6.6433 1.32870 1.21300 158.9700 5.9524e+01 14.15100 30.77100
1430 22.6530 4.53060 2.96790 978.5700 2.7319e+02 94.43900 207.45000
1431 4.3197 0.86394 0.82015 32.0710 1.2746e+01 2.55320 5.35190
1432 3.1351 0.62701 0.76662 16.4860 6.5350e+00 1.26760 2.65290
1433 31.8530 6.37060 5.49980 20711.0000 7.6094e+03 1534.00000 3195.10000
1434 9.6643 1.93290 1.70630 209.3900 8.5004e+01 14.98100 32.43700
1435 3.6554 0.73109 0.64666 25.2000 1.2424e+01 1.44260 2.83930
1436 18.2000 3.64000 2.76910 3661.3000 1.4344e+03 273.60000 585.37000
1437 6.8495 1.36990 1.29710 106.4800 3.9577e+01 8.93830 19.39600
1438 2.9109 0.58218 0.68539 12.4990 4.3376e+00 1.14650 2.43440
1439 30.6650 6.13300 5.20360 14113.0000 5.8230e+03 882.89000 1828.90000
1440 6.0080 1.20160 1.14630 209.7600 9.3661e+01 15.04200 32.01100
1441 1.9434 0.38868 0.52473 16.0190 6.2362e+00 1.44560 3.07560
1442 5.2302 1.04600 1.02290 32.2280 7.2432e+00 3.81450 8.30470
1443 14.1180 2.82370 1.88030 297.4100 9.0848e+01 29.13300 63.19600
1444 16.8190 3.36380 2.33080 1378.1000 4.9567e+02 113.85000 246.47000
1445 10.6620 2.13240 1.73510 301.7800 1.0107e+02 28.07300 61.71800
1446 9.3263 1.86530 0.88552 25.0580 9.1224e+00 1.57420 3.09120
1447 4.5962 0.91925 0.93474 71.6100 2.4571e+01 7.18120 15.32600
1448 3.6255 0.72511 0.79453 42.2280 1.8807e+01 2.99560 6.19320
1449 3.3393 0.66787 0.75155 18.0500 6.1866e+00 1.68090 3.59470
1450 4.2919 0.85837 0.79139 96.4810 4.3673e+01 6.81720 14.11500
1451 3.3642 0.67283 0.69806 47.9610 1.4895e+01 5.42120 11.62000
1452 6.0094 1.20190 1.06410 46.4030 1.5103e+01 4.32820 9.17370
1453 2.6472 0.52944 0.56970 15.3440 4.4646e+00 1.77680 3.83190
1454 20.9850 4.19700 3.20360 4620.6000 2.0357e+03 333.94000 704.98000
1455 3.9689 0.79377 0.71131 106.6300 5.6091e+01 5.59520 11.15300
1456 8.3155 1.66310 1.28570 157.6200 6.1684e+01 12.35300 28.05300
1457 11.5650 2.31300 1.72750 407.1900 1.3449e+02 39.65900 86.38000
1458 30.0770 6.01530 4.92800 15214.0000 5.9840e+03 1051.10000 2176.70000
1459 4.3839 0.87678 0.82372 33.6450 1.3670e+01 2.59570 5.44780
1460 7.1109 1.42220 1.08570 86.7080 3.9286e+01 5.37810 11.26800
1461 23.0860 4.61710 3.74910 7037.2000 2.5141e+03 596.40000 1301.00000
1462 3.4386 0.68772 0.76655 44.5870 2.3450e+01 2.17510 4.28810
1463 6.9440 1.38880 0.97019 230.4100 1.1820e+02 12.41000 24.86900
1464 13.0650 2.61310 1.85050 1292.4000 5.1226e+02 97.51800 209.33000
1465 8.4454 1.68910 1.44840 149.6900 6.1002e+01 10.93900 23.35200
1466 2.2046 0.44092 0.49416 19.0710 7.3405e+00 1.76170 3.74910
1467 2.1464 0.42928 0.49171 21.0770 7.8318e+00 2.04020 4.34870
1468 1.9877 0.39754 0.56692 16.2130 6.1452e+00 1.49800 3.18510
1469 9.2226 1.84450 1.54890 764.9800 3.3325e+02 53.68800 115.38000
1470 3.5037 0.70073 0.77634 39.9030 1.7849e+01 2.80310 5.82910
1471 3.9249 0.78498 0.83859 31.8850 1.2814e+01 2.51190 5.27280
1472 2.7788 0.55576 0.66447 21.7240 9.1969e+00 1.66990 3.50040
1473 3.2496 0.64992 0.73789 14.8390 4.5310e+00 1.51270 3.25430
1474 29.5870 5.91740 6.14550 26741.0000 9.5417e+03 2148.50000 4504.70000
1475 7.6039 1.52080 1.33910 248.8800 9.9402e+01 20.30200 44.79900
1476 15.7820 3.15640 3.17000 520.0600 5.1328e+01 71.75900 163.94000
1477 21.0940 4.21890 3.32270 3944.3000 1.4814e+03 299.01000 649.40000
1478 8.9311 1.78620 1.29710 84.5480 2.3991e+01 8.47590 18.57700
1479 8.0858 1.61720 1.40180 1024.3000 4.4963e+02 75.96300 161.54000
1480 5.5228 1.10460 0.94525 408.6500 1.9947e+02 25.72000 52.57300
1481 2.7108 0.54215 0.69569 39.0690 1.1037e+01 4.68000 10.16000
1482 4.3419 0.86838 0.89871 302.9900 1.5307e+02 17.63900 35.77800
1483 2.4402 0.48805 0.62604 19.2100 5.6232e+00 2.25060 4.77510
1484 2.3081 0.46161 0.58753 37.5230 1.3688e+01 3.70570 7.91410
1485 3.2665 0.65329 0.74046 35.3610 1.5895e+01 2.47650 5.13790
1486 5.7224 1.14450 1.11630 214.9200 1.0362e+02 13.41200 28.01300
1487 20.9450 4.18890 3.27890 2341.2000 6.7949e+02 221.51000 489.47000
1488 4.2735 0.85470 0.81396 36.4060 1.4535e+01 2.94390 6.18180
1489 9.6251 1.92500 1.50210 226.2900 7.4654e+01 22.06000 48.71100
1490 10.7040 2.14080 1.74050 194.4700 4.8823e+01 21.62300 48.67800
1491 10.0240 2.00470 1.65720 400.9000 1.3720e+02 37.45100 81.98900
1492 1.8038 0.36076 0.49976 21.7680 8.6506e+00 1.95080 4.14230
1493 3.5293 0.70585 0.69214 16.1630 5.5258e+00 1.51720 3.22660
1494 2.7845 0.55690 0.66538 24.1460 8.8654e+00 2.26620 4.83130
1495 2.0013 0.40025 0.54468 8.6100 2.5302e+00 0.97761 2.10390
1496 2.5857 0.51714 0.47027 19.2520 7.6199e+00 1.71470 3.65020
1497 6.5241 1.30480 1.20330 373.1700 1.4913e+02 30.06700 66.09200
1498 3.5409 0.70819 0.69376 34.1150 1.2651e+01 3.17360 6.74540
1499 28.1950 5.63900 4.59030 13017.0000 4.6768e+03 1040.20000 2220.30000
1500 4.5235 0.90470 0.74490 29.4370 1.2716e+01 2.06820 4.29510
1501 2.6585 0.53169 0.49467 25.0250 1.0915e+01 1.94590 4.08480
1502 4.1078 0.82156 0.75524 31.6530 1.3526e+01 2.31460 4.82970
1503 9.9678 1.99360 1.67220 243.3800 8.1772e+01 22.92600 50.27000
1504 3.2227 0.64453 0.69088 29.9570 1.2640e+01 2.34150 4.89230
1505 3.4141 0.68283 0.71835 39.6940 1.6580e+01 3.18820 6.67930
1506 4.2837 0.85673 0.89039 74.1570 3.0968e+01 5.92780 12.46100
1507 18.5670 3.71340 2.59430 1367.2000 5.5434e+02 102.81000 222.39000
1508 2.2260 0.44520 0.57368 76.9050 3.8891e+01 4.64150 9.24530
1509 3.2942 0.65884 0.74469 37.4120 1.2834e+01 3.74130 7.99200
1510 23.8850 4.77690 3.70620 6468.3000 2.3577e+03 515.90000 1103.90000
1511 13.5170 2.70340 1.74030 256.2700 7.4367e+01 24.89800 56.19600
1512 3.0156 0.60313 0.70179 32.9910 1.6641e+01 1.81880 3.65020
1513 15.0310 3.00620 2.45590 401.7300 1.0168e+02 42.75900 96.20100
1514 8.2704 1.65410 1.43960 134.8200 5.7003e+01 9.01280 19.40400
1515 3.9207 0.78413 0.76798 133.9900 6.8711e+01 7.59270 15.23100
1516 4.4929 0.89859 0.94094 135.1300 7.3193e+01 6.23490 12.33100
1517 2.5656 0.51311 0.64210 20.1550 8.4717e+00 1.58590 3.30910
1518 3.5570 0.71141 0.78291 18.6960 7.5123e+00 1.39450 2.91270
1519 14.4550 2.89100 2.23700 2891.1000 1.1600e+03 228.91000 485.84000
1520 6.0490 1.20980 1.13830 117.9600 3.5059e+01 12.67700 27.80400
1521 4.9378 0.98757 0.98250 78.0780 2.5789e+01 7.94350 17.38500
1522 3.4143 0.68286 0.76289 16.5260 5.3135e+00 1.61290 3.43150
1523 4.4103 0.88206 0.74289 43.2510 2.2104e+01 2.24280 4.42360
1524 8.9509 1.79020 1.46090 166.2000 6.1002e+01 13.95400 30.78000
1525 3.5804 0.71609 0.78781 19.9080 7.9209e+00 1.52040 3.18620
1526 11.0720 2.21450 1.78840 396.0700 1.3751e+02 35.66600 79.69100
1527 8.7361 1.74720 1.55000 277.6100 1.0915e+02 22.11600 49.12800
1528 9.1609 1.83220 1.54090 115.4300 3.4344e+01 11.03100 24.27100
1529 15.8470 3.16950 3.25120 1822.9000 4.4385e+02 193.73000 433.93000
1530 5.9168 1.18340 1.11610 112.5200 5.3137e+01 6.72190 14.41200
1531 10.8620 2.17240 1.76100 351.7700 1.2220e+02 32.38500 69.83400
1532 5.6820 1.13640 1.00990 29.1550 9.8963e+00 2.33810 5.05500
1533 4.9889 0.99778 0.98958 80.1230 3.1200e+01 6.81590 14.60300
1534 4.9247 0.98493 0.86344 299.8200 1.5432e+02 16.55800 33.56700
1535 8.3685 1.67370 0.77217 236.2200 1.0600e+02 17.20900 35.99700
1536 5.4300 1.08600 0.49436 33.9280 1.3588e+01 2.93120 6.22340
1537 2.7725 0.55449 0.53086 33.6410 1.3157e+01 3.06190 6.49990
1538 16.8970 3.37940 2.73210 1158.6000 2.7573e+02 126.83000 286.26000
1539 9.1043 1.82090 1.53360 301.5000 1.1057e+02 27.16000 59.48800
1540 15.9800 3.19590 2.22430 1295.0000 4.5763e+02 114.08000 250.40000
1541 7.5097 1.50190 1.32680 283.0100 1.0635e+02 24.51700 53.95600
1542 3.2350 0.64701 0.67379 23.1860 9.5544e+00 1.84150 3.85140
1543 13.1610 2.63230 2.06290 1567.0000 7.0134e+02 105.14000 220.82000
1544 5.6505 1.13010 1.00580 181.5600 5.8924e+01 19.22200 41.43200
1545 5.0493 1.00990 0.99793 101.5300 4.1352e+01 8.36540 17.66100
1546 11.4870 2.29740 1.84230 658.5700 2.0194e+02 65.89600 145.07000
1547 2.6729 0.53457 0.51470 16.8420 6.1564e+00 1.62470 3.45460
1548 11.7700 2.35390 1.76110 391.0000 1.2105e+02 39.72200 87.77800
1549 7.1115 1.42230 1.27460 249.7100 9.2838e+01 22.06000 48.39600
1550 13.2320 2.64640 1.64630 274.5100 9.2825e+01 24.15200 52.92000
1551 2.6925 0.53850 0.65067 17.8810 6.8711e+00 1.55910 3.30580
1552 4.7083 0.94166 0.95048 72.2920 3.2590e+01 4.97650 10.24300
1553 9.8998 1.98000 1.63640 454.4600 1.8511e+02 34.06800 76.04200
1554 29.8460 5.96920 4.98950 17318.0000 6.8321e+03 1271.00000 2648.40000
1555 6.8465 1.36930 1.05210 45.0790 1.6740e+01 3.42310 7.28340
1556 3.8384 0.76768 0.82595 167.8500 8.5715e+01 9.41040 18.99900
1557 1.6929 0.33859 0.49275 20.9620 6.4454e+00 2.44800 5.22630
1558 22.5130 4.50250 3.44060 4724.7000 1.9473e+03 347.35000 745.00000
1559 6.2037 1.24070 0.98000 39.9510 1.1111e+01 4.18200 9.16660
1560 5.8937 1.17870 0.85244 46.6000 2.0046e+01 3.24990 6.75830
1561 14.6790 2.93590 2.38040 1167.6000 3.8314e+02 110.51000 242.93000
1562 14.8880 2.97750 2.43510 2320.5000 7.3592e+02 218.75000 480.53000
1563 9.0656 1.81310 1.54800 245.3200 5.1660e+01 32.30600 70.62200
1564 15.0240 3.00470 2.31480 451.6100 9.1580e+01 54.95800 122.18000
1565 8.3494 1.66990 1.43590 403.2200 1.6595e+02 32.06100 68.98100
1566 16.9280 3.38570 2.35560 1579.6000 6.6685e+02 106.66000 224.05000
1567 7.0776 1.41550 1.29930 250.1200 1.0914e+02 18.46900 39.19300
1568 5.9542 1.19080 1.12110 36.1500 1.3311e+01 2.55370 5.54620
1569 6.3428 1.26860 0.91167 22.7510 8.5685e+00 1.55210 3.04400
1570 4.2371 0.84741 0.92742 88.6810 4.3129e+01 5.37890 11.00200
1571 1.7055 0.34110 0.48181 20.7760 7.5764e+00 2.06710 4.41700
1572 2.0123 0.40246 0.57151 17.0880 6.3189e+00 1.62890 3.46270
1573 4.3470 0.86941 0.89944 107.1600 5.3258e+01 6.29510 12.81700
1574 6.1121 1.22240 1.14230 228.4900 1.0419e+02 15.79100 33.61700
1575 2.5634 0.51269 0.56993 41.7400 1.6379e+01 3.78400 8.05530
1576 3.7394 0.74788 0.62017 21.0100 6.0491e+00 2.42530 5.18290
1577 10.2170 2.04340 1.52510 114.0100 4.0886e+01 8.72420 18.55200
1578 27.1040 5.42070 4.75470 16037.0000 6.4928e+03 1169.30000 2447.00000
1579 4.1971 0.83943 0.87800 46.1690 2.0364e+01 3.22040 6.68080
1580 10.4040 2.08080 1.70160 567.8500 1.6843e+02 60.69500 134.18000
1581 12.1200 2.42390 1.92520 541.2800 1.7110e+02 52.88000 115.32000
1582 7.0130 1.40260 1.11610 78.4590 2.2970e+01 8.32390 18.22400
1583 3.3102 0.66203 0.74712 38.4170 1.7310e+01 2.68900 5.58930
1584 6.0080 1.20160 1.12830 454.0000 1.9862e+02 34.02800 71.52100
1585 3.2679 0.65357 0.74068 38.5050 1.7399e+01 2.68860 5.58930
1586 6.5819 1.31640 1.21700 631.3700 2.8642e+02 43.75700 93.36200
1587 3.5298 0.70596 0.62795 21.1180 7.4791e+00 2.02670 4.30960
1588 3.0845 0.61691 0.71249 46.5470 1.5859e+01 4.80760 10.37200
1589 2.6564 0.53129 0.68639 26.4750 9.6906e+00 2.50820 5.34410
1590 3.4939 0.69878 0.79514 33.1090 1.3969e+01 2.52460 5.22880
1591 8.3495 1.66990 1.27430 235.4900 9.7634e+01 18.46700 39.67400
1592 14.9510 2.99010 2.32620 2478.5000 9.8584e+02 192.84000 415.21000
1593 9.6281 1.92560 1.60130 519.3600 1.8508e+02 48.09300 103.62000
1594 4.3035 0.86069 0.93731 58.6920 2.2012e+01 5.26150 11.17800
1595 1.8437 0.36875 0.51634 8.5019 3.0249e+00 0.82725 1.76110
1596 10.5080 2.10150 1.56080 279.4300 9.4668e+01 26.69500 58.59600
1597 5.8949 1.17900 1.11320 138.3000 4.8738e+01 12.61900 27.52400
1598 27.8700 5.57390 4.91460 14106.0000 5.0794e+03 1096.40000 2335.20000
1599 9.5413 1.90830 1.41780 258.0600 9.3937e+01 23.17300 50.77900
1600 11.3610 2.27210 1.82590 529.6300 1.9808e+02 45.44400 100.25000
1601 2.0825 0.41650 0.48072 13.9320 5.3135e+00 1.29790 2.74640
1602 21.9050 4.38090 3.57560 3850.1000 1.3056e+03 320.21000 702.67000
1603 10.4240 2.08470 1.70420 224.2900 8.2291e+01 18.38700 40.69000
1604 6.1722 1.23440 1.05650 70.5280 2.5918e+01 6.10800 13.13600
1605 5.9063 1.18130 1.11470 116.4100 4.9903e+01 8.51370 18.30300
1606 6.0861 1.21720 1.03240 48.5340 1.9720e+01 3.35710 7.29620
1607 4.5016 0.90031 0.98140 52.8290 1.3980e+01 6.25820 13.68000
1608 5.0701 1.01400 1.02560 163.3700 5.4464e+01 16.69300 37.09100
1609 5.5411 1.10820 1.06530 113.7900 3.9956e+01 11.10600 23.88500
1610 23.3060 4.66110 3.74240 4469.5000 1.8284e+03 320.60000 690.60000
1611 5.6076 1.12150 1.07440 352.2300 1.5023e+02 26.62600 58.80100
1612 3.8978 0.77957 0.83377 51.4550 2.2667e+01 3.72020 7.74960
1613 4.4256 0.88512 0.91061 63.2620 1.8279e+01 7.33070 15.75700
1614 2.3932 0.47865 0.60177 2.8221 5.4438e-01 0.31561 0.66699
1615 11.2770 2.25540 1.81500 1432.5000 6.5834e+02 91.02500 191.57000
1616 7.1545 1.43090 1.09080 227.8800 1.0633e+02 14.35000 31.36200
1617 15.6300 3.12610 2.12100 1157.4000 4.2585e+02 93.38400 204.55000
1618 2.6730 0.53459 0.56459 6.9967 2.2201e+00 0.69576 1.49050
1619 7.9998 1.60000 1.34090 408.0500 1.4095e+02 38.01000 84.82600
1620 2.0182 0.40363 0.53788 14.7240 4.6489e+00 1.63290 3.51310
1621 1.6405 0.32811 0.46978 9.6206 3.5245e+00 0.92920 1.99340
1622 2.2192 0.44384 0.57252 14.2900 4.9471e+00 1.43250 3.06980
1623 12.9380 2.58760 1.79010 385.5500 1.2401e+02 36.38300 79.47200
1624 5.5107 1.10210 1.06120 138.5400 4.6141e+01 14.03800 30.57500
1625 30.9570 6.19140 5.28290 18170.0000 6.7938e+03 1279.50000 2673.00000
1626 6.0142 1.20280 1.12920 13.4850 2.6021e+00 0.99317 2.11870
1627 3.4848 0.69696 0.78569 77.6760 3.6017e+01 5.37550 11.11800
1628 3.1611 0.63221 0.56239 14.5950 5.5748e+00 1.27920 2.71550
1629 7.3530 1.47060 1.20130 360.1700 1.3805e+02 31.35500 68.64800
1630 3.2340 0.64681 0.59200 26.6330 9.9196e+00 2.49980 5.31380
1631 2.6690 0.53380 0.64688 12.3040 3.6264e+00 1.34200 2.90570
1632 3.4879 0.69758 0.65065 24.0260 8.3934e+00 2.35720 5.00320
1633 31.0230 6.20450 5.30090 18875.0000 7.2979e+03 1282.40000 2664.20000
1634 11.9970 2.39940 1.90910 433.7000 1.5619e+02 37.09900 82.76200
1635 20.7450 4.14890 3.19490 1053.2000 3.0465e+02 100.12000 220.06000
1636 4.6973 0.93946 0.94894 45.9560 2.1566e+01 2.69770 5.47410
1637 9.1990 1.83980 1.36890 156.0200 4.7417e+01 16.33200 35.20500
1638 3.6830 0.73660 0.80183 18.1950 6.2462e+00 1.63650 3.45620
1639 12.7530 2.55060 1.89720 314.0700 7.7892e+01 33.93600 77.47000
1640 2.8380 0.56759 0.58550 18.2700 6.9591e+00 1.64250 3.48760
1641 12.3720 2.47430 1.41030 128.3100 -1.5586e+01 25.28600 57.13900
1642 11.6940 2.33890 1.54000 660.1700 2.4716e+02 54.93200 118.57000
1643 7.5005 1.50010 1.33570 199.1400 4.4962e+01 24.41000 54.29000
1644 3.3512 0.67025 0.75336 37.0710 1.6092e+01 2.76700 5.74830
1645 1.9830 0.39660 0.53171 27.6280 1.1450e+01 2.34020 4.94200
1646 6.1396 1.22790 1.05250 214.7800 1.0198e+02 13.92000 29.04200
1647 2.7276 0.54552 0.65630 17.2540 6.3965e+00 1.56300 3.31870
1648 14.1650 2.83310 1.91610 1424.2000 5.3954e+02 118.58000 259.17000
1649 1.6658 0.33317 0.47449 14.2490 4.9409e+00 1.48300 3.16980
1650 27.4750 5.49490 4.42820 10223.0000 4.0636e+03 700.19000 1444.50000
1651 8.1643 1.63290 1.30610 213.8200 8.0680e+01 17.85700 39.77600
1652 3.5279 0.70558 0.65582 16.5360 5.0675e+00 1.75380 3.76100
1653 21.9060 4.38130 3.35700 5049.2000 1.8471e+03 406.09000 876.96000
1654 5.7041 1.14080 1.13910 45.0970 1.5327e+01 3.82690 8.36510
1655 5.1778 1.03560 0.47363 19.7250 7.1676e+00 1.87490 4.01310
1656 18.8700 3.77410 2.80810 2820.7000 9.5114e+02 248.01000 540.58000
1657 8.8962 1.77920 1.51480 233.8500 8.0354e+01 21.90400 48.31700
1658 26.1510 5.23030 4.10710 3243.4000 1.0959e+03 272.28000 595.16000
1659 8.7348 1.74700 1.36850 433.3500 2.0288e+02 28.53300 58.59400
1660 6.4622 1.29240 1.19490 336.5100 1.2379e+02 30.69400 66.20400
1661 8.2882 1.65760 1.42800 258.9300 8.6722e+01 25.36700 56.59400
1662 13.9890 2.79780 2.87310 2578.7000 8.4405e+02 228.86000 505.71000
1663 10.1330 2.02670 1.66660 722.2100 2.7987e+02 59.68900 128.15000
1664 3.1596 0.63191 0.72408 22.0640 8.3909e+00 1.90770 4.05280
1665 2.3223 0.46446 0.51857 18.5710 7.1928e+00 1.69100 3.58640
1666 4.8336 0.96671 0.96799 57.2260 2.0033e+01 5.43650 11.57600
1667 7.8238 1.56480 1.22120 152.5500 6.5785e+01 10.66100 23.29600
1668 22.0620 4.41230 3.48640 4069.5000 1.4534e+03 321.48000 701.99000
1669 10.9180 2.18370 1.70960 704.3300 2.6616e+02 58.27100 128.35000
1670 13.9210 2.78410 1.89170 1423.1000 5.0845e+02 118.88000 257.38000
1671 2.6121 0.52241 0.63768 34.6920 1.5414e+01 2.59370 5.38000
1672 15.9390 3.18770 2.44210 3005.8000 1.1285e+03 245.70000 529.31000
1673 9.3389 1.86780 1.38900 190.1800 7.0597e+01 16.10800 35.50900
1674 2.2274 0.44548 0.61094 15.6020 5.4729e+00 1.53730 3.28510
1675 2.2753 0.45505 0.48784 31.1780 1.3090e+01 2.61160 5.49660
1676 6.0086 1.20170 0.95191 40.3770 1.7531e+01 2.54030 5.20210
1677 7.9793 1.59590 1.38790 207.5000 8.9547e+01 14.51900 32.03300
1678 2.9525 0.59049 0.72725 17.2280 5.7068e+00 1.69910 3.63680
1679 2.1068 0.42135 0.55327 16.8500 8.3350e+00 0.99435 2.02820
1680 2.0475 0.40950 0.54299 12.5240 5.7441e+00 0.86498 1.76170
1681 3.8974 0.77948 0.70241 24.1890 1.1017e+01 1.55920 3.19800
1682 15.3370 3.06730 2.35810 674.6800 1.3303e+02 81.46300 184.43000
1683 3.1167 0.62334 0.76360 24.5230 1.0997e+01 1.64730 3.39340
1684 3.5620 0.71240 0.63461 18.4610 6.5135e+00 1.74700 3.71660
1685 15.5230 3.10460 2.88980 753.7500 1.6433e+02 84.58900 190.22000
1686 19.4240 3.88480 3.27840 853.1800 2.8129e+02 72.51800 162.04000
1687 6.8029 1.36060 1.29070 66.2880 8.7214e-01 11.82300 26.65700
1688 2.4392 0.48784 0.51099 12.7360 4.1547e+00 1.36710 2.91140
1689 6.5762 1.31520 1.15970 78.5140 4.6615e+00 13.27100 29.67200
1690 3.3270 0.66539 0.74967 19.7290 7.5609e+00 1.63870 3.45540
1691 6.1922 1.23840 1.15300 340.7500 1.2996e+02 29.32400 65.33200
1692 2.9226 0.58451 0.70380 21.9400 8.9343e+00 1.76170 3.69610
1693 2.0971 0.41942 0.48806 14.9410 4.8113e+00 1.64640 3.53790
1694 7.4834 1.49670 1.03120 123.7900 5.1807e+01 9.19460 20.32300
1695 18.9610 3.79210 2.77030 449.8300 9.1024e+01 50.16100 113.82000
1696 9.5254 1.90510 1.47590 220.6800 7.9721e+01 18.79000 42.16300
1697 1.7538 0.35076 0.48795 18.8150 6.9228e+00 1.84450 3.94370
1698 8.1698 1.63400 1.41270 53.2830 1.4136e+01 4.71430 10.48300
1699 3.7415 0.74830 0.81170 58.2030 2.7713e+01 3.68830 7.58660
1700 5.3312 1.06620 1.03900 316.5600 1.4302e+02 22.44100 47.98900
1701 4.0671 0.81343 0.78149 44.0350 1.4243e+01 4.64310 10.00100
1702 11.3870 2.27740 1.82880 764.5400 3.1462e+02 57.12100 124.10000
1703 2.3377 0.46754 0.59250 23.5090 9.1221e+00 2.11560 4.51130
1704 2.4177 0.48354 0.64488 17.1850 6.3314e+00 1.59170 3.38450
1705 3.6340 0.72680 0.79579 17.0420 5.9948e+00 1.47340 3.12080
1706 19.9160 3.98320 3.40710 2272.5000 6.0894e+02 227.84000 503.80000
1707 7.5658 1.51320 1.33410 213.8700 6.8670e+01 21.26900 47.95300
1708 7.3720 1.47440 1.30880 196.3700 8.0710e+01 15.47600 32.98900
1709 26.2810 5.25620 3.48870 3380.9000 9.7646e+02 309.95000 685.49000
1710 23.1340 4.62680 3.74830 4556.2000 1.3513e+03 418.59000 919.15000
1711 24.5270 4.90530 3.91090 3985.8000 1.2097e+03 360.95000 790.13000
1712 23.6680 4.73360 3.66650 5910.0000 2.1933e+03 440.41000 935.52000
1713 7.6033 1.52070 1.13900 161.4200 6.0324e+01 14.32700 31.47000
1714 1.8623 0.37247 0.51030 18.3360 6.7307e+00 1.78760 3.83160
1715 7.0906 1.41810 1.16980 81.2570 3.4701e+01 5.33310 11.51700
1716 3.0265 0.60529 0.70347 54.5780 1.7411e+01 6.06390 13.00500
1717 1.9151 0.38302 0.51972 9.3396 3.6293e+00 0.82336 1.73640
1718 2.4602 0.49204 0.62455 60.1100 3.1652e+01 3.19270 6.30900
1719 9.2195 1.84390 1.46290 120.7500 3.3965e+01 12.19300 27.73400
1720 26.1370 5.22740 4.64200 12363.0000 4.8962e+03 866.10000 1825.50000
1721 11.3550 2.27100 1.68640 821.2500 2.8040e+02 77.90700 172.07000
1722 2.6579 0.53157 0.64508 16.9490 6.0897e+00 1.60070 3.40340
1723 2.6034 0.52068 0.63627 18.4940 7.0797e+00 1.63520 3.48100
1724 27.4630 5.49270 4.77320 14133.0000 5.5841e+03 998.41000 2096.40000
1725 8.3711 1.67420 1.43880 283.5700 1.0123e+02 25.65900 57.05100
1726 27.5190 5.50390 4.41320 8561.4000 3.1804e+03 650.35000 1393.20000
1727 7.0396 1.40790 1.26520 97.3820 2.9706e+01 9.82700 21.92700
1728 3.9522 0.79043 0.84257 37.3940 1.2318e+01 3.78840 8.12030
1729 20.6450 4.12900 2.92180 3472.5000 1.2557e+03 290.11000 634.02000
1730 32.0870 6.41740 4.49220 13921.0000 5.2709e+03 1014.10000 2114.10000
1731 8.1504 1.63010 1.52190 53.5440 1.2988e+01 4.75930 10.78100
1732 2.1184 0.42367 0.55527 61.0460 2.9862e+01 3.91540 8.04690
1733 3.6373 0.72745 0.74988 24.1790 9.3804e+00 2.01480 4.23280
1734 27.0790 5.41580 4.64520 11650.0000 4.0928e+03 926.72000 1992.30000
1735 8.0066 1.60130 1.28510 202.5800 8.2110e+01 15.82400 34.20400
1736 13.9520 2.79040 1.80100 1495.7000 6.5421e+02 108.96000 229.06000
1737 1.9071 0.38142 0.54541 12.8700 6.8558e+00 0.61205 1.20090
1738 5.0808 1.01620 0.94458 33.5630 1.0524e+01 3.30200 6.98520
1739 27.3110 5.46230 4.39240 12273.0000 4.2829e+03 969.26000 2036.40000
1740 9.3607 1.87210 1.56670 226.6000 9.6596e+01 15.60900 34.06400
1741 9.2468 1.84940 1.49820 139.1100 4.9149e+01 11.71300 25.62300
1742 7.8983 1.57970 1.43850 66.2500 1.6087e+01 6.90850 15.09100
1743 1.7953 0.35906 0.49822 15.2080 5.9897e+00 1.36240 2.89670
1744 3.3150 0.66299 0.74785 13.4040 4.5708e+00 1.19450 2.53800
1745 3.6190 0.72380 0.83342 20.1020 6.8826e+00 1.82030 3.87060
1746 9.8826 1.97650 0.95939 42.3710 1.8127e+01 2.30760 4.53770
1747 2.1057 0.42114 0.52048 21.6330 8.0058e+00 2.09890 4.46680
1748 9.5287 1.90570 1.58840 252.0100 8.9014e+01 23.07500 50.36100
1749 4.0759 0.81518 0.86052 19.9090 6.7862e+00 1.74950 3.67470
1750 3.4522 0.69045 0.68148 20.0360 6.6932e+00 1.99490 4.26050
1751 1.8248 0.36496 0.51621 22.4790 7.8873e+00 2.31960 4.95800
1752 18.5070 3.70150 2.74680 1169.0000 4.3977e+02 91.35500 199.90000
1753 16.3080 3.26160 2.49420 895.8700 2.8034e+02 87.54200 192.26000
1754 4.5335 0.90671 0.83028 30.9290 1.1942e+01 2.51700 5.29220
1755 3.6365 0.72730 0.73644 32.9460 1.2659e+01 2.90060 6.10420
1756 9.2792 1.85580 1.55620 280.3900 6.4841e+01 33.87300 75.96600
1757 4.4557 0.89113 0.86193 251.2700 1.2400e+02 15.53700 31.55900
1758 5.8899 1.17800 1.11250 496.1300 2.1114e+02 38.91500 84.69900
1759 10.7690 2.15380 1.74900 187.0400 6.5572e+01 15.42900 33.77900
1760 8.4678 1.69360 1.34300 122.1000 4.9228e+01 8.84880 19.15100
1761 16.0910 3.21830 2.23960 696.2400 1.9025e+02 74.59100 166.05000
1762 3.1017 0.62034 0.55444 7.3937 2.2080e+00 0.77611 1.64680
1763 28.3200 5.66400 5.36590 13782.0000 5.0898e+03 1052.50000 2221.00000
1764 7.1590 1.43180 1.13340 63.9500 1.9999e+01 6.24020 13.27200
1765 6.1665 1.23330 1.14960 217.9300 7.8967e+01 19.88400 44.06500
1766 6.1901 1.23800 1.05650 53.3960 1.8924e+01 4.64700 9.82690
1767 3.5145 0.70290 0.77796 27.0600 1.0548e+01 2.25650 4.75990
1768 9.4260 1.88520 1.40790 146.4200 5.2792e+01 12.09700 27.36700
1769 3.5513 0.71026 0.65880 23.8810 1.0960e+01 1.56690 3.22150
1770 2.1362 0.42723 0.52542 29.2110 1.1442e+01 2.67000 5.65710
1771 31.1060 6.22120 4.30340 10988.0000 4.4457e+03 741.80000 1535.60000
1772 2.5168 0.50335 0.62215 20.6330 7.4223e+00 1.98840 4.26590
1773 5.9539 1.19080 1.13380 23.3710 6.2781e+00 1.91450 4.29610
1774 14.2910 2.85820 1.90660 1317.2000 4.8753e+02 107.87000 233.64000
1775 2.8949 0.57898 0.68287 55.0760 2.6181e+01 3.64020 7.52980
1776 20.9150 4.18300 3.19220 1892.4000 5.7470e+02 168.69000 370.93000
1777 29.3940 5.87890 6.01300 23564.0000 7.9262e+03 1985.10000 4211.70000
1778 8.2206 1.64410 0.75597 229.5100 1.0593e+02 15.93900 33.12900
1779 6.9814 1.39630 1.06960 56.1560 2.4581e+01 3.30490 7.14520
1780 2.9537 0.59073 0.72745 20.3450 8.0454e+00 1.66760 3.51850
1781 12.9940 2.59890 2.11360 290.6500 6.4828e+01 34.09500 76.33000
1782 8.7092 1.74180 1.57560 182.9300 5.8515e+01 17.71400 39.68500
1783 5.6402 1.12800 0.91376 48.6980 2.2211e+01 3.01100 6.14830
1784 12.9370 2.58750 1.77990 309.1400 1.1679e+02 25.20800 53.52900
1785 3.6723 0.73447 0.73436 65.5180 2.8418e+01 5.08680 10.62000
1786 5.1815 1.03630 0.92785 37.4770 1.4360e+01 2.98510 6.28720
1787 2.0670 0.41339 0.47512 17.0570 5.7479e+00 1.81480 3.90680
1788 25.9800 5.19610 4.11170 6244.4000 2.3790e+03 447.03000 943.68000
1789 8.0787 1.61570 1.32240 308.4600 1.3188e+02 23.20100 49.06700
1790 3.6561 0.73121 0.59888 13.3720 4.3523e+00 1.33950 2.85580
1791 8.6996 1.73990 1.48130 183.3900 5.8707e+01 17.92300 40.49500
1792 18.8740 3.77480 2.80860 337.2600 6.7667e+01 34.35000 75.94400
1793 3.6411 0.72823 0.80918 5.3807 9.7316e-01 0.50416 1.05980
1794 4.9968 0.99937 1.00360 79.8940 3.8552e+01 4.64450 9.62590
1795 2.7861 0.55721 0.66563 94.4980 4.7098e+01 5.74490 11.77200
1796 9.1963 1.83930 1.54550 575.9800 1.9476e+02 55.21700 123.27000
1797 4.7578 0.95157 0.83794 68.2660 3.1583e+01 4.53090 9.36510
1798 23.3960 4.67930 3.42040 6406.3000 2.2878e+03 559.52000 1205.80000
1799 2.3976 0.47952 0.57856 34.3230 1.3971e+01 2.95840 6.25760
1800 9.9301 1.98600 1.55030 551.8300 2.3342e+02 41.05900 87.95400
1801 25.7300 5.14600 4.06110 7872.9000 2.3832e+03 692.72000 1497.40000
1802 4.8093 0.96186 1.02850 122.0400 5.0418e+01 9.90140 21.14900
1803 2.1823 0.43646 0.56623 14.8140 5.6915e+00 1.33050 2.82590
1804 4.7560 0.95121 0.98117 46.6410 1.8883e+01 3.58090 7.45190
1805 21.6530 4.33060 3.31430 1974.8000 6.7799e+02 160.58000 344.50000
1806 10.3300 2.06600 1.53390 476.9800 1.8324e+02 40.34000 87.28700
1807 15.5550 3.11100 2.38840 254.1000 5.7761e+01 25.93500 56.80500
1808 2.6706 0.53412 0.64714 19.7750 7.5579e+00 1.75590 3.72740
1809 8.1842 1.63680 1.50350 97.8480 3.5581e+01 7.58580 16.10300
1810 5.0926 1.01850 0.77376 18.4680 5.3345e+00 1.88030 3.95060
1811 26.2520 5.25040 4.38680 7425.4000 2.6270e+03 582.98000 1270.40000
1812 5.2402 1.04800 0.91050 68.3160 2.9387e+01 5.05450 10.51500
1813 2.3783 0.47565 0.59927 77.8380 4.0314e+01 4.32770 8.74790
1814 3.8815 0.77630 0.83226 15.4860 5.5327e+00 1.23120 2.58750
1815 11.2940 2.25890 1.81730 585.8700 1.8094e+02 57.47800 127.86000
1816 29.7200 5.94400 4.96550 16864.0000 6.5167e+03 1231.60000 2577.00000
1817 9.9516 1.99030 1.53010 310.5600 1.3008e+02 22.16700 48.72300
1818 8.6751 1.73500 1.47810 314.5400 1.0540e+02 28.73900 62.94900
1819 8.1179 1.62360 1.40590 55.6090 1.5617e+01 4.76690 10.67000
1820 3.0444 0.60888 0.66493 27.0800 9.9860e+00 2.55200 5.38360
1821 8.8279 1.76560 1.40810 139.0600 4.4776e+01 13.30700 29.38100
1822 7.1584 1.43170 1.28080 179.1200 6.7711e+01 15.13100 34.72600
1823 4.9051 0.98102 0.74161 18.5650 5.7534e+00 1.80750 3.85340
1824 2.6628 0.53257 0.64589 13.9250 5.0179e+00 1.28280 2.72370
1825 5.6434 1.12870 1.07920 118.0300 4.7178e+01 9.81840 20.99600
1826 2.9205 0.58410 0.68690 33.8590 1.3839e+01 2.81800 5.94920
1827 2.6989 0.53979 0.59661 31.3940 1.2603e+01 2.73520 5.77110
1828 8.9903 1.79810 1.53830 481.3600 1.8112e+02 42.35000 91.41200
1829 30.0540 6.01070 5.04260 16740.0000 6.3875e+03 1225.70000 2576.30000
1830 11.3700 2.27390 1.65020 329.3400 1.1042e+02 30.45900 66.93300
1831 12.0090 2.40180 1.91070 272.2500 9.6116e+01 23.10800 49.98400
1832 6.1420 1.22840 1.14630 310.7300 1.3600e+02 23.58100 49.62600
1833 7.5801 1.51600 1.19230 297.8300 1.2251e+02 22.51700 49.05000
1834 1.6753 0.33507 0.47625 12.1060 4.7344e+00 1.09310 2.32560
1835 7.8864 1.57730 1.43690 285.8600 1.1731e+02 22.13300 47.90900
1836 7.4156 1.48310 1.31450 134.5500 5.3865e+01 10.30000 22.60400
1837 23.9160 4.78310 3.84910 7704.2000 2.8230e+03 586.15000 1255.60000
1838 10.0000 2.00000 1.42260 368.1700 1.1984e+02 36.07900 78.78900
1839 13.8490 2.76990 1.94890 878.2700 3.1562e+02 73.45200 158.08000
1840 2.2100 0.44200 0.50527 38.5120 1.7726e+01 2.78490 5.77970
1841 4.3247 0.86494 0.89625 306.0200 1.4028e+02 22.13300 45.84700
1842 3.9236 0.78471 0.85334 132.6300 6.3371e+01 8.75160 18.00000
1843 7.9176 1.58350 1.24800 148.8100 5.6293e+01 12.53500 26.96900
1844 4.8819 0.97638 0.88905 14.3560 9.5811e-01 2.15790 4.73200
1845 13.2340 2.64670 2.07250 527.2900 5.8488e+01 73.09600 165.64000
1846 2.8905 0.57809 0.69495 18.7780 7.6894e+00 1.47760 3.08300
1847 12.6200 2.52400 1.81170 717.1900 2.2290e+02 68.94600 154.29000
1848 7.6771 1.53540 1.19520 103.6200 4.5142e+01 6.70230 14.58100
1849 3.3762 0.67523 0.75713 20.5050 6.4664e+00 2.11570 4.50750
1850 2.0729 0.41457 0.54471 17.1170 6.6049e+00 1.55610 3.30750
1851 2.4887 0.49773 0.61754 19.8020 6.8465e+00 2.00070 4.25960
1852 2.1563 0.43126 0.56179 38.2500 1.3826e+01 3.81780 8.20280
1853 2.5639 0.51278 0.66680 35.3800 1.4745e+01 2.90200 6.12660
1854 1.8341 0.36682 0.50523 25.5770 1.1053e+01 2.04150 4.29400
1855 8.5774 1.71550 1.30370 334.4100 1.1685e+02 30.43700 67.22000
1856 2.7387 0.54774 0.55187 15.0300 5.0438e+00 1.55370 3.31050
1857 3.6787 0.73574 0.64723 41.8270 1.8554e+01 3.09130 6.43120
1858 4.6363 0.92727 0.94038 38.4500 1.5350e+01 2.95740 6.18750
1859 4.9630 0.99261 0.80480 25.6270 9.8555e+00 2.00870 4.21150
1860 2.7012 0.54024 0.62628 17.9050 6.4251e+00 1.70760 3.63850
1861 5.9917 1.19830 0.99063 94.4760 4.3458e+01 6.16340 12.76800
1862 2.7951 0.55903 0.71002 32.3890 1.3960e+01 2.47740 5.17690
1863 2.0555 0.41110 0.54438 13.7540 4.5742e+00 1.46580 3.09210
1864 14.2500 2.85000 2.10460 664.5200 2.6265e+02 48.86500 107.91000
1865 4.2149 0.84299 0.71813 51.2620 2.3844e+01 3.42620 7.04680
1866 7.5890 1.51780 1.33710 196.6200 8.3519e+01 14.52500 31.22400
1867 9.2284 1.84570 1.44990 407.5000 1.2771e+02 40.40800 89.50700
1868 8.5901 1.71800 1.28400 12.2950 -4.8523e+00 2.08490 4.62600
1869 4.5567 0.91133 0.74940 37.0540 8.7553e+00 4.69310 10.25700
1870 5.7215 1.14430 0.90842 31.1130 9.2749e+00 3.11250 6.63620
1871 2.6753 0.53506 0.56259 18.8890 6.9876e+00 1.78150 3.79580
1872 3.0700 0.61400 0.71024 5.5465 1.1047e+00 0.62068 1.31810
1873 4.4243 0.88487 0.83414 22.7010 7.1085e+00 2.21930 4.72990
1874 3.2036 0.64072 0.73084 22.7070 8.0074e+00 2.14800 4.58030
1875 23.7590 4.75170 3.68310 5110.9000 1.7645e+03 407.26000 874.34000
1876 9.7293 1.94590 1.44520 488.1400 1.7091e+02 44.41200 96.63500
1877 6.0237 1.20470 1.13050 73.9260 1.6222e+01 9.28130 21.14100
1878 21.1430 4.22860 3.75890 2500.9000 5.7875e+02 266.98000 597.70000
1879 2.3405 0.46810 0.59297 16.0630 5.8424e+00 1.52750 3.25770
1880 5.3791 1.07580 0.91536 33.6370 1.3232e+01 2.51060 5.25170
1881 6.4614 1.29230 1.09070 49.1490 8.2268e+00 6.73150 14.76900
1882 26.8580 5.37170 4.24830 7942.6000 3.3159e+03 562.73000 1177.20000
1883 2.3471 0.46943 0.59408 14.9490 5.5722e+00 1.37330 2.92380
1884 1.8876 0.37752 0.51482 15.3690 5.6766e+00 1.48300 3.15510
1885 7.3371 1.46740 1.01460 73.6490 2.9015e+01 5.75380 12.30100
1886 22.4600 4.49200 3.51780 2266.8000 8.5190e+02 165.76000 365.01000
Rstem LAmax LA youngLA matureLA oldLA LAI
1 20.51200 2.2676e+01 8.756200 8.9521e-01 2.9187e+00 4.942300 0.805570
2 560.55000 1.3621e+02 128.890000 9.1694e+00 4.2964e+01 76.759000 2.589800
3 9.88540 1.9905e+01 5.801500 9.1035e-01 1.9384e+00 2.952800 0.966920
4 0.23149 1.5568e+00 0.416750 3.3132e-02 1.3886e-01 0.244770 0.416750
5 1.45600 2.5060e+00 1.281700 1.7601e-01 4.2722e-01 0.678430 1.281700
6 9.06200 2.2301e+01 2.067300 3.1457e-01 6.8911e-01 1.063600 0.344550
7 2.67050 8.0709e+00 2.777400 3.1173e-01 9.2580e-01 1.539900 1.181000
8 151.68000 5.3975e+01 52.629000 3.3321e+00 1.7879e+01 31.419000 2.885900
9 3.90780 8.9306e+00 2.854500 2.2029e-01 9.6236e-01 1.671900 0.846850
10 116.33000 6.5955e+01 35.257000 3.8770e+00 1.1752e+01 19.627000 1.165900
11 176.56000 7.2537e+01 56.666000 3.8826e+00 1.9035e+01 33.747000 2.100500
12 21.56300 2.2013e+01 8.966900 1.5290e+00 3.0230e+00 4.414800 1.494500
13 0.16893 1.0095e+00 0.066773 3.5101e-03 2.0519e-02 0.042743 0.066773
14 1.43730 2.8942e+00 0.229750 2.0723e-02 7.5833e-02 0.133200 0.166870
15 0.17164 2.1021e+00 0.447330 4.9945e-02 1.4911e-01 0.248270 0.447330
16 0.26018 1.7017e+00 0.531640 5.7913e-02 1.7721e-01 0.296520 0.531640
17 2.03850 6.3551e+00 0.730900 1.2664e-01 2.4363e-01 0.360630 0.379360
18 4.54780 4.5835e+00 3.423000 3.3105e-01 1.1254e+00 1.966600 0.898260
19 22.94800 2.1102e+01 16.252000 2.7846e+00 5.6632e+00 7.803900 3.035200
20 0.32028 1.5036e+00 0.519630 5.4728e-02 1.7321e-01 0.291690 0.519630
21 4.07260 1.0768e+01 0.896310 1.4517e-01 2.9877e-01 0.452360 0.274620
22 5.93650 9.5101e+00 4.976500 6.7519e-01 1.7664e+00 2.534900 1.788500
23 4.34210 5.1822e+00 2.954100 5.8775e-01 9.9058e-01 1.375800 1.438000
24 32.87300 2.1733e+01 14.628000 1.0278e+00 4.8743e+00 8.725400 1.219000
25 0.19557 1.3083e+00 0.340030 3.7757e-02 1.1334e-01 0.188940 0.340030
26 1403.10000 3.1800e+02 235.970000 4.2732e+01 7.8680e+01 114.560000 3.188800
27 17.00400 1.4270e+01 7.999900 7.6809e-01 2.6866e+00 4.545200 1.333300
28 280.26000 9.4174e+01 72.811000 6.8080e+00 2.4270e+01 41.732000 2.080300
29 12.26800 1.3128e+01 5.641400 7.8445e-01 1.8805e+00 2.976500 0.781130
30 22.84300 1.7123e+01 13.416000 1.4290e+00 4.4981e+00 7.488700 2.035900
31 1497.80000 2.9246e+02 285.050000 1.9954e+01 9.5784e+01 169.310000 3.521500
32 0.24319 1.1544e+00 0.184800 1.4634e-02 6.1593e-02 0.108570 0.184800
33 583.36000 1.4899e+02 144.890000 1.0377e+01 4.9634e+01 84.882000 3.064800
34 405.90000 1.3231e+02 132.310000 9.8903e+00 4.5734e+01 76.690000 4.166900
35 2.27260 3.6759e+00 1.076600 1.5699e-01 3.5870e-01 0.560950 0.468290
36 17.35900 1.5614e+01 10.990000 9.3873e-01 3.8045e+00 6.246900 2.067100
37 17.00800 1.3422e+01 10.912000 1.1672e+00 3.6924e+00 6.052200 2.439600
38 6.52420 1.4314e+01 4.822900 5.9543e-01 1.6755e+00 2.552000 1.263500
39 6.73300 9.1161e+00 6.455700 5.5315e-01 2.1547e+00 3.747800 2.029400
40 1.08760 2.3095e+00 0.783600 1.1894e-01 2.6120e-01 0.403450 0.783600
41 1406.90000 2.9825e+02 238.740000 4.3997e+01 7.9671e+01 115.070000 3.442200
42 0.29007 2.2583e+00 0.553340 5.7482e-02 1.8445e-01 0.311410 0.553340
43 234.09000 8.1834e+01 73.310000 8.0909e+00 2.4437e+01 40.783000 3.187400
44 441.41000 1.3400e+02 132.130000 1.3166e+01 4.4779e+01 74.186000 4.056500
45 17.18300 1.8548e+01 8.932900 8.2472e-01 2.9815e+00 5.126700 1.144800
46 1.30230 2.1067e+00 1.254500 1.4148e-01 4.1837e-01 0.694670 1.108000
47 5.56090 6.9534e+00 3.580500 3.2836e-01 1.1934e+00 2.058800 0.800870
48 1.69420 3.6524e+00 0.609490 7.5777e-02 2.0316e-01 0.330550 0.376320
49 6.51100 1.2209e+01 4.436500 5.6760e-01 1.4788e+00 2.390100 0.956030
50 52.91200 3.4778e+01 14.375000 1.2881e+00 4.7917e+00 8.295400 0.758020
51 0.74455 2.4083e+00 0.572610 5.7136e-02 1.9087e-01 0.324600 0.572610
52 1.68110 3.0522e+00 0.560700 6.9675e-02 1.8690e-01 0.304120 0.413300
53 11.42000 9.9767e+00 8.262100 4.0635e-01 2.9234e+00 4.932400 1.864900
54 1504.60000 3.1835e+02 253.060000 4.6816e+01 8.4390e+01 121.860000 3.419800
55 17.64700 1.0939e+01 8.189800 1.0210e+00 2.7299e+00 4.438900 1.750800
56 0.24823 1.7521e+00 0.461560 6.3169e-02 1.5385e-01 0.244540 0.461560
57 18.39800 1.0840e+01 9.511500 5.4565e-01 3.1676e+00 5.798200 1.195800
58 1992.40000 3.3926e+02 339.260000 3.3163e+01 1.1297e+02 193.130000 4.301100
59 11.02900 1.1344e+01 6.676700 1.0696e+00 2.2256e+00 3.381500 1.112800
60 115.49000 5.4326e+01 41.431000 5.9534e+00 1.3810e+01 21.667000 2.076600
61 11.04500 9.6482e+00 6.395400 3.9397e-01 2.1318e+00 3.869600 1.251800
62 7.29520 1.0417e+01 6.450200 6.9408e-01 2.2815e+00 3.474600 1.911300
63 12.43300 1.3052e+01 7.297700 9.2969e-01 2.4326e+00 3.935400 1.216300
64 312.31000 1.1190e+02 80.449000 8.5360e+00 2.6867e+01 45.047000 2.217500
65 4.46030 5.1554e+00 1.196400 1.0221e-01 3.9720e-01 0.696940 0.340160
66 13.79600 1.2430e+01 7.290800 1.2508e+00 2.4303e+00 3.609800 1.654900
67 6.22330 1.1560e+01 4.946900 7.1811e-01 1.6555e+00 2.573300 1.353800
68 138.20000 7.0649e+01 27.880000 5.4200e+00 9.2934e+00 13.167000 0.939880
69 0.23543 1.1033e+00 0.349690 2.4424e-02 1.1606e-01 0.209210 0.349690
70 6.96150 7.8730e+00 4.943500 3.4682e-01 1.6478e+00 2.948800 1.099000
71 1123.10000 2.6089e+02 260.890000 1.4241e+01 9.0418e+01 156.230000 4.141100
72 7.06200 8.6723e+00 2.878000 2.2631e-01 9.9190e-01 1.659800 0.753310
73 4.70010 1.1089e+01 3.070500 3.8007e-01 1.0598e+00 1.630600 0.776690
74 0.24819 1.2536e+00 0.308250 3.1568e-02 1.0275e-01 0.173920 0.308250
75 0.30624 1.9083e+00 0.437050 5.8211e-02 1.4568e-01 0.233160 0.437050
76 22.11200 1.0798e+01 8.786900 8.9258e-01 2.9290e+00 4.965400 1.464500
77 1.96660 3.3745e+00 1.136900 1.7508e-01 3.8006e-01 0.581780 0.590160
78 2.85240 7.2373e+00 1.161900 2.6884e-01 3.8730e-01 0.505760 0.488390
79 5.99140 8.1691e+00 3.744500 5.7762e-01 1.2482e+00 1.918700 1.196900
80 5.55750 9.8678e+00 1.156800 1.3297e-01 3.8563e-01 0.638170 0.307140
81 20.55400 2.3269e+01 10.591000 1.1319e+00 3.5521e+00 5.907500 1.316900
82 1.91030 4.3076e+00 0.841320 1.1430e-01 2.8044e-01 0.446580 0.536630
83 2.35410 1.6443e+00 0.669060 3.3732e-02 2.1320e-01 0.422140 0.328950
84 0.93125 2.1021e+00 0.673150 7.5787e-02 2.2438e-01 0.372980 0.673150
85 19.26800 1.8311e+01 11.397000 1.2421e+00 3.8275e+00 6.327300 1.818700
86 1.36780 3.8628e+00 0.411950 7.6513e-02 1.3732e-01 0.198120 0.314770
87 0.18048 1.1521e+00 0.200990 1.4762e-02 6.6461e-02 0.119770 0.200990
88 2.66360 4.2008e+00 3.067600 3.3579e-01 1.0225e+00 1.709300 1.366300
89 0.43893 1.0583e+00 0.253220 1.6588e-02 8.4373e-02 0.152260 0.253220
90 6.87190 1.2018e+01 2.186400 3.0244e-01 7.2879e-01 1.155100 0.414490
91 1819.90000 3.1444e+02 308.030000 4.5331e+01 1.0309e+02 159.610000 4.213100
92 11.83200 1.5992e+01 6.167600 4.9257e-01 2.0559e+00 3.619200 0.881190
93 0.24857 1.3107e+00 0.341980 3.5640e-02 1.1399e-01 0.192350 0.341980
94 5.49520 7.2426e+00 1.366200 1.4053e-01 4.3412e-01 0.791520 0.308450
95 12.09800 1.4625e+01 9.084800 1.2224e+00 3.1072e+00 4.755200 2.164200
96 6.60000 8.1717e+00 5.346300 5.9066e-01 1.7821e+00 2.973500 2.054700
97 15.11100 1.4807e+01 7.997500 9.0253e-01 2.6773e+00 4.417700 1.650800
98 3.71820 8.5025e+00 2.385800 4.4900e-01 7.9528e-01 1.141600 0.769780
99 28.31600 2.0808e+01 17.007000 2.5321e+00 5.6691e+00 8.806100 2.228500
100 0.63299 2.0537e+00 0.351320 4.4162e-02 1.1716e-01 0.189990 0.351320
101 1.03670 1.7607e+00 0.609320 4.8374e-02 2.0822e-01 0.352730 0.609320
102 415.81000 1.2843e+02 83.523000 7.3347e+00 2.7840e+01 48.348000 1.673900
103 15.80300 1.6512e+01 5.844100 6.7638e-01 1.9480e+00 3.219700 0.719350
104 0.26434 1.2107e+00 0.134480 7.1943e-03 4.3211e-02 0.084078 0.134480
105 0.26053 1.4060e+00 0.445010 4.5033e-02 1.4834e-01 0.251640 0.445010
106 0.25471 1.5036e+00 0.162410 1.9472e-02 5.4101e-02 0.088836 0.162410
107 1468.20000 3.1730e+02 316.370000 2.2463e+01 1.0852e+02 185.390000 4.056800
108 10.94200 1.0349e+01 8.567100 6.2340e-01 2.8669e+00 5.076700 1.888200
109 1.34800 3.4820e+00 0.704800 8.8023e-02 2.3493e-01 0.381840 0.546730
110 4.52610 5.3687e+00 4.644900 4.2770e-01 1.7210e+00 2.496100 2.697700
111 1.28750 2.6635e+00 0.461030 5.8763e-02 1.5709e-01 0.245180 0.423330
112 31.19600 2.1671e+01 15.564000 1.4409e+00 5.1879e+00 8.935000 1.699600
113 18.94100 1.2341e+01 8.894400 1.3296e+00 2.9648e+00 4.600000 1.482400
114 25.14300 1.5498e+01 13.179000 8.8723e-01 4.6492e+00 7.643100 2.196600
115 9.24950 1.2005e+01 3.808500 5.0073e-01 1.2695e+00 2.038300 0.648880
116 8.11000 9.6723e+00 4.383500 6.8828e-01 1.4612e+00 2.234000 1.183500
117 7.06890 8.8444e+00 4.269000 5.0495e-01 1.4230e+00 2.341100 1.289100
118 0.25480 2.2021e+00 0.521060 1.2993e-01 1.7398e-01 0.217150 0.521060
119 23.62900 2.2479e+01 13.478000 1.6597e+00 4.5366e+00 7.282100 2.134300
120 58.18700 3.6212e+01 20.135000 2.2629e+00 6.7518e+00 11.121000 1.630800
121 160.15000 7.4704e+01 57.927000 5.4431e+00 1.9685e+01 32.800000 2.419500
122 102.61000 3.9180e+01 38.102000 2.8721e+00 1.3070e+01 22.160000 3.084500
123 1.49700 2.8245e+00 1.391800 1.2527e-01 4.6930e-01 0.797240 1.059700
124 0.13904 1.4083e+00 0.542960 6.4503e-02 1.8097e-01 0.297480 0.542960
125 1339.80000 3.0506e+02 226.470000 4.1111e+01 7.5492e+01 109.870000 3.171400
126 0.99999 2.1072e+00 0.518820 5.3305e-02 1.7296e-01 0.292560 0.518820
127 0.24108 1.2595e+00 0.467950 4.0080e-02 1.5598e-01 0.271890 0.467950
128 8.60040 1.2102e+01 3.110000 2.9023e-01 1.0367e+00 1.783100 0.518330
129 207.08000 7.7119e+01 45.596000 5.8179e+00 1.5199e+01 24.579000 1.403500
130 13.28900 1.2732e+01 6.591700 6.6087e-01 2.1971e+00 3.733700 0.927350
131 6.75290 1.0666e+01 3.514100 4.4749e-01 1.1714e+00 1.895200 0.675280
132 101.00000 4.3952e+01 42.961000 3.2939e+00 1.4405e+01 25.262000 3.168200
133 115.52000 4.1964e+01 38.885000 2.5763e+00 1.3503e+01 22.805000 3.240400
134 14.23300 1.2686e+01 7.759100 8.4763e-01 2.6509e+00 4.260700 1.715000
135 1776.90000 3.1083e+02 299.710000 4.6857e+01 1.0009e+02 152.760000 4.127900
136 8.11950 1.2800e+01 4.998500 4.1931e-01 1.6662e+00 2.913000 0.833080
137 0.67700 4.6536e+00 0.886090 2.0295e-01 2.9536e-01 0.387780 0.886090
138 1.16560 2.3890e+00 0.224230 2.4394e-02 7.4741e-02 0.125100 0.197460
139 3.29900 9.1664e+00 1.252800 1.3762e-01 4.1760e-01 0.697570 0.427430
140 4.43640 7.6362e+00 3.844400 7.9645e-01 1.2838e+00 1.764200 0.953060
141 7.79040 1.3292e+01 4.235800 6.3051e-01 1.4119e+00 2.193400 0.728800
142 2.06450 4.0119e+00 0.567440 6.9363e-02 1.8917e-01 0.308910 0.291130
143 1.13880 2.1555e+00 0.777030 7.2838e-02 2.5901e-01 0.445180 0.722570
144 0.50559 2.2048e+00 0.849310 9.2468e-02 2.8804e-01 0.468800 0.849310
145 1.25510 1.3147e+00 0.321260 2.5443e-02 1.0531e-01 0.190520 0.320290
146 2.94760 6.1312e+00 0.952310 1.1666e-01 3.1733e-01 0.518320 0.357230
147 5.12100 1.1615e+01 3.087100 4.2671e-01 1.0339e+00 1.626400 0.928700
148 291.17000 7.5802e+01 75.802000 5.5443e+00 2.6612e+01 43.646000 3.742000
149 2.45650 2.0674e+00 1.474900 6.0538e-02 4.7866e-01 0.935670 0.719160
150 272.76000 1.0402e+02 79.848000 8.2341e+00 2.6616e+01 44.998000 2.281400
151 1.56340 3.9625e+00 0.499740 5.0658e-02 1.6777e-01 0.281310 0.333670
152 4.79580 7.8685e+00 1.146500 1.5180e-01 3.8218e-01 0.612550 0.342930
153 3.26780 6.0512e+00 4.702600 4.4911e-01 1.7584e+00 2.495100 3.251000
154 0.41870 2.0607e+00 0.411570 5.3012e-02 1.3719e-01 0.221370 0.411570
155 4.35300 4.0596e+00 1.062500 9.7530e-02 3.4836e-01 0.616630 0.529190
156 5.18990 5.7077e+00 2.617900 3.3594e-01 9.0656e-01 1.375400 1.460400
157 12.03000 1.3611e+01 8.777800 1.1350e+00 2.9259e+00 4.716900 1.527000
158 0.40326 2.0595e+00 0.354530 3.8130e-02 1.1818e-01 0.198220 0.354530
159 0.87533 2.2060e+00 0.542530 7.8175e-02 1.8084e-01 0.283510 0.542530
160 505.94000 1.5843e+02 105.050000 1.0839e+01 3.5016e+01 59.193000 2.397700
161 22.08000 1.9100e+01 13.065000 1.7791e+00 4.3549e+00 6.930700 1.670200
162 0.40012 2.0107e+00 0.230350 4.4075e-02 7.6784e-02 0.109490 0.230350
163 45.27100 4.5683e+01 12.865000 9.3644e-01 4.3265e+00 7.601800 0.714710
164 3.03020 7.8004e+00 0.889590 1.3612e-01 3.0181e-01 0.451650 0.341180
165 2.31030 3.5126e+00 1.941900 2.2067e-01 6.4731e-01 1.074000 1.138600
166 3.31850 3.9533e+00 3.114000 3.3520e-01 1.0372e+00 1.741600 1.391000
167 2.51870 3.8076e+00 1.087900 1.2905e-01 3.6262e-01 0.596250 0.467350
168 12.58400 2.3273e+01 5.758600 9.5518e-01 1.9357e+00 2.867700 0.809150
169 1.51820 2.4190e+00 0.525720 8.2654e-02 1.7527e-01 0.267790 0.426110
170 1.17060 2.2218e+00 0.795870 7.3090e-02 2.6529e-01 0.457490 0.717860
171 3.77270 7.8319e+00 1.784900 3.4142e-01 5.9495e-01 0.848480 0.605590
172 3.07030 5.2457e+00 3.623500 4.9018e-01 1.2078e+00 1.925500 1.703200
173 2.31860 4.6048e+00 1.004700 1.6977e-01 3.4204e-01 0.492900 1.004700
174 13.49300 1.1844e+01 6.303300 6.0812e-01 2.1011e+00 3.594100 1.151600
175 1.66380 2.8607e+00 1.029800 1.4803e-01 3.4325e-01 0.538470 0.776460
176 0.67198 3.2048e+00 0.901780 2.1559e-01 3.0059e-01 0.385590 0.901780
177 2.35650 5.4577e+00 0.766400 9.8117e-02 2.6166e-01 0.406620 0.405870
178 0.55018 1.5583e+00 0.478480 4.5475e-02 1.5949e-01 0.273520 0.478480
179 10.45100 1.0100e+01 6.434700 6.1062e-01 2.1449e+00 3.679200 1.090900
180 6.96640 9.7320e+00 7.668900 5.1180e-01 2.6991e+00 4.458000 2.674000
181 1.46380 2.8111e+00 0.768330 4.7255e-02 2.6941e-01 0.451670 0.547840
182 297.08000 9.3870e+01 97.292000 2.7473e+00 3.4309e+01 60.236000 4.104000
183 30.59700 1.4243e+01 16.310000 4.8673e-01 5.4263e+00 10.397000 1.774100
184 2.13240 5.5274e+00 0.520940 5.3204e-02 1.7365e-01 0.294090 0.253920
185 29.58600 2.1456e+01 14.266000 1.9491e+00 4.9277e+00 7.389400 2.377700
186 0.13717 1.0607e+00 0.234360 2.0380e-02 7.7807e-02 0.136170 0.234360
187 0.68913 2.3036e+00 0.706840 8.7354e-02 2.3930e-01 0.380190 0.706840
188 0.42730 3.6095e+00 0.655830 7.9227e-02 2.6283e-01 0.313770 0.655830
189 1.26720 4.2032e+00 0.479050 8.5082e-02 1.6658e-01 0.227390 0.396580
190 1.52420 6.6946e+00 0.514940 8.8288e-02 1.9299e-01 0.233660 0.352580
191 0.84496 3.3607e+00 0.801550 1.0339e-01 2.8165e-01 0.416510 0.801550
192 6.34320 1.3338e+01 4.257100 3.8868e-01 1.5404e+00 2.327900 1.028600
193 1.63490 2.8441e+00 0.504480 7.4537e-02 1.6846e-01 0.261480 0.427380
194 25.00500 2.2421e+01 10.226000 1.7152e+00 3.4575e+00 5.053300 1.704300
195 15.94200 2.4408e+01 8.418500 1.2719e+00 2.8062e+00 4.340500 1.189400
196 12.36600 1.7073e+01 7.633300 1.1678e+00 2.5443e+00 3.921200 1.272200
197 0.59467 1.5607e+00 0.184130 1.4079e-02 6.0557e-02 0.109500 0.184130
198 3.47830 7.5798e+00 3.286600 3.9873e-01 1.0955e+00 1.792400 1.073000
199 6.17680 9.0284e+00 4.906500 5.4923e-01 1.6355e+00 2.721800 1.422000
200 26.91500 1.1851e+01 5.635100 2.9174e-01 1.8784e+00 3.465000 0.449250
201 23.57700 1.5845e+01 13.527000 9.5924e-01 4.4960e+00 8.071900 1.488500
202 1192.40000 2.3423e+02 234.230000 1.5545e+01 8.0764e+01 137.920000 3.780900
203 7.44900 9.3235e+00 2.469200 3.0280e-01 8.2306e-01 1.343300 0.553540
204 0.79288 2.0048e+00 0.358460 3.6500e-02 1.1949e-01 0.202470 0.358460
205 0.22448 1.6583e+00 0.132910 1.5086e-02 4.4304e-02 0.073522 0.132910
206 7.12470 1.0405e+01 2.527700 2.7199e-01 8.4257e-01 1.413200 0.526030
207 23.72800 1.2217e+01 11.349000 9.3444e-01 3.7829e+00 6.631400 1.891500
208 0.33234 1.9521e+00 0.422890 4.3846e-02 1.4078e-01 0.238270 0.422890
209 0.15604 2.0107e+00 0.080919 1.4197e-02 2.6973e-02 0.039749 0.080919
210 0.96216 4.3607e+00 1.996200 3.5270e-01 7.3072e-01 0.912790 1.996200
211 114.34000 7.9199e+01 12.541000 7.5397e-01 3.9420e+00 7.845000 0.307300
212 9.20160 1.0600e+01 0.753450 5.4692e-02 2.1675e-01 0.482000 0.128590
213 4.15230 6.9876e+00 5.823300 8.0775e-01 2.1865e+00 2.829100 2.616700
214 80.14400 4.6209e+01 46.209000 2.3202e+00 1.6639e+01 27.250000 4.063300
215 11.30300 8.8083e+00 8.143900 9.0175e-01 2.7880e+00 4.454100 2.674400
216 104.88000 6.0861e+01 33.745000 2.2840e+00 1.1355e+01 20.106000 1.576700
217 871.97000 2.1065e+02 172.130000 2.2762e+01 5.7507e+01 91.857000 3.312700
218 33.32900 2.0105e+01 17.854000 1.0600e+00 6.0215e+00 10.773000 2.365000
219 1.53340 6.7246e+00 0.678940 1.1938e-01 2.4915e-01 0.310410 0.462100
220 2.42270 7.4660e+00 1.408800 1.9744e-01 6.0497e-01 0.606420 0.774300
221 2.70360 1.0235e+01 1.118300 2.1892e-01 3.7359e-01 0.525800 0.451720
222 2.22100 4.4936e+00 2.277800 2.9214e-01 7.5906e-01 1.226600 1.039200
223 56.41900 3.8560e+01 33.713000 3.9657e+00 1.2481e+01 17.266000 4.002400
224 3.21710 5.4067e+00 3.198900 5.0742e-01 1.0655e+00 1.626000 1.054300
225 11.04900 1.0022e+01 6.797400 8.8028e-01 2.2658e+00 3.651300 2.089300
226 9.10160 1.3526e+01 5.098100 4.7322e-01 1.6994e+00 2.925500 0.906090
227 2.13170 3.4454e+00 2.238400 1.8140e-01 7.4488e-01 1.312200 1.091400
228 570.55000 1.7891e+02 122.830000 1.1175e+01 4.1425e+01 70.227000 2.847900
229 0.55062 1.5607e+00 0.429660 7.7869e-02 1.4322e-01 0.208570 0.429660
230 1134.30000 2.6701e+02 280.720000 9.0844e+00 1.0287e+02 168.760000 4.259400
231 2.49800 7.5305e+00 0.596020 1.0982e-01 1.9867e-01 0.287530 0.253870
232 0.19374 1.3072e+00 0.089181 6.8875e-03 2.9052e-02 0.053242 0.089181
233 2.13200 6.7373e+00 1.062000 1.8603e-01 3.5421e-01 0.521800 0.596310
234 0.76194 2.7533e+00 0.604190 6.3258e-02 2.1026e-01 0.330670 0.604190
235 0.68086 1.6595e+00 0.500050 4.8218e-02 1.6668e-01 0.285150 0.500050
236 91.67100 5.1142e+01 38.579000 4.2455e+00 1.2860e+01 21.474000 2.315200
237 0.13204 3.9583e+00 1.065700 1.7227e-01 3.6290e-01 0.530550 1.065700
238 3.40630 4.8440e+00 4.180100 2.1087e-01 1.3924e+00 2.576800 1.834400
239 0.68943 2.9083e+00 1.422300 1.0109e-01 5.2134e-01 0.799910 1.422300
240 0.33998 1.0021e+00 0.141460 8.5344e-03 4.6074e-02 0.086850 0.141460
241 0.23699 4.3021e+00 0.791590 1.0121e-01 2.8373e-01 0.406650 0.791590
242 0.38531 8.5834e-01 0.307020 1.3746e-02 1.0052e-01 0.192750 0.307020
243 1.39980 5.6008e+00 1.500900 1.9354e-01 6.0352e-01 0.703820 1.119900
244 1.03910 4.3021e+00 0.922640 1.1133e-01 3.5508e-01 0.456230 0.922640
245 0.74027 4.3607e+00 0.462760 8.0214e-02 1.5616e-01 0.226380 0.462760
246 1.14890 4.7459e+00 0.781730 1.2095e-01 2.6511e-01 0.395670 0.721410
247 0.70137 3.9017e+00 0.221850 2.2302e-02 7.3991e-02 0.125560 0.221850
248 0.20905 1.6572e+00 0.571240 6.7930e-02 1.9041e-01 0.312890 0.571240
249 0.14349 1.7548e+00 0.427460 6.1656e-02 1.4249e-01 0.223320 0.427460
250 0.36467 1.6083e+00 0.391630 4.1165e-02 1.3054e-01 0.219920 0.391630
251 6.48030 1.0033e+01 0.927470 1.3720e-01 3.0985e-01 0.480420 0.184030
252 0.39727 1.5021e+00 0.202140 1.1135e-02 6.7961e-02 0.123040 0.202140
253 0.91149 1.8537e+00 0.853540 9.0548e-02 2.8470e-01 0.478290 0.853540
254 8.82880 1.0007e+01 3.408500 3.8427e-01 1.1366e+00 1.887700 0.568090
255 0.15408 1.1607e+00 0.248750 1.9134e-02 8.2884e-02 0.146730 0.248750
256 3.97440 7.0358e+00 1.818900 2.6959e-01 6.0630e-01 0.943020 0.555330
257 11.37600 1.1916e+01 6.855100 5.3477e-01 2.3793e+00 3.941100 1.201300
258 1239.10000 2.4522e+02 245.220000 1.6110e+01 8.4660e+01 144.450000 4.302100
259 4.17470 7.2663e+00 2.047300 3.4325e-01 6.9634e-01 1.007700 1.120500
260 17.35700 2.6699e+01 6.962400 1.0752e+00 2.3208e+00 3.566400 0.717880
261 9.71060 1.0044e+01 6.063600 5.2879e-01 2.0212e+00 3.513600 1.164200
262 93.12400 4.1469e+01 38.455000 3.0598e+00 1.2818e+01 22.577000 2.614600
263 0.27048 2.2560e+00 0.223910 3.9686e-02 7.4635e-02 0.109580 0.223910
264 11.25800 8.7446e+00 4.909300 5.0743e-01 1.6342e+00 2.767700 0.827770
265 4.99140 4.8278e+00 2.460600 3.0167e-01 8.2018e-01 1.338700 0.757720
266 1.83880 3.0441e+00 1.229200 1.1342e-01 4.0972e-01 0.706020 0.790840
267 6.00070 8.9099e+00 4.209400 4.3955e-01 1.4034e+00 2.366400 1.018900
268 12.26600 1.3237e+01 7.898300 7.9014e-01 2.6328e+00 4.475400 1.554500
269 599.78000 1.6074e+02 160.740000 1.6716e+01 5.4816e+01 89.203000 4.181100
270 0.86239 3.3021e+00 0.309020 4.1432e-02 1.0394e-01 0.163650 0.309020
271 71.71400 3.6078e+01 21.030000 1.8409e+00 7.0057e+00 12.183000 1.036500
272 93.12400 5.1504e+01 51.504000 3.6922e+00 1.7906e+01 29.906000 3.994300
273 0.91793 2.9048e+00 0.541960 1.1186e-01 1.8065e-01 0.249440 0.541960
274 2.53740 8.5158e+00 0.796020 1.7112e-01 2.7847e-01 0.346430 0.330770
275 0.69596 3.9017e+00 0.262440 2.7370e-02 8.8301e-02 0.146770 0.262440
276 1.48600 2.4179e+00 0.984680 1.0305e-01 3.2823e-01 0.553400 0.895050
277 0.54834 1.4521e+00 0.364610 4.3856e-02 1.2154e-01 0.199220 0.364610
278 0.12584 1.6083e+00 0.364530 3.5836e-02 1.2148e-01 0.207220 0.364530
279 0.25726 1.8537e+00 0.092220 1.3880e-02 3.0763e-02 0.047577 0.092220
280 0.21459 1.1583e+00 0.263340 3.0609e-02 8.7380e-02 0.145350 0.263340
281 4.95560 1.0591e+01 1.985400 2.9299e-01 6.6179e-01 1.030600 0.486470
282 0.71442 4.4583e+00 1.169800 2.2702e-01 3.9245e-01 0.550380 1.169800
283 1097.60000 2.7638e+02 212.410000 2.3358e+01 7.1045e+01 118.010000 3.238000
284 13.17700 2.0743e+01 4.430400 4.3642e-01 1.4768e+00 2.517200 0.553020
285 7.95480 1.0895e+01 3.028400 3.5368e-01 1.0095e+00 1.665300 0.512750
286 0.36338 1.6107e+00 0.375110 2.7979e-02 1.2504e-01 0.222090 0.375110
287 0.93604 3.5107e+00 0.571000 8.9489e-02 1.9442e-01 0.287090 0.571000
288 950.39000 2.0892e+02 187.100000 2.2411e+01 6.2389e+01 102.300000 3.598100
289 10.66300 1.5032e+01 4.137500 3.5558e-01 1.4516e+00 2.330300 0.689580
290 22.28600 2.9166e+01 10.853000 1.7632e+00 3.6226e+00 5.467600 1.368500
291 1.03370 4.3607e+00 1.095800 1.7593e-01 3.7042e-01 0.549430 1.095800
292 5.42770 6.9677e+00 4.667400 2.6817e-01 1.6398e+00 2.759400 1.590100
293 6.71410 9.3863e+00 1.822700 1.8489e-01 6.0740e-01 1.030400 0.346850
294 3.00260 6.1604e+00 2.119300 2.6036e-01 7.0667e-01 1.152300 0.906220
295 0.41834 1.9556e+00 0.521120 7.7302e-02 1.7369e-01 0.270130 0.521120
296 0.54040 2.1021e+00 0.641500 7.5316e-02 2.1383e-01 0.352350 0.641500
297 1.42980 5.7614e+00 0.880080 1.6885e-01 3.1647e-01 0.394760 0.642630
298 0.32050 4.4095e+00 0.556930 9.5295e-02 1.9460e-01 0.267040 0.556930
299 2.54820 8.5326e+00 2.008100 3.4614e-01 7.0351e-01 0.958450 0.995770
300 31.34800 3.8019e+01 18.881000 2.0146e+00 6.5488e+00 10.318000 2.047000
301 0.32134 4.4095e+00 0.397070 6.3526e-02 1.3774e-01 0.195810 0.397070
302 440.19000 1.2998e+02 111.780000 8.6590e+00 3.7274e+01 65.843000 2.858000
303 0.64948 1.5607e+00 0.494630 3.1338e-02 1.6939e-01 0.293900 0.494630
304 0.49535 1.5107e+00 0.365890 3.3235e-02 1.2196e-01 0.210690 0.365890
305 5.88600 1.1618e+01 2.857400 4.8725e-01 9.5247e-01 1.417700 0.664280
306 3.45210 5.5102e+00 2.369900 2.0826e-01 7.8985e-01 1.371800 0.738080
307 11.80200 1.1582e+01 7.211100 5.0463e-01 2.4037e+00 4.302800 1.165900
308 0.47211 1.8107e+00 0.440170 4.4961e-02 1.4672e-01 0.248490 0.440170
309 15.62800 1.1133e+01 7.555900 5.6843e-01 2.4954e+00 4.492000 0.850910
310 5.74090 8.0970e+00 3.012500 3.1882e-01 1.0042e+00 1.689500 0.715420
311 41.73200 2.4471e+01 21.625000 1.7105e+00 7.3439e+00 12.571000 3.092300
312 0.61479 1.9107e+00 0.270530 3.6723e-02 9.0216e-02 0.143590 0.270530
313 622.92000 1.8838e+02 186.220000 1.8646e+01 6.3097e+01 104.480000 4.234100
314 7.41010 1.0808e+01 1.756100 2.6755e-01 5.8562e-01 0.902910 0.339410
315 3.92320 7.2312e+00 2.462000 3.5831e-01 8.2066e-01 1.283000 0.801520
316 1.38140 2.5856e+00 0.720540 8.8542e-02 2.4019e-01 0.391810 0.544980
317 161.03000 6.3809e+01 50.984000 4.6156e+00 1.7003e+01 29.365000 2.216700
318 736.66000 1.7724e+02 172.800000 8.4434e+00 5.8406e+01 105.950000 3.642100
319 1.97480 5.2269e+00 1.745700 3.9125e-01 5.9873e-01 0.755740 1.487100
320 0.39393 1.8048e+00 0.235570 2.0828e-02 7.8522e-02 0.136220 0.235570
321 0.39042 1.7560e+00 0.290060 5.4634e-02 9.6937e-02 0.138490 0.290060
322 0.70166 9.0443e-01 0.193280 7.3425e-03 6.0466e-02 0.125470 0.193280
323 64.20400 4.0474e+01 18.257000 1.7882e+00 6.0855e+00 10.383000 0.962940
324 7.24300 7.4948e+00 2.600900 1.4217e-01 8.6696e-01 1.591800 0.473390
325 86.09800 4.4398e+01 42.299000 5.2282e+00 1.4100e+01 22.971000 1.839100
326 571.78000 1.5740e+02 138.540000 1.4411e+01 4.6181e+01 77.950000 2.755400
327 2.13670 4.2191e+00 0.954230 9.1175e-02 3.1808e-01 0.544980 0.446210
328 4.45650 6.1300e+00 0.713340 1.0377e-01 2.3776e-01 0.371810 0.190270
329 73.05800 3.3208e+01 34.676000 8.9467e-01 1.2741e+01 21.040000 4.181700
330 0.49011 2.5521e+00 0.707480 9.2250e-02 2.3621e-01 0.379020 0.707480
331 13.99600 1.4848e+01 8.400800 6.9748e-01 2.8496e+00 4.853700 1.430100
332 3.25950 7.4971e+00 1.940200 2.2943e-01 6.6864e-01 1.042100 0.785130
333 5.16080 5.6377e+00 4.332000 6.6956e-01 1.4440e+00 2.218400 1.873400
334 127.54000 5.2170e+01 45.468000 3.5155e+00 1.5156e+01 26.796000 2.754300
335 10.92300 1.7604e+01 5.447000 4.9986e-01 1.8157e+00 3.131500 0.797430
336 1.95950 3.5647e+00 1.180000 1.0792e-01 3.9335e-01 0.678770 0.713680
337 0.62104 2.6607e+00 0.831590 9.9299e-02 2.8989e-01 0.442400 0.831590
338 0.32017 4.3021e+00 0.583340 1.1684e-01 1.9980e-01 0.266690 0.583340
339 3.51120 7.1482e+00 3.018700 6.0836e-01 1.0062e+00 1.404100 0.904890
340 13.81500 1.2239e+01 6.143500 8.2948e-01 2.0478e+00 3.266200 1.081900
341 0.22725 1.0607e+00 0.234370 1.7054e-02 7.7538e-02 0.139780 0.234370
342 8.77670 9.2209e+00 1.286500 1.1216e-01 4.2440e-01 0.749900 0.226680
343 4.49590 5.9222e+00 2.000400 2.2824e-01 6.6679e-01 1.105400 0.606690
344 1.20380 3.2014e+00 0.747290 1.5772e-01 2.4910e-01 0.340470 0.594730
345 1.40170 3.4983e+00 0.485400 5.7704e-02 1.6180e-01 0.265900 0.361680
346 0.17657 1.1607e+00 0.231720 1.7053e-02 7.7135e-02 0.137530 0.231720
347 20.33100 2.1233e+01 11.573000 1.4969e+00 3.8578e+00 6.218600 1.350600
348 1.10550 1.7653e+00 0.806530 4.8511e-02 2.8289e-01 0.475130 0.777260
349 1373.30000 2.7472e+02 274.720000 1.5256e+01 9.5710e+01 163.760000 4.360700
350 14.28100 1.2451e+01 4.844500 3.7618e-01 1.6147e+00 2.853600 0.686300
351 61.95600 4.4221e+01 18.794000 1.2401e+00 6.2508e+00 11.303000 0.761700
352 0.29385 1.9083e+00 0.340090 3.2574e-02 1.1346e-01 0.194050 0.340090
353 3.87720 7.0315e+00 2.711200 2.5916e-01 9.1504e-01 1.537000 0.921500
354 0.28554 1.6056e+00 0.426810 3.8138e-02 1.4227e-01 0.246400 0.426810
355 39.86000 3.3871e+01 20.106000 3.0201e+00 6.7019e+00 10.384000 1.760000
356 0.16772 1.6595e+00 0.320010 3.3692e-02 1.0667e-01 0.179650 0.320010
357 0.71694 2.0521e+00 0.330490 5.1795e-02 1.1031e-01 0.168380 0.330490
358 0.94155 1.7591e+00 0.458480 3.9519e-02 1.5283e-01 0.266140 0.458480
359 3.90470 6.2091e+00 2.695600 3.0465e-01 8.9855e-01 1.492400 0.998130
360 9.44200 9.4464e+00 4.069900 4.1289e-01 1.3565e+00 2.300400 0.661380
361 1.19150 2.1573e+00 0.604710 5.7185e-02 2.0382e-01 0.343710 0.589890
362 119.57000 4.8619e+01 43.983000 4.8474e+00 1.4661e+01 24.474000 2.295300
363 0.65625 1.8060e+00 0.516020 6.7166e-02 1.7201e-01 0.276850 0.516020
364 1.40370 2.6479e+00 0.608290 7.6245e-02 2.0277e-01 0.329280 0.495500
365 1.22310 3.0100e+00 0.662500 9.6421e-02 2.2316e-01 0.342910 0.569680
366 557.10000 2.0169e+02 97.854000 1.6114e+01 3.2618e+01 49.122000 1.716700
367 9.50770 1.1346e+01 6.824000 4.8109e-01 2.2734e+00 4.069600 1.137300
368 1021.30000 2.5006e+02 197.040000 1.3997e+01 6.5804e+01 117.240000 2.798800
369 18.96600 2.3041e+01 8.609300 9.8630e-01 2.8782e+00 4.744800 0.913450
370 215.57000 8.9363e+01 85.114000 9.6028e+00 2.8371e+01 47.140000 3.317700
371 1.20650 1.9021e+00 1.144100 9.2150e-02 3.8137e-01 0.670620 1.144100
372 91.14600 5.3390e+01 24.937000 2.4846e+00 8.3123e+00 14.140000 0.876560
373 282.86000 8.1437e+01 68.787000 6.9449e+00 2.3037e+01 38.806000 3.030100
374 11.59400 1.1641e+01 7.866400 5.0110e-01 2.6221e+00 4.743100 1.382600
375 0.90016 2.8048e+00 0.748540 8.9591e-02 2.6914e-01 0.389820 0.748540
376 0.18546 1.5521e+00 0.400710 7.0920e-02 1.3360e-01 0.196190 0.400710
377 6.45530 6.9785e+00 6.148800 5.9056e-01 2.0478e+00 3.510400 2.674200
378 3.09350 8.0936e+00 0.895630 1.3029e-01 2.9858e-01 0.466760 0.355040
379 183.17000 6.5913e+01 49.158000 4.6527e+00 1.6355e+01 28.150000 1.630600
380 1.91360 4.8933e+00 0.827870 7.4093e-02 2.9882e-01 0.454960 0.455530
381 2.00320 5.3059e+00 0.805340 9.9290e-02 2.8456e-01 0.421490 0.424760
382 1.82700 2.9241e+00 0.635710 9.5477e-02 2.1322e-01 0.327020 0.478420
383 27.76300 1.9539e+01 11.741000 8.4661e-01 3.8970e+00 6.996900 1.229800
384 35.51200 3.0311e+01 9.541500 1.0769e+00 3.1805e+00 5.284100 0.795130
385 105.74000 3.8790e+01 32.129000 2.3721e+00 1.0712e+01 19.046000 2.292000
386 31.71500 2.5512e+01 15.005000 1.4223e+00 5.0016e+00 8.581400 1.250400
387 1.59090 3.3504e+00 0.723070 6.1908e-02 2.4157e-01 0.419600 0.538280
388 1870.30000 3.2184e+02 314.940000 4.7295e+01 1.0530e+02 162.350000 4.209000
389 1.35760 3.2534e+00 0.084357 9.1225e-03 2.6189e-02 0.049046 0.068989
390 0.40906 1.7048e+00 0.379100 3.5780e-02 1.2637e-01 0.216950 0.379100
391 0.16694 3.9017e+00 0.379760 4.0796e-02 1.3346e-01 0.205510 0.379760
392 581.71000 1.5683e+02 151.970000 1.7272e+01 5.0654e+01 84.042000 3.160200
393 0.57037 1.6095e+00 0.453110 4.8317e-02 1.5104e-01 0.253760 0.453110
394 0.25740 1.8048e+00 0.212720 2.9748e-02 7.1000e-02 0.111980 0.212720
395 1.63210 3.4298e+00 1.334000 1.3119e-01 4.5945e-01 0.743350 0.853960
396 2.19520 4.8568e+00 0.754000 1.4727e-01 2.5133e-01 0.355400 0.365900
397 2.83910 5.4437e+00 0.375200 4.5116e-02 1.2494e-01 0.205150 0.169960
398 140.71000 8.4787e+01 46.053000 4.9708e+00 1.5351e+01 25.731000 1.821100
399 27.38600 2.7403e+01 12.776000 1.7362e+00 4.2588e+00 6.781400 1.258200
400 0.30685 1.9021e+00 0.379140 2.8563e-02 1.2641e-01 0.224160 0.379140
401 0.78928 2.1572e+00 0.343220 3.5566e-02 1.1507e-01 0.192590 0.343220
402 19.16800 1.1866e+01 8.848200 8.4080e-01 2.9494e+00 5.058000 1.474700
403 2.16840 4.3561e+00 0.909250 1.8847e-01 3.0308e-01 0.417700 0.446150
404 15.48400 1.0072e+01 7.561700 7.1072e-01 2.5163e+00 4.334800 1.260300
405 1.30160 2.2980e+00 0.545870 4.2182e-02 1.8505e-01 0.318630 0.439250
406 0.97529 1.8056e+00 0.315380 2.8064e-02 1.0513e-01 0.182190 0.315380
407 2.84000 6.7046e+00 0.559710 5.7780e-02 1.8657e-01 0.315360 0.239330
408 0.16672 1.2595e+00 0.220400 1.9773e-02 7.3466e-02 0.127160 0.220400
409 3.85630 9.0822e+00 1.289600 1.9660e-01 4.2987e-01 0.663140 0.464000
410 40.40600 3.1967e+01 10.878000 9.4146e-01 3.6154e+00 6.321000 0.604330
411 16.28200 1.6832e+01 9.023200 8.7242e-01 3.0239e+00 5.126800 1.231300
412 13.52800 1.1920e+01 7.955900 4.3733e-01 2.6193e+00 4.899300 1.163800
413 10.18300 1.0897e+01 4.294300 3.6870e-01 1.4314e+00 2.494200 0.715710
414 1.04420 1.8583e+00 0.508860 3.7771e-02 1.6962e-01 0.301470 0.506480
415 0.17962 1.9521e+00 0.598200 4.8873e-02 1.9940e-01 0.349920 0.598200
416 1.84820 3.2936e+00 0.527750 8.4620e-02 1.7592e-01 0.267210 0.440820
417 305.08000 8.4489e+01 81.243000 3.8803e+00 2.7447e+01 49.916000 2.756600
418 638.78000 1.9792e+02 155.840000 1.9323e+01 5.2014e+01 84.508000 3.245100
419 2.65990 5.0016e+00 0.569850 7.6650e-02 1.8995e-01 0.303250 0.269950
420 57.18300 3.3616e+01 21.757000 2.0653e+00 7.2516e+00 12.440000 1.208700
421 6.41260 7.0161e+00 1.805300 1.5261e-01 6.0168e-01 1.051000 0.358360
422 1.95770 5.1947e+00 0.688900 9.4880e-02 2.3269e-01 0.361330 0.371130
423 188.07000 9.6568e+01 50.735000 6.0715e+00 1.6928e+01 27.735000 1.823000
424 1.38540 2.6650e+00 0.468380 3.9768e-02 1.5613e-01 0.272480 0.353200
425 2.22050 6.0948e+00 0.912510 1.3896e-01 3.0635e-01 0.467200 0.492970
426 0.59942 1.4021e+00 0.367850 2.8366e-02 1.2418e-01 0.215300 0.367850
427 1.40460 3.6338e+00 0.320620 5.1223e-02 1.0687e-01 0.162530 0.238390
428 26.35100 1.7828e+01 11.069000 1.9079e+00 3.6905e+00 5.470400 1.239500
429 0.68702 1.8607e+00 0.380390 5.1298e-02 1.2680e-01 0.202300 0.380390
430 0.41020 1.5595e+00 0.404060 3.8057e-02 1.3469e-01 0.231320 0.404060
431 12.93700 1.2935e+01 3.316000 4.4993e-01 1.1054e+00 1.760600 0.438590
432 15.00000 1.0386e+01 6.296900 1.0257e+00 2.0990e+00 3.172300 1.348900
433 8.68210 1.0724e+01 4.492400 6.8615e-01 1.4975e+00 2.308800 0.878210
434 0.50091 1.5607e+00 0.451360 4.1080e-02 1.5045e-01 0.259830 0.451360
435 3.91350 9.7697e+00 1.170200 1.2312e-01 3.9007e-01 0.657030 0.329300
436 1748.70000 3.7624e+02 385.190000 7.9476e+00 1.3428e+02 242.960000 4.349000
437 3.04130 7.1695e+00 2.338100 3.2280e-01 7.7937e-01 1.235900 1.048500
438 0.22069 2.0107e+00 0.206840 3.0391e-02 6.9102e-02 0.107350 0.206840
439 0.59411 1.6083e+00 0.382790 3.3513e-02 1.2760e-01 0.221680 0.382790
440 912.94000 2.7537e+02 175.190000 1.7666e+01 5.8497e+01 99.030000 2.367500
441 0.59211 2.5021e+00 0.463020 6.2554e-02 1.5434e-01 0.246130 0.463020
442 130.58000 5.2049e+01 44.348000 3.1520e+00 1.4878e+01 26.319000 1.843300
443 0.54733 1.6107e+00 0.314890 2.9018e-02 1.0558e-01 0.180290 0.314890
444 13.79100 1.4202e+01 8.937600 8.8234e-01 3.0490e+00 5.006300 1.607900
445 41.44900 2.5520e+01 14.644000 1.5405e+00 4.8812e+00 8.222300 1.220300
446 2.08930 2.1124e+00 1.607200 1.4671e-01 5.3281e-01 0.927720 0.792550
447 519.97000 1.6179e+02 107.230000 1.0953e+01 3.5872e+01 60.407000 2.349400
448 336.24000 1.6536e+02 60.659000 1.1829e+01 2.0220e+01 28.610000 1.230500
449 0.26119 1.7036e+00 0.382800 5.7183e-02 1.2759e-01 0.198030 0.382800
450 1386.30000 2.7520e+02 275.200000 8.0963e+00 9.4063e+01 173.040000 4.354500
451 6.60510 1.1182e+01 5.873400 9.4674e-01 1.9578e+00 2.968900 1.522400
452 0.36530 2.1560e+00 0.065672 9.0918e-03 2.1353e-02 0.035227 0.065672
453 1.20870 2.3545e+00 0.480610 5.2996e-02 1.6020e-01 0.267410 0.419370
454 0.95055 2.0583e+00 0.362690 3.6099e-02 1.2273e-01 0.203860 0.362690
455 466.82000 1.2597e+02 110.990000 7.4480e+00 3.6998e+01 66.548000 2.412900
456 3.55050 7.2549e+00 1.785000 2.1875e-01 5.9500e-01 0.971250 0.572950
457 2000.70000 3.3971e+02 339.710000 2.1692e+01 1.1330e+02 204.720000 4.246400
458 4.92300 9.6785e+00 2.383000 4.2003e-01 7.9435e-01 1.168700 0.586980
459 73.64300 5.0610e+01 29.740000 3.5510e+00 9.9935e+00 16.195000 1.990800
460 359.18000 1.1281e+02 97.290000 9.8946e+00 3.2461e+01 54.935000 2.834500
461 5.79240 1.0157e+01 2.427600 4.0928e-01 8.0920e-01 1.209100 0.525850
462 0.31700 1.5083e+00 0.418110 3.3881e-02 1.3937e-01 0.244860 0.418110
463 2.45440 6.2183e+00 0.588890 6.9923e-02 1.9630e-01 0.322670 0.253470
464 0.42144 1.4107e+00 0.359060 3.3066e-02 1.1969e-01 0.206310 0.359060
465 1.00220 1.9521e+00 0.553180 5.9492e-02 1.8607e-01 0.307620 0.553180
466 0.64313 2.1083e+00 0.474550 5.7330e-02 1.5818e-01 0.259040 0.474550
467 0.60896 1.4521e+00 0.371780 2.4427e-02 1.2688e-01 0.220460 0.371780
468 10.31100 1.5351e+01 2.936500 4.5018e-01 9.7882e-01 1.507500 0.489410
469 1.84280 3.8319e+00 0.615580 9.4995e-02 2.0654e-01 0.314050 0.322560
470 0.63700 2.0107e+00 0.534160 6.7340e-02 1.7805e-01 0.288770 0.534160
471 1.69090 3.8830e+00 1.614900 1.3979e-01 5.7064e-01 0.904430 1.276400
472 0.33124 2.2017e+00 0.364220 6.9546e-02 1.2141e-01 0.173270 0.364220
473 7.53760 7.1664e+00 6.929300 5.8611e-01 2.4052e+00 3.938000 2.936400
474 0.28869 1.9095e+00 0.459080 5.2992e-02 1.5303e-01 0.253060 0.459080
475 15.03200 1.4526e+01 8.406000 7.6846e-01 2.8213e+00 4.816300 1.269400
476 0.24224 9.5834e-01 0.230410 1.0059e-02 7.6596e-02 0.143760 0.230410
477 13.14900 1.0862e+01 8.718200 5.9643e-01 2.9061e+00 5.215700 1.581200
478 0.20526 1.1521e+00 0.203520 1.7892e-02 6.7838e-02 0.117790 0.203520
479 1049.20000 2.8961e+02 177.510000 3.4622e+01 5.9170e+01 83.717000 2.502600
480 5.24220 9.9831e+00 1.458100 1.1486e-01 4.8604e-01 0.857220 0.341690
481 1.24440 1.5091e+00 0.566070 3.0376e-02 1.9320e-01 0.342500 0.566070
482 0.90904 1.9583e+00 0.428340 4.9239e-02 1.4278e-01 0.236320 0.428340
483 1.65200 2.8417e+00 0.638510 5.5645e-02 2.1701e-01 0.365860 0.439720
484 4.92170 8.2983e+00 2.998300 3.8817e-01 9.9969e-01 1.610500 0.738700
485 7.90890 1.6692e+01 2.056000 3.0334e-01 6.8533e-01 1.067300 0.370470
486 4.43130 8.2961e+00 1.774700 2.3685e-01 5.9156e-01 0.946270 0.475530
487 0.38818 1.3107e+00 0.449130 2.9050e-02 1.5112e-01 0.268960 0.449130
488 3.34870 9.4250e+00 1.151100 2.0116e-01 3.8371e-01 0.566250 0.387870
489 0.31006 1.4595e+00 0.388030 2.5402e-02 1.3051e-01 0.232120 0.388030
490 687.43000 1.6293e+02 156.020000 1.3770e+01 5.2005e+01 90.240000 2.970400
491 12.74600 1.9646e+01 5.403100 6.4550e-01 1.8072e+00 2.950400 0.788700
492 0.25860 1.4536e+00 0.323510 3.9076e-02 1.0768e-01 0.176750 0.323510
493 0.40630 1.6083e+00 0.382120 2.5573e-02 1.2726e-01 0.229290 0.382120
494 2.26530 4.2846e+00 0.611330 6.3728e-02 2.0378e-01 0.343820 0.288420
495 8.09520 1.1149e+01 2.671700 3.2221e-01 8.9059e-01 1.458900 0.445280
496 9.20260 9.3561e+00 6.488500 6.7836e-01 2.1629e+00 3.647300 1.576100
497 1.27410 2.9983e+00 2.114800 1.2322e-01 7.7849e-01 1.213100 1.917700
498 26.50700 2.1924e+01 14.627000 1.2588e+00 4.8755e+00 8.492300 1.704100
499 14.12600 9.7370e+00 2.486800 1.0243e-01 7.4455e-01 1.639800 0.301780
500 0.36403 1.8544e+00 0.373640 4.2098e-02 1.2455e-01 0.207000 0.373640
501 0.44007 1.6521e+00 0.315670 2.5139e-02 1.0522e-01 0.185310 0.315670
502 0.50539 2.3548e+00 0.549340 7.2117e-02 1.8339e-01 0.293840 0.549340
503 1.36820 3.3131e+00 0.607330 1.2231e-01 2.0244e-01 0.282580 0.448320
504 144.11000 6.7753e+01 50.743000 7.6995e+00 1.6914e+01 26.129000 1.778800
505 6.79600 1.0353e+01 2.698100 2.3082e-01 8.9936e-01 1.567900 0.508660
506 10.30500 1.0155e+01 6.697900 5.7723e-01 2.2326e+00 3.888000 1.246900
507 10.05700 1.1641e+01 4.063200 2.2178e-01 1.3651e+00 2.476400 0.669580
508 0.55371 1.8607e+00 0.546560 4.9799e-02 1.8219e-01 0.314580 0.546560
509 0.37639 1.5607e+00 0.393130 4.6160e-02 1.3094e-01 0.216040 0.393130
510 0.72472 1.5521e+00 0.452840 4.9014e-02 1.5091e-01 0.252920 0.452840
511 7.86480 1.1608e+01 4.745200 4.4916e-01 1.5817e+00 2.714300 0.810500
512 4.54980 6.7140e+00 4.099000 5.7692e-01 1.3696e+00 2.152400 1.364900
513 1.43640 4.0595e+00 1.443100 2.4229e-01 4.9135e-01 0.709450 1.443100
514 0.30036 1.7056e+00 0.498660 3.6122e-02 1.6622e-01 0.296310 0.498660
515 0.35662 1.5521e+00 0.531740 3.6242e-02 1.7725e-01 0.318250 0.531740
516 553.86000 1.6282e+02 145.370000 2.1239e+01 4.8458e+01 75.677000 3.086800
517 1.55420 2.7531e+00 0.514000 1.0880e-01 1.7133e-01 0.233870 0.467190
518 0.59926 4.1068e+00 1.243900 1.3657e-01 4.4531e-01 0.661980 1.243900
519 0.20436 1.4595e+00 0.225680 2.0877e-02 7.5228e-02 0.129580 0.225680
520 4.85960 7.8419e+00 1.050800 1.3069e-01 3.5001e-01 0.570080 0.261510
521 981.70000 2.3227e+02 231.470000 2.3555e+01 7.8709e+01 129.200000 4.277200
522 5.97150 1.1444e+01 1.610700 1.8035e-01 5.3689e-01 0.893440 0.340670
523 0.68716 2.4056e+00 0.523870 6.1971e-02 1.7462e-01 0.287280 0.523870
524 2.03270 4.8809e+00 0.866020 1.6317e-01 2.8883e-01 0.414020 0.450670
525 303.07000 1.2009e+02 90.061000 1.0716e+01 3.0118e+01 49.226000 2.802000
526 8.12810 1.3190e+01 3.573700 6.3181e-01 1.1912e+00 1.750700 0.595620
527 0.18069 1.7595e+00 0.455850 5.5238e-02 1.5195e-01 0.248660 0.455850
528 6.96600 1.2000e+01 1.487800 2.7775e-01 4.9595e-01 0.714140 0.279100
529 16.30100 1.3167e+01 8.100400 6.7877e-01 2.7494e+00 4.672200 1.408900
530 33.15700 2.4828e+01 12.382000 1.6995e+00 4.1280e+00 6.554900 1.031900
531 1.01090 1.8521e+00 0.143140 2.0414e-02 4.7471e-02 0.075252 0.143140
532 3.80390 5.5009e+00 4.666300 3.1498e-01 1.5555e+00 2.795800 2.046200
533 0.19072 1.2107e+00 0.226920 1.4736e-02 7.5219e-02 0.136970 0.226920
534 0.65185 1.9095e+00 0.518400 6.5577e-02 1.7280e-01 0.280030 0.518400
535 3.61690 9.3737e+00 0.903300 1.2441e-01 3.0110e-01 0.477790 0.285540
536 0.25766 1.7068e+00 0.076321 5.5820e-03 2.4700e-02 0.046038 0.076321
537 2.51440 3.8994e+00 1.766600 2.2572e-01 6.0825e-01 0.932650 0.972670
538 12.93400 1.2170e+01 5.738600 5.1196e-01 1.9104e+00 3.316200 0.759150
539 4.29300 7.8713e+00 7.981000 2.3226e-01 3.0934e+00 4.655400 3.680900
540 3.85830 8.8165e+00 8.816500 8.4839e-01 3.5213e+00 4.446900 4.301700
541 4.91170 9.2521e+00 9.252100 5.9826e-01 3.8636e+00 4.790300 3.975700
542 0.24003 1.7083e+00 0.357980 5.2443e-02 1.1933e-01 0.186210 0.357980
543 0.72041 2.1091e+00 0.402730 4.7789e-02 1.3424e-01 0.220700 0.402730
544 0.46793 1.4595e+00 0.335970 2.8206e-02 1.1199e-01 0.195770 0.335970
545 4.07600 8.2131e+00 2.534400 3.9642e-01 8.4482e-01 1.293200 0.726550
546 7.36010 1.2018e+01 4.089700 3.4343e-01 1.3632e+00 2.383100 0.735200
547 2.16360 4.4124e+00 2.395700 2.2327e-01 8.5047e-01 1.321900 1.405300
548 0.99740 2.5521e+00 0.922130 6.7776e-02 3.2614e-01 0.528210 0.922130
549 30.70300 1.7859e+01 11.523000 8.4019e-01 3.8456e+00 6.836900 1.393200
550 551.03000 1.6040e+02 111.050000 1.4071e+01 3.7015e+01 59.958000 2.395700
551 1.53640 3.3376e+00 2.231600 3.1061e-01 7.8374e-01 1.137200 1.719200
552 3.18740 9.9848e+00 1.413400 2.5588e-01 4.7113e-01 0.686380 0.496310
553 0.71854 3.5107e+00 2.211500 2.4365e-01 8.8337e-01 1.084500 2.211500
554 81.42500 4.7120e+01 22.595000 1.6096e+00 7.5312e+00 13.455000 0.850830
555 0.78063 2.7521e+00 1.470500 1.4823e-01 4.9016e-01 0.832080 1.470500
556 575.51000 1.7649e+02 138.990000 1.3983e+01 4.6331e+01 78.679000 2.751000
557 36.29700 1.6762e+01 13.378000 1.0604e+00 4.4594e+00 7.858400 1.365700
558 4.20980 1.0805e+01 3.726200 6.7874e-01 1.2421e+00 1.805400 1.040600
559 734.92000 2.1721e+02 142.130000 1.3368e+01 4.7378e+01 81.387000 2.075600
560 40.79000 2.4248e+01 18.197000 1.7080e+00 6.0720e+00 10.417000 1.920500
561 1.12840 2.5548e+00 1.671200 1.6073e-01 5.8358e-01 0.926870 1.671200
562 93.26000 5.8267e+01 18.028000 1.9637e+00 6.0061e+00 10.058000 0.515070
563 1.95310 5.5303e+00 0.633300 7.0588e-02 2.1110e-01 0.351610 0.320940
564 0.34092 2.1033e+00 0.300530 2.6809e-02 1.0337e-01 0.170350 0.300530
565 12.00900 1.0016e+01 7.980500 7.4560e-01 2.6602e+00 4.574700 1.556400
566 12.18900 1.1009e+01 7.072700 8.5955e-01 2.3576e+00 3.855600 1.863600
567 119.33000 6.2367e+01 41.958000 7.0256e+00 1.3986e+01 20.947000 1.769800
568 2.23530 4.7217e+00 0.622450 9.4731e-02 2.0748e-01 0.320230 0.296630
569 410.02000 1.6241e+02 100.170000 8.3422e+00 3.3993e+01 57.831000 2.457300
570 1.36230 4.6048e+00 0.536190 1.1543e-01 1.7873e-01 0.242030 0.536190
571 114.67000 5.0391e+01 50.391000 1.6556e+00 1.6574e+01 32.162000 2.799500
572 6.01970 8.7365e+00 4.839800 6.8886e-01 1.6133e+00 2.537700 1.547200
573 15.79000 1.0987e+01 6.518000 6.7837e-01 2.1725e+00 3.667100 1.117100
574 2.47940 7.7716e+00 1.595400 1.8757e-01 5.3182e-01 0.876060 0.694880
575 0.79207 2.9083e+00 0.840150 1.4707e-01 2.8005e-01 0.413040 0.840150
576 0.21196 1.7572e+00 0.113210 8.4310e-03 3.7544e-02 0.067238 0.113210
577 0.38431 2.1107e+00 0.625340 7.0707e-02 2.0845e-01 0.346190 0.625340
578 0.74487 2.0083e+00 0.279860 3.1446e-02 9.3285e-02 0.155120 0.279860
579 13.52100 1.7608e+01 3.093400 4.5014e-01 1.0311e+00 1.612200 0.393960
580 5.77460 6.1803e+00 3.497900 2.2733e-01 1.1733e+00 2.097300 0.963220
581 0.42759 1.7548e+00 0.357910 3.7261e-02 1.1930e-01 0.201340 0.357910
582 14.99900 1.4013e+01 10.024000 1.5587e+00 3.3415e+00 5.124300 1.670700
583 3.21680 7.5411e+00 1.688300 2.2995e-01 5.7543e-01 0.882870 0.615260
584 13.20900 1.0527e+01 8.163400 8.5475e-01 2.7212e+00 4.587500 1.360600
585 0.67521 2.2595e+00 0.619990 5.3717e-02 2.2620e-01 0.340070 0.619990
586 0.26566 1.8591e+00 0.443260 4.6214e-02 1.4775e-01 0.249290 0.443260
587 1.24590 2.9615e+00 0.407550 4.6805e-02 1.3852e-01 0.222220 0.343550
588 1.64620 3.4529e+00 0.562090 9.4391e-02 1.8736e-01 0.280330 0.432610
589 6.92630 1.1393e+01 5.310500 7.9265e-01 1.7702e+00 2.747700 1.020600
590 1.29980 2.2548e+00 0.402960 5.8167e-02 1.3432e-01 0.210480 0.402960
591 1.23500 2.4145e+00 0.531240 4.6025e-02 1.7708e-01 0.308130 0.452040
592 0.25457 1.9595e+00 0.696100 7.7871e-02 2.3203e-01 0.386190 0.696100
593 0.65997 1.8521e+00 0.666550 1.0091e-01 2.2218e-01 0.343460 0.666550
594 0.48319 2.1548e+00 0.636600 6.4866e-02 2.2237e-01 0.349370 0.636600
595 0.50208 1.8521e+00 0.640950 4.5279e-02 2.1375e-01 0.381920 0.640950
596 3.40890 8.0055e+00 3.076900 3.8913e-01 1.0256e+00 1.662200 1.230700
597 5.91920 8.0954e+00 4.177200 4.7254e-01 1.3924e+00 2.312200 0.894550
598 0.61988 2.3521e+00 0.555440 9.0808e-02 1.8715e-01 0.277480 0.555440
599 3.86840 4.5420e+00 4.371900 2.8657e-01 1.5356e+00 2.549700 1.765100
600 1.66210 2.7158e+00 1.172200 7.5938e-02 4.1600e-01 0.680260 0.862960
601 164.61000 6.7134e+01 41.245000 3.4908e+00 1.3748e+01 24.006000 1.317000
602 1243.00000 2.5344e+02 253.440000 1.8565e+01 8.6976e+01 147.890000 4.357000
603 8.14010 9.0901e+00 7.036000 8.4224e-01 2.3453e+00 3.848400 2.106900
604 0.89116 2.6544e+00 1.440700 2.1570e-01 5.0230e-01 0.722750 1.440700
605 0.43626 3.1037e+00 1.977100 2.4780e-01 8.1069e-01 0.918620 1.977100
606 0.25658 1.9056e+00 0.237250 2.9336e-02 7.9128e-02 0.128780 0.237250
607 85.56600 3.6525e+01 34.769000 2.9111e+00 1.1632e+01 20.226000 2.285400
608 1.58430 2.6835e+00 0.550050 5.2417e-02 1.8335e-01 0.314280 0.482980
609 0.65245 1.9107e+00 0.441420 5.4018e-02 1.4714e-01 0.240260 0.441420
610 6.21060 1.0584e+01 2.521000 3.6325e-01 8.4032e-01 1.317400 0.564100
611 16.83000 1.3117e+01 7.477600 5.0826e-01 2.4925e+00 4.476800 0.792620
612 1.55870 3.7027e+00 0.872270 1.2270e-01 2.9076e-01 0.458820 0.669480
613 1954.50000 3.3414e+02 334.140000 3.4682e+01 1.1292e+02 186.530000 4.297400
614 3.74810 8.3754e+00 1.141300 1.3899e-01 3.8043e-01 0.621870 0.423210
615 126.91000 5.4193e+01 36.567000 3.5173e+00 1.2189e+01 20.861000 1.661500
616 26.70400 1.6852e+01 15.662000 7.4148e-01 5.2207e+00 9.699900 1.684600
617 0.25023 1.9607e+00 0.748150 6.4815e-02 2.6516e-01 0.418170 0.748150
618 0.34113 2.0572e+00 0.601600 9.1528e-02 2.0056e-01 0.309510 0.601600
619 5.05420 7.6851e+00 4.280900 6.6763e-01 1.4270e+00 2.186300 1.622100
620 0.48473 1.9595e+00 0.715450 9.0312e-02 2.3848e-01 0.386650 0.715450
621 16.87900 1.4334e+01 12.993000 1.8112e+00 4.4247e+00 6.757500 2.713300
622 1977.50000 3.3579e+02 335.790000 2.2544e+01 1.1305e+02 200.200000 4.219600
623 3.82370 8.5797e+00 1.190800 1.9965e-01 3.9695e-01 0.594240 0.430400
624 19.51600 2.5084e+01 10.350000 8.4654e-01 3.5058e+00 5.998000 1.064600
625 2.53470 4.2635e+00 0.565420 2.5439e-02 2.0183e-01 0.338150 0.241550
626 1.81230 4.0269e+00 2.289900 2.6037e-01 8.0737e-01 1.222100 1.545800
627 1.94160 5.0591e+00 0.505910 7.4222e-02 1.7235e-01 0.259340 0.274640
628 1.11370 4.1068e+00 1.629800 2.8943e-01 6.2851e-01 0.711840 1.629800
629 0.43245 1.1607e+00 0.055324 2.3173e-03 1.4959e-02 0.038047 0.055324
630 0.50261 2.1560e+00 0.263170 2.9539e-02 8.8434e-02 0.145190 0.263170
631 5.58230 1.0408e+01 1.754600 3.0693e-01 5.8498e-01 0.862670 0.444210
632 11.41000 8.2390e+00 0.855970 1.3449e-02 2.2640e-01 0.616120 0.126220
633 1120.50000 2.4546e+02 248.420000 7.7170e+00 8.9102e+01 151.610000 3.982000
634 10.10500 1.3004e+01 4.053900 4.7729e-01 1.3513e+00 2.225300 0.675650
635 1.28050 2.2617e+00 0.547750 8.6825e-02 1.8258e-01 0.278340 0.448430
636 0.52256 1.7544e+00 0.656300 4.0388e-02 2.4209e-01 0.373820 0.656300
637 2.58040 2.5642e+00 2.334300 1.5837e-01 7.6250e-01 1.413400 1.056800
638 12.63600 1.1098e+01 4.977700 4.9796e-01 1.6592e+00 2.820500 0.772370
639 0.66795 2.2548e+00 0.277990 3.4676e-02 9.2682e-02 0.150630 0.277990
640 4.73310 4.4650e+00 2.521400 2.5052e-01 8.4075e-01 1.430200 0.835940
641 1803.70000 3.1701e+02 317.010000 3.7420e+01 1.0834e+02 171.250000 4.141800
642 2.96360 3.9914e+00 2.967400 2.2191e-01 9.8907e-01 1.756400 1.228200
643 360.88000 1.3157e+02 73.352000 6.0186e+00 2.4749e+01 42.584000 1.598300
644 1.10510 2.8361e+00 0.989630 1.7741e-01 3.3320e-01 0.479020 0.916130
645 0.83853 2.4060e+00 0.943140 1.3057e-01 3.3773e-01 0.474840 0.943140
646 11.21300 1.2042e+01 6.193200 4.6318e-01 2.0644e+00 3.665700 1.032200
647 0.62601 2.1544e+00 0.239590 3.2218e-02 7.9863e-02 0.127510 0.239590
648 64.35600 3.3428e+01 22.139000 2.1531e+00 7.3795e+00 12.606000 1.782100
649 0.56094 1.8033e+00 0.314040 2.6461e-02 1.0475e-01 0.182820 0.314040
650 2.00500 1.8478e+00 0.371410 1.2449e-02 1.1239e-01 0.246570 0.183820
651 10.19000 9.9158e+00 8.744300 6.6622e-01 2.9515e+00 5.126500 2.523300
652 11.71700 1.1679e+01 5.896200 1.1941e+00 1.9654e+00 2.736700 1.139900
653 1113.30000 2.5412e+02 254.120000 6.0062e+00 8.7446e+01 160.670000 4.277500
654 8.95910 1.0259e+01 5.415300 3.7114e-01 1.8051e+00 3.239100 0.974750
655 1799.60000 3.4596e+02 340.110000 2.5489e+01 1.1505e+02 199.570000 3.883800
656 715.87000 1.7642e+02 170.200000 1.4004e+01 5.6734e+01 99.462000 3.547100
657 3.72650 9.9734e+00 1.924500 5.7657e-01 6.4149e-01 0.706400 0.549410
658 0.22528 1.1536e+00 0.210510 2.2457e-02 7.0167e-02 0.117890 0.210510
659 0.84763 4.6536e+00 0.523380 1.1610e-01 1.7446e-01 0.232820 0.523380
660 2.46690 7.1724e+00 2.861900 4.4786e-01 9.5400e-01 1.460000 1.315400
661 4.69760 5.4211e+00 3.455800 3.1499e-01 1.1519e+00 1.988900 1.033400
662 23.60400 1.9319e+01 12.068000 1.8025e+00 4.0228e+00 6.243100 1.417800
663 18.16800 1.2560e+01 2.617300 1.4730e-01 7.8462e-01 1.685400 0.284530
664 14.59300 1.0644e+01 5.096300 3.2303e-01 1.6986e+00 3.074700 0.707960
665 1.93090 5.6218e+00 2.438700 3.3289e-01 8.6973e-01 1.236100 1.336600
666 1231.60000 2.5031e+02 250.310000 1.7949e+01 8.5924e+01 146.440000 4.356700
667 0.34651 2.1521e+00 0.370640 2.8953e-02 1.2523e-01 0.216450 0.370640
668 454.61000 1.2735e+02 104.440000 8.0865e+00 3.4724e+01 61.626000 2.154400
669 17.44200 2.1490e+01 6.964400 6.0588e-01 2.3215e+00 4.037000 0.824310
670 35.48500 4.1112e+01 11.125000 1.3216e+00 3.7094e+00 6.093900 0.618050
671 227.85000 8.3463e+01 70.180000 1.0700e+01 2.3393e+01 36.086000 2.469300
672 1.05470 2.0107e+00 0.562840 7.3568e-02 1.8761e-01 0.301660 0.562840
673 496.68000 1.4868e+02 149.200000 2.9935e+00 5.3473e+01 92.732000 3.504200
674 8.21890 9.4840e+00 9.484000 8.5280e-01 3.2875e+00 5.343700 3.101700
675 13.79500 1.3496e+01 7.015600 4.6322e-01 2.3385e+00 4.213800 0.878240
676 6.67780 7.6856e+00 3.739200 3.5371e-01 1.2426e+00 2.142800 0.724810
677 0.16832 3.2521e+00 0.829000 2.0680e-01 2.7633e-01 0.345870 0.829000
678 255.75000 9.8077e+01 47.367000 8.4699e+00 1.5795e+01 23.101000 1.094500
679 2.35470 4.8654e+00 0.687580 7.1504e-02 2.2919e-01 0.386880 0.313400
680 175.28000 5.0743e+01 46.558000 3.8526e+00 1.5519e+01 27.186000 1.318800
681 2.15880 4.4470e+00 2.196300 3.3444e-01 7.7183e-01 1.090000 2.005100
682 3.24820 8.3005e+00 2.607900 4.4171e-01 9.0197e-01 1.264200 1.390200
683 7.76110 1.1299e+01 3.692100 3.5708e-01 1.2307e+00 2.104300 0.637100
684 0.32489 3.8583e+00 0.102040 1.4720e-02 3.4028e-02 0.053292 0.102040
685 3.29130 6.3716e+00 1.121300 1.0570e-01 3.7427e-01 0.641350 0.466210
686 0.64736 1.9595e+00 0.662990 5.7374e-02 2.3066e-01 0.374960 0.662990
687 474.72000 1.4433e+02 111.830000 7.4467e+00 3.7276e+01 67.104000 2.360100
688 0.44336 4.3607e+00 2.127400 4.9356e-01 8.0786e-01 0.825930 2.127400
689 0.52999 2.0595e+00 0.671100 7.3135e-02 2.2370e-01 0.374260 0.671100
690 8.10720 8.4819e+00 7.836000 7.4830e-01 2.6123e+00 4.475400 2.442200
691 14.94500 1.0681e+01 9.738100 8.4217e-01 3.2703e+00 5.625700 2.249100
692 11.16400 9.6478e+00 7.577900 6.1299e-01 2.5449e+00 4.420000 2.133000
693 2.91330 5.0353e+00 0.721970 9.1064e-02 2.4070e-01 0.390210 0.308220
694 0.59379 2.1044e+00 0.421000 4.6119e-02 1.4033e-01 0.234550 0.421000
695 15.76500 1.7371e+01 2.102500 3.2126e-01 7.0432e-01 1.076900 0.214610
696 0.41355 1.6083e+00 0.324550 1.8969e-02 1.0818e-01 0.197400 0.324550
697 0.28282 2.3083e+00 0.311830 2.7568e-02 1.0394e-01 0.180320 0.311830
698 1.68890 2.5393e+00 1.749000 1.0476e-01 6.8289e-01 0.961400 1.505600
699 1028.60000 2.6406e+02 264.950000 7.1385e+00 9.1623e+01 166.190000 4.223100
700 3.67960 8.2963e+00 0.877820 1.3356e-01 2.9736e-01 0.446900 0.366030
701 44.08700 3.7812e+01 15.728000 1.8561e+00 5.2426e+00 8.629100 1.141000
702 0.32969 1.9548e+00 0.504680 7.8217e-02 1.6823e-01 0.258240 0.504680
703 1.47990 2.6465e+00 0.569200 6.9300e-02 1.9272e-01 0.307180 0.367350
704 1.92080 5.5347e+00 1.064400 9.9625e-02 3.5968e-01 0.605130 0.583640
705 0.60703 2.4568e+00 0.428790 3.2213e-02 1.4643e-01 0.250150 0.428790
706 7.39460 1.0714e+01 5.278900 6.5199e-01 1.7596e+00 2.867300 1.028400
707 7.23940 1.5435e+01 3.495200 3.6645e-01 1.1961e+00 1.932700 0.747200
708 1502.70000 2.8877e+02 288.770000 2.1271e+01 9.8999e+01 168.500000 3.902300
709 4.39970 7.7001e+00 3.646500 6.2977e-01 1.2155e+00 1.801200 1.022600
710 6.61490 1.2174e+01 2.784300 4.3368e-01 9.2809e-01 1.422500 0.564540
711 5.48860 6.5304e+00 2.216100 3.0242e-01 7.3871e-01 1.175000 0.846180
712 3.28750 6.9009e+00 2.369000 3.2063e-01 7.8967e-01 1.258700 0.810620
713 0.59901 1.5107e+00 0.375350 3.8139e-02 1.2513e-01 0.212080 0.375350
714 1.67650 5.0558e+00 0.630180 7.0945e-02 2.1006e-01 0.349170 0.367640
715 216.99000 6.9733e+01 55.413000 3.3321e+00 1.7997e+01 34.083000 1.519500
716 0.33525 1.7548e+00 0.411180 4.8236e-02 1.3706e-01 0.225880 0.411180
717 71.19900 3.2826e+01 25.086000 1.9941e+00 8.3620e+00 14.730000 1.293000
718 0.82294 3.6560e+00 2.096700 3.9905e-01 7.4405e-01 0.953560 2.096700
719 2.86710 6.5214e+00 0.936000 1.2488e-01 3.1200e-01 0.499120 0.358290
720 1.09660 1.8575e+00 0.369220 3.2212e-02 1.2307e-01 0.213930 0.359120
721 0.57645 2.0036e+00 0.433930 6.9053e-02 1.4464e-01 0.220240 0.433930
722 0.31557 1.7107e+00 0.571390 9.8043e-02 1.9046e-01 0.282880 0.571390
723 1.06490 1.9521e+00 0.335210 3.6769e-02 1.1174e-01 0.186700 0.335210
724 1.29740 2.2960e+00 0.505320 5.7631e-02 1.6844e-01 0.279250 0.473700
725 10.00600 1.6851e+01 6.431900 8.6890e-01 2.1440e+00 3.419000 1.072000
726 0.89063 4.2533e+00 0.731500 1.1785e-01 2.4911e-01 0.364540 0.731500
727 10.27500 9.6850e+00 8.066000 8.1476e-01 2.6983e+00 4.552900 2.321100
728 0.24196 6.5834e-01 0.064118 1.6891e-03 1.6998e-02 0.045431 0.064118
729 1.14920 4.2630e+00 1.045100 2.5048e-01 3.4837e-01 0.446260 0.962080
730 2.60040 5.9514e+00 0.687190 7.5616e-02 2.2906e-01 0.382510 0.318100
731 1.20350 2.1095e+00 0.468350 5.0621e-02 1.5612e-01 0.261620 0.468350
732 0.40584 2.3583e+00 0.700210 7.7159e-02 2.4188e-01 0.381170 0.700210
733 10.53600 1.0270e+01 2.872700 4.2407e-01 9.5907e-01 1.489600 0.537630
734 11.59700 7.8967e+00 7.085800 5.1440e-01 2.3619e+00 4.209500 1.408300
735 6.65960 9.5100e+00 4.885100 4.5919e-01 1.6468e+00 2.779200 1.172200
736 17.99700 1.2443e+01 6.457100 6.8557e-01 2.1520e+00 3.619500 0.896130
737 1.59300 3.1285e+00 0.673830 6.6268e-02 2.2932e-01 0.378240 0.441700
738 20.10800 1.4430e+01 10.748000 1.0683e+00 3.5815e+00 6.098600 1.514800
739 1119.90000 2.8909e+02 189.650000 3.2091e+01 6.3279e+01 94.275000 2.692800
740 19.61200 1.1874e+01 8.217500 9.9593e-01 2.7392e+00 4.482400 1.887300
741 1.42260 1.8732e+00 0.389630 2.7194e-02 1.3163e-01 0.230800 0.343100
742 5.38910 8.5088e+00 5.260400 8.0259e-01 1.7553e+00 2.702500 1.973500
743 60.68700 4.1607e+01 41.607000 2.8844e+00 1.4259e+01 24.464000 3.606600
744 0.27841 3.5107e+00 0.131930 1.9184e-02 4.3977e-02 0.068770 0.131930
745 866.92000 2.0565e+02 203.550000 1.5607e+01 6.8700e+01 119.240000 3.724100
746 2.15920 5.1553e+00 0.551700 9.2778e-02 1.8390e-01 0.275020 0.271750
747 53.41400 3.1914e+01 19.535000 2.0166e+00 6.5112e+00 11.007000 1.090900
748 87.50600 5.0965e+01 18.958000 1.9335e+00 6.3077e+00 10.717000 0.584170
749 6.62270 1.0223e+01 2.171700 2.2309e-01 7.2390e-01 1.224700 0.478870
750 6.69760 1.0867e+01 3.229700 2.6834e-01 1.0766e+00 1.884800 0.671280
751 8.73250 7.6174e+00 6.684200 7.6911e-01 2.2280e+00 3.687000 2.018000
752 10.41900 1.0374e+01 8.036300 5.6357e-01 2.7226e+00 4.750200 2.189600
753 10.79900 9.3642e+00 8.041100 7.3426e-01 2.6808e+00 4.626000 2.471600
754 12.72400 1.0251e+01 9.606400 6.9107e-01 3.2005e+00 5.714800 2.452100
755 59.60700 3.5452e+01 12.855000 7.1965e-01 4.2605e+00 7.875000 0.516170
756 0.90383 2.2072e+00 0.470990 5.7454e-02 1.5700e-01 0.256540 0.470990
757 0.25870 1.3021e+00 0.198860 1.8997e-02 6.5820e-02 0.114050 0.198860
758 5.77150 1.0358e+01 0.920190 1.0951e-01 3.0675e-01 0.503930 0.229950
759 29.56300 1.5226e+01 11.410000 1.1915e+00 3.8033e+00 6.415000 1.762600
760 1.45160 1.9091e+00 0.369740 2.7124e-02 1.2371e-01 0.218900 0.369740
761 2.19250 3.9760e+00 0.682710 1.0519e-01 2.3456e-01 0.342960 0.420590
762 1.36360 2.8683e+00 0.395620 4.7061e-02 1.3243e-01 0.216120 0.303250
763 0.31173 1.7072e+00 0.314290 3.6319e-02 1.0462e-01 0.173350 0.314290
764 4.25070 7.5102e+00 0.757470 1.2405e-01 2.5249e-01 0.380930 0.231820
765 0.35005 2.8595e+00 0.460400 7.1206e-02 1.5347e-01 0.235730 0.460400
766 1.92060 6.1444e+00 0.749740 1.8356e-01 2.5119e-01 0.314990 0.378210
767 66.42200 3.9009e+01 31.242000 2.3185e+00 1.0484e+01 18.439000 2.603500
768 289.10000 9.2507e+01 73.213000 6.4459e+00 2.4382e+01 42.385000 1.843400
769 0.42164 2.0021e+00 0.433960 6.1378e-02 1.4465e-01 0.227930 0.433960
770 0.40651 1.8595e+00 0.621100 5.9143e-02 2.0703e-01 0.354920 0.621100
771 0.34022 1.6544e+00 0.427050 5.6703e-02 1.4240e-01 0.227950 0.427050
772 19.93700 1.8456e+01 7.086300 5.8321e-01 2.3621e+00 4.141000 0.740110
773 0.26519 1.7107e+00 0.540740 5.6875e-02 1.8025e-01 0.303620 0.540740
774 6.28560 8.6465e+00 3.868600 4.3766e-01 1.2956e+00 2.135300 1.364500
775 5.97750 1.0327e+01 1.524800 2.0358e-01 5.0828e-01 0.812990 0.371690
776 2.02940 7.3741e+00 0.788390 1.4573e-01 2.6287e-01 0.379780 0.410880
777 31.89000 2.4750e+01 25.465000 9.9361e-01 9.4229e+00 15.049000 4.244200
778 0.33118 4.3021e+00 0.608840 1.0645e-01 2.3477e-01 0.267620 0.608840
779 269.31000 9.9862e+01 75.408000 8.5107e+00 2.5136e+01 41.761000 2.330600
780 10.38800 1.8776e+01 4.148500 3.9348e-01 1.4236e+00 2.331400 0.691410
781 0.23076 1.7033e+00 0.398050 4.4967e-02 1.3268e-01 0.220400 0.398050
782 1782.90000 3.1120e+02 300.190000 4.0440e+01 1.0013e+02 159.620000 4.079100
783 1.71800 2.1360e+00 0.624940 4.0101e-02 2.0986e-01 0.374980 0.455710
784 1148.10000 2.7610e+02 195.850000 2.9378e+01 6.5383e+01 101.090000 2.892000
785 1.14850 2.7660e+00 0.669630 1.2096e-01 2.2321e-01 0.325460 0.616860
786 799.33000 2.5880e+02 153.840000 1.4960e+01 5.1355e+01 87.526000 2.124800
787 10.04100 1.9891e+01 4.269800 9.4837e-01 1.4283e+00 1.893100 0.711640
788 18.63700 2.6544e+01 2.132300 1.4239e-01 7.1076e-01 1.279100 0.207180
789 0.61603 2.3095e+00 0.916310 7.6099e-02 3.3387e-01 0.506330 0.916310
790 14.55400 1.3753e+01 8.004300 9.0275e-01 2.6681e+00 4.433400 1.162100
791 11.63300 1.5451e+01 6.943700 8.5899e-01 2.3150e+00 3.769800 1.157300
792 1.34300 1.9458e+00 0.474160 5.0538e-02 1.5805e-01 0.265570 0.440640
793 0.17451 2.1037e+00 0.495810 8.0956e-02 1.6527e-01 0.249580 0.495810
794 0.46296 1.8595e+00 0.353920 5.4158e-02 1.1798e-01 0.181780 0.353920
795 0.44123 1.7107e+00 0.250860 2.8319e-02 8.3620e-02 0.138920 0.250860
796 618.71000 1.6946e+02 158.760000 1.6234e+01 5.3411e+01 89.111000 3.832000
797 23.50600 1.5730e+01 9.330300 7.0421e-01 3.0991e+00 5.526900 0.786930
798 1.53080 3.4572e+00 1.793200 2.2309e-01 6.3373e-01 0.936360 1.793200
799 3.26630 8.0363e+00 1.362300 1.5152e-01 4.7030e-01 0.740500 0.466720
800 4.19250 7.9228e+00 3.364700 3.3038e-01 1.1490e+00 1.885300 0.916500
801 0.85461 2.0083e+00 0.613640 9.9331e-02 2.0517e-01 0.309140 0.613640
802 0.16363 4.4583e+00 0.374590 4.5238e-02 1.4656e-01 0.182790 0.374590
803 0.72663 2.0021e+00 0.679630 4.5138e-02 2.3446e-01 0.400030 0.679630
804 0.18627 1.3021e+00 0.327470 4.0671e-02 1.0916e-01 0.177650 0.327470
805 11.67300 1.1959e+01 6.113300 4.2015e-01 2.0377e+00 3.655400 0.896340
806 2.41360 4.3712e+00 1.251500 1.1079e-01 4.4069e-01 0.700050 0.658650
807 0.13465 1.5021e+00 0.441340 4.8065e-02 1.4711e-01 0.246160 0.441340
808 0.29973 2.3095e+00 0.410400 5.5573e-02 1.3680e-01 0.218030 0.410400
809 1407.70000 2.9055e+02 271.190000 2.5793e+01 9.0790e+01 154.600000 3.990300
810 8.87280 1.0871e+01 5.038800 6.9894e-01 1.6796e+00 2.660300 1.276700
811 12.21700 1.4217e+01 6.768900 5.3789e-01 2.2557e+00 3.975300 0.940630
812 0.54769 1.6056e+00 0.092472 5.9028e-03 2.9049e-02 0.057521 0.092472
813 0.21942 1.9083e+00 0.215930 1.5518e-02 7.2863e-02 0.127550 0.215930
814 0.18225 1.7521e+00 0.439270 6.9754e-02 1.4642e-01 0.223090 0.439270
815 553.92000 1.7314e+02 136.250000 1.3525e+01 4.5449e+01 77.275000 2.575200
816 0.39687 1.7107e+00 0.381200 3.5435e-02 1.2707e-01 0.218700 0.381200
817 0.72522 1.5056e+00 0.172930 9.1593e-03 5.5605e-02 0.108170 0.172930
818 5.58340 8.7679e+00 3.259600 3.2041e-01 1.0865e+00 1.852800 0.715720
819 2.24500 5.2966e+00 0.977230 1.5489e-01 3.2574e-01 0.496590 0.464770
820 4.28570 6.8690e+00 3.316700 4.5674e-01 1.1568e+00 1.703200 1.769000
821 3.70310 5.1465e+00 1.500200 1.5012e-01 5.0005e-01 0.849990 0.618270
822 2.59070 8.8523e+00 1.001500 2.7613e-01 3.3383e-01 0.391530 0.389100
823 100.37000 6.0465e+01 56.514000 7.0715e+00 1.9191e+01 30.252000 2.457100
824 0.16268 1.8044e+00 0.633220 4.9467e-02 2.1107e-01 0.372680 0.633220
825 0.69395 4.3021e+00 1.683800 2.1839e-01 7.4505e-01 0.720340 1.683800
826 0.57253 1.3607e+00 1.050200 1.0009e-01 3.5689e-01 0.593220 1.050200
827 0.65588 4.2044e+00 1.529100 1.9646e-01 7.7359e-01 0.559080 1.529100
828 1.77160 2.9775e+00 0.718350 5.3130e-02 2.4229e-01 0.422930 0.495870
829 0.57439 4.1068e+00 1.316500 2.4381e-01 4.9683e-01 0.575880 1.316500
830 0.39271 2.2072e+00 0.680180 1.0374e-01 2.2673e-01 0.349710 0.680180
831 0.40218 1.4521e+00 0.359190 2.2667e-02 1.1973e-01 0.216790 0.359190
832 1.92520 2.5048e+00 0.781200 8.8151e-02 2.6633e-01 0.426720 0.781200
833 6.38510 9.3284e+00 4.427700 6.6961e-01 1.4759e+00 2.282200 1.167000
834 1533.20000 2.9971e+02 299.710000 1.0549e+01 1.0331e+02 185.850000 4.354900
835 1.53270 4.4186e+00 0.382650 6.8187e-02 1.2775e-01 0.186710 0.306980
836 14.05200 1.8254e+01 6.792700 8.7074e-01 2.2643e+00 3.657600 0.837080
837 9.06330 1.0367e+01 2.556100 2.7308e-01 8.5202e-01 1.431000 0.436500
838 0.24285 2.1583e+00 0.624760 9.4466e-02 2.0825e-01 0.322040 0.624760
839 239.36000 7.4028e+01 70.396000 7.7612e+00 2.3458e+01 39.177000 2.301700
840 5.59150 8.4228e+00 3.370800 4.2497e-01 1.1236e+00 1.822200 0.981760
841 0.90555 1.7521e+00 0.391900 4.0611e-02 1.3063e-01 0.220650 0.391900
842 1911.80000 3.2741e+02 327.410000 3.8595e+01 1.1056e+02 178.260000 4.256600
843 8.41640 1.6417e+01 2.448600 2.4351e-01 8.3903e-01 1.366100 0.408110
844 204.33000 1.2131e+02 41.414000 3.3483e+00 1.3805e+01 24.261000 0.899380
845 1.67470 3.2895e+00 0.670650 5.9677e-02 2.2538e-01 0.385600 0.418670
846 1.22950 2.0095e+00 0.475050 4.3251e-02 1.5835e-01 0.273450 0.475050
847 0.68062 1.9107e+00 0.989210 8.5882e-02 3.2974e-01 0.573590 0.989210
848 0.50003 1.7544e+00 0.171300 2.4475e-02 5.7209e-02 0.089616 0.171300
849 0.65672 4.3021e+00 1.709100 2.2178e-01 8.3990e-01 0.647470 1.709100
850 24.47300 2.3515e+01 17.075000 2.1530e+00 6.5946e+00 8.327100 3.080900
851 0.62016 1.4521e+00 0.424090 2.9093e-02 1.4426e-01 0.250730 0.424090
852 0.53076 1.6560e+00 0.546110 5.8613e-02 1.8204e-01 0.305460 0.546110
853 1.81930 6.1647e+00 1.462900 2.9279e-01 4.9722e-01 0.672910 0.997410
854 3.90900 8.2385e+00 3.199300 4.9315e-01 1.0664e+00 1.639700 1.014100
855 0.25051 2.0521e+00 0.109580 2.5400e-02 3.6754e-02 0.047427 0.109580
856 0.72653 1.9044e+00 0.319960 2.6356e-02 1.0665e-01 0.186950 0.319960
857 0.70514 1.8107e+00 0.435690 5.1918e-02 1.4523e-01 0.238540 0.435690
858 1.06050 1.8607e+00 0.301830 3.0250e-02 1.0061e-01 0.170970 0.301830
859 0.51153 2.1048e+00 0.476210 7.3140e-02 1.5874e-01 0.244330 0.476210
860 4.91040 7.2928e+00 1.357300 1.8521e-01 4.5297e-01 0.719110 0.335000
861 3.27210 7.7259e+00 2.966100 3.0586e-01 1.1067e+00 1.553600 1.534700
862 1401.50000 2.7782e+02 277.820000 1.2383e+01 9.7159e+01 168.280000 4.355900
863 1.40750 2.1985e+00 0.388760 4.1753e-02 1.2959e-01 0.217420 0.354900
864 696.48000 1.8606e+02 137.490000 1.0483e+01 4.5982e+01 81.022000 2.412100
865 0.16258 1.7068e+00 0.256310 4.2437e-02 8.5499e-02 0.128370 0.256310
866 0.53446 2.0095e+00 0.509080 4.8254e-02 1.6969e-01 0.291130 0.509080
867 0.17965 3.2607e+00 0.295860 4.4424e-02 1.0579e-01 0.145650 0.295860
868 12.31800 1.4528e+01 11.549000 1.0816e+00 4.8349e+00 5.632800 2.895400
869 0.17989 1.2044e+00 0.633320 8.7098e-02 2.1147e-01 0.334750 0.633320
870 1.59640 6.2677e+00 1.022100 1.4947e-01 3.4089e-01 0.531730 0.668590
871 556.78000 1.6986e+02 133.960000 1.2750e+01 4.4654e+01 76.557000 2.933900
872 2.21900 3.2545e+00 2.144600 2.4024e-01 7.1485e-01 1.189500 1.030700
873 3.35170 8.3073e+00 1.254700 1.3498e-01 4.1898e-01 0.700720 0.422440
874 294.86000 9.9050e+01 95.221000 5.7181e+00 3.1918e+01 57.585000 2.906700
875 0.17543 1.4021e+00 0.093544 9.8781e-03 3.1160e-02 0.052506 0.093544
876 4.77190 8.3101e+00 4.601400 4.4658e-01 1.5337e+00 2.621100 1.462900
877 5.35300 1.1208e+01 1.615900 1.5251e-01 5.3863e-01 0.924740 0.372450
878 368.68000 1.1342e+02 101.630000 6.0656e+00 3.3878e+01 61.691000 2.540900
879 5.99860 2.7806e+00 1.611800 6.9827e-02 5.3830e-01 1.003700 0.368850
880 17.47400 1.8561e+01 6.130200 6.3515e-01 2.0434e+00 3.451700 0.628530
881 9.18760 1.1597e+01 4.376700 9.0137e-01 1.4594e+00 2.015900 0.729450
882 3.64520 6.1099e+00 2.818700 3.3668e-01 9.3956e-01 1.542400 0.885300
883 5.75620 5.3168e+00 3.330700 2.4373e-01 1.1100e+00 1.976900 1.012600
884 11.30400 1.0417e+01 7.645000 8.2264e-01 2.5483e+00 4.274000 1.473800
885 0.53634 1.7556e+00 0.151580 1.4492e-02 5.0174e-02 0.086911 0.151580
886 3.21380 4.1305e+00 3.523900 2.3511e-01 1.1746e+00 2.114200 1.601400
887 0.17863 4.1556e+00 0.368650 6.2921e-02 1.4458e-01 0.161150 0.368650
888 778.89000 2.0639e+02 206.390000 1.7569e+01 7.0372e+01 118.450000 3.744700
889 7.85030 1.0127e+01 6.686400 6.8937e-01 2.2288e+00 3.768200 1.758500
890 19.69500 1.1767e+01 8.868900 1.0771e+00 2.9598e+00 4.832000 1.342100
891 13.04200 1.6450e+01 9.054500 1.0994e+00 3.0182e+00 4.936900 1.509100
892 7.74460 1.1016e+01 2.784600 3.2761e-01 9.2820e-01 1.528800 0.539760
893 0.78655 1.7048e+00 0.384730 3.4769e-02 1.2790e-01 0.222060 0.384730
894 512.34000 1.8851e+02 124.850000 1.3517e+01 4.1758e+01 69.577000 2.618000
895 0.69765 1.7083e+00 0.501670 4.6711e-02 1.6722e-01 0.287740 0.501670
896 43.43400 2.6804e+01 13.396000 9.8311e-01 4.4645e+00 7.948800 0.719080
897 0.82813 4.1068e+00 1.620300 2.8718e-01 6.3712e-01 0.696040 1.620300
898 6.26760 4.8787e+00 2.010900 8.8709e-02 5.8931e-01 1.332800 0.391170
899 4.97040 1.0775e+01 2.750000 4.7583e-01 9.1665e-01 1.357500 0.672220
900 0.56758 2.4037e+00 0.537830 7.7910e-02 1.7931e-01 0.280610 0.537830
901 82.36900 3.3476e+01 29.372000 3.0255e+00 9.7908e+00 16.556000 2.295300
902 0.88317 1.9583e+00 0.336870 3.9214e-02 1.1229e-01 0.185370 0.336870
903 1.07690 2.1277e+00 0.319000 2.7738e-02 1.0633e-01 0.184930 0.315930
904 53.62500 3.1399e+01 18.408000 1.5506e+00 6.1807e+00 10.677000 0.905100
905 1.34590 3.3934e+00 0.421610 6.6538e-02 1.4082e-01 0.214250 0.347990
906 10.24700 7.9740e+00 4.622200 6.2743e-01 1.5407e+00 2.454100 1.615200
907 0.23902 2.1107e+00 0.222290 3.0649e-02 7.4112e-02 0.117530 0.222290
908 225.62000 7.7022e+01 53.606000 3.8976e+00 1.7839e+01 31.869000 1.848400
909 0.74573 1.8107e+00 0.430950 2.9608e-02 1.4442e-01 0.256930 0.430950
910 0.40281 1.1556e+00 0.446900 2.2729e-02 1.5287e-01 0.271300 0.446900
911 15.18100 1.5368e+01 4.884600 9.2961e-01 1.6282e+00 2.326800 0.637320
912 34.59000 3.0576e+01 12.765000 1.8829e+00 4.2549e+00 6.626900 1.140600
913 0.27575 1.6044e+00 0.219080 3.0615e-02 7.3028e-02 0.115440 0.219080
914 8.29960 1.2067e+01 4.153800 5.2144e-01 1.3846e+00 2.247800 0.692300
915 4.25630 7.4326e+00 1.467600 2.0359e-01 4.8921e-01 0.774820 0.485880
916 29.57000 3.4661e+01 5.529500 7.9831e-01 1.8475e+00 2.883600 0.321890
917 0.49028 1.5583e+00 0.283950 2.7018e-02 9.4649e-02 0.162280 0.283950
918 0.95625 2.0048e+00 0.438990 5.1685e-02 1.4633e-01 0.240980 0.438990
919 1.82200 4.2637e+00 0.447990 6.7316e-02 1.4933e-01 0.231340 0.258090
920 5.85000 1.3635e+01 4.156000 5.7819e-01 1.3946e+00 2.183200 0.884840
921 8.60340 1.0333e+01 5.489800 5.5560e-01 1.8299e+00 3.104200 1.117900
922 5.60930 9.1124e+00 4.079100 5.3664e-01 1.3597e+00 2.182800 0.990410
923 1.34530 2.3548e+00 0.403920 5.3615e-02 1.3464e-01 0.215670 0.403920
924 0.26144 1.6017e+00 0.213620 1.4215e-02 7.0084e-02 0.129320 0.213620
925 1049.10000 2.3663e+02 231.470000 1.8580e+01 7.8378e+01 134.510000 3.699100
926 8.37990 1.3780e+01 2.369500 2.2400e-01 7.8984e-01 1.355700 0.394920
927 2.45900 1.9863e+00 0.963880 3.9040e-02 3.1318e-01 0.611650 0.469560
928 0.45371 1.4095e+00 0.470480 3.8597e-02 1.5683e-01 0.275060 0.470480
929 4.34800 6.7591e+00 1.812900 2.0266e-01 6.0421e-01 1.006100 0.493250
930 0.50523 2.3083e+00 0.498140 6.0215e-02 1.6605e-01 0.271880 0.498140
931 1105.50000 2.7483e+02 277.520000 1.0047e+01 1.0021e+02 167.260000 3.750300
932 22.30300 1.8583e+01 10.151000 1.7086e+00 3.4183e+00 5.023900 1.607400
933 1.05050 3.3060e+00 0.226310 3.5258e-02 7.5561e-02 0.115490 0.226310
934 37.42200 2.6167e+01 13.901000 1.4756e+00 4.6336e+00 7.791500 1.297200
935 2.93060 5.7303e+00 1.103400 1.3645e-01 3.6780e-01 0.599150 0.512540
936 0.48793 4.3021e+00 0.603200 1.0273e-01 2.2107e-01 0.279390 0.603200
937 0.42613 4.4583e+00 1.289800 1.4843e-01 6.8243e-01 0.458890 1.289800
938 1.36050 4.4095e+00 2.104100 3.4603e-01 7.4845e-01 1.009600 2.104100
939 1.18130 4.3021e+00 2.560000 4.1862e-01 1.0649e+00 1.076500 2.560000
940 1097.90000 2.5960e+02 259.600000 1.7788e+01 8.9741e+01 152.070000 4.136200
941 5.09690 1.0016e+01 2.374600 1.8960e-01 8.1516e-01 1.369800 0.616430
942 1665.70000 3.1835e+02 279.960000 4.7508e+01 9.3365e+01 139.080000 3.783200
943 0.94484 1.9533e+00 0.548490 5.2733e-02 1.8283e-01 0.312930 0.548490
944 0.80485 8.5209e-01 0.087096 1.0328e-03 1.9064e-02 0.066999 0.087096
945 57.97400 5.8216e+01 14.791000 1.2640e+00 4.9304e+00 8.596800 0.609820
946 1285.60000 2.6016e+02 260.160000 1.6008e+01 9.0091e+01 154.060000 4.356800
947 8.37190 1.1090e+01 3.547600 3.0745e-01 1.1823e+00 2.057800 0.591270
948 193.69000 6.2116e+01 58.705000 5.0485e+00 1.9602e+01 34.055000 2.552400
949 21.95300 1.1628e+01 8.961100 9.8828e-01 2.9870e+00 4.985800 1.752100
950 657.62000 1.7469e+02 173.810000 1.2018e+01 5.9170e+01 102.620000 3.049300
951 0.72509 1.9021e+00 0.263720 2.3674e-02 8.7606e-02 0.152440 0.263720
952 186.47000 6.7587e+01 57.818000 6.7874e+00 1.9273e+01 31.758000 2.610100
953 12.14600 1.5991e+01 7.087800 9.0242e-01 2.3626e+00 3.822800 1.059200
954 9.81930 1.0820e+01 5.845900 7.3420e-01 1.9486e+00 3.163100 1.015100
955 4.47670 4.3298e+00 2.040400 2.2241e-01 6.8015e-01 1.137900 0.983510
956 1.31880 2.5560e+00 1.477300 2.1337e-01 5.0685e-01 0.757120 1.477300
957 258.35000 1.2383e+02 74.644000 9.0327e+00 2.5157e+01 40.454000 2.045200
958 0.15937 1.7021e+00 0.065699 9.1089e-03 2.1900e-02 0.034691 0.065699
959 0.27517 2.3607e+00 0.610590 5.8648e-02 2.0353e-01 0.348410 0.610590
960 0.39248 4.5560e+00 0.724340 1.3171e-01 2.6302e-01 0.329610 0.724340
961 0.26093 2.5717e-01 0.271090 9.1159e-03 6.8659e-02 0.193310 0.271090
962 0.24587 3.2592e-03 0.351400 6.1749e-03 8.2839e-02 0.262390 0.351400
963 0.26549 5.2087e-02 0.593520 7.2755e-03 1.5444e-01 0.431800 0.593520
964 34.98900 1.8915e+01 15.583000 1.3751e+00 5.2791e+00 8.928900 2.476500
965 74.95800 3.8704e+01 30.790000 3.2122e+00 1.0350e+01 17.229000 2.665800
966 5.71610 6.9469e+00 6.012300 7.3476e-01 2.0053e+00 3.272300 2.596600
967 0.76283 1.5095e+00 0.458210 3.2083e-02 1.5511e-01 0.271020 0.458210
968 745.95000 1.8848e+02 145.760000 1.1442e+01 4.8588e+01 85.734000 2.313700
969 8.97720 1.2611e+01 2.042800 2.3255e-01 6.8094e-01 1.129300 0.350590
970 0.64599 2.3537e+00 0.554390 8.7730e-02 1.8480e-01 0.281860 0.554390
971 247.73000 6.6250e+01 66.250000 3.5558e+00 2.3598e+01 39.096000 3.680500
972 5.43960 9.3323e+00 2.979900 5.0039e-01 9.9330e-01 1.486200 0.739940
973 14.69700 1.6511e+01 7.820500 1.0720e+00 2.6479e+00 4.100500 1.638000
974 2.14710 3.6987e+00 1.473800 2.1276e-01 5.1465e-01 0.746380 1.001100
975 6.38610 8.5019e+00 4.322500 6.1581e-01 1.4408e+00 2.265900 0.995510
976 0.99114 1.9083e+00 0.461620 5.2516e-02 1.5387e-01 0.255230 0.461620
977 1.22270 2.2185e+00 1.890200 1.3126e-01 6.3007e-01 1.128900 1.625900
978 4.63880 1.1127e+01 0.725050 1.4017e-01 2.4168e-01 0.343190 0.244750
979 7.52980 8.0209e+00 4.061000 5.2294e-01 1.3537e+00 2.184400 1.300700
980 7.44950 7.1956e+00 0.460540 1.9269e-02 1.3389e-01 0.307380 0.087142
981 272.26000 8.3411e+01 64.147000 4.8495e+00 2.1330e+01 37.967000 2.134900
982 1.92060 4.1919e+00 1.537600 8.8354e-02 5.6573e-01 0.883530 0.843180
983 7.50490 9.6986e+00 5.836900 4.9559e-01 1.9456e+00 3.395700 1.197900
984 5.92660 8.0138e+00 2.687300 3.6545e-01 9.0166e-01 1.420200 0.966260
985 67.31200 3.8893e+01 26.505000 1.8271e+00 8.8352e+00 15.843000 1.251300
986 5.11380 6.5372e+00 5.780500 6.2874e-01 2.1052e+00 3.046600 2.816100
987 0.50576 2.1556e+00 0.674070 8.7150e-02 2.2469e-01 0.362230 0.674070
988 0.83055 4.4095e+00 1.700800 2.8708e-01 6.5197e-01 0.761790 1.700800
989 0.24499 2.0834e-01 0.309760 1.0312e-02 7.9954e-02 0.219490 0.309760
990 30.21100 3.6572e+01 36.572000 2.4257e+00 1.5250e+01 18.897000 4.267500
991 0.34599 4.3021e+00 0.720200 1.2390e-01 2.7986e-01 0.316450 0.720200
992 3.58050 4.5498e+00 2.546400 1.6256e-01 8.7102e-01 1.512800 1.108400
993 4.20680 9.1149e+00 1.477300 1.8275e-01 4.9712e-01 0.797390 0.408150
994 588.89000 1.6430e+02 156.460000 1.5907e+01 5.2153e+01 88.399000 2.940300
995 0.76337 1.8556e+00 0.371300 3.3864e-02 1.2377e-01 0.213670 0.371300
996 1.64890 3.7044e+00 0.883000 1.0625e-01 3.0363e-01 0.473110 0.559660
997 0.58507 1.6521e+00 0.488680 5.2515e-02 1.6289e-01 0.273270 0.488680
998 1.15840 2.1095e+00 1.219200 9.3190e-02 4.2733e-01 0.698640 1.219200
999 40.91000 2.1579e+01 19.485000 1.9329e+00 6.4951e+00 11.057000 2.326200
1000 2.34110 6.7002e+00 0.888540 1.5641e-01 2.9618e-01 0.435950 0.456840
1001 1.01380 2.4544e+00 0.601110 9.5679e-02 2.0037e-01 0.305060 0.601110
1002 7.58310 8.0057e+00 7.080800 6.0471e-01 2.3610e+00 4.115200 2.263100
1003 12.38100 1.2255e+01 7.421500 7.6517e-01 2.4727e+00 4.183600 1.236900
1004 0.73788 1.7091e+00 0.681250 7.0919e-02 2.2705e-01 0.383280 0.681250
1005 0.43363 2.0021e+00 0.579000 1.0233e-01 1.9300e-01 0.283660 0.579000
1006 0.30365 1.5568e+00 0.461810 6.0899e-02 1.5394e-01 0.246970 0.461810
1007 0.43885 1.4583e+00 0.481860 3.8047e-02 1.6061e-01 0.283200 0.481860
1008 0.63814 2.1521e+00 0.598200 5.6988e-02 1.9940e-01 0.341810 0.598200
1009 1.88200 3.2710e+00 0.444770 4.5634e-02 1.4826e-01 0.250880 0.292430
1010 451.70000 1.8407e+02 121.140000 1.4958e+01 4.0379e+01 65.799000 2.357700
1011 7.71800 8.2587e+00 1.550100 2.2018e-01 5.1669e-01 0.813210 0.406210
1012 1.03720 2.4095e+00 0.530830 5.3759e-02 1.7694e-01 0.300130 0.530830
1013 0.28639 2.3607e+00 0.742760 6.7121e-02 2.6030e-01 0.415340 0.742760
1014 28.48700 2.3015e+01 16.364000 2.0151e+00 5.4548e+00 8.894400 1.951300
1015 0.44601 2.8583e+00 0.758780 8.6739e-02 2.5293e-01 0.419120 0.758780
1016 0.44150 3.5482e-01 0.862130 1.4790e-02 2.3451e-01 0.612830 0.862130
1017 0.69711 1.0583e+00 0.127820 3.2391e-03 3.0418e-02 0.094165 0.127820
1018 12.62600 1.0204e+01 6.664400 7.4531e-01 2.2216e+00 3.697600 1.332700
1019 2.27160 7.1975e+00 2.307200 2.9175e-01 8.1016e-01 1.205300 1.124600
1020 0.20273 1.5095e+00 0.324920 4.0188e-02 1.0830e-01 0.176420 0.324920
1021 1.50270 2.2527e+00 0.745010 5.0080e-02 2.5502e-01 0.439910 0.695590
1022 2.10570 3.9672e+00 0.672890 8.4512e-02 2.2430e-01 0.364080 0.339060
1023 8.97680 8.2714e+00 4.972700 4.9002e-01 1.6576e+00 2.825100 1.158700
1024 10.29500 1.1253e+01 6.489800 1.1534e+00 2.1637e+00 3.172700 1.081600
1025 13.77500 1.7171e+01 8.406800 1.1386e+00 2.8023e+00 4.466000 1.401100
1026 2.20430 6.6303e+00 0.600340 1.0613e-01 2.0011e-01 0.294100 0.290260
1027 0.85339 2.5595e+00 0.518350 8.3444e-02 1.7278e-01 0.262130 0.518350
1028 187.94000 8.2656e+01 40.704000 4.1994e+00 1.3568e+01 22.937000 1.152200
1029 0.38106 2.3107e+00 0.589850 6.2079e-02 1.9737e-01 0.330410 0.589850
1030 1.53630 2.8123e+00 0.277180 4.5393e-02 9.2393e-02 0.139390 0.227570
1031 8.38340 1.8457e+01 4.281500 6.9911e-01 1.4365e+00 2.145900 0.862410
1032 4.21990 3.5586e+00 3.028800 2.5751e-01 1.0089e+00 1.762400 1.401000
1033 0.41090 1.6017e+00 0.548100 5.7145e-02 1.8270e-01 0.308250 0.548100
1034 3.80330 5.3286e+00 2.064200 1.9126e-01 6.8807e-01 1.184900 0.713330
1035 0.25821 1.5517e+00 0.463270 3.4253e-02 1.5442e-01 0.274590 0.463270
1036 0.99818 1.9521e+00 0.542400 7.9555e-02 1.8080e-01 0.282040 0.542400
1037 4.83600 7.5257e+00 4.208200 6.5747e-01 1.4027e+00 2.148000 1.696000
1038 0.58338 2.3607e+00 0.761400 7.1708e-02 2.6867e-01 0.421020 0.761400
1039 0.29629 1.6521e+00 0.601500 4.1782e-02 2.0051e-01 0.359210 0.601500
1040 0.34706 4.4583e+00 0.664070 1.2212e-01 2.3814e-01 0.303810 0.664070
1041 0.94631 4.4583e+00 2.879300 4.3746e-01 1.2069e+00 1.234900 2.879300
1042 0.51606 2.0021e+00 0.432220 4.0309e-02 1.4407e-01 0.247840 0.432220
1043 67.01000 4.1102e+01 29.068000 2.5390e+00 9.6895e+00 16.840000 2.313600
1044 8.62430 9.6825e+00 5.942200 9.3360e-01 1.9833e+00 3.025400 0.990370
1045 6.13520 1.0105e+01 3.496100 3.0546e-01 1.1654e+00 2.025200 0.723950
1046 0.22580 1.4607e+00 0.133640 1.0441e-02 4.3891e-02 0.079309 0.133640
1047 0.58695 2.0607e+00 0.445720 7.1011e-02 1.4857e-01 0.226140 0.445720
1048 8.30540 1.2119e+01 5.481200 7.9764e-01 1.8271e+00 2.856500 1.023300
1049 0.54221 1.8607e+00 0.360900 3.3534e-02 1.2030e-01 0.207070 0.360900
1050 0.35066 1.7044e+00 0.498780 4.1086e-02 1.6626e-01 0.291430 0.498780
1051 3.93430 4.9123e+00 3.451800 3.4240e-01 1.1506e+00 1.958800 1.521100
1052 0.19570 3.0583e+00 0.768060 9.6961e-02 2.5602e-01 0.415080 0.768060
1053 1.40940 2.5595e+00 0.630900 7.1844e-02 2.1030e-01 0.348760 0.630900
1054 12.81600 1.5051e+01 5.120900 5.3512e-01 1.7070e+00 2.878800 0.741680
1055 125.39000 5.6711e+01 41.141000 5.5122e+00 1.3714e+01 21.915000 2.085000
1056 181.47000 5.9040e+01 57.991000 5.1702e+00 1.9338e+01 33.483000 3.487900
1057 20.70600 1.6684e+01 9.783900 8.9368e-01 3.3422e+00 5.548000 1.630700
1058 3.30260 7.2266e+00 1.832100 1.9374e-01 6.2967e-01 1.008700 0.760350
1059 167.68000 9.8492e+01 58.841000 8.5440e+00 1.9638e+01 30.659000 2.323000
1060 3.19450 5.7303e+00 1.511600 1.2714e-01 5.0387e-01 0.880610 0.529810
1061 55.16400 4.1731e+01 21.156000 2.1037e+00 7.1015e+00 11.951000 1.373100
1062 9.43430 1.0687e+01 4.647000 3.1789e-01 1.5434e+00 2.785700 0.774490
1063 9.44920 1.0465e+01 2.227300 2.3930e-01 7.4163e-01 1.246400 0.371220
1064 2.33500 6.4017e+00 2.309600 2.0941e-01 8.2168e-01 1.278500 1.180300
1065 6.03660 1.0036e+01 3.419600 3.3700e-01 1.1405e+00 1.942100 0.717140
1066 905.42000 1.9823e+02 178.570000 1.8303e+01 5.9524e+01 100.750000 3.434100
1067 0.68839 1.9521e+00 0.416400 8.3193e-02 1.3880e-01 0.194400 0.416400
1068 5.23670 7.2901e+00 3.891500 3.9373e-01 1.2972e+00 2.200600 0.912680
1069 81.13700 6.8859e+01 28.617000 3.4190e+00 9.8509e+00 15.347000 1.611400
1070 9.85670 1.4049e+01 6.239100 8.8175e-01 2.0797e+00 3.277600 1.069200
1071 0.12686 1.2607e+00 0.446870 3.2203e-02 1.4896e-01 0.265710 0.446870
1072 0.63328 2.4060e+00 1.205700 1.6943e-01 4.2135e-01 0.614900 1.205700
1073 36.93500 1.9480e+01 12.704000 9.6193e-01 4.2346e+00 7.507100 1.189900
1074 3.43070 7.0578e+00 1.436500 2.2532e-01 4.7883e-01 0.732340 0.474380
1075 154.80000 4.8792e+01 42.088000 4.2712e+00 1.4029e+01 23.787000 2.503900
1076 2.84040 5.5794e+00 2.537900 2.6335e-01 8.4595e-01 1.428500 0.982560
1077 0.39795 2.0021e+00 0.445510 3.7731e-02 1.4850e-01 0.259280 0.445510
1078 1.55640 3.3601e+00 0.734910 5.5611e-02 2.5348e-01 0.425820 0.492890
1079 14.24700 1.4294e+01 8.039300 4.4199e-01 2.6798e+00 4.917500 0.979130
1080 18.62500 2.2119e+01 11.608000 1.1175e+00 3.8694e+00 6.621200 1.439000
1081 1.22540 1.5826e+00 0.593580 3.2818e-02 1.9636e-01 0.364400 0.471960
1082 37.73500 2.7128e+01 18.128000 1.1464e+00 6.0427e+00 10.939000 1.548100
1083 20.90800 3.3586e+01 7.115100 8.7176e-01 2.3717e+00 3.871700 0.714080
1084 0.82462 2.2033e+00 0.545640 7.5407e-02 1.8188e-01 0.288350 0.545640
1085 1929.00000 3.3015e+02 330.150000 3.7288e+01 1.1158e+02 181.270000 4.301000
1086 9.96740 1.6696e+01 5.265100 7.0817e-01 1.7550e+00 2.801900 0.874570
1087 1852.70000 3.1875e+02 311.110000 4.7428e+01 1.0388e+02 159.810000 4.198000
1088 2.17980 5.0349e+00 0.834080 1.4948e-01 2.7803e-01 0.406570 0.407340
1089 35.38900 2.9606e+01 15.249000 1.4838e+00 5.0829e+00 8.682100 1.043400
1090 11.24500 1.4549e+01 6.125100 7.3156e-01 2.0417e+00 3.351800 0.914740
1091 0.29771 2.2583e+00 0.612930 7.2004e-02 2.0715e-01 0.333780 0.612930
1092 0.20546 1.7607e+00 0.053389 2.4103e-03 1.7331e-02 0.033648 0.053389
1093 84.95300 6.2491e+01 31.806000 4.3604e+00 1.0602e+01 16.843000 1.732300
1094 20.14900 1.9087e+01 7.285700 1.1247e+00 2.4286e+00 3.732400 0.902960
1095 25.74200 2.5556e+01 11.836000 1.1792e+00 4.1858e+00 6.471100 1.482300
1096 6.31540 1.4246e+01 2.763200 4.7835e-01 9.2105e-01 1.363800 0.710490
1097 102.26000 5.0714e+01 31.044000 1.8826e+00 1.0193e+01 18.968000 1.207600
1098 2.80520 6.4374e+00 0.895220 2.9841e-01 2.9841e-01 0.298410 0.427390
1099 5.80400 9.4158e+00 4.391000 6.6451e-01 1.4637e+00 2.262800 1.060900
1100 0.49271 4.5209e-01 0.057024 3.5126e-04 7.0409e-03 0.049631 0.057024
1101 0.72704 2.9521e+00 1.092200 1.3149e-01 4.0026e-01 0.560430 1.092200
1102 6.45550 8.7782e+00 1.619100 1.3377e-01 5.3962e-01 0.945670 0.322220
1103 9.28550 1.1009e+01 6.461400 1.1225e+00 2.1538e+00 3.185100 1.076900
1104 1018.40000 2.1340e+02 202.400000 2.4564e+01 6.7740e+01 110.100000 4.047400
1105 30.91600 2.3430e+01 19.411000 1.9117e+00 6.6692e+00 10.831000 2.222500
1106 0.83860 2.4595e+00 0.587550 6.4410e-02 1.9585e-01 0.327290 0.587550
1107 486.75000 1.4974e+02 128.910000 1.5703e+01 4.3659e+01 69.547000 3.789600
1108 10.57300 1.0860e+01 8.121700 1.2215e+00 2.7072e+00 4.193000 1.570200
1109 4.96990 7.8928e+00 2.256600 2.1926e-01 7.5220e-01 1.285100 0.551670
1110 66.22000 4.8571e+01 13.984000 1.3487e+00 4.6513e+00 7.984000 0.533430
1111 1.08730 2.4056e+00 0.558100 7.2544e-02 1.8603e-01 0.299520 0.558100
1112 175.62000 7.6364e+01 48.449000 5.5189e+00 1.6150e+01 26.780000 1.769600
1113 5.73870 1.0715e+01 4.195600 4.2865e-01 1.4141e+00 2.352900 0.915490
1114 54.02600 4.9704e+01 17.936000 2.4937e+00 5.9803e+00 9.461900 0.791770
1115 1.71950 3.9735e+00 1.358300 1.0265e-01 4.8108e-01 0.774570 0.933640
1116 9.48030 1.5842e+01 4.621000 6.4654e-01 1.5403e+00 2.434100 0.789540
1117 1106.70000 2.3028e+02 230.280000 1.7861e+01 7.8872e+01 133.550000 4.301800
1118 10.31200 9.8584e+00 4.866500 4.7310e-01 1.6220e+00 2.771400 0.910930
1119 85.37000 4.9212e+01 20.749000 1.9527e+00 6.9186e+00 11.878000 1.165300
1120 3.48480 5.1940e+00 2.131600 2.8040e-01 7.1471e-01 1.136500 0.821580
1121 1.87450 5.4042e+00 0.863590 2.0948e-01 2.8786e-01 0.366240 0.484420
1122 1.23860 3.3060e+00 1.008200 2.2361e-01 3.3741e-01 0.447180 1.008200
1123 50.53900 4.0783e+01 18.821000 3.4498e+00 6.2736e+00 9.097400 1.249900
1124 0.18832 1.3056e+00 0.155860 7.5978e-03 5.0440e-02 0.097819 0.155860
1125 0.81026 2.1521e+00 0.399530 3.7733e-02 1.3663e-01 0.225170 0.399530
1126 11.11500 1.6122e+01 5.420600 1.1488e+00 1.8069e+00 2.464900 0.943650
1127 0.36503 1.4521e+00 0.249310 2.0231e-02 8.6261e-02 0.142820 0.249310
1128 0.46168 1.2095e+00 0.179760 1.5999e-02 5.7757e-02 0.106010 0.179760
1129 1.97420 6.8575e+00 2.240200 6.3823e-01 7.5869e-01 0.843290 1.102100
1130 10.42400 1.0517e+01 6.450300 7.9318e-01 2.2003e+00 3.456900 1.748800
1131 6.14180 7.9447e+00 7.944700 5.1341e-01 2.8650e+00 4.566300 3.087600
1132 7.38630 5.1945e+00 1.038800 5.9167e-03 1.9446e-01 0.838430 0.186230
1133 1.71130 4.7353e+00 0.672890 9.1754e-02 2.2430e-01 0.356840 0.411470
1134 9.03530 9.8528e+00 4.764300 3.6935e-01 1.5801e+00 2.814900 0.794060
1135 17.76100 1.0844e+01 7.536700 8.2930e-01 2.5123e+00 4.195100 1.256100
1136 7.88730 8.8886e+00 1.326000 9.6364e-02 4.3415e-01 0.795460 0.223560
1137 3.45990 4.6488e+00 1.823100 1.2626e-01 6.0712e-01 1.089700 0.597810
1138 17.53400 1.7885e+01 10.168000 7.5802e-01 3.3895e+00 6.020400 1.434000
1139 1525.00000 3.1788e+02 256.250000 4.5881e+01 8.5425e+01 124.940000 3.462800
1140 5.42780 8.1140e+00 2.842300 2.2163e-01 9.4744e-01 1.673300 0.737440
1141 0.62479 2.0607e+00 0.337270 2.3737e-02 1.1716e-01 0.196370 0.337270
1142 5.64220 7.5847e+00 3.079300 2.6057e-01 1.0264e+00 1.792300 0.674920
1143 1704.60000 3.5482e+02 369.630000 8.8645e+00 1.3428e+02 226.480000 4.153300
1144 37.15800 2.2767e+01 13.724000 1.2541e+00 4.5746e+00 7.895000 1.261700
1145 633.35000 1.7338e+02 140.570000 1.5081e+01 4.7622e+01 77.868000 3.220600
1146 5.80630 8.7370e+00 4.651600 6.2992e-01 1.5719e+00 2.449900 1.555300
1147 7.37470 9.4355e+00 3.235000 2.2954e-01 1.0784e+00 1.927100 0.580670
1148 2.85890 4.0210e+00 0.946990 8.5849e-02 3.1566e-01 0.545480 0.447090
1149 8.79440 9.5670e+00 4.502400 5.6620e-01 1.5008e+00 2.435400 1.079500
1150 4.76940 9.4890e+00 2.163300 3.6370e-01 7.2111e-01 1.078500 0.617980
1151 15.07100 1.0422e+01 8.348200 7.2760e-01 2.7827e+00 4.837800 1.391400
1152 2.73920 4.9710e+00 3.366100 2.9598e-01 1.1386e+00 1.931500 1.598500
1153 1.09240 2.3033e+00 0.567480 5.0763e-02 1.9464e-01 0.322080 0.567480
1154 0.51671 2.4056e+00 0.539220 5.3408e-02 1.9616e-01 0.289650 0.539220
1155 12.08900 1.3473e+01 4.662700 4.9495e-01 1.5542e+00 2.613500 0.652420
1156 1.03420 2.9037e+00 0.554180 1.0454e-01 1.8473e-01 0.264910 0.554180
1157 1.10030 2.6295e+00 0.456150 9.3437e-02 1.5205e-01 0.210660 0.399760
1158 260.02000 7.6376e+01 73.671000 5.0450e+00 2.4557e+01 44.069000 2.085600
1159 1.13000 2.4584e+00 0.436980 4.2033e-02 1.4566e-01 0.249290 0.409860
1160 0.64438 1.6083e+00 0.383870 3.6668e-02 1.2796e-01 0.219240 0.383870
1161 11.02400 1.0068e+01 9.996500 7.3477e-01 3.6113e+00 5.650400 2.811400
1162 12.26000 9.8288e+00 8.892600 8.7329e-01 2.9893e+00 5.030000 2.622800
1163 49.92900 4.2993e+01 18.464000 2.0832e+00 6.1547e+00 10.226000 1.235000
1164 0.77294 2.7021e+00 0.468110 4.1236e-02 1.6013e-01 0.266750 0.468110
1165 84.73400 3.9434e+01 39.434000 2.0767e+00 1.3599e+01 23.758000 3.286200
1166 0.17343 1.1536e+00 0.458030 4.1357e-02 1.5268e-01 0.264000 0.458030
1167 939.00000 2.0626e+02 184.440000 1.9382e+01 6.1481e+01 103.580000 3.516600
1168 10.40500 1.3078e+01 3.173400 4.1320e-01 1.0578e+00 1.702400 0.531650
1169 3.58970 5.9205e+00 2.920600 2.8517e-01 9.7352e-01 1.661900 0.904100
1170 0.27745 1.8095e+00 0.394930 4.8154e-02 1.3164e-01 0.215130 0.394930
1171 42.22200 2.4823e+01 15.191000 1.2232e+00 5.0635e+00 8.903800 1.265900
1172 0.38880 1.4572e+00 0.373110 2.8492e-02 1.2439e-01 0.220230 0.373110
1173 54.71700 2.9221e+01 23.434000 1.7300e+00 7.8112e+00 13.892000 1.790700
1174 8.76370 1.2147e+01 5.601200 5.9753e-01 1.8671e+00 3.136600 0.981340
1175 10.45800 9.3524e+00 6.816200 4.0247e-01 2.2692e+00 4.144500 1.136000
1176 0.25289 2.9037e+00 0.335250 7.2725e-02 1.1175e-01 0.150770 0.335250
1177 1902.50000 3.2524e+02 325.240000 3.0790e+01 1.1065e+02 183.800000 4.165000
1178 9.50540 1.0343e+01 7.494700 7.0096e-01 2.4983e+00 4.295500 1.676200
1179 1.00550 2.5521e+00 0.475140 7.5488e-02 1.5838e-01 0.241270 0.475140
1180 0.63232 1.6607e+00 0.408840 4.0732e-02 1.3624e-01 0.231870 0.408840
1181 0.30182 1.7060e+00 0.400100 4.8205e-02 1.3337e-01 0.218530 0.400100
1182 0.40295 1.7548e+00 0.284540 3.5569e-02 9.4840e-02 0.154140 0.284540
1183 501.61000 1.6151e+02 136.360000 1.3671e+01 4.5452e+01 77.233000 2.863300
1184 0.26071 1.7095e+00 0.070747 7.1525e-03 2.3320e-02 0.040275 0.070747
1185 58.24400 2.6900e+01 25.416000 2.5299e+00 8.6816e+00 14.205000 3.411100
1186 0.16627 1.7072e+00 0.432620 5.6705e-02 1.4420e-01 0.231710 0.432620
1187 19.18100 1.8697e+01 11.688000 1.3575e+00 3.9113e+00 6.419100 1.601400
1188 1.26410 3.3396e+00 1.315000 1.1554e-01 4.6135e-01 0.738080 1.091400
1189 0.68290 2.5536e+00 0.600910 1.3015e-01 2.0030e-01 0.270460 0.600910
1190 4.52830 8.8796e+00 2.951900 4.0145e-01 9.8397e-01 1.566500 0.777320
1191 0.93862 4.2044e+00 1.117000 1.7268e-01 3.7245e-01 0.571840 1.117000
1192 21.04000 1.5472e+01 7.914100 6.5916e-01 2.6354e+00 4.619500 0.766930
1193 0.43459 1.6533e+00 0.122630 1.0745e-02 4.0483e-02 0.071403 0.122630
1194 228.80000 7.8869e+01 71.160000 7.6572e+00 2.3720e+01 39.783000 2.604000
1195 998.31000 2.4722e+02 231.750000 2.3453e+01 7.7271e+01 131.030000 3.666800
1196 18.58700 2.0158e+01 6.745000 6.8042e-01 2.2483e+00 3.816200 0.706640
1197 2.44810 4.7688e+00 0.568100 3.9670e-02 1.8904e-01 0.339390 0.250200
1198 0.70996 2.6107e+00 0.593260 7.6420e-02 2.0461e-01 0.312240 0.593260
1199 1.02860 1.1521e+00 0.620370 3.4755e-02 2.1235e-01 0.373260 0.620370
1200 7.60730 1.2181e+01 3.137700 2.5489e-01 1.0459e+00 1.836900 0.549860
1201 168.88000 6.5371e+01 52.914000 6.0487e+00 1.7635e+01 29.230000 1.756500
1202 0.43024 1.8072e+00 0.435250 5.4251e-02 1.4508e-01 0.235920 0.435250
1203 0.41564 1.9048e+00 0.326100 4.3672e-02 1.0870e-01 0.173730 0.326100
1204 424.41000 1.4512e+02 109.980000 1.1093e+01 3.6661e+01 62.228000 2.749500
1205 3.48520 5.5773e+00 0.670290 5.6635e-02 1.9701e-01 0.416640 0.218480
1206 18.36300 1.1017e+01 8.649500 8.2647e-01 2.8832e+00 4.939800 1.441600
1207 1.78520 3.6642e+00 0.894380 1.9516e-01 2.9903e-01 0.400190 0.525290
1208 3.35190 4.9392e+00 2.125900 2.1429e-01 7.0863e-01 1.203000 0.792290
1209 17.33000 2.3702e+01 6.041700 8.1685e-01 2.0139e+00 3.211000 0.587070
1210 9.11500 1.1651e+01 6.254400 6.4825e-01 2.0848e+00 3.521400 1.045000
1211 199.95000 8.2888e+01 60.001000 6.9344e+00 2.0000e+01 33.066000 1.988700
1212 10.46900 9.9471e+00 7.210000 8.5359e-01 2.4033e+00 3.953100 1.873100
1213 0.31767 1.8583e+00 0.482160 4.3183e-02 1.6072e-01 0.278260 0.482160
1214 4.10090 8.1827e+00 1.516700 2.1588e-01 5.0556e-01 0.795230 0.492530
1215 1.71940 2.9489e+00 0.437590 3.5637e-02 1.4611e-01 0.255840 0.319360
1216 1.28060 2.7086e+00 0.475140 7.4708e-02 1.5838e-01 0.242050 0.413760
1217 3.63300 3.7421e+00 2.053700 9.8706e-02 6.7684e-01 1.278200 0.613630
1218 0.93296 2.6107e+00 0.424250 5.6961e-02 1.4142e-01 0.225870 0.424250
1219 0.26771 1.7521e+00 0.302500 4.0933e-02 1.0083e-01 0.160730 0.302500
1220 3.19920 7.3827e+00 0.935130 1.2929e-01 3.1171e-01 0.494130 0.321260
1221 0.40202 1.9048e+00 0.442230 5.4500e-02 1.4741e-01 0.240320 0.442230
1222 1499.30000 3.0309e+02 285.220000 2.2731e+01 9.5800e+01 166.680000 3.505600
1223 18.31400 1.6171e+01 9.473100 8.1310e-01 3.2653e+00 5.394700 1.578900
1224 0.22154 1.1048e+00 0.298680 2.6448e-02 9.9559e-02 0.172670 0.298680
1225 7.45900 1.0812e+01 4.057400 5.1760e-01 1.4257e+00 2.114100 1.264600
1226 2.54060 6.3928e+00 2.513100 3.5727e-01 8.3771e-01 1.318200 1.059900
1227 0.38424 2.8607e+00 0.196370 2.3968e-02 6.5457e-02 0.106950 0.196370
1228 1.35960 4.1274e+00 0.634480 9.3542e-02 2.1149e-01 0.329440 0.453620
1229 152.79000 6.9241e+01 39.928000 4.0136e+00 1.3309e+01 22.605000 1.518600
1230 4.74760 7.8678e+00 3.370700 3.6355e-01 1.1236e+00 1.883600 1.006100
1231 5.21710 1.3116e+01 2.839100 7.2106e-01 9.4637e-01 1.171700 0.618560
1232 9.02730 1.1945e+01 2.829700 3.5211e-01 9.4324e-01 1.534400 0.471620
1233 0.33301 2.4107e+00 0.562640 5.5683e-02 1.8755e-01 0.319410 0.562640
1234 0.23779 1.4548e+00 0.473880 4.6364e-02 1.5796e-01 0.269560 0.473880
1235 1.54840 4.0091e+00 0.287730 5.4667e-02 9.5912e-02 0.137160 0.287730
1236 6.48990 9.4453e+00 2.101800 2.1068e-01 6.9934e-01 1.191800 0.416570
1237 6.37390 1.1087e+01 1.726700 2.4187e-01 5.7556e-01 0.909250 0.347060
1238 911.12000 2.1515e+02 200.520000 1.5237e+01 6.6841e+01 118.440000 3.182900
1239 1.83900 3.5762e+00 0.650620 4.6657e-02 2.1713e-01 0.386830 0.418070
1240 0.45857 2.3607e+00 0.755250 7.1551e-02 2.5938e-01 0.424330 0.755250
1241 0.18809 1.5556e+00 0.436190 3.1196e-02 1.4540e-01 0.259600 0.436190
1242 35.27300 2.8875e+01 13.419000 8.9875e-01 4.4728e+00 8.047500 0.833210
1243 521.90000 1.3216e+02 127.680000 1.1583e+01 4.2560e+01 73.537000 2.743500
1244 5.55430 9.8235e+00 5.276900 6.0828e-01 1.7774e+00 2.891300 1.750700
1245 12.00300 8.7696e+00 8.418000 8.6910e-01 2.8019e+00 4.747100 2.665000
1246 20.44800 2.5646e+01 5.203300 5.4391e-01 1.7485e+00 2.910800 0.470080
1247 5.27450 9.0490e+00 1.682900 1.6683e-01 5.6099e-01 0.955130 0.392460
1248 0.24682 5.0834e-01 0.177660 9.2224e-03 4.8444e-02 0.119990 0.177660
1249 3.46300 6.5199e+00 0.740930 1.4883e-01 2.4825e-01 0.343850 0.237000
1250 29.65700 3.4110e+01 10.989000 9.1075e-01 3.6827e+00 6.395900 0.915780
1251 0.79960 2.2107e+00 0.550410 6.2266e-02 1.8347e-01 0.304680 0.550410
1252 11.80700 1.1336e+01 3.804400 3.6836e-01 1.2653e+00 2.170700 0.610410
1253 0.68768 2.5083e+00 0.437070 6.5278e-02 1.4569e-01 0.226100 0.437070
1254 4.98340 8.1595e+00 5.339700 5.1434e-01 1.7873e+00 3.038000 2.121200
1255 350.61000 9.0406e+01 84.646000 5.3960e+00 2.8215e+01 51.035000 2.116200
1256 784.61000 1.7834e+02 156.420000 1.7890e+01 5.2252e+01 86.279000 3.181500
1257 2.43020 8.5976e+00 0.685270 1.4261e-01 2.2842e-01 0.314230 0.345930
1258 10.59200 1.4071e+01 1.977300 2.9922e-01 6.5910e-01 1.019000 0.311230
1259 656.29000 1.9812e+02 128.000000 1.1279e+01 4.2666e+01 74.054000 2.021500
1260 0.62892 1.5521e+00 0.460700 4.8754e-02 1.5357e-01 0.258380 0.460700
1261 7.24270 1.0236e+01 2.295300 2.3784e-01 7.6509e-01 1.292300 0.471780
1262 0.22906 1.6607e+00 0.290470 2.9575e-02 9.6823e-02 0.164070 0.290470
1263 8.53350 1.0662e+01 5.701900 7.8870e-01 1.9013e+00 3.011900 1.389000
1264 0.30179 1.7095e+00 0.537550 5.8361e-02 1.7918e-01 0.300010 0.537550
1265 0.39041 1.8560e+00 0.503480 9.8088e-02 1.6804e-01 0.237350 0.503480
1266 8.29540 8.4387e+00 6.354200 2.8437e-01 2.1272e+00 3.942700 1.241500
1267 18.98100 1.3140e+01 9.071700 1.2852e+00 3.0239e+00 4.762600 1.511900
1268 2.18970 3.8460e+00 0.871190 1.2084e-01 2.9104e-01 0.459310 0.410500
1269 0.92624 2.7095e+00 0.577080 7.5179e-02 1.9435e-01 0.307550 0.577080
1270 0.70244 2.3036e+00 0.457470 5.8922e-02 1.5249e-01 0.246060 0.457470
1271 1763.20000 3.1524e+02 296.110000 4.5926e+01 9.8704e+01 151.480000 3.998800
1272 5.09860 8.8474e+00 0.537440 8.1431e-02 1.7944e-01 0.276560 0.152670
1273 8.77560 1.3802e+01 5.347200 8.0539e-01 1.7824e+00 2.759400 0.891200
1274 1.40460 3.6169e+00 0.393470 5.5022e-02 1.3116e-01 0.207290 0.267020
1275 0.51860 2.2548e+00 0.626950 6.2970e-02 2.2381e-01 0.340170 0.626950
1276 1158.40000 2.8703e+02 220.760000 1.9947e+01 7.3586e+01 127.220000 2.759500
1277 4.90880 7.5230e+00 3.006900 3.8144e-01 1.0025e+00 1.623000 0.742360
1278 0.32893 1.6107e+00 0.370160 4.6995e-02 1.2339e-01 0.199780 0.370160
1279 0.39794 1.6607e+00 0.558890 6.1942e-02 1.8630e-01 0.310650 0.558890
1280 7.06840 7.4466e+00 2.869700 2.7657e-01 9.5657e-01 1.636600 0.592290
1281 4.33960 9.0702e+00 1.538900 1.9608e-01 5.1297e-01 0.829860 0.419350
1282 3.03150 6.4643e+00 2.083000 2.9415e-01 6.9438e-01 1.094500 0.873660
1283 7.45460 1.3965e+01 4.952100 6.7835e-01 1.6599e+00 2.613800 1.074100
1284 3.04100 6.7627e+00 1.919800 1.9369e-01 6.3992e-01 1.086100 0.688070
1285 25.70500 2.5914e+01 9.612700 1.2952e+00 3.2042e+00 5.113300 0.728650
1286 14.36500 1.7542e+01 7.023700 1.2609e+00 2.3412e+00 3.421600 1.233500
1287 828.70000 1.8366e+02 165.940000 1.8815e+01 5.5461e+01 91.668000 3.458800
1288 2.53970 3.8780e+00 1.298800 1.7095e-01 4.3368e-01 0.694190 0.648870
1289 1774.70000 3.1240e+02 298.820000 4.4799e+01 9.9781e+01 154.240000 4.061500
1290 20.66900 1.5421e+01 9.090300 1.3380e+00 3.0301e+00 4.722200 1.244400
1291 195.09000 7.2873e+01 56.874000 9.3624e+00 1.8967e+01 28.544000 1.703600
1292 17.82600 2.3308e+01 7.030700 8.5685e-01 2.3436e+00 3.830300 0.667510
1293 7.49550 1.1721e+01 1.957100 4.3873e-01 6.5278e-01 0.865550 0.326180
1294 2.87320 7.6895e+00 0.545790 9.4803e-02 1.8193e-01 0.269060 0.232140
1295 6.23440 9.0542e+00 3.759800 3.9388e-01 1.2951e+00 2.070800 1.263100
1296 354.21000 1.1662e+02 99.393000 8.3291e+00 3.3380e+01 57.684000 2.993700
1297 3.65110 8.8446e+00 2.126600 2.7622e-01 7.0887e-01 1.141500 0.655210
1298 10.55300 1.2115e+01 1.384000 1.8956e-01 4.6189e-01 0.732520 0.227260
1299 8.40970 1.0257e+01 6.816900 1.0002e+00 2.2723e+00 3.544400 1.471600
1300 4.17250 9.0593e+00 2.138000 1.9790e-01 7.3922e-01 1.200900 0.601370
1301 0.42201 2.4583e+00 0.481470 4.0362e-02 1.6049e-01 0.280620 0.481470
1302 15.26000 1.6227e+01 8.829600 5.5610e-01 2.9501e+00 5.323400 1.014600
1303 0.27617 1.6107e+00 0.416720 3.3187e-02 1.3976e-01 0.243770 0.416720
1304 0.32427 1.6107e+00 0.332380 2.5788e-02 1.1809e-01 0.188500 0.332380
1305 0.81456 1.7095e+00 0.615900 3.7009e-02 2.1172e-01 0.367170 0.615900
1306 0.18559 1.6021e+00 0.423810 2.4040e-02 1.4234e-01 0.257430 0.423810
1307 0.63128 1.6607e+00 0.426420 4.7796e-02 1.4214e-01 0.236480 0.426420
1308 1508.40000 3.4768e+02 347.680000 2.6040e+01 1.1502e+02 206.620000 4.199900
1309 12.57000 1.7620e+01 4.983000 6.6972e-01 1.6921e+00 2.621200 0.830510
1310 7.44980 1.4037e+01 2.829600 5.3036e-01 9.4322e-01 1.356100 0.503940
1311 3.40940 8.0978e+00 0.600860 9.6995e-02 2.0037e-01 0.303500 0.199450
1312 0.40577 1.8583e+00 0.333700 2.8188e-02 1.1123e-01 0.194280 0.333700
1313 1.38770 3.5010e+00 2.150300 1.7345e-01 7.7177e-01 1.205100 1.782200
1314 1853.00000 3.4784e+02 347.840000 1.4955e+01 1.2036e+02 212.520000 4.294400
1315 3.35790 7.3410e+00 2.326400 6.1094e-01 7.7546e-01 0.939980 0.763240
1316 0.83398 2.3583e+00 0.357810 2.9702e-02 1.1927e-01 0.208840 0.357810
1317 2.93710 8.9814e+00 0.686510 1.1178e-01 2.2884e-01 0.345900 0.258310
1318 6.46960 1.1877e+01 2.947800 2.4936e-01 9.8262e-01 1.715900 0.559640
1319 1472.00000 2.8577e+02 285.770000 2.2269e+01 9.7644e+01 165.860000 4.202500
1320 8.33160 8.9874e+00 6.944700 1.1570e+00 2.3149e+00 3.472800 1.970500
1321 330.99000 9.8232e+01 88.948000 5.6765e+00 2.9769e+01 53.503000 2.398100
1322 2.09600 5.1423e+00 0.654230 8.2004e-02 2.1808e-01 0.354150 0.331060
1323 4.84120 8.6533e+00 2.651900 5.1974e-01 8.8408e-01 1.248100 0.662000
1324 3.07270 4.4835e+00 1.118000 9.7123e-02 3.7268e-01 0.648230 0.434380
1325 3.48710 6.8150e+00 1.327100 1.2177e-01 4.4240e-01 0.762920 0.432360
1326 0.98419 1.0083e+00 0.536740 3.1823e-02 1.7826e-01 0.326660 0.536740
1327 0.16455 9.1068e-01 0.221110 1.2433e-02 7.3099e-02 0.135580 0.221110
1328 0.92551 2.6107e+00 0.752010 8.6734e-02 2.5076e-01 0.414520 0.752010
1329 0.84144 2.1521e+00 0.380960 3.9928e-02 1.2699e-01 0.214050 0.380960
1330 1.14250 2.5883e+00 0.428320 3.8250e-02 1.4277e-01 0.247300 0.396850
1331 0.43337 1.7021e+00 0.416550 4.4223e-02 1.3885e-01 0.233480 0.416550
1332 6.91660 1.5236e+01 1.214300 1.0153e-01 4.1499e-01 0.697780 0.219040
1333 16.10000 1.9605e+01 9.810000 1.0287e+00 3.3253e+00 5.456100 1.364100
1334 1259.90000 2.5689e+02 256.450000 2.2195e+01 8.7593e+01 146.660000 4.349800
1335 1.18950 4.4583e+00 1.293800 2.1264e-01 4.3949e-01 0.641650 1.293800
1336 0.24356 1.5083e+00 0.279640 1.8725e-02 9.3213e-02 0.167700 0.279640
1337 0.26744 1.4107e+00 0.078103 3.4073e-03 2.4070e-02 0.050626 0.078103
1338 5.86670 8.4516e+00 3.893000 4.9941e-01 1.2976e+00 2.096000 0.815490
1339 21.58700 2.1483e+01 10.742000 1.1342e+00 3.6113e+00 5.996400 1.232300
1340 4.55740 5.0433e+00 2.217600 2.3158e-01 7.5943e-01 1.226600 1.141500
1341 0.70651 1.9521e+00 0.364750 3.3439e-02 1.2158e-01 0.209730 0.364750
1342 0.26233 1.5521e+00 0.142520 1.5308e-02 4.7459e-02 0.079751 0.142520
1343 0.33616 2.0521e+00 0.400730 4.3664e-02 1.4026e-01 0.216810 0.400730
1344 0.48884 2.3548e+00 0.308100 3.9874e-02 1.0308e-01 0.165140 0.308100
1345 1.03730 2.2572e+00 0.882160 7.3119e-02 3.2676e-01 0.482280 0.882160
1346 3.14270 7.4486e+00 1.070200 1.3754e-01 3.5927e-01 0.573420 0.375120
1347 11.75900 1.2209e+01 3.574700 4.6575e-01 1.1916e+00 1.917400 0.595790
1348 803.33000 2.0275e+02 167.760000 1.5435e+01 5.6247e+01 96.078000 3.388400
1349 0.64125 3.1060e+00 0.827070 1.3781e-01 2.7569e-01 0.413570 0.827070
1350 0.58472 1.9060e+00 0.467470 5.6095e-02 1.5582e-01 0.255560 0.467470
1351 733.16000 1.7736e+02 171.290000 9.3774e+00 5.7621e+01 104.290000 3.538500
1352 4.45650 6.9702e+00 6.766000 5.5007e-01 2.5660e+00 3.649900 3.210100
1353 1.61170 2.9993e+00 1.033100 8.6318e-02 3.5500e-01 0.591740 0.758740
1354 4.48120 9.7552e+00 3.227000 3.9207e-01 1.1675e+00 1.667400 1.072500
1355 2.18950 2.1048e+00 0.466670 5.5247e-02 1.5551e-01 0.255910 0.466670
1356 2.71830 3.8804e+00 0.887770 1.7262e-01 2.9594e-01 0.419210 0.437510
1357 45.16400 3.3382e+01 17.647000 2.0124e+00 5.8825e+00 9.752500 1.204600
1358 2.29450 5.0209e+00 4.298200 3.9723e-01 1.6649e+00 2.236000 3.227900
1359 4.02280 5.8762e+00 4.044900 2.8930e-01 1.5251e+00 2.230500 2.620600
1360 9.91170 1.1405e+01 6.240100 5.7332e-01 2.0800e+00 3.586700 1.172200
1361 4.15150 1.0145e+01 2.149600 6.2729e-01 7.1654e-01 0.805780 0.562160
1362 2.02310 4.6171e+00 1.763300 2.2413e-01 6.3365e-01 0.905550 1.190200
1363 0.86754 2.0107e+00 0.440170 4.7406e-02 1.4672e-01 0.246040 0.440170
1364 0.87577 1.6595e+00 0.720210 6.8997e-02 2.4007e-01 0.411150 0.720210
1365 256.55000 8.6713e+01 77.241000 7.7498e+00 2.5663e+01 43.828000 2.208800
1366 0.64098 2.1107e+00 0.273190 2.0976e-02 9.6793e-02 0.155430 0.273190
1367 11.93800 1.1314e+01 7.676800 3.7653e-01 2.5750e+00 4.725300 1.283100
1368 165.58000 4.7365e+01 43.465000 3.2081e+00 1.4488e+01 25.770000 1.498800
1369 3.47470 5.5000e+00 3.148300 1.7015e-01 1.0611e+00 1.917000 1.128000
1370 0.73159 1.7595e+00 0.418910 3.7565e-02 1.3987e-01 0.241480 0.418910
1371 0.87980 2.6107e+00 0.337090 3.9809e-02 1.1450e-01 0.182780 0.337090
1372 1.84840 3.7824e+00 0.361150 4.5302e-02 1.2038e-01 0.195460 0.205260
1373 1.01280 2.1521e+00 0.349090 4.9954e-02 1.1636e-01 0.182770 0.349090
1374 2.16240 4.5345e+00 3.947400 5.3770e-01 1.4850e+00 1.924700 3.383000
1375 2.18440 2.6279e+00 1.307600 6.8363e-02 4.3307e-01 0.806210 0.637390
1376 2.59020 4.8119e+00 0.857490 9.8869e-02 2.8583e-01 0.472790 0.416160
1377 22.99200 1.7698e+01 12.771000 1.5879e+00 4.2570e+00 6.926100 1.406500
1378 2.81800 3.7349e+00 0.971340 7.7346e-02 3.2378e-01 0.570210 0.464690
1379 13.08900 1.0010e+01 6.908500 5.0174e-01 2.3028e+00 4.103900 1.151400
1380 8.55040 1.8694e+01 2.510400 2.5485e-01 8.9677e-01 1.358700 0.469140
1381 4.87250 1.4661e+01 4.162300 4.9364e-01 1.4538e+00 2.214900 1.211900
1382 4.09370 7.9380e+00 7.518000 9.0609e-01 2.9510e+00 3.660900 4.103600
1383 2.62040 6.5626e+00 6.562600 6.4911e-01 2.4729e+00 3.440500 4.466900
1384 240.84000 8.3384e+01 75.141000 6.5647e+00 2.5140e+01 43.437000 3.040400
1385 3.44440 5.0948e+00 3.346100 3.0390e-01 1.1323e+00 1.909800 1.558300
1386 8.06420 1.3622e+01 3.604500 5.8888e-01 1.2015e+00 1.814100 0.603910
1387 2.68490 4.2289e+00 3.004100 2.8402e-01 1.0014e+00 1.718700 1.256600
1388 39.31800 3.9627e+01 13.660000 2.4025e+00 4.5548e+00 6.703100 0.614100
1389 0.35787 1.6033e+00 0.498490 4.5589e-02 1.6616e-01 0.286740 0.498490
1390 2.34140 4.6048e+00 0.730160 1.4165e-01 2.4438e-01 0.344130 0.730160
1391 0.73034 2.4544e+00 0.605210 5.6929e-02 2.0226e-01 0.346020 0.605210
1392 280.93000 7.5776e+01 72.689000 5.5167e+00 2.4230e+01 42.943000 1.796400
1393 2.37890 7.1581e+00 0.228300 3.3017e-02 7.6118e-02 0.119170 0.103120
1394 0.26524 2.2107e+00 0.119890 1.3694e-02 3.9802e-02 0.066390 0.119890
1395 4.10770 3.7949e+00 3.581100 2.8880e-01 1.1187e+00 2.173600 1.360900
1396 11.18300 1.1592e+01 6.926700 5.0023e-01 2.5242e+00 3.902200 1.317400
1397 1.80150 6.7114e+00 1.360600 2.3954e-01 4.7002e-01 0.651050 0.900340
1398 1.38850 2.2019e+00 0.585280 6.1267e-02 1.9489e-01 0.329130 0.440800
1399 196.70000 6.7285e+01 51.953000 4.3121e+00 1.7318e+01 30.323000 1.590300
1400 1.49880 3.5907e+00 0.495550 7.0425e-02 1.6520e-01 0.259920 0.345050
1401 13.54500 1.2407e+01 4.703800 6.8486e-01 1.5679e+00 2.451000 0.756410
1402 3.79570 8.0518e+00 7.045400 9.1630e-01 2.6583e+00 3.470800 3.710800
1403 1.05760 3.9107e+00 1.557600 2.3923e-01 5.3345e-01 0.784890 1.557600
1404 0.86835 2.7017e+00 0.967500 1.2916e-01 3.2739e-01 0.510950 0.967500
1405 0.51579 1.7521e+00 0.911440 1.6088e-01 3.0616e-01 0.444400 0.911440
1406 1.85250 1.9506e+00 2.099300 9.3559e-02 7.0156e-01 1.304200 1.864300
1407 0.99902 1.6544e+00 1.627300 1.1225e-01 5.4097e-01 0.974040 1.627300
1408 6.79950 7.6140e+00 3.851500 4.5504e-01 1.2838e+00 2.112600 1.385000
1409 0.25752 2.1107e+00 0.168060 3.2151e-02 5.6021e-02 0.079892 0.168060
1410 9.42570 7.9264e+00 5.311400 4.1525e-01 1.7705e+00 3.125700 1.378700
1411 13.68900 1.1993e+01 7.530800 7.7833e-01 2.5103e+00 4.242200 1.659300
1412 1.11840 1.7595e+00 0.522570 4.6210e-02 1.7419e-01 0.302170 0.522570
1413 0.53587 2.2048e+00 0.393970 4.3861e-02 1.3476e-01 0.215340 0.393970
1414 7.07380 1.3373e+01 3.144800 4.8935e-01 1.0483e+00 1.607200 0.630880
1415 881.79000 2.8877e+02 149.720000 2.9751e+01 4.9906e+01 70.061000 2.167500
1416 0.63924 2.1021e+00 0.302530 4.8033e-02 1.0084e-01 0.153650 0.302530
1417 6.72290 1.2842e+01 3.607600 4.5885e-01 1.2169e+00 1.931800 0.918090
1418 990.26000 2.2945e+02 246.500000 4.8062e+00 8.9820e+01 151.880000 4.141000
1419 4.28760 7.3458e+00 6.031300 6.1532e-01 2.3477e+00 3.068300 3.301000
1420 0.30913 4.1556e+00 0.792180 1.1824e-01 2.9316e-01 0.380780 0.792180
1421 2.50230 6.2894e+00 2.490900 2.8798e-01 9.1427e-01 1.288600 1.592000
1422 1.84480 4.7814e+00 4.781400 3.7913e-01 1.8059e+00 2.596400 4.260500
1423 1.44530 1.6544e+00 1.901900 6.1258e-02 6.3426e-01 1.206400 1.901900
1424 3.97420 5.1645e+00 1.423300 2.0657e-01 4.7443e-01 0.742300 0.552770
1425 1.41550 1.7521e+00 2.113100 8.0140e-02 7.0425e-01 1.328700 2.113100
1426 619.74000 1.3939e+02 128.250000 9.7707e+00 4.3015e+01 75.466000 3.206300
1427 3.77390 9.6324e+00 1.352900 1.8259e-01 4.5114e-01 0.719140 0.391980
1428 2.13210 3.3063e+00 0.282020 2.6219e-02 8.6502e-02 0.169290 0.136090
1429 4.36500 7.5785e+00 3.628000 3.5783e-01 1.2096e+00 2.060600 1.001600
1430 90.30700 5.9051e+01 23.045000 2.1679e+00 7.6794e+00 13.198000 1.002000
1431 1.33600 2.4432e+00 0.575680 3.8573e-02 1.9686e-01 0.340240 0.517140
1432 0.84627 2.3583e+00 0.310350 4.0504e-02 1.0345e-01 0.166400 0.310350
1433 1830.90000 3.4417e+02 344.170000 1.6851e+01 1.1781e+02 209.500000 4.300700
1434 11.21900 1.8304e+01 3.794600 5.1036e-01 1.2649e+00 2.019400 0.530970
1435 0.68569 4.4095e+00 0.324740 3.7274e-02 1.0821e-01 0.179260 0.324740
1436 215.78000 8.1300e+01 75.666000 8.1478e+00 2.5781e+01 41.738000 3.766300
1437 4.95690 8.6295e+00 2.256000 2.0852e-01 7.5199e-01 1.295500 0.526420
1438 0.62081 1.7107e+00 0.268550 1.9772e-02 8.9515e-02 0.159260 0.268550
1439 1151.40000 3.0114e+02 194.390000 3.6882e+01 6.4796e+01 92.710000 2.697400
1440 3.58920 8.5373e+00 3.261000 3.5114e-01 1.0870e+00 1.822900 1.042600
1441 0.21888 2.0036e+00 0.408720 4.3003e-02 1.4664e-01 0.219070 0.408720
1442 2.46810 2.4583e+00 0.907460 1.0014e-01 2.8364e-01 0.523680 0.396810
1443 19.42200 2.0008e+01 7.955700 9.3554e-01 2.6519e+00 4.368300 0.873520
1444 86.33700 4.0909e+01 30.919000 2.8340e+00 1.0453e+01 17.632000 2.198000
1445 15.14200 1.4416e+01 8.022000 9.4223e-01 2.6740e+00 4.405800 1.075700
1446 3.35200 6.7385e+00 0.394930 9.9463e-02 1.3164e-01 0.163820 0.269860
1447 1.83220 3.1373e+00 1.648600 1.6236e-01 5.4953e-01 0.936700 0.944780
1448 1.05230 2.6544e+00 0.642130 8.2740e-02 2.1404e-01 0.345350 0.642130
1449 0.86538 1.8048e+00 0.467230 5.4310e-02 1.5574e-01 0.257180 0.467230
1450 1.79500 3.1521e+00 1.516300 1.8289e-01 5.2456e-01 0.808890 1.516300
1451 0.74639 1.5568e+00 1.100400 1.3657e-01 3.6778e-01 0.596000 1.100400
1452 3.04980 4.6302e+00 1.027900 1.3041e-01 3.4264e-01 0.554880 0.401950
1453 0.36849 1.2021e+00 0.420900 5.1968e-02 1.3317e-01 0.235760 0.420900
1454 102.69000 9.8653e+01 70.688000 6.6778e+00 2.6773e+01 37.238000 2.594700
1455 0.91660 4.3021e+00 1.223300 1.6399e-01 4.1229e-01 0.646980 1.223300
1456 5.92530 8.8509e+00 3.231600 5.0972e-01 1.0772e+00 1.644700 0.770660
1457 17.34000 1.5187e+01 9.877900 1.0583e+00 3.2939e+00 5.525600 1.339400
1458 1215.50000 2.7450e+02 235.850000 2.6474e+01 7.8877e+01 130.500000 3.668300
1459 1.36760 2.7181e+00 0.652360 9.7025e-02 2.1745e-01 0.337880 0.576490
1460 3.74380 8.2777e+00 1.108200 1.8315e-01 3.6938e-01 0.555620 0.409940
1461 399.68000 1.2765e+02 136.950000 2.9482e+00 5.0846e+01 83.155000 3.685600
1462 0.92804 4.1068e+00 0.417280 3.8021e-02 1.4015e-01 0.239110 0.417280
1463 3.75610 8.8081e+00 3.091400 4.2183e-01 1.0830e+00 1.586600 1.579600
1464 66.88100 2.8873e+01 22.524000 2.1709e+00 7.7432e+00 12.610000 2.571900
1465 7.40770 1.3353e+01 2.576000 2.8364e-01 8.5868e-01 1.433700 0.460790
1466 0.21223 1.7595e+00 0.422900 4.1071e-02 1.4097e-01 0.240860 0.422900
1467 0.20339 1.7107e+00 0.481200 6.2007e-02 1.6040e-01 0.258790 0.481200
1468 0.27335 1.8083e+00 0.372610 4.0105e-02 1.2420e-01 0.208300 0.372610
1469 23.53900 2.1587e+01 14.814000 1.8062e+00 5.1813e+00 7.826500 2.469000
1470 0.97038 2.6595e+00 0.675050 1.1981e-01 2.2502e-01 0.330220 0.675050
1471 1.26850 2.7863e+00 0.621700 9.1769e-02 2.0723e-01 0.322700 0.514100
1472 0.55377 2.2107e+00 0.387640 5.3940e-02 1.2921e-01 0.204490 0.387640
1473 0.81067 1.6536e+00 0.440730 4.8647e-02 1.4691e-01 0.245170 0.440730
1474 2086.60000 3.9287e+02 404.940000 1.0948e+01 1.4736e+02 246.630000 4.023400
1475 6.14810 1.0265e+01 4.961200 6.4783e-01 1.6537e+00 2.659600 1.070800
1476 62.12000 2.2850e+01 20.946000 1.3263e+00 6.9806e+00 12.639000 0.788380
1477 270.29000 9.8647e+01 81.753000 9.4687e+00 2.7251e+01 45.033000 2.819100
1478 6.46370 6.1140e+00 1.840900 1.7415e-01 5.9500e-01 1.071800 0.429540
1479 17.13900 1.9901e+01 18.503000 1.2608e+00 6.7807e+00 10.461000 3.576800
1480 4.16730 7.4628e+00 5.503500 7.1230e-01 2.0981e+00 2.693100 3.045600
1481 0.69440 1.5083e+00 1.188000 1.3163e-01 3.9679e-01 0.659540 1.188000
1482 2.79100 6.3950e+00 3.790900 6.5689e-01 1.3406e+00 1.793400 2.465800
1483 0.42525 1.3517e+00 0.410460 5.7077e-02 1.3275e-01 0.220630 0.410460
1484 0.35903 1.8107e+00 0.872700 9.9196e-02 2.9134e-01 0.482170 0.872700
1485 0.82081 2.7583e+00 0.603120 7.0465e-02 2.0104e-01 0.331620 0.603120
1486 3.16860 8.3760e+00 2.390100 3.9692e-01 7.9669e-01 1.196500 0.820010
1487 202.68000 7.0113e+01 61.620000 6.6168e+00 2.0540e+01 34.463000 2.141400
1488 1.30190 2.3741e+00 0.669240 5.1265e-02 2.2308e-01 0.394900 0.618860
1489 8.98990 1.0335e+01 5.274700 4.0554e-01 1.7566e+00 3.112600 0.879110
1490 12.85100 9.0116e+00 4.748200 2.1603e-01 1.5796e+00 2.952500 0.631620
1491 17.16700 1.5003e+01 8.904200 1.1434e+00 2.9684e+00 4.792300 1.343500
1492 0.17996 1.8595e+00 0.474370 5.4304e-02 1.5812e-01 0.261940 0.474370
1493 0.76880 1.7107e+00 0.357030 3.5938e-02 1.1901e-01 0.202080 0.357030
1494 0.55659 1.7595e+00 0.559490 5.7939e-02 1.8650e-01 0.315060 0.559490
1495 0.24866 1.1521e+00 0.228500 1.5999e-02 7.6166e-02 0.136330 0.228500
1496 0.21269 1.9060e+00 0.459520 5.2866e-02 1.5317e-01 0.253480 0.459520
1497 10.59300 1.0254e+01 7.742800 6.9866e-01 2.6323e+00 4.411900 2.181700
1498 0.77523 1.9107e+00 0.746390 1.0420e-01 2.4880e-01 0.393400 0.746390
1499 963.50000 2.3461e+02 248.090000 6.0378e+00 9.0931e+01 151.120000 4.414800
1500 1.15090 2.8060e+00 0.534260 1.0990e-01 1.7823e-01 0.246130 0.534260
1501 0.25675 2.4060e+00 0.508200 1.1405e-01 1.6940e-01 0.224750 0.508200
1502 1.07530 2.5095e+00 0.544800 6.4203e-02 1.8160e-01 0.298990 0.544800
1503 11.18200 1.1199e+01 5.153000 7.7739e-01 1.7177e+00 2.658000 0.759520
1504 0.69925 2.4107e+00 0.548190 8.0873e-02 1.8273e-01 0.284590 0.548190
1505 0.80509 2.4107e+00 0.746520 8.3177e-02 2.5138e-01 0.411960 0.746520
1506 1.55600 3.4957e+00 1.347000 1.1689e-01 4.9302e-01 0.737080 0.903630
1507 58.28700 4.4524e+01 21.582000 1.4988e+00 7.8115e+00 12.271000 1.199000
1508 0.34412 4.6536e+00 1.214600 2.2521e-01 4.5486e-01 0.534500 1.214600
1509 0.98517 1.7521e+00 0.847610 1.8315e-01 2.8497e-01 0.379490 0.847610
1510 446.94000 1.2922e+02 114.360000 9.8954e+00 3.8252e+01 66.211000 3.163100
1511 18.92500 1.3548e+01 7.179200 8.5286e-01 2.3935e+00 3.932800 0.955400
1512 0.67673 3.6607e+00 0.402670 8.0806e-02 1.3422e-01 0.187640 0.402670
1513 32.02200 2.7491e+01 11.256000 1.0211e+00 3.7489e+00 6.486300 0.705790
1514 7.17790 1.6067e+01 2.284500 3.4470e-01 7.6151e-01 1.178300 0.414580
1515 1.06220 4.3607e+00 1.667400 1.9148e-01 5.8733e-01 0.888580 1.667400
1516 1.81360 7.4017e+00 1.263300 2.5891e-01 4.2200e-01 0.582390 0.709130
1517 0.47364 2.1544e+00 0.335130 2.6582e-02 1.1434e-01 0.194210 0.335130
1518 1.00220 2.4083e+00 0.342930 4.6699e-02 1.1431e-01 0.181920 0.342930
1519 107.86000 4.7613e+01 47.613000 3.4663e+00 1.6666e+01 27.481000 3.742800
1520 4.77140 5.3923e+00 3.273300 2.6449e-01 1.0914e+00 1.917400 1.065900
1521 2.16200 3.7118e+00 2.257300 2.4900e-01 7.5571e-01 1.252600 1.110500
1522 0.91249 1.6521e+00 0.374680 4.4415e-02 1.2489e-01 0.205370 0.374680
1523 1.11580 4.4095e+00 0.505900 1.0601e-01 1.6863e-01 0.231260 0.505900
1524 7.96840 1.0921e+01 3.422800 5.1920e-01 1.1409e+00 1.762600 0.599990
1525 1.02160 2.2595e+00 0.364880 3.9647e-02 1.2163e-01 0.203600 0.364880
1526 17.72900 1.5912e+01 7.900900 6.7617e-01 2.6336e+00 4.591100 0.981780
1527 9.87250 1.3867e+01 5.714000 4.9653e-01 1.9047e+00 3.312800 0.952340
1528 8.93920 1.0264e+01 2.647000 2.2285e-01 8.8087e-01 1.543300 0.441170
1529 164.92000 5.8223e+01 55.438000 4.7251e+00 1.8479e+01 32.234000 1.965400
1530 3.27530 8.5727e+00 1.405100 1.5203e-01 4.6837e-01 0.784720 0.482290
1531 15.91400 1.7859e+01 9.457500 1.2472e+00 3.1525e+00 5.057900 1.221500
1532 2.61880 4.1068e+00 0.478950 7.2674e-02 1.5972e-01 0.246550 0.217290
1533 2.28150 4.5095e+00 1.594500 2.5862e-01 5.3149e-01 0.804370 0.767890
1534 2.78780 5.3763e+00 3.249700 3.9018e-01 1.1868e+00 1.672800 2.421200
1535 3.32290 4.6048e+00 4.604800 4.6289e-01 1.5272e+00 2.614800 4.604800
1536 0.52338 2.2048e+00 0.795090 1.2535e-01 2.6503e-01 0.404710 0.795090
1537 0.33505 2.0095e+00 0.743350 8.8055e-02 2.4778e-01 0.407510 0.743350
1538 96.69300 3.5858e+01 33.488000 2.1648e+00 1.1163e+01 20.160000 1.721700
1539 9.05230 1.2268e+01 6.484900 5.4005e-01 2.1617e+00 3.783200 1.080800
1540 63.02400 3.1904e+01 24.643000 1.5018e+00 8.4516e+00 14.690000 1.964700
1541 8.92070 9.8309e+00 5.594400 5.6552e-01 1.8648e+00 3.164100 1.234900
1542 0.66474 2.3107e+00 0.423840 3.9281e-02 1.4630e-01 0.238260 0.423840
1543 50.75500 4.3320e+01 23.753000 3.8576e+00 7.9178e+00 11.978000 2.089300
1544 4.26750 4.3444e+00 3.929200 2.8080e-01 1.3056e+00 2.342800 1.803700
1545 2.27610 5.7907e+00 2.391300 3.4386e-01 7.9779e-01 1.249600 1.123400
1546 35.75900 1.8846e+01 16.800000 1.5537e+00 5.6000e+00 9.646300 1.939200
1547 0.28566 1.6033e+00 0.366840 2.9757e-02 1.2228e-01 0.214800 0.366840
1548 17.88700 1.4901e+01 10.039000 6.3666e-01 3.3462e+00 6.055800 1.296400
1549 7.59910 1.0453e+01 6.554200 8.4471e-01 2.1847e+00 3.524800 1.597000
1550 17.53100 1.3671e+01 6.761000 8.2722e-01 2.2537e+00 3.680100 1.037800
1551 0.51212 1.8595e+00 0.382830 4.9059e-02 1.2761e-01 0.206160 0.382830
1552 1.93710 6.0465e+00 1.383700 2.3228e-01 4.6587e-01 0.685520 0.752750
1553 16.57300 1.6608e+01 8.806200 1.0435e+00 2.9354e+00 4.827300 1.373200
1554 1119.00000 2.8449e+02 284.490000 1.4710e+01 9.5358e+01 174.420000 4.296800
1555 3.40330 5.3892e+00 0.801080 8.6136e-02 2.6703e-01 0.447920 0.323320
1556 1.85900 5.0910e+00 2.450700 4.2723e-01 8.4194e-01 1.181600 2.143800
1557 0.16150 1.1517e+00 0.445910 4.6035e-02 1.4863e-01 0.251250 0.445910
1558 202.82000 1.0152e+02 75.759000 1.1242e+01 2.6064e+01 38.453000 2.429000
1559 2.70340 2.8674e+00 0.903790 7.2692e-02 2.9822e-01 0.532870 0.448040
1560 1.96710 3.5864e+00 0.849540 1.1383e-01 2.8487e-01 0.450830 0.662230
1561 60.04700 5.0522e+01 25.798000 2.6914e+00 8.5970e+00 14.510000 1.743000
1562 146.81000 5.7089e+01 56.021000 4.2127e+00 1.8932e+01 32.876000 3.584400
1563 11.42100 7.9538e+00 7.208200 3.4919e-01 2.3843e+00 4.474700 1.201400
1564 36.71700 2.8671e+01 14.068000 7.4641e-01 4.5884e+00 8.732800 1.016900
1565 9.72360 1.4227e+01 7.519800 6.4881e-01 2.5066e+00 4.364300 1.372800
1566 87.25600 4.9980e+01 24.275000 3.0597e+00 8.1207e+00 13.095000 1.682000
1567 5.13740 1.0767e+01 3.343900 5.0973e-01 1.1146e+00 1.719500 0.777000
1568 3.32300 9.9940e+00 0.720880 1.4392e-01 2.4029e-01 0.336670 0.244460
1569 2.41080 6.4538e+00 0.279910 3.7055e-02 9.3304e-02 0.149550 0.173740
1570 1.66390 5.5779e+00 1.255500 1.2899e-01 4.5073e-01 0.675800 0.737640
1571 0.15090 1.5521e+00 0.480750 3.0078e-02 1.6126e-01 0.289410 0.480750
1572 0.28232 1.8583e+00 0.405080 5.8701e-02 1.3503e-01 0.211350 0.405080
1573 1.61000 5.1918e+00 1.366200 1.5210e-01 4.9674e-01 0.717340 0.886250
1574 3.69070 9.2893e+00 3.914400 3.1980e-01 1.3472e+00 2.247400 1.263000
1575 0.38813 2.1072e+00 0.952130 8.2137e-02 3.3401e-01 0.535980 0.952130
1576 0.63767 1.2591e+00 0.477020 3.8899e-02 1.5843e-01 0.279690 0.477020
1577 9.79490 1.5117e+01 2.137100 2.9610e-01 7.1237e-01 1.128600 0.356180
1578 891.49000 2.4272e+02 231.550000 2.7512e+01 7.7626e+01 126.410000 3.857600
1579 1.48380 3.9065e+00 0.780180 6.3844e-02 2.6546e-01 0.450870 0.548730
1580 23.29000 1.5571e+01 13.317000 1.1366e+00 4.4352e+00 7.745000 1.876500
1581 29.69700 2.2278e+01 13.357000 1.5960e+00 4.4499e+00 7.310800 1.385100
1582 3.88180 4.5614e+00 1.807300 1.3384e-01 6.0137e-01 1.072100 0.620390
1583 0.84739 2.6595e+00 0.647270 1.0252e-01 2.1576e-01 0.329000 0.647270
1584 7.95310 1.1826e+01 9.603600 1.3493e+00 3.3110e+00 4.943300 3.201400
1585 0.82165 2.6595e+00 0.647270 1.0548e-01 2.1576e-01 0.326030 0.647270
1586 11.01600 1.3193e+01 10.041000 1.1986e+00 3.4780e+00 5.364900 2.748900
1587 0.61945 1.6533e+00 0.457750 5.1700e-02 1.5244e-01 0.253610 0.457750
1588 0.74842 2.0537e+00 1.404700 1.9563e-01 4.6822e-01 0.740820 1.404700
1589 0.56834 1.8583e+00 0.625180 8.9246e-02 2.0839e-01 0.327540 0.625180
1590 1.01570 2.1517e+00 0.444070 4.7970e-02 1.5074e-01 0.245360 0.444070
1591 5.86860 9.4367e+00 3.932700 4.4596e-01 1.3109e+00 2.175900 0.958860
1592 105.37000 4.6257e+01 42.561000 6.8691e+00 1.4187e+01 21.505000 3.040200
1593 18.26300 1.4518e+01 11.111000 1.0439e+00 3.7505e+00 6.316400 1.834800
1594 1.72440 3.5270e+00 1.300100 1.0350e-01 4.3338e-01 0.763260 0.738690
1595 0.19877 1.5021e+00 0.191260 2.0009e-02 6.3753e-02 0.107500 0.191260
1596 10.83700 1.2159e+01 6.701300 6.4964e-01 2.2338e+00 3.817900 1.116900
1597 5.64240 5.6887e+00 2.925100 3.5832e-01 9.7538e-01 1.591400 1.011100
1598 1134.60000 2.6997e+02 263.020000 2.3643e+01 8.8199e+01 151.180000 4.117400
1599 8.62590 1.1433e+01 5.799100 4.3616e-01 1.9441e+00 3.418800 1.091100
1600 18.74000 1.9010e+01 9.948100 1.1877e+00 3.3160e+00 5.444400 1.174100
1601 0.18301 1.6056e+00 0.272300 2.4865e-02 9.0691e-02 0.156740 0.272300
1602 300.42000 1.0255e+02 88.459000 1.0002e+01 2.9486e+01 48.970000 2.589200
1603 12.07500 1.5042e+01 4.797700 5.2831e-01 1.5992e+00 2.670100 0.673480
1604 3.09170 5.5209e+00 1.458400 1.6892e-01 4.8613e-01 0.803330 0.581760
1605 3.26200 7.7306e+00 2.363200 2.9049e-01 8.0872e-01 1.264000 0.813890
1606 2.92180 7.3706e+00 0.807340 1.2626e-01 2.6911e-01 0.411970 0.343750
1607 1.96690 2.4677e+00 1.523100 2.0595e-01 5.0949e-01 0.807680 0.751870
1608 3.26130 4.0798e+00 3.164500 2.8922e-01 1.0548e+00 1.820500 1.373100
1609 2.81800 5.0116e+00 2.803800 1.8207e-01 9.3461e-01 1.687100 1.092900
1610 227.11000 1.1397e+02 65.434000 8.4971e+00 2.1820e+01 35.117000 1.768500
1611 6.31100 8.1432e+00 6.325200 8.7005e-01 2.1084e+00 3.346800 2.408500
1612 1.24550 3.1777e+00 0.907730 1.0104e-01 3.0880e-01 0.497890 0.766710
1613 1.67840 2.2561e+00 1.580900 1.4527e-01 5.0382e-01 0.931790 0.984930
1614 0.38034 1.5556e+00 0.068390 5.5911e-03 1.9856e-02 0.042943 0.068390
1615 45.44500 3.2695e+01 21.895000 2.4937e+00 7.3565e+00 12.045000 2.622500
1616 4.93830 8.0933e+00 3.084300 3.8986e-01 1.0281e+00 1.666400 1.126600
1617 68.07600 3.5900e+01 25.751000 2.9286e+00 8.5836e+00 14.238000 2.145900
1618 0.36383 1.4095e+00 0.171720 1.9874e-02 5.7217e-02 0.094628 0.171720
1619 14.96200 1.1001e+01 9.428400 8.4324e-01 3.1486e+00 5.436600 2.028200
1620 0.24271 1.4095e+00 0.406800 4.5263e-02 1.3565e-01 0.225880 0.406800
1621 0.13442 1.6048e+00 0.259110 2.6559e-02 8.6368e-02 0.146180 0.259110
1622 0.31271 1.5583e+00 0.360440 2.9354e-02 1.2003e-01 0.211060 0.360440
1623 23.07700 1.5831e+01 8.827600 8.3334e-01 2.9425e+00 5.051800 1.094300
1624 3.80070 5.5542e+00 4.135800 4.1150e-01 1.3852e+00 2.339100 1.629700
1625 1690.40000 3.1501e+02 284.070000 4.4230e+01 9.4732e+01 145.110000 3.838800
1626 3.40020 8.1442e+00 0.237950 3.3445e-02 7.4892e-02 0.129610 0.079165
1627 0.98889 3.0021e+00 1.197900 1.5312e-01 4.1211e-01 0.632630 1.197900
1628 0.42610 1.9560e+00 0.337570 5.2274e-02 1.1289e-01 0.172410 0.337570
1629 8.64140 9.6435e+00 7.620400 6.8268e-01 2.5418e+00 4.395900 2.156700
1630 0.49432 1.8595e+00 0.607710 5.6636e-02 2.0257e-01 0.348500 0.607710
1631 0.50105 1.4036e+00 0.393490 5.3439e-02 1.3120e-01 0.208860 0.393490
1632 0.66336 1.6056e+00 0.491720 3.2344e-02 1.6434e-01 0.295030 0.491720
1633 1686.50000 3.1876e+02 283.130000 4.6733e+01 9.4428e+01 141.970000 3.811700
1634 20.52200 2.2570e+01 11.208000 1.5645e+00 3.7361e+00 5.907700 1.186100
1635 91.78400 4.8884e+01 25.353000 2.5776e+00 8.4479e+00 14.328000 0.936690
1636 1.92670 6.3881e+00 0.707590 1.1208e-01 2.4109e-01 0.354420 0.386880
1637 7.31610 8.2945e+00 4.026000 3.1308e-01 1.3423e+00 2.370600 0.823770
1638 1.08880 2.0991e+00 0.406880 5.3971e-02 1.3568e-01 0.217220 0.398970
1639 23.79300 1.3927e+01 9.279000 7.0356e-01 3.0902e+00 5.485200 0.996930
1640 0.42239 1.8095e+00 0.393400 3.8435e-02 1.3113e-01 0.223830 0.393400
1641 17.95700 1.0402e+01 7.300100 7.9260e-01 2.4332e+00 4.074300 1.390900
1642 31.22400 1.8115e+01 14.885000 1.4621e+00 5.0171e+00 8.405900 2.480800
1643 11.24000 6.7949e+00 6.404800 4.0169e-01 2.1177e+00 3.885400 1.390900
1644 0.87277 2.4544e+00 0.596000 7.2888e-02 1.9867e-01 0.324450 0.596000
1645 0.23135 2.0107e+00 0.547290 7.8773e-02 1.8243e-01 0.286080 0.547290
1646 3.10290 8.7584e+00 3.224400 4.5278e-01 1.0748e+00 1.696800 1.300100
1647 0.52886 1.7607e+00 0.367530 5.0084e-02 1.2250e-01 0.194950 0.367530
1648 57.89700 3.1455e+01 28.459000 1.9158e+00 9.5479e+00 16.995000 2.984800
1649 0.14096 1.4521e+00 0.346110 4.8329e-02 1.1537e-01 0.182410 0.346110
1650 800.50000 2.2090e+02 157.670000 2.3027e+01 5.2620e+01 82.027000 3.032200
1651 8.07250 9.7596e+00 4.401400 5.9567e-01 1.4671e+00 2.338600 1.009700
1652 0.68291 1.4021e+00 0.413680 3.0070e-02 1.3787e-01 0.245740 0.413680
1653 323.90000 9.8007e+01 86.662000 5.4238e+00 2.9265e+01 51.973000 2.947200
1654 3.27590 5.7490e+00 0.972940 8.8920e-02 3.2431e-01 0.559710 0.316290
1655 0.43562 1.8048e+00 0.512720 6.2538e-02 1.7091e-01 0.279270 0.512720
1656 186.01000 6.3269e+01 58.710000 5.2826e+00 1.9570e+01 33.857000 2.826400
1657 9.14880 1.0964e+01 5.247500 6.5943e-01 1.7491e+00 2.838900 0.874580
1658 251.08000 1.1422e+02 58.532000 4.5295e+00 1.9511e+01 34.492000 1.300900
1659 8.54840 1.6961e+01 6.461200 7.9641e-01 2.2126e+00 3.452200 1.323100
1660 9.55060 9.0585e+00 7.745400 5.8479e-01 2.6474e+00 4.513100 2.222300
1661 8.07030 9.4776e+00 5.615700 4.3284e-01 1.8719e+00 3.311000 1.038700
1662 180.74000 6.6492e+01 62.917000 8.6533e+00 2.0972e+01 33.291000 2.868600
1663 27.08900 2.2185e+01 17.263000 2.1366e+00 5.8769e+00 9.249600 2.566600
1664 0.75764 2.0548e+00 0.526780 6.8422e-02 1.7559e-01 0.282760 0.526780
1665 0.25333 1.8107e+00 0.396840 5.9088e-02 1.3228e-01 0.205470 0.396840
1666 2.05820 3.5191e+00 1.277200 1.2254e-01 4.2555e-01 0.729070 0.657080
1667 5.08940 9.5593e+00 2.526300 3.8960e-01 8.4210e-01 1.294600 0.685570
1668 305.27000 9.8383e+01 80.847000 7.6081e+00 2.6977e+01 46.261000 2.511800
1669 29.45200 1.9277e+01 14.272000 1.5806e+00 4.7575e+00 7.934400 1.987100
1670 88.21200 3.2968e+01 32.716000 3.1658e+00 1.1128e+01 18.422000 3.539800
1671 0.47475 2.3568e+00 0.524510 4.1555e-02 1.7486e-01 0.308090 0.524510
1672 154.08000 6.1781e+01 61.781000 4.3794e+00 2.1431e+01 35.971000 3.926200
1673 7.93710 1.0193e+01 3.944300 4.8329e-01 1.3147e+00 2.146200 0.779380
1674 0.36680 1.6083e+00 0.384300 4.3168e-02 1.2810e-01 0.213030 0.384300
1675 0.21027 2.1021e+00 0.604550 7.2428e-02 2.0152e-01 0.330610 0.604550
1676 2.47910 6.2719e+00 0.644460 1.2889e-01 2.1849e-01 0.297070 0.348980
1677 6.50000 1.2471e+01 3.492000 4.0954e-01 1.1640e+00 1.918500 0.691260
1678 0.71452 1.5583e+00 0.423000 2.6262e-02 1.4100e-01 0.255740 0.423000
1679 0.27249 3.1095e+00 0.234880 4.0923e-02 7.8294e-02 0.115670 0.234880
1680 0.25237 2.8556e+00 0.174320 1.8708e-02 5.8559e-02 0.097053 0.174320
1681 0.87627 2.8521e+00 0.348500 3.2428e-02 1.2048e-01 0.195580 0.348500
1682 57.20200 2.2397e+01 21.359000 1.6390e+00 7.1195e+00 12.600000 1.476100
1683 0.83454 2.9083e+00 0.396980 7.7171e-02 1.3233e-01 0.187480 0.396980
1684 0.64034 1.7595e+00 0.425050 3.4822e-02 1.4168e-01 0.248540 0.425050
1685 71.19000 3.4085e+01 24.303000 2.2272e+00 8.0999e+00 13.976000 1.093000
1686 66.33200 6.7746e+01 17.930000 2.0617e+00 5.9768e+00 9.891900 0.623330
1687 4.88090 6.1123e+00 3.107400 1.9924e-01 1.0266e+00 1.881500 0.733930
1688 0.25554 1.5521e+00 0.320210 2.2128e-02 1.0674e-01 0.191350 0.320210
1689 4.96060 2.7051e+00 3.711400 5.2888e-03 6.8801e-01 3.018100 1.150800
1690 0.85771 2.3036e+00 0.467960 6.5616e-02 1.5599e-01 0.246360 0.467960
1691 8.74000 8.4803e+00 7.480600 6.3086e-01 2.4950e+00 4.354700 2.355000
1692 0.65987 2.0044e+00 0.378870 7.7117e-02 1.2629e-01 0.175470 0.378870
1693 0.19408 1.3021e+00 0.383830 3.6524e-02 1.2771e-01 0.219600 0.383830
1694 3.67160 6.1696e+00 2.558500 3.3852e-01 8.5282e-01 1.367100 1.093100
1695 49.21600 2.7568e+01 14.360000 1.0493e+00 4.7448e+00 8.565800 0.714040
1696 10.23900 1.2258e+01 5.048900 5.9834e-01 1.6830e+00 2.767600 0.864120
1697 0.16218 1.6583e+00 0.464310 5.4828e-02 1.5477e-01 0.254710 0.464310
1698 6.86270 9.9039e+00 1.145100 1.0262e-01 3.7854e-01 0.663950 0.217310
1699 1.13360 3.2426e+00 0.832650 1.0253e-01 2.8757e-01 0.442560 0.778280
1700 4.40090 8.0611e+00 5.524300 5.7419e-01 2.0090e+00 2.941100 2.310000
1701 1.14750 1.8072e+00 1.193300 8.4091e-02 4.0360e-01 0.705580 1.193300
1702 28.84300 2.3971e+01 13.463000 1.5471e+00 4.5072e+00 7.408400 1.582400
1703 0.35803 1.9548e+00 0.586380 8.9012e-02 1.9546e-01 0.301910 0.586380
1704 0.45072 1.8083e+00 0.395930 4.8213e-02 1.3198e-01 0.215740 0.395930
1705 1.05820 2.1537e+00 0.422290 5.1374e-02 1.4123e-01 0.229690 0.422290
1706 203.40000 6.8648e+01 55.740000 5.7452e+00 1.8589e+01 31.407000 1.829400
1707 7.95960 9.4899e+00 6.494300 8.1354e-01 2.1648e+00 3.516000 1.414500
1708 5.58340 1.0367e+01 3.820400 5.0131e-01 1.2735e+00 2.045600 0.872000
1709 328.52000 8.3316e+01 76.143000 5.6567e+00 2.5381e+01 45.105000 2.362100
1710 412.75000 1.1265e+02 105.880000 8.4752e+00 3.5295e+01 62.114000 2.851100
1711 354.02000 1.1876e+02 89.130000 9.5755e+00 2.9707e+01 49.847000 2.225400
1712 475.20000 1.3240e+02 102.100000 1.3129e+01 3.4094e+01 54.880000 2.897900
1713 4.36590 6.7622e+00 3.461200 2.8440e-01 1.1539e+00 2.022900 1.125500
1714 0.19438 1.7536e+00 0.518900 8.8686e-02 1.7297e-01 0.257250 0.518900
1715 4.27200 9.8709e+00 1.379200 2.4177e-01 4.5972e-01 0.677670 0.418020
1716 0.73454 1.7056e+00 1.290500 1.1686e-01 4.3019e-01 0.743440 1.290500
1717 0.21017 1.7544e+00 0.180030 2.2118e-02 6.0011e-02 0.097905 0.180030
1718 0.42638 4.2044e+00 0.621040 8.6334e-02 2.3591e-01 0.298800 0.621040
1719 8.22670 9.8955e+00 3.108500 3.1320e-01 1.0350e+00 1.760300 0.543170
1720 887.70000 2.3966e+02 210.290000 2.4323e+01 7.0097e+01 115.870000 3.689300
1721 30.47600 1.8964e+01 18.848000 1.1892e+00 6.6241e+00 11.034000 2.718000
1722 0.49584 1.6521e+00 0.361730 5.6526e-02 1.2058e-01 0.184630 0.361730
1723 0.47081 1.9548e+00 0.452460 6.1250e-02 1.5082e-01 0.240390 0.452460
1724 1009.30000 2.5695e+02 236.150000 2.5343e+01 7.9149e+01 131.660000 3.898400
1725 9.93150 1.1755e+01 6.726600 8.2112e-01 2.2422e+00 3.663300 1.222300
1726 635.14000 2.0941e+02 154.930000 1.8520e+01 5.1643e+01 84.766000 2.979400
1727 4.87580 6.7635e+00 2.274900 2.2091e-01 7.5634e-01 1.297700 0.564660
1728 1.28930 2.0340e+00 0.918170 4.8522e-02 3.2174e-01 0.547900 0.746300
1729 194.97000 6.7133e+01 62.781000 4.4496e+00 2.1017e+01 37.314000 2.751200
1730 1132.40000 2.3248e+02 232.480000 9.5908e+00 8.0629e+01 142.260000 4.353900
1731 7.78540 1.0313e+01 1.201300 1.6540e-01 4.0060e-01 0.635320 0.200220
1732 0.29527 3.1107e+00 0.869320 8.7747e-02 3.1426e-01 0.467310 0.869320
1733 0.93824 2.1607e+00 0.474290 6.5215e-02 1.5810e-01 0.250980 0.474290
1734 949.90000 2.2760e+02 224.260000 1.9122e+01 7.5384e+01 129.760000 3.934400
1735 6.82830 1.0112e+01 3.784800 5.9623e-01 1.2616e+00 1.927000 0.903740
1736 36.02900 2.7607e+01 20.460000 1.7623e+00 7.6239e+00 11.074000 2.498200
1737 0.23779 4.4583e+00 0.139620 2.1334e-02 4.6612e-02 0.071674 0.139620
1738 2.06590 3.4450e+00 0.781570 1.1206e-01 2.6204e-01 0.407470 0.433470
1739 1097.10000 2.1842e+02 220.330000 5.0034e+00 7.6133e+01 139.200000 4.269200
1740 9.39770 1.5948e+01 3.901000 4.2517e-01 1.3003e+00 2.175500 0.650170
1741 8.59740 1.1872e+01 2.849000 4.5258e-01 9.5005e-01 1.446400 0.474830
1742 6.84590 7.5722e+00 1.772100 1.3050e-01 5.6826e-01 1.073400 0.322180
1743 0.17517 2.0036e+00 0.392300 8.2709e-02 1.3077e-01 0.178820 0.392300
1744 0.85033 2.0036e+00 0.343720 4.2451e-02 1.1457e-01 0.186700 0.343720
1745 1.15550 2.1339e+00 0.450090 2.9200e-02 1.5017e-01 0.270730 0.380750
1746 4.13810 8.6986e+00 0.579730 1.2207e-01 1.9324e-01 0.264410 0.306480
1747 0.23200 1.7107e+00 0.497450 3.8537e-02 1.6990e-01 0.289010 0.497450
1748 9.79400 1.1475e+01 5.490000 4.9231e-01 1.8300e+00 3.167700 0.915000
1749 1.38570 2.7993e+00 0.406940 5.0886e-02 1.3565e-01 0.220410 0.306820
1750 0.72716 1.6107e+00 0.470380 3.7678e-02 1.5820e-01 0.274510 0.470380
1751 0.19660 1.4544e+00 0.508220 6.6949e-02 1.6941e-01 0.271870 0.508220
1752 69.24500 5.0501e+01 22.229000 2.8294e+00 7.4098e+00 11.990000 1.128200
1753 50.45800 4.0525e+01 21.291000 2.0671e+00 7.0970e+00 12.127000 1.286900
1754 1.43670 2.5129e+00 0.587840 6.1231e-02 1.9595e-01 0.330660 0.504280
1755 0.90348 1.9068e+00 0.578430 7.4130e-02 1.9281e-01 0.311490 0.578430
1756 15.33600 9.0162e+00 8.700700 5.4195e-01 2.8988e+00 5.259900 1.450100
1757 2.32460 5.6334e+00 3.459900 4.9351e-01 1.2551e+00 1.711300 2.593700
1758 6.05650 9.5289e+00 9.528900 7.6987e-01 3.5493e+00 5.209800 3.299300
1759 13.03500 1.4803e+01 3.911800 4.9413e-01 1.3039e+00 2.113700 0.514050
1760 6.51320 1.1574e+01 2.382700 5.9596e-01 7.9422e-01 0.992480 0.510630
1761 42.32600 2.1147e+01 16.462000 1.0360e+00 5.4853e+00 9.940500 1.290400
1762 0.40334 1.9060e+00 0.204890 3.2812e-02 6.8296e-02 0.103780 0.204890
1763 1067.10000 2.7012e+02 204.210000 1.7829e+01 6.8097e+01 118.280000 2.670900
1764 4.07470 5.6793e+00 1.315800 1.1594e-01 4.3834e-01 0.761530 0.433450
1765 6.13220 6.7286e+00 4.568800 4.2106e-01 1.5230e+00 2.624800 1.449600
1766 3.10040 5.3496e+00 1.176800 1.1313e-01 3.9225e-01 0.671370 0.469460
1767 0.97752 2.4037e+00 0.644630 1.1230e-01 2.1488e-01 0.317460 0.644630
1768 7.87150 1.0074e+01 3.087000 4.1720e-01 1.0290e+00 1.640800 0.590590
1769 0.69442 2.7521e+00 0.353030 3.4239e-02 1.1940e-01 0.199390 0.353030
1770 0.24986 1.9607e+00 0.633890 8.5695e-02 2.1130e-01 0.336900 0.633890
1771 814.13000 2.1299e+02 170.220000 1.7407e+01 5.7199e+01 95.616000 3.461200
1772 0.43234 1.7548e+00 0.554470 6.5147e-02 1.8482e-01 0.304500 0.554470
1773 3.39070 7.3623e+00 0.466560 6.1659e-02 1.5553e-01 0.249370 0.153560
1774 72.34800 3.2455e+01 29.348000 2.8762e+00 9.8693e+00 16.603000 3.115700
1775 0.61249 2.9595e+00 0.871990 1.5754e-01 2.9066e-01 0.423790 0.871990
1776 174.65000 6.1948e+01 40.501000 4.3195e+00 1.3500e+01 22.681000 1.499300
1777 1963.80000 3.7216e+02 379.020000 9.6194e+00 1.3736e+02 232.040000 3.924100
1778 3.05160 4.6048e+00 4.191000 5.7775e-01 1.4525e+00 2.160800 4.191000
1779 3.57690 8.3554e+00 0.817160 1.1204e-01 2.7239e-01 0.432730 0.314970
1780 0.71521 2.1083e+00 0.402900 2.6508e-02 1.4275e-01 0.233640 0.402900
1781 21.59800 1.5570e+01 8.937500 4.7862e-01 2.8998e+00 5.559100 0.744790
1782 8.82820 1.0919e+01 4.642600 5.4322e-01 1.5475e+00 2.551800 0.773760
1783 2.15320 4.6978e+00 0.601830 6.9357e-02 2.0439e-01 0.328090 0.370790
1784 16.12900 1.6925e+01 5.264400 4.5228e-01 1.7548e+00 3.057300 0.661990
1785 0.90701 2.7107e+00 1.140700 1.0642e-01 4.3148e-01 0.602800 1.140700
1786 2.03660 3.8390e+00 0.750550 7.4852e-02 2.5329e-01 0.422420 0.440310
1787 0.17564 1.3595e+00 0.450050 3.4147e-02 1.5002e-01 0.265890 0.450050
1788 506.55000 1.7023e+02 103.020000 1.4207e+01 3.4366e+01 54.446000 2.283600
1789 7.76970 1.3402e+01 5.498000 7.3307e-01 1.8327e+00 2.932300 1.223400
1790 0.57444 1.8060e+00 0.359520 3.5959e-02 1.1984e-01 0.203720 0.359520
1791 7.93220 8.6399e+00 3.526900 2.0633e-01 1.1756e+00 2.145000 0.598450
1792 50.10200 3.4608e+01 8.304600 7.4652e-01 2.6925e+00 4.865600 0.399620
1793 1.09630 2.0106e+00 0.116780 1.1850e-02 3.6684e-02 0.068250 0.110480
1794 2.27640 7.1531e+00 1.045400 2.3546e-01 3.4847e-01 0.461490 0.483000
1795 0.62692 3.4107e+00 1.287000 1.7159e-01 4.5128e-01 0.664120 1.287000
1796 20.01500 1.4180e+01 13.651000 1.1478e+00 4.5503e+00 7.952800 2.275100
1797 1.53530 3.5354e+00 1.051600 1.3003e-01 3.5688e-01 0.564740 0.872130
1798 326.69000 1.2184e+02 130.390000 2.9316e+00 4.8114e+01 79.342000 4.239700
1799 0.36045 2.0607e+00 0.685560 6.5706e-02 2.4224e-01 0.377620 0.685560
1800 16.56600 1.8494e+01 9.800800 1.1241e+00 3.3397e+00 5.337000 1.633500
1801 788.74000 1.6502e+02 162.820000 1.4342e+01 5.5176e+01 93.304000 3.716400
1802 2.29260 5.2836e+00 2.356700 4.5104e-01 7.8557e-01 1.120100 1.014400
1803 0.29920 1.7595e+00 0.327260 4.1693e-02 1.0909e-01 0.176480 0.327260
1804 2.07720 4.2214e+00 0.635790 9.5899e-02 2.1193e-01 0.327960 0.314060
1805 165.77000 7.4523e+01 37.616000 5.2762e+00 1.2539e+01 19.801000 1.297100
1806 15.84000 1.5658e+01 9.938900 7.7774e-01 3.3711e+00 5.790100 1.656500
1807 31.65100 2.1233e+01 6.114400 6.0273e-01 2.0329e+00 3.478800 0.409780
1808 0.50178 1.8595e+00 0.426870 5.0671e-02 1.4229e-01 0.233910 0.426870
1809 7.65630 1.5877e+01 1.883800 3.0719e-01 6.2793e-01 0.948680 0.313970
1810 1.40090 1.7591e+00 0.363520 3.2918e-02 1.2085e-01 0.209760 0.363520
1811 595.03000 1.7013e+02 143.300000 1.4228e+01 4.7768e+01 81.307000 2.784900
1812 1.98690 4.0687e+00 1.132500 1.2366e-01 3.8784e-01 0.621000 0.705860
1813 0.42230 3.8095e+00 0.997350 1.4185e-01 3.3838e-01 0.517120 0.997350
1814 1.23590 2.5381e+00 0.305080 5.0716e-02 1.0169e-01 0.152670 0.259410
1815 32.91600 1.9379e+01 16.619000 1.4858e+00 5.5396e+00 9.593400 1.984400
1816 1227.30000 2.8497e+02 284.970000 8.8825e+00 9.7117e+01 178.970000 4.353400
1817 12.26800 1.6397e+01 5.834500 6.9890e-01 1.9448e+00 3.190800 0.972420
1818 17.61700 1.2243e+01 6.690600 1.0116e+00 2.2302e+00 3.448800 1.141000
1819 6.76270 9.7344e+00 1.222800 1.2614e-01 4.0640e-01 0.690230 0.234710
1820 0.60762 2.1107e+00 0.603240 8.0082e-02 2.0108e-01 0.322080 0.603240
1821 7.37420 1.0891e+01 3.655200 6.6788e-01 1.2185e+00 1.768800 0.698990
1822 5.06650 8.6281e+00 4.076400 3.7470e-01 1.3588e+00 2.342900 0.981410
1823 1.23650 1.8560e+00 0.485100 5.9264e-02 1.6171e-01 0.264130 0.485100
1824 0.49817 1.6521e+00 0.296800 2.0393e-02 9.9099e-02 0.177310 0.296800
1825 2.93870 5.7721e+00 2.288800 1.9665e-01 7.6293e-01 1.329200 0.860800
1826 0.62582 2.2083e+00 0.697730 7.2345e-02 2.3753e-01 0.387850 0.697730
1827 0.42024 2.1107e+00 0.640740 9.0630e-02 2.1358e-01 0.336530 0.640740
1828 14.65100 1.4302e+01 9.312400 7.1914e-01 3.1041e+00 5.489100 1.552100
1829 1275.00000 2.9635e+02 296.350000 1.1210e+01 1.0145e+02 183.690000 4.365500
1830 17.00400 1.2911e+01 7.550100 7.2408e-01 2.5167e+00 4.309300 1.151900
1831 16.86800 1.9893e+01 5.867500 4.6680e-01 1.9558e+00 3.444900 0.619670
1832 4.41880 8.0844e+00 4.311900 3.2213e-01 1.4510e+00 2.538800 1.378400
1833 10.31500 9.4991e+00 5.319100 6.4282e-01 1.7730e+00 2.903200 1.534600
1834 0.14314 1.9536e+00 0.314950 6.6058e-02 1.0498e-01 0.143910 0.314950
1835 8.79940 1.3561e+01 5.560100 4.3468e-01 1.8697e+00 3.255700 1.013500
1836 5.49350 1.0886e+01 2.938000 4.1337e-01 9.7934e-01 1.545300 0.663490
1837 605.81000 1.6018e+02 150.180000 1.4775e+01 5.0290e+01 85.113000 3.797700
1838 16.44000 1.0646e+01 7.748600 5.4257e-01 2.5829e+00 4.623200 1.446300
1839 53.39100 2.8147e+01 17.142000 2.1315e+00 5.7142e+00 9.296800 1.725900
1840 0.22830 2.6021e+00 0.626770 8.7764e-02 2.0892e-01 0.330080 0.626770
1841 2.43040 6.8900e+00 6.072500 9.1431e-01 2.2062e+00 2.952000 3.985800
1842 1.31220 4.0476e+00 1.765300 1.6947e-01 6.7969e-01 0.916110 1.370900
1843 6.09050 8.7536e+00 3.345800 4.8112e-01 1.1279e+00 1.736800 0.859370
1844 1.76810 4.3791e+00 0.566650 9.1225e-02 1.8888e-01 0.286540 0.382070
1845 57.08500 2.0268e+01 18.086000 1.6868e+00 6.0287e+00 10.371000 1.573500
1846 0.63516 2.1544e+00 0.314050 2.7261e-02 1.0472e-01 0.182070 0.314050
1847 42.60600 1.9425e+01 17.404000 1.2944e+00 5.8013e+00 10.308000 2.093900
1848 4.80610 9.4660e+00 1.644800 2.9349e-01 5.4825e-01 0.803020 0.471610
1849 0.88835 1.4556e+00 0.446890 3.1571e-02 1.4896e-01 0.266350 0.446890
1850 0.25760 1.8083e+00 0.389410 4.8888e-02 1.2980e-01 0.210720 0.389410
1851 0.42021 1.6521e+00 0.465120 6.4090e-02 1.5502e-01 0.246010 0.465120
1852 0.31191 2.0036e+00 1.068100 9.5391e-02 4.1312e-01 0.559550 1.068100
1853 0.51492 2.1107e+00 0.682730 1.7036e-01 2.2758e-01 0.284790 0.682730
1854 0.18943 2.1595e+00 0.497270 7.3553e-02 1.6576e-01 0.257960 0.497270
1855 13.99800 9.8288e+00 7.466600 6.4632e-01 2.4889e+00 4.331400 1.720600
1856 0.35195 1.4056e+00 0.325570 2.2560e-02 1.0852e-01 0.194490 0.325570
1857 0.69142 2.5033e+00 0.682930 9.6542e-02 2.2764e-01 0.358740 0.682930
1858 1.86940 3.9056e+00 0.657640 1.1567e-01 2.1921e-01 0.322760 0.369840
1859 1.47820 2.5374e+00 0.523970 1.1659e-01 1.7466e-01 0.232730 0.506330
1860 0.47115 1.6607e+00 0.404600 4.9079e-02 1.3487e-01 0.220650 0.404600
1861 2.66420 6.0631e+00 1.399000 1.5921e-01 5.2128e-01 0.718550 0.671650
1862 0.64304 2.5083e+00 0.605610 9.8964e-02 2.0187e-01 0.304780 0.605610
1863 0.25505 1.7068e+00 0.301910 2.3307e-02 1.0004e-01 0.178560 0.301910
1864 36.09600 3.1254e+01 12.922000 1.7823e+00 4.3074e+00 6.832600 1.084500
1865 0.99329 3.0595e+00 0.805900 1.0477e-01 2.6863e-01 0.432500 0.805900
1866 5.79270 1.1487e+01 3.575700 4.4592e-01 1.1919e+00 1.937900 0.774520
1867 20.11900 1.1898e+01 9.903700 1.1571e+00 3.3018e+00 5.444900 1.767300
1868 6.10700 5.9528e+00 0.554560 1.0267e-02 1.5084e-01 0.393460 0.132680
1869 1.41340 1.4060e+00 1.264900 8.6936e-02 4.3661e-01 0.741380 1.264900
1870 2.15990 2.4736e+00 0.704780 6.6650e-02 2.3482e-01 0.403310 0.442550
1871 0.36093 1.7095e+00 0.428060 5.9933e-02 1.4283e-01 0.225300 0.428060
1872 0.70674 1.4556e+00 0.132320 7.3696e-03 4.1927e-02 0.083025 0.132320
1873 1.41500 1.8999e+00 0.512320 4.1230e-02 1.7042e-01 0.300670 0.432010
1874 0.78334 1.8083e+00 0.537290 4.5210e-02 1.8277e-01 0.309310 0.537290
1875 445.23000 1.1711e+02 95.446000 1.0862e+01 3.1844e+01 52.740000 2.679900
1876 21.61000 1.3668e+01 10.900000 8.9421e-01 3.6345e+00 6.371000 1.960000
1877 3.41250 3.6241e+00 2.863000 2.7200e-01 9.5436e-01 1.636700 0.949670
1878 251.37000 7.0957e+01 66.137000 5.9638e+00 2.2046e+01 38.128000 1.768900
1879 0.35914 1.7083e+00 0.382410 2.7772e-02 1.2747e-01 0.227170 0.382410
1880 2.06040 3.7619e+00 0.589950 5.9447e-02 1.9991e-01 0.330590 0.361430
1881 3.43060 2.6204e+00 1.793300 1.0006e-01 5.6480e-01 1.128400 0.655050
1882 397.14000 1.5609e+02 100.330000 1.2152e+01 3.3593e+01 54.581000 2.103300
1883 0.36178 1.7095e+00 0.338600 4.0030e-02 1.1287e-01 0.185700 0.338600
1884 0.20187 1.6021e+00 0.339390 5.1253e-02 1.1313e-01 0.175010 0.339390
1885 3.41060 5.2873e+00 1.548600 2.0681e-01 5.1618e-01 0.825560 0.693210
1886 169.08000 9.1943e+01 43.695000 4.6846e+00 1.4584e+01 24.427000 1.329000
litter carbon_storage carbon_biometry multiplier_seed hurt NPPneg
1 91.77700 2.1387e-05 8.6667e+00 1 0 0
2 834.60000 1.3741e+04 1.3861e+02 1 0 0
3 61.88300 9.3309e-02 2.6021e+01 1 0 0
4 5.65080 4.1700e-07 4.5070e-03 1 0 0
5 13.12700 8.5086e-07 2.1729e+00 1 0 0
6 30.07300 0.0000e+00 1.2807e+01 1 0 0
7 40.55300 0.0000e+00 1.3260e+01 1 0 0
8 348.65000 1.7907e+03 1.3261e+02 1 0 0
9 28.32300 1.4393e-05 1.1658e+01 1 0 0
10 405.54000 3.1953e-05 7.2065e+01 1 0 0
11 502.61000 1.0964e+03 1.4608e+02 1 0 0
12 112.02000 6.3738e-02 5.4893e+01 1 0 0
13 0.56591 0.0000e+00 1.0805e-08 1 0 0
14 2.99480 2.8592e-08 0.0000e+00 1 0 0
15 6.37740 5.5744e-07 6.9138e-01 1 0 0
16 7.18000 8.5414e-02 8.4380e-01 1 0 0
17 10.86500 8.7911e-02 4.3463e+00 1 0 0
18 38.21000 0.0000e+00 0.0000e+00 1 0 0
19 132.73000 3.8654e+00 8.1861e+01 1 0 0
20 2.90220 1.0756e-01 5.7660e-01 1 0 0
21 12.48200 1.0857e-01 4.5309e+00 1 0 0
22 50.68600 1.9812e-05 3.3183e+01 1 0 0
23 29.84900 2.6026e-06 3.5618e+00 1 0 0
24 131.24000 1.2843e-05 9.3678e-01 1 0 0
25 2.92240 0.0000e+00 2.5689e-03 1 0 0
26 2970.90000 1.3262e-04 1.0903e+03 1 0 0
27 56.97600 2.7783e-06 1.8427e+01 1 0 0
28 618.99000 1.6992e+03 1.3626e+02 1 0 0
29 41.59900 7.5070e-06 8.3382e-01 1 0 0
30 114.35000 0.0000e+00 3.5249e+01 1 0 0
31 2665.60000 1.7437e+04 8.6697e+02 1 0 0
32 1.78920 0.0000e+00 0.0000e+00 1 0 0
33 915.43000 1.4678e+04 3.4448e+02 1 0 0
34 1099.50000 4.7805e+03 6.2030e+02 1 0 0
35 15.38900 0.0000e+00 0.0000e+00 1 0 0
36 95.18800 0.0000e+00 4.4656e+01 1 0 0
37 97.01400 2.0383e+01 3.7210e+01 1 0 0
38 60.72000 8.8854e-02 3.6921e+01 1 0 0
39 67.33800 3.1084e-05 2.1600e+01 1 0 0
40 10.81400 9.9980e-02 1.2049e+00 1 0 0
41 3057.30000 2.2902e-02 1.1645e+03 1 0 0
42 6.80990 7.9342e-02 1.2791e+00 1 0 0
43 694.12000 7.2798e+01 2.0264e+02 1 0 0
44 1113.10000 1.3999e+03 4.8464e+02 1 0 0
45 91.22700 2.6500e+01 2.6679e+01 1 0 0
46 14.23900 0.0000e+00 0.0000e+00 1 0 0
47 28.16900 9.1483e-06 1.1175e+00 1 0 0
48 6.50090 8.7913e-02 1.8376e+00 1 0 0
49 54.26300 1.3009e-01 1.2100e+01 1 0 0
50 136.49000 0.0000e+00 4.6803e+00 1 0 0
51 6.76890 7.9334e-02 1.6434e+00 1 0 0
52 6.62960 8.2014e-02 6.2297e-01 1 0 0
53 47.79300 5.6356e+01 2.3581e+01 1 0 0
54 3254.70000 0.0000e+00 1.2040e+03 1 0 0
55 70.98900 5.1465e+01 1.6590e+01 1 0 0
56 5.76460 0.0000e+00 2.2148e-01 1 0 0
57 62.38800 1.5460e-06 0.0000e+00 1 0 0
58 2921.10000 4.2692e+04 2.2840e+03 1 0 0
59 77.01300 0.0000e+00 4.1571e+00 1 0 0
60 302.49000 1.9685e-05 7.0698e+01 1 0 0
61 67.20000 7.9732e-02 4.1950e+00 1 0 0
62 52.01000 9.2589e-02 3.1187e+01 1 0 0
63 63.30300 8.7466e+00 6.5887e+00 1 0 0
64 775.22000 3.2516e-05 2.4587e+02 1 0 0
65 9.57220 0.0000e+00 0.0000e+00 1 0 0
66 63.55100 1.1875e-01 1.6010e+01 1 0 0
67 48.75500 0.0000e+00 2.0030e+01 1 0 0
68 376.85000 8.4440e-05 1.6034e+01 1 0 0
69 2.70130 9.3407e-07 9.6416e-02 1 0 0
70 44.28500 2.3190e-06 2.8680e+00 1 0 0
71 1937.00000 3.9741e+04 1.0615e+03 1 0 0
72 29.21200 9.1354e-06 1.3149e+01 1 0 0
73 33.14100 6.2042e-06 1.7914e+01 1 0 0
74 1.70170 9.1059e-08 0.0000e+00 1 0 0
75 4.70980 9.7466e-02 5.8904e-01 1 0 0
76 60.56200 5.1499e+01 2.5908e-06 1 0 0
77 25.49600 0.0000e+00 1.5299e-06 1 0 0
78 28.12100 1.0670e-01 4.9906e+00 1 0 0
79 50.05700 3.5835e-05 7.7458e+00 1 0 0
80 17.30100 9.5136e-07 0.0000e+00 1 0 0
81 124.73000 1.4523e-01 3.8636e+01 1 0 0
82 9.90560 9.4633e-02 4.1905e+00 1 0 0
83 4.36430 7.7573e-08 1.0760e-07 1 0 0
84 9.67720 4.1622e-07 3.0374e-01 1 0 0
85 99.95400 3.4663e-05 3.6154e+01 1 0 0
86 5.20980 1.3396e-06 7.6812e-01 1 0 0
87 1.73150 0.0000e+00 0.0000e+00 1 0 0
88 17.80700 1.0751e-01 2.3673e+00 1 0 0
89 1.50980 4.8742e-07 1.2887e-02 1 0 0
90 24.47100 3.9937e-06 5.5440e-01 1 0 0
91 3144.40000 2.1285e+03 1.1560e+03 1 0 0
92 60.48800 5.6040e-06 1.5416e+01 1 0 0
93 3.08850 4.0354e-08 5.7819e-02 1 0 0
94 18.35300 6.7818e-07 9.0424e-07 1 0 0
95 92.55500 0.0000e+00 4.2687e+01 1 0 0
96 65.36800 9.5855e-06 2.1739e+01 1 0 0
97 67.11500 3.0145e-05 2.3297e+01 1 0 0
98 37.82800 9.2716e-02 6.2316e+00 1 0 0
99 155.47000 1.6395e+02 3.8551e+01 1 0 0
100 2.34150 1.0384e-01 7.3576e-01 1 0 0
101 4.08530 9.4655e-02 1.4752e+00 1 0 0
102 1028.80000 1.5017e-05 0.0000e+00 1 0 0
103 64.80400 3.2926e-05 5.2482e+00 1 0 0
104 0.95796 9.3329e-09 0.0000e+00 1 0 0
105 3.35860 6.0342e-07 2.4674e-01 1 0 0
106 1.20600 0.0000e+00 3.8584e-08 1 0 0
107 2820.70000 5.0877e+04 1.2326e+03 1 0 0
108 59.45000 1.3927e+02 1.6138e+01 1 0 0
109 15.01400 5.2820e-06 1.2129e+00 1 0 0
110 26.32000 0.0000e+00 1.8073e+01 1 0 0
111 5.98940 5.6710e-02 2.5300e+00 1 0 0
112 183.99000 1.2606e-05 5.4688e+00 1 0 0
113 67.55900 5.0797e+01 3.3348e+00 1 0 0
114 91.01500 8.1010e+01 4.4846e+01 1 0 0
115 47.64500 0.0000e+00 2.7389e+00 1 0 0
116 51.11900 6.4023e-02 1.1095e+01 1 0 0
117 53.50400 9.1325e-02 1.1229e+01 1 0 0
118 9.30710 0.0000e+00 0.0000e+00 1 0 0
119 127.33000 7.9245e-02 5.2971e+01 1 0 0
120 204.91000 5.9950e-05 7.4266e+01 1 0 0
121 526.59000 2.2751e+02 2.0106e+02 1 0 0
122 306.04000 9.9555e+01 1.2894e+02 1 0 0
123 10.67300 0.0000e+00 3.7676e+00 1 0 0
124 5.34670 0.0000e+00 0.0000e+00 1 0 0
125 2858.40000 9.9805e-03 9.9777e+02 1 0 0
126 4.49500 9.2515e-02 1.2793e+00 1 0 0
127 3.43840 0.0000e+00 4.3683e-03 1 0 0
128 34.38300 2.7583e-06 2.1670e+00 1 0 0
129 432.09000 1.0182e-04 4.3806e+01 1 0 0
130 63.66500 0.0000e+00 2.6710e-07 1 0 0
131 36.20600 1.3187e-06 1.4336e+00 1 0 0
132 368.99000 1.2833e+03 1.0788e+02 1 0 0
133 317.57000 5.3581e+02 1.5288e+02 1 0 0
134 62.25500 1.5743e+01 2.3371e+01 1 0 0
135 3254.60000 6.4194e-03 1.1689e+03 1 0 0
136 54.45600 4.4147e-06 5.2035e+00 1 0 0
137 10.76200 1.0756e-01 5.1551e+00 1 0 0
138 3.17340 4.0890e-07 1.6444e-01 1 0 0
139 23.47500 7.9953e-02 7.8959e+00 1 0 0
140 51.30400 1.7727e-06 0.0000e+00 1 0 0
141 54.09100 6.3919e-06 3.5702e+00 1 0 0
142 5.72110 0.0000e+00 0.0000e+00 1 0 0
143 7.84760 8.8939e-02 1.1959e+00 1 0 0
144 6.19270 2.8966e-01 2.4182e+00 1 0 0
145 3.57110 0.0000e+00 0.0000e+00 1 0 0
146 19.25600 0.0000e+00 0.0000e+00 1 0 0
147 45.03900 9.1343e-02 1.7049e+01 1 0 0
148 499.85000 3.3688e+03 3.0518e+02 1 0 0
149 10.24700 3.9463e-07 7.0872e-07 1 0 0
150 861.29000 1.0911e-04 2.1878e+02 1 0 0
151 6.18850 1.1133e-01 2.4869e+00 1 0 0
152 19.75400 2.5754e-06 2.2029e+00 1 0 0
153 43.58600 1.4743e-01 3.3487e+01 1 0 0
154 5.23070 1.7517e-06 6.5134e-01 1 0 0
155 9.10060 0.0000e+00 0.0000e+00 1 0 0
156 21.65700 3.3491e-06 1.1942e+01 1 0 0
157 60.18900 3.0369e+01 1.2144e+01 1 0 0
158 4.10820 0.0000e+00 3.4811e-01 1 0 0
159 5.83030 1.0707e-01 8.2294e-01 1 0 0
160 1031.40000 6.2236e-02 1.7612e+02 1 0 0
161 94.34600 1.2005e+01 1.3470e+01 1 0 0
162 2.70620 9.6497e-08 5.6648e-01 1 0 0
163 118.76000 1.4270e-05 4.2724e+01 1 0 0
164 11.22000 9.2692e-02 5.4011e+00 1 0 0
165 23.16500 9.0705e-07 0.0000e+00 1 0 0
166 31.13900 0.0000e+00 0.0000e+00 1 0 0
167 15.89800 0.0000e+00 6.5495e-07 1 0 0
168 79.75800 4.3940e-06 3.5709e+01 1 0 0
169 7.24770 0.0000e+00 0.0000e+00 1 0 0
170 7.87470 8.8922e-02 1.3551e+00 1 0 0
171 29.58800 9.4568e-02 3.5242e+00 1 0 0
172 25.99400 1.1004e+01 2.8676e+00 1 0 0
173 11.17100 2.8962e-01 6.8621e+00 1 0 0
174 79.13400 1.0316e-01 8.8821e+00 1 0 0
175 13.45900 9.3143e-07 8.1208e-01 1 0 0
176 14.68000 9.3632e-02 1.8047e+00 1 0 0
177 9.05430 1.3292e-07 4.5932e+00 1 0 0
178 3.67940 1.7896e-07 5.0981e-01 1 0 0
179 75.70400 0.0000e+00 5.2900e+00 1 0 0
180 61.54900 4.1341e+01 3.7737e+01 1 0 0
181 5.37030 3.1197e-07 2.7651e+00 1 0 0
182 533.00000 7.0760e+03 8.9169e+02 1 0 0
183 137.77000 1.2487e+02 1.5432e+01 1 0 0
184 6.92120 1.6659e-07 1.4017e+00 1 0 0
185 161.15000 9.4217e-02 6.9957e+01 1 0 0
186 2.22290 2.8717e-09 5.4562e-08 1 0 0
187 4.58200 1.0755e-01 1.5312e+00 1 0 0
188 4.58080 3.9744e-02 5.0755e+00 1 0 0
189 6.11430 2.4317e-07 4.0750e+00 1 0 0
190 3.53660 7.2926e-07 3.8360e+00 1 0 0
191 9.30100 1.3040e-01 5.6843e+00 1 0 0
192 42.19100 2.9612e-06 3.4806e+01 1 0 0
193 8.56580 0.0000e+00 0.0000e+00 1 0 0
194 124.99000 6.3766e-02 6.1794e+01 1 0 0
195 157.69000 8.4969e-02 3.7350e+01 1 0 0
196 90.37800 0.0000e+00 1.3755e+01 1 0 0
197 1.69730 3.7561e-08 0.0000e+00 1 0 0
198 48.96400 1.1127e-01 5.7036e+00 1 0 0
199 56.30800 1.5856e-01 9.3851e+00 1 0 0
200 40.36600 1.7801e+02 0.0000e+00 1 0 0
201 127.81000 4.9178e-06 8.4631e-06 1 0 0
202 2128.30000 1.4850e+04 1.0752e+03 1 0 0
203 40.68700 1.0011e-06 1.4308e+00 1 0 0
204 2.47650 2.8965e-01 1.1825e-01 1 0 0
205 1.37310 0.0000e+00 9.6265e-02 1 0 0
206 36.66400 1.1844e-01 3.9213e+00 1 0 0
207 69.69000 1.8417e+02 6.2874e+00 1 0 0
208 6.06370 1.3369e-06 1.3730e-01 1 0 0
209 1.23030 2.5978e-07 5.1801e-02 1 0 0
210 21.68900 9.2767e-02 1.7940e+01 1 0 0
211 159.10000 0.0000e+00 0.0000e+00 1 0 0
212 13.97000 7.4012e-08 8.0180e-08 1 0 0
213 32.29700 0.0000e+00 2.3497e+01 1 0 0
214 335.93000 1.5838e+03 2.2525e+02 1 0 0
215 66.10500 5.2076e+01 1.4133e+01 1 0 0
216 268.68000 1.5756e-04 9.3876e+01 1 0 0
217 1688.10000 3.0755e-02 6.5070e+02 1 0 0
218 134.05000 1.4492e+02 4.5990e+01 1 0 0
219 5.27890 5.0788e-02 5.1439e+00 1 0 0
220 9.09690 2.6056e-06 1.6150e+01 1 0 0
221 24.57800 9.9309e-02 1.2019e+01 1 0 0
222 22.60800 0.0000e+00 1.9411e+00 1 0 0
223 155.10000 7.4321e+02 1.6802e+02 1 0 0
224 31.11700 0.0000e+00 1.8554e+00 1 0 0
225 65.65100 2.3914e+00 1.8194e+01 1 0 0
226 60.42600 1.4714e-01 1.3380e+01 1 0 0
227 24.57300 1.5144e-07 0.0000e+00 1 0 0
228 1169.40000 6.5333e-02 4.8104e+02 1 0 0
229 4.78110 0.0000e+00 6.4813e-02 1 0 0
230 1758.90000 4.0151e+04 1.9671e+03 1 0 0
231 10.02100 0.0000e+00 5.2252e-01 1 0 0
232 0.77387 2.2089e-08 2.6384e-08 1 0 0
233 15.68400 9.2475e-02 7.2346e+00 1 0 0
234 6.57130 1.4618e-01 3.8813e+00 1 0 0
235 4.38400 9.9979e-02 6.7271e-01 1 0 0
236 418.91000 7.1309e-05 6.2432e+01 1 0 0
237 12.06200 9.7476e-02 8.5707e+00 1 0 0
238 27.38200 2.2703e+01 5.9736e+00 1 0 0
239 11.00500 1.1522e-01 7.4906e+00 1 0 0
240 1.32930 0.0000e+00 0.0000e+00 1 0 0
241 11.16000 1.2544e-01 8.4677e+00 1 0 0
242 1.88820 0.0000e+00 0.0000e+00 1 0 0
243 10.26600 8.8923e-02 1.2830e+01 1 0 0
244 9.11310 1.2543e-01 9.4381e+00 1 0 0
245 6.28220 0.0000e+00 4.2664e+00 1 0 0
246 9.27400 6.1458e-07 6.9387e+00 1 0 0
247 3.57040 1.0178e-07 2.6375e+00 1 0 0
248 5.72850 0.0000e+00 2.4271e-01 1 0 0
249 4.19820 9.3637e-02 2.6949e-01 1 0 0
250 3.33070 1.0832e-07 4.5453e-01 1 0 0
251 15.99400 0.0000e+00 4.3649e-07 1 0 0
252 1.41180 4.2551e-07 4.1185e-01 1 0 0
253 4.80060 1.0755e-01 1.2101e+00 1 0 0
254 37.32300 1.4873e-06 1.6148e-06 1 0 0
255 2.02720 9.8683e-08 5.5283e-02 1 0 0
256 22.71300 9.2665e-02 2.8224e+00 1 0 0
257 46.45200 8.3701e-02 2.0587e+01 1 0 0
258 1997.10000 1.9586e+04 1.1133e+03 1 0 0
259 22.63400 2.8957e-01 1.3267e+01 1 0 0
260 57.01900 0.0000e+00 1.1539e+01 1 0 0
261 58.52100 1.4588e-01 5.2965e+00 1 0 0
262 344.29000 1.2023e+03 1.0890e+01 1 0 0
263 2.01640 1.8337e-07 7.5329e-01 1 0 0
264 41.84200 1.4871e-06 0.0000e+00 1 0 0
265 20.97500 0.0000e+00 5.4482e-01 1 0 0
266 10.84300 0.0000e+00 1.3637e+00 1 0 0
267 42.62100 0.0000e+00 0.0000e+00 1 0 0
268 85.13000 1.9667e-05 1.6189e+01 1 0 0
269 1416.10000 2.8404e+03 6.4284e+02 1 0 0
270 3.88590 0.0000e+00 2.0169e+00 1 0 0
271 171.74000 1.2207e-05 4.0689e-06 1 0 0
272 288.03000 1.2893e+03 1.6137e+02 1 0 0
273 7.58980 1.2638e-07 1.3008e+00 1 0 0
274 9.24320 9.0297e-02 7.6661e+00 1 0 0
275 4.32330 4.2975e-07 3.2442e+00 1 0 0
276 13.41000 6.0597e-07 1.9149e+00 1 0 0
277 3.25710 6.0091e-07 1.5076e-01 1 0 0
278 4.29720 2.2067e-07 0.0000e+00 1 0 0
279 0.89339 2.3922e-08 0.0000e+00 1 0 0
280 2.93540 5.1812e-08 8.3351e-08 1 0 0
281 32.34000 8.1710e-02 3.1206e+00 1 0 0
282 18.20000 9.7462e-02 1.0111e+01 1 0 0
283 2217.50000 4.3560e-02 8.4538e+02 1 0 0
284 51.70300 1.2909e-05 1.3578e+01 1 0 0
285 39.03900 5.5512e-06 2.9178e-01 1 0 0
286 3.40810 2.8361e-08 5.4146e-01 1 0 0
287 8.57920 6.2028e-07 4.5883e+00 1 0 0
288 1664.20000 3.2389e-02 5.4301e+02 1 0 0
289 43.20600 1.9876e-05 2.3625e+01 1 0 0
290 151.12000 8.7087e-02 6.0443e+01 1 0 0
291 18.25400 9.1401e-02 1.0429e+01 1 0 0
292 29.46100 7.9289e-02 1.5317e+01 1 0 0
293 24.83400 8.1780e-07 8.7838e-07 1 0 0
294 29.23200 0.0000e+00 0.0000e+00 1 0 0
295 8.80110 0.0000e+00 0.0000e+00 1 0 0
296 9.24890 1.1138e-01 6.6129e-01 1 0 0
297 9.89240 3.8159e-06 8.3819e+00 1 0 0
298 5.17300 8.7954e-02 5.3325e+00 1 0 0
299 15.79200 6.4026e-02 1.6840e+01 1 0 0
300 174.06000 0.0000e+00 1.5461e+02 1 0 0
301 3.94460 0.0000e+00 4.0149e+00 1 0 0
302 828.46000 6.9079e+03 2.7838e+02 1 0 0
303 2.90400 1.3043e-01 1.0356e+00 1 0 0
304 3.27930 8.0407e-07 3.3581e-01 1 0 0
305 42.22500 9.4474e-02 4.7873e+00 1 0 0
306 24.92600 0.0000e+00 0.0000e+00 1 0 0
307 69.82000 6.9583e-06 3.4572e+00 1 0 0
308 4.43630 1.0684e-01 8.1686e-01 1 0 0
309 78.78300 0.0000e+00 0.0000e+00 1 0 0
310 26.88600 1.6412e-02 2.6994e+00 1 0 0
311 180.69000 1.3035e+02 7.2496e+01 1 0 0
312 3.33790 0.0000e+00 1.0510e-07 1 0 0
313 1810.30000 1.1666e+03 7.6543e+02 1 0 0
314 23.22800 7.8538e-07 0.0000e+00 1 0 0
315 34.25400 1.5136e-06 1.4565e-01 1 0 0
316 9.99700 2.5420e-07 0.0000e+00 1 0 0
317 344.16000 1.8038e+03 9.0917e+01 1 0 0
318 1386.20000 8.6292e+03 6.6966e+02 1 0 0
319 14.46600 2.6973e-06 1.2830e+01 1 0 0
320 1.41820 0.0000e+00 2.8885e-01 1 0 0
321 3.01600 0.0000e+00 0.0000e+00 1 0 0
322 1.15640 0.0000e+00 0.0000e+00 1 0 0
323 236.31000 5.5749e-06 0.0000e+00 1 0 0
324 17.31700 7.6859e-06 1.0416e+00 1 0 0
325 265.65000 1.3149e+02 5.0538e+00 1 0 0
326 1310.30000 3.0669e+02 3.8683e+01 1 0 0
327 10.80100 7.9295e-02 9.5436e-01 1 0 0
328 10.59100 0.0000e+00 0.0000e+00 1 0 0
329 213.83000 7.2652e+02 2.6938e+02 1 0 0
330 8.40550 8.4000e-02 3.0200e+00 1 0 0
331 73.75700 8.8650e-02 2.6346e+01 1 0 0
332 20.91300 8.2013e-02 1.1084e+01 1 0 0
333 46.56100 5.5098e-02 7.9994e+00 1 0 0
334 301.59000 3.4490e+02 6.5500e+01 1 0 0
335 59.21800 0.0000e+00 1.8974e+01 1 0 0
336 10.31800 1.3042e-01 3.1958e+00 1 0 0
337 8.12320 9.4664e-02 4.1099e+00 1 0 0
338 7.20930 6.0793e-07 5.9731e+00 1 0 0
339 37.35300 9.0567e-02 4.4335e+00 1 0 0
340 61.60500 9.2687e-06 8.3285e+00 1 0 0
341 1.72300 0.0000e+00 0.0000e+00 1 0 0
342 18.75100 6.1202e-07 0.0000e+00 1 0 0
343 21.93100 0.0000e+00 1.6508e-06 1 0 0
344 9.68400 9.0660e-02 3.0913e+00 1 0 0
345 6.21700 8.8905e-02 7.5396e-01 1 0 0
346 1.76630 4.1615e-08 0.0000e+00 1 0 0
347 79.37900 2.9210e+01 2.1730e+01 1 0 0
348 4.12080 5.6605e-02 1.5424e+00 1 0 0
349 2168.00000 4.5210e+04 1.2898e+03 1 0 0
350 48.03400 7.7893e-06 2.8078e-01 1 0 0
351 153.87000 1.1033e-06 5.9580e-06 1 0 0
352 2.96390 4.1325e-07 8.3250e-01 1 0 0
353 23.33600 7.4942e-02 8.9669e+00 1 0 0
354 5.14100 1.0436e-06 4.1930e-01 1 0 0
355 160.16000 1.0592e-01 2.6161e+01 1 0 0
356 3.22800 0.0000e+00 4.2158e-02 1 0 0
357 4.14270 0.0000e+00 0.0000e+00 1 0 0
358 5.31020 0.0000e+00 7.8318e-01 1 0 0
359 25.69100 2.3562e-06 1.9307e+00 1 0 0
360 31.95800 5.4426e-06 3.3319e-01 1 0 0
361 4.87430 1.0865e-01 1.5700e+00 1 0 0
362 389.44000 2.3000e+02 1.2230e+01 1 0 0
363 5.00930 1.0419e-07 3.1465e-01 1 0 0
364 6.55560 1.0864e-01 1.2310e+00 1 0 0
365 7.66590 9.8877e-02 3.1699e+00 1 0 0
366 1120.40000 2.9729e-02 2.8803e+02 1 0 0
367 59.07200 1.4982e-05 9.5529e+00 1 0 0
368 1878.60000 8.0227e+03 5.2844e+02 1 0 0
369 84.44900 1.1838e+01 2.7764e+01 1 0 0
370 651.55000 3.3364e-05 1.7812e+02 1 0 0
371 12.75000 0.0000e+00 1.6724e-01 1 0 0
372 243.76000 1.9988e-05 4.6400e-06 1 0 0
373 658.62000 2.2708e+02 2.2839e+02 1 0 0
374 69.33300 4.5626e+01 1.2012e+01 1 0 0
375 5.08730 0.0000e+00 3.5906e+00 1 0 0
376 4.97280 2.5902e-07 0.0000e+00 1 0 0
377 65.33800 2.1003e+01 1.8198e+01 1 0 0
378 18.20000 0.0000e+00 0.0000e+00 1 0 0
379 478.08000 0.0000e+00 0.0000e+00 1 0 0
380 7.69520 1.1134e-01 5.2559e+00 1 0 0
381 7.65730 8.7918e-02 4.9526e+00 1 0 0
382 4.83030 1.1892e-01 1.7080e+00 1 0 0
383 107.44000 3.3924e-06 0.0000e+00 1 0 0
384 144.71000 0.0000e+00 2.1599e+01 1 0 0
385 251.36000 6.5330e+02 4.3959e+01 1 0 0
386 135.97000 0.0000e+00 2.6450e+00 1 0 0
387 8.55190 1.2542e-01 2.9758e+00 1 0 0
388 3283.10000 3.8935e+03 1.1808e+03 1 0 0
389 1.46900 2.6359e-08 0.0000e+00 1 0 0
390 2.43620 9.3632e-02 4.7771e-01 1 0 0
391 4.67080 1.0657e-01 5.0795e+00 1 0 0
392 1243.50000 1.7387e+04 1.4720e+02 1 0 0
393 4.39300 1.5347e-07 3.5733e-01 1 0 0
394 2.31690 0.0000e+00 1.1097e-07 1 0 0
395 8.58650 9.3609e-02 3.9666e+00 1 0 0
396 10.93800 6.4060e-02 7.0196e-01 1 0 0
397 5.08300 3.3461e-07 0.0000e+00 1 0 0
398 646.65000 3.4990e-04 2.1004e+02 1 0 0
399 134.38000 6.9203e-06 2.4986e+01 1 0 0
400 3.64680 1.4749e-01 1.0528e+00 1 0 0
401 2.98710 3.8778e-07 1.0090e+00 1 0 0
402 70.90400 2.7100e+01 2.2090e+00 1 0 0
403 13.10400 5.5101e-02 6.3379e-01 1 0 0
404 57.68900 0.0000e+00 0.0000e+00 1 0 0
405 4.59500 8.1826e-02 1.5780e+00 1 0 0
406 3.78310 0.0000e+00 4.7680e-01 1 0 0
407 7.99440 1.2536e-01 2.5304e+00 1 0 0
408 1.69640 5.1934e-07 1.6904e-01 1 0 0
409 20.15600 1.5850e-01 5.2809e+00 1 0 0
410 105.58000 0.0000e+00 0.0000e+00 1 0 0
411 70.32400 6.9448e+01 2.2072e+01 1 0 0
412 69.48700 0.0000e+00 0.0000e+00 1 0 0
413 37.79900 0.0000e+00 3.5804e+00 1 0 0
414 4.91370 0.0000e+00 1.1632e+00 1 0 0
415 6.00170 1.1140e-01 1.6569e+00 1 0 0
416 6.31100 1.4659e-01 1.4598e+00 1 0 0
417 651.04000 6.4590e+03 2.2464e+02 1 0 0
418 1755.60000 7.5781e-02 6.3914e+02 1 0 0
419 7.29330 8.2012e-02 1.3009e+00 1 0 0
420 232.39000 1.7186e-05 3.8778e+00 1 0 0
421 13.92600 1.1898e-06 2.9167e-01 1 0 0
422 6.36510 0.0000e+00 2.8882e+00 1 0 0
423 511.73000 5.2778e-05 1.8051e+02 1 0 0
424 4.84420 0.0000e+00 4.0349e-01 1 0 0
425 11.62700 9.2497e-02 5.3238e+00 1 0 0
426 2.25260 3.7879e-07 6.6520e-01 1 0 0
427 3.48770 0.0000e+00 7.9470e-01 1 0 0
428 97.99200 0.0000e+00 3.5964e-06 1 0 0
429 4.32190 6.9146e-07 5.2904e-01 1 0 0
430 3.64620 3.5134e-07 3.6481e-01 1 0 0
431 36.56300 0.0000e+00 0.0000e+00 1 0 0
432 71.31400 5.4909e-02 5.9919e+00 1 0 0
433 51.17300 0.0000e+00 5.1163e-01 1 0 0
434 4.05340 2.2054e-06 4.5839e-01 1 0 0
435 14.58600 7.9200e-02 1.0451e+00 1 0 0
436 1825.80000 8.3420e+04 3.1192e+03 1 0 0
437 33.09400 1.5856e-01 9.6710e+00 1 0 0
438 3.06980 0.0000e+00 0.0000e+00 1 0 0
439 2.71150 9.7461e-02 6.2452e-01 1 0 0
440 2371.30000 6.1459e-02 8.2614e+02 1 0 0
441 5.95200 8.2041e-02 1.7382e+00 1 0 0
442 212.91000 4.2920e+03 4.8290e+01 1 0 0
443 2.43480 2.2558e-07 6.1240e-01 1 0 0
444 58.58100 8.7511e-06 2.4825e+01 1 0 0
445 140.21000 8.4769e-07 2.6996e+00 1 0 0
446 12.10600 0.0000e+00 7.5437e-07 1 0 0
447 1039.70000 6.5308e-02 3.5773e+02 1 0 0
448 822.50000 3.6425e-02 2.2550e+02 1 0 0
449 3.03180 3.0868e-07 2.4138e-01 1 0 0
450 1801.80000 4.6467e+04 2.1244e+03 1 0 0
451 50.20600 1.0737e-01 1.3568e+01 1 0 0
452 0.94856 0.0000e+00 1.9535e-08 1 0 0
453 4.82370 7.4999e-02 8.1809e-01 1 0 0
454 2.75490 7.9579e-02 1.0405e+00 1 0 0
455 1127.70000 2.5878e+03 1.6132e+02 1 0 0
456 26.86200 1.1127e-01 9.7726e-01 1 0 0
457 2400.40000 4.3997e+04 2.4348e+03 1 0 0
458 33.98400 9.7274e-02 2.2911e-01 1 0 0
459 285.61000 9.4150e-02 1.1404e+02 1 0 0
460 833.33000 5.1661e+02 2.2464e+02 1 0 0
461 33.11500 0.0000e+00 9.6785e-01 1 0 0
462 3.08380 7.5026e-02 5.5816e-01 1 0 0
463 9.09630 1.8022e-06 6.1426e-01 1 0 0
464 2.84300 4.7044e-07 2.5318e-01 1 0 0
465 4.39110 6.4073e-02 1.5116e+00 1 0 0
466 5.21820 7.5027e-02 8.5688e-01 1 0 0
467 2.26940 8.2043e-02 7.5790e-01 1 0 0
468 37.96400 3.1415e-06 5.6740e+00 1 0 0
469 5.80610 0.0000e+00 1.8385e+00 1 0 0
470 6.64440 1.0453e-06 7.6126e-01 1 0 0
471 16.06600 2.4379e-06 1.0339e+01 1 0 0
472 8.62230 4.4743e-07 4.1709e-01 1 0 0
473 40.45300 7.3661e+01 2.1866e+01 1 0 0
474 5.07710 1.0308e-01 4.2288e-01 1 0 0
475 59.19500 7.8978e-02 1.8196e+01 1 0 0
476 1.43470 3.4017e-08 0.0000e+00 1 0 0
477 61.14600 1.2237e+02 7.9499e+00 1 0 0
478 1.43740 0.0000e+00 1.5210e-01 1 0 0
479 2407.30000 8.8454e-03 8.3771e+02 1 0 0
480 19.59200 6.7514e-07 2.3543e+00 1 0 0
481 3.97020 9.7690e-02 1.3316e+00 1 0 0
482 3.98390 2.5730e-02 7.3586e-01 1 0 0
483 4.69130 1.0864e-01 1.8000e+00 1 0 0
484 44.03600 0.0000e+00 0.0000e+00 1 0 0
485 26.08100 4.2840e-06 7.9974e+00 1 0 0
486 16.12700 9.3499e-02 3.1981e+00 1 0 0
487 2.42140 3.5309e-07 7.9927e-01 1 0 0
488 24.50400 1.0543e-01 2.9398e+00 1 0 0
489 2.39870 1.4416e-06 8.0224e-01 1 0 0
490 1253.40000 4.2606e+03 9.3110e+01 1 0 0
491 61.56400 2.1368e-06 2.4007e+01 1 0 0
492 2.07060 0.0000e+00 2.3277e-01 1 0 0
493 3.32080 0.0000e+00 9.1037e-02 1 0 0
494 4.33930 0.0000e+00 8.7594e-01 1 0 0
495 29.86900 0.0000e+00 0.0000e+00 1 0 0
496 58.19700 3.5155e-06 1.1247e+01 1 0 0
497 13.19600 7.5897e-06 9.0822e+00 1 0 0
498 120.34000 6.1985e+01 2.9591e+01 1 0 0
499 22.69400 0.0000e+00 0.0000e+00 1 0 0
500 5.47640 9.1624e-07 1.8542e-01 1 0 0
501 3.47820 0.0000e+00 2.6394e-01 1 0 0
502 4.88940 2.8966e-01 1.6270e+00 1 0 0
503 8.80600 9.0318e-02 2.5707e+00 1 0 0
504 472.75000 9.4896e+01 5.3180e+01 1 0 0
505 30.02700 9.4047e-02 4.0814e+00 1 0 0
506 49.63100 2.9965e+00 8.0899e+00 1 0 0
507 37.57700 7.9428e-08 1.1824e+01 1 0 0
508 6.06600 7.4448e-07 6.8683e-01 1 0 0
509 3.88730 1.3241e-07 1.2282e-01 1 0 0
510 3.63990 0.0000e+00 4.5381e-01 1 0 0
511 54.71300 0.0000e+00 2.5566e+00 1 0 0
512 41.47600 1.5286e+01 1.2070e+01 1 0 0
513 21.37400 9.9980e-02 1.1828e+01 1 0 0
514 5.46920 8.0426e-02 8.8016e-01 1 0 0
515 4.62780 1.4749e-01 6.5419e-01 1 0 0
516 1529.20000 1.4220e+03 3.7645e+02 1 0 0
517 5.52800 1.1892e-01 7.5393e-01 1 0 0
518 19.37300 7.9981e-02 1.3819e+01 1 0 0
519 2.24930 0.0000e+00 9.5197e-02 1 0 0
520 18.21200 5.4324e-07 0.0000e+00 1 0 0
521 2105.10000 1.2740e+04 9.3173e+02 1 0 0
522 23.42200 8.3758e-06 1.2549e+00 1 0 0
523 8.06430 1.0363e-01 1.8802e+00 1 0 0
524 11.34100 5.5104e-02 3.8495e+00 1 0 0
525 797.89000 3.8674e-04 2.9264e+02 1 0 0
526 33.50500 0.0000e+00 2.3924e+00 1 0 0
527 4.73890 8.7953e-02 5.8711e-01 1 0 0
528 19.31200 1.5217e-06 9.3923e-02 1 0 0
529 49.35100 1.4630e+01 1.9177e+01 1 0 0
530 129.01000 0.0000e+00 6.8069e-06 1 0 0
531 2.53750 0.0000e+00 1.6615e-07 1 0 0
532 40.90700 7.3799e-01 6.4902e+00 1 0 0
533 1.89820 3.0838e-08 3.5464e-08 1 0 0
534 5.62580 7.5011e-02 6.8446e-01 1 0 0
535 15.15400 1.3330e-06 1.0673e-01 1 0 0
536 1.22230 3.1027e-08 0.0000e+00 1 0 0
537 11.02400 1.1891e-01 4.9264e+00 1 0 0
538 61.35300 0.0000e+00 1.7058e-06 1 0 0
539 61.50300 5.9654e+01 6.1592e+01 1 0 0
540 53.98300 1.8409e+01 5.5228e+01 1 0 0
541 57.50300 6.0857e+01 8.7145e+01 1 0 0
542 4.05920 4.0549e-08 6.5308e-02 1 0 0
543 6.42140 0.0000e+00 7.9633e-01 1 0 0
544 2.56450 0.0000e+00 4.3011e-01 1 0 0
545 44.60600 9.9194e-02 4.1042e+00 1 0 0
546 44.60200 1.1487e-01 5.7707e+00 1 0 0
547 17.64300 1.2091e-05 1.0787e+01 1 0 0
548 7.94960 1.6352e-06 4.8556e+00 1 0 0
549 56.97800 1.5620e+02 1.1399e+01 1 0 0
550 1045.10000 7.9186e+00 4.3600e+01 1 0 0
551 17.79300 1.9442e-06 9.8100e+00 1 0 0
552 17.42300 0.0000e+00 7.1276e+00 1 0 0
553 14.30400 1.3043e-01 1.3702e+01 1 0 0
554 243.70000 5.9225e-06 3.6376e+00 1 0 0
555 18.20200 1.1138e-01 4.8307e+00 1 0 0
556 1339.70000 5.4453e+02 2.5733e+02 1 0 0
557 71.94500 1.7278e+02 8.7502e-01 1 0 0
558 35.99300 1.0744e-01 1.0700e+01 1 0 0
559 1796.20000 6.3568e-02 3.5528e+02 1 0 0
560 155.81000 3.1965e+01 4.0162e+01 1 0 0
561 10.32800 9.3641e-02 5.2299e+00 1 0 0
562 233.98000 6.6243e-06 7.7933e-06 1 0 0
563 8.36260 7.9299e-02 2.5714e+00 1 0 0
564 2.85200 0.0000e+00 1.3025e+00 1 0 0
565 64.10700 6.0518e+01 4.3200e+00 1 0 0
566 64.10500 1.4639e-01 1.9489e+01 1 0 0
567 356.97000 0.0000e+00 5.4433e+01 1 0 0
568 8.62240 5.4040e-07 3.7666e-01 1 0 0
569 1236.30000 6.2927e-02 5.5079e+02 1 0 0
570 7.83210 3.9494e-07 3.8286e+00 1 0 0
571 357.68000 7.2325e+02 1.2460e+02 1 0 0
572 59.09800 8.7855e-02 1.3330e+01 1 0 0
573 64.54500 2.0913e-05 1.0430e+00 1 0 0
574 24.36000 1.1518e-01 7.8310e+00 1 0 0
575 11.38300 7.9605e-02 2.6896e+00 1 0 0
576 0.81830 0.0000e+00 0.0000e+00 1 0 0
577 6.75960 1.3044e-01 1.3060e+00 1 0 0
578 2.43400 9.4614e-07 6.3368e-01 1 0 0
579 33.43100 0.0000e+00 8.2511e-01 1 0 0
580 21.68100 1.0295e-01 5.3077e+00 1 0 0
581 2.53710 1.9723e-02 6.2551e-01 1 0 0
582 82.65500 1.3829e-05 2.6854e+00 1 0 0
583 18.92400 2.8247e-06 8.2438e+00 1 0 0
584 58.20000 6.3963e+01 0.0000e+00 1 0 0
585 4.35810 1.0308e-01 2.9133e+00 1 0 0
586 6.20980 9.7700e-02 8.2178e-01 1 0 0
587 5.15060 4.0607e-07 2.2716e+00 1 0 0
588 9.04360 6.5807e-07 5.4463e-01 1 0 0
589 42.03400 0.0000e+00 6.3556e+00 1 0 0
590 3.94660 4.1074e-07 2.7517e-01 1 0 0
591 4.95870 8.8933e-02 1.3134e+00 1 0 0
592 8.38980 8.8952e-02 3.3094e-01 1 0 0
593 7.49450 6.4068e-02 4.2130e-01 1 0 0
594 4.17430 8.4816e-07 2.1445e+00 1 0 0
595 5.78080 1.4749e-01 1.4531e+00 1 0 0
596 41.92500 4.0136e-07 1.4634e+01 1 0 0
597 32.17500 7.7048e-06 1.5864e+00 1 0 0
598 6.25360 5.5122e-02 2.4063e+00 1 0 0
599 14.20200 6.4107e+01 5.9166e+00 1 0 0
600 7.37730 0.0000e+00 4.0582e+00 1 0 0
601 454.26000 6.8353e-05 1.6449e+01 1 0 0
602 2043.80000 2.8815e+04 1.0753e+03 1 0 0
603 68.14600 9.7409e-02 1.3902e+01 1 0 0
604 14.67400 9.0354e-02 7.5295e+00 1 0 0
605 7.16840 4.8647e-06 7.8189e+00 1 0 0
606 3.53030 0.0000e+00 0.0000e+00 1 0 0
607 233.02000 1.9117e+03 6.0251e+01 1 0 0
608 5.37380 1.5862e-01 1.0936e+00 1 0 0
609 4.68120 9.4657e-02 7.4044e-01 1 0 0
610 34.72700 1.3015e-01 3.1386e+00 1 0 0
611 46.38200 1.6700e-05 1.7032e+00 1 0 0
612 10.34700 9.2519e-02 3.5000e+00 1 0 0
613 2964.80000 4.1718e+04 2.0881e+03 1 0 0
614 17.74800 1.4735e-01 3.3172e+00 1 0 0
615 296.61000 0.0000e+00 4.5037e+01 1 0 0
616 96.29600 3.7028e+02 6.5279e+00 1 0 0
617 5.09750 9.2780e-02 2.7191e+00 1 0 0
618 7.79600 3.2336e-07 0.0000e+00 1 0 0
619 69.83400 0.0000e+00 1.8377e+01 1 0 0
620 8.65280 1.0308e-01 5.3869e-01 1 0 0
621 127.49000 1.7202e+01 5.2958e+01 1 0 0
622 2528.70000 4.3303e+04 2.4073e+03 1 0 0
623 22.09500 1.4611e-01 2.2474e+00 1 0 0
624 101.39000 3.1764e-06 4.0973e+01 1 0 0
625 3.88840 8.0421e-07 2.2995e+00 1 0 0
626 19.51100 9.8867e-02 1.1085e+01 1 0 0
627 5.81460 0.0000e+00 2.8144e+00 1 0 0
628 17.70900 3.4096e-06 1.8549e+01 1 0 0
629 0.55976 0.0000e+00 0.0000e+00 1 0 0
630 2.19040 2.7783e-07 8.2450e-01 1 0 0
631 29.67300 0.0000e+00 0.0000e+00 1 0 0
632 9.89840 0.0000e+00 0.0000e+00 1 0 0
633 1528.10000 3.3893e+04 1.2354e+03 1 0 0
634 40.21200 4.2371e-06 8.3888e+00 1 0 0
635 6.97550 2.2260e-06 1.7545e-01 1 0 0
636 3.88570 2.1459e-06 2.4352e+00 1 0 0
637 17.97600 0.0000e+00 8.2077e-07 1 0 0
638 36.98400 1.0168e-05 4.1467e+00 1 0 0
639 2.36100 4.2012e-07 7.6015e-01 1 0 0
640 20.38700 0.0000e+00 0.0000e+00 1 0 0
641 2622.10000 4.0658e+04 1.1715e+03 1 0 0
642 21.21400 2.9827e-06 1.1731e+00 1 0 0
643 801.31000 7.1083e-01 2.9229e+02 1 0 0
644 12.66000 9.0328e-02 5.2881e+00 1 0 0
645 5.81540 1.1893e-01 3.8059e+00 1 0 0
646 62.43600 3.8918e-06 1.2675e+01 1 0 0
647 3.55620 4.6902e-07 4.1123e-01 1 0 0
648 181.57000 2.1677e-05 1.5228e+01 1 0 0
649 2.92760 1.5009e-06 7.7934e-01 1 0 0
650 2.50680 3.4479e-08 0.0000e+00 1 0 0
651 71.17000 2.7594e+01 2.4914e+01 1 0 0
652 60.67300 1.1859e-01 3.4385e+00 1 0 0
653 1417.10000 4.1671e+04 1.9859e+03 1 0 0
654 47.39100 1.4698e-01 7.3715e+00 1 0 0
655 3375.60000 1.6718e+04 1.3255e+03 1 0 0
656 1181.00000 1.2919e+04 2.5056e+02 1 0 0
657 35.40100 9.0570e-02 6.0229e+00 1 0 0
658 1.19090 0.0000e+00 4.1276e-02 1 0 0
659 6.15680 4.1750e-02 3.0989e+00 1 0 0
660 44.19600 3.1428e-05 1.4773e+01 1 0 0
661 26.53800 0.0000e+00 2.3075e+00 1 0 0
662 129.78000 1.6898e-05 1.9613e+01 1 0 0
663 27.68000 0.0000e+00 8.4769e-07 1 0 0
664 41.24700 1.9027e-06 4.7404e-01 1 0 0
665 15.27600 0.0000e+00 1.0373e+01 1 0 0
666 2107.70000 2.4132e+04 1.1633e+03 1 0 0
667 3.64640 1.4749e-01 1.4530e+00 1 0 0
668 1135.20000 0.0000e+00 0.0000e+00 1 0 0
669 77.36500 0.0000e+00 2.4688e+01 1 0 0
670 96.16600 7.0773e-06 0.0000e+00 1 0 0
671 770.42000 4.0685e+02 1.9172e+02 1 0 0
672 6.37540 9.4630e-02 7.3443e-01 1 0 0
673 1165.30000 2.5402e+04 8.8706e+02 1 0 0
674 61.05900 7.4750e+01 2.6427e+01 1 0 0
675 56.42500 1.1132e-01 5.0661e+00 1 0 0
676 45.45300 0.0000e+00 0.0000e+00 1 0 0
677 16.61400 9.8895e-02 3.3519e+00 1 0 0
678 598.94000 0.0000e+00 0.0000e+00 1 0 0
679 5.78540 2.1193e-06 9.7611e-01 1 0 0
680 333.86000 1.6999e+03 0.0000e+00 1 0 0
681 27.18700 9.9962e-02 1.8014e+01 1 0 0
682 33.74200 9.2518e-02 2.2482e+01 1 0 0
683 38.47200 7.4252e-06 1.9648e+00 1 0 0
684 1.85280 0.0000e+00 4.1375e-08 1 0 0
685 13.48500 1.4742e-01 4.8333e+00 1 0 0
686 4.66670 8.7941e-02 2.1959e+00 1 0 0
687 1127.50000 1.6404e+03 2.0253e+02 1 0 0
688 15.49700 9.0670e-02 1.9219e+01 1 0 0
689 7.49780 1.5863e-01 8.9272e-01 1 0 0
690 73.83800 3.6159e+01 1.5328e+01 1 0 0
691 70.57600 9.7007e+01 1.9666e+01 1 0 0
692 64.59400 9.1303e-02 2.2126e+01 1 0 0
693 8.64460 0.0000e+00 2.6230e-07 1 0 0
694 5.09060 8.1833e-02 1.1616e+00 1 0 0
695 24.94700 0.0000e+00 0.0000e+00 1 0 0
696 2.46340 5.2512e-02 3.5236e-01 1 0 0
697 3.58020 8.5422e-07 9.4368e-01 1 0 0
698 7.83760 9.1406e-02 6.1556e+00 1 0 0
699 1572.20000 4.9231e+04 2.0546e+03 1 0 0
700 9.74520 4.7579e-06 5.1832e+00 1 0 0
701 204.87000 0.0000e+00 3.4139e+01 1 0 0
702 5.32580 9.3630e-02 3.7866e-01 1 0 0
703 4.19660 2.3361e-02 1.3846e+00 1 0 0
704 16.72800 7.9923e-02 7.6993e+00 1 0 0
705 5.32740 7.9986e-02 2.4700e+00 1 0 0
706 62.33000 5.1640e-06 1.0547e+00 1 0 0
707 45.18600 0.0000e+00 2.3705e+01 1 0 0
708 2840.80000 6.8901e+03 1.3204e+03 1 0 0
709 45.34400 0.0000e+00 7.6310e+00 1 0 0
710 36.53700 9.2447e-02 7.9932e+00 1 0 0
711 20.51900 6.2242e-06 4.6060e+00 1 0 0
712 21.83200 6.1511e-06 5.2448e+00 1 0 0
713 3.40840 1.6015e-07 2.5023e-08 1 0 0
714 8.40490 0.0000e+00 2.8903e+00 1 0 0
715 500.38000 5.3456e-06 1.0280e-05 1 0 0
716 3.28440 9.3633e-02 5.7098e-01 1 0 0
717 171.45000 2.1429e+02 0.0000e+00 1 0 0
718 16.94300 1.1892e-01 1.2068e+01 1 0 0
719 11.36700 7.4982e-02 2.4237e+00 1 0 0
720 2.93200 5.2981e-08 3.3672e-01 1 0 0
721 3.66190 8.2114e-02 4.9934e-01 1 0 0
722 6.01980 9.0676e-02 6.4992e-01 1 0 0
723 2.95410 4.0685e-07 4.0381e-01 1 0 0
724 4.86000 9.2508e-02 1.0405e+00 1 0 0
725 70.30300 9.7052e-02 2.3702e+01 1 0 0
726 12.65300 1.4619e-01 7.2153e+00 1 0 0
727 69.74800 3.6041e+01 2.1473e+01 1 0 0
728 0.43939 5.9603e-09 0.0000e+00 1 0 0
729 13.28300 1.0754e-01 4.2987e+00 1 0 0
730 10.46200 1.2539e-01 2.5638e+00 1 0 0
731 4.60240 9.9978e-02 1.1822e+00 1 0 0
732 5.71060 7.9599e-02 2.8452e+00 1 0 0
733 32.04900 1.0426e-06 0.0000e+00 1 0 0
734 69.34200 1.4940e+01 0.0000e+00 1 0 0
735 39.17400 7.6872e-06 1.3677e+01 1 0 0
736 71.36000 0.0000e+00 0.0000e+00 1 0 0
737 4.40870 4.0426e-07 1.7953e+00 1 0 0
738 118.30000 3.5044e-06 0.0000e+00 1 0 0
739 2230.10000 1.2277e-02 7.7342e+02 1 0 0
740 67.57400 2.8246e+01 1.2671e+01 1 0 0
741 2.56220 4.2092e-07 7.3700e-01 1 0 0
742 64.44400 0.0000e+00 2.2778e+01 1 0 0
743 312.20000 2.0777e+02 1.5717e+02 1 0 0
744 2.33680 4.6087e-08 7.7775e-02 1 0 0
745 1301.80000 2.8676e+04 4.6059e+02 1 0 0
746 7.50660 1.4788e-06 6.0277e-01 1 0 0
747 137.30000 3.2595e-05 1.8119e+00 1 0 0
748 190.35000 0.0000e+00 0.0000e+00 1 0 0
749 23.63900 9.1229e-02 5.6346e+00 1 0 0
750 37.12700 5.5409e-06 7.8670e+00 1 0 0
751 80.44900 1.4602e+01 6.4718e+00 1 0 0
752 65.74200 0.0000e+00 2.5918e+01 1 0 0
753 81.26500 2.6918e-01 2.2245e+01 1 0 0
754 74.33100 9.5381e+01 2.0700e+01 1 0 0
755 73.66600 0.0000e+00 0.0000e+00 1 0 0
756 4.84510 9.2510e-02 7.0751e-01 1 0 0
757 1.82010 6.5927e-08 2.5938e-08 1 0 0
758 12.25600 0.0000e+00 0.0000e+00 1 0 0
759 80.84600 6.5089e+01 1.1001e+01 1 0 0
760 3.62910 9.7672e-02 1.1456e+00 1 0 0
761 5.13470 0.0000e+00 2.5965e+00 1 0 0
762 3.77090 1.9641e-07 1.1416e+00 1 0 0
763 3.16690 0.0000e+00 4.9087e-09 1 0 0
764 10.75000 7.3646e-07 1.8467e-01 1 0 0
765 6.82220 1.0308e-01 2.1670e+00 1 0 0
766 11.18900 9.0645e-02 4.9812e+00 1 0 0
767 319.22000 7.4222e-05 1.1528e+02 1 0 0
768 641.09000 0.0000e+00 2.3557e-05 1 0 0
769 5.60110 1.5723e-06 2.2180e-01 1 0 0
770 6.37210 8.8946e-02 3.4884e-01 1 0 0
771 4.08220 9.0359e-02 9.9988e-01 1 0 0
772 61.79700 4.5888e-05 7.1865e+00 1 0 0
773 4.89010 1.0867e-01 7.6270e-01 1 0 0
774 56.76400 1.0355e-01 2.2085e+01 1 0 0
775 20.87100 4.3682e-06 9.5213e-02 1 0 0
776 11.78900 9.7414e-02 5.6675e+00 1 0 0
777 213.31000 4.1993e+02 1.9537e+02 1 0 0
778 5.38920 9.9862e-07 6.1261e+00 1 0 0
779 730.14000 0.0000e+00 1.7143e+02 1 0 0
780 52.41300 1.2467e-01 2.7559e+01 1 0 0
781 4.97650 0.0000e+00 1.7019e-01 1 0 0
782 2811.20000 9.3499e+03 8.7499e+02 1 0 0
783 3.62390 3.0166e-07 9.5606e-01 1 0 0
784 2040.90000 2.9597e+02 6.5091e+02 1 0 0
785 6.41470 1.0752e-01 1.2843e+00 1 0 0
786 2008.50000 5.8682e-02 6.7962e+02 1 0 0
787 47.97600 1.1856e-01 2.1823e+01 1 0 0
788 24.28800 4.2494e-06 1.1886e+00 1 0 0
789 6.39060 1.0308e-01 4.1769e+00 1 0 0
790 69.87600 0.0000e+00 2.8552e+00 1 0 0
791 58.48500 9.3142e-02 1.8407e+01 1 0 0
792 4.37960 1.9320e-06 6.3337e-01 1 0 0
793 4.29310 1.0756e-01 8.3358e-01 1 0 0
794 4.93970 0.0000e+00 0.0000e+00 1 0 0
795 2.79430 3.4460e-07 2.2835e-01 1 0 0
796 1359.30000 3.1749e+03 5.1227e+02 1 0 0
797 66.10200 4.8045e-06 2.4023e-07 1 0 0
798 17.09300 9.2521e-02 1.0912e+01 1 0 0
799 13.17600 1.6954e-07 6.9398e+00 1 0 0
800 24.88800 7.4970e-06 9.7308e+00 1 0 0
801 10.39000 0.0000e+00 3.4967e-07 1 0 0
802 3.42770 0.0000e+00 3.6416e+00 1 0 0
803 5.26490 1.1139e-01 2.4907e+00 1 0 0
804 3.02060 1.0808e-07 2.9244e-02 1 0 0
805 45.26700 0.0000e+00 8.3581e+00 1 0 0
806 9.86500 1.0305e-01 5.4536e+00 1 0 0
807 4.38620 2.0716e-07 3.3043e-01 1 0 0
808 5.05270 9.9989e-02 1.1216e+00 1 0 0
809 2447.20000 2.7780e+03 9.0407e+02 1 0 0
810 60.57000 9.4556e-02 1.6277e+01 1 0 0
811 69.85200 2.4855e-05 1.7568e+00 1 0 0
812 1.15580 4.9040e-09 4.8059e-08 1 0 0
813 1.81890 8.7233e-07 6.6490e-01 1 0 0
814 5.18060 6.4081e-02 2.9610e-01 1 0 0
815 1676.30000 6.3672e+03 4.7679e+02 1 0 0
816 3.38760 1.3044e-01 6.0196e-01 1 0 0
817 1.79380 1.4321e-08 0.0000e+00 1 0 0
818 46.96100 1.9385e-06 1.6356e-06 1 0 0
819 12.53300 9.7458e-02 1.9150e+00 1 0 0
820 31.51700 1.4661e-01 2.0006e+01 1 0 0
821 20.17100 4.1242e-02 3.6123e+00 1 0 0
822 21.37300 2.5951e-06 4.2215e-01 1 0 0
823 427.54000 6.5334e+01 1.4592e+02 1 0 0
824 6.43510 9.4297e-02 1.3623e+00 1 0 0
825 10.04600 4.4603e-06 1.6573e+01 1 0 0
826 9.89750 2.0597e-07 0.0000e+00 1 0 0
827 5.38990 9.4304e-02 1.6005e+01 1 0 0
828 5.55840 9.1408e-02 2.0930e+00 1 0 0
829 15.87200 1.0676e-01 1.5653e+01 1 0 0
830 8.74870 9.2533e-02 7.0671e-01 1 0 0
831 2.89440 7.0237e-07 4.4635e-01 1 0 0
832 5.82720 1.4447e-01 2.5799e+00 1 0 0
833 56.41400 9.2574e-02 8.5597e+00 1 0 0
834 2112.40000 5.4604e+04 2.3066e+03 1 0 0
835 5.90240 6.1540e-07 2.6505e+00 1 0 0
836 86.87500 2.8487e-06 0.0000e+00 1 0 0
837 25.98400 2.0825e-06 1.5704e+00 1 0 0
838 7.64330 9.7473e-02 9.1271e-01 1 0 0
839 600.63000 1.7998e+03 0.0000e+00 1 0 0
840 31.69400 1.4653e-01 5.3147e+00 1 0 0
841 3.86420 1.1077e-07 5.0186e-01 1 0 0
842 2917.80000 4.1005e+04 1.5178e+03 1 0 0
843 25.39500 1.0034e-05 1.2204e+01 1 0 0
844 449.92000 1.1513e-04 7.8072e+01 1 0 0
845 5.40120 7.5006e-02 1.8341e+00 1 0 0
846 4.43410 1.5863e-01 8.0778e-01 1 0 0
847 8.21030 1.3043e-01 1.5701e+00 1 0 0
848 3.09420 0.0000e+00 0.0000e+00 1 0 0
849 6.52490 2.0656e-02 1.7027e+01 1 0 0
850 136.30000 8.1877e-02 1.2172e+02 1 0 0
851 2.60140 8.4005e-02 8.4107e-01 1 0 0
852 4.37130 4.0547e-02 4.8570e-01 1 0 0
853 20.83400 6.4057e-02 1.3137e+01 1 0 0
854 42.40100 1.0854e-01 6.8852e+00 1 0 0
855 1.98410 1.0118e-08 0.0000e+00 1 0 0
856 2.90920 0.0000e+00 9.8630e-01 1 0 0
857 4.49920 6.1002e-02 5.5619e-01 1 0 0
858 2.62140 1.5133e-07 5.3917e-01 1 0 0
859 4.98010 9.3630e-02 6.1802e-01 1 0 0
860 17.80000 9.9872e-08 5.1934e-07 1 0 0
861 38.40300 7.9939e-02 3.1059e+01 1 0 0
862 2129.90000 4.7184e+04 1.6760e+03 1 0 0
863 4.00030 5.5769e-07 6.5223e-01 1 0 0
864 1405.50000 9.1711e+02 4.0687e+02 1 0 0
865 4.60350 0.0000e+00 3.2269e-07 1 0 0
866 4.94700 1.5864e-01 1.0603e+00 1 0 0
867 3.36940 0.0000e+00 2.2108e+00 1 0 0
868 58.14700 8.1980e-02 5.8999e+01 1 0 0
869 7.08720 7.3866e-08 0.0000e+00 1 0 0
870 22.62200 8.0381e-02 1.0410e+01 1 0 0
871 1075.20000 1.9264e+03 1.3315e+02 1 0 0
872 12.74000 1.9138e-06 3.5522e-01 1 0 0
873 16.42200 1.0549e-01 6.1080e+00 1 0 0
874 726.96000 9.3610e+03 2.2095e+02 1 0 0
875 1.07200 2.6308e-08 0.0000e+00 1 0 0
876 54.39600 0.0000e+00 7.1081e-01 1 0 0
877 19.80600 1.1503e-01 2.4543e+00 1 0 0
878 817.65000 1.2774e+04 9.0486e+01 1 0 0
879 16.69200 0.0000e+00 0.0000e+00 1 0 1
880 43.24700 8.6877e-06 3.5163e+00 1 0 0
881 46.29000 3.4071e-06 1.8928e-06 1 0 0
882 27.24100 4.5212e-07 1.2546e+00 1 0 0
883 31.71500 0.0000e+00 1.0735e+00 1 0 0
884 63.67500 3.0039e+01 2.4858e+00 1 0 0
885 2.33200 3.9232e-08 2.5501e-08 1 0 0
886 22.47700 8.5002e-01 3.9435e+00 1 0 0
887 3.72710 0.0000e+00 4.4427e+00 1 0 0
888 1930.10000 3.2007e+04 8.3049e+02 1 0 0
889 65.90300 8.3981e+00 1.6740e+01 1 0 0
890 69.83000 1.0884e-06 0.0000e+00 1 0 0
891 58.30100 1.0716e-01 1.0922e+01 1 0 0
892 31.38800 1.1154e-06 4.9460e+00 1 0 0
893 2.61770 2.5671e-08 1.6192e-07 1 0 0
894 1292.30000 8.0112e-02 4.6886e+02 1 0 0
895 3.77940 1.1738e-02 2.7689e-01 1 0 0
896 110.62000 3.9821e-06 1.1932e+00 1 0 0
897 16.22000 1.0094e-02 1.8460e+01 1 0 0
898 18.88500 0.0000e+00 0.0000e+00 1 0 0
899 32.39900 9.3468e-02 1.0520e+00 1 0 0
900 4.13130 1.0756e-01 1.5046e+00 1 0 0
901 205.28000 6.0518e+01 2.9790e+01 1 0 0
902 3.03530 2.5681e-07 5.9194e-01 1 0 0
903 2.98850 6.4594e-07 4.4472e-01 1 0 0
904 120.34000 1.6429e-06 0.0000e+00 1 0 0
905 5.59910 6.6694e-07 2.0805e+00 1 0 0
906 42.57100 2.8959e-01 9.8527e+00 1 0 0
907 2.63140 0.0000e+00 5.8848e-08 1 0 0
908 439.75000 0.0000e+00 2.5263e-05 1 0 0
909 3.59100 1.0556e-01 1.0931e+00 1 0 0
910 2.50900 1.8279e-02 3.1409e-01 1 0 0
911 64.63600 0.0000e+00 2.4287e+00 1 0 0
912 180.40000 2.0701e-05 2.6026e+01 1 0 0
913 2.20430 8.5915e-08 2.1938e-02 1 0 0
914 47.46100 0.0000e+00 2.2559e+00 1 0 0
915 26.49400 0.0000e+00 3.1042e+00 1 0 0
916 47.26700 0.0000e+00 0.0000e+00 1 0 0
917 2.18600 0.0000e+00 3.5427e-01 1 0 0
918 3.51920 0.0000e+00 7.5506e-01 1 0 0
919 5.44660 2.3077e-06 9.7637e-01 1 0 0
920 44.54400 3.4241e-05 1.6870e+01 1 0 0
921 61.48900 1.4576e-01 7.6626e+00 1 0 0
922 51.30300 1.3024e-01 2.3327e+00 1 0 0
923 3.63780 0.0000e+00 3.2983e-01 1 0 0
924 3.31020 0.0000e+00 0.0000e+00 1 0 0
925 2380.30000 3.8497e+03 9.4168e+02 1 0 0
926 26.53700 5.0754e-06 3.6506e+00 1 0 0
927 6.47700 0.0000e+00 0.0000e+00 1 0 0
928 3.69800 0.0000e+00 3.3073e-01 1 0 0
929 25.53600 0.0000e+00 1.4010e-06 1 0 0
930 7.13360 3.6134e-06 7.3456e-01 1 0 0
931 2281.00000 5.9294e+04 1.6713e+03 1 0 0
932 85.98700 2.9528e-05 3.0320e+01 1 0 0
933 2.62660 2.2574e-07 1.1740e+00 1 0 0
934 134.17000 9.8469e-02 2.7058e+01 1 0 0
935 13.98900 1.5856e-01 3.3774e+00 1 0 0
936 6.80010 3.4338e-06 6.0608e+00 1 0 0
937 3.54820 5.9871e-06 1.2106e+01 1 0 0
938 26.11700 9.9970e-02 1.8840e+01 1 0 0
939 13.92300 0.0000e+00 1.9184e+01 1 0 0
940 1886.50000 4.3237e+04 1.0409e+03 1 0 0
941 25.26700 2.0617e-06 1.2223e+01 1 0 0
942 3302.70000 0.0000e+00 1.1553e+03 1 0 0
943 5.83600 1.4618e-01 1.0916e+00 1 0 0
944 0.97200 1.2339e-10 2.9759e-10 1 0 0
945 115.05000 1.6106e-05 1.5902e+01 1 0 0
946 2055.50000 4.0646e+04 1.1936e+03 1 0 0
947 41.35600 0.0000e+00 2.4190e-07 1 0 0
948 425.05000 1.4051e+03 9.3673e+01 1 0 0
949 67.05500 8.4866e+01 5.4292e+00 1 0 0
950 1231.00000 3.3899e+04 3.8266e+02 1 0 0
951 3.34690 6.7905e-08 1.7512e-07 1 0 0
952 571.84000 4.8348e+01 1.2177e+02 1 0 0
953 72.50100 2.9993e+01 2.2084e+01 1 0 0
954 76.79700 0.0000e+00 2.9711e+00 1 0 0
955 15.09000 2.8954e-01 1.4492e+00 1 0 0
956 10.48400 1.1895e-01 4.5210e+00 1 0 0
957 936.40000 0.0000e+00 3.5471e+02 1 0 0
958 0.73181 2.4551e-08 7.8573e-02 1 0 0
959 7.14400 1.0558e-01 2.1496e+00 1 0 0
960 6.87620 1.5628e-06 6.1495e+00 1 0 0
961 5.49860 7.7160e-02 9.5316e-02 1 0 0
962 6.32490 0.0000e+00 0.0000e+00 1 0 1
963 7.46400 0.0000e+00 0.0000e+00 1 0 1
964 123.17000 2.9806e-05 4.5458e+01 1 0 0
965 291.35000 8.2769e-02 1.1003e+02 1 0 0
966 76.89000 1.0669e-01 2.2124e+01 1 0 0
967 2.71500 8.7940e-02 8.3927e-01 1 0 0
968 1537.50000 2.4104e+02 2.7756e+02 1 0 0
969 23.84100 1.6709e-07 1.0399e+00 1 0 0
970 4.65230 1.0756e-01 1.1966e+00 1 0 0
971 432.83000 2.9281e+03 2.7105e+02 1 0 0
972 43.36400 9.4499e-02 2.5943e+00 1 0 0
973 78.53200 0.0000e+00 3.6851e+01 1 0 0
974 13.89700 5.5116e-02 7.7285e+00 1 0 0
975 64.41400 8.6701e-06 7.7514e-01 1 0 0
976 4.78000 7.4703e-07 3.9845e-01 1 0 0
977 17.04700 5.6259e-01 0.0000e+00 1 0 0
978 10.45400 1.4650e-01 9.7535e-01 1 0 0
979 49.75700 0.0000e+00 9.0093e+00 1 0 0
980 8.53780 0.0000e+00 0.0000e+00 1 0 1
981 546.84000 2.2894e-05 0.0000e+00 1 0 0
982 9.43200 9.8273e-07 6.4407e+00 1 0 0
983 60.36700 0.0000e+00 4.7941e+00 1 0 0
984 24.68200 9.1133e-02 9.9016e+00 1 0 0
985 202.21000 1.6916e+03 1.9017e+01 1 0 0
986 57.47600 1.5857e-01 1.7236e+01 1 0 0
987 11.34100 1.0361e-01 6.8314e-01 1 0 0
988 14.64400 5.6728e-06 1.5253e+01 1 0 0
989 5.50440 6.8633e-02 8.4782e-02 1 0 0
990 216.34000 5.2019e+01 2.0572e+02 1 0 0
991 6.08860 4.6319e-06 7.1455e+00 1 0 0
992 16.62600 9.1385e-02 6.4749e+00 1 0 0
993 16.54400 9.0088e-06 6.5855e+00 1 0 0
994 1663.90000 1.0813e+04 4.3080e+02 1 0 0
995 4.40670 9.5624e-02 4.1581e-01 1 0 0
996 5.41960 1.0754e-01 2.7013e+00 1 0 0
997 4.99680 4.9846e-07 4.1191e-01 1 0 0
998 7.92980 9.9987e-02 3.8857e+00 1 0 0
999 165.83000 2.6665e+02 2.9108e+01 1 0 0
1000 13.19000 0.0000e+00 4.7212e+00 1 0 0
1001 10.56100 8.1818e-02 8.3816e-01 1 0 0
1002 57.81500 4.2538e+01 1.3500e+01 1 0 0
1003 54.10800 0.0000e+00 0.0000e+00 1 0 0
1004 9.83130 3.9107e-07 0.0000e+00 1 0 0
1005 7.60040 6.4077e-02 4.0730e-01 1 0 0
1006 6.42620 0.0000e+00 0.0000e+00 1 0 0
1007 3.46310 0.0000e+00 4.7842e-01 1 0 0
1008 7.88490 1.2543e-01 1.1327e+00 1 0 0
1009 4.34210 1.1852e-06 4.9767e-01 1 0 0
1010 1564.60000 7.3073e-02 3.9442e+02 1 0 0
1011 14.93900 3.0015e-07 8.5827e-01 1 0 0
1012 5.79200 8.8944e-02 1.8482e+00 1 0 0
1013 6.02130 1.3044e-01 3.3458e+00 1 0 0
1014 106.86000 1.5399e+02 3.0626e+01 1 0 0
1015 10.27600 7.9354e-02 3.1284e+00 1 0 0
1016 8.23500 4.8446e-01 6.0840e-02 1 0 0
1017 1.33490 0.0000e+00 0.0000e+00 1 0 0
1018 71.93600 1.1600e-06 0.0000e+00 1 0 0
1019 32.23800 7.9278e-02 1.4634e+01 1 0 0
1020 3.44770 5.9924e-07 8.4780e-02 1 0 0
1021 4.96160 1.5396e-06 2.1561e+00 1 0 0
1022 5.87610 5.5101e-02 1.3133e+00 1 0 0
1023 36.54500 1.0974e-05 3.6028e+00 1 0 0
1024 83.77800 2.2799e-06 0.0000e+00 1 0 0
1025 97.89600 1.0832e-01 2.1650e+01 1 0 0
1026 10.47200 1.0678e-01 2.8520e+00 1 0 0
1027 7.99470 1.0307e-01 1.0623e+00 1 0 0
1028 399.58000 6.3094e-05 4.9758e+01 1 0 0
1029 5.91900 1.3043e-01 2.0838e+00 1 0 0
1030 4.12720 0.0000e+00 1.4122e-01 1 0 0
1031 51.75200 1.4632e-01 2.4817e+01 1 0 0
1032 19.69600 1.0245e-06 1.4239e-06 1 0 0
1033 7.08490 8.5414e-02 7.2792e-01 1 0 0
1034 20.26600 1.6036e-06 2.2630e+00 1 0 0
1035 6.65500 1.8095e-07 3.3942e-01 1 0 0
1036 5.90860 0.0000e+00 6.6049e-01 1 0 0
1037 68.77200 1.0672e-01 1.9775e+01 1 0 0
1038 6.56530 2.8028e-06 3.7158e+00 1 0 0
1039 5.13090 1.1140e-01 1.0622e+00 1 0 0
1040 6.87220 6.1274e-07 5.9284e+00 1 0 0
1041 15.80200 0.0000e+00 2.1858e+01 1 0 0
1042 4.94990 1.1139e-01 1.0153e+00 1 0 0
1043 324.21000 0.0000e+00 9.8755e+01 1 0 0
1044 61.37500 2.4589e-06 0.0000e+00 1 0 0
1045 32.91100 0.0000e+00 8.1594e+00 1 0 0
1046 1.12800 4.6293e-08 0.0000e+00 1 0 0
1047 5.98270 2.8443e-07 5.8132e-01 1 0 0
1048 54.31100 3.4878e-06 3.2471e+00 1 0 0
1049 3.20580 7.7905e-08 7.5338e-01 1 0 0
1050 5.34480 2.8382e-02 7.6215e-01 1 0 0
1051 28.84700 9.2740e-02 6.5746e+00 1 0 0
1052 11.48700 7.9356e-02 3.4455e+00 1 0 0
1053 7.36550 1.5862e-01 1.8607e+00 1 0 0
1054 54.86000 0.0000e+00 7.3030e+00 1 0 0
1055 411.10000 1.3968e-01 3.3511e+01 1 0 0
1056 494.92000 5.4447e+02 1.5056e+02 1 0 0
1057 79.10400 5.5679e+01 3.4463e+01 1 0 0
1058 19.10500 1.5858e-01 1.0101e+01 1 0 0
1059 579.32000 2.8190e-01 2.3079e+02 1 0 0
1060 24.70300 1.2666e-06 3.3157e+00 1 0 0
1061 162.05000 8.9388e-06 5.2115e+01 1 0 0
1062 44.12800 0.0000e+00 0.0000e+00 1 0 0
1063 26.79600 7.3108e-07 0.0000e+00 1 0 0
1064 25.79200 1.2541e-01 1.6762e+01 1 0 0
1065 33.24500 3.9514e-06 9.4456e+00 1 0 0
1066 1359.40000 5.4008e+03 2.6163e+02 1 0 0
1067 5.78440 3.2377e-07 5.8627e-02 1 0 0
1068 31.63200 1.7172e-05 4.7288e+00 1 0 0
1069 442.34000 1.7777e-04 2.4119e+02 1 0 0
1070 60.03900 2.6634e-05 7.1420e+00 1 0 0
1071 3.92270 1.0557e-01 3.5194e-02 1 0 0
1072 8.13140 1.1894e-01 4.1323e+00 1 0 0
1073 101.93000 0.0000e+00 2.6031e+00 1 0 0
1074 15.34200 9.3545e-02 1.5501e+00 1 0 0
1075 317.22000 1.7137e+02 4.4112e+00 1 0 0
1076 29.63200 9.9249e-02 6.6722e+00 1 0 0
1077 5.22050 3.5436e-07 1.0064e+00 1 0 0
1078 6.47690 3.2190e-06 3.1008e+00 1 0 0
1079 57.40100 3.8748e+01 6.3973e+00 1 0 0
1080 145.12000 1.1454e-01 1.8283e+01 1 0 0
1081 4.42280 0.0000e+00 7.5854e-08 1 0 0
1082 158.62000 1.1465e+02 0.0000e+00 1 0 0
1083 92.37200 0.0000e+00 1.9571e+01 1 0 0
1084 8.34520 0.0000e+00 6.7052e-01 1 0 0
1085 2993.80000 4.0868e+04 1.7595e+03 1 0 0
1086 57.29800 0.0000e+00 1.6798e+01 1 0 0
1087 3294.40000 2.1754e+03 1.1840e+03 1 0 0
1088 12.82400 8.7935e-02 8.7307e-01 1 0 0
1089 164.21000 4.1936e+00 1.4547e+01 1 0 0
1090 38.79500 9.6410e+00 7.3325e+00 1 0 0
1091 5.52620 7.9597e-02 2.0687e+00 1 0 0
1092 0.67225 0.0000e+00 0.0000e+00 1 0 1
1093 490.63000 1.0898e-05 8.3028e+01 1 0 0
1094 83.53200 6.3635e-02 5.6656e+00 1 0 0
1095 99.55700 0.0000e+00 6.0893e+01 1 0 0
1096 35.67500 1.4639e-01 1.2722e+01 1 0 0
1097 239.78000 0.0000e+00 1.1840e-05 1 0 0
1098 15.16200 1.1885e-01 1.0795e+00 1 0 0
1099 51.43500 7.9427e-02 3.5016e+00 1 0 0
1100 1.35630 0.0000e+00 0.0000e+00 1 0 1
1101 9.70970 0.0000e+00 6.9716e+00 1 0 0
1102 23.15000 0.0000e+00 0.0000e+00 1 0 0
1103 68.92100 2.7448e-06 1.6152e+00 1 0 0
1104 1819.40000 0.0000e+00 6.9395e+02 1 0 0
1105 97.95900 1.9875e+02 4.1006e+01 1 0 0
1106 6.60330 1.5864e-01 1.8409e+00 1 0 0
1107 1403.30000 1.7802e-03 6.4264e+02 1 0 0
1108 75.00200 6.8151e+01 1.0535e+01 1 0 0
1109 24.20200 6.4507e-06 1.5651e+00 1 0 0
1110 127.70000 0.0000e+00 8.4692e-06 1 0 0
1111 9.44020 1.0362e-01 1.4093e+00 1 0 0
1112 528.76000 9.1996e-02 7.6908e+01 1 0 0
1113 34.34800 1.4694e-05 1.2880e+01 1 0 0
1114 267.81000 0.0000e+00 1.0521e-05 1 0 0
1115 13.01000 1.2543e-01 8.1062e+00 1 0 0
1116 58.78400 9.9693e-02 1.6650e+01 1 0 0
1117 1835.10000 1.6208e+04 8.5579e+02 1 0 0
1118 61.56200 0.0000e+00 6.9998e-01 1 0 0
1119 262.35000 1.9372e-04 8.6765e+01 1 0 0
1120 14.19000 3.9039e-06 4.5319e+00 1 0 0
1121 14.56500 5.5106e-02 4.7811e+00 1 0 0
1122 11.31200 1.1892e-01 5.0920e+00 1 0 0
1123 175.28000 1.1714e-01 4.6106e+01 1 0 0
1124 1.31170 4.0213e-08 4.8059e-08 1 0 0
1125 3.48520 5.5938e-07 1.5943e+00 1 0 0
1126 58.37000 5.3945e-06 1.6273e+01 1 0 0
1127 1.43420 1.0375e-07 5.9722e-01 1 0 0
1128 2.50570 2.0382e-08 0.0000e+00 1 0 0
1129 37.78900 0.0000e+00 1.3113e+01 1 0 0
1130 57.40500 6.4041e-02 2.6070e+01 1 0 0
1131 60.74800 4.0022e+01 5.2583e+01 1 0 0
1132 10.97700 0.0000e+00 0.0000e+00 1 0 1
1133 17.82700 1.0652e-01 2.4558e+00 1 0 0
1134 48.22600 0.0000e+00 0.0000e+00 1 0 0
1135 62.20400 0.0000e+00 2.6284e-06 1 0 0
1136 11.30800 0.0000e+00 2.8610e-07 1 0 0
1137 15.82900 0.0000e+00 0.0000e+00 1 0 0
1138 104.88000 1.2483e-01 2.8222e+01 1 0 0
1139 3190.00000 8.7859e-04 1.1520e+03 1 0 0
1140 29.87600 4.7078e-06 6.4786e+00 1 0 0
1141 2.73380 1.0423e-06 1.3609e+00 1 0 0
1142 23.77800 4.3769e-06 2.2509e+00 1 0 0
1143 2751.30000 7.2067e+04 3.2513e+03 1 0 0
1144 105.76000 5.3585e+01 1.1848e+01 1 0 0
1145 1103.10000 2.4661e+02 4.5791e+02 1 0 0
1146 64.99800 1.0671e-01 2.6184e+01 1 0 0
1147 29.81100 3.9095e-02 1.8820e+00 1 0 0
1148 10.96200 1.4568e-06 6.9327e-01 1 0 0
1149 42.05100 6.3946e-02 1.0778e+01 1 0 0
1150 33.06700 0.0000e+00 6.1220e+00 1 0 0
1151 76.10700 7.8961e+01 3.2809e+00 1 0 0
1152 36.42100 1.1130e-01 5.7119e+00 1 0 0
1153 5.42400 0.0000e+00 2.5037e+00 1 0 0
1154 5.06430 4.6371e-06 3.4393e+00 1 0 0
1155 45.16700 8.3458e-02 6.4599e+00 1 0 0
1156 5.54370 2.3459e-07 1.5683e+00 1 0 0
1157 5.73700 9.0665e-02 1.4248e+00 1 0 0
1158 680.06000 8.8266e+03 0.0000e+00 1 0 0
1159 5.12000 7.5866e-07 1.1632e+00 1 0 0
1160 2.96680 7.8179e-07 4.8287e-01 1 0 0
1161 55.01200 1.2369e+02 3.5299e+01 1 0 0
1162 58.89100 1.7552e+01 2.0850e+01 1 0 0
1163 280.81000 0.0000e+00 7.8037e+01 1 0 0
1164 5.52150 0.0000e+00 2.6741e+00 1 0 0
1165 292.15000 3.1150e+02 1.4976e+02 1 0 0
1166 2.19320 1.0756e-01 2.4501e-01 1 0 0
1167 1439.50000 6.7903e+03 3.7932e+02 1 0 0
1168 30.81600 1.6323e-05 4.5697e+00 1 0 0
1169 35.35500 8.5352e-02 5.0587e+00 1 0 0
1170 5.18810 3.4492e-07 8.5547e-02 1 0 0
1171 111.34000 3.6451e-05 1.7354e+01 1 0 0
1172 2.40250 9.2529e-02 5.1492e-01 1 0 0
1173 220.91000 0.0000e+00 1.1725e+01 1 0 0
1174 61.25800 1.5821e-01 4.8535e+00 1 0 0
1175 55.67700 6.3785e-06 7.9509e-01 1 0 0
1176 3.85660 2.4817e-06 4.5294e-01 1 0 0
1177 2573.20000 4.2011e+04 1.5900e+03 1 0 0
1178 67.01100 3.1276e+01 1.0973e+01 1 0 0
1179 6.06470 5.6117e-07 1.9084e+00 1 0 0
1180 3.50180 0.0000e+00 4.6793e-01 1 0 0
1181 3.59510 4.6884e-07 3.8597e-01 1 0 0
1182 2.42170 1.1890e-08 6.7225e-02 1 0 0
1183 1430.00000 4.0564e+03 2.9458e+02 1 0 0
1184 0.78424 2.0599e-08 0.0000e+00 1 0 0
1185 183.50000 1.3867e+02 8.2818e+01 1 0 0
1186 4.78190 2.9943e-07 1.3014e-01 1 0 0
1187 71.80800 9.5836e+01 2.3810e+01 1 0 0
1188 13.26000 1.1136e-01 7.7092e+00 1 0 0
1189 6.90190 8.6373e-02 4.6943e-01 1 0 0
1190 32.48100 9.7324e-02 5.6059e+00 1 0 0
1191 22.45900 9.4282e-02 1.0008e+01 1 0 0
1192 56.79800 0.0000e+00 1.5708e-06 1 0 0
1193 1.44750 4.0262e-08 0.0000e+00 1 0 0
1194 521.38000 3.3119e+02 8.9224e+00 1 0 0
1195 2246.80000 4.6655e+03 7.2327e+02 1 0 0
1196 61.86400 9.8723e-02 9.6865e+00 1 0 0
1197 6.76480 5.0635e-07 1.7141e+00 1 0 0
1198 6.15710 9.2769e-02 3.2606e+00 1 0 0
1199 2.51520 6.4073e-02 6.3174e-01 1 0 0
1200 33.10200 0.0000e+00 5.0094e+00 1 0 0
1201 499.25000 3.8309e-05 0.0000e+00 1 0 0
1202 4.57500 4.2705e-07 3.3674e-01 1 0 0
1203 2.97360 1.3079e-07 3.1099e-01 1 0 0
1204 934.57000 1.1820e+03 9.5543e+01 1 0 0
1205 12.06600 0.0000e+00 3.5746e-07 1 0 0
1206 71.62200 4.7096e+01 1.5301e+00 1 0 0
1207 15.54000 0.0000e+00 0.0000e+00 1 0 0
1208 18.07100 2.9648e-06 2.2219e+00 1 0 0
1209 63.22700 2.3356e-05 1.1680e+01 1 0 0
1210 61.97300 0.0000e+00 3.6627e+00 1 0 0
1211 524.62000 2.3894e-05 0.0000e+00 1 0 0
1212 71.91500 1.6525e+01 1.6572e+01 1 0 0
1213 5.60810 0.0000e+00 2.9968e-01 1 0 0
1214 20.54100 8.1934e-02 3.3189e+00 1 0 0
1215 4.79810 1.1868e-01 1.4901e+00 1 0 0
1216 6.29420 5.8463e-02 4.4853e-01 1 0 0
1217 12.74400 1.7929e-07 0.0000e+00 1 0 0
1218 4.89750 5.3050e-07 1.6498e+00 1 0 0
1219 3.04010 6.0523e-07 4.5842e-01 1 0 0
1220 16.82000 1.9688e-06 1.8903e+00 1 0 0
1221 3.69780 2.8965e-01 3.7262e-01 1 0 0
1222 3037.80000 1.0109e+03 1.0490e+03 1 0 0
1223 86.16700 8.1450e-02 4.0607e+01 1 0 0
1224 1.80080 9.3639e-02 6.9976e-02 1 0 0
1225 44.90700 8.1991e-02 2.8729e+01 1 0 0
1226 27.65300 7.9554e-02 8.1944e+00 1 0 0
1227 2.91950 1.8789e-07 4.0813e-01 1 0 0
1228 11.08200 7.9318e-02 1.6967e+00 1 0 0
1229 522.29000 2.0942e-04 8.9884e+01 1 0 0
1230 37.27100 1.5854e-01 4.4059e+00 1 0 0
1231 44.27300 9.0400e-02 1.1188e+01 1 0 0
1232 36.83100 1.0667e-05 6.6080e+00 1 0 0
1233 6.78270 1.0557e-01 2.0599e+00 1 0 0
1234 3.15690 9.3640e-02 4.3583e-01 1 0 0
1235 7.34560 1.4235e-06 2.2548e+00 1 0 0
1236 27.85900 0.0000e+00 1.3330e-06 1 0 0
1237 26.69800 7.9413e-06 6.1731e-02 1 0 0
1238 1982.80000 1.3477e+04 4.5422e+02 1 0 0
1239 6.44960 1.2542e-01 2.1543e+00 1 0 0
1240 6.59040 1.3044e-01 3.0553e+00 1 0 0
1241 4.72330 8.6370e-07 5.4916e-01 1 0 0
1242 124.35000 9.9220e-06 3.9536e+00 1 0 0
1243 1109.80000 7.7065e+03 2.7168e+01 1 0 0
1244 57.57900 3.4991e-05 2.5160e+01 1 0 0
1245 64.78500 7.4545e+01 1.2550e+01 1 0 0
1246 49.34900 7.6490e-07 1.7506e+01 1 0 0
1247 13.49800 1.0738e-06 2.2987e+00 1 0 0
1248 1.79820 1.7459e-08 0.0000e+00 1 0 0
1249 13.66900 6.3702e-07 0.0000e+00 1 0 0
1250 154.71000 1.2295e-04 5.9356e+01 1 0 0
1251 6.14380 4.1812e-06 1.6013e+00 1 0 0
1252 38.81200 0.0000e+00 0.0000e+00 1 0 0
1253 5.05270 0.0000e+00 1.4042e+00 1 0 0
1254 62.47900 1.0556e-01 2.2971e+01 1 0 0
1255 491.15000 1.5166e+03 0.0000e+00 1 0 0
1256 1327.10000 8.5208e+01 4.3591e+02 1 0 0
1257 12.35900 9.4606e-02 6.3014e+00 1 0 0
1258 20.80500 0.0000e+00 3.9252e+00 1 0 0
1259 1515.50000 6.7530e-02 3.4920e+02 1 0 0
1260 3.62100 6.4072e-02 5.7055e-01 1 0 0
1261 25.20200 6.8091e-06 1.3333e+00 1 0 0
1262 2.82740 3.8396e-07 3.5313e-01 1 0 0
1263 66.44800 9.2624e-02 1.3940e+01 1 0 0
1264 5.00680 8.7955e-02 6.9447e-01 1 0 0
1265 5.19060 4.0222e-07 0.0000e+00 1 0 0
1266 55.23500 7.1792e+01 8.9877e+00 1 0 0
1267 65.30200 5.6503e+01 0.0000e+00 1 0 0
1268 17.34800 0.0000e+00 5.7733e-07 1 0 0
1269 6.76770 9.9973e-02 2.8314e+00 1 0 0
1270 3.12470 1.0756e-01 7.4297e-01 1 0 0
1271 3193.20000 2.9339e+02 1.0574e+03 1 0 0
1272 11.96700 0.0000e+00 0.0000e+00 1 0 0
1273 54.83900 1.4141e-05 4.5850e+00 1 0 0
1274 4.25880 1.0813e-07 1.1359e+00 1 0 0
1275 3.88080 9.3535e-07 2.4406e+00 1 0 0
1276 2680.30000 5.8968e-02 8.2243e+02 1 0 0
1277 34.03000 1.5980e-07 0.0000e+00 1 0 0
1278 3.95930 4.6098e-07 2.6578e-01 1 0 0
1279 5.32580 1.0865e-01 4.2330e-01 1 0 0
1280 25.14600 9.7377e-06 4.4919e-01 1 0 0
1281 19.34700 2.1136e-06 5.4919e+00 1 0 0
1282 31.46000 0.0000e+00 0.0000e+00 1 0 0
1283 61.68600 8.3885e-02 2.5600e+01 1 0 0
1284 25.19700 9.4207e-02 6.7655e+00 1 0 0
1285 100.25000 1.0381e-05 2.4644e+00 1 0 0
1286 64.06700 4.3622e+00 2.1023e+01 1 0 0
1287 1395.10000 5.1394e+02 4.5652e+02 1 0 0
1288 26.37100 0.0000e+00 0.0000e+00 1 0 0
1289 3112.00000 6.6503e+01 1.0320e+03 1 0 0
1290 67.98400 5.5253e+01 1.0135e+01 1 0 0
1291 690.49000 2.1487e-11 0.0000e+00 1 0 0
1292 66.32300 8.6504e-07 1.4368e+01 1 0 0
1293 27.35300 0.0000e+00 1.8299e-06 1 0 0
1294 9.06320 3.6727e-07 2.6817e-02 1 0 0
1295 49.17700 0.0000e+00 2.4722e+01 1 0 0
1296 892.66000 4.6558e-05 3.2466e+02 1 0 0
1297 35.93400 9.4192e-02 7.2526e+00 1 0 0
1298 18.56100 0.0000e+00 1.3731e-07 1 0 0
1299 61.41400 2.6733e+01 1.3525e+01 1 0 0
1300 20.35700 3.7126e-06 1.0335e+01 1 0 0
1301 5.24180 1.1523e-01 1.5954e+00 1 0 0
1302 68.18300 9.7201e+01 1.7530e+01 1 0 0
1303 3.25860 1.0685e-01 8.9707e-01 1 0 0
1304 1.99770 1.6183e-07 1.0821e+00 1 0 0
1305 3.65290 1.5864e-01 1.4319e+00 1 0 0
1306 3.30490 1.2545e-01 8.0758e-01 1 0 0
1307 4.02680 9.8080e-08 1.0892e-01 1 0 0
1308 2576.70000 8.2282e+04 2.8749e+03 1 0 0
1309 44.43500 2.8922e-01 2.0477e+01 1 0 0
1310 28.12500 4.8400e-06 4.0889e+00 1 0 0
1311 8.50600 3.5954e-07 0.0000e+00 1 0 0
1312 3.33950 2.8273e-07 5.9212e-01 1 0 0
1313 18.92200 1.1140e-01 1.2123e+01 1 0 0
1314 2413.50000 5.5839e+04 2.3568e+03 1 0 0
1315 43.98800 9.0272e-02 2.6139e+00 1 0 0
1316 3.85730 2.3585e-06 1.0432e+00 1 0 0
1317 13.72600 2.2873e-06 3.2821e+00 1 0 0
1318 29.54200 1.9860e-06 7.7999e+00 1 0 0
1319 2168.20000 2.3758e+04 1.0156e+03 1 0 0
1320 83.30300 5.7045e+00 1.3688e+01 1 0 0
1321 485.70000 1.3599e+04 9.9813e+01 1 0 0
1322 5.58370 9.3570e-02 1.4970e+00 1 0 0
1323 41.91400 1.3953e-06 0.0000e+00 1 0 0
1324 8.35060 2.7926e-06 1.4136e+00 1 0 0
1325 24.76500 9.2452e-07 7.6902e-07 1 0 0
1326 2.73880 0.0000e+00 0.0000e+00 1 0 0
1327 1.66240 0.0000e+00 5.8495e-08 1 0 0
1328 8.29020 1.3042e-01 2.2503e+00 1 0 0
1329 5.52440 0.0000e+00 4.6283e-01 1 0 0
1330 6.52430 5.5599e-07 1.5413e+00 1 0 0
1331 4.03560 8.4009e-02 4.5293e-01 1 0 0
1332 11.65500 2.8411e-06 5.5178e+00 1 0 0
1333 99.68700 1.0638e-01 3.9493e+01 1 0 0
1334 2281.80000 1.5017e+04 1.0420e+03 1 0 0
1335 18.83900 7.5040e-02 1.1386e+01 1 0 0
1336 2.43180 0.0000e+00 3.7299e-02 1 0 0
1337 0.64844 1.5067e-08 0.0000e+00 1 0 0
1338 61.91300 1.3279e-06 5.8868e-01 1 0 0
1339 87.26800 5.4799e+00 3.1226e+01 1 0 0
1340 15.20600 2.8958e-01 7.0549e+00 1 0 0
1341 4.26980 4.2365e-07 5.7542e-01 1 0 0
1342 1.41790 8.4175e-08 7.7161e-08 1 0 0
1343 3.04100 6.4084e-02 1.6563e+00 1 0 0
1344 2.70800 0.0000e+00 9.9335e-01 1 0 0
1345 4.89190 9.2520e-02 3.4812e+00 1 0 0
1346 12.48600 8.7114e-07 5.0309e+00 1 0 0
1347 34.73500 3.9938e-06 1.3185e+00 1 0 0
1348 1628.90000 5.7707e-02 6.1331e+02 1 0 0
1349 10.27800 1.4663e-01 3.6021e+00 1 0 0
1350 4.18350 1.4663e-01 3.4171e-01 1 0 0
1351 1587.60000 4.8155e+03 5.1698e+02 1 0 0
1352 60.33700 1.0557e-01 3.1608e+01 1 0 0
1353 7.94690 1.3039e-01 3.5940e+00 1 0 0
1354 27.75300 9.2404e-02 1.9253e+01 1 0 0
1355 4.29690 0.0000e+00 1.4613e-07 1 0 0
1356 8.78770 5.9151e-08 0.0000e+00 1 0 0
1357 155.76000 1.3552e-05 2.6515e+01 1 0 0
1358 33.04800 1.0553e-01 2.8119e+01 1 0 0
1359 28.65800 1.2251e+01 2.2230e+01 1 0 0
1360 61.77000 3.7126e-06 8.2010e+00 1 0 0
1361 38.51600 9.0504e-02 4.2557e+00 1 0 0
1362 16.92000 9.4645e-02 1.1158e+01 1 0 0
1363 4.67760 1.0684e-01 9.4373e-01 1 0 0
1364 5.91920 9.2882e-07 7.9584e-01 1 0 0
1365 773.11000 2.0950e-05 4.5492e-05 1 0 0
1366 2.03850 5.4276e-07 1.2277e+00 1 0 0
1367 38.41100 7.0290e+01 8.0209e+00 1 0 0
1368 292.00000 1.1224e+03 0.0000e+00 1 0 0
1369 23.27300 1.2528e-01 7.8753e+00 1 0 0
1370 3.21980 8.7947e-02 9.0789e-01 1 0 0
1371 3.84270 1.2406e-06 1.7336e+00 1 0 0
1372 3.36460 3.7179e-07 8.7920e-01 1 0 0
1373 4.01330 8.9787e-07 8.8299e-01 1 0 0
1374 42.93400 1.0672e-01 3.2522e+01 1 0 0
1375 14.10500 0.0000e+00 0.0000e+00 1 0 0
1376 9.40750 8.2023e-02 2.8319e+00 1 0 0
1377 84.20900 5.8243e+01 6.0253e-06 1 0 0
1378 9.87630 1.4741e-01 9.4627e-01 1 0 0
1379 55.38200 2.9606e-05 4.8115e+00 1 0 0
1380 28.17300 0.0000e+00 1.9114e+01 1 0 0
1381 62.15800 1.2527e-01 4.0438e+01 1 0 0
1382 48.29600 8.6261e+00 4.4696e+01 1 0 0
1383 31.05900 3.3615e+01 3.7982e+01 1 0 0
1384 488.51000 4.6645e+03 1.4283e+02 1 0 0
1385 27.68100 9.8756e-06 8.3228e+00 1 0 0
1386 31.22800 1.0718e-01 4.7090e+00 1 0 0
1387 15.06200 1.0753e-01 2.6160e+00 1 0 0
1388 123.62000 0.0000e+00 9.2748e-06 1 0 0
1389 5.04540 1.4620e-01 5.4770e-01 1 0 0
1390 9.55510 2.8964e-01 5.4412e+00 1 0 0
1391 7.39860 9.4293e-02 2.6816e+00 1 0 0
1392 478.08000 1.2826e+04 1.2268e-05 1 0 0
1393 3.62010 1.8500e-07 1.2543e-08 1 0 0
1394 1.93120 0.0000e+00 3.3679e-08 1 0 0
1395 54.32800 1.9829e+00 2.4495e+00 1 0 0
1396 37.94400 2.4568e+01 2.1868e+01 1 0 0
1397 18.02600 9.2503e-02 1.2302e+01 1 0 0
1398 6.08720 0.0000e+00 1.8013e-07 1 0 0
1399 475.97000 2.2205e-05 1.1663e+01 1 0 0
1400 3.73450 1.0753e-01 1.3055e+00 1 0 0
1401 47.61800 1.1008e-06 4.4197e+00 1 0 0
1402 54.98000 8.7869e-02 4.6994e+01 1 0 0
1403 19.82300 1.0866e-01 1.1459e+01 1 0 0
1404 15.80400 8.5417e-02 6.2394e+00 1 0 0
1405 16.29600 0.0000e+00 0.0000e+00 1 0 0
1406 19.17100 4.8594e+00 4.1426e+00 1 0 0
1407 17.50200 2.0905e-01 3.0372e-01 1 0 0
1408 43.29700 8.2001e-02 1.2907e+01 1 0 0
1409 1.97400 4.1458e-07 5.6819e-01 1 0 0
1410 44.00000 2.5923e+01 5.9797e+00 1 0 0
1411 74.57200 1.0295e-01 2.0076e+01 1 0 0
1412 4.42740 0.0000e+00 6.6200e-01 1 0 0
1413 2.89470 0.0000e+00 1.3311e+00 1 0 0
1414 41.26600 9.2195e-02 7.9354e+00 1 0 0
1415 2068.60000 1.2707e-02 7.1267e+02 1 0 0
1416 3.85900 6.0793e-08 5.9972e-01 1 0 0
1417 58.95800 1.0346e-01 2.6846e+01 1 0 0
1418 1014.40000 3.9787e+04 1.1861e+03 1 0 0
1419 55.95500 1.1877e-01 4.8458e+01 1 0 0
1420 10.47200 1.0364e-01 9.3709e+00 1 0 0
1421 33.58400 8.0403e-02 2.5995e+01 1 0 0
1422 26.93600 1.9839e+01 3.7796e+01 1 0 0
1423 18.68600 3.0093e+00 3.6163e+00 1 0 0
1424 15.40600 1.4652e-01 3.9186e-01 1 0 0
1425 20.17900 4.2761e+00 3.8038e+00 1 0 0
1426 1307.00000 6.4332e+02 4.3317e+02 1 0 0
1427 22.68500 0.0000e+00 0.0000e+00 1 0 0
1428 5.84770 4.3300e-08 0.0000e+00 1 0 0
1429 28.95000 2.1099e-06 7.7480e+00 1 0 0
1430 264.02000 0.0000e+00 0.0000e+00 1 0 0
1431 5.16490 7.9976e-02 2.2543e+00 1 0 0
1432 3.13520 7.1186e-07 9.1531e-01 1 0 0
1433 2581.60000 5.4804e+04 2.3783e+03 1 0 0
1434 39.50300 7.9068e-02 1.1930e+01 1 0 0
1435 3.41690 4.1772e-08 2.5021e+00 1 0 0
1436 542.57000 6.3171e+02 2.7954e+02 1 0 0
1437 24.70300 2.0963e-06 2.5877e+00 1 0 0
1438 2.40840 0.0000e+00 4.4450e-01 1 0 0
1439 2564.40000 3.7290e-03 9.2885e+02 1 0 0
1440 45.68000 9.4144e-02 1.3188e+01 1 0 0
1441 1.99940 0.0000e+00 1.3004e+00 1 0 0
1442 15.70900 2.7123e-07 0.0000e+00 1 0 0
1443 70.71900 0.0000e+00 0.0000e+00 1 0 0
1444 206.69000 0.0000e+00 8.5253e+01 1 0 0
1445 64.15700 3.0800e+01 3.9854e+00 1 0 0
1446 6.74850 2.8957e-01 9.2896e-02 1 0 0
1447 13.04400 1.3468e-06 2.8000e+00 1 0 0
1448 9.13280 8.1837e-02 2.6438e+00 1 0 0
1449 3.69800 9.3617e-02 5.0126e-01 1 0 0
1450 16.66600 8.2060e-02 8.2345e+00 1 0 0
1451 18.74000 0.0000e+00 0.0000e+00 1 0 0
1452 11.21300 3.8036e-06 1.7163e-01 1 0 0
1453 9.05120 1.8831e-07 7.2000e-08 1 0 0
1454 573.45000 0.0000e+00 4.2156e+02 1 0 0
1455 20.62300 1.4749e-01 1.1003e+01 1 0 0
1456 46.34400 1.0930e-05 2.7741e-01 1 0 0
1457 117.17000 6.9275e-06 0.0000e+00 1 0 0
1458 2512.40000 4.4572e-02 1.0046e+03 1 0 0
1459 8.18210 9.2483e-02 1.1015e+00 1 0 0
1460 23.83300 1.0354e-01 2.9531e+00 1 0 0
1461 723.31000 1.8674e+04 6.2715e+02 1 0 0
1462 4.36250 7.9990e-02 4.7249e+00 1 0 0
1463 17.85500 1.4657e-01 2.2935e+01 1 0 0
1464 198.97000 7.7844e+00 8.7230e+01 1 0 0
1465 34.55000 0.0000e+00 5.9019e+00 1 0 0
1466 3.93500 1.0309e-01 8.1062e-01 1 0 0
1467 5.37350 9.4657e-02 2.8301e-01 1 0 0
1468 3.10420 7.9596e-02 7.8417e-01 1 0 0
1469 115.65000 9.3392e-02 6.7186e+01 1 0 0
1470 10.27900 8.7924e-02 1.6362e+00 1 0 0
1471 7.42510 9.7430e-02 1.1576e+00 1 0 0
1472 5.32230 1.0684e-01 8.3445e-01 1 0 0
1473 2.57970 9.4763e-07 4.3151e-01 1 0 0
1474 3035.90000 6.7473e+04 3.1533e+03 1 0 0
1475 63.92100 1.0655e-01 4.8852e+00 1 0 0
1476 89.98800 4.1819e+03 0.0000e+00 1 0 0
1477 706.17000 8.7795e-05 2.0585e+02 1 0 0
1478 33.22100 0.0000e+00 6.3626e-07 1 0 0
1479 142.18000 4.6814e+01 9.3375e+01 1 0 0
1480 46.09500 8.2088e-02 4.0416e+01 1 0 0
1481 12.79800 2.9511e-07 0.0000e+00 1 0 0
1482 45.21400 9.8847e-02 3.1410e+01 1 0 0
1483 13.46200 2.8866e-08 1.9485e-07 1 0 0
1484 14.41000 0.0000e+00 0.0000e+00 1 0 0
1485 9.15130 3.4320e-06 1.4599e+00 1 0 0
1486 49.21000 8.5341e-02 1.4682e+01 1 0 0
1487 493.48000 4.4787e+02 8.8912e+00 1 0 0
1488 7.09310 1.2541e-01 1.9721e+00 1 0 0
1489 59.76900 0.0000e+00 0.0000e+00 1 0 0
1490 39.34300 6.7514e-07 0.0000e+00 1 0 0
1491 106.03000 0.0000e+00 0.0000e+00 1 0 0
1492 5.85070 5.9577e-07 3.6251e-01 1 0 0
1493 3.11440 1.8159e-07 5.4199e-01 1 0 0
1494 4.97060 6.0275e-02 8.8458e-01 1 0 0
1495 1.46000 1.0092e-07 2.3910e-01 1 0 0
1496 3.94280 1.4663e-01 9.2581e-01 1 0 0
1497 62.21700 2.8411e+01 2.5825e+01 1 0 0
1498 9.02950 9.4659e-02 2.9062e-01 1 0 0
1499 1415.60000 3.5962e+04 1.4834e+03 1 0 0
1500 5.58080 1.1893e-01 2.0393e+00 1 0 0
1501 5.79510 1.1894e-01 1.2530e+00 1 0 0
1502 6.15130 1.0307e-01 2.1848e+00 1 0 0
1503 55.97200 3.1516e-06 1.0284e+00 1 0 0
1504 6.95340 1.0866e-01 1.4069e+00 1 0 0
1505 7.08980 1.0865e-01 2.7589e+00 1 0 0
1506 9.67170 1.0680e-01 6.5526e+00 1 0 0
1507 177.41000 0.0000e+00 1.1318e+02 1 0 0
1508 7.21650 3.1361e-06 7.5822e+00 1 0 0
1509 17.26500 6.6374e-07 0.0000e+00 1 0 0
1510 1090.10000 2.2863e-04 3.4827e+02 1 0 0
1511 59.93000 0.0000e+00 2.1485e-06 1 0 0
1512 9.84300 1.0555e-01 1.4951e+00 1 0 0
1513 82.22500 0.0000e+00 0.0000e+00 1 0 0
1514 31.37500 1.5682e-06 5.6505e+00 1 0 0
1515 9.82490 1.3042e-01 1.3525e+01 1 0 0
1516 12.03700 9.0310e-02 1.3744e+01 1 0 0
1517 3.36270 9.0867e-08 1.5381e+00 1 0 0
1518 4.25060 1.2927e-06 7.2906e-01 1 0 0
1519 414.22000 9.1946e+02 2.3469e+02 1 0 0
1520 24.07600 1.1868e-06 9.6932e-01 1 0 0
1521 16.95200 0.0000e+00 1.3244e+00 1 0 0
1522 3.29870 9.9431e-08 3.6941e-01 1 0 0
1523 10.86800 1.5861e-01 2.9649e+00 1 0 0
1524 43.74300 1.3810e-05 4.2862e-01 1 0 0
1525 4.27160 8.8932e-02 8.7365e-01 1 0 0
1526 102.38000 8.0049e-02 1.7038e-01 1 0 0
1527 58.82400 7.9034e-02 1.1910e+01 1 0 0
1528 30.95700 0.0000e+00 0.0000e+00 1 0 0
1529 320.60000 6.0782e+03 3.1565e+00 1 0 0
1530 25.93100 7.9927e-02 7.2234e+00 1 0 0
1531 66.13700 0.0000e+00 1.3340e+01 1 0 0
1532 7.82430 0.0000e+00 0.0000e+00 1 0 0
1533 19.20700 6.4073e-02 1.9226e+00 1 0 0
1534 41.12000 1.1865e-01 3.1179e+01 1 0 0
1535 38.94500 1.6774e+01 2.2047e+01 1 0 0
1536 8.50500 2.8965e-01 9.0053e-01 1 0 0
1537 9.02740 1.5864e-01 4.8662e-01 1 0 0
1538 167.56000 1.5914e+03 2.0940e+01 1 0 0
1539 66.31800 1.1110e-01 8.8176e+00 1 0 0
1540 196.16000 4.7589e+02 7.3357e+01 1 0 0
1541 62.42200 0.0000e+00 8.5091e+00 1 0 0
1542 3.58800 1.2611e-01 1.8469e+00 1 0 0
1543 309.92000 1.9753e-04 1.1023e+02 1 0 0
1544 29.19000 2.7634e+01 7.6969e+00 1 0 0
1545 18.23000 1.0751e-01 6.0597e+00 1 0 0
1546 133.29000 1.1985e-05 1.0010e+01 1 0 0
1547 3.29320 1.4620e-01 6.9382e-01 1 0 0
1548 65.27000 1.7233e+02 1.3333e+01 1 0 0
1549 44.79500 1.0739e-01 1.2960e+01 1 0 0
1550 56.12700 1.3270e-06 5.4337e+00 1 0 0
1551 4.20870 0.0000e+00 5.0725e-01 1 0 0
1552 12.15600 1.0752e-01 6.2970e+00 1 0 0
1553 89.52400 3.1959e-06 2.5363e+01 1 0 0
1554 1852.10000 5.5129e+04 2.2086e+03 1 0 0
1555 10.99900 5.7974e-07 7.2227e-01 1 0 0
1556 26.63000 9.3616e-02 1.7696e+01 1 0 0
1557 7.02070 0.0000e+00 0.0000e+00 1 0 0
1558 778.12000 4.2915e-05 3.5155e+02 1 0 0
1559 10.85500 6.0596e-07 0.0000e+00 1 0 0
1560 8.45350 1.4659e-01 3.3910e+00 1 0 0
1561 317.45000 0.0000e+00 0.0000e+00 1 0 0
1562 320.53000 1.4581e+03 1.1292e+02 1 0 0
1563 60.82700 2.2414e-06 0.0000e+00 1 0 0
1564 100.41000 0.0000e+00 1.7058e-06 1 0 0
1565 79.67500 1.1097e-01 2.3015e+01 1 0 0
1566 290.41000 3.1902e-05 1.0913e+02 1 0 0
1567 63.19600 8.5313e-02 9.7126e+00 1 0 0
1568 9.79970 9.3530e-02 1.5552e-01 1 0 0
1569 4.97910 3.4336e-06 7.8050e-01 1 0 0
1570 12.98300 0.0000e+00 8.9445e+00 1 0 0
1571 3.67490 1.1140e-01 1.0433e+00 1 0 0
1572 4.54360 1.0362e-07 2.4361e-01 1 0 0
1573 15.16500 0.0000e+00 1.0988e+01 1 0 0
1574 40.35900 2.0562e-06 1.8988e+01 1 0 0
1575 6.59910 9.2530e-02 2.9353e+00 1 0 0
1576 6.12570 0.0000e+00 0.0000e+00 1 0 0
1577 26.92100 9.9652e-02 2.0863e+00 1 0 0
1578 2866.90000 9.7366e+02 1.0229e+03 1 0 0
1579 8.07950 1.1522e-01 3.8288e+00 1 0 0
1580 128.26000 0.0000e+00 0.0000e+00 1 0 0
1581 146.38000 7.6702e-06 0.0000e+00 1 0 0
1582 18.87100 5.9633e-07 0.0000e+00 1 0 0
1583 8.79510 8.7941e-02 2.1626e+00 1 0 0
1584 68.28200 1.7582e-05 4.1273e+01 1 0 0
1585 9.04930 8.7947e-02 2.0772e+00 1 0 0
1586 104.30000 8.7199e-05 5.7006e+01 1 0 0
1587 5.76650 1.2884e-07 0.0000e+00 1 0 0
1588 10.37400 0.0000e+00 8.2345e-01 1 0 0
1589 6.90760 9.7317e-07 2.2880e-01 1 0 0
1590 5.84260 8.5401e-02 2.2592e+00 1 0 0
1591 60.11600 1.4375e-05 7.3687e+00 1 0 0
1592 494.57000 6.0019e+01 1.2490e+02 1 0 0
1593 83.11500 6.4549e+01 2.8698e+01 1 0 0
1594 12.26100 0.0000e+00 2.2254e+00 1 0 0
1595 1.82590 0.0000e+00 2.3688e-01 1 0 0
1596 66.60100 1.7186e-06 2.6669e+00 1 0 0
1597 24.91100 5.5072e-02 5.9286e+00 1 0 0
1598 2255.70000 1.7506e+04 7.9809e+02 1 0 0
1599 44.52700 5.1372e+00 1.3396e+01 1 0 0
1600 133.64000 3.6049e-05 7.8255e+00 1 0 0
1601 3.35110 0.0000e+00 3.4141e-01 1 0 0
1602 745.97000 7.1113e+01 1.1565e+02 1 0 0
1603 42.74600 0.0000e+00 9.7513e+00 1 0 0
1604 16.14900 1.3036e-01 1.7443e+00 1 0 0
1605 19.14700 9.3581e-02 9.3225e+00 1 0 0
1606 10.94200 9.4584e-02 2.0290e+00 1 0 0
1607 15.98700 0.0000e+00 5.0035e-07 1 0 0
1608 35.85800 4.8805e+00 2.7137e+00 1 0 0
1609 23.64500 0.0000e+00 3.2576e+00 1 0 0
1610 888.68000 0.0000e+00 2.6280e+02 1 0 0
1611 69.90000 2.9779e-05 2.1965e+01 1 0 0
1612 8.97900 7.5022e-02 4.1265e+00 1 0 0
1613 22.13600 2.4888e-07 0.0000e+00 1 0 0
1614 1.29870 2.2923e-08 0.0000e+00 1 0 0
1615 267.14000 8.7980e-02 1.1596e+02 1 0 0
1616 50.73200 1.0356e-01 1.4764e+01 1 0 0
1617 218.42000 1.4450e-01 5.2638e+01 1 0 0
1618 1.96140 0.0000e+00 9.2614e-08 1 0 0
1619 70.97400 1.1014e+02 1.7805e+01 1 0 0
1620 4.35790 0.0000e+00 1.7977e-07 1 0 0
1621 1.80840 2.2195e-07 4.3583e-01 1 0 0
1622 3.88570 0.0000e+00 0.0000e+00 1 0 0
1623 88.30000 2.2204e-05 2.9471e+00 1 0 0
1624 21.75500 3.8065e+01 6.7497e+00 1 0 0
1625 3074.90000 1.8225e+02 1.0358e+03 1 0 0
1626 5.86920 1.0051e-07 1.8379e-07 1 0 0
1627 13.41900 8.4004e-02 7.0118e+00 1 0 0
1628 2.65110 1.1894e-01 7.9170e-01 1 0 0
1629 65.23600 4.6794e+01 1.9410e+01 1 0 0
1630 5.80630 1.5865e-01 8.6114e-01 1 0 0
1631 2.93010 9.5689e-08 1.8212e-07 1 0 0
1632 4.20100 1.0362e-01 1.0641e+00 1 0 0
1633 3248.90000 1.0283e-02 1.1457e+03 1 0 0
1634 82.96400 1.5127e+01 1.7677e+01 1 0 0
1635 238.20000 0.0000e+00 0.0000e+00 1 0 0
1636 7.39750 9.3597e-02 4.3487e+00 1 0 0
1637 32.09800 5.8814e+01 1.4578e+00 1 0 0
1638 5.11790 0.0000e+00 0.0000e+00 1 0 0
1639 60.36700 2.5132e-06 1.0210e-06 1 0 0
1640 3.68250 1.0308e-01 8.0439e-01 1 0 0
1641 53.77600 2.2748e-06 1.0200e-01 1 0 0
1642 108.19000 7.2575e+01 4.0098e+01 1 0 0
1643 36.52300 3.8534e+01 3.0517e-06 1 0 0
1644 8.04540 8.1827e-02 2.0837e+00 1 0 0
1645 7.77250 1.0684e-01 4.6551e-01 1 0 0
1646 43.28600 1.3039e-01 1.6715e+01 1 0 0
1647 5.03970 1.2061e-07 3.7332e-07 1 0 0
1648 243.31000 3.9712e+02 8.2544e+01 1 0 0
1649 3.58940 5.4039e-07 8.3073e-02 1 0 0
1650 1709.00000 3.7881e-02 6.9731e+02 1 0 0
1651 51.62000 9.4417e-02 5.4290e+00 1 0 0
1652 3.83960 2.9359e-07 5.8058e-03 1 0 0
1653 812.12000 2.7209e+02 2.9352e+02 1 0 0
1654 10.53400 2.9101e-06 5.5028e-01 1 0 0
1655 4.24320 8.8466e-07 5.9853e-01 1 0 0
1656 482.07000 6.5614e+02 1.1931e+02 1 0 0
1657 60.17600 7.9040e-06 4.0514e-01 1 0 0
1658 589.42000 2.2300e-04 1.1504e+02 1 0 0
1659 73.72900 1.3015e-01 4.0347e+01 1 0 0
1660 51.82400 7.4935e-02 2.0255e+01 1 0 0
1661 48.70400 2.4102e-06 8.5299e+00 1 0 0
1662 439.67000 1.4177e+03 9.6110e+01 1 0 0
1663 110.53000 5.8907e+01 5.0963e+01 1 0 0
1664 4.65890 3.7475e-02 8.5685e-01 1 0 0
1665 5.12060 0.0000e+00 1.7122e-01 1 0 0
1666 14.92500 0.0000e+00 1.4916e-01 1 0 0
1667 37.07000 8.1862e-02 6.4518e+00 1 0 0
1668 691.39000 7.2790e+01 2.0262e+02 1 0 0
1669 133.17000 3.1755e+01 3.4204e+01 1 0 0
1670 210.34000 6.9863e+02 8.6879e+01 1 0 0
1671 7.08690 7.9993e-02 2.3169e+00 1 0 0
1672 412.35000 2.6818e+03 2.2635e+02 1 0 0
1673 51.20900 8.3880e-07 5.1219e-01 1 0 0
1674 3.34130 0.0000e+00 4.0795e-01 1 0 0
1675 9.24840 0.0000e+00 3.4360e-01 1 0 0
1676 6.37860 0.0000e+00 3.4455e+00 1 0 0
1677 50.29200 1.1103e-01 8.7038e+00 1 0 0
1678 3.11120 4.9650e-07 5.1822e-01 1 0 0
1679 3.51080 2.4968e-08 1.4101e+00 1 0 0
1680 2.81660 2.1592e-07 8.7539e-01 1 0 0
1681 3.94380 5.7974e-07 2.2112e+00 1 0 0
1682 140.61000 1.1064e+03 0.0000e+00 1 0 0
1683 5.97330 7.9570e-02 1.1908e+00 1 0 0
1684 3.57000 1.5863e-01 6.8899e-01 1 0 0
1685 199.38000 1.6429e-06 0.0000e+00 1 0 0
1686 178.67000 9.0393e-06 3.5762e+01 1 0 0
1687 27.68300 0.0000e+00 0.0000e+00 1 0 0
1688 2.82550 3.9392e-07 1.5574e-01 1 0 0
1689 55.18200 4.3385e+01 4.6503e-01 1 0 0
1690 3.47960 0.0000e+00 1.1327e+00 1 0 0
1691 67.97200 1.5954e-05 1.5469e+01 1 0 0
1692 5.55240 0.0000e+00 6.1944e-01 1 0 0
1693 3.47350 5.0954e-07 8.9668e-02 1 0 0
1694 25.24700 1.4654e-01 6.9739e+00 1 0 0
1695 91.46500 4.5148e-06 0.0000e+00 1 0 0
1696 50.45800 0.0000e+00 4.9918e+00 1 0 0
1697 4.99040 7.9471e-08 1.3572e-01 1 0 0
1698 15.06700 0.0000e+00 0.0000e+00 1 0 0
1699 9.71180 1.3554e-06 5.4476e+00 1 0 0
1700 46.50500 7.5444e-06 2.9863e+01 1 0 0
1701 7.03810 9.2514e-02 1.7720e+00 1 0 0
1702 140.75000 8.3309e-02 4.8996e+01 1 0 0
1703 6.06080 9.3642e-02 4.3251e-01 1 0 0
1704 3.73180 1.5318e-07 5.3829e-01 1 0 0
1705 2.71840 4.6919e-07 9.1942e-01 1 0 0
1706 551.75000 3.8740e-05 8.3937e-06 1 0 0
1707 43.14200 1.0600e+01 4.4344e+00 1 0 0
1708 43.00800 3.9150e-06 9.1137e+00 1 0 0
1709 599.39000 8.2110e+02 5.9172e+01 1 0 0
1710 770.57000 8.9464e+01 1.2751e+02 1 0 0
1711 920.62000 1.2849e-05 4.9969e-05 1 0 0
1712 974.11000 4.2055e-05 3.4971e+02 1 0 0
1713 36.31600 1.1357e-05 4.6677e+00 1 0 0
1714 4.70300 8.0256e-08 1.2065e-01 1 0 0
1715 20.38900 6.6758e-07 3.0249e+00 1 0 0
1716 13.14900 9.9313e-02 3.4732e-01 1 0 0
1717 2.44140 7.0353e-07 1.5871e-01 1 0 0
1718 7.26950 0.0000e+00 6.8752e+00 1 0 0
1719 29.65300 0.0000e+00 7.6071e-07 1 0 0
1720 2211.40000 6.7948e-02 7.5175e+02 1 0 0
1721 105.11000 4.2625e+02 5.1673e+01 1 0 0
1722 3.93020 1.7484e-06 3.4964e-01 1 0 0
1723 4.17050 9.3631e-02 6.0572e-01 1 0 0
1724 2418.80000 7.6347e-02 8.9823e+02 1 0 0
1725 66.43700 3.0895e-06 5.1262e+00 1 0 0
1726 1560.30000 4.7538e+02 4.2580e+02 1 0 0
1727 27.16100 5.3970e-07 0.0000e+00 1 0 0
1728 4.86900 5.6442e-07 2.2401e+00 1 0 0
1729 598.04000 1.4582e+03 1.7426e+02 1 0 0
1730 1736.70000 3.3418e+04 1.7134e+03 1 0 0
1731 10.55900 4.8606e-07 3.0021e-07 1 0 0
1732 9.04570 1.0557e-01 6.1921e+00 1 0 0
1733 5.60710 9.3087e-07 7.6011e-01 1 0 0
1734 1821.30000 1.7430e+04 6.3417e+02 1 0 0
1735 51.66900 9.4495e-02 5.4904e+00 1 0 0
1736 186.78000 0.0000e+00 1.3553e+02 1 0 0
1737 2.52430 0.0000e+00 1.3455e+00 1 0 0
1738 11.63400 3.5033e-07 0.0000e+00 1 0 0
1739 1026.60000 2.1817e+04 1.6106e+03 1 0 0
1740 45.80800 0.0000e+00 1.3190e+01 1 0 0
1741 39.03600 2.2362e-06 0.0000e+00 1 0 0
1742 21.12600 0.0000e+00 0.0000e+00 1 0 0
1743 4.38600 7.2230e-07 8.3190e-02 1 0 0
1744 2.25120 0.0000e+00 6.1135e-01 1 0 0
1745 3.45800 0.0000e+00 8.8621e-01 1 0 0
1746 8.28280 1.4703e-01 2.7337e+00 1 0 0
1747 3.20400 1.0867e-01 1.4204e+00 1 0 0
1748 60.45600 1.6583e-05 3.4699e+00 1 0 0
1749 5.02090 1.4933e-06 6.9360e-02 1 0 0
1750 3.24340 9.4649e-02 9.2016e-01 1 0 0
1751 4.82030 9.0355e-02 5.8790e-01 1 0 0
1752 238.38000 2.5108e-05 4.6566e+01 1 0 0
1753 203.96000 1.6471e+01 3.4576e+00 1 0 0
1754 6.48810 9.1392e-02 1.2918e+00 1 0 0
1755 7.75400 6.0885e-08 9.2989e-01 1 0 0
1756 58.38600 2.8509e+02 2.0068e-06 1 0 0
1757 33.65100 2.7226e-06 2.5377e+01 1 0 0
1758 59.57800 4.3355e+01 4.3218e+01 1 0 0
1759 42.39100 8.7314e-02 3.1580e+00 1 0 0
1760 30.28100 8.9909e-07 3.0757e+00 1 0 0
1761 139.65000 5.0217e-07 2.4648e+00 1 0 0
1762 1.66720 1.6266e-07 5.7056e-03 1 0 0
1763 2395.20000 7.0582e-02 7.3477e+02 1 0 0
1764 16.21200 0.0000e+00 0.0000e+00 1 0 0
1765 46.47700 8.1772e-02 6.5988e+00 1 0 0
1766 9.54010 9.2472e-02 2.3874e+00 1 0 0
1767 5.95510 1.0752e-01 1.0289e+00 1 0 0
1768 40.13000 3.0338e-06 1.2046e-06 1 0 0
1769 4.30210 5.6487e-07 1.9426e+00 1 0 0
1770 7.36800 1.0867e-01 6.7269e-01 1 0 0
1771 1834.20000 6.4885e-02 7.6914e+02 1 0 0
1772 4.43590 4.8353e-07 6.0326e-01 1 0 0
1773 6.62900 3.8245e-07 0.0000e+00 1 0 0
1774 213.21000 5.5773e+02 7.8746e+01 1 0 0
1775 13.51500 8.7948e-02 3.1948e+00 1 0 0
1776 320.81000 0.0000e+00 5.1246e+01 1 0 0
1777 2602.40000 6.2550e+04 2.4870e+03 1 0 0
1778 37.35800 2.8962e-01 2.1575e+01 1 0 0
1779 11.48700 0.0000e+00 3.5943e+00 1 0 0
1780 2.89370 1.2275e-06 1.6065e+00 1 0 0
1781 69.15400 0.0000e+00 4.1927e-06 1 0 0
1782 42.04600 0.0000e+00 1.1255e+00 1 0 0
1783 8.83170 5.6506e-06 4.1067e+00 1 0 0
1784 58.85500 5.8173e-06 1.4939e+01 1 0 0
1785 7.71510 1.3042e-01 5.8311e+00 1 0 0
1786 6.25410 9.2493e-02 2.3310e+00 1 0 0
1787 3.10460 9.9990e-02 6.2198e-01 1 0 0
1788 1054.90000 4.4924e-02 3.7463e+02 1 0 0
1789 63.02900 1.0842e-01 1.8460e+01 1 0 0
1790 2.68180 7.9567e-02 3.0315e-01 1 0 0
1791 40.08800 2.7142e-07 2.0342e+00 1 0 0
1792 99.50500 9.3488e-07 1.1049e-06 1 0 0
1793 1.81180 0.0000e+00 1.7263e-08 1 0 0
1794 21.48700 8.3989e-02 3.8063e+00 1 0 0
1795 15.63000 1.0685e-01 9.8534e+00 1 0 0
1796 113.25000 6.6312e+01 1.6471e+01 1 0 0
1797 12.20100 1.0307e-01 5.8672e+00 1 0 0
1798 642.81000 1.4935e+04 7.6739e+02 1 0 0
1799 5.15450 9.2782e-02 2.7700e+00 1 0 0
1800 94.18500 2.0659e-05 4.2548e+01 1 0 0
1801 1049.10000 8.2287e+03 3.8369e+02 1 0 0
1802 27.69400 9.0643e-02 5.2775e+00 1 0 0
1803 3.57680 3.3957e-07 3.7276e-01 1 0 0
1804 11.89000 8.5360e-02 1.2301e+00 1 0 0
1805 391.86000 5.6322e-02 6.1597e+01 1 0 0
1806 78.33700 1.5799e-01 3.0232e+01 1 0 0
1807 54.94900 1.4964e-06 0.0000e+00 1 0 0
1808 5.45920 0.0000e+00 1.4253e-01 1 0 0
1809 23.77800 7.9166e-02 1.6230e+00 1 0 0
1810 4.91970 7.4303e-08 1.4861e-07 1 0 0
1811 1363.20000 1.4493e+02 3.1191e+02 1 0 0
1812 11.39300 8.2011e-02 5.3348e+00 1 0 0
1813 14.94400 8.8945e-02 7.8533e+00 1 0 0
1814 4.10340 2.8728e-07 5.0756e-02 1 0 0
1815 101.17000 5.1975e+02 1.6571e+01 1 0 0
1816 1516.70000 4.7517e+04 2.2763e+03 1 0 0
1817 58.93900 0.0000e+00 1.9118e+01 1 0 0
1818 70.33500 1.0231e-05 4.5598e+00 1 0 0
1819 16.26800 0.0000e+00 0.0000e+00 1 0 0
1820 6.88550 1.0866e-01 3.7701e-01 1 0 0
1821 34.09100 2.1294e-06 1.9401e-06 1 0 0
1822 48.66200 3.8704e-06 1.3889e+00 1 0 0
1823 4.47890 0.0000e+00 7.8140e-08 1 0 0
1824 2.50180 1.3927e-02 6.5669e-01 1 0 0
1825 24.14900 1.4868e-06 5.8320e+00 1 0 0
1826 5.71700 9.7456e-02 2.4023e+00 1 0 0
1827 8.66420 1.3043e-01 4.5754e-01 1 0 0
1828 93.55300 1.2409e+01 2.2407e+01 1 0 0
1829 1894.00000 5.1050e+04 2.2044e+03 1 0 0
1830 69.37400 3.7096e+01 5.4927e+00 1 0 0
1831 60.62300 1.4756e-05 6.0525e+00 1 0 0
1832 62.44400 8.5045e-06 2.0969e+01 1 0 0
1833 61.16400 8.1950e-02 1.5389e+01 1 0 0
1834 3.50310 3.0868e-08 4.7609e-02 1 0 0
1835 51.14800 6.9510e-06 1.8659e+01 1 0 0
1836 28.14700 0.0000e+00 5.8979e+00 1 0 0
1837 1242.10000 7.6826e+02 4.4533e+02 1 0 0
1838 70.60400 2.3277e+01 9.6559e+00 1 0 0
1839 202.81000 8.0997e-02 1.8313e+01 1 0 0
1840 8.35080 8.2046e-02 2.5412e+00 1 0 0
1841 39.02600 1.0752e-01 2.8768e+01 1 0 0
1842 14.77200 3.0289e-07 1.2906e+01 1 0 0
1843 24.22100 0.0000e+00 8.9057e+00 1 0 0
1844 7.69300 0.0000e+00 1.2614e+00 1 0 0
1845 125.28000 7.2233e+01 0.0000e+00 1 0 0
1846 3.54600 9.4293e-02 1.1502e+00 1 0 0
1847 124.02000 1.4821e+02 2.1888e+01 1 0 0
1848 28.11900 5.2389e-02 3.0928e+00 1 0 0
1849 4.78020 4.8232e-02 6.6995e-02 1 0 0
1850 4.44980 1.3245e-07 2.8280e-01 1 0 0
1851 4.75950 2.1615e-07 2.0406e-01 1 0 0
1852 3.65960 1.0756e-01 2.8434e+00 1 0 0
1853 10.46000 3.8599e-07 3.7362e-01 1 0 0
1854 6.31010 8.7952e-02 1.0468e+00 1 0 0
1855 68.48400 9.1208e-02 8.2276e+00 1 0 0
1856 2.93570 4.9235e-08 4.4954e-01 1 0 0
1857 10.68400 1.4620e-01 1.6976e+00 1 0 0
1858 8.04220 5.5108e-02 1.8105e+00 1 0 0
1859 5.92380 1.1891e-01 7.7002e-01 1 0 0
1860 4.13490 1.1819e-06 3.7458e-01 1 0 0
1861 11.25200 1.0305e-01 8.9565e+00 1 0 0
1862 7.66000 7.9588e-02 1.4763e+00 1 0 0
1863 4.69890 6.4535e-08 6.4535e-08 1 0 0
1864 150.30000 9.1028e-02 2.3458e+01 1 0 0
1865 10.74100 1.5864e-01 3.6512e+00 1 0 0
1866 48.04300 8.8739e-02 8.1801e+00 1 0 0
1867 104.93000 0.0000e+00 0.0000e+00 1 0 0
1868 4.76370 0.0000e+00 0.0000e+00 1 0 1
1869 4.26780 1.1893e-01 1.1837e+00 1 0 0
1870 7.81410 0.0000e+00 0.0000e+00 1 0 0
1871 6.29050 0.0000e+00 0.0000e+00 1 0 0
1872 1.65120 4.4066e-09 3.6355e-08 1 0 0
1873 6.12450 0.0000e+00 2.8993e-07 1 0 0
1874 3.58020 9.7466e-02 1.3298e+00 1 0 0
1875 806.44000 1.9858e+00 2.6665e+02 1 0 0
1876 85.66200 0.0000e+00 2.1830e+01 1 0 0
1877 14.42400 7.9733e-01 4.9388e-07 1 0 0
1878 516.83000 3.8910e+03 0.0000e+00 1 0 0
1879 3.60670 2.4001e-06 4.1528e-01 1 0 0
1880 5.60310 1.0305e-01 2.2277e+00 1 0 0
1881 12.05900 0.0000e+00 0.0000e+00 1 0 0
1882 1502.00000 5.9392e-02 5.1046e+02 1 0 0
1883 3.43420 1.0487e-07 4.2818e-01 1 0 0
1884 4.11770 2.6188e-07 9.8402e-02 1 0 0
1885 15.42400 1.4659e-01 3.3060e+00 1 0 0
1886 394.74000 0.0000e+00 1.2603e+02 1 0 0
s_name
1 Licania_canescens
2 Iryanthera_sagotiana
3 Protium_trifoliolatum
4 Micropholis_cayennensis
5 Protium_gallicum
6 Bocoa_prouacensis
7 Lecythis_persistens
8 Dacryodes_cuspidata
9 Pouteria_cladantha
10 Eschweilera_coriacea
11 Lecythis_persistens
12 Neea_floribunda
13 Protium_sagotianum
14 Couepia_bracteosa
15 Licania_membranacea
16 Eschweilera_grandiflora
17 Brosimum_rubescens
18 Pouteria_filipes
19 Quararibea_duckei
20 Cyrillopsis_paraensis
21 Lecythis_poiteaui
22 Caryocar_glabrum
23 Quararibea_duckei
24 Licania_membranacea
25 Gustavia_hexapetala
26 Cecropia_obtusa
27 Protium_gallicum
28 Protium_opacum
29 Cyrillopsis_paraensis
30 Pouteria_filipes
31 Cordia_sagotii
32 Abarema_jupunba
33 Protium_opacum
34 Caryocar_glabrum
35 Gustavia_hexapetala
36 Qualea_rosea
37 Caryocar_glabrum
38 Dacryodes_cuspidata
39 Hirtella_glandulosa
40 Protium_opacum
41 Cecropia_obtusa
42 Diospyros_carbonaria
43 Brosimum_rubescens
44 Lecythis_poiteaui
45 Pouteria_gonggrijpii
46 Lecythis_poiteaui
47 Brosimum_rubescens
48 Brosimum_rubescens
49 Bocoa_prouacensis
50 Qualea_rosea
51 Diospyros_carbonaria
52 Virola_michelii
53 Licania_membranacea
54 Cecropia_obtusa
55 Cecropia_obtusa
56 Dicorynia_guianensis
57 Pouteria_gonggrijpii
58 Cecropia_obtusa
59 Vouacapoua_americana
60 Quararibea_duckei
61 Micropholis_cayennensis
62 Minquartia_guianensis
63 Protium_trifoliolatum
64 Protium_opacum
65 Lecythis_poiteaui
66 Quararibea_duckei
67 Protium_trifoliolatum
68 Cecropia_obtusa
69 Pouteria_gonggrijpii
70 Licania_membranacea
71 Protium_sagotianum
72 Cordia_sagotii
73 Dicorynia_guianensis
74 Cyrillopsis_paraensis
75 Minquartia_guianensis
76 Unonopsis_rufescens
77 Eschweilera_grandiflora
78 Eschweilera_coriacea
79 Conceveiba_guianensis
80 Licania_membranacea
81 Pouteria_gonggrijpii
82 Conceveiba_guianensis
83 Lecythis_poiteaui
84 Licania_membranacea
85 Minquartia_guianensis
86 Protium_trifoliolatum
87 Virola_michelii
88 Cyrillopsis_paraensis
89 Iryanthera_sagotiana
90 Minquartia_guianensis
91 Cecropia_obtusa
92 Couepia_bracteosa
93 Conceveiba_guianensis
94 Minquartia_guianensis
95 Gustavia_hexapetala
96 Pouteria_gonggrijpii
97 Protium_gallicum
98 Caryocar_glabrum
99 Cupania_scrobiculata
100 Cyrillopsis_paraensis
101 Conceveiba_guianensis
102 Cordia_sagotii
103 Protium_sagotianum
104 Couepia_caryophylloides
105 Protium_gallicum
106 Cyrillopsis_paraensis
107 Carapa_procera
108 Bocoa_prouacensis
109 Micropholis_cayennensis
110 Protium_gallicum
111 Eschweilera_coriacea
112 Licania_membranacea
113 Quararibea_duckei
114 Abarema_jupunba
115 Virola_michelii
116 Neea_floribunda
117 Qualea_rosea
118 Cecropia_obtusa
119 Gustavia_hexapetala
120 Protium_opacum
121 Couepia_caryophylloides
122 Abarema_jupunba
123 Lecythis_poiteaui
124 Gustavia_hexapetala
125 Cecropia_obtusa
126 Theobroma_subincanum
127 Brosimum_rubescens
128 Diospyros_carbonaria
129 Neea_floribunda
130 Bocoa_prouacensis
131 Minquartia_guianensis
132 Drypetes_variabilis
133 Carapa_procera
134 Protium_gallicum
135 Cecropia_obtusa
136 Pouteria_cladantha
137 Cyrillopsis_paraensis
138 Lecythis_persistens
139 Micropholis_cayennensis
140 Cupania_scrobiculata
141 Brosimum_rubescens
142 Minquartia_guianensis
143 Dacryodes_cuspidata
144 Unonopsis_rufescens
145 Qualea_rosea
146 Chrysophyllum_sanguinolentum
147 Qualea_rosea
148 Neea_floribunda
149 Licania_alba
150 Eschweilera_coriacea
151 Couepia_bracteosa
152 Carapa_procera
153 Licania_membranacea
154 Couepia_caryophylloides
155 Unonopsis_rufescens
156 Unonopsis_rufescens
157 Cyrillopsis_paraensis
158 Dacryodes_cuspidata
159 Protium_gallicum
160 Virola_michelii
161 Cyrillopsis_paraensis
162 Cupania_scrobiculata
163 Licania_membranacea
164 Caryocar_glabrum
165 Licania_canescens
166 Brosimum_rubescens
167 Drypetes_variabilis
168 Caryocar_glabrum
169 Conceveiba_guianensis
170 Dacryodes_cuspidata
171 Conceveiba_guianensis
172 Cyrillopsis_paraensis
173 Unonopsis_rufescens
174 Carapa_procera
175 Protium_opacum
176 Protium_trifoliolatum
177 Virola_michelii
178 Minquartia_guianensis
179 Eschweilera_grandiflora
180 Pouteria_cladantha
181 Hirtella_glandulosa
182 Vouacapoua_americana
183 Licania_canescens
184 Lecythis_persistens
185 Conceveiba_guianensis
186 Couepia_caryophylloides
187 Cyrillopsis_paraensis
188 Dacryodes_cuspidata
189 Pouteria_filipes
190 Protium_trifoliolatum
191 Bocoa_prouacensis
192 Chrysophyllum_sanguinolentum
193 Licania_canescens
194 Neea_floribunda
195 Eschweilera_grandiflora
196 Gustavia_hexapetala
197 Bocoa_prouacensis
198 Couepia_bracteosa
199 Licania_canescens
200 Licania_alba
201 Couepia_bracteosa
202 Cordia_sagotii
203 Cordia_sagotii
204 Unonopsis_rufescens
205 Iryanthera_sagotiana
206 Eperua_grandiflora
207 Protium_gallicum
208 Licania_alba
209 Conceveiba_guianensis
210 Caryocar_glabrum
211 Cordia_sagotii
212 Qualea_rosea
213 Quararibea_duckei
214 Couepia_caryophylloides
215 Protium_gallicum
216 Diospyros_carbonaria
217 Neea_floribunda
218 Licania_membranacea
219 Protium_trifoliolatum
220 Carapa_procera
221 Drypetes_variabilis
222 Gustavia_hexapetala
223 Protium_trifoliolatum
224 Cupania_scrobiculata
225 Protium_gallicum
226 Licania_membranacea
227 Lecythis_persistens
228 Qualea_rosea
229 Cupania_scrobiculata
230 Protium_opacum
231 Dicorynia_guianensis
232 Theobroma_subincanum
233 Theobroma_subincanum
234 Pouteria_gonggrijpii
235 Protium_opacum
236 Couepia_caryophylloides
237 Minquartia_guianensis
238 Pouteria_cladantha
239 Pouteria_cladantha
240 Licania_membranacea
241 Licania_alba
242 Diospyros_carbonaria
243 Dacryodes_cuspidata
244 Licania_alba
245 Lecythis_poiteaui
246 Iryanthera_sagotiana
247 Manilkara_huberi
248 Theobroma_subincanum
249 Protium_trifoliolatum
250 Minquartia_guianensis
251 Couepia_caryophylloides
252 Licania_membranacea
253 Cyrillopsis_paraensis
254 Dicorynia_guianensis
255 Qualea_rosea
256 Caryocar_glabrum
257 Dicorynia_guianensis
258 Virola_michelii
259 Unonopsis_rufescens
260 Cyrillopsis_paraensis
261 Pouteria_gonggrijpii
262 Drypetes_variabilis
263 Quararibea_duckei
264 Neea_floribunda
265 Cecropia_obtusa
266 Bocoa_prouacensis
267 Dicorynia_guianensis
268 Dacryodes_cuspidata
269 Conceveiba_guianensis
270 Virola_michelii
271 Iryanthera_sagotiana
272 Protium_trifoliolatum
273 Unonopsis_rufescens
274 Vouacapoua_americana
275 Manilkara_huberi
276 Carapa_procera
277 Neea_floribunda
278 Diospyros_carbonaria
279 Cyrillopsis_paraensis
280 Gustavia_hexapetala
281 Abarema_jupunba
282 Minquartia_guianensis
283 Virola_michelii
284 Diospyros_carbonaria
285 Abarema_jupunba
286 Hirtella_glandulosa
287 Couepia_caryophylloides
288 Neea_floribunda
289 Carapa_procera
290 Brosimum_rubescens
291 Qualea_rosea
292 Diospyros_carbonaria
293 Lecythis_persistens
294 Qualea_rosea
295 Drypetes_variabilis
296 Couepia_bracteosa
297 Pouteria_filipes
298 Brosimum_rubescens
299 Neea_floribunda
300 Couepia_bracteosa
301 Protium_sagotianum
302 Protium_sagotianum
303 Bocoa_prouacensis
304 Couepia_caryophylloides
305 Conceveiba_guianensis
306 Diospyros_carbonaria
307 Licania_alba
308 Couepia_caryophylloides
309 Drypetes_variabilis
310 Theobroma_subincanum
311 Dacryodes_cuspidata
312 Lecythis_poiteaui
313 Couepia_caryophylloides
314 Theobroma_subincanum
315 Bocoa_prouacensis
316 Drypetes_variabilis
317 Protium_gallicum
318 Micropholis_cayennensis
319 Quararibea_duckei
320 Protium_trifoliolatum
321 Quararibea_duckei
322 Abarema_jupunba
323 Carapa_procera
324 Hirtella_glandulosa
325 Quararibea_duckei
326 Protium_opacum
327 Diospyros_carbonaria
328 Pouteria_filipes
329 Protium_opacum
330 Dicorynia_guianensis
331 Dacryodes_cuspidata
332 Virola_michelii
333 Cecropia_obtusa
334 Brosimum_rubescens
335 Diospyros_carbonaria
336 Bocoa_prouacensis
337 Conceveiba_guianensis
338 Pouteria_filipes
339 Cupania_scrobiculata
340 Neea_floribunda
341 Caryocar_glabrum
342 Eperua_grandiflora
343 Protium_sagotianum
344 Cupania_scrobiculata
345 Dacryodes_cuspidata
346 Conceveiba_guianensis
347 Cyrillopsis_paraensis
348 Iryanthera_sagotiana
349 Qualea_rosea
350 Licania_membranacea
351 Diospyros_carbonaria
352 Iryanthera_sagotiana
353 Iryanthera_sagotiana
354 Eperua_grandiflora
355 Cyrillopsis_paraensis
356 Protium_sagotianum
357 Neea_floribunda
358 Cordia_sagotii
359 Theobroma_subincanum
360 Gustavia_hexapetala
361 Lecythis_poiteaui
362 Pouteria_filipes
363 Protium_gallicum
364 Lecythis_poiteaui
365 Pouteria_filipes
366 Cecropia_obtusa
367 Couepia_bracteosa
368 Cordia_sagotii
369 Brosimum_rubescens
370 Unonopsis_rufescens
371 Licania_alba
372 Protium_sagotianum
373 Virola_michelii
374 Licania_alba
375 Unonopsis_rufescens
376 Cecropia_obtusa
377 Pouteria_gonggrijpii
378 Licania_alba
379 Protium_sagotianum
380 Couepia_bracteosa
381 Brosimum_rubescens
382 Quararibea_duckei
383 Abarema_jupunba
384 Cordia_sagotii
385 Qualea_rosea
386 Bocoa_prouacensis
387 Licania_alba
388 Cecropia_obtusa
389 Caryocar_glabrum
390 Protium_trifoliolatum
391 Manilkara_huberi
392 Vouacapoua_americana
393 Protium_opacum
394 Protium_trifoliolatum
395 Protium_trifoliolatum
396 Neea_floribunda
397 Protium_sagotianum
398 Lecythis_persistens
399 Gustavia_hexapetala
400 Licania_membranacea
401 Theobroma_subincanum
402 Theobroma_subincanum
403 Cecropia_obtusa
404 Protium_gallicum
405 Abarema_jupunba
406 Eperua_grandiflora
407 Licania_alba
408 Brosimum_rubescens
409 Licania_canescens
410 Couepia_caryophylloides
411 Minquartia_guianensis
412 Licania_alba
413 Licania_canescens
414 Lecythis_persistens
415 Couepia_bracteosa
416 Protium_gallicum
417 Micropholis_cayennensis
418 Protium_opacum
419 Virola_michelii
420 Drypetes_variabilis
421 Dicorynia_guianensis
422 Protium_trifoliolatum
423 Theobroma_subincanum
424 Hirtella_glandulosa
425 Theobroma_subincanum
426 Pouteria_filipes
427 Protium_trifoliolatum
428 Quararibea_duckei
429 Caryocar_glabrum
430 Protium_sagotianum
431 Pouteria_filipes
432 Cecropia_obtusa
433 Protium_gallicum
434 Couepia_caryophylloides
435 Diospyros_carbonaria
436 Caryocar_glabrum
437 Licania_canescens
438 Lecythis_poiteaui
439 Minquartia_guianensis
440 Cordia_sagotii
441 Virola_michelii
442 Unonopsis_rufescens
443 Caryocar_glabrum
444 Protium_trifoliolatum
445 Iryanthera_sagotiana
446 Vouacapoua_americana
447 Virola_michelii
448 Cecropia_obtusa
449 Cyrillopsis_paraensis
450 Qualea_rosea
451 Cyrillopsis_paraensis
452 Protium_gallicum
453 Iryanthera_sagotiana
454 Gustavia_hexapetala
455 Chrysophyllum_sanguinolentum
456 Couepia_bracteosa
457 Cecropia_obtusa
458 Minquartia_guianensis
459 Minquartia_guianensis
460 Caryocar_glabrum
461 Minquartia_guianensis
462 Iryanthera_sagotiana
463 Lecythis_persistens
464 Lecythis_poiteaui
465 Neea_floribunda
466 Iryanthera_sagotiana
467 Virola_michelii
468 Theobroma_subincanum
469 Cupania_scrobiculata
470 Couepia_caryophylloides
471 Licania_membranacea
472 Eschweilera_grandiflora
473 Protium_gallicum
474 Protium_sagotianum
475 Gustavia_hexapetala
476 Pouteria_cladantha
477 Licania_canescens
478 Pouteria_filipes
479 Cecropia_obtusa
480 Micropholis_cayennensis
481 Cordia_sagotii
482 Minquartia_guianensis
483 Lecythis_poiteaui
484 Abarema_jupunba
485 Lecythis_poiteaui
486 Protium_trifoliolatum
487 Caryocar_glabrum
488 Hirtella_glandulosa
489 Protium_sagotianum
490 Iryanthera_sagotiana
491 Bocoa_prouacensis
492 Cyrillopsis_paraensis
493 Pouteria_cladantha
494 Protium_trifoliolatum
495 Iryanthera_sagotiana
496 Brosimum_rubescens
497 Pouteria_cladantha
498 Bocoa_prouacensis
499 Lecythis_persistens
500 Lecythis_persistens
501 Licania_alba
502 Unonopsis_rufescens
503 Vouacapoua_americana
504 Cupania_scrobiculata
505 Lecythis_persistens
506 Lecythis_poiteaui
507 Micropholis_cayennensis
508 Hirtella_glandulosa
509 Caryocar_glabrum
510 Neea_floribunda
511 Hirtella_glandulosa
512 Vouacapoua_americana
513 Protium_opacum
514 Chrysophyllum_sanguinolentum
515 Licania_membranacea
516 Vouacapoua_americana
517 Quararibea_duckei
518 Micropholis_cayennensis
519 Dacryodes_cuspidata
520 Couepia_bracteosa
521 Dicorynia_guianensis
522 Pouteria_cladantha
523 Carapa_procera
524 Cecropia_obtusa
525 Protium_gallicum
526 Cyrillopsis_paraensis
527 Brosimum_rubescens
528 Cecropia_obtusa
529 Protium_gallicum
530 Protium_gallicum
531 Virola_michelii
532 Pouteria_cladantha
533 Qualea_rosea
534 Brosimum_rubescens
535 Hirtella_glandulosa
536 Micropholis_cayennensis
537 Quararibea_duckei
538 Dacryodes_cuspidata
539 Couepia_caryophylloides
540 Minquartia_guianensis
541 Drypetes_variabilis
542 Gustavia_hexapetala
543 Cordia_sagotii
544 Protium_opacum
545 Drypetes_variabilis
546 Pouteria_cladantha
547 Lecythis_poiteaui
548 Licania_membranacea
549 Unonopsis_rufescens
550 Neea_floribunda
551 Cupania_scrobiculata
552 Protium_trifoliolatum
553 Bocoa_prouacensis
554 Chrysophyllum_sanguinolentum
555 Couepia_bracteosa
556 Protium_sagotianum
557 Unonopsis_rufescens
558 Cyrillopsis_paraensis
559 Cordia_sagotii
560 Dicorynia_guianensis
561 Protium_trifoliolatum
562 Eschweilera_coriacea
563 Diospyros_carbonaria
564 Pouteria_gonggrijpii
565 Lecythis_poiteaui
566 Protium_gallicum
567 Quararibea_duckei
568 Iryanthera_sagotiana
569 Chrysophyllum_sanguinolentum
570 Unonopsis_rufescens
571 Pouteria_cladantha
572 Brosimum_rubescens
573 Virola_michelii
574 Pouteria_cladantha
575 Gustavia_hexapetala
576 Theobroma_subincanum
577 Bocoa_prouacensis
578 Gustavia_hexapetala
579 Neea_floribunda
580 Protium_sagotianum
581 Protium_trifoliolatum
582 Cyrillopsis_paraensis
583 Caryocar_glabrum
584 Protium_trifoliolatum
585 Protium_sagotianum
586 Cordia_sagotii
587 Drypetes_variabilis
588 Protium_sagotianum
589 Cyrillopsis_paraensis
590 Unonopsis_rufescens
591 Dacryodes_cuspidata
592 Dacryodes_cuspidata
593 Neea_floribunda
594 Protium_trifoliolatum
595 Licania_membranacea
596 Dacryodes_cuspidata
597 Protium_trifoliolatum
598 Cecropia_obtusa
599 Cyrillopsis_paraensis
600 Qualea_rosea
601 Carapa_procera
602 Qualea_rosea
603 Minquartia_guianensis
604 Vouacapoua_americana
605 Cyrillopsis_paraensis
606 Drypetes_variabilis
607 Pouteria_filipes
608 Licania_canescens
609 Conceveiba_guianensis
610 Bocoa_prouacensis
611 Dicorynia_guianensis
612 Theobroma_subincanum
613 Cecropia_obtusa
614 Licania_membranacea
615 Theobroma_subincanum
616 Pouteria_cladantha
617 Caryocar_glabrum
618 Theobroma_subincanum
619 Eschweilera_coriacea
620 Protium_sagotianum
621 Vouacapoua_americana
622 Cecropia_obtusa
623 Pouteria_gonggrijpii
624 Hirtella_glandulosa
625 Micropholis_cayennensis
626 Pouteria_filipes
627 Pouteria_filipes
628 Eschweilera_coriacea
629 Cupania_scrobiculata
630 Protium_gallicum
631 Protium_sagotianum
632 Manilkara_huberi
633 Iryanthera_sagotiana
634 Caryocar_glabrum
635 Pouteria_filipes
636 Abarema_jupunba
637 Lecythis_poiteaui
638 Neea_floribunda
639 Protium_trifoliolatum
640 Protium_gallicum
641 Cecropia_obtusa
642 Bocoa_prouacensis
643 Cordia_sagotii
644 Vouacapoua_americana
645 Quararibea_duckei
646 Eperua_grandiflora
647 Abarema_jupunba
648 Theobroma_subincanum
649 Pouteria_gonggrijpii
650 Diospyros_carbonaria
651 Dacryodes_cuspidata
652 Quararibea_duckei
653 Dicorynia_guianensis
654 Licania_membranacea
655 Cordia_sagotii
656 Theobroma_subincanum
657 Cupania_scrobiculata
658 Cyrillopsis_paraensis
659 Cyrillopsis_paraensis
660 Couepia_caryophylloides
661 Caryocar_glabrum
662 Vouacapoua_americana
663 Protium_sagotianum
664 Licania_membranacea
665 Cyrillopsis_paraensis
666 Qualea_rosea
667 Licania_membranacea
668 Carapa_procera
669 Licania_membranacea
670 Unonopsis_rufescens
671 Vouacapoua_americana
672 Conceveiba_guianensis
673 Manilkara_huberi
674 Cyrillopsis_paraensis
675 Hirtella_glandulosa
676 Drypetes_variabilis
677 Pouteria_filipes
678 Cecropia_obtusa
679 Minquartia_guianensis
680 Conceveiba_guianensis
681 Protium_opacum
682 Theobroma_subincanum
683 Dacryodes_cuspidata
684 Diospyros_carbonaria
685 Licania_membranacea
686 Brosimum_rubescens
687 Chrysophyllum_sanguinolentum
688 Cupania_scrobiculata
689 Licania_canescens
690 Couepia_caryophylloides
691 Caryocar_glabrum
692 Qualea_rosea
693 Conceveiba_guianensis
694 Abarema_jupunba
695 Cupania_scrobiculata
696 Pouteria_cladantha
697 Pouteria_cladantha
698 Qualea_rosea
699 Pouteria_filipes
700 Protium_gallicum
701 Abarema_jupunba
702 Protium_trifoliolatum
703 Cupania_scrobiculata
704 Micropholis_cayennensis
705 Micropholis_cayennensis
706 Bocoa_prouacensis
707 Licania_membranacea
708 Cordia_sagotii
709 Vouacapoua_americana
710 Caryocar_glabrum
711 Unonopsis_rufescens
712 Protium_trifoliolatum
713 Lecythis_poiteaui
714 Diospyros_carbonaria
715 Abarema_jupunba
716 Protium_trifoliolatum
717 Lecythis_poiteaui
718 Quararibea_duckei
719 Iryanthera_sagotiana
720 Iryanthera_sagotiana
721 Cyrillopsis_paraensis
722 Cupania_scrobiculata
723 Pouteria_filipes
724 Theobroma_subincanum
725 Minquartia_guianensis
726 Pouteria_gonggrijpii
727 Brosimum_rubescens
728 Iryanthera_sagotiana
729 Cyrillopsis_paraensis
730 Licania_alba
731 Protium_opacum
732 Gustavia_hexapetala
733 Unonopsis_rufescens
734 Eperua_grandiflora
735 Lecythis_poiteaui
736 Virola_michelii
737 Protium_trifoliolatum
738 Pouteria_gonggrijpii
739 Cecropia_obtusa
740 Unonopsis_rufescens
741 Virola_michelii
742 Pouteria_filipes
743 Licania_canescens
744 Hirtella_glandulosa
745 Theobroma_subincanum
746 Minquartia_guianensis
747 Protium_trifoliolatum
748 Caryocar_glabrum
749 Qualea_rosea
750 Licania_alba
751 Eschweilera_coriacea
752 Diospyros_carbonaria
753 Pouteria_gonggrijpii
754 Dacryodes_cuspidata
755 Iryanthera_sagotiana
756 Theobroma_subincanum
757 Neea_floribunda
758 Pouteria_gonggrijpii
759 Unonopsis_rufescens
760 Cordia_sagotii
761 Quararibea_duckei
762 Pouteria_filipes
763 Theobroma_subincanum
764 Conceveiba_guianensis
765 Protium_sagotianum
766 Cupania_scrobiculata
767 Licania_alba
768 Protium_sagotianum
769 Dicorynia_guianensis
770 Dacryodes_cuspidata
771 Vouacapoua_americana
772 Qualea_rosea
773 Lecythis_poiteaui
774 Carapa_procera
775 Licania_canescens
776 Minquartia_guianensis
777 Couepia_caryophylloides
778 Dicorynia_guianensis
779 Brosimum_rubescens
780 Licania_alba
781 Pouteria_gonggrijpii
782 Cecropia_obtusa
783 Protium_opacum
784 Cecropia_obtusa
785 Cyrillopsis_paraensis
786 Cordia_sagotii
787 Quararibea_duckei
788 Micropholis_cayennensis
789 Protium_sagotianum
790 Gustavia_hexapetala
791 Protium_trifoliolatum
792 Conceveiba_guianensis
793 Cyrillopsis_paraensis
794 Protium_opacum
795 Couepia_caryophylloides
796 Caryocar_glabrum
797 Lecythis_poiteaui
798 Theobroma_subincanum
799 Iryanthera_sagotiana
800 Gustavia_hexapetala
801 Iryanthera_sagotiana
802 Pouteria_cladantha
803 Couepia_bracteosa
804 Neea_floribunda
805 Dacryodes_cuspidata
806 Protium_sagotianum
807 Dicorynia_guianensis
808 Protium_opacum
809 Virola_michelii
810 Conceveiba_guianensis
811 Pouteria_cladantha
812 Eperua_grandiflora
813 Diospyros_carbonaria
814 Neea_floribunda
815 Eschweilera_grandiflora
816 Bocoa_prouacensis
817 Chrysophyllum_sanguinolentum
818 Lecythis_persistens
819 Minquartia_guianensis
820 Protium_gallicum
821 Cordia_sagotii
822 Gustavia_hexapetala
823 Cupania_scrobiculata
824 Lecythis_persistens
825 Couepia_bracteosa
826 Caryocar_glabrum
827 Lecythis_persistens
828 Qualea_rosea
829 Eschweilera_coriacea
830 Theobroma_subincanum
831 Licania_membranacea
832 Unonopsis_rufescens
833 Caryocar_glabrum
834 Qualea_rosea
835 Conceveiba_guianensis
836 Couepia_caryophylloides
837 Virola_michelii
838 Minquartia_guianensis
839 Gustavia_hexapetala
840 Protium_gallicum
841 Virola_michelii
842 Cecropia_obtusa
843 Dacryodes_cuspidata
844 Cordia_sagotii
845 Iryanthera_sagotiana
846 Licania_canescens
847 Bocoa_prouacensis
848 Abarema_jupunba
849 Couepia_bracteosa
850 Virola_michelii
851 Dicorynia_guianensis
852 Protium_gallicum
853 Neea_floribunda
854 Lecythis_poiteaui
855 Cecropia_obtusa
856 Abarema_jupunba
857 Conceveiba_guianensis
858 Conceveiba_guianensis
859 Protium_trifoliolatum
860 Brosimum_rubescens
861 Micropholis_cayennensis
862 Qualea_rosea
863 Protium_sagotianum
864 Cordia_sagotii
865 Eschweilera_coriacea
866 Licania_canescens
867 Conceveiba_guianensis
868 Virola_michelii
869 Vouacapoua_americana
870 Chrysophyllum_sanguinolentum
871 Theobroma_subincanum
872 Cyrillopsis_paraensis
873 Hirtella_glandulosa
874 Licania_membranacea
875 Virola_michelii
876 Hirtella_glandulosa
877 Pouteria_cladantha
878 Eperua_grandiflora
879 Conceveiba_guianensis
880 Protium_trifoliolatum
881 Quararibea_duckei
882 Minquartia_guianensis
883 Carapa_procera
884 Gustavia_hexapetala
885 Eperua_grandiflora
886 Bocoa_prouacensis
887 Drypetes_variabilis
888 Eschweilera_coriacea
889 Bocoa_prouacensis
890 Quararibea_duckei
891 Cyrillopsis_paraensis
892 Protium_sagotianum
893 Unonopsis_rufescens
894 Protium_sagotianum
895 Minquartia_guianensis
896 Drypetes_variabilis
897 Eschweilera_coriacea
898 Diospyros_carbonaria
899 Protium_trifoliolatum
900 Cyrillopsis_paraensis
901 Unonopsis_rufescens
902 Gustavia_hexapetala
903 Dacryodes_cuspidata
904 Unonopsis_rufescens
905 Caryocar_glabrum
906 Unonopsis_rufescens
907 Caryocar_glabrum
908 Qualea_rosea
909 Hirtella_glandulosa
910 Drypetes_variabilis
911 Cecropia_obtusa
912 Protium_sagotianum
913 Vouacapoua_americana
914 Iryanthera_sagotiana
915 Carapa_procera
916 Quararibea_duckei
917 Minquartia_guianensis
918 Protium_trifoliolatum
919 Minquartia_guianensis
920 Gustavia_hexapetala
921 Pouteria_gonggrijpii
922 Bocoa_prouacensis
923 Unonopsis_rufescens
924 Manilkara_huberi
925 Carapa_procera
926 Diospyros_carbonaria
927 Licania_alba
928 Protium_sagotianum
929 Couepia_bracteosa
930 Diospyros_carbonaria
931 Eschweilera_coriacea
932 Quararibea_duckei
933 Protium_gallicum
934 Protium_opacum
935 Licania_canescens
936 Virola_michelii
937 Pouteria_cladantha
938 Protium_opacum
939 Neea_floribunda
940 Caryocar_glabrum
941 Licania_alba
942 Cecropia_obtusa
943 Pouteria_gonggrijpii
944 Licania_membranacea
945 Iryanthera_sagotiana
946 Qualea_rosea
947 Pouteria_cladantha
948 Caryocar_glabrum
949 Unonopsis_rufescens
950 Eschweilera_coriacea
951 Couepia_bracteosa
952 Caryocar_glabrum
953 Pouteria_filipes
954 Eschweilera_coriacea
955 Unonopsis_rufescens
956 Quararibea_duckei
957 Eschweilera_coriacea
958 Pouteria_filipes
959 Hirtella_glandulosa
960 Protium_gallicum
961 Theobroma_subincanum
962 Pouteria_gonggrijpii
963 Licania_membranacea
964 Protium_opacum
965 Dicorynia_guianensis
966 Eschweilera_coriacea
967 Brosimum_rubescens
968 Cordia_sagotii
969 Licania_canescens
970 Cyrillopsis_paraensis
971 Virola_michelii
972 Conceveiba_guianensis
973 Protium_gallicum
974 Cecropia_obtusa
975 Eschweilera_coriacea
976 Iryanthera_sagotiana
977 Pouteria_cladantha
978 Protium_gallicum
979 Virola_michelii
980 Eschweilera_coriacea
981 Qualea_rosea
982 Pouteria_cladantha
983 Hirtella_glandulosa
984 Unonopsis_rufescens
985 Pouteria_gonggrijpii
986 Licania_canescens
987 Carapa_procera
988 Brosimum_rubescens
989 Gustavia_hexapetala
990 Diospyros_carbonaria
991 Dicorynia_guianensis
992 Qualea_rosea
993 Dicorynia_guianensis
994 Eschweilera_coriacea
995 Carapa_procera
996 Cyrillopsis_paraensis
997 Virola_michelii
998 Protium_opacum
999 Brosimum_rubescens
1000 Theobroma_subincanum
1001 Abarema_jupunba
1002 Bocoa_prouacensis
1003 Protium_trifoliolatum
1004 Cordia_sagotii
1005 Neea_floribunda
1006 Eschweilera_coriacea
1007 Iryanthera_sagotiana
1008 Licania_alba
1009 Virola_michelii
1010 Eschweilera_coriacea
1011 Unonopsis_rufescens
1012 Dacryodes_cuspidata
1013 Bocoa_prouacensis
1014 Cyrillopsis_paraensis
1015 Diospyros_carbonaria
1016 Unonopsis_rufescens
1017 Pouteria_cladantha
1018 Protium_sagotianum
1019 Diospyros_carbonaria
1020 Brosimum_rubescens
1021 Licania_canescens
1022 Cecropia_obtusa
1023 Protium_gallicum
1024 Vouacapoua_americana
1025 Lecythis_poiteaui
1026 Couepia_caryophylloides
1027 Protium_sagotianum
1028 Virola_michelii
1029 Bocoa_prouacensis
1030 Protium_opacum
1031 Protium_gallicum
1032 Protium_gallicum
1033 Eschweilera_grandiflora
1034 Qualea_rosea
1035 Manilkara_huberi
1036 Neea_floribunda
1037 Eschweilera_coriacea
1038 Couepia_caryophylloides
1039 Couepia_bracteosa
1040 Gustavia_hexapetala
1041 Minquartia_guianensis
1042 Couepia_bracteosa
1043 Licania_membranacea
1044 Cupania_scrobiculata
1045 Dacryodes_cuspidata
1046 Lecythis_poiteaui
1047 Caryocar_glabrum
1048 Protium_trifoliolatum
1049 Bocoa_prouacensis
1050 Lecythis_persistens
1051 Caryocar_glabrum
1052 Diospyros_carbonaria
1053 Licania_canescens
1054 Licania_canescens
1055 Protium_gallicum
1056 Protium_sagotianum
1057 Iryanthera_sagotiana
1058 Licania_canescens
1059 Unonopsis_rufescens
1060 Manilkara_huberi
1061 Gustavia_hexapetala
1062 Hirtella_glandulosa
1063 Virola_michelii
1064 Licania_alba
1065 Couepia_caryophylloides
1066 Neea_floribunda
1067 Cecropia_obtusa
1068 Pouteria_filipes
1069 Eperua_grandiflora
1070 Protium_trifoliolatum
1071 Hirtella_glandulosa
1072 Quararibea_duckei
1073 Qualea_rosea
1074 Protium_trifoliolatum
1075 Neea_floribunda
1076 Drypetes_variabilis
1077 Licania_alba
1078 Hirtella_glandulosa
1079 Pouteria_cladantha
1080 Pouteria_cladantha
1081 Diospyros_carbonaria
1082 Licania_alba
1083 Qualea_rosea
1084 Pouteria_gonggrijpii
1085 Cecropia_obtusa
1086 Minquartia_guianensis
1087 Cecropia_obtusa
1088 Brosimum_rubescens
1089 Pouteria_gonggrijpii
1090 Cyrillopsis_paraensis
1091 Gustavia_hexapetala
1092 Bocoa_prouacensis
1093 Drypetes_variabilis
1094 Neea_floribunda
1095 Iryanthera_sagotiana
1096 Protium_gallicum
1097 Dacryodes_cuspidata
1098 Quararibea_duckei
1099 Gustavia_hexapetala
1100 Licania_alba
1101 Dicorynia_guianensis
1102 Micropholis_cayennensis
1103 Cupania_scrobiculata
1104 Neea_floribunda
1105 Cyrillopsis_paraensis
1106 Licania_canescens
1107 Protium_opacum
1108 Cupania_scrobiculata
1109 Abarema_jupunba
1110 Brosimum_rubescens
1111 Carapa_procera
1112 Protium_sagotianum
1113 Minquartia_guianensis
1114 Eschweilera_coriacea
1115 Licania_alba
1116 Protium_opacum
1117 Qualea_rosea
1118 Carapa_procera
1119 Cordia_sagotii
1120 Quararibea_duckei
1121 Cecropia_obtusa
1122 Quararibea_duckei
1123 Quararibea_duckei
1124 Eperua_grandiflora
1125 Virola_michelii
1126 Quararibea_duckei
1127 Neea_floribunda
1128 Dacryodes_cuspidata
1129 Cupania_scrobiculata
1130 Neea_floribunda
1131 Cecropia_obtusa
1132 Pouteria_cladantha
1133 Manilkara_huberi
1134 Lecythis_persistens
1135 Neea_floribunda
1136 Iryanthera_sagotiana
1137 Hirtella_glandulosa
1138 Licania_alba
1139 Cecropia_obtusa
1140 Eperua_grandiflora
1141 Hirtella_glandulosa
1142 Dicorynia_guianensis
1143 Carapa_procera
1144 Theobroma_subincanum
1145 Neea_floribunda
1146 Eschweilera_coriacea
1147 Pouteria_cladantha
1148 Licania_membranacea
1149 Neea_floribunda
1150 Protium_opacum
1151 Eschweilera_coriacea
1152 Couepia_bracteosa
1153 Pouteria_gonggrijpii
1154 Drypetes_variabilis
1155 Dicorynia_guianensis
1156 Cyrillopsis_paraensis
1157 Cupania_scrobiculata
1158 Eperua_grandiflora
1159 Hirtella_glandulosa
1160 Minquartia_guianensis
1161 Lecythis_poiteaui
1162 Unonopsis_rufescens
1163 Eperua_grandiflora
1164 Licania_alba
1165 Licania_alba
1166 Cyrillopsis_paraensis
1167 Neea_floribunda
1168 Protium_gallicum
1169 Eschweilera_grandiflora
1170 Dacryodes_cuspidata
1171 Iryanthera_sagotiana
1172 Theobroma_subincanum
1173 Licania_membranacea
1174 Licania_canescens
1175 Licania_alba
1176 Cyrillopsis_paraensis
1177 Cecropia_obtusa
1178 Bocoa_prouacensis
1179 Pouteria_filipes
1180 Lecythis_poiteaui
1181 Protium_gallicum
1182 Protium_trifoliolatum
1183 Eschweilera_coriacea
1184 Brosimum_rubescens
1185 Protium_gallicum
1186 Theobroma_subincanum
1187 Cyrillopsis_paraensis
1188 Couepia_bracteosa
1189 Cyrillopsis_paraensis
1190 Minquartia_guianensis
1191 Lecythis_persistens
1192 Theobroma_subincanum
1193 Pouteria_gonggrijpii
1194 Protium_trifoliolatum
1195 Protium_sagotianum
1196 Protium_opacum
1197 Micropholis_cayennensis
1198 Caryocar_glabrum
1199 Neea_floribunda
1200 Pouteria_cladantha
1201 Pouteria_filipes
1202 Theobroma_subincanum
1203 Protium_trifoliolatum
1204 Caryocar_glabrum
1205 Dacryodes_cuspidata
1206 Conceveiba_guianensis
1207 Neea_floribunda
1208 Theobroma_subincanum
1209 Gustavia_hexapetala
1210 Bocoa_prouacensis
1211 Protium_gallicum
1212 Caryocar_glabrum
1213 Pouteria_cladantha
1214 Virola_michelii
1215 Eperua_grandiflora
1216 Caryocar_glabrum
1217 Diospyros_carbonaria
1218 Lecythis_poiteaui
1219 Neea_floribunda
1220 Lecythis_persistens
1221 Unonopsis_rufescens
1222 Cordia_sagotii
1223 Abarema_jupunba
1224 Protium_trifoliolatum
1225 Virola_michelii
1226 Gustavia_hexapetala
1227 Hirtella_glandulosa
1228 Diospyros_carbonaria
1229 Carapa_procera
1230 Licania_canescens
1231 Cupania_scrobiculata
1232 Eschweilera_coriacea
1233 Hirtella_glandulosa
1234 Protium_trifoliolatum
1235 Cordia_sagotii
1236 Hirtella_glandulosa
1237 Abarema_jupunba
1238 Carapa_procera
1239 Licania_alba
1240 Bocoa_prouacensis
1241 Chrysophyllum_sanguinolentum
1242 Licania_alba
1243 Protium_sagotianum
1244 Bocoa_prouacensis
1245 Protium_gallicum
1246 Dicorynia_guianensis
1247 Minquartia_guianensis
1248 Gustavia_hexapetala
1249 Vouacapoua_americana
1250 Micropholis_cayennensis
1251 Couepia_caryophylloides
1252 Protium_sagotianum
1253 Gustavia_hexapetala
1254 Hirtella_glandulosa
1255 Iryanthera_sagotiana
1256 Neea_floribunda
1257 Conceveiba_guianensis
1258 Cecropia_obtusa
1259 Cordia_sagotii
1260 Neea_floribunda
1261 Qualea_rosea
1262 Bocoa_prouacensis
1263 Caryocar_glabrum
1264 Brosimum_rubescens
1265 Quararibea_duckei
1266 Manilkara_huberi
1267 Quararibea_duckei
1268 Eschweilera_grandiflora
1269 Protium_opacum
1270 Cyrillopsis_paraensis
1271 Cecropia_obtusa
1272 Carapa_procera
1273 Protium_trifoliolatum
1274 Gustavia_hexapetala
1275 Protium_trifoliolatum
1276 Cordia_sagotii
1277 Brosimum_rubescens
1278 Caryocar_glabrum
1279 Lecythis_poiteaui
1280 Protium_opacum
1281 Couepia_caryophylloides
1282 Qualea_rosea
1283 Dicorynia_guianensis
1284 Lecythis_persistens
1285 Gustavia_hexapetala
1286 Quararibea_duckei
1287 Neea_floribunda
1288 Eperua_grandiflora
1289 Cecropia_obtusa
1290 Quararibea_duckei
1291 Vouacapoua_americana
1292 Gustavia_hexapetala
1293 Cupania_scrobiculata
1294 Bocoa_prouacensis
1295 Carapa_procera
1296 Dacryodes_cuspidata
1297 Lecythis_persistens
1298 Caryocar_glabrum
1299 Cupania_scrobiculata
1300 Dacryodes_cuspidata
1301 Pouteria_cladantha
1302 Couepia_bracteosa
1303 Couepia_caryophylloides
1304 Caryocar_glabrum
1305 Licania_canescens
1306 Licania_alba
1307 Caryocar_glabrum
1308 Vouacapoua_americana
1309 Unonopsis_rufescens
1310 Cyrillopsis_paraensis
1311 Brosimum_rubescens
1312 Diospyros_carbonaria
1313 Couepia_bracteosa
1314 Virola_michelii
1315 Vouacapoua_americana
1316 Pouteria_cladantha
1317 Couepia_bracteosa
1318 Diospyros_carbonaria
1319 Virola_michelii
1320 Vouacapoua_americana
1321 Brosimum_rubescens
1322 Protium_trifoliolatum
1323 Pouteria_filipes
1324 Lecythis_poiteaui
1325 Manilkara_huberi
1326 Minquartia_guianensis
1327 Hirtella_glandulosa
1328 Bocoa_prouacensis
1329 Licania_alba
1330 Micropholis_cayennensis
1331 Dicorynia_guianensis
1332 Diospyros_carbonaria
1333 Couepia_caryophylloides
1334 Qualea_rosea
1335 Iryanthera_sagotiana
1336 Pouteria_cladantha
1337 Hirtella_glandulosa
1338 Eschweilera_grandiflora
1339 Gustavia_hexapetala
1340 Unonopsis_rufescens
1341 Licania_membranacea
1342 Pouteria_filipes
1343 Neea_floribunda
1344 Protium_trifoliolatum
1345 Theobroma_subincanum
1346 Dicorynia_guianensis
1347 Protium_gallicum
1348 Qualea_rosea
1349 Protium_gallicum
1350 Protium_gallicum
1351 Micropholis_cayennensis
1352 Hirtella_glandulosa
1353 Bocoa_prouacensis
1354 Theobroma_subincanum
1355 Unonopsis_rufescens
1356 Quararibea_duckei
1357 Gustavia_hexapetala
1358 Hirtella_glandulosa
1359 Cordia_sagotii
1360 Dacryodes_cuspidata
1361 Cupania_scrobiculata
1362 Conceveiba_guianensis
1363 Couepia_caryophylloides
1364 Brosimum_rubescens
1365 Pouteria_filipes
1366 Qualea_rosea
1367 Licania_canescens
1368 Iryanthera_sagotiana
1369 Licania_alba
1370 Brosimum_rubescens
1371 Couepia_caryophylloides
1372 Neea_floribunda
1373 Pouteria_filipes
1374 Eschweilera_coriacea
1375 Manilkara_huberi
1376 Virola_michelii
1377 Cyrillopsis_paraensis
1378 Licania_membranacea
1379 Abarema_jupunba
1380 Licania_membranacea
1381 Licania_alba
1382 Theobroma_subincanum
1383 Cyrillopsis_paraensis
1384 Protium_gallicum
1385 Iryanthera_sagotiana
1386 Cyrillopsis_paraensis
1387 Cyrillopsis_paraensis
1388 Quararibea_duckei
1389 Pouteria_gonggrijpii
1390 Unonopsis_rufescens
1391 Lecythis_persistens
1392 Conceveiba_guianensis
1393 Dacryodes_cuspidata
1394 Hirtella_glandulosa
1395 Brosimum_rubescens
1396 Theobroma_subincanum
1397 Theobroma_subincanum
1398 Iryanthera_sagotiana
1399 Abarema_jupunba
1400 Cyrillopsis_paraensis
1401 Cecropia_obtusa
1402 Brosimum_rubescens
1403 Lecythis_poiteaui
1404 Eschweilera_grandiflora
1405 Pouteria_filipes
1406 Neea_floribunda
1407 Lecythis_persistens
1408 Virola_michelii
1409 Cupania_scrobiculata
1410 Qualea_rosea
1411 Protium_sagotianum
1412 Protium_sagotianum
1413 Protium_trifoliolatum
1414 Theobroma_subincanum
1415 Cecropia_obtusa
1416 Pouteria_filipes
1417 Carapa_procera
1418 Diospyros_carbonaria
1419 Eperua_grandiflora
1420 Carapa_procera
1421 Chrysophyllum_sanguinolentum
1422 Protium_trifoliolatum
1423 Abarema_jupunba
1424 Protium_gallicum
1425 Dicorynia_guianensis
1426 Cordia_sagotii
1427 Diospyros_carbonaria
1428 Eschweilera_grandiflora
1429 Minquartia_guianensis
1430 Qualea_rosea
1431 Licania_alba
1432 Gustavia_hexapetala
1433 Virola_michelii
1434 Gustavia_hexapetala
1435 Licania_canescens
1436 Protium_trifoliolatum
1437 Diospyros_carbonaria
1438 Hirtella_glandulosa
1439 Cecropia_obtusa
1440 Lecythis_persistens
1441 Cyrillopsis_paraensis
1442 Pouteria_filipes
1443 Protium_gallicum
1444 Protium_gallicum
1445 Protium_trifoliolatum
1446 Unonopsis_rufescens
1447 Pouteria_filipes
1448 Abarema_jupunba
1449 Protium_trifoliolatum
1450 Virola_michelii
1451 Eschweilera_coriacea
1452 Lecythis_poiteaui
1453 Virola_michelii
1454 Abarema_jupunba
1455 Licania_membranacea
1456 Protium_opacum
1457 Licania_canescens
1458 Virola_michelii
1459 Theobroma_subincanum
1460 Carapa_procera
1461 Licania_alba
1462 Micropholis_cayennensis
1463 Protium_gallicum
1464 Virola_michelii
1465 Hirtella_glandulosa
1466 Protium_sagotianum
1467 Conceveiba_guianensis
1468 Gustavia_hexapetala
1469 Protium_trifoliolatum
1470 Brosimum_rubescens
1471 Minquartia_guianensis
1472 Couepia_caryophylloides
1473 Cyrillopsis_paraensis
1474 Cordia_sagotii
1475 Couepia_caryophylloides
1476 Unonopsis_rufescens
1477 Protium_gallicum
1478 Carapa_procera
1479 Pouteria_cladantha
1480 Virola_michelii
1481 Gustavia_hexapetala
1482 Pouteria_filipes
1483 Eschweilera_grandiflora
1484 Hirtella_glandulosa
1485 Pouteria_cladantha
1486 Eschweilera_grandiflora
1487 Protium_gallicum
1488 Licania_alba
1489 Licania_alba
1490 Micropholis_cayennensis
1491 Dicorynia_guianensis
1492 Dacryodes_cuspidata
1493 Conceveiba_guianensis
1494 Brosimum_rubescens
1495 Dicorynia_guianensis
1496 Protium_gallicum
1497 Iryanthera_sagotiana
1498 Conceveiba_guianensis
1499 Dacryodes_cuspidata
1500 Quararibea_duckei
1501 Quararibea_duckei
1502 Protium_sagotianum
1503 Vouacapoua_americana
1504 Lecythis_poiteaui
1505 Lecythis_poiteaui
1506 Couepia_caryophylloides
1507 Eperua_grandiflora
1508 Cyrillopsis_paraensis
1509 Cecropia_obtusa
1510 Abarema_jupunba
1511 Unonopsis_rufescens
1512 Hirtella_glandulosa
1513 Gustavia_hexapetala
1514 Iryanthera_sagotiana
1515 Bocoa_prouacensis
1516 Vouacapoua_americana
1517 Lecythis_persistens
1518 Iryanthera_sagotiana
1519 Drypetes_variabilis
1520 Iryanthera_sagotiana
1521 Protium_trifoliolatum
1522 Neea_floribunda
1523 Licania_canescens
1524 Caryocar_glabrum
1525 Dacryodes_cuspidata
1526 Chrysophyllum_sanguinolentum
1527 Diospyros_carbonaria
1528 Couepia_bracteosa
1529 Unonopsis_rufescens
1530 Micropholis_cayennensis
1531 Cyrillopsis_paraensis
1532 Eschweilera_coriacea
1533 Neea_floribunda
1534 Eperua_grandiflora
1535 Unonopsis_rufescens
1536 Unonopsis_rufescens
1537 Licania_canescens
1538 Gustavia_hexapetala
1539 Couepia_bracteosa
1540 Eperua_grandiflora
1541 Abarema_jupunba
1542 Bocoa_prouacensis
1543 Pouteria_filipes
1544 Eschweilera_coriacea
1545 Cyrillopsis_paraensis
1546 Brosimum_rubescens
1547 Pouteria_gonggrijpii
1548 Licania_canescens
1549 Cyrillopsis_paraensis
1550 Unonopsis_rufescens
1551 Brosimum_rubescens
1552 Cyrillopsis_paraensis
1553 Brosimum_rubescens
1554 Pouteria_filipes
1555 Licania_membranacea
1556 Protium_trifoliolatum
1557 Eschweilera_grandiflora
1558 Vouacapoua_americana
1559 Carapa_procera
1560 Protium_gallicum
1561 Pouteria_gonggrijpii
1562 Gustavia_hexapetala
1563 Lecythis_persistens
1564 Dacryodes_cuspidata
1565 Couepia_bracteosa
1566 Virola_michelii
1567 Eschweilera_grandiflora
1568 Protium_trifoliolatum
1569 Cordia_sagotii
1570 Diospyros_carbonaria
1571 Couepia_bracteosa
1572 Gustavia_hexapetala
1573 Couepia_bracteosa
1574 Pouteria_cladantha
1575 Theobroma_subincanum
1576 Cordia_sagotii
1577 Protium_opacum
1578 Eschweilera_coriacea
1579 Pouteria_cladantha
1580 Drypetes_variabilis
1581 Brosimum_rubescens
1582 Eperua_grandiflora
1583 Brosimum_rubescens
1584 Cyrillopsis_paraensis
1585 Brosimum_rubescens
1586 Dicorynia_guianensis
1587 Pouteria_gonggrijpii
1588 Cyrillopsis_paraensis
1589 Gustavia_hexapetala
1590 Eschweilera_grandiflora
1591 Eperua_grandiflora
1592 Vouacapoua_americana
1593 Pouteria_filipes
1594 Diospyros_carbonaria
1595 Dicorynia_guianensis
1596 Licania_canescens
1597 Cecropia_obtusa
1598 Protium_sagotianum
1599 Licania_canescens
1600 Drypetes_variabilis
1601 Eperua_grandiflora
1602 Protium_gallicum
1603 Minquartia_guianensis
1604 Bocoa_prouacensis
1605 Protium_trifoliolatum
1606 Conceveiba_guianensis
1607 Cupania_scrobiculata
1608 Eschweilera_grandiflora
1609 Pouteria_cladantha
1610 Eschweilera_coriacea
1611 Pouteria_filipes
1612 Iryanthera_sagotiana
1613 Drypetes_variabilis
1614 Drypetes_variabilis
1615 Dacryodes_cuspidata
1616 Carapa_procera
1617 Protium_gallicum
1618 Protium_opacum
1619 Caryocar_glabrum
1620 Brosimum_rubescens
1621 Protium_trifoliolatum
1622 Pouteria_cladantha
1623 Qualea_rosea
1624 Cyrillopsis_paraensis
1625 Cecropia_obtusa
1626 Couepia_caryophylloides
1627 Dicorynia_guianensis
1628 Quararibea_duckei
1629 Bocoa_prouacensis
1630 Licania_canescens
1631 Cyrillopsis_paraensis
1632 Carapa_procera
1633 Cecropia_obtusa
1634 Cyrillopsis_paraensis
1635 Protium_opacum
1636 Protium_trifoliolatum
1637 Licania_canescens
1638 Iryanthera_sagotiana
1639 Theobroma_subincanum
1640 Protium_sagotianum
1641 Unonopsis_rufescens
1642 Protium_gallicum
1643 Iryanthera_sagotiana
1644 Abarema_jupunba
1645 Couepia_caryophylloides
1646 Bocoa_prouacensis
1647 Couepia_caryophylloides
1648 Licania_membranacea
1649 Neea_floribunda
1650 Neea_floribunda
1651 Conceveiba_guianensis
1652 Licania_membranacea
1653 Chrysophyllum_sanguinolentum
1654 Diospyros_carbonaria
1655 Unonopsis_rufescens
1656 Dicorynia_guianensis
1657 Dicorynia_guianensis
1658 Carapa_procera
1659 Bocoa_prouacensis
1660 Iryanthera_sagotiana
1661 Drypetes_variabilis
1662 Quararibea_duckei
1663 Cyrillopsis_paraensis
1664 Protium_trifoliolatum
1665 Conceveiba_guianensis
1666 Hirtella_glandulosa
1667 Virola_michelii
1668 Protium_opacum
1669 Caryocar_glabrum
1670 Unonopsis_rufescens
1671 Micropholis_cayennensis
1672 Minquartia_guianensis
1673 Qualea_rosea
1674 Gustavia_hexapetala
1675 Licania_membranacea
1676 Quararibea_duckei
1677 Couepia_bracteosa
1678 Diospyros_carbonaria
1679 Brosimum_rubescens
1680 Chrysophyllum_sanguinolentum
1681 Licania_membranacea
1682 Brosimum_rubescens
1683 Gustavia_hexapetala
1684 Licania_canescens
1685 Unonopsis_rufescens
1686 Conceveiba_guianensis
1687 Diospyros_carbonaria
1688 Licania_membranacea
1689 Caryocar_glabrum
1690 Cyrillopsis_paraensis
1691 Dacryodes_cuspidata
1692 Vouacapoua_americana
1693 Virola_michelii
1694 Protium_gallicum
1695 Protium_gallicum
1696 Theobroma_subincanum
1697 Iryanthera_sagotiana
1698 Couepia_bracteosa
1699 Couepia_caryophylloides
1700 Iryanthera_sagotiana
1701 Theobroma_subincanum
1702 Dicorynia_guianensis
1703 Protium_trifoliolatum
1704 Gustavia_hexapetala
1705 Cyrillopsis_paraensis
1706 Conceveiba_guianensis
1707 Cyrillopsis_paraensis
1708 Brosimum_rubescens
1709 Qualea_rosea
1710 Protium_opacum
1711 Protium_sagotianum
1712 Neea_floribunda
1713 Licania_membranacea
1714 Cyrillopsis_paraensis
1715 Theobroma_subincanum
1716 Drypetes_variabilis
1717 Abarema_jupunba
1718 Lecythis_persistens
1719 Lecythis_poiteaui
1720 Protium_opacum
1721 Bocoa_prouacensis
1722 Cecropia_obtusa
1723 Protium_trifoliolatum
1724 Protium_sagotianum
1725 Minquartia_guianensis
1726 Caryocar_glabrum
1727 Abarema_jupunba
1728 Dacryodes_cuspidata
1729 Eperua_grandiflora
1730 Qualea_rosea
1731 Cupania_scrobiculata
1732 Hirtella_glandulosa
1733 Lecythis_poiteaui
1734 Protium_sagotianum
1735 Conceveiba_guianensis
1736 Cordia_sagotii
1737 Diospyros_carbonaria
1738 Lecythis_poiteaui
1739 Neea_floribunda
1740 Dacryodes_cuspidata
1741 Caryocar_glabrum
1742 Diospyros_carbonaria
1743 Cyrillopsis_paraensis
1744 Cyrillopsis_paraensis
1745 Diospyros_carbonaria
1746 Unonopsis_rufescens
1747 Lecythis_poiteaui
1748 Couepia_bracteosa
1749 Couepia_caryophylloides
1750 Conceveiba_guianensis
1751 Vouacapoua_americana
1752 Caryocar_glabrum
1753 Couepia_caryophylloides
1754 Qualea_rosea
1755 Eschweilera_coriacea
1756 Dacryodes_cuspidata
1757 Lecythis_poiteaui
1758 Brosimum_rubescens
1759 Brosimum_rubescens
1760 Quararibea_duckei
1761 Eperua_grandiflora
1762 Quararibea_duckei
1763 Cordia_sagotii
1764 Eperua_grandiflora
1765 Abarema_jupunba
1766 Theobroma_subincanum
1767 Cyrillopsis_paraensis
1768 Protium_sagotianum
1769 Licania_membranacea
1770 Lecythis_poiteaui
1771 Qualea_rosea
1772 Protium_trifoliolatum
1773 Dicorynia_guianensis
1774 Protium_gallicum
1775 Brosimum_rubescens
1776 Neea_floribunda
1777 Cordia_sagotii
1778 Unonopsis_rufescens
1779 Licania_canescens
1780 Diospyros_carbonaria
1781 Diospyros_carbonaria
1782 Gustavia_hexapetala
1783 Carapa_procera
1784 Carapa_procera
1785 Bocoa_prouacensis
1786 Theobroma_subincanum
1787 Protium_opacum
1788 Neea_floribunda
1789 Lecythis_poiteaui
1790 Protium_gallicum
1791 Manilkara_huberi
1792 Dicorynia_guianensis
1793 Dicorynia_guianensis
1794 Dicorynia_guianensis
1795 Couepia_caryophylloides
1796 Couepia_caryophylloides
1797 Protium_sagotianum
1798 Bocoa_prouacensis
1799 Caryocar_glabrum
1800 Lecythis_poiteaui
1801 Neea_floribunda
1802 Cupania_scrobiculata
1803 Brosimum_rubescens
1804 Eschweilera_grandiflora
1805 Neea_floribunda
1806 Licania_canescens
1807 Pouteria_filipes
1808 Dacryodes_cuspidata
1809 Gustavia_hexapetala
1810 Cordia_sagotii
1811 Protium_sagotianum
1812 Virola_michelii
1813 Dacryodes_cuspidata
1814 Minquartia_guianensis
1815 Protium_trifoliolatum
1816 Caryocar_glabrum
1817 Theobroma_subincanum
1818 Cecropia_obtusa
1819 Dacryodes_cuspidata
1820 Lecythis_poiteaui
1821 Quararibea_duckei
1822 Pouteria_cladantha
1823 Protium_gallicum
1824 Couepia_bracteosa
1825 Couepia_bracteosa
1826 Minquartia_guianensis
1827 Bocoa_prouacensis
1828 Lecythis_persistens
1829 Brosimum_rubescens
1830 Protium_sagotianum
1831 Pouteria_cladantha
1832 Manilkara_huberi
1833 Virola_michelii
1834 Cyrillopsis_paraensis
1835 Diospyros_carbonaria
1836 Protium_trifoliolatum
1837 Theobroma_subincanum
1838 Carapa_procera
1839 Virola_michelii
1840 Virola_michelii
1841 Cyrillopsis_paraensis
1842 Lecythis_persistens
1843 Quararibea_duckei
1844 Theobroma_subincanum
1845 Neea_floribunda
1846 Lecythis_persistens
1847 Protium_sagotianum
1848 Protium_sagotianum
1849 Chrysophyllum_sanguinolentum
1850 Iryanthera_sagotiana
1851 Neea_floribunda
1852 Cyrillopsis_paraensis
1853 Cupania_scrobiculata
1854 Brosimum_rubescens
1855 Qualea_rosea
1856 Carapa_procera
1857 Pouteria_gonggrijpii
1858 Cecropia_obtusa
1859 Quararibea_duckei
1860 Caryocar_glabrum
1861 Protium_sagotianum
1862 Gustavia_hexapetala
1863 Micropholis_cayennensis
1864 Theobroma_subincanum
1865 Licania_canescens
1866 Dacryodes_cuspidata
1867 Conceveiba_guianensis
1868 Licania_canescens
1869 Quararibea_duckei
1870 Pouteria_gonggrijpii
1871 Protium_sagotianum
1872 Chrysophyllum_sanguinolentum
1873 Licania_alba
1874 Minquartia_guianensis
1875 Neea_floribunda
1876 Protium_sagotianum
1877 Cyrillopsis_paraensis
1878 Conceveiba_guianensis
1879 Pouteria_cladantha
1880 Protium_sagotianum
1881 Theobroma_subincanum
1882 Eschweilera_grandiflora
1883 Brosimum_rubescens
1884 Pouteria_filipes
1885 Protium_gallicum
1886 Theobroma_subincanum
[ reached 'max' / getOption("max.print") -- omitted 376 rows ]
Object of class : trollsim
Name : test
Path :
In memory : TRUE
Extended : TRUE
From data : FALSE
Lidar simulation : FALSE
Random : FALSE
2D discrete network: horizontal step = 1 m, one tree per 1 m^2
Number of sites : 100 x 100
Number of iterations : 120
Duration of timestep : 30.41667 days
Number of Species : 45

Visualização dinâmica como GIF.

